Integrating Nighttime Light and Household Survey Data to Monitor Income Inequality: Implications for China’s Socioeconomic Sustainability
Abstract
1. Introduction
2. Materials and Methods
2.1. Study Area
2.2. Data Source
2.2.1. NPP-VIIRS Annual VNL V2 Data
2.2.2. CHIP Micro-Survey Data
2.3. Methodology
2.3.1. Data Preprocessing
2.3.2. Development of the DM-I3EM: Step 1—Calculation of the Gini Coefficient Based on the Weibull Distribution
2.3.3. Development of the DM-I3EM: Step 2—Establishing the Relationship Between NTL-Based and Income-Based Gini Coefficients
2.3.4. Evaluation and Application of DM-I3EM
2.3.5. Spatial Autocorrelation Analysis
3. Results
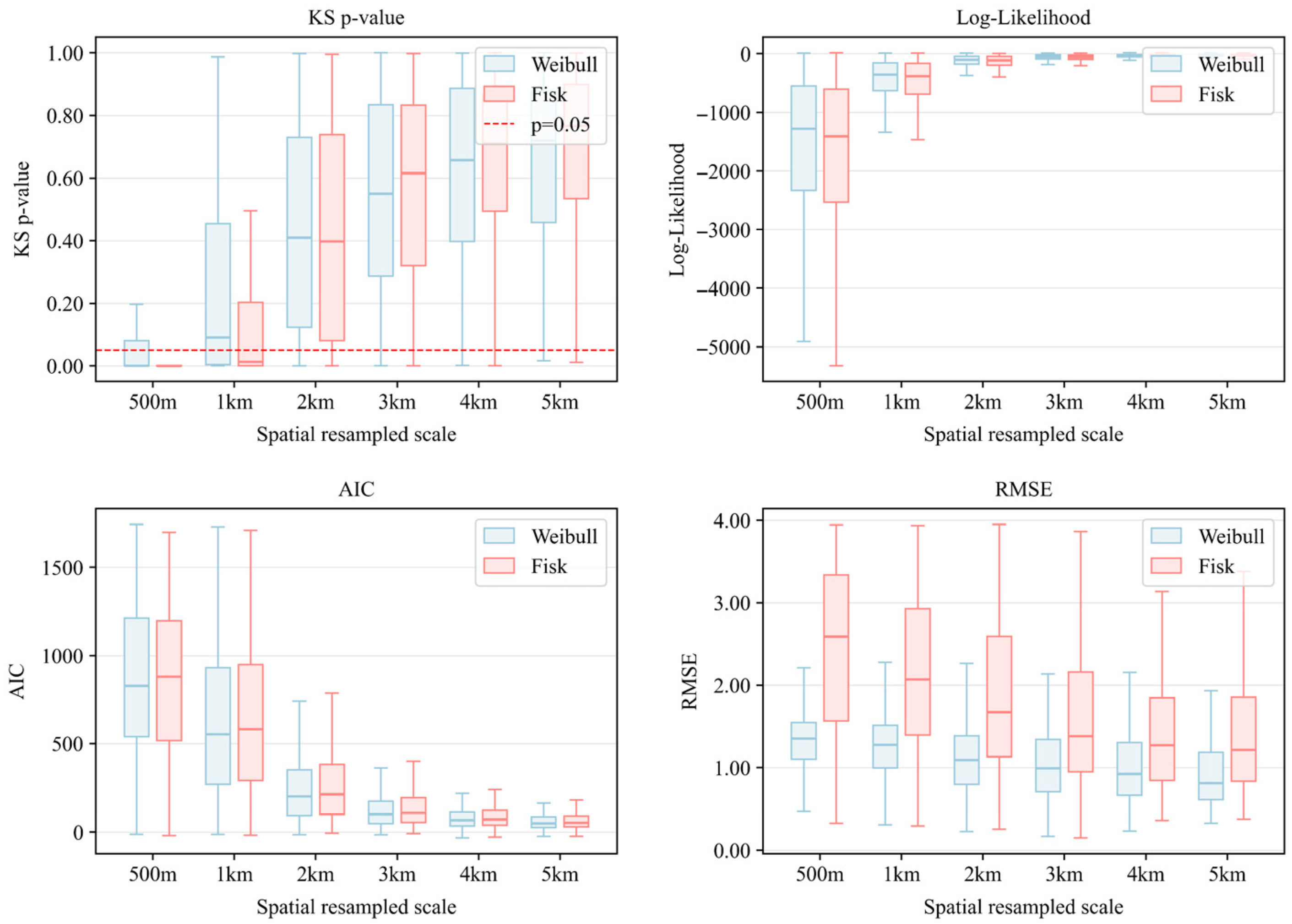
3.1. Statistical Comparison of Models’ Performance
3.2. Spatiotemporal Distribution of Income Inequality Based on DM-I3EM
3.3. Spatiotemporal Evolution of Spatial Clustering of Income Inequality Based on DM-I3EM
4. Discussion
4.1. Sensitivity of Auxiliary Variables to Income Inequality
4.2. Transferability of DM-I3EM to Other Inequality Indices
4.3. Limitations and Prospects
5. Conclusions
Author Contributions
Funding
Institutional Review Board Statement
Informed Consent Statement
Data Availability Statement
Acknowledgments
Conflicts of Interest
References
- Chancel, L.; Piketty, T.; Saez, E.; Zucman, G. World Inequality Report 2022; Harvard University Press: Cambridge, MA, USA, 2022. [Google Scholar]
- Baron, R.A. Income inequality: How efforts to reduce it can undermine motivation—And the pursuit of excellence. J. Engrep. Public Policy 2017, 6, 2–10. [Google Scholar] [CrossRef]
- Marchand, Y.; Dub, J.; Breau, S. Exploring the causes and consequences of regional income inequality in Canada. Econ. Geogr. 2020, 96, 83–107. [Google Scholar] [CrossRef]
- Berg, A.G.; Ostry, J.D. Inequality and unsustainable growth: Two sides of the same coin? IMF Econ. Rev. 2017, 65, 792–815. [Google Scholar] [CrossRef]
- Neckerman, K.M.; Torche, F. Inequality: Causes and consequences. Annu. Rev. Sociol. 2007, 33, 335–357. [Google Scholar] [CrossRef]
- Xing, Z.; He, C.; Lin, J.; Pan, Y. Who you are versus where you are: Revealing the importance of determinants of within-city income inequality in China through an interpretable machine learning approach. Appl. Geogr. 2025, 184, 103759. [Google Scholar] [CrossRef]
- Dorling, D. Income inequality in the UK: Comparisons with five large Western European countries and the USA. Appl. Geogr. 2015, 61, 24–34. [Google Scholar] [CrossRef]
- Constantine, C. Income inequality in Guyana: Class or ethnicity? New evidence from survey data. World Dev. 2024, 173, 106429. [Google Scholar] [CrossRef]
- Marco, R.; Llano, C.; Pérez-Balsalobre, S. Economic complexity, environmental quality and income equality: A new trilemma for regions? Appl. Geogr. 2022, 139, 102646. [Google Scholar] [CrossRef]
