Valorizing Rice Husk Waste as a Biosorbent with Gamma-Induced Surface Modification for Enhanced Heavy-Metal Adsorption
Abstract
1. Introduction
2. Materials and Methods
2.1. Materials and Chemicals
2.2. Characterization
2.2.1. Determination of Heavy-Metal Adsorption Capacity
2.2.2. Determination of Adsorption Kinetics and Modeling
Pseudo-First-Order (PFO) Model
Pseudo-Second-Order (PSO) Model
Intraparticle Diffusion (IPD) Model
2.2.3. Determination of Adsorption Isotherms and Modeling
Langmuir Model
Freundlich Model
2.2.4. Morphology, Elemental Composition, and Porosity
2.2.5. Functional Groups, Crystallinity, and Thermal Stability
2.3. Statistical Analysis
3. Results and Discussion
3.1. Morphological and Pore Characteristics
3.2. Functional Groups and Elemental Compositions
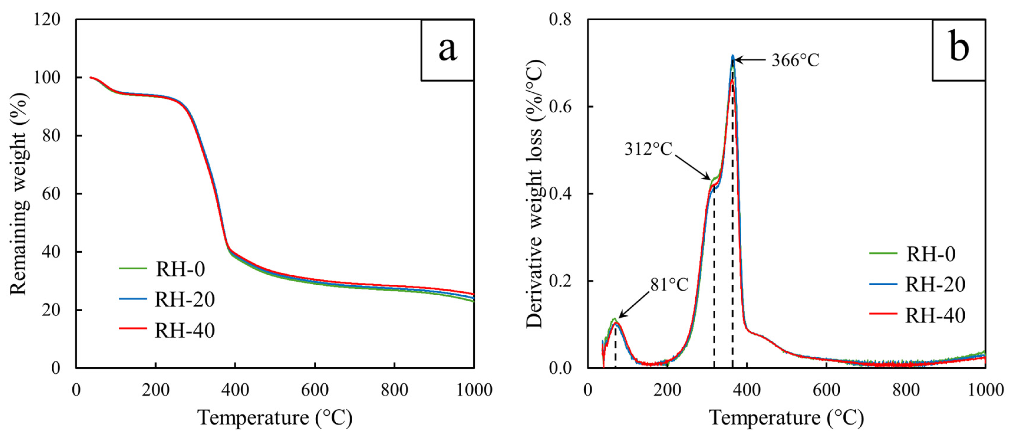
3.3. Thermal Stability
3.4. Crystalline Structure
3.5. Heavy-Metal Adsorption Capacity
3.6. Adsorption Kinetics and Modeling
3.7. Adsorption Isotherms and Modeling
3.8. Comparative Heavy-Metal Removal Capacities of Gamma-Irradiated RH and Other Biosorbents
- (i)
- (ii)
- Metal recovery from the desorption liquor (precipitation/electrowinning), which was often presented as a complementary step to regeneration to complete the resource recovery procedure [76];
- (iii)
- Repurposing/upcycling of metal-loaded sorbents, where the spent adsorbent was used directly in value-added applications (catalytic or electrochemical materials) to avoid desorption streams and reduce disposal burden [77];
- (iv)
- Stabilization/solidification or immobilization, such as encapsulation in cementitious or geopolymer matrices, to reduce metal leachability and facilitate safer handling and disposal [78].
4. Conclusions
Author Contributions
Funding
Institutional Review Board Statement
Informed Consent Statement
Data Availability Statement
Acknowledgments
Conflicts of Interest
References
- Korotkova, T.G.; Ksandopulo, S.J.; Donenko, A.P.; Bushumov, S.A.; Danilchenko, A.S. Physical Properties and Chemical Composition of the Rice Husk and Dust. Orient. J. Chem. 2016, 32, 3213–3219. [Google Scholar] [CrossRef]
- Nguyen, N.T.; Tran, N.T.; Phan, T.P.; Nguyen, A.T.; Nguyen, M.X.T.; Nguyen, N.N.; Ko, Y.H.; Nguyen, D.H.; Van, T.T.T.; Hoang, D.Q. The Extraction of Lignocelluloses and Silica from Rice Husk using a Single Biorefinery Process and their Characteristics. J. Ind. Eng. Chem. 2022, 108, 150–158. [Google Scholar] [CrossRef]
- Chen, H.; Wang, W.; Martin, J.C.; Oliphant, A.J.; Doerr, P.A.; Xu, J.F.; DeBorn, K.M.; Chen, C.; Sun, L. Extraction of Lignocellulose and Synthesis of Porous Silica Nanoparticles from Rice Husks: A Comprehensive Utilization of Rice Husk Biomass. ACS Sustain. Chem. Eng. 2013, 1, 254–259. [Google Scholar] [CrossRef]
- Azat, S.; Korobeinyk, A.V.; Moustakas, K.; Inglezakis, V.J. Sustainable Production of Pure Silica from Rice Husk Waste in Kazakhstan. J. Clean. Prod. 2019, 217, 352–359. [Google Scholar] [CrossRef]
- Chen, J.; Kong, Q.; Liu, Z.; Bi, Z.; Jia, H.; Song, G.; Xie, L.; Zhang, S.; Chen, C.M. High Yield Silicon Carbide Whiskers from Rice Husk Ash and Graphene: Growth Method and Thermodynamics. ACS Sustain. Chem. Eng. 2019, 7, 19027–19033. [Google Scholar] [CrossRef]
- Ozturk, E.; Ince, C.; Borgianni, Y.; Derogar, S.; Forster, A.M.; Ball, R.J. Enhancing Concrete Durability and Resource Efficiency Through Rice Husk Ash Incorporation: A Data-Driven Approach. Sustainability 2025, 17, 9382. [Google Scholar] [CrossRef]
