Next Article in Journal
Evaluation of Management Effectiveness of an Outstanding Marine Protected Area in Southwest Coast of Türkiye: On the Road to 30 by 30
Previous Article in Journal
Digital Nomads, the New Frontier of Work in the Digital Age: A Bibliometric Analysis
 
 
Font Type:
Arial Georgia Verdana
Font Size:
Aa Aa Aa
Line Spacing:
Column Width:
Background:
Article

A Sustainable Approach in the Removal of Pharmaceuticals: The Effects of Operational Parameters in the Photocatalytic Degradation of Tetracycline with MXene/ZnO Photocatalysts

by
Zeynep Karcıoğlu Karakaş
* and
Zeliha Dönmez
Department of Environmental Engineering, Engineering Faculty, Atatürk University, Erzurum 25030, Türkiye
*
Author to whom correspondence should be addressed.
Sustainability 2025, 17(5), 1904; https://doi.org/10.3390/su17051904
Submission received: 6 January 2025 / Revised: 16 February 2025 / Accepted: 21 February 2025 / Published: 24 February 2025
(This article belongs to the Topic Sustainable Technologies for Water Purification)

Abstract

Zinc oxide (ZnO) is a vital semiconductor that is widely used for a wide variety of purposes. It is known that this material has a wide bandgap, and this property makes it sensitive to UV radiation. This way, ZnO nanoparticles can be used as photocatalysts in various processes and exhibit excellent catalytic activity. This study aims to produce a new and effective catalyst by combining ZnO nanoparticles used as photocatalysts with MXene, a two-dimensional material. MXenes have a great potential in terms of environmental sustainability. MXenes offer a wide range of sustainable solutions, from energy storage to water treatment, carbon capture to environmentally friendly electronics. The studies carried out for this purpose were carried out in two stages. In the first part, the composite particle was synthesized. In the second part, the produced composite was used as a photocatalyst in the photocatalytic degradation of tetracycline, an endocrine disruptor commonly encountered in wastewater. Optimum conditions were determined for operational parameters such as catalyst dosage, pollutant concentration, pH, irradiation time, light intensity, and temperature, which have the potential to affect the process efficiency significantly. The experiments conducted under optimum conditions determined that the organic pollutant in the solution was removed entirely.