- Xia, H.; Guan, Y.; Pan, H.; Shen, Y. Spatial evolution and influencing factors of income gap in resource-based cities based on GWR. GeoJournal 2025, 90, 132. [Google Scholar] [CrossRef]
- Arya, P.K.; Sur, K.; Dhote, S.; Siral, H.; Kundu, T.; Mehta, B.S.; Srivastava, R. Integrating multi-source satellite imagery and socio-economic household data for wealth-based poverty assessment of India: A GIS and machine learning based approach. Soc. Indic. Res. 2025, 179, 653–676. [Google Scholar] [CrossRef]
- Hu, B.; Zhai, W.; Li, D.; Tang, J. Application note: Evaluation of the Gini coefficient at the county level in mainland China based on Luojia 1-01 nighttime light images. Comput. Urban Sci. 2024, 4, 1. [Google Scholar] [CrossRef]
- Jestl, S.; List, E. Inequality, redistribution, and the financial crisis: Evidence from distributional national accounts for Austria. Rev. Income Wealth 2023, 69, 195–227. [Google Scholar] [CrossRef]
- Levin, N.; Kyba, C.C.; Zhang, Q.; de Miguel, A.S.A.N.; Román, M.O.; Li, X.; Portnov, B.A.; Molthan, A.L.; Jechow, A.; Miller, S.D.; et al. Remote sensing of night lights: A review and an outlook for the future. Remote Sens. Environ. 2020, 237, 111443. [Google Scholar] [CrossRef]
- Chen, Z.; Wei, Y.; Shi, K.; Zhao, Z.; Wang, C.; Wu, B.; Qiu, B.; Yu, B. The potential of nighttime light remote sensing data to evaluate the development of digital economy: A case study of China at the city level. Comput. Environ. Urban Syst. 2022, 92, 101749. [Google Scholar] [CrossRef]
- Bao, H.; Tao, H.; Zhuo, L.; Shi, Q.; Guo, S. Estimation of Economic Spillover Effects under the Hierarchical Structure of Urban Agglomeration Based on Time-Series Night-Time Lights: A Case Study of the Pearl River Delta, China. Remote Sens. 2024, 16, 394. [Google Scholar] [CrossRef]
- Zhang, F.; Zhang, Q.; Xu, M. Remote sensing insights into urban--rural imbalance and sustainable development: A case study in Guangdong, China. Sustainability 2025, 17, 2247. [Google Scholar] [CrossRef]
- Small, C.; Elvidge, C.D.; Balk, D.; Montgomery, M. Spatial scaling of stable night lights. Remote Sens. Environ. 2011, 115, 269–280. [Google Scholar] [CrossRef]
- Mcsharry, P.; Mawejje, J. Estimating urban GDP growth using nighttime lights and machine learning techniques in data poor environments: The case of South Sudan. Technol. Forecast. Soc. Change 2024, 203, 123399. [Google Scholar] [CrossRef]
- Ivan, K.; Holobâcă, I.; Benedek, J.; Török, I. VIIRS Nighttime Light Data for Income Estimation at Local Level. Remote Sens. 2020, 12, 2950. [Google Scholar] [CrossRef]
- Liu, H.; Wang, J.; Liu, H.; Chen, Y.; Liu, X.; Guo, Y.; Huang, H. Identification of relative poverty based on 2012–2020 NPP/VIIRS night light data: In the area surrounding Beijing and Tianjin in China. Sustainability 2022, 14, 5559. [Google Scholar] [CrossRef]