- Pandey, V.; Panda, S.K.; Singh, V.K. Preparation and Characterization of High-Strength Insulating Porous Bricks by Reusing Coal Mine Overburden Waste, Red Mud and Rice Husk. J. Clean. Prod. 2024, 469, 143134. [Google Scholar] [CrossRef]
- Wongsiriwattaya, M.; Chompookham, T.; Bupphachot, B. Improvement of Higher Heating Value and Hygroscopicity Reduction of Torrefied Rice Husk by Torrefaction and Circulating Gas in the System. Sustainability 2023, 15, 11193. [Google Scholar] [CrossRef]
- Suhot, M.A.; Hassan, M.Z.; Aziz, S.A.; Daud, M.Y.M. Recent Progress of Rice Husk Reinforced Polymer Composites: A Review. Polymers 2021, 13, 2391. [Google Scholar] [CrossRef]
- Uchida, Y.; Moriizumi, M.; Shimotsuma, M. Effects of Rice Husk Biochar and Soil Moisture on the Accumulation of Organic and Inorganic Nitrogen and Nitrous Oxide Emissions During the Decomposition of Hairy Vetch (Vicia villosa) Mulch. Soil Sci. Plant Nutr. 2019, 65, 409–418. [Google Scholar] [CrossRef]
- Parhizkar, M.; Shabanpour, M.; Lucas-Borja, M.S.; Zema, D.A. Effects of Rice Husk Biochar on Rill Detachment Capacity in Deforested Hillslopes. Ecol. Eng. 2023, 191, 106964. [Google Scholar] [CrossRef]
- Ezenne, G.I.; Obalum, S.E.; Tanner, J. Physical-Hydraulic Properties of Tropical Sandy-Loam Soil in Response to Rice-Husk Dust and Cattle Dung Amendments and Surface Mulching. Hydrol. Sci. J. 2019, 64, 1746–1754. [Google Scholar] [CrossRef]
- Liu, T.; Wang, Z. Contamination and Health Risk Assessment of Heavy Metals in Soil Surrounding an Electroplating Factory in JiaXing, China. Sci. Rep. 2024, 14, 4097. [Google Scholar] [CrossRef] [PubMed]
- Yunus, Z.M.; Al-Gheethi, A.; Othman, N.; Hamdan, R.; Ruslan, N.N. Removal of Heavy Metals from Mining Effluents in Tile and Electroplating Industries using Honeydew Peel Activated Carbon: A Microstructure and Techno-Economic Analysis. J. Clean. Prod. 2020, 251, 119738. [Google Scholar] [CrossRef]
- Okoro, H.K.; Alao, S.M.; Pandey, S.; Jimoh, I.; Basheeru, K.A.; Caliphs, Z.; Ngila, J.C. Recent Potential Application of Rice Husk as an Eco-Friendly Adsorbent for Removal of Heavy Metals. Appl. Water Sci. 2022, 12, 259. [Google Scholar] [CrossRef]
- Li, A.; Zhang, Y.; Ge, W.; Zhang, Y.; Liu, L.; Qiu, G. Removal of Heavy Metals from Wastewaters with Biochar Pyrolyzed from MgAl-Layered Double Hydroxide-Coated Rice Husk: Mechanism and Application. Bioresour. Technol. 2022, 347, 126425. [Google Scholar] [CrossRef]
- Abdel-Ghani, N.T.; Elchaghaby, G.A. Influence of Operating Conditions on the Removal of Cu, Zn, Cd and Pb Ions from Wastewater by Adsorption. Int. J. Environ. Sci. Technol. 2007, 4, 451–456. [Google Scholar] [CrossRef]
- Futalan, C.C.; Diana, E.; Edang, M.F.A.; Padilla, J.M.; Cenia, M.C.; Alfeche, D.M. Adsorption of Lead from Aqueous Solution Using Activated Carbon Derived from Rice Husk Modified with Lemon Juice. Sustainability 2023, 15, 15955. [Google Scholar] [CrossRef]
- Lata, S.; Samadder, S.R. Removal of Heavy Metals using Rice Husk: A Review. Int. J. Environ. Dev. 2014, 4, 165–170. [Google Scholar]
- Montalvo-Andia, J.; Reategui-Romero, W.; Pena-Contreras, A.D.; Alvarez, W.F.Z.; King-Santos, M.E.; Fernandez-Guzman, V.; Guerrero-Guevara, J.L.; Puris-Naupay, J.E. Adsorption of Cd (II) Using Chemically Modified Rice Husk: Characterization, Equilibrium, and Kinetic Studies. Adsorpt. Sci. Technol. 2022, 2022, 3688155. [Google Scholar] [CrossRef]
