Energy, Exergy, and Environmental Analysis of Organic Rankine Cycle Systems for Industrial Waste Heat Recovery Applications
Abstract
1. Introduction
- Waste heat recovery in an aluminum production plant for electricity generation, representing a high-temperature, continuous industrial process.
- Recovery of exhaust heat from two marine engines (MAN S60-MC6 and Wärtsilä 46DF) for CHP production, characterized by distinct thermal profiles and operational constraints.
2. Methodology
2.1. Waste Heat Recovery Cycle: ORC-Based Operation
- Heating (Isobaric transformation) (4 → 1): the working fluid is pumped to high pressure and heated at constant pressure within the evaporator until it becomes vapor, using an external heat source such as industrial waste heat or other thermal waste.
- Expansion (Isentropic transformation) (1 → 2): the high-pressure vapor expands isentropically within the turbine, converting thermal energy into mechanical work, which is then used to generate electricity through a coupled generator.
- Condensation (Isobaric transformation) (2 → 3): the expanded vapor is directed into the condenser, where it condenses at constant pressure. The rejected heat is either dissipated to a cold sink (e.g., cooling water) or recovered for secondary thermal applications such as heating or preheating.
- Pumping (Isentropic transformation) (3 → 4): the condensed fluid is pressurized and returned to the evaporator at high pressure. During this step, the fluid’s enthalpy increases without a significant change in entropy, completing the closed thermodynamic cycle.
2.2. Calculation Assumptions
2.3. Analytical Approaches
2.4. Thermodynamic Modeling
| Designation | Balance Equation | Description | |
|---|---|---|---|
| Heat supplied to the evaporator | (1) | ||
| Heat rejected by condenser | (2) | ||
| Pump power consumption | (3) | ||
| Turbine power output | (4) | ||
| ) | Cooling water circulation | (5) | |
| Net cycle power | (6) | ||
| Electrical power generated | (7) |