- Chen, Z.; Luo, H.; Li, M.; Lin, J.; Zhang, X.; Li, S. Fine-scale poverty estimation by integrating SDGSAT-1 glimmer images and urban functional zoning data. Remote Sens. Environ. 2025, 329, 114925. [Google Scholar] [CrossRef]
- Jiang, Y.; Sun, S.; Zheng, S. Exploring urban expansion and socioeconomic vitality using NPP-VIIRS data in Xia-Zhang-Quan, China. Sustainability 2019, 11, 1739. [Google Scholar] [CrossRef]
- Lin, W.; Xu, W.; Wu, Z.; Cao, J. Enhancing county-level GDP estimation accuracy with downscaled NPP-VIIRS nighttime light data. IEEE J. Sel. Top. Appl. Earth Observ. Remote Sens. 2025, 18, 17552–17564. [Google Scholar] [CrossRef]
- Huang, C.; Zhuang, Q.; Meng, X.; Guo, H.; Han, J. An improved nightlight threshold method for revealing the spatiotemporal dynamics and driving forces of urban expansion in China. J. Environ. Manag. 2021, 289, 112574. [Google Scholar] [CrossRef]
- Chen, S.; Cheng, C. Monitoring Fine-Scale Urban Shrinkage Space with NPP-VIIRS Imagery. Remote Sens. 2025, 17, 688. [Google Scholar] [CrossRef]
- Yang, L.; Cao, J.; Zhuo, L.; Shi, Q. A novel consistency calibration method for DMSP-OLS nighttime stable light time-series images. IEEE J. Sel. Top. Appl. Earth Observ. Remote Sens. 2022, 15, 2621–2631. [Google Scholar] [CrossRef]
- Lessmann, C.; Seidel, A. Regional inequality, convergence, and its determinants—A view from outer space. Eur. Econ. Rev. 2017, 92, 110–132. [Google Scholar] [CrossRef]
- Mirza, M.U.; Xu, C.; Bavel, B.V.; van Nes, E.H.; Scheffer, M. Global inequality remotely sensed. Proc. Natl. Acad. Sci. USA 2021, 118, e1919913118. [Google Scholar] [CrossRef] [PubMed]
- Weidmann, N.B.; Theunissen, G. Estimating local inequality from nighttime lights. Remote Sens. 2021, 13, 4624. [Google Scholar] [CrossRef]
- Li, W.; Wu, M.; Niu, Z. Spatialization and analysis of China’s GDP based on NPP/VIIRS data from 2013 to 2023. Appl. Sci. 2024, 14, 8599. [Google Scholar] [CrossRef]
- Hou, X.; Gao, J. Toward Common Prosperity: Measuring decrease in inequality in China prefecture-level cities. Struct. Change Econ. Dyn. 2025, 72, 29–46. [Google Scholar] [CrossRef]
- Elvidge, C.D.; Zhizhin, M.; Ghosh, T.; Hsu, F.C.; Taneja, J. Annual time series of global VIIRS nighttime lights derived from monthly averages: 2012 to 2019. Remote Sens. 2021, 13, 922. [Google Scholar] [CrossRef]
- Wang, J. How Does New Urban Land Affect Rural-Urban Migration? Spat. Demogr. 2025, 13, 19. [Google Scholar] [CrossRef]
- Tian, Z.; Xin, Y.; Lin, Y. Do roads help rural populations escape poverty? new evidence from Chinese survey data. Appl. Econ. 2025, 1–14. [Google Scholar] [CrossRef]
- Wang, Z.; Jv, Y. Revisiting income inequality among households: New evidence from the Chinese Household Income Project. China Econ. Rev. 2023, 81, 102039. [Google Scholar] [CrossRef]
- Bai, X.; Li, L.; Song, P. Balancing efficiency and fairness: The research on the impact of China’s digital economy development on economic growth and income inequality. J. Xi’an Jiaotong Univ. Soc. Sci. 2023, 43, 38–50. (In Chinese) [Google Scholar] [CrossRef]