- Wong, K.K.; Lee, C.K.; Low, K.S.; Haron, M.J. Removal of Cu and Pb by Tartaric Acid Modified Rice Husk from Aqueous Solutions. Chemosphere 2003, 50, 23–28. [Google Scholar] [CrossRef] [PubMed]
- Alam, M.M.; Hossain, M.A.; Hossain, M.D.; Johir, M.A.H.; Hossen, J.; Rahman, M.S.; Zhou, J.L.; Hasan, A.T.M.K.; Karmakar, A.K.; Ahmed, M.B. The Potentiality of Rice Husk-Derived Activated Carbon: From Synthesis to Application. Process 2020, 8, 203. [Google Scholar] [CrossRef]
- Nwadibia, P.C.; Eze, J.C.; Anyaogu, D.I.; Abugu, H.O.; Ejikeme, P.M. Adsorptive Capacity of Activated Carbon Derived from Rice Husks for Azo Dye Removal from Solution. Discov. Chem. 2025, 2, 152. [Google Scholar] [CrossRef]
- Wazir, A.H.; Ullah, I.; Yagoob, K. Chemically Activated Carbon Synthesized from Rice Husk for Adsorption of Methylene Blue in Polluted Water. Environ. Eng. Sci. 2023, 40, 307–317. [Google Scholar] [CrossRef]
- Tharaka, D.N.; Tissera, N.D.; Priyadarshana, G.; Dahanayake, D. A Comprehensive Review of Hierarchical Porous Carbon Synthesis from Rice Husk. Rice Sci. 2025, 32, 499–511. [Google Scholar] [CrossRef]
- List, R.; Gonalez-Lopez, L.; Ashfaq, A.; Zaouak, A.; Driscoll, M.; Al-Sheikhly, M. On the Mechanism of the Ionizing Radiation-Induced Degradation and Recycling of Cellulose. Polymers 2023, 15, 4483. [Google Scholar] [CrossRef]
- Intha, T.; Wimolmala, E.; Lertsarawut, P.; Saenboonruang, K. Effects of Gamma-Synthesized Chitosan on Morphological, Thermal, Mechanical, and Heavy-Metal Removal Properties in Natural Rubber Foam as Sustainable and Eco-Friendly Heavy Metal Sorbents. Sustainability 2024, 16, 6282. [Google Scholar] [CrossRef]
- Janlod, C.; Watcharothai, M.; Lertsarawut, P.; Saenboonruang, K. Enhancing Oil Adsorption Capacity via Gamma Irradiation: A Green Approach for Coconut Shell Powder and Coconut Shell-Derived Activated Carbon. Res. Eng. 2025, 28, 107953. [Google Scholar] [CrossRef]
- Chinnawet, M.; Wimolmala, E.; Lertsarawut, P.; Saenboonruang, K. Surface-Coating of Gamma-Assisted Reduced Graphene Oxide (rGO) on Natural Rubber Foam (NRF) for Enhanced Oil Adsorption Performance. React. Func. Polym. 2025, 217, 106490. [Google Scholar] [CrossRef]
- Schneider, C.A.; Rasband, W.S.; Eliceiri, K.W. NIH Image to ImageJ: 25 Years of Image Analysis. Nat. Methods 2012, 9, 671–675. [Google Scholar] [CrossRef]
- Karami, H. Heavy Metal Removal from Water by Magnetite Nanorods. Chem. Eng. J. 2013, 219, 209–216. [Google Scholar] [CrossRef]
- Revellame, E.D.; Fortela, D.L.; Sharp, W.; Hernandez, R.; Zappi, M.E. Adsorption Kinetic Modeling Using Pseudo-First Order and Pseudo-Second Order Rate Laws: A Review. Clean. Eng. Technol. 2020, 1, 100032. [Google Scholar] [CrossRef]
- Tadepalli, S.; Murthy, K.S.R.; Sahu, O. Interparticle Diffusion and Thermodynamic Modeling Studies for the Removal of Heavy Metals Using Mixed Adsorbents in Industrial Effluents. Environ. Qual. Manag. 2023, 32, 375–388. [Google Scholar] [CrossRef]
- Khayyun, T.S.; Mseer, A.H. Comparison of the Experimental Results with the Langmuir and Freundlich Models for Copper Removal on Limestone Adsorbent. Appl. Water Sci. 2019, 9, 170. [Google Scholar] [CrossRef]
- Araujo, C.S.T.; Almeida, I.L.S.; Rezende, H.C.; Marcionilio, S.M.L.O.; Leon, J.J.L.; Matos, T.N. Elucidation of Mechanism Involved in Adsorption of Pb(II) onto Lobeira Fruit (Solanum lycocarpum) Using Langmuir, Freundlich and Temkin Isotherms. Microchem. J. 2018, 137, 348–354. [Google Scholar] [CrossRef]