2.4.1. Energy and Exergy Efficiencies
2.4.2. Cogeneration Mode (CHP Integration)
2.5. Numerical Simulation Tool
3. Results and Discussion
3.1. Waste Heat Recovery for Power Generation
3.1.1. Case Study Description—Aluminium Plant
3.1.2. Model Validation
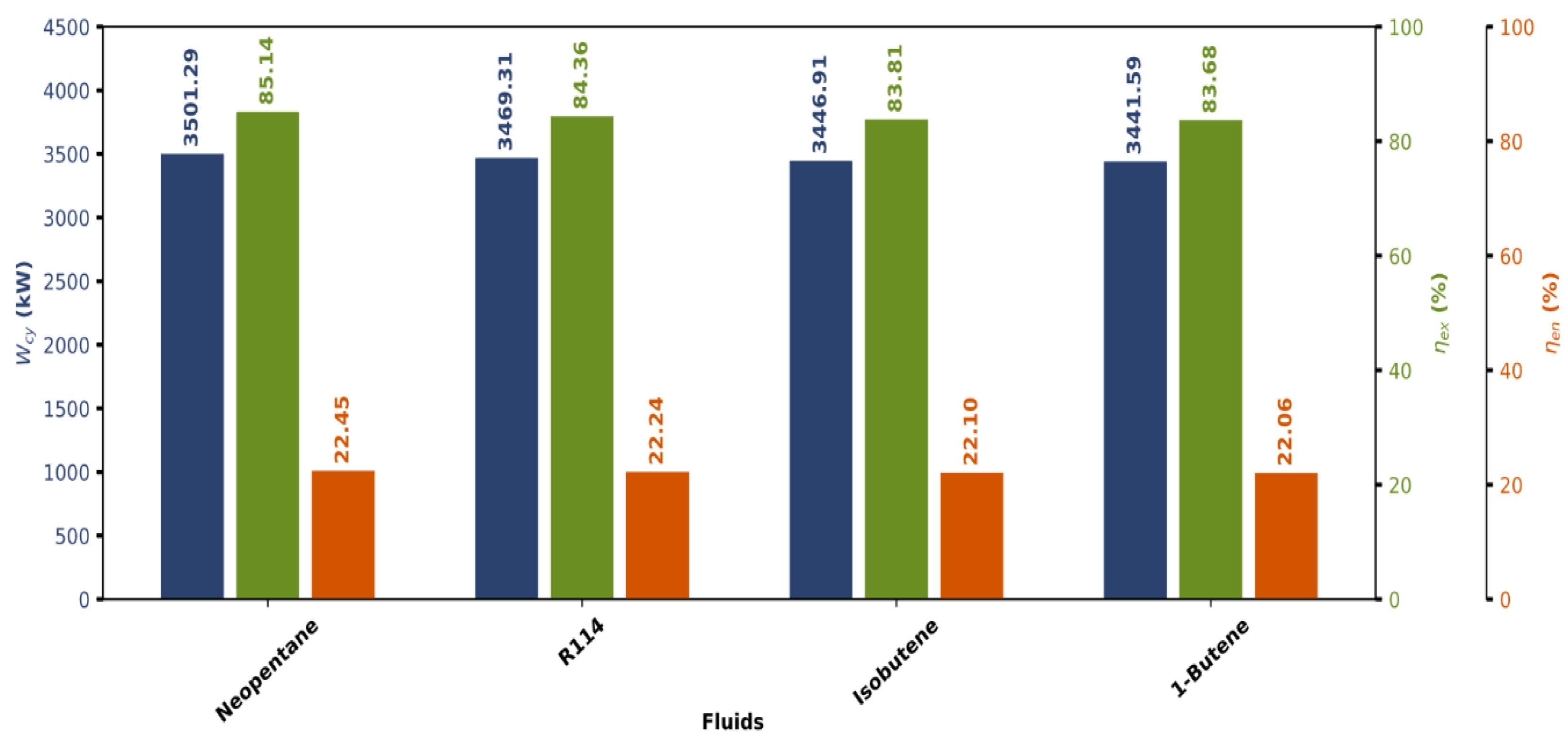
3.1.3. 3E Performance Evaluation for Different Working Fluids
- Net cycle power (Wcy);
- Energy efficiency ();
- Exergy efficiency ().
3.2. Waste Heat Recovery for Combined Heat and Power (CHP)
3.2.1. Case Study Description—Combustion Engines
3.2.2. Performance Analysis
- Man S60-MC6 Engine
- Wärtsilä 46DF engine
4. Conclusions
Author Contributions
Funding
Institutional Review Board Statement
Informed Consent Statement
Data Availability Statement
Conflicts of Interest
Abbreviations
| 3E | Energy, Exergy, and Environmental |
| ADEME | French Agency for Ecological Transition |
| CHP | Combined Heat and Power |
| CS | Cold Stream |
| GWP | Global Warming Potential |
| HS | Hot Stream |
| HT | High Temperature |
| IEA | International Energy Agency |
| LHV | Lower Heating Value |
| ODP | Ozone Depletion Potential |
| ORC | Organic Rankine Cycle |
| T-S | Temperature-Entropy diagram |
| VHT | Very High Temperature |
References
- International Energy Agency (IEA). Growth in Global Energy Demand Surged in 2024 to Almost Twice Its Recent Average. 2025. Available online: https://www.iea.org/news/growth-in-global-energy-demand-surged-in-2024 (accessed on 15 September 2025).
- Farhat, O.; Faraj, J.; Hachem, F.; Castelain, C.; Khaled, M. A recent review on waste heat recovery methodologies and applications: Comprehensive review, critical analysis and potential recommendations. Clean. Eng. Technol. 2022, 6, 100387. [Google Scholar] [CrossRef]
- ADEME (Agence de la Transition Écologique). Chaleur Fatale Industrielle—Potentiel et Enjeux Pour la Transition Énergétique. 2023. Available online: https://librairie.ademe.fr/energies/2312-chaleur-fatale-9791029708954.html (accessed on 15 September 2025).