- Weibull, W. A statistical distribution function of wide applicability. J. Appl. Mech. 1951, 18, 293–297. [Google Scholar] [CrossRef]
- D’Addario, R. Intorno ad una funzione di distribuzione. G. Degli Econ. Ann. Econ. 1974, 33, 205–214. [Google Scholar]
- Chotikapanich, D.; Rao, D.P.; Tang, K.K. Estimating income inequality in China using grouped data and the generalized beta distribution. Rev. Income Wealth 2007, 53, 127–147. [Google Scholar] [CrossRef]
- Mirzaei, S.; Mohtashami Borzadaran, G.R.; Amini, M.; Jabbari, H. A new generalized Weibull distribution in income economic inequality curves. Commun. Stat.-Theory Methods 2019, 48, 889–908. [Google Scholar] [CrossRef]
- Kekatos, V.; Giannakis, G.B. Sparse volterra and polynomial regression models: Recoverability and estimation. IEEE Trans. Signal Process. 2011, 59, 5907–5920. [Google Scholar] [CrossRef]
- Feng, Y.; Yang, Q.; Tong, X.; Chen, L. Evaluating land ecological security and examining its relationships with driving factors using GIS and generalized additive model. Sci. Total Environ. 2018, 633, 1469–1479. [Google Scholar] [CrossRef]
- Breiman, L. Random forests. Mach. Learn. 2001, 45, 5–32. [Google Scholar] [CrossRef]
- Dhibi, K.; Fezai, R.; Mansouri, M.; Trabelsi, M.; Kouadri, A.; Bouzara, K.; Nounou, H.; Nounou, M. Reduced kernel random forest technique for fault detection and classification in grid-tied PV systems. IEEE J. Photovolt. 2020, 10, 1864–1871. [Google Scholar] [CrossRef]
- Zhang, X.; Xu, J.; Zhong, S.; Wang, Z. Assessing uneven regional development using nighttime light satellite data and machine learning methods: Evidence from county-level improved HDI in China. Land 2024, 13, 1524. [Google Scholar] [CrossRef]
- Moran, P.A. Notes on continuous stochastic phenomena. Biometrika 1950, 37, 17–23. [Google Scholar] [CrossRef] [PubMed]
- Qu, R.; Lee, S.; Rhee, Z.; Bae, S. Analysis of inequality levels of industrial development in rural areas through inequality indices and spatial autocorrelation. Sustainability 2023, 15, 8102. [Google Scholar] [CrossRef]
- Anselin, L. Local indicators of spatial association—LISA. Geogr. Anal. 1995, 27, 93–115. [Google Scholar] [CrossRef]
- Giorgi, G.M.; Nadarajah, S. Bonferroni and Gini indices for various parametric families of distributions. Metron 2010, 68, 23–46. [Google Scholar] [CrossRef]
- Chakravarty, S.R.; Sarkar, P. New perspectives on the Gini and Bonferroni indices of inequality. Soc. Choice Welf. 2023, 60, 47–64. [Google Scholar] [CrossRef]











| Type | Dataset | Time Horizon | Spatial Resolution | Unit | Data Source |
|---|---|---|---|---|---|
| NTL Data | NPP-VIIRS Annual VNL V2 | 2013–2022 | 15 arcsec | nW·cm−2·sr−1 | https://eogdata.mines.edu/products/vnl/ (accessed on 13 November 2023) |
