Harnessing Artificial Intelligence and Digital Technologies for Sustainable Healthcare Delivery in Saudi Arabia: A Comprehensive Review, Issues, and Future Perspectives
Abstract
1. Introduction
- The SLR demonstrates the wide range of artificial intelligence (AI) and digital innovations deployed in Saudi Arabia’s medical industry, such as blockchain, cloud computing, telemedicine, mobile health apps, electronic health records (EHRs), machine learning, and the Internet of Things. It has been demonstrated that these innovations improve patient care, diagnosis, and medical treatment.
- The review emphasizes how digital technology and artificial intelligence (AI) increase patient interaction, facilitate personalized treatment, and facilitate administrative procedures while enhancing diagnostic accuracy.
- The report lists several significant challenges for employing AI and digital technologies, such as concerns about data security and privacy, high implementation costs, reluctance to change, a lack of expertise among medical personnel, interoperability problems, and difficulties with regulations and compliance.
- The review reveals that enhanced workforce digital literacy and strategic public–private partnerships are pivotal to achieving equitable and sustainable AI-driven healthcare transformation in Saudi Arabia.
- The SLR offers practical suggestions for further study, including improving natural language processing (NLP) tailored to Arabic, combining edge computing and 5G, and creating AI-powered mental health systems to meet regional healthcare needs.
2. Evolution of Artificial Intelligence (AI) Paradigms in Healthcare
3. Materials and Methods
3.1. Research Questions
3.2. Search Strategy
3.3. Article Selection Criteria
3.4. The Screening Process and Results
3.5. Quality Assessment (QA)
4. Data Extraction and Synthesis
4.1. Source Distribution of Selected Articles
4.2. Yearly Wisely Distributions of the Selected Articles
5. Review Findings and Discussions
5.1. What Are AI and Digital Technologies That Have Been Implemented in Saudi Arabia’s Healthcare System? (RQ1)
5.1.1. Telemedicine
5.1.2. EHRs
5.1.3. Mobile Health Applications and Wearable Devices
5.1.4. Data Analytics and Machine Learning
5.1.5. IoT
5.1.6. Blockchain Technology
5.1.7. Online Platform
5.1.8. Encryption Technique
5.1.9. Cloud Computing
5.2. How Do AI and Digital Technologies Contribute to Improving the Efficiency of Human Health Outcomes in Saudi Arabia? (RQ2)
5.2.1. Enhanced Diagnosis and Treatment
5.2.2. Telemedicine Expansion
5.2.3. Predictive Analytics for Public Health
5.2.4. Streamlined Administrative Processes
5.2.5. Enhanced Patient Engagement
5.2.6. Medical Research and Training
5.2.7. Smart Hospitals
5.2.8. Support for Vision 2030 Goals
5.3. How Do AI and Digital Technologies Contribute to the Sustainability of Healthcare Systems in Saudi Arabia in Terms of Cost-Efficiency, Environmental Responsibility, and Long-Term Service Delivery? (RQ3)
5.4. What Strategies and Policies Are Being Implemented in Saudi Arabia to Promote the Sustainable Integration of AI and Digital Technologies in Healthcare? (RQ4)
5.5. What Are the Major Challenges and Barriers Faced in Adopting and Integrating AI and Digital Technologies into the Saudi Arabian Healthcare Sector? (RQ5)
5.5.1. Data Privacy and Security
5.5.2. Cost of Implementation
5.5.3. Resistance to Change
5.5.4. Interoperability Issues
5.5.5. Regulatory and Compliance Challenges
5.5.6. Equity in Access
5.5.7. Digital Divide Among Healthcare Professionals
5.5.8. Lack of Digital Skills Among Healthcare Professionals
5.5.9. Technological and Infrastructural Constraints
5.5.10. Ethical, Fairness, and Explainability Considerations in AI Deployment
6. Emerging Trends and Future Avenues
6.1. Big Data and Analytics
6.2. AI-Powered Chatbots to Improve Patient Care
6.3. Mental Health and Wellness Platforms
6.4. Integration of 5G and Edge Computing for Real-Time Healthcare Solutions
6.5. Sustainability and Green Healthcare Technology Initiatives
6.6. Integration of NLP for Arabic Healthcare Applications
6.7. Expansion of AI-Driven Diagnostics
6.8. Ethical AI Development and Regulations
6.9. Future-Ready Healthcare Workforce Development
7. Limitations Related to Study Types
8. Conclusions
Supplementary Materials
Funding
Institutional Review Board Statement
Informed Consent Statement
Data Availability Statement
Acknowledgments
Conflicts of Interest
References
- Shiwlani, A.; Khan, M.; Sherani, A.M.K.; Qayyum, M.U.; Hussain, H.K. Revolutionizing Healthcare: The Impact of Artificial Intelligence on Patient Care, Diagnosis, and Treatment. JURIHUM J. Inov. Dan Hum. 2024, 1, 779–790. [Google Scholar]
- Panesar, A. Machine Learning and AI for Healthcare; Springer: Berlin/Heidelberg, Germany, 2019. [Google Scholar]