- Moonlek, B.; Wimolmala, E.; Markpin, T.; Sombatsompop, N.; Saenboonruang, K. Enhancing Electromagnetic Interference Shielding Effectiveness for Radiation Vulcanized Natural Rubber Latex Composites Containing Multiwalled Carbon Nanotubes and Silk Textile. Polym. Compos. 2020, 41, 3996–4009. [Google Scholar] [CrossRef]
- Thumwong, A.; Chinnawet, M.; Intarasena, P.; Rattanapongs, C.; Tokonami, S.; Ishikawa, T.; Saenboonruang, K. A Comparative Study on X-ray Shielding and Mechanical Properties of Natural Rubber Latex Nanocomposites Containing Bi2O3 or BaSO4: Experimental and Numerical Determination. Polymers 2022, 14, 3654. [Google Scholar] [CrossRef]
- Gun, M.; Arslan, H.; Saleh, M.; Yalvac, M.; Dizge, N. Optimization of Silica Extraction from Rice Husk Using Response Surface Methodology and Adsorption of Safranin Dye. Int. J. Environ. Res. 2022, 16, 20. [Google Scholar] [CrossRef]
- Sarma, P.J.; Kumar, R.; Pakshirajan, K. Batch and Continuous Removal of Copper and Lead from Aqueous Solution using Cheaply Available Agricultural Waste Materials. Int. J. Environ. Res. 2015, 9, 635–648. [Google Scholar]
- Saeed, A.A.H.; Harun, N.Y.; Nasef, M.M. Physicochemical Characterization of Different Agricultural Residues in Malaysia for Bio Char Production. Int. J. Civil Eng. Technol. 2019, 10, 213–225. [Google Scholar]
- Chen, R.S.; Salleh, M.N.; Ab Ghani, M.H.; Ahmad, S.; Gan, S. Biocomposites Based on Rice Husk Flour and Recycled Polymer Blend: Effects of Interfacial Modification and High Fibre Loading. BioResources 2015, 10, 6872–6885. [Google Scholar] [CrossRef]
- Baltac, A.S.; Mitran, R.-A. Gamma Radiation in the Synthesis of Inorganic Silica-Based Nanomaterials: A Review. Nanomaterials 2025, 15, 218. [Google Scholar] [CrossRef]
- Nzereogu, P.U.; Omah, A.D.; Ezema, F.I.; Iwuoha, E.I.; Nwanya, A.C. Silica Extraction from Rice Husk: Comprehensive Review and Applications. Hybrid Adv. 2023, 4, 100111. [Google Scholar] [CrossRef]
- Ciado, P.; Fraschini, C.; Jamshidian, M.; Salmieri, S.; Safrany, A.; Lacroix, M. Gamma-Irradiation of Cellulose Nanocrystals (CNCs): Investigation of Physicochemical and Antioxidant Properties. Cellulose 2017, 24, 2111–2124. [Google Scholar] [CrossRef]
- Kumar, A.; Kumar, G.A. Modification of Lignin Properties using Alpha Particles and Gamma-Rays for Diverse Applications. Radiat. Phys. Chem. 2023, 202, 110562. [Google Scholar] [CrossRef]
- Khumsap, S.; Parapichai, N.; Lertsarawut, P.; Saenboonruang, K. Exploring the Potential Utilization of Gamma-Irradiated Waste Eggshell Powder as Oil Sorbents in Natural Rubber Foams. Radiat. Phys. Chem. 2025, 226, 112287. [Google Scholar] [CrossRef]
- El-Sayed, S. Thermal Decomposition, Kinetics and Combustion Parameters Determination for Two Different Sizes of Rice Husk using TGA. Eng. Agric. Environ. Food 2019, 12, 460–469. [Google Scholar] [CrossRef]
- Varol, E.A.; Mutlu, U. TGA-FTIR Analysis of Biomass Samples Based on the Thermal Decomposition Behavior of Hemicellulose, Cellulose, and Lignin. Energies 2023, 16, 3674. [Google Scholar] [CrossRef]
- Chen, J.; Wang, Y.; Lang, X.; Ren, X.; Fan, S. Comparative Evaluation of Thermal Oxidative Decomposition for Oil-Plant Residues via Thermogravimetric Analysis: Thermal Conversion Characteristics, Kinetics, and Thermodynamics. Bioresour. Technol. 2017, 243, 37–46. [Google Scholar] [CrossRef]