- Xiao, D.; Sun, P.; Wu, J.; Zhang, Y.; Wu, J.; Liu, G.; Hu, H.; Hu, J.; Tan, X.; He, S.; et al. Thermoelectric generator design and characterization for industrial pipe waste heat recovery. Processes 2023, 11, 1714. [Google Scholar] [CrossRef]
- Ren, L.; Wang, H. Optimization and comparison of two combined cycles consisting of CO2 and organic trans-critical cycle for waste heat recovery. Energies 2020, 13, 724. [Google Scholar] [CrossRef]
- Feng, J.; Zhang, Y.; Liu, Q.; Wang, S. Energy, exergy, and economic performance comparison and parametric optimization of organic Rankine cycles using isobutane, isopentane, and their mixtures for waste heat recovery. Energies 2024, 17, 5893. [Google Scholar] [CrossRef]
- Banijamali, S.M.; Ilinca, A.; Afrouzi, A.A.; Rousse, D.R. Optimizing hydrogen liquefaction efficiency through waste heat recovery: A comparative study of three process configurations. Processes 2025, 13, 1349. [Google Scholar] [CrossRef]
- Ionita, C.; Bucsa, S.; Serban, A.; Dobre, C.; Dobrovicescu, A. The use of organic Rankine cycles for recovering the heat lost in the compression area of a cryogenic air separation unit. Entropy 2022, 24, 748. [Google Scholar] [CrossRef]
- Aresti, L.; Panayiotou, G. Applications and New Technologies Pertaining to Waste Heat Recovery: A Vision Article. Energies 2025, 18, 2086. [Google Scholar] [CrossRef]
- He, M.; Zhou, P.; Zhao, X.; Wang, T. Completion of Waste Heat Recovery and CO2 Conversion Simultaneously Based on the Flue Gas Chemical Recuperative Cycle: A Review. Energies 2025, 18, 232. [Google Scholar] [CrossRef]
- Zhao, H.; Wang, X.; Li, D.; Chen, Y.; Zhou, Z. Techno-economic assessment of waste heat recovery technologies for the food processing industry. Energies 2020, 13, 6446. [Google Scholar] [CrossRef]
- Corigliano, O.; Morrone, P.; Algieri, A. Navigating the challenges of sustainability in the food processing chain: Insights into energy interventions to reduce footprint. Energies 2025, 18, 296. [Google Scholar] [CrossRef]
- Luo, Y.; Zhang, Y.; Li, H.; Chen, Z.; Wang, J. A framework for recovering waste heat energy from food processing effluent. Water 2022, 15, 12. [Google Scholar] [CrossRef]
- Pakere, I.; Goncarovs, K.; Grāvelsins, A.; Zirne, M.A. Dynamic modelling of data center waste heat potential integration in district heating in Latvia. Energies 2024, 17, 445. [Google Scholar] [CrossRef]
- Zhou, C.; Hu, Y.; Liu, R.; Liu, Y.; Wang, M.; Luo, H.; Tian, Z. Energy performance study of a data center combined cooling system integrated with heat storage and waste heat recovery system. Buildings 2025, 15, 326. [Google Scholar] [CrossRef]
- Zhang, L.; Zhao, Z.; Chen, B.; Zhao, M.; Chen, Y. Zero-carbon development in data centers using waste heat recovery technology: A systematic review. Sustainability 2025, 17, 10101. [Google Scholar] [CrossRef]
- Reale, F.; Calabria, R.; Massoli, P. Performance Analysis of WHR Systems for Marine Applications Based on sCO2 Gas Turbine and ORC. Energies 2023, 16, 4320. [Google Scholar] [CrossRef]
- Miller, T.; Durlik, I.; Kostecka, E.; Kozlovska, P.; Jakubowski, A.; Łobodzińska, A. Waste heat utilization in marine energy systems for enhanced efficiency. Energies 2024, 17, 5653. [Google Scholar] [CrossRef]