- Esteva, A.; Robicquet, A.; Ramsundar, B.; Kuleshov, V.; DePristo, M.; Chou, K.; Cui, C.; Corrado, G.; Thrun, S.; Dean, J. A guide to deep learning in healthcare. Nat. Med. 2019, 25, 24–29. [Google Scholar] [CrossRef]
- Rajpurkar, P.; Irvin, J.; Ball, R.L.; Zhu, K.; Yang, B.; Mehta, H.; Duan, T.; Ding, D.; Bagul, A.; Langlotz, C.P.; et al. Deep learning for chest radiograph diagnosis: A retrospective comparison of the CheXNeXt algorithm to practicing radiologists. PLoS Med. 2018, 15, e1002686. [Google Scholar] [CrossRef]
- Garfan, S.; Alamoodi, A.H.; Zaidan, B.; Al-Zobbi, M.; Hamid, R.A.; Alwan, J.K.; Ahmaro, I.Y.; Khalid, E.T.; Jumaah, F.; Albahri, O.S.; et al. Telehealth utilization during the COVID-19 pandemic: A systematic review. Comput. Biol. Med. 2021, 138, 104878. [Google Scholar] [CrossRef] [PubMed]
- Patel, B.V.; Arachchillage, D.J.; Ridge, C.A.; Bianchi, P.; Doyle, J.F.; Garfield, B.; Ledot, S.; Morgan, C.; Passariello, M.; Price, S.; et al. Pulmonary angiopathy in severe COVID-19: Physiologic, imaging, and hematologic observations. Am. J. Respir. Crit. Care Med. 2020, 202, 690–699. [Google Scholar] [CrossRef] [PubMed]
- Qahtani, S.A.; Alghamdi, R.S.; Fallatah, T.I.; Alluqmani, R.M.; Alluqmani, R.M.; Althobaiti, A.S.; Althobaiti, J.F.; Alharthi, E.S.; Alharthi, S.A. Challenges Facing The Saudi Healthcare System In The Future. J. Namib. Stud. Hist. Politics Cult. 2023, 39, 130–142. [Google Scholar]
- Alfaqeeh, G.; Cook, E.J.; Randhawa, G.; Ali, N. Access and utilisation of primary health care services comparing urban and rural areas of Riyadh Providence, Kingdom of Saudi Arabia. BMC Health Serv. Res. 2017, 17, 106. [Google Scholar] [CrossRef]
- Mani, Z.A.; Goniewicz, K. Transforming Healthcare in Saudi Arabia: A Comprehensive Evaluation of Vision 2030’s Impact. Sustainability 2024, 16, 3277. [Google Scholar] [CrossRef]
- Alsari, S.M.; Alzamanan, M.M.M.; Salem, H.A.; Almutyif, Q.H.; Al-Masad, A.M.S.; Alabbas, M.S.; Alfuhayd, G.N.M.; Aldwees, H.S.H.; Al Regheeb, Y.A.M.; Al Musri, D.A.J. The Impact of Vision 2030 on the Healthcare System in Saudi Arabia. J. Int. Crisis Risk Commun. Res. 2024, 6, 58–75. [Google Scholar]
- Almansour, M.M.; Shaman Al-mansour, H.M.; Almansour, F.H.H.; Saleh Al-Yami, H.H.; Henann Almansour, S.H.; Hassin Almansour, M.H.; Saleh AL Hannan, H.H.; Ali Alshaman, F.N.; Almaqbul, M.S. The Role of Health Technology in Improving Healthcare Services in Saudi Arabia. J. Int. Crisis Risk Commun. Res. 2024, 7, 812. [Google Scholar]
- Al-Jehani, N.B.; Hawsawi, Z.A.; Radwan, N.; Farouk, M. Development of artificial intelligence techniques in Saudi Arabia: The impact on COVID-19 pandemic. Literature review. J. Eng. Sci. Technol. 2021, 16, 4530–4547. [Google Scholar]
- Tasnime, B.; Maryam, B. Digital Health Applications and Their Role in Improving the Quality of Health Care Services Study the Experience of Saudi Arabia. 2024. Available online: https://dspace.univ-bba.dz/items/341d2244-dede-4813-8fe5-42114ca5dcbc (accessed on 27 January 2026).
- Kitchenham, B.; Charters, S. Guidelines for Performing Systematic Literature Reviews in Software Engineering; Technical Report, Ver. 2.3 EBSE Technical Report; Durham University: Durham, UK, 2007. [Google Scholar]
- Asif, S.; Wenhui, Y.; ur-Rehman, S.; ul-ain, Q.; Amjad, K.; Yueyang, Y.; Jinhai, S.; Awais, M. Advancements and prospects of machine learning in medical diagnostics: Unveiling the future of diagnostic precision. Arch. Comput. Methods Eng. 2025, 32, 853–883. [Google Scholar] [CrossRef]
- Ansari, M.Y.; Yaqoob, M.; Ishaq, M.; Flushing, E.F.; Mangalote, I.A.C.; Dakua, S.P.; Aboumarzouk, O.; Righetti, R.; Qaraqe, M. A survey of transformers and large language models for ECG diagnosis: Advances, challenges, and future directions. Artif. Intell. Rev. 2025, 58, 261. [Google Scholar] [CrossRef]
- Buess, L.; Keicher, M.; Navab, N.; Maier, A.; Tayebi Arasteh, S. From large language models to multimodal AI: A scoping review on the potential of generative AI in medicine. Biomed. Eng. Lett. 2025, 15, 845–863. [Google Scholar] [CrossRef] [PubMed]
- Mallett, R.; Hagen-Zanker, J.; Slater, R.; Duvendack, M. The benefits and challenges of using systematic reviews in international development research. J. Dev. Eff. 2012, 4, 445–455. [Google Scholar] [CrossRef]
- Kitchenham, B.; Brereton, P. A systematic review of systematic review process research in software engineering. Inf. Softw. Technol. 2013, 55, 2049–2075. [Google Scholar] [CrossRef]
- Papamitsiou, Z.; Economides, A.A. Learning analytics and educational data mining in practice: A systematic literature review of empirical evidence. J. Educ. Technol. Soc. 2014, 17, 49–64. [Google Scholar]
- Muafa, A.M.; Al-Obadi, S.H.; Al-Saleem, N.; Taweili, A.; Al-Amri, A. The impact of artificial intelligence applications on the digital transformation of healthcare delivery in Riyadh, Saudi Arabia (opportunities and challenges in alignment with vision 2030). Acad. J. Res. Sci. Publ. 2024, 5, 61–102. [Google Scholar] [CrossRef]