- Lyubushkin, R.A.; Cherkashina, N.I.; Pushkarshaya, D.V.; Forova, E.V.; Ruchiy, A.Y.; Domarev, S.N. Polylactide-Based Polymer Composites with Rice Husk Filler. J. Compos. Sci. 2024, 8, 427. [Google Scholar] [CrossRef]
- Purwaningsih, H.; Ervianto, Y.; Pratiwi, V.M.; Susanti, D.; Purniawan, A. Effect of Cetyl Trimethyl Ammonium Bromide as Template of Mesoporous Silica MCM-41 from Rice Husk by Sol-Gel Method. IOP Conf. Ser. Mater. Sci. Eng. 2019, 515, 012051. [Google Scholar] [CrossRef]
- Bian, Y.; Bian, Z.; Zhang, J.; Ding, A.; Liu, S.; Zheng, L.; Wang, H. Adsorption of Cadmium Ions from Aqueous Solutions by Activated Carbon with Oxygen-Containing Functional Groups. Chin. J. Chem. Eng. 2015, 23, 1705–1711. [Google Scholar] [CrossRef]
- Zhang, H.; Zhang, Y.; Pan, Y.; Wang, F.; Sun, Y.; Wang, S.; Wang, Z.; Wu, A.; Zhang, Y. Efficient Removal of Heavy Metal Ions from Wastewater and Fixation of Heavy Metals in Soil by Manganese Dioxide Nanosorbents with Tailored Hollow Mesoporous Structure. Chem. Eng. J. 2023, 459, 141583. [Google Scholar] [CrossRef]
- Unlu, N.; Ersoz, M. Adsorption Characteristics of Heavy Metal Ions onto a Low Cost Biopolymeric Sorbent from Aqueous Solutions. J. Hazard. Mater. 2006, 136, 272–280. [Google Scholar] [CrossRef] [PubMed]
- Yang, J.; Cui, J.; Zhang, H.; Zhang, H.; Zhu, J. Kinetic and Thermodynamic Study of Ag+, Cu2+, and Zn2+ Ion Adsorption on LTA for High-Performance Antibacterial Coating. Coatings 2024, 14, 1524. [Google Scholar] [CrossRef]
- Smith, D.W. Ionic Hydration Enthalpies. J. Chem. Educ. 1977, 54, 540. [Google Scholar] [CrossRef]
- Singh, G.; Pawan; Sharma, S.; Mohit; Satjia, P.; Diksha; Priyanka; Thakur, Y.; Kaur, A. Copper(II) Ion Promoted Reverse Solvatochromic Response of the Silatrane Probe to Spectral Shifts: Preferential Solvation and Computational Approach. Inorg. Chem. 2022, 61, 12043–12061. [Google Scholar] [CrossRef]
- Martinez, J.M.; Pappalardo, R.R.; Marcos, E.S. A Molecular Dynamics Study of the Hydration Based on a Fully Flexible Hydrated Ion Model. J. Chem. Phys. 1998, 109, 1445–1455. [Google Scholar] [CrossRef]
- Srivastava, P.; Singh, B.; Angove, M. Competitive Adsorption Behavior of Heavy Metals on Kaolinite. J. Colloid Interface Sci. 2005, 290, 28–38. [Google Scholar] [CrossRef]
- Guo, X.; Wang, J. A General Kinetic Model for Adsorption: Theoretical Analysis and Modeling. J. Mol. Liq. 2019, 288, 111100. [Google Scholar] [CrossRef]
- Allahkarami, E.; Allahkarami, E.; Azadmehr, A.; Shahrabadi, M.E. Kinetics and Statistical Physics Modeling of Heavy Metal Ions Adsorption onto Functionalized Pyrite Composite: Experimental and Modeling. Results Chem. 2025, 17, 102536. [Google Scholar] [CrossRef]
- Danish, M.; Arman, I.; Al Mesfer, M.K.; Danish, M.; Ansari, K.B.; Aftab, R.A.; Zaidi, S. Mathematical Models for Characterizing Heavy Metals Batch and Column Adsorption: Study of Adsorption, Transport Parameters, and Numerical Computation Cost. Arab. J. Sci. Eng. 2025, 50, 3821–3839. [Google Scholar] [CrossRef]
- Zhang, H.; Tian, S.; Zhu, Y.; Zhong, W.; Qiu, R.; Han, L. Insight into the Adsorption Isotherms and Kinetics of Pb(II) on Pellet Biochar via In-Situ Non-Destructive 3D Visualization using Micro-Computed Tomography. Bioresour. Technol. 2022, 358, 127406. [Google Scholar] [CrossRef] [PubMed]
- Can, N.; Omur, B.C.; Altindal, A. Modeling of Heavy Metal Ion Adsorption Isotherms onto Metallophthalocyanine Film. Sens. Actuat. B Chem. 2016, 237, 953–961. [Google Scholar] [CrossRef]