1. Introduction

The safety and stability of our ecosystem are the most fundamental factors determining the welfare and future of the human race. Unfortunately, increasing environmental pollution today causes widespread destruction of the whole ecosystem and jeopardizes people’s health. Hazardous and toxic wastewater, containing large amounts of organic pollutants discharged from various industries to receiving environments without any treatment process, are among the primary pollutants polluting our planet. Mixing these substances into water very negatively affects the water, which is the essential source of life, and significantly reduces water quality and sometimes even makes it unusable. Among these organic pollutants, one of the most common and dangerous types is the group of chemical substances characterized as endocrine disruptors.
Endocrine disruptors are exogenous substances or mixtures of substances that have the potential to affect the functions of the endocrine system when they come into contact with human beings or other living organisms and cause adverse health effects both on humans and other living organisms. These substances can change the synthesis, transport, metabolism, binding patterns, biological activities, excretion pathways, and even the effects of natural hormones in the target cell. The harmful effects of endocrine disruptors are generally observed on steroid or peptide/protein hormones. Gene-related problems that may arise from exposure to endocrine disruptors can lead to many serious diseases later in life. Moreover, it is estimated that these genetic problems can be transferred to the following generations. Today, these substances, which are found in the structure of many drugs, are mixed into domestic or industrial wastewater in various ways and pose a significant threat to human and environmental health. It is essential to remove these substances, known to have extremely harmful effects on humans and other living organisms, without allowing for any exposure. Therefore, studies based on the effective and efficient removal of these substances from wastewater are of great interest.
On the other hand, photocatalytic oxidation is attracting the attention of more and more researchers as a new advanced oxidation method that effectively removes a wide range of organic pollutants from wastewater. Thanks to photocatalytic oxidation, organic contaminants in wastewater can be decomposed to their harmless components, such as CO2 and H2O, without generating any secondary waste. Therefore, photocatalytic oxidation is a promising, practical, efficient, simple, low-cost, and environmentally friendly process for clean and potable water technologies. In photocatalytic oxidation processes, the main factor affecting the efficiency of the process is the type and quality of the photocatalyst material used [1]. Today, scientific studies on photocatalysis mainly focus on two main objectives. The first is the development of new photocatalysts that are low-cost, highly efficient, biologically compatible, non-toxic, easily separable, potentially reusable, and can be produced without harming the environment. The second main objective involves the studies aiming to increase the interaction between the pollutant and the photocatalyst. In this context, it is possible to improve the catalyst’s efficiency by compositing the substance used as a photocatalyst with highly active and high-surface-area nanomaterials such as carbon nanotubes, graphene, graphene oxide, and reduced graphene oxide. Moreover, it is possible to increase the efficiency of the process by optimizing the operating parameters such as catalyst dosage, pollutant concentration, pH, mixing speed, light intensity, and temperature in photocatalytic processes.
MXenes are the newest members of the two-dimensional nanomaterials’ family and are represented by the general formula Mn+1XnTx. In this formula, M characterizes nitrogen or carbon elements, X usually represents a transition metal element, and T represents functional groups. MXenes are a class of advanced materials consisting of transition metal carbides, nitrides, or carbides, typically several atomic layers thick. MXenes are obtained by selective etching of the group A element in the structure of MAX phases. MXenes exhibit different physical and chemical properties due to the lack of element A and the presence of surface terminations such as hydroxyl (OH), oxygen (O), or fluoride (F) while maintaining the layered structure of MAX phases. These surface terminations are critical in determining important properties of MXenes, such as hydrophilicity, electrical conductivity, and chemical reactivity [2,3].
MAX phases are ternary compounds with the general formula Mn+1AXn, where M represents an early transition metal (e.g., titanium or vanadium), n can take a value ranging from 1 to 4, M represents an early transition metal, X represents carbon or nitrogen, and A represents a group A element (such as aluminum or silicon). Moreover, X represents carbon and/or nitrogen. These materials have a unique combination of metallic and ceramic properties; they perform similarly to metals in terms of electrical conductivity while retaining ceramics’ strength and resistance properties. MAX phases have a layered structure, making them an ideal precursor material for MXene production. Their layered structure contains alternating layers in which M-X units are separated by group A elements. The primary step in synthesizing MXenes is releasing M-X layers by selective removal of the group A elements. This process allows the unique properties of MXenes to emerge [4,5,6].
MXenes exhibit significant versatility in various applications, from energy-storage devices such as batteries and supercapacitors to water purification systems. Their high electrical conductivity and functionalisability make them ideal for applications requiring high-performance materials and flexibility in chemical composition (2D). In addition, MXenes generally offer high surface area due to their two-dimensional structure. In this way, they are widely used in applications such as catalysis and electromagnetic interference (EMI) shielding [4,7]. The most common method for synthesizing MXenes is the selective etching of group A elements from MAX phases using fluoride-containing acids, usually hydrofluoric acid (HF). In this process, MAX phase powder is slowly added to an HF solution, and the group A layers are separated in solution, leaving behind transition metal carbide or nitride layers. After etching, the mixture is washed and filtered to obtain multilayer MXene flakes. These flakes can be converted into single or multilayer MXenes by delamination [5,8,9,10].
With its superior properties such as enhanced oxidation capacity, tunable size and morphology, high chemical stability, low toxicity, low cost, and easy manufacturability, n-type semiconductor zinc oxide (ZnO) has excellent potential as an effective and efficient photocatalyst, especially in the degradation of organic pollutants by photocatalytic oxidation. ZnO is an abundant and relatively low-cost material in nature, making it a sustainable option in environmental applications. It is non-toxic, meaning it can be used safely in applications such as water treatment without harming the environment. The pure form of ZnO typically has a bandgap of about ~3.3 eV, allowing it to exhibit strong photocatalytic activity under ultraviolet (UV) light. Thus, ZnO is a highly promising material for photocatalysts. It has a high photogeneration ability, i.e., it can easily form electron–hole pairs with UV light [11,12,13,14,15,16]. There are many scientific studies in the literature on improving the photocatalytic activity of ZnO. In some of these studies, zinc oxide nanoparticles are used alone as photocatalysts, while most of these studies are about the effects of composites formed with other photocatalysts or materials used as catalyst support on the photocatalytic activity of ZnO [17].
This study aimed to produce an MXene/ZnO composite for the photocatalytic removal of tetracycline from wastewater and to investigate the effects of operational parameters that may affect the process. MXene/ZnO photocatalysts are expected to provide much better photocatalytic activity than pure zinc oxide (ZnO). The use of ZnO/MXene photocatalysts in environmental processes may offer several potential benefits due to the unique properties of both materials. Zinc oxide (ZnO) is a widely used photocatalyst due to its strong oxidation ability, non-toxicity, and low cost. It has a wide bandgap, making it effective under UV light [18,19]. MXenes, on the other hand, describe two-dimensional materials consisting of two-dimensional transition metal carbides, nitrides, and carbonitrides. Materials in the MXene group generally have excellent electrical conductivity, large surface area, and hydrophilicity [3,7]. With these properties, these materials are widely used in heterogeneous catalysis applications. Combined with ZnO, a widely used photocatalyst, they can improve charge separation and transfer. When ZnO nanoparticles are combined with MXene, a new structure emerges as a heterojunction that can significantly enhance the separation of photogenerated electron–hole pairs. This structure could reduce the recombination rates of electron–hole pairs and thus increase the photocatalytic efficiency. MXenes are expected to act as excellent electron conductors, facilitating the rapid removal of electrons from the ZnO surface, thereby increasing the efficiency of the overall photocatalysis process.
MXenes exhibit excellent chemical stability, making the composite durable under various environmental conditions. This combination also improves the mechanical properties, enabling the photocatalysts to maintain their structural integrity and performance over long periods. Regarding cost, ZnO is an abundantly available and, therefore, relatively low-cost chemical material. MXenes, on the other hand, although relatively more expensive, are expected to become increasingly abundant and readily available thanks to advances in synthesis methods and increasing demand for industrial applications. Therefore, the cost of the catalyst material to be produced is expected to decrease significantly. Moreover, the production of ZnO/MXene composites can be scaled up using cost-effective and simple methods, even with the techniques currently applied for producing materials with similar properties, making these materials more suitable and usable for large-scale environmental applications [20,21,22,23].
In this study, ZnO, a common photocatalyst, was combined with MXene due to its high surface area, electrical conductivity, and hydrophilic properties. Thus, it aims to increase the separation of electron–hole pairs and photocatalytic efficiency. The effects of MXene and ZnO on photocatalytic performance have been investigated in a limited number of studies. In this study, unlike the others, this composite’s effectiveness in removing organic pollutants tetracycline was emphasized. In addition, ZnO nanoparticles were synthesized in situ on MXene layers. The study systematically investigated the effects of many operational parameters such as pH, temperature, catalyst dosage, light intensity, and pollutant concentration on the process efficiency. Optimizing the parameters in such a wide range will provide a comprehensive analysis in terms of the industrial-scale applicability of the process. In addition, the stability and reusability of the MXene/ZnO photocatalyst were evaluated in detail in the study. In summary, this study differs from other studies in the literature regarding the method used in synthesizing MXene/ZnO composite photocatalysts, optimization process, and performance evaluations. Significantly, the comprehensive analysis of operational parameters, reusability tests, and focus on using visible light make the study original.
This study was planned to consider all these efficiency-enhancing factors. Accordingly, in this two-stage study, MXene compounds, a new type of 2D material, were produced by a selective chemical etching method starting from the chemical structure known as the MAX phase in the first stage. Then, ZnO nanoparticles were synthesized in the obtained MXene phase using the hydrothermal synthesis method. Thus, a new and effective photocatalyst with high surface area and catalytic performance was obtained. The composite material (MXene@ZnO) received in the second part of the study was used as a catalyst for removing organic pollutants in wastewater by photocatalytic oxidation. The possible effects of operating parameters such as catalyst dosage, pollutant concentration, pH, light intensity, initial pollutant concentration, and temperature on the process efficiency were extensively investigated in this context.

2. Materials and Methods

2.1. Preparation of Materials

Zinc nitrate tetra hydrate (Zn(NO3)2.4H2O) salt as a metal source for the synthesis in this study was obtained from Sigma-Aldrich (Darmstadt, Germany). The MAX phase in the form of Ti3AlC2 used for MXene Synthesis was obtained from Nanografi (Ankara, Turkey) and HF solution from Sigma-Aldrich (Germany). Tetracycline, ammonia solution (NH4OH, 25%, w/w), and all other chemicals were obtained from Sigma-Aldrich. All chemicals were used directly without any additional treatment. The light source was a Pen-Ray UV lamp with a wavelength of 254 nm and a light intensity of 4400 µW/cm2 from Cole-Parmer (Vernon Hills, IL, USA).

2.2. Synthesis Studies

2.2.1. Production of MXene Sheets from MAX Phase

MXene, 2 g of Ti3AlC2 used as MAX phase, was precisely weighed and mixed with hydrofluoric acid (HF) solution (40%, w/w). This suspension was stirred on a stirrer at 60 °C for 24 h. The final suspension was filtered and washed successively with distilled water several times to remove residual HF altogether. Then, the MXene product was dried in a vacuum oven at 60 °C for 24 h.