- Feng, J.; Gu, Y.; Han, S.; Zhao, X.; Tang, Y.; Zhu, S.; Yuan, H.; Wang, G. Design of Organic Rankine Cycle Recovering Multi-Grade Waste Heat from a Two-Stroke Marine Engine. J. Mar. Sci. Eng. 2025, 13, 1679. [Google Scholar] [CrossRef]
- Öksel, C.; Koç, A. Modeling of a combined Kalina and organic rankine cycle system for waste heat recovery from biogas engine. Sustainability 2022, 14, 7135. [Google Scholar] [CrossRef]
- Gonidaki, D.; Bellos, E. A Detailed Review of Organic Rankine Cycles Driven by Combined Heat Sources. Energies 2025, 18, 526. [Google Scholar] [CrossRef]
- Sprouse, C.E., III. Review of organic Rankine cycles for internal combustion engine waste heat recovery: Latest decade in review. Sustainability 2024, 16, 1924. [Google Scholar] [CrossRef]
- Mukhtar, M.; Adebayo, V.; Yimen, N.; Bamisile, O.; Osei-Mensah, E.; Adun, H.; Zhang, Q.; Luo, G. Towards global cleaner energy and hydrogen production: A review and application ORC integrality with multigeneration systems. Sustainability 2022, 14, 5415. [Google Scholar] [CrossRef]
- Javanshir, A.; Sarunac, N.; Razzaghpanah, Z. Thermodynamic analysis of ORC and its application for waste heat recovery. Sustainability 2017, 9, 1974. [Google Scholar] [CrossRef]
- Pili, R.; Martínez, L.G.; Wieland, C.; Spliethoff, H. Techno-economic potential of waste heat recovery from German energy-intensive industry with Organic Rankine Cycle technology. Renew. Sustain. Energy Rev. 2020, 134, 110324. [Google Scholar] [CrossRef]
- Lecompte, S.; Oyewunmi, O.A.; Markides, C.N.; Lazova, M.; Kaya, A.; Van den Broek, M.; De Paepe, M. Case study of an organic Rankine cycle (ORC) for waste heat recovery from an electric arc furnace (EAF). Energies 2017, 10, 649. [Google Scholar] [CrossRef]
- Vélez, F.; Segovia, J.J.; Martín, M.C.; Antolín, G.; Chejne, F.; Quijano, A. A technical, economic and market review of Organic Rankine Cycles for the conversion of low-grade heat for power generation. Renew. Sustain. Energy Rev. 2012, 16, 4175–4189. [Google Scholar] [CrossRef]
- Dijoux, A. Influence du Fluide du Travail, de la Technologie des Échangeurs et du Pilotage Dynamique d’un Cycle ORC sur L’intérêt et les Performances d’un Système de Conversion D’Énergie Thermique des Mers. Ph.D. Thesis, Université de La Réunion, Saint-Denis Cedex, Réunion, 2020. [Google Scholar]
- Valencia, G.; Duarte, J.; Isaza-Roldan, C. Thermoeconomic Analysis of Different Exhaust Waste-Heat Recovery Systems for Natural Gas Engine Based on ORC. Appl. Sci. 2019, 9, 4017. [Google Scholar] [CrossRef]
- Dickes, R.; Ziviani, D.; van den Broek, M.; de Paepe, M.; Quoilin, S.; Lemort, V. ORCmKit: An open-source library for organic Rankine cycle modelling and analysis. In Proceedings of the ECOS 2016-29th International Conference on Efficiency, Cost, Optimisation, Simulation and Environmental Impact of Energy Systems, Portoroz, Slovenia, 19–23 June 2016. [Google Scholar]
- Darvish, K.; Ehyaei, M.A.; Atabi, F.; Rosen, M.A. Selection of optimum working fluid for organic Rankine cycles by exergy and exergy-economic analyses. Sustainability 2015, 7, 15362–15383. [Google Scholar] [CrossRef]