- Demirbas, A. Heavy Metal Adsorption onto Agro-Based Waste Materials: A Review. J. Hazard. Mater. 2008, 157, 220–229. [Google Scholar] [CrossRef]
- Soetaredjo, F.E.; Kurniawan, A.; Ki, O.L.; Ismadji, S. Incorporation of Selectivity Factor in Modeling Binary Component Adsorption Isotherms for Heavy Metals-Biomass System. Chem. Eng. J. 2013, 219, 137–148. [Google Scholar] [CrossRef]
- Chowdhurry, S.; Saha, P.D. Biosorption Kinetics, Thermodynamics and Isosteric Heat of Sorption of Cu(II) onto Tamarindus indica Seed Powder. Colloids Surf. B Biointerfaces 2011, 88, 697–705. [Google Scholar] [CrossRef]
- Ahmed, Z.; Gao, B.; Mosa, A.; Yu, H.; Yin, X.; Bashir, A.; Ghoveisi, H.; Wang, S. Removal of Cu(II), Cd(II) and Pb(II) Ions from Aqueous Solutions by Biochars Derived from Potassium-Rich Biomass. J. Clean. Prod. 2018, 180, 437–449. [Google Scholar] [CrossRef]
- Poo, K.M.; Son, E.B.; Chang, J.S.; Ren, X.; Choi, Y.J.; Chae, K.J. Biochars Derived from Wasted Marine Macro-Algae (Saccharina japonica and Sargassum fusiforme) and Their Potential for Heavy Metal Removal in Aqueous Solution. J. Environ. Manag. 2018, 206, 364–372. [Google Scholar] [CrossRef]
- Kurniawan, A.; Sisnandy, V.O.A.; Trilestari, K.; Sunarso, J.; Indraswati, N.; Ismadji, S. Performance of Durian Shell Waste as High Capacity Biosorbent for Cr(VI) Removal from Synthetic Wastewater. Ecol. Eng. 2011, 37, 940–947. [Google Scholar] [CrossRef]
- Gao, H.; Liu, Y.; Zeng, G.; Xu, W.; Li, T.; Xia, W. Characterization of Cr(VI) Removal from Aqueous Solutions by a Surplus Agricultural Waste—Rice Straw. J. Hazard. Mater. 2008, 150, 446–452. [Google Scholar] [CrossRef] [PubMed]
- Maneechakr, P.; Mongkollertlop, S. Investigation on Adsorption Behaviors of Heavy Metal Ions (Cd2+, Cr3+, Hg2+ and Pb2+) Through Low-Cost/Active Manganese Dioxide-Modified Magnetic Biochar Derived from Palm Kernel Cake Residue. J. Environ. Chem. Eng. 2020, 8, 104467. [Google Scholar] [CrossRef]
- Qi, B.C.; Aldrich, C. Biosorption of Heavy Metals from Aqueous Solutions with Tobacco Dust. Bioresour. Technol. 2008, 99, 5595–5601. [Google Scholar] [CrossRef] [PubMed]
- Davis, T.A.; Volesky, B.; Mucci, A. A Review of the Biochemistry of Heavy Metal Biosorption by Brown Algae. Water Res. 2003, 37, 4311–4330. [Google Scholar] [CrossRef]
- Alsawy, T.; Rashad, E.; El-Qelish, M.; Mohammed, R.H. A Comprehensive Review on the Chemical Regeneration of Biochar Adsorbent for Sustainable Wastewater Treatment. npj Clean Water 2022, 5, 29. [Google Scholar] [CrossRef]
- Renu; Sithole, T. A Review on Regeneration of Adsorbent and Recovery of Metals: Adsorbent Disposal and Regeneration Mechanism. S. Afr. J. Chem. Eng. 2024, 50, 39–50. [Google Scholar] [CrossRef]
- Jevremovic, A.; Rakovic, M.; Lezajic, A.J.; Uskokovic-Marmovic, S.; Vasiljevic, B.N.; Gavrilov, N.; Bujuk-Bogdanovic, D.; Milojevic-Rakic, M. Regeneration or Repurposing of Spent Pollutant Adsorbents in Energy-Related Applications: A Sustainable Choice? Sustain. Chem. 2025, 6, 28. [Google Scholar] [CrossRef]
- Tian, Q.; Bai, Y.; Pan, Y.; Chen, C.; Yao, S.; Sasaki, K.; Zhang, H. Application of Geopolymer in Stabilization/Solidification of Hazardous Pollutants: A Review. Molecules 2022, 27, 4570. [Google Scholar] [CrossRef]
- Zhang, Z.; Zhao, C.; Rao, Y.; Yu, C.; Luo, Z.; Zhao, H.; Wang, X.; Wu, C.; Wang, Q. Solidification/Stabilization and Risk Assessment of Heavy Metals in Municipal Solid Waste Incineration Fly Ash: A Review. Sci. Total Environ. 2023, 892, 164451. [Google Scholar] [CrossRef]