2.2.2. Production of ZnO and ZnO@MXene Composite

To synthesize zinc oxide nanoparticles, 2 g of zinc nitrate (Zn(NO3)2.4H2O) salt was precisely weighed into a beaker and dissolved by adding 200 mL of distilled water. The pH value of the solution was adjusted from 5.5 to 7.5 with an ammonium hydroxide solution (25%). The final mixture was stirred at room temperature for about one hour. The final mix was transferred to a Teflon-coated and pressure-resistant reactor, and then the reactor was kept in a 150 °C oven for 24 h [24]. At the end of this period, the reactor was cooled to room temperature, and the reactor content was centrifuged. The solid part containing ZnO nanoparticles was washed twice with ethanol and water. The ZnO nanoparticles were dried in a vacuum oven at 100 °C for 24 h. The final product was ground into a fine powder.
To prepare the MXene@ZnO composite, a certain amount of MXene compound was weighed and taken into a beaker, and 100 mL of distilled water was added. To increase the dispersion of MXene material in pure water, it was homogenized with the help of an ultrasonic prop homogenizer for about 2 min. Then, a certain amount of zinc nitrate salt was added to this water–MXene mixture. MXene/ZnO molar ratio in the composite structure was applied as 0.20/1. The pH value of the mixture was then adjusted to 7.5 with an ammonia solution (25%), and a magnetic stirrer effectively stirred the resulting mixture for about 1 h. The final mix was taken into a Teflon-lined and pressure-resistant reactor, and the reactor was subjected to heat treatment in an oven at 150 °C for 24 h. At the end of this time, the reactor was cooled to room temperature, and the reactor contents were centrifuged. The solid obtained was washed twice with ethanol and water, respectively. The produced ZnO@MXene composite nanoparticles were dried in a vacuum oven at 100 °C for 24 h. The final product obtained was ground into a fine powder. The schematic representation of the synthesis process designed for the synthesis of MXene@ZnO composite is shown in Figure 1 [25].

2.3. Experimental Procedure for Photocatalysis Experiments

Photocatalysis experiments were carried out using a jacketed glass reactor with a volume of approximately 200 mL. A thermostat controlled the temperature of the glass reactor. Stirring was carried out magnetically. UV-C (254 nm)-type lamp with a light intensity of 4400 µW/cm2 was the light source for UV irradiation. The entire perimeter of the reactor was carefully covered with aluminum foil to avoid possible light interference. Solutions containing tetracycline at specific concentrations were prepared to create model wastewater. Before starting UV irradiation in the solution, an adsorption process (without UV irradiation) was performed for the first 30 min. Then, UV irradiation was started, samples were taken at certain time intervals, and the change in pollutant concentration was followed with the help of a UV spectrophotometer. The schematic representation of the experimental setup used for photocatalysis experiments is given in Figure 2.
In this study, where the removal of organic pollutants by photocatalytic degradation is targeted, operational parameters that may affect process efficiency and the levels of these parameters are determined, and several essential criteria known to affect the process are considered. One of the most fundamental factors affecting efficiency in these processes is the initial pH value of the solution. The initial pH value of the solution can affect the photocatalytic activity by affecting the surface charge of the photocatalyst and the ionization state of organic pollutants. Optimizing the pH level is essential to maximize efficiency. Another critical parameter is the type of light source, the wavelength it emits, and the intensity of the emitted light. The kind of light source (UV, visible, or solar radiation) and its intensity play a vital role in photocatalytic oxidation. Therefore, optimizing parameters such as light intensity and irradiation time is essential. The initial concentration of organic pollutants in the solution also can significantly affect photocatalytic oxidation efficiency. The higher the concentration, the more difficult it is to remove the pollutant within a reasonable time frame.
On the other hand, temperature can affect the reaction kinetics and the stability of the photocatalyst. It is crucial to control the temperature to ensure optimum performance without compromising the stability of the photocatalyst. On the other hand, the amount of photocatalyst loaded into the reaction system affects the surface area available for catalysis and, therefore, can significantly impact the efficiency. Optimizing the catalyst dosage can increase the efficiency while minimizing the costs. The duration of the photocatalytic reaction is substantial to achieve the desired level of pollutant removal. Longer reaction times can lead to higher pollutant removal efficiencies but should be balanced with practical considerations. This study aims to optimize the operational parameters through systematic experiments and thereby increase the efficiency of the photocatalytic degradation process to remove organic pollutants. Accordingly, the investigated operational parameters and the levels of these parameters are given in Table 1.

2.3.1. Optimization Experiments

A systematic experimental procedure based on the classical optimization approach was designed to investigate the effects of operational parameters on the efficiency of the photocatalysis process. Accordingly, the traditional method known as the One-Factor-at-a-Time (OFAT) screening method will be applied for optimization. Accordingly, single-factor experiments were initially conducted, in which one parameter was changed and the others were kept constant at the basic level. While the levels of the parameters examined in these studies were altered, 400 rpm for stirring speed, 4400 µW/cm2 for light intensity, 30 °C for temperature, 90 min for time, 50 mg/L for initial pollutant concentration, 0.05 g/L for catalyst dosage, and the natural pH value of the solution for pH were applied as the basic levels of the other parameters based on the experiences obtained from the preliminary studies. The results obtained from these experiments are given in Section 3.2.
Error bars, determined by standard deviation, are an important way to demonstrate reproducibility. Error bars and standard deviation show that possible experimental errors and uncertainties are taken into account by the researchers and that the results reflect these errors. In this study, some experiments were repeated at different times to verify the reproducibility of the experimental data obtained and to understand the effect of possible experimental errors on the results. Standard-deviation analysis was applied to the results obtained and an average standard-deviation value was determined from these values and added to all experimental results as error bars. The standard-deviation analysis was performed using the equations given below.
σ = 1 N 1 i = 1 N ( x i x ¯ ) 2
σ = ( x 1 x ¯ ) 2 + ( x 1 x ¯ ) 2 N 1
where N is the number of data, x i is the result of the experiment, and x ¯ is the average of the results obtained from the experiments.

2.3.2. Investigation of Stability and Reusability of Photocatalyst

The long-term utilization tests of the produced material were subjected to repeated use in consecutive trials under optimum conditions. For this purpose, the catalyst particles were separated by centrifuging from the solution at the end of the experimental time. The separated catalyst nanoparticles were washed with ethanol and distilled water by removing the contaminants or reaction residues retained on them [26,27]. Then, they were dried at 100 °C for 2 h and used as a photocatalyst under the same conditions. These processes were repeated 5 times in a cycle form, and the changes in the photocatalytic activity of the photocatalyst during this period were observed. The results obtained from these experiments are given in Section 3.2.9.