- Fontalvo, A.; Solano, J.; Pedraza, C.; Bula, A.; Gonzalez Quiroga, A.; Vasquez Padilla, R. Energy, exergy and economic evaluation comparison of small-scale single and dual pressure organic Rankine cycles integrated with low-grade heat sources. Entropy 2017, 19, 476. [Google Scholar] [CrossRef]
- Benavides Gamero, A.; Camargo Vanegas, J.; Duarte Forero, J.; Valencia Ochoa, G.; Diaz Herazo, R. Advanced exergo-environmental assessments of an organic rankine cycle as waste heat recovery system from a natural gas engine. Energies 2023, 16, 2975. [Google Scholar] [CrossRef]
- Shamoushaki, M.; Aliehyaei, M.; Taghizadeh-Hesary, F. Energy, exergy, exergoeconomic, and exergoenvironmental assessment of flash-binary geothermal combined cooling, heating and power cycle. Energies 2021, 14, 4464. [Google Scholar] [CrossRef]
- Ziviani, D.; Woodland, B.; Georges, E.; Groll, E.; Braun, J.; Horton, T.; De Paepe, M.; van den Broek, M. ORCSim: A generalized Organic Rankine cycle simulation tool. In Proceedings of the 3rd International Seminar on ORC Power Systems, Brussels, Belgium, 12–14 October 2015. [Google Scholar]
- Witte, F.; Tuschy, I. TESPy: Thermal engineering systems in python. J. Open Source Softw. 2020, 5, 2178. [Google Scholar] [CrossRef]
- Jimenez-Garcia, J.C.; Ruiz, A.; Pacheco-Reyes, A.; Rivera, W. A comprehensive review of organic rankine cycles. Processes 2023, 11, 1982. [Google Scholar] [CrossRef]
- Lecompte, S.; Huisseune, H.; Van Den Broek, M.; Vanslambrouck, B.; De Paepe, M. Review of organic Rankine cycle (ORC) architectures for waste heat recovery. Renew. Sustain. Energy Rev. 2015, 47, 448–461. [Google Scholar] [CrossRef]
- Kotas, T.J. The Exergy Method of Thermal Plant Analysis; Paragon Publishing: London, UK, 2012. [Google Scholar]
- Zhang, C.; Liu, C.; Xu, X.; Li, Q.; Wang, S.; Chen, X. Effects of superheat and internal heat exchanger on thermo-economic performance of organic Rankine cycle based on fluid type and heat sources. Energy 2018, 159, 482–495. [Google Scholar] [CrossRef]
- Lundqvist, P.; Öhman, H. Global Efficiency of Heat Engines and Heat Pumps with Non-Linear Boundary Conditions. Entropy 2017, 19, 394. [Google Scholar] [CrossRef]
- Borel, L.; Favrat, D. Thermodynamics and Energy Systems Analysis: From Energy to Exergy; EPFL Press: Ecublens, Switzerland, 2010. [Google Scholar]
- Castelli, A.F.; Elsido, C.; Scaccabarozzi, R.; Nord, L.O.; Martelli, E. Optimization of organic Rankine cycles for waste heat recovery from aluminum production plants. Front. Energy Res. 2019, 7, 44. [Google Scholar] [CrossRef]
- World Aluminum. Global Aluminium Industry Greenhouse Gas Emissions Intensity Report; World Aluminum: Pittsburgh, PA, USA, 2023. [Google Scholar]
- Scaccabarozzi, R.; Tavano, M.; Invernizzi, C.M.; Martelli, E. Comparison of working fluids and cycle optimization for heat recovery ORCs from large internal combustion engines. Energy 2018, 158, 396–416. [Google Scholar] [CrossRef]
- MAN B&W. MAN B&W S60MC6 Project Guide; MAN Diesel & Turbo: Augsburg, Germany, 2009; Available online: https://engine.od.ua/ufiles/MAN-S60mc6.pdf?utm (accessed on 10 November 2025).