| Sample | BET Surface Area (m2/g) | T-Plot Pore Volume (cm3/g) | BJH Pore Volume (cm3/g) | BJH Pore Size (nm) |
|---|---|---|---|---|
| RH-0 | 2.106 | −0.0007 | 0.0090 | 16.480 |
| RH-20 | 1.662 | −0.0005 | 0.0080 | 20.452 |
| RH-40 | 1.493 | −0.0005 | 0.0073 | 24.813 |
| Sample | Elemental Composition (wt%) | |||
|---|---|---|---|---|
| O | C | O/C | Others | |
| RH-0 | 43.2 ± 1.6 | 54.1 ± 2.3 | 0.80 ± 0.05 | 4.7 ± 0.2 |
| RH-10 | 43.3 ± 1.2 | 53.7 ± 1.3 | 0.81 ± 0.03 | 5.0 ± 0.3 |
| RH-20 | 44.1 ± 0.9 | 52.9 ± 1.7 | 0.83 ± 0.03 | 4.7 ± 0.2 |
| RH-30 | 44.5 ± 0.6 | 51.6 ± 1.7 | 0.86 ± 0.03 | 4.9 ± 0.2 |
| RH-40 | 45.2 ± 1.1 | 50.6 ± 1.9 | 0.89 ± 0.04 | 5.2 ± 0.4 |
| Element | Elemental Composition (wt%) | ||||
|---|---|---|---|---|---|
| RH-0 | RH-10 | RH-20 | RH-30 | RH-40 | |
| Si | 76.1 | 76.1 | 75.9 | 76.2 | 77.2 |
| P | 4.6 | 4.4 | 4.8 | 4.6 | 4.6 |
| S | 1.2 | 1.2 | 1.2 | 1.2 | 1.1 |
| Cl | 2.2 | 2.3 | 2.2 | 2.1 | 2.0 |
| K | 9.4 | 9.5 | 9.3 | 9.2 | 8.8 |
| Ca | 4.2 | 4.3 | 4.3 | 4.3 | 4.2 |
| Mn | 1.3 | 1.3 | 1.3 | 1.3 | 1.2 |
| Fe | 1.1 | 1.0 | 1.0 | 1.1 | 1.0 |
| C0 (mg/L) | Slope | Y-Intercept | k1 (min−1) | qe (mg/g) | R2 |
|---|---|---|---|---|---|
| Cu | |||||
| 10 | −0.0877 | 2.0412 | 0.088 | 7.70 | 0.678 |
| 50 | −0.0476 | 4.0146 | 0.048 | 55.40 | 0.766 |
| 250 | −0.0646 | 5.2430 | 0.065 | 189.24 | 0.860 |
| Cr | |||||
| 10 | −0.0388 | 2.9847 | 0.039 | 19.78 | 0.637 |
| 50 | −0.0480 | 3.8321 | 0.048 | 46.16 | 0.627 |
| 250 | −0.0619 | 5.7971 | 0.062 | 329.34 | 0.881 |
| Zn | |||||
| 10 | −0.0596 | 3.5255 | 0.059 | 33.97 | 0.819 |
| 50 | −0.0475 | 3.7159 | 0.048 | 41.09 | 0.616 |
| 250 | −0.0568 | 4.9595 | 0.057 | 142.52 | 0.835 |
| C0 (mg/L) | Slope | Y-Intercept | k2 (g/(mg·min)) | qe (mg/g) | R2 |
|---|---|---|---|---|---|
| Cu | |||||
| 10 | 0.0171 | 0.0155 | 0.019 | 58.48 | 0.999 |
| 50 | 0.0051 | 0.0070 | 0.004 | 196.08 | 0.999 |
| 250 | 0.0018 | 0.0028 | 0.001 | 555.56 | 0.999 |
| Cr | |||||
| 10 | 0.0134 | 0.0174 | 0.010 | 74.63 | 0.999 |
| 50 | 0.0049 | 0.0065 | 0.004 | 204.08 | 0.999 |
| 250 | 0.0013 | 0.0028 | 0.001 | 769.23 | 0.999 |
| Zn | |||||
| 10 | 0.0107 | 0.0156 | 0.007 | 93.46 | 0.999 |
| 50 | 0.0053 | 0.0053 | 0.005 | 188.68 | 0.999 |
| 250 | 0.0023 | 0.0033 | 0.002 | 434.78 | 0.999 |
| C0 (mg/L) | Slope | Y-Intercept | kid (mg/(g·min1/2)) | C (mg/g) | R2 |
|---|---|---|---|---|---|
| Cu | |||||
| 10 | 17.869 | 1.599 | 17.869 | 1.599 | 0.977 |
| 50 | 57.934 | 5.351 | 57.934 | 5.351 | 0.982 |
| 250 | 153.93 | 17.689 | 153.930 | 17.689 | 0.967 |
| Cr | |||||
| 10 | 21.877 | 1.450 | 21.877 | 1.450 | 0.984 |
| 50 | 58.975 | 3.906 | 58.975 | 3.906 | 0.984 |
| 250 | 195.600 | 32.514 | 195.600 | 32.514 | 0.953 |
| Zn | |||||
| 10 | 26.934 | 1.784 | 26.934 | 1.784 | 0.974 |
| 50 | 55.679 | 3.690 | 55.679 | 3.690 | 0.981 |
| 250 | 126.24 | 10.859 | 126.24 | 10.859 | 0.978 |
| C0 (mg/L) | Slope | Y-Intercept | kid (mg/(g·min1/2)) | C (mg/g) | R2 | RMSE | RMSE/qe (%) |
|---|---|---|---|---|---|---|---|
| Cu | |||||||
| 10 | 0.264 | 55.456 | 0.264 | 55.456 | 0.352 | 0.938 | 1.62 |
| 50 | 2.144 | 173.71 | 2.144 | 173.71 | 0.789 | 2.831 | 1.45 |
| 250 | 8.812 | 463.06 | 8.812 | 463.06 | 0.682 | 14.937 | 2.75 |
| Cr | |||||||
| 10 | 0.641 | 67.921 | 0.264 | 55.456 | 0.512 | 1.646 | 2.19 |
| 50 | 1.786 | 183.24 | 2.144 | 173.71 | 0.509 | 4.646 | 2.32 |