2.3.3. Measurement of Tetracycline Concentrations

Tetracycline is widely used as an antibiotic and is considered an important pollutant in terms of environmental pollution. The release of antibiotics such as tetracycline into the environment without any treatment can cause serious adverse effects on water resources and ecosystems. Therefore, research on the removal of such pollutants will directly contribute to the fight against environmental pollution. It is estimated that tetracycline can be effectively degraded by photocatalytic reactions due to the functional groups in its structure. In the study, it is expected that the photocatalytic system designed for tetracycline degradation will be effective not only against this pollutant but also against other pollutants with similar structures. Moreover, since tetracycline is a well-known and widely researched pollutant for photocatalytic processes, it can provide the opportunity to compare with the existing data in the literature. This allows the effectiveness and efficiency of the applied system to be evaluated more easily. Therefore, tetracycline was selected as the model pollutant in this study.
Tetracycline is a widely used antibiotic-drug active ingredient. Tetracycline is commonly used to treat human and animal diseases [28]. Tetracycline can usually be seen in wastewater, some streams and lakes, or activated sludge at pg/L-µg/L levels, but in some cases, it can be encountered even at concentrations above mg/L. This study monitored concentration changes in tetracycline solutions with a UV–Vis spectrometer. UV–spectrum scanning was performed in the range of 200–800 nm for each sample to monitor concentration changes.

3. Results and Discussion

3.1. Synthesis and Characterization of the MXene/ZnO Photocatalyst

This study carried out MXene/ZnO composite production in two stages. First, a certain amount of commercially available MAX phase (Ti3AlC2) was taken, and aluminum was selectively etched with concentrated HF solution. Then, the acid removal process was applied by washing processes with pure water. The obtained product was subjected to ultrasonic sonication for approximately 10 min in a certain amount of water. The mixture was filtered and separated at the end of the sonication process, and the obtained MXene solid was dried in an oven.
On the other hand, pure ZnO nanoparticles were synthesized using the hydrothermal method to investigate the synthesizability of ZnO nanoparticles using the proposed method. No surfactant was used to reduce waste formation in this synthesis method. All washing processes were also performed with pure water. Phase verification was performed by XRD analysis on the MAX phase used, synthesized MXene, and pure ZnO products. The X-ray diffraction patterns of these samples are shown in Figure 3.
When the diffraction patterns given here are examined, it can be seen that the structure of the initial MAX phase has completely changed and transformed into MXene as a result of the applied acid-leaching and ultrasonic sonication processes. When the X-ray graphics obtained for the MXene phase are compared with similar studies, it is seen that the targeted material has been successfully synthesized. Moreover, the X-ray diffractograms of pure ZnO nanoparticles are given in Figure 3d. In the X-ray diffractogram obtained for ZnO nanoparticles, it is seen that all reflection peaks defined in the standard diffraction cards (JCPDS Card no: 00-036-1451) of this substance are observed. Therefore, the X-ray diffraction patterns obtained for ZnO are highly compatible with the standard cards and the literature in the relevant field. In light of these data, we have observed that zinc oxide particles can also be successfully synthesized with the predicted synthesis method. Accordingly, the MXene/ZnO composite was synthesized using the same approach, and an XRD analysis was performed on the obtained product. The X-ray diffraction pattern obtained for this product is given in Figure 3e. In the XRD pattern of this sample, reflection peaks attributed to MXene and ZnO structures were observed together. Therefore, it can be seen that the targeted product was synthesized successfully.
Scanning Electron Microscopy (SEM) is a powerful imaging and analysis method used to examine materials’ surface properties, microstructure, and topography. In this study, SEM analysis was performed on the MAX phase sample and the synthesized MXene, ZnO, and MXene/ZnO samples to examine the microstructure and morphology of the obtained samples. The obtained SEM images for MAX phase, MXene, and ZnO nanoparticles are given in Figure 4.
In the SEM images given for the MAX phase, a multilayered structure, which is a defining characteristic of the MAX phase, is seen. It is known that there is a layer containing aluminum (Al) in this layered structure. The images obtained for this sample are consistent with the data in some previously published studies [29,30,31].
When the SEM images given for the MXene phase are examined, it can be seen that the acid-leaching process performed to dissolve the aluminum layer was successfully performed, and gaps were formed between the MXene layers compared to the images obtained for the MAX phase. It can be seen that the layers are primarily separated from each other thanks to the applied ultrasound. This process can be carried out more efficiently if the intensity or duration of the applied ultrasound is increased. It should also be taken into account that when nanoparticles are exposed to excessive amounts of ultrasound in an aqueous solution, several potentially harmful effects can occur depending on the ultrasound’s intensity, frequency, and duration. High-intensity ultrasonic effects can produce sound, shock, and intense shear forces, breaking nanoparticles into smaller pieces or changing their size distribution. Therefore, prolonged or intense sonication can lead to deformation or damage to the structural integrity of the nanoparticles. Moreover, this situation can reduce the dispersion quality or change the functional behavior of the nanoparticles. Thus, it may put the expected potential benefit and, thus, its potential intended applications at risk. When the expected potential benefit, cost, and possible adverse effects were evaluated together, it was determined that the applied ultrasound intensity and duration were sufficient.
One of the study’s main targets is the synthesis of ZnO nanoparticles on MXene layers with an in situ synthesis approach. When the SEM images given for ZnO in Figure 4e are examined, it is determined that the synthesized ZnO nanoparticles have a flower-like crystallization orientation. There are different studies in which ZnO nanoparticles with this morphology are synthesized. It is seen that the flower-like structures of ZnO nanoparticles consist of rod-like nanoparticles with an average thickness of 500–700 nm and length of 4–6 µm. Therefore, it can be said that the images obtained from this example are compatible with the literature [32,33,34,35,36,37,38]. The SEM images obtained for the synthesized MXene/ZnO composite and the particle-size-distribution histogram obtained from these images are presented in Figure 5.
In the SEM images given for the synthesized MXene/ZnO composite, it is seen that the ZnO nanoparticles synthesized in situ have a relatively homogeneous distribution in terms of shape and size. In terms of the morphological properties of the synthesized particles, it is seen that they have a very different morphology compared to the situation synthesized without MXene. Here, it is seen that MXene particles in the synthesis mixture display a very important change in the crystallization of the produced zinc oxide nanoparticles. It is known that the morphological properties and crystallization characteristics of nanomaterials have important effects on the catalytic activity of these materials. The histogram of particle-size distribution generated by image analysis of the synthesized ZnO nanoparticles is also presented in Figure 5c. As can be seen from the histogram, most of the synthesized particles are in the range of 80–100 nm in terms of size distribution. The average particle size was defined as 105 nm.