- Wärtsilä, Marine Solutions. Wärtsilä 46DF Product Guide. 2016. Available online: https://moodle2.units.it/pluginfile.php/780075/mod_folder/content/0/product-guide-o-e-w46df.pdf?forcedownload=1 (accessed on 15 November 2025).
- Ma, Z.; Yang, Y.; Sun, P.; Xing, H.; Duan, S.; Qu, H.; Zou, Y. Analysis of marine diesel engine emission characteristics of different power ranges in China. Atmosphere 2021, 12, 1108. [Google Scholar] [CrossRef]












| Fluid: Propyne | ||||||
|---|---|---|---|---|---|---|
| Index | Stage | P (bar) | T (°C) | H (kJ/kg) | S (J/kg·K) | X (%) |
| 0 | 1 | 62.29 | 172.48 | 893.10 | 2833.33 | 100% Vapor |
| 1 | 2 | 5.74 | 37.64 | 744.34 | 2833.33 | 100% Vapor |
| 2 | 3 | 5.74 | 24.64 | 254.52 | 1189.35 | 100% Liquid |
| 3 | 4 | 62.29 | 27.75 | 263.73 | 1189.35 | 100% Vapor |
| Fluid | Neopentane | R114 | Isobutene | 1-Butene |
|---|---|---|---|---|
| ODP | 0 | 1 | 0 | 0 |
| GWP | 0 | 10,040 | 0 | 0 |
| Stream | Man S60-MC6 | Wärtsilä 46DF | ||
|---|---|---|---|---|
| Power output | 10.3 MW | 10.3 MW | ||
| Efficiency | 49.59% | 45.33% | ||
| HS | Exhaust gas | Mass flow rate | 26.53 kg/s | 19.00 kg/s |
| Thermal power | 3607 kW | 4892 kW | ||
| Temperature range | 245–120 °C | 354–120 °C | ||
| Scavenge air | Mass flow rate | 26.00 kg/s | 18.40 kg/s | |
| Thermal power | 3970 kW | 3789 kW | ||
| Temperature range | 198–48 °C | 253–50 °C | ||
| Jacket water | Mass flow rate | 21.06 kg/s | 23.16 kg/s | |
| Thermal power | 1490 kW | 1653 kW | ||
| Temperature range | 80–63 °C | 91–74 °C | ||
| CS | Seawater | Temperature range | 10–32 °C | 10–32 °C |
Disclaimer/Publisher’s Note: The statements, opinions and data contained in all publications are solely those of the individual author(s) and contributor(s) and not of MDPI and/or the editor(s). MDPI and/or the editor(s) disclaim responsibility for any injury to people or property resulting from any ideas, methods, instructions or products referred to in the content. |
© 2026 by the authors. Licensee MDPI, Basel, Switzerland. This article is an open access article distributed under the terms and conditions of the Creative Commons Attribution (CC BY) license.
Share and Cite
Aatik, M.; Ben Taher, M.A. Energy, Exergy, and Environmental Analysis of Organic Rankine Cycle Systems for Industrial Waste Heat Recovery Applications. Sustainability 2026, 18, 1462. https://doi.org/10.3390/su18031462
Aatik M, Ben Taher MA. Energy, Exergy, and Environmental Analysis of Organic Rankine Cycle Systems for Industrial Waste Heat Recovery Applications. Sustainability. 2026; 18(3):1462. https://doi.org/10.3390/su18031462
Chicago/Turabian StyleAatik, Manal, and Mohamed Amine Ben Taher. 2026. "Energy, Exergy, and Environmental Analysis of Organic Rankine Cycle Systems for Industrial Waste Heat Recovery Applications" Sustainability 18, no. 3: 1462. https://doi.org/10.3390/su18031462
APA StyleAatik, M., & Ben Taher, M. A. (2026). Energy, Exergy, and Environmental Analysis of Organic Rankine Cycle Systems for Industrial Waste Heat Recovery Applications. Sustainability, 18(3), 1462. https://doi.org/10.3390/su18031462