| 250 | 18.004 | 569.55 | 8.812 | 463.06 | 0.790 | 22.226 | 3.02 |
| Zn | |||||||
| 10 | 0.964 | 82.801 | 0.264 | 55.456 | 0.634 | 1.874 | 2.02 |
| 50 | 1.289 | 174.88 | 2.144 | 173.71 | 0.342 | 4.552 | 2.42 |
| 250 | 5.475 | 386.24 | 8.812 | 463.06 | 0.639 | 10.465 | 2.39 |
| Element | Slope | Y-Intercept | qmax (mg/g) | KL (L/mg) | R2 |
|---|---|---|---|---|---|
| Cu | 0.1105 | 0.0019 | 535.33 | 0.0169 | 0.995 |
| Cr | 0.0748 | 0.0020 | 491.64 | 0.0272 | 0.969 |
| Zn | 0.0445 | 0.0031 | 318.88 | 0.0705 | 0.941 |
| Element | Slope | Y-Intercept | n | KF (mg/g)(L/mg)1/n | R2 |
|---|---|---|---|---|---|
| Cu | 0.6499 | 1.2181 | 1.539 | 16.524 | 0.999 |
| Cr | 0.6531 | 1.3105 | 1.531 | 20.443 | 0.988 |
| Zn | 0.4185 | 1.6295 | 2.389 | 42.614 | 0.993 |
| Metal | Biosorbent | Removal Capacity (mg/g) | Reference |
|---|---|---|---|
| Cu | RH-40 | 541.5 ± 28.8 | This work |
| RH-0 | 71.1 ± 2.3 | This work | |
| T. indica seed powder | 82.97–133.24 | [67] | |
| Banana peel biochar | 75.99 | [68] | |
| Pinewood sawdust biochar | 8.9 | [69] | |
| Cr | RH-40 | 732.4 ± 49.2 | This work |
| RH-0 | 124.9 ± 6.3 | This work | |
| Durian shell | 117 | [70] | |
| Rice straw | 3.15 | [71] | |
| Palm kernel cake biochar | 19.92 | [72] | |
| Zn | RH-40 | 431.1 ± 29.4 | This work |
| RH-0 | 52.9 ± 2.9 | This work | |
| Pinewood sawdust biochar | 5.2 | [69] | |
| Tobacco dust | 25.1 | [73] | |
| Brown algae | 91.5 | [74] |
Disclaimer/Publisher’s Note: The statements, opinions and data contained in all publications are solely those of the individual author(s) and contributor(s) and not of MDPI and/or the editor(s). MDPI and/or the editor(s) disclaim responsibility for any injury to people or property resulting from any ideas, methods, instructions or products referred to in the content. |
© 2026 by the authors. Licensee MDPI, Basel, Switzerland. This article is an open access article distributed under the terms and conditions of the Creative Commons Attribution (CC BY) license.
Share and Cite
Saemood, K.; Samutsan, S.; Hemvichian, K.; Lertsarawut, P.; Thong-In, S.; Mungpayaban, H.; Tokonami, S.; Tokonami, R.; Takahashi, T.; Saenboonruang, K. Valorizing Rice Husk Waste as a Biosorbent with Gamma-Induced Surface Modification for Enhanced Heavy-Metal Adsorption. Sustainability 2026, 18, 549. https://doi.org/10.3390/su18010549
Saemood K, Samutsan S, Hemvichian K, Lertsarawut P, Thong-In S, Mungpayaban H, Tokonami S, Tokonami R, Takahashi T, Saenboonruang K. Valorizing Rice Husk Waste as a Biosorbent with Gamma-Induced Surface Modification for Enhanced Heavy-Metal Adsorption. Sustainability. 2026; 18(1):549. https://doi.org/10.3390/su18010549
Chicago/Turabian StyleSaemood, Kulthida, Siriphon Samutsan, Kasinee Hemvichian, Pattra Lertsarawut, Saowaluck Thong-In, Harinate Mungpayaban, Shinji Tokonami, Ryoma Tokonami, Tatsuhiro Takahashi, and Kiadtisak Saenboonruang. 2026. "Valorizing Rice Husk Waste as a Biosorbent with Gamma-Induced Surface Modification for Enhanced Heavy-Metal Adsorption" Sustainability 18, no. 1: 549. https://doi.org/10.3390/su18010549
APA StyleSaemood, K., Samutsan, S., Hemvichian, K., Lertsarawut, P., Thong-In, S., Mungpayaban, H., Tokonami, S., Tokonami, R., Takahashi, T., & Saenboonruang, K. (2026). Valorizing Rice Husk Waste as a Biosorbent with Gamma-Induced Surface Modification for Enhanced Heavy-Metal Adsorption. Sustainability, 18(1), 549. https://doi.org/10.3390/su18010549