It is also possible to obtain information about the chemical composition of the material during the analysis with an energy-dispersive X-ray spectroscopy (EDS/EDX) detector on the SEM devices. This study performed SEM-EDX analyses on the MAX phase sample and the synthesized MXene, ZnO, and MXene/ZnO samples. Accordingly, the SEM-EDX spectra obtained for these samples are given in Figure 6.
The EDX spectra for the MAX phase in Figure 6 determined that titanium, aluminum, and carbon elements were present as expected. As can be seen from the table showing the elemental compositions, the MAX phase contains approximately 14% aluminum (Al). The basic principle in producing MXene-type materials is based on the selective leaching of this aluminum layer. Accordingly, when the EDX spectrum of the MXene product obtained after acid leaching performed with concentrated HF solution is examined, titanium, carbon, and aluminum elements are observed in the material’s structure. In contrast, the peak intensity of aluminum is significantly reduced. When the elemental composition obtained by SEM EDX analysis of the MXene sample is compared with the data obtained for the MAX phase, it is determined that the aluminum content, which is approximately 14% in the MAX phase, decreases to 2% after the selective dissolution process. This result shows that the aluminum content in the structure of the MAX phase was removed mainly by HF leaching. On the other hand, only zinc and oxygen peaks were observed in the EDS spectrum of the synthesized ZnO sample. When the chemical composition ratios for zinc and oxygen are examined, it can be seen that the observed chemical composition is stoichiometrically compatible with ZnO.
In the SEM-EDX spectrum given for the MXene/ZnO product, as expected, carbon, titanium, zinc, and oxygen elements were determined, and aluminum was not detected in the sample. Despite this, it is estimated that there is aluminum in the structure of the sample, albeit in trace amounts. Although aluminum could not be detected in the point area selected for analysis, it is estimated that this sample may contain some aluminum. The chemical combination ratios presented here are primarily compatible with the stoichiometric ratios expected for the particle targeted for synthesis.
Transmission Electron Microscopy (TEM) is a type of electron microscope that provides very high-resolution imaging and is widely used to study nanomaterials’ structural, morphological, and compositional properties. TEM is a powerful technique for understanding nanomaterials’ structural, chemical, and physical properties. This information is critical for optimizing the performance of materials and developing new nanotechnological applications. TEM images of the synthesized MXene/ZnO composite are depicted in Figure 7.
When the TEM analyses of the samples are examined, it is seen that delaminated MXene layers and nanoparticles are homogeneously distributed on these layers. It can be seen that the synthesized ZnO nanoparticles are homogeneous in terms of both shape and size. Accordingly, it is seen that the obtained TEM images are compatible with the targeted material to be synthesized.
Examining the surface areas of nanoparticles to be used as catalysts is a critical step in increasing and optimizing catalytic processes’ efficiency. Measuring the surface area can provide significant advantages in understanding the structural properties of catalysts and making a more effective design. The method based on nitrogen gas adsorption at low temperatures is widely used for measuring nanomaterials’ surface areas. This technique is quite effective for understanding catalysts’ micro- and mesoporous structures. The method is based on the adsorption of nitrogen molecules onto the solid surface at low temperatures (usually at liquid nitrogen temperature, −196 °C). As the temperature increases, the adsorbed molecules separate from the surface. An isotherm is created during the analysis by measuring the amount of nitrogen during adsorption and desorption. These isotherms obtained provide important information about the surface properties of the materials. Accordingly, BET analysis was performed on the pure state of the MXene sample and the sample produced by making it into a composite with ZnO, and the adsorption and desorption isotherms obtained for both samples are presented in Figure 8 and various surface properties defined by these analyses are presented in Table 2.
When the isotherms given in Figure 8 are examined, it is seen that the adsorption amount increases significantly as the relative pressure (P/Po) increases for both samples. These isotherms show Type IV isotherm characteristics according to the IUPAC (International Union of Pure and Applied Chemistry) classification. Type IV isotherm indicates the material has a mesoporous (2–50 nm pore diameter) structure. Mesoporous structures are significant for catalysts because such materials facilitate the adsorption of reactants while at the same time having the potential to provide diffusion of products. There is a difference (hysteresis) between the adsorption and desorption curves. This hysteresis loop can generally provide important information about the shape and size of the material’s pore structure. The shape of the hysteresis usually shows a curve similar to the H1 or H3 type. H1-type hysteresis is seen in cylindrical or regular pore structures. H3-type hysteresis may indicate a lamellar or plate pore structure. Considering the leaf-like structure of MXene materials, it can be evaluated that such a hysteresis may be closer to H3. A similar trend regarding porosity is seen in both graphs when examined. The trends of the curves in these graphs indicate a combination of micro- and mesoporous structures. At low relative pressures (P/Po < 0.2), the slow increase in the adsorption amount suggests the presence of micropores. In contrast, at high relative pressures (P/Po > 0.8), the rapid increase in the adsorption amount indicates the dominance of mesopores due to the effect of capillary condensation. Based on these data, it can be said that the synthesized MXene nanomaterial has a mesoporous structure, a large surface area, and suitable properties for use as a catalyst.
Nitrogen adsorption is an effective and reliable method for measuring the surface area of nanoparticles used as catalysts. This analysis allows for an increase in catalysts’ reactivity and the development of more selective and efficient chemical processes. BET theory is a theory used to calculate the surface area by explaining multilayer adsorption from the adsorption isotherm. The data obtained by the BET method are an indispensable tool for catalyst design and development. With the BET method, the specific surface area for a powder sample is determined in m2/g based on the amount of nitrogen adsorbed. The active sites of catalysts are directly related to the surface area. Nanoparticles with a larger surface area allow more reactants to reach the surface, which increases the reaction efficiency. High surface area increases the speed of chemical reactions and allows more efficient reactions to be carried out at lower temperatures. A larger surface area makes achieving the same performance with a smaller amount of catalyst possible, which saves costs. When the data given in Table 2 are examined, a decrease in the surface area of the produced composite is observed compared to the pure form of the MXene-type material. This decrease is because the MXene-type material in the catalyst structure has a relatively high surface area, while the ZnO particles have a lower surface area.