- Aljerian, N.; Arafat, M.; Aldhubib, A.; Almohaimeed, I.; Alsultan, A.; Alhosaini, A.; Aloqayli, A.; AlRabiah, B.; AlBanyan, S.; Ashry, L.; et al. Artificial Intelligence in Health care and its application in Saudi Arabia. Int. J. Innov. Res. Med. Sci. 2022, 7, 666–670. [Google Scholar] [CrossRef]
- Elnaggar, M.; Alharbi, Z.A.; Alanazi, A.M.; Alsaiari, S.O.; Alhemaidani, A.M.; Alanazi, S.F.; Alanazi, M.M. Assessment of the perception and worries of Saudi healthcare providers about the application of artificial intelligence in Saudi health facilities. Cureus 2023, 15, e42858. [Google Scholar] [CrossRef]
- Hassounah, M.; Raheel, H.; Alhefzi, M. Digital response during the COVID-19 pandemic in Saudi Arabia. J. Med. Internet Res. 2020, 22, e19338. [Google Scholar] [CrossRef]
- Alassaf, N.; Bah, S.; Almulhim, F.; AlDossary, N.; Alqahtani, M. Evaluation of official healthcare informatics applications in Saudi Arabia and their role in addressing COVID-19 pandemic. Healthc. Inform. Res. 2021, 27, 255–263. [Google Scholar] [CrossRef] [PubMed]
- Amin, H.A.; Alanzi, T.M. Utilization of Artificial Intelligence (AI) in Healthcare Decision-Making Processes: Perceptions of Caregivers in Saudi Arabia. Cureus 2024, 16, e67584. [Google Scholar] [CrossRef]
- Qaffas, A.A.; Hoque, R.; Almazmomi, N. The internet of things and big data analytics for chronic disease monitoring in Saudi Arabia. Telemed. E Health 2021, 27, 74–81. [Google Scholar] [CrossRef] [PubMed]
- Alenazi, N.N.T.; Jariri, S.A.; Al-Mutairi, A.-H.K.M.; Al-Maliki, G.S.; Aldosari, N.M.; Abbas, W.M.M.; Hakami, D.Y.A.; Ahmad, F.I.; Alameri, M.M.; Almutairi, A.M. Knowledge, Attitudes and practices Towards Use of Technology in Patient Management among Health Care Staff in Saudi Arabia. J. Int. Crisis Risk Commun. Res. 2024, 7, 745–760. [Google Scholar]
- Hazazi, A.; Wilson, A. Leveraging electronic health records to improve management of noncommunicable diseases at primary healthcare centres in Saudi Arabia: A qualitative study. BMC Fam. Pract. 2021, 22, 106. [Google Scholar] [CrossRef]
- Daghistani, T.; Alshammari, R. Comparison of statistical logistic regression and random forest machine learning techniques in predicting diabetes. J. Adv. Inf. Technol. 2020, 11, 78–83. [Google Scholar] [CrossRef]
- Almeman, A. The digital transformation in pharmacy: Embracing online platforms and the cosmeceutical paradigm shift. J. Health Popul. Nutr. 2024, 43, 60. [Google Scholar] [CrossRef]
- Binkheder, S.; Aldekhyyel, R.N.; AlMogbel, A.; Al-Twairesh, N.; Alhumaid, N.; Aldekhyyel, S.N.; Jamal, A.A. Public perceptions around Mhealth applications during COVID-19 pandemic: A network and sentiment analysis of tweets in Saudi Arabia. Int. J. Environ. Res. Public Health 2021, 18, 13388. [Google Scholar] [CrossRef]
- Ahmad, S.; Khan, S.; AlAjmi, M.F.; Dutta, A.K.; Dang, L.M.; Joshi, G.P.; Moon, H. Deep Learning Enabled Disease Diagnosis for Secure Internet of Medical Things. Comput. Mater. Contin. 2022, 73, 965–979. [Google Scholar] [CrossRef]
- Almalawi, A.; Khan, A.I.; Alsolami, F.; Abushark, Y.B.; Alfakeeh, A.S. Managing security of healthcare data for a modern healthcare system. Sensors 2023, 23, 3612. [Google Scholar] [CrossRef]
- Mengash, H.A.; Alharbi, L.A.; Alotaibi, S.S.; AlMuhaideb, S.; Nemri, N.; Alnfiai, M.M.; Marzouk, R.; Salama, A.S.; Duhayyim, M. Deep learning enabled intelligent healthcare management system in smart cities environment. Comput. Mater. Contin. 2023, 74, 4483–4500. [Google Scholar] [CrossRef]
- Alruwaili, F.F. Artificial intelligence and multi agent based distributed ledger system for better privacy and security of electronic healthcare records. PeerJ Comput. Sci. 2020, 6, e323. [Google Scholar] [CrossRef]
- Alkhalifah, J.M.; Seddiq, W.; Alshehri, B.F.; Alhaluli, A.H.; Alessa, M.M.; Alsulais, N.M. The role of the COVID-19 pandemic in expediting digital health-care transformation: Saudi Arabia’s experience. Inform. Med. Unlocked 2022, 33, 101097. [Google Scholar] [CrossRef]
- Rathee, G.; Garg, S.; Kaddoum, G.; Alzanin, S.M.; Hassan, M.M. Enhanced healthcare using generative AI for disabled people in Saudi Arabia. Alex. Eng. J. 2025, 124, 265–272. [Google Scholar] [CrossRef]
- Keesara, S.; Jonas, A.; Schulman, K. COVID-19 and health care’s digital revolution. N. Engl. J. Med. 2020, 382, e82. [Google Scholar] [CrossRef] [PubMed]
- Dorsey, E.R.; Topol, E.J. Telemedicine 2020 and the next decade. Lancet 2020, 395, 859. [Google Scholar] [CrossRef] [PubMed]
- Smith, A.C.; Thomas, E.; Snoswell, C.L.; Haydon, H.; Mehrotra, A.; Clemensen, J.; Caffery, L.J. Telehealth for global emergencies: Implications for coronavirus disease 2019 (COVID-19). J. Telemed. Telecare 2020, 26, 309–313. [Google Scholar] [CrossRef] [PubMed]