| Micro Survey Data | CHIP | 2013, 2018 | County | Person or family | http://chip.bnu.edu.cn (accessed on 13 November 2023) |
| Indicators | Quantiles | Distributions | |||||
|---|---|---|---|---|---|---|---|
| Weibull | Fisk | Burr | Inverse-Gamma | Exponential-Normal | Lomax | ||
| KS p-value | 25th Percentile | 0.22 | 0.711 | 0.08 | 0.06 | 0.00 | 0.00 |
| Median | 0.52 | 0.85 | 0.29 | 0.26 | 0.00 | 0.00 | |
| 75th Percentile | 0.75 | 0.95 | 0.68 | 0.63 | 0.06 | 0.06 | |
| Log-Likelihood | 25th Percentile | −1159.08 | −1149.94 | −1159.14 | −1172.09 | −1167.12 | −1166.29 |
| Median | −910.28 | −911.65 | −916.05 | −921.50 | −915.67 | −915.32 | |
| 75th Percentile | −565.44 | −561.36 | −560.02 | −572.20 | −577.46 | −578.21 | |
| AIC | 25th Percentile | 1131.48 | 1121.99 | 1121.00 | 1144.18 | 1154.16 | 1155.64 |
| Median | 1821.53 | 1828.65 | 1829.04 | 1846.50 | 1833.48 | 1833.49 | |
| 75th Percentile | 2321.18 | 2302.95 | 2322.37 | 2344.94 | 2337.71 | 2337.30 | |
| NRMSE | 25th Percentile | 0.78 | 0.83 | 0.92 | 0.84 | 1.07 | 1.07 |
| Median | 0.94 | 1.04 | 1.34 | 1.07 | 1.20 | 1.22 | |
| 75th Percentile | 1.13 | 1.33 | 1.67 | 1.41 | 1.36 | 1.34 | |
| Year | Global Moran’s I | Standardized z-Score | Significance (p-Value) |
|---|---|---|---|
| 2013 | 0.17 | 99.89 | p < 0.001 |
| 2018 | 0.19 | 111.23 | p < 0.001 |
| 2022 | 0.20 | 117.88 | p < 0.001 |
Disclaimer/Publisher’s Note: The statements, opinions and data contained in all publications are solely those of the individual author(s) and contributor(s) and not of MDPI and/or the editor(s). MDPI and/or the editor(s) disclaim responsibility for any injury to people or property resulting from any ideas, methods, instructions or products referred to in the content. |
© 2026 by the authors. Licensee MDPI, Basel, Switzerland. This article is an open access article distributed under the terms and conditions of the Creative Commons Attribution (CC BY) license.
Share and Cite
Zhuo, L.; Wu, Q.; Guo, S. Integrating Nighttime Light and Household Survey Data to Monitor Income Inequality: Implications for China’s Socioeconomic Sustainability. Sustainability 2026, 18, 734. https://doi.org/10.3390/su18020734
Zhuo L, Wu Q, Guo S. Integrating Nighttime Light and Household Survey Data to Monitor Income Inequality: Implications for China’s Socioeconomic Sustainability. Sustainability. 2026; 18(2):734. https://doi.org/10.3390/su18020734
Chicago/Turabian StyleZhuo, Li, Qiuying Wu, and Siying Guo. 2026. "Integrating Nighttime Light and Household Survey Data to Monitor Income Inequality: Implications for China’s Socioeconomic Sustainability" Sustainability 18, no. 2: 734. https://doi.org/10.3390/su18020734
APA StyleZhuo, L., Wu, Q., & Guo, S. (2026). Integrating Nighttime Light and Household Survey Data to Monitor Income Inequality: Implications for China’s Socioeconomic Sustainability. Sustainability, 18(2), 734. https://doi.org/10.3390/su18020734