3.2. Photocatalysis Experiments

The synthesized MXene/ZnO photocatalyst was used to remove tetracycline from wastewater by photocatalytic degradation, and its photocatalytic activity was tested. For this purpose, the effects of parameters such as UV irradiation time, the initial pH value of the solution, catalyst dosage, temperature, initial pollutant concentration, and light intensity on the removal efficiency were investigated, and these parameters were optimized.

3.2.1. Effect of UV Irradiation Duration

The UV irradiation time is a critical parameter in photocatalytic degradation processes because it determines the time during which the photocatalyst is activated and the pollutants are exposed to reactive species. Prolonged exposure is expected to enhance the degradation of the pollutant. Longer UV irradiation times can ensure more prolonged activation of the photocatalyst and continuous production of reactive oxygen species (ROS) such as hydroxyl radicals and superoxide anions. Thus, it increases the likelihood that pollutant molecules will encounter and react with ROS. However, as the process progresses, the concentration of the target pollutant decreases, resulting in slower reaction rates due to the reduced availability of reactants. After a certain point, further irradiation causes minimal additional degradation, leading to diminishing returns [39,40,41].
In the experiment to investigate the effect of UV irradiation time, only the adsorption procedure was applied without UV irradiation for the first 30 min. UV irradiation was started, and the photocatalysis process was initiated. During the 120 min of the experiment, samples were taken at regular intervals, and the change in pollutant concentration was monitored. In this experiment, the values of other parameters were applied as 0.050 g/L for catalyst dosage, 400 rpm for stirring speed, natural pH value of the solution for pH, 50 mg/L for pollutant concentration, 4400 µW/cm2 for light intensity, and 30 °C for temperature. The results obtained from these experiments are given in Figure 9.
When the results given in Figure 9 are examined, it is seen that there is a limited degradation efficiency in the photocatalysis study carried out with ZnO. When these results are compared with the results of the experiment carried out with MXene/ZnO catalyst, the positive effect of MXene on photocatalytic activity is clearly seen. The previous sections stated that the morphological properties of ZnO nanoparticles changed significantly when synthesized on MXene. Considering the strong effect of the morphological properties of a nanoparticle on catalytic performance, it is likely that the change in catalyst morphology and the improvement in crystallization rate also contribute to this increase in catalytic activity. Therefore, it is estimated that the catalyst morphology and the addition of MXene have a synergistic effect in improving the catalytic activity of MXene/ZnO nanoparticles.
The reaction kinetics for the reaction of photocatalytic degradation processes are usually expressed by the equations given below [42,43].
l n C A = k t + l n C o
l n C A C o = k t
In these expressions, Co characterizes the initial concentration of the pollutant, while CA characterizes the pollutant concentration at any time. In addition, k indicates the rate constant (min−1) for the pseudo-first-order kinetic model. Accordingly, a linear line is fitted to the points obtained by plotting—lnCA/Co against time. While the regression coefficient (r2) of this linear line characterizes the fit to the model, the rate constant can be determined from the slope of this linear line. In the kinetic investigation, pollutant degradation occurs relatively faster at the beginning of UV irradiation due to the high availability of active sites on both the photocatalyst and the pollutant molecules. The process generally finds that the degradation rate is proportional to the pollutant concentration and follows pseudo-first-order kinetics.
Long-term irradiation can facilitate the mineralization of these intermediates into CO2, H2O, and inorganic ions, leading to the complete removal of pollutants. On the other hand, prolonged UV irradiation may lead to the deactivation of the photocatalyst due to fouling by intermediates or changes in catalyst surface properties (photodecomposition). Accordingly, the optimum irradiation time was evaluated as 90 min.

3.2.2. Effect of Initial pH Value

The initial pH value of a solution is a critical factor affecting the efficiency of photocatalytic degradation processes for organic pollutants. The initial pH value of the solution plays a vital role in changing the chemical environment, photocatalyst surface properties, pollutant speciation, and reaction dynamics. Depending on the initial pH of the solution, many organic pollutants can exist in different ionic forms in aqueous solution. These forms have different affinities on photocatalyst surfaces and the ability to react with reactive oxygen species (ROS), such as hydroxyl radicals. For example, acidic or basic conditions can favor or inhibit the ionization of specific pollutants and thus directly affect degradation rates. In this study, the possible interactions that may occur during the photocatalytic process are schematized in Figure 10.
The ZnO/MXene composite makes the electron–hole separation more efficient. Thus, reactive oxygen species (ROS) production is significantly increased. Under UV irradiation, electrons (e) from the photogenerated charge carriers move towards the MXene surface, while h+ moves towards the surface of ZnO. Thus, hydroxyl radicals (•OH) are formed on the MXene surface, and superoxide anions (•O2) are formed on the ZnO surface. Formed •OH radicals play a primary role in the degradation of tetracycline, while •O2 further enhances the degradation process through oxidative reactions. The reaction mechanism occurring in this process is estimated to be as follows [23,44,45].
ZnO + hν (Photon Energy) → ZnO (e + h+)
Ti3C2Tx + ZnO (e + h+) → Ti3C2Tx (e) + ZnO (h+)
Ti3C2Tx (e) → Ti3C2Tx + •O2−
ZnO (h+) + OH → •OH + ZnO
•O2− + Tetracycline → •R (Intermediates)
•OH + Tetracycline → •R (Intermediates)
Intermediates → Reaction Products + CO2 + H2O
However, the catalyst itself can also be sensitive to the pH value. Hence, excessively high or low pH values can cause these photocatalysts’ structural degradation, dissolution, or deactivation. The reaction kinetics of photocatalytic degradation processes are also significantly affected by pH. In these processes, optimum pH values generally coincide with the conditions where the photocatalyst and pollutant interaction is maximized and reactive oxygen species (ROS) production is highest. At acidic or basic extreme conditions, reaction rates can be decreased due to decreased adsorption of pollutants or the effect of competing side reactions.
Zeta potential was measured to monitor how the surface charge of the MXene/ZnO type nanomaterial used as a photocatalyst changes with pH. The zeta potential (mV) values measured in the pH range of 2–12 for the MXene/ZnO photocatalyst are shown in Figure 11.
When the graph is examined, it is seen that the zeta potential is around +10 mV in the pH 2–3 range. In this range, it can be stated that the surface is positively charged and positive charges are dominant due to protonation (binding of H+ ions). In the pH 3–5 range, a sharp decrease in the zeta potential is observed to around −20 mV. This sharp transition indicates that the isoelectric point of the nanomaterial may be in this range. In addition, in the pH 5–10 range, the zeta potential passes to negative values and varies between approximately −5 mV and −10 mV in this range. It follows a constant course. This situation shows that the surface becomes negatively charged due to deprotonation (loss of protons) on the surface. It is seen that the zeta potential measured in the pH 10–12 range decreases significantly. Especially at pH 12, the zeta-potential value reaches approximately −40 mV. At this point, it can be said that the surface is completely deprotonated and becomes highly negatively charged, and the electrostatic repulsion increases. In general, it can be stated that this material has a positive zeta potential in acidic environments, and that this material tends to be protonated in acidic environments. On the other hand, in basic environments, it is generally seen that the negative zeta potential reaches high values. These properties show that the MXene/ZnO nanomaterial can be used in environments requiring pH sensitivity in different applications such as water purification, drug delivery systems, or surface modification.
Optimization studies to determine the optimum pH value require experimental studies and evaluations tailored to the specific pollutant–catalyst system. On the other hand, the natural pH value of wastewater or other environmental systems must also be considered for practical applications, since adjusting the pH value can increase the process cost and make the process more complex. In conclusion, the initial pH value has the potential to significantly affect the photocatalytic degradation of organic pollutants due to its influence on photocatalyst properties, pollutant speciation, ROS formation, and reaction kinetics. Therefore, optimizing the pH value is critical to maximizing process efficiency and minimizing energy and material inputs in practical applications.
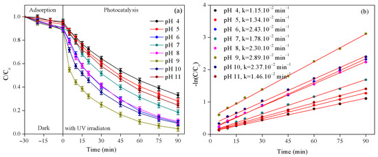
In this study, experiments were carried out at pH 4, 5, 6, 7, 8, 9, 10, and 11, respectively, to determine the optimum initial pH value for the photocatalytic degradation of tetracycline with MXene/ZnO photocatalyst. In these experiments, the values of other parameters were applied as 0.050 g/L for catalyst dosage, 400 rpm for stirring speed, 90 min for time, 50 mg/L for pollutant concentration, 4400 µW/cm2 for catalyst dosage, and 30 °C for temperature. The results obtained from these experiments are given in Figure 12.
When the concentration changes given in Figure 12 were analyzed, it was determined that the highest removal was observed at pH 9, with the removal of approximately 96% at this pH value. The increase in efficiency in photocatalytic reactions, especially at high pH values, is due to the rise in the formation of hydroxyl radicals (-OH) at these levels on the catalyst surface. At alkaline pH values, hydroxyl radicals are produced more; thus, the capacity to degrade pollutants increases. The relationship between initial pH values and final removal efficiencies is given graphically in Figure 13.
As can be seen from Figure 13, there is a significant removal at pH 6 and 10, and a removal efficiency of approximately 91% was observed at these values. The natural pH value of the tetracycline solution was measured as 6.20. Accordingly, the high removal observed at pH 6 indicates the process can be carried out without any pH adjustment. In the kinetic investigation, it was observed that all pH experiments followed the pseudo-first-order kinetics. The data obtained from the experiments conducted to investigate the effects of initial pH on the photocatalytic degradation of tetracycline are consistent with the data obtained from previous studies on this subject [46,47,48,49,50].
When the mechanism of photocatalysis processes is analyzed, it will be seen that hydroxyl radicals, superoxide anions, and some other reactive oxygen species (ROS) are mainly responsible for the degradation of the organic pollutant in the process. In the solution environment, the formation of these reactive species can vary significantly depending directly on the initial pH value. For example, at low pH values, the presence of protons in the environment may increase the formation of hydroxyl radicals by the hydrolysis of water or the reduction of oxygen. In contrast, at high pH values, the abundance of hydroxide ions in the environment may favor the production of hydroxyl radicals. However, this may simultaneously cause undesirable environmental side reactions and reduce the process efficiency. Moreover, excessively high or excessively low pH values may cause the reactive oxygen species (ROS) to decompose again without reaction with the pollutant, thus reducing the process efficiency.