- Abbasi, N. Artificial Intelligence in Remote Monitoring and Telemedicine. J. Artif. Intell. Gen. Sci. (JAIGS) 2024, 1, 258–272. [Google Scholar] [CrossRef]
- Noor, A. The utilization of e-health in the Kingdom of Saudi Arabia. Int. Res. J. Eng. Technol. 2019, 6, 11. [Google Scholar]
- Alshammari, M.H. Adoption of unified electronic health record in Saudi Arabia: The residents perspective. Int. J. Adv. Appl. Sci. 2021, 8, 14–19. [Google Scholar] [CrossRef]
- Kruse, C.S.; Kothman, K.; Anerobi, K.; Abanaka, L. Adoption factors of the electronic health record: A systematic review. JMIR Med. Inform. 2016, 4, e5525. [Google Scholar] [CrossRef]
- Evans, R.S. Electronic health records: Then, now, and in the future. Yearb. Med. Inform. 2016, 25, S48–S61. [Google Scholar] [CrossRef] [PubMed]
- Buntin, M.B.; Burke, M.F.; Hoaglin, M.C.; Blumenthal, D. The benefits of health information technology: A review of the recent literature shows predominantly positive results. Health Aff. 2011, 30, 464–471. [Google Scholar] [CrossRef] [PubMed]
- Mosa, A.S.M.; Yoo, I.; Sheets, L. A systematic review of healthcare applications for smartphones. BMC Med. Inform. Decis. Mak. 2012, 12, 67. [Google Scholar] [CrossRef]
- Kakarla, N.V.R.; Bandaru, V.N.R.; Muddurthi, C.M.; Nulu, L.K.; Bonam, J.V.S. Medizin: Revolutionizing Healthcare Management with Integrated Appointment Scheduling, Medication Tracking, and Real-Time Patient Engagement. Int. J. Sci. Eng. Sci. 2024, 8, 11–14. [Google Scholar]
- Kay, M.; Santos, J.; Takane, M. mHealth: New horizons for health through mobile technologies. World Health Organ. 2011, 64, 66–71. [Google Scholar]
- Free, C.; Phillips, G.; Watson, L.; Galli, L.; Felix, L.; Edwards, P.; Patel, V.; Haines, A. The effectiveness of mobile-health technologies to improve health care service delivery processes: A systematic review and meta-analysis. PLoS Med. 2013, 10, e1001363. [Google Scholar] [CrossRef]
- Alhalafi, N.; Veeraraghavan, P. Cybersecurity policy framework in Saudi Arabia: Literature review. Front. Comput. Sci. 2021, 3, 736874. [Google Scholar] [CrossRef]
- Patel, M.S.; Asch, D.A.; Volpp, K.G. Wearable devices as facilitators, not drivers, of health behavior change. JAMA 2015, 313, 459–460. [Google Scholar] [CrossRef]
- Khan, A.; Alahmari, A.; Almuzaini, Y.; Alturki, N.; Aburas, A.; Alamri, F.A.; Albagami, M.; Alzaid, M.; Alharbi, T.; Alomar, R.; et al. The role of digital technology in responding to COVID-19 pandemic: Saudi Arabia’s experience. Risk Manag. Healthc. Policy 2021, 14, 3923–3934. [Google Scholar] [CrossRef]
- Shameer, K.; Badgeley, M.A.; Miotto, R.; Glicksberg, B.S.; Morgan, J.W.; Dudley, J.T. Translational bioinformatics in the era of real-time biomedical, health care and wellness data streams. Brief. Bioinform. 2017, 18, 105–124. [Google Scholar]
- Topol, E.J. High-performance medicine: The convergence of human and artificial intelligence. Nat. Med. 2019, 25, 44–56. [Google Scholar] [CrossRef]
- Rajkomar, A.; Dean, J.; Kohane, I. Machine learning in medicine. N. Engl. J. Med. 2019, 380, 1347–1358. [Google Scholar] [CrossRef]
- Yuehong, Y.; Zeng, Y.; Chen, X.; Fan, Y. The internet of things in healthcare: An overview. J. Ind. Inf. Integr. 2016, 1, 3–13. [Google Scholar] [CrossRef]
- Habib, G.; Sharma, S.; Ibrahim, S.; Ahmad, I.; Qureshi, S.; Ishfaq, M. Blockchain technology: Benefits, challenges, applications, and integration of blockchain technology with cloud computing. Future Internet 2022, 14, 341. [Google Scholar] [CrossRef]
- Rajabion, L.; Shaltooki, A.A.; Taghikhah, M.; Ghasemi, A.; Badfar, A. Healthcare big data processing mechanisms: The role of cloud computing. Int. J. Inf. Manag. 2019, 49, 271–289. [Google Scholar] [CrossRef]
- Saeed, A.; Saeed, A.B.; AlAhmri, F.A. Saudi Arabia health systems: Challenging and future transformations with artificial intelligence. Cureus 2023, 15, e37826. [Google Scholar] [CrossRef]
- Mustafa, A.M.A.; Elmdni, A.A.E.; Eltaher, N.S.Y.; Yousef, H.H.A.; Mohammed, I.H.A.; Farg, S.J.A.; Abdalla, A.A.A.; Elhussain, M.Y.O.; Mousa, S.A.; Ali, M.A.A. Optimizing Neonatal Outcomes Implementing Best Practices and Technological Innovations at Sabia General Hospital–A Quasi-Experimental Study 2024. Afr. J. Biomed. Res. 2024, 28, 131–137. [Google Scholar] [CrossRef]
- Vallée, A.; Arutkin, M. The transformative power of virtual hospitals for revolutionising healthcare delivery. Public Health Rev. 2024, 45, 1606371. [Google Scholar] [CrossRef] [PubMed]
- Bhambri, P.; Khang, A. Managing and Monitoring Patient’s Healthcare Using AI and IoT Technologies. In Driving Smart Medical Diagnosis Through AI-Powered Technologies and Applications; IGI Global: Hershey, PA, USA, 2024; pp. 1–23. [Google Scholar]