3.2.3. Effect of Catalyst Dosage

Catalyst dosage is an important parameter that significantly affects the efficiency of photocatalytic degradation processes for organic pollutants. It is imperative, especially in studies with relatively expensive catalysts, as it can significantly affect the process cost. Possible effects on the process are due to the presence of active sites on them, light absorption, and impact on other system parameters. One of the main factors affecting the activity of a catalyst is the active surface area of the catalyst because the more reactive sites on the catalyst surface, the higher the catalytic activity of the catalyst in question is expected to increase. Increasing the catalyst dosage increases the total surface area available for adsorption and catalytic reactions, increasing the number of active sites where photocatalytic reactions occur. Higher active surface areas generally lead to increased formation of reactive oxygen species (ROS) such as hydroxyl radicals and superoxide anions, increasing process efficiency. However, beyond a specific dosage, the increase in surface area does not cause a significant change in degradation rates due to limitations such as residual mass transfer and saturation effects.
Moreover, very high catalyst concentrations can reduce the penetration and scattering of light in solution. At low catalyst concentrations, light can penetrate the solution more efficiently, making it possible for a significant fraction of the catalyst to be activated by photons. In contrast, excessive catalyst dosages can lead to adverse effects such as low light scattering and shadowing, where the upper layers of the catalyst prevent light from reaching particles in deeper layers. This situation can lead to a decrease in the decay efficiency while reducing the overall photon utilization efficiency. Moreover, high catalyst concentrations can increase the turbidity of the solution, reducing the possible effective interactions between light, photocatalyst, and pollutants. Furthermore, excessive dosage may lead to catalyst agglomeration, reducing the available active surface area and, thus, the homogeneous distribution and adequate availability of reactive sites.
While an optimum catalyst dosage improves degradation efficiency by providing efficient pollutant adsorption, ROS formation, and reaction rates, the use of high doses of catalyst can increase the probability of recombination reactions between photogenerated electrons and holes. For the formation of ROS, electrons, and holes must reach the catalyst surface and participate in surface reactions there. The recombination reactions that may occur between these charges before they reach the surface reduce the formation of ROS and thus reduce the process efficiency. Using more catalysts than necessary without commensurate gains in degradation efficiency significantly increases operational costs. On the other hand, high catalyst dosage can make catalyst recovery and, thus, reuse difficult in systems where separation processes (e.g., filtration, sedimentation) are required.
The optimum catalyst dosage depends on system parameters such as reactor design, pollutant concentration, and catalyst properties (e.g., particle size, specific surface area, and bandgap energy). Systematic experimental studies are usually required to determine the optimum dosage for a given photocatalyst and pollutant. In summary, catalyst dosage can significantly affect the efficiency of photocatalytic degradation processes. While increasing the dosage improves the performance to an optimum point, excessive amounts can lead to reduced process efficiency due to light scattering, turbidity, agglomeration, and recombination effects. Therefore, catalyst dosage should be carefully optimized by balancing technical and economic considerations for maximum efficiency.
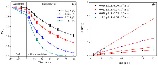
In the experiments conducted to examine the effect of catalyst dosage, the levels of other operating parameters were applied as 30 °C for temperature, 400 rpm for stirring speed, the solution’s natural pH value for pH, 50 mg/L for pollutant concentration, and 4400 µW/cm2 for light intensity. The results obtained from these experiments are shown in Figure 14.
In the experiments carried out in the dark (without UV irradiation), only adsorption is effective, and a slight decrease in the concentration ratio (C/Co) is observed during the process. Adsorption, although partially effective depending on the catalyst concentration, does not provide a removal. In the experiments carried out under UV irradiation, it is observed that the photocatalysis process starts, and the concentration ratio (C/Co) begins to change significantly. It is seen that the photocatalysis process under UV irradiation is much more effective than adsorption. As the catalyst concentration increases (from 0.010 g/L to 0.1 g/L), the decrease in the C/Co ratio becomes faster and more pronounced. Increasing the amount of catalyst increases the photocatalytic activity and provides a faster and more effective concentration decrease. In the experiment with 0.1 g/L, maximum removal efficiency was observed, and it was observed that almost all the pollutants could be removed at this dosage level. No significant outliers were observed, and all dosages followed the expected trends. The decrease in concentration accelerates non-linearly with the increase in the catalyst concentration. This situation reflects the dynamic nature of photocatalysis reactions. In conclusion, the data obtained reveal that the catalyst dosage strongly influences the photocatalysis process’s efficiency. When the UV light is switched on, photocatalysis becomes active, and the concentration decreases over time. As the catalyst dosage increases, the concentration decreases, accelerates, and the final removal is higher. In the experimental studies, although the highest removal efficiency was observed in the experiment with 100 mg/L, when the experimental data, economic, and technical considerations were evaluated together, the optimum catalyst dosage for this study was assessed as 0.050 g/L. In addition, the kinetic investigation showed that the whole experimental process was broadly consistent with the pseudo-first-order kinetic model.