- Siva, S.R.; Sudha, K.; Pooja, E.; Maheswari, B.; Girija, P. Revolutionizing Healthcare Delivery: Applications and Impact of Cutting-Edge Technologies. In AI and IoT Technology and Applications for Smart Healthcare Systems; Auerbach Publications: New York, NY, USA, 2024; pp. 75–91. [Google Scholar]
- Alomari, A.S.; Alomari, A.S.S.; Alsuhaymi, A.M.; Alghamdi, A.M.A.; Alomari, A.S.A.; Al Zahrani, M.M.A.; Alzhrani, K.S.M.; Alomari, A.S.M. Advancement of Telehealth Services in Saudi Arabia: A Comprehensive Review. J. Int. Crisis Risk Commun. Res. 2024, 7, 855–863. [Google Scholar]
- Ibrahim, A.M.; Alenezi, I.N.; Mahfouz, A.K.H.; Mohamed, I.A.; Shahin, M.A.; Abdelhalim, E.H.N.; Mohammed, L.Z.G.; Abd-Elhady, T.R.M.; Salama, R.S.; Kamel, A.M.; et al. Examining patient safety protocols amidst the rise of digital health and telemedicine: Nurses’ perspectives. BMC Nurs. 2024, 23, 931. [Google Scholar] [CrossRef] [PubMed]
- Alhur, A. Overcoming electronic medical records adoption challenges in Saudi Arabia. Cureus 2024, 16, e53827. [Google Scholar] [CrossRef] [PubMed]
- Page, M.J.; McKenzie, J.E.; Bossuyt, P.M.; Boutron, I.; Hoffmann, T.C.; Mulrow, C.D.; Shamseer, L.; Tetzlaff, J.M.; Akl, E.A.; Brennan, S.E.; et al. The PRISMA 2020 statement: An updated guideline for reporting systematic reviews. BMJ 2021, 372, n71. [Google Scholar] [CrossRef] [PubMed]




| Inclusion Criteria (ICC) | |
| ICC1 | Studies that focused on the application of or suggested relevant AI and digital technologies in healthcare environments in Saudi Arabia. |
| ICC2 | Peer-reviewed papers and book chapters were included to maintain the quality. |
| ICC3 | The application or deployment of AI and digital technology must focus on the healthcare domain. |
| ICC4 | Only the primary study is considered in this study. |
| ICC5 | Only publications in the English language were included. |
| ICC6 | Papers published from 2020 to 2025. |
| ICC7 | The study that focused on the application of artificial intelligence techniques within the healthcare domain, specifically related to clinical diagnosis, patient management, clinical decision support, or drug discovery. |
| Exclusion Criteria (ECC) | |
| ECC1 | Studies that have no bearing on AI and digital technologies in healthcare environments dwelt on the Saudi Arabian healthcare system. |
| ECC2 | Non-published works (journal articles, conference papers, and book chapters) to enhance the quality of the selected papers. |
| ECC3 | The application or deployment of AI and digital technology that did not focus on the healthcare domain |
| ECC4 | Non-recent publications, duplicated articles, and other language publications. |
| ECC5 | Non-primary research papers. |
| ECC6 | Papers produced before the year 2020. |
| ECC7 | The study that only focused primarily on public health surveillance, population-level epidemiology, or health policy analysis without a direct clinical or patient-level AI application. |
| Source | Initial Query | Duplicate Removal | Title and Abstract | Full Text Reading | ICC/ECC | Final Selection |
|---|---|---|---|---|---|---|
| PubMed | 201 | 115 | 50 | 39 | 20 | 05 |
| MDPI | 199 | 119 | 60 | 37 | 17 | 03 |
| Science Direct | 129 | 117 | 49 | 32 | 06 | 02 |
| Springer | 163 | 111 | 51 | 35 | 09 | 03 |
| EBSCO | 20 | 15 | 07 | 05 | 01 | 01 |
| Google Scholar | 151 | 112 | 56 | 16 | 13 | 07 |
| Total Qty | 863 | 589 | 274 | 164 | 66 | 21 |
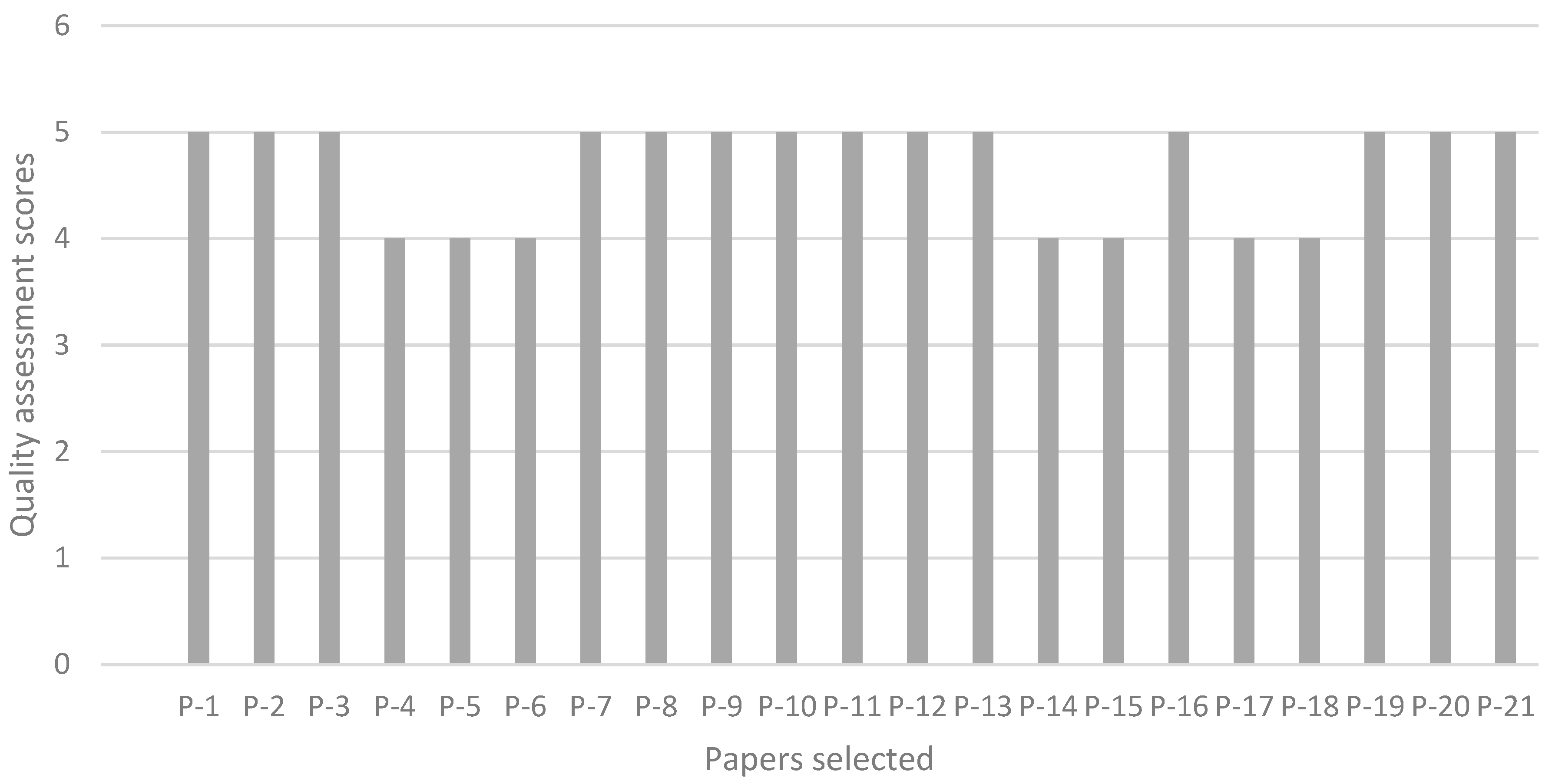
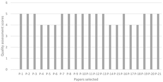
| S/N | QA Criteria |
|---|---|
| QA1 | Clarity of research objectives. |
| QA2 | Transparency of methodology. |
| QA3 | Relevance of findings to the research questions. |
| QA4 | Depth of analysis provided. |
| QA5 | Detailed specification of AI or Digital Tech used in the selected article. |
| QA1 | QA2 | QA3 | QA4 | QA5 | Total Score | |
|---|---|---|---|---|---|---|
| P-1 | ✓ | ✓ | ✓ | ✓ | ✓ | 5 |
| P-2 | ✓ | ✓ | ✓ | ✓ | ✓ | 5 |
| P-3 | ✓ | ✓ | ✓ | ✓ | ✓ | 5 |
| P-4 | ✓ | × | ✓ | ✓ | ✓ | 4 |
| P-5 | ✓ | ✓ | ✓ | × | ✓ | 4 |
| P-6 | ✓ | × | ✓ | ✓ | ✓ | 4 |
| P-7 | ✓ | ✓ | ✓ | ✓ | ✓ | 5 |
| P-8 | ✓ | ✓ | ✓ | ✓ | ✓ | 5 |
| P-9 | ✓ | ✓ | ✓ | ✓ | ✓ | 5 |
| P-10 | ✓ | ✓ | ✓ | ✓ | ✓ | 5 |
| P-11 | ✓ | ✓ | ✓ | ✓ | ✓ | 5 |
| P-12 | ✓ | ✓ | ✓ | ✓ | ✓ | 5 |
| P-13 | ✓ | ✓ | ✓ | ✓ | ✓ | 5 |
| P-14 | ✓ | ✓ | × | ✓ | ✓ | 4 |
| P-15 | ✓ | ✓ | ✓ | ✓ | × | 4 |
| P-16 | ✓ | ✓ | ✓ | ✓ | ✓ | 5 |
| P-17 | ✓ | × | ✓ | ✓ | ✓ | 4 |
| P-18 | ✓ | ✓ | ✓ | ✓ | × | 4 |
| P-19 | ✓ | ✓ | ✓ | ✓ | ✓ | 5 |
| P-20 | ✓ | ✓ | ✓ | ✓ | ✓ | 5 |
| P-21 | ✓ | ✓ | ✓ | ✓ | ✓ | 5 |
| S/N | Classification | Explanation |
|---|---|---|
| 1 | Paper ID | A distinct code is assigned to every paper |
| 2 | References | Author(s) details and publication year |
| 3 | Objective | The purpose of the study |
| 4 | AI and digital technology applications | AI and digital technologies are integrated with the Saudi healthcare sector. |
| 5 | Strategies and policies | Strategies and policies implementation to promote sustainable integration |
| 6 | Findings | Findings obtained from each of the selected primary studies |
| 7 | Barriers and challenges | Barriers and challenges in the deployment of AI and digital technologies in Saudi healthcare |
| 8 | Source | The database is used to retrieve papers |
| Paper-Id | Authors | Objectives | AI and Digital Technologies Applications | Strategies and Policies Implementation to Promote Sustainable Integration | Findings | Challenges and Barriers in Adopting ai and Digital Tech | Source |
|---|---|---|---|---|---|---|---|
| P-1 | [21] | Assess AI in Riyadh healthcare, identify Vision 2030 opportunities, and examine integration challenges. | AI and machine learning | Staff development and capacity building initiatives, public-private partnership program | 60% male, 40% female; 47% MD/PhD; 65% low AI adoption; 53% see AI’s role in Vision 2030. | Privacy/security issues, Lack of digital skills among healthcare professionals. | Google scholars |
| P-2 | [22] | Examine AI potential in Saudi healthcare, and explore drawbacks and role in national health transformation. | Telemedicine, mobile health apps, electronic health records, and AI-powered COVID-19 detection | Saudi Data and Artificial Intelligence Authority (SDAIA), National Healthcare Command and Control Center (NHCCC). | AI shows success in diagnostic radiology, personalized healthcare, and COVID-19 management. Saudi Arabia launched 19 health apps/platforms, established SDAIA and NHCC | Lack of institutional resources, inadequate healthcare worker training, need for better infrastructure. | Google scholars |
| P-3 | [11] | Examine health technology’s role in Saudi healthcare modernization aligned with Vision 2030 | Telemedicine, EHR, mobile health apps, AI diagnostics, VR training, e-learning platforms | Healthcare professional training and capacity building initiatives | Technology improving healthcare access, enabling personalized care, enhancing training, streamlining processes | Infrastructure limitations, workforce training needs, data security risks, AI bias concerns | EBSCO |
| P-4 | [23] | Assess Saudi healthcare providers’ perceptions and concerns about AI in healthcare facilities. | Mobile health applications, machine learning, deep learning | Integration of the AI course into medical training. Collaboration with other medical schools with engineering and computer science faculties. | 55.2% good AI knowledge, 73.3% fear job replacement, 84.9% support AI in medical curricula | Healthcare providers’ concerns about job displacement, and the need for better AI education integration. | PubMed |
| P-5 | [24] | Describe how Saudi Arabia has employed digital technology in the areas of risk communication, education, telecommunication, public health, and healthcare services during the COVID-19 pandemic. | Mobile Health Application | Public private partnership collaboration. | About 19 apps and platforms that support public health initiatives and offer medical services were created and released by Saudi Arabia’s governmental and commercial sectors. | Failure to evaluate the listed apps and user experience. | PubMed |
| P-6 | [25] | Investigate success indicators for cloud computing adoption in Saudi healthcare. | Cloud computing | SDAIA | Attitudes towards technology, data security, compliance, and reliability are key to cloud adoption. | Low adoption rate due to concerns over data privacy, control, and the need for policy formation. | Science Direct |
| P-7 | [26] | Investigate AI utilization in healthcare decision-making by caregivers in Saudi Arabia. | AI algorithms in decision-making, diagnostics, and personalized medicine. | Targeted intervention and training program among caregiver, Collaboration. | 75% of caregivers use AI in decision-making, with significant use among nurses. AI’s adoption varies by demographic factors. | Challenges in AI adoption due to demographic variations and the need for targeted interventions to maximize AI benefits. | PubMed |
| P-8 | [10] | Assess Vision 2030’s impact on healthcare reforms in Saudi Arabia. | Telemedicine, EHRs, and data analytics. | Private public partnership, Healthcare professional training | Vision 2030 enhances preventive care, public health education, and patient-centered approaches. | Cultural resistance to preventive care. Balancing public-private roles. Workforce and legislative gaps. Limited digital infrastructure. | Google scholar |
| P-9 | [27] | To design and test an IoT and big data–based system for hypertension prediction and detection in Saudi Arabia to improve early chronic illness diagnosis and support Vision 2030 healthcare goals. | IoT and Big Data driven ML system for chronic disease (hypertension) prediction/monitoring in Saudi Arabia | Custom-made smart wristbands, custom-made smart clothing, and custom-made smart homes | Age and diabetes are the most significant determinants of hypertension. The SVM surpassed C4.5. The framework illustrates the potential of IoT and big data analytics for the early diagnosis of chronic diseases in accordance with Vision 2030 of Saudi Arabia. | Limited sample size and brief training time.
| PubMed |
| P-10 | [28] | Evaluate knowledge, attitudes, and practices of Saudi healthcare staff on technology use in patient management. | EHRs, telemedicine, and integrated healthcare systems. | Elaborate training interventions for each healthcare role, approaches to managing resistance to change, and information on protection of data. | Positive attitudes toward technology but gaps in training, knowledge, and integration hinder effective use. | Resistance to change, inadequate training, data privacy concerns, and varying proficiency among staff. | Google scholars |
| P-11 | [29] | To explore the perspective of physicians on the current scope and content of non-communicable disease (NCD) management at primary healthcare centers (PHCs) in Saudi Arabia | EHRs | Collaboration between medical professionals and nutritionists, Medical professional training on the use of EHRs. | Significant gaps include the absence of a patient portal, limited access for patients to their health data, and challenges in interconnectivity between healthcare sectors. | Fragmented digital tools require physicians to use multiple platforms, increasing their workload. | Springer |
| P-12 | [30] | To compare Random Forest machine learning algorithm and Logistic Regression algorithm towards the prediction of diabetes | Early prediction of Type 2 Diabetes | Deployment of machine learning technique for Diabetics prediction. | Random Forest far surpassed Logistic Regression on all criteria; AUROC 0.944 compared to 0.708. Exhibits the advantages of machine learning over conventional statistics in identifying diabetes risk. |
| PubMed |
| P-13 | [9] | To define the career pathway for eHealth professions in the Middle East and identify challenges in aligning academic curricula with industry needs. | EHRS, Telemedicine, AI | Healthcare workforce development, private public partner. | Career pathways for eHealth professionals were defined, but challenges exist in hybrid skill requirements, curriculum standardization, and local training programs. | A mismatch between academic training and industry needs, a lack of standardized curricula, and limited local training opportunities. | MDPI |
| P-14 | [31] | To explore digital transformation in the pharmacy sector, focusing on AI, blockchain, and online platforms. | AI, blockchain, online platform. | Collaborative effort among healthcare professionals. | Digital transformation is reshaping pharmacy services, with a projected market growth. | Regulatory challenges in ensuring safety and quality standards. | Springer |
| P-15 | [32] | To examine public perceptions around the use of six Saudi mHealth apps used during COVID-19 using Twitter | M-Health apps, Machine learning (NLP) | Adoption of social media platform (Twitter) for official communication during the pandemics | Most conversations were neutral, reflecting public inquiries and information-sharing | Limited digital literacy and familiarity with mHealth apps and Overlapping app functionalities led to user confusion. | MDPI |
| P-16 | [33] | Develop a privacy-preserving and DL-based diagnostic methodology for the Internet of Medical Things (IoMT) | Cloud computing and IoT adoption in healthcare. | ElGamal public key cryptosystem with Rat Swarm Optimizer (EIG-RSO) employed for secure data transmission. | Efficient in decreasing computation overhead and improving diagnostic accuracy | Significant computational demands for implementing deep learning models on Internet of Medical Things devices with constrained resources | Springer |
| P-17 | [34] | To develop an efficient encryption algorithm for safeguarding patient data in cloud-based healthcare systems | Private key encryption technique | Lionized remora optimization-based serpent (LRO-S) employed for sensitive data encryption. | The proposed framework significantly reduced encryption and decryption times compared to existing methods. | Complexity in implementing hybrid algorithms across diverse healthcare systems | MDPI |
| P-18 | [35] | To develop an Artificial Intelligence-enabled Decision Support System for Cardiovascular Disease (CVD) detection and classification in smart city e-healthcare environments | Cloud computing for data storage and analysis | Artificial Intelligence Enabled Decision Support System for CVD Disease Detection and Classification (AIDSS-CDDC) for effectual detection of CVD | The proposed approach has shown exceptional performance accuracy (reaching 98.35%) and efficiency in identifying and categorizing cardiovascular disease (CVD). | Improving the precision of non-invasive diagnostic methods while reconciling data privacy issues with efficient data application. | Google Scholar |
| P-19 | [36] | To enhance privacy and security in Electronic Health Records (EHR) utilizing AI and multi-agent systems integrated with Distributed Ledger Technology (DLT) | AI and Blockchain technology ensures decentralization, immutability, and secure handling of EHR data. | Data privacy | The incorporation of AI-driven intelligent agents and blockchain technology substantially enhances the security and confidentiality of electronic health record systems. | Challenges with integrating and scaling the incorporation of artificial intelligence, multi-agent systems, and blockchain within existing electronic health record infrastructure | PubMed |
| P-20 | [37] | To evaluate the development and significance of telehealth and e-health as depicted in various informatics. mobile applications during the COVID-19 pandemic in Saudi Arabia | Telemedicine and mobile health applications. | Telemedicine is the most effective strategy for the COVID-19 pandemic. Data privacy and informed consent. | Findings show that telemedicine remains the most effective solution to pandemics like COVID-19. | The overall awareness and interest in telemedicine after the end of the COVID-19 pandemic remains a challenge. | Science Direct |
| P-21 | [38] | To develop AI-powered healthcare framework that integrates Generative Artificial Intelligence (GAI), Reinforcement Learning from Human Feedback (RLHF), and the Analytic Network Process (ANP). RLHF enables AI models to learn and adapt based on real-time user feedback | GAI, RLHF, and ANP | Hybrid Generative-AI framework: Reinforcement Learning from Human Feedback (RLHF) + Analytic Network Process (ANP) based on a pre-trained language model and a reward model | RLHF + ANP algorithm attains 98.8% accuracy with significantly reduced latency (0.05 ms) and overhead compared to CNN, LSTM, RNN, and vanilla GAI; delivers quicker, more personalized, customer-focused services associated with Vision 2030. | Noise present in raw data; requirement for real-time adaptability and security; limited availability of previous Saudi datasets; sophistication involved in integrating RLHF with ANP | Science Direct |
| S/N | AI and Digital Tech | References | Frequency | Evidence They Provide |
|---|---|---|---|---|
| 1 | Telemedicine | P-2, P-3, P-8, P-10, P-13, P-20 | 6 | Implementation |
| 2 | Electronic Health Records (EHRs) | P-2, P-3, P-8, P-10, P-11, P-13, P-19 | 7 | Implementation |
| 3 | Mobile health applications and wearable devices | P-2, P-3, P-5, P-9, P-15, P-20 | 6 | Implementation |
| 4 | Data analytics and Machine Learning | P-1, P-4, P-7, P-12, P-18, P-21 | 6 | Model performance/Implementation |
| 5 | Internet of Things (IoT) | P-9, P-16, P-18 | 3 | Model performance |
| 6 | Blockchain technology | P-14, P-19 | 2 | Implementation |
| 7 | Online platforms | P-5, P-14, P-20 | 3 | Implementation |
| 8 | Cloud computing | P-6, P-16, P-18 | 3 | Implementation |
| 9 | Encryption algorithms | P-17, P-19 | 2 | Model performance |
Disclaimer/Publisher’s Note: The statements, opinions and data contained in all publications are solely those of the individual author(s) and contributor(s) and not of MDPI and/or the editor(s). MDPI and/or the editor(s) disclaim responsibility for any injury to people or property resulting from any ideas, methods, instructions or products referred to in the content. |
© 2026 by the author. Licensee MDPI, Basel, Switzerland. This article is an open access article distributed under the terms and conditions of the Creative Commons Attribution (CC BY) license.
Share and Cite
Alsehani, F.N. Harnessing Artificial Intelligence and Digital Technologies for Sustainable Healthcare Delivery in Saudi Arabia: A Comprehensive Review, Issues, and Future Perspectives. Sustainability 2026, 18, 1461. https://doi.org/10.3390/su18031461
Alsehani FN. Harnessing Artificial Intelligence and Digital Technologies for Sustainable Healthcare Delivery in Saudi Arabia: A Comprehensive Review, Issues, and Future Perspectives. Sustainability. 2026; 18(3):1461. https://doi.org/10.3390/su18031461
Chicago/Turabian StyleAlsehani, Fayez Nahedh. 2026. "Harnessing Artificial Intelligence and Digital Technologies for Sustainable Healthcare Delivery in Saudi Arabia: A Comprehensive Review, Issues, and Future Perspectives" Sustainability 18, no. 3: 1461. https://doi.org/10.3390/su18031461
APA StyleAlsehani, F. N. (2026). Harnessing Artificial Intelligence and Digital Technologies for Sustainable Healthcare Delivery in Saudi Arabia: A Comprehensive Review, Issues, and Future Perspectives. Sustainability, 18(3), 1461. https://doi.org/10.3390/su18031461