3.2.4. Effect of Temperature

Temperature is a critical parameter affecting the efficiency of photocatalytic degradation processes for organic pollutants. Temperature can cause significant changes in the process, potentially altering the reaction kinetics, adsorption–desorption equilibrium, and stability of reactive species.
An increase in temperature generally increases reaction rates due to higher molecular energy, which increases the frequency of collisions between molecules and the photocatalyst surface. Higher temperatures can also improve the overall reaction rate by promoting the diffusion of contaminants to the catalyst surface. However, extreme temperatures can also lead to the thermal deactivation of the photocatalyst used, leading to the degradation of its structure or the alteration of its chemical and mechanical properties. Moreover, high temperatures increase the recombination rate of photogenerated electron-hole pairs and reduce the availability of charge carriers for photocatalytic reactions.
On the other hand, one of the most critical steps in photocatalytic processes is the adsorption of the pollutant on the catalyst surface. When analyzed regarding adsorption–desorption dynamics, temperature supports adsorption up to a certain point and increases desorption after a certain point. The adsorption of organic pollutants on the photocatalyst surface is generally an exothermic process. Therefore, as the temperature rises, the equilibrium may shift towards desorption, thus reducing the adsorption efficiency of pollutants. A decrease in pollutant adsorption limits the interaction between the pollutants and the catalyst’s active sites, reducing the degradation efficiency. Increased desorption of reaction by-products at higher temperatures may facilitate active site regeneration and partially compensate for the decrease in pollutant adsorption. On the other hand, ROS formation is also affected by temperature. Because temperature affects the efficiency of photogenerated electron–hole separation, reactive oxygen species such as hydroxyl radicals and superoxide anions can be efficiently produced at optimum temperatures. However, relatively very high temperatures (>60 °C) can destabilize the equilibrium of these species, leading to a decrease in degradation efficiency.
From a thermodynamic point of view, photocatalytic degradation processes are driven by light-induced processes rather than thermal activation, making them less dependent on temperature than purely thermal reactions. However, temperature affects the thermodynamics of adsorption and surface reactions, indirectly affecting overall efficiency. Experimental studies generally reveal that photocatalytic degradation rates increase with temperature up to an optimum point (e.g., 25–60 °C), after which the efficiency decreases due to the abovementioned adverse effects. The optimum temperature range may vary according to the photocatalyst, pollutant type, and reaction conditions.
Operating at high temperatures requires additional energy input, increasing operational costs. Therefore, processes at ambient temperatures are more sustainable and practical for scale-up. In summary, temperature has the potential to significantly affect the efficiency of photocatalytic degradation processes due to its effects on reaction kinetics, adsorption equilibrium, ROS stability, and catalyst stability. While moderate temperature increases can increase degradation rates, extreme temperatures generally decrease efficiency due to desorption, recombination, and catalyst deactivation. To achieve maximum efficiency in photocatalytic applications, the careful optimization and control of temperature are of great importance.
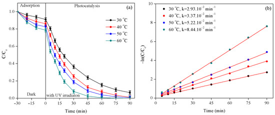
In the experiments conducted to determine the effect of temperature and to determine the optimum operating temperature, the levels of other operating parameters were applied as 0.050 g/L for catalyst dosage, 400 rpm for stirring speed, the solution’s natural pH value for pH, 50 mg/L for pollutant concentration, and 4400 µW/cm2 for light intensity. The results obtained from these experiments are given in Figure 15.
When the graphs given in Figure 15 are examined, it is seen that temperature has a limited effect on the adsorption stage. At this stage, the C/Co ratio decreases to approximately 0.95–0.90 for all temperatures. On the other hand, after applying UV irradiation, the favorable effect of temperature on the process becomes more evident. As the temperature increases, the photocatalytic reaction rate rises significantly. This can be explained by the fact that temperature accelerates the kinetics of chemical reactions. In addition, the formation of active radicals is accelerated at high temperatures, and the degradation process of pollutants becomes more efficient. The highest photocatalytic performance was observed at 60 °C. At this temperature, the reaction rate reached the highest level, and almost all of the pollutants in the solution were removed. However, although better performance is observed at higher temperatures, energy costs are an essential factor.
High temperatures can increase the reaction rate by increasing the kinetic energy of molecules. This situation can lead to faster degradation of pollutants during photocatalysis. However, very high temperatures (>60 °C) can increase the recombination rate of the electron–hole pairs formed on the photocatalyst surface and reduce the efficiency of the process as the formation of reactive oxygen species (ROS) will decrease. On the other hand, moderately high temperatures can accelerate the regeneration of active sites by facilitating the desorption of reaction products from the catalyst surface and thus increase the reaction efficiency. In photocatalysis processes, the catalysis process usually starts with the adsorption of the pollutant on the catalyst surface, and adsorption is usually an exothermic process. High temperatures can reduce the binding of pollutants to the catalyst surface and thus reduce the reaction efficiency. Moreover, high temperatures can cause structure degradation or its photo-corrosion, especially in photocatalysts containing components with relatively low thermal stability such as MXene or ZnO. On the other hand, raising the temperature to 60 °C can lead to significant energy consumption and cost increase, especially in large-volume systems. Moreover, if the catalyst is used at these temperatures for long periods or repeatedly, the degradation of the catalyst may accelerate, or its activity may decrease in shorter periods. This can significantly shorten the lifetime of the catalyst and significantly limit the economic sustainability of the process in industrial applications. Moreover, high temperatures can cause overheating problems in the system, and thus, cooling systems are needed after the reaction. Thus, energy costs will increase further. It is also possible that high temperatures may cause additional costs in reactor design and material selection, such as insulators and temperature-resistant materials. Working at high temperatures will bring operational difficulties, such as control and the homogenous distribution of the temperature. From an environmental point of view, the high energy consumption of the process may increase the carbon footprint and negatively affect environmental sustainability.
As temperature increases, the rates of chemical reactions generally increase because the temperature increases the kinetic energy of the molecules. This allows the pollutant molecules to reach the active sites on the photocatalyst surface more quickly, resulting in an increased reaction rate. The temperature effect can be explained by the Arrhenius equation:
k = A × e E a R T
In this equation, A is the frequency factor (a measure of the frequency of a reaction), Ea is the activation energy, R is the gas constant, and T represents the absolute temperature (K). From this equation, it can be concluded that as the temperature increases, the reaction-rate constant (k) increases, and therefore the reaction rate will also increase. It is also possible to calculate the activation energy of the system from the Arrhenius equation.
In this study, the activation energy calculated by the Arrhenius equation in the photocatalytic degradation process was found to be 28.305 kJ/mol. Activation energy represents the energy barrier that must be overcome for a chemical reaction to occur. The activation energy of Ea = 28.305 kJ/mol indicates that the energy required for the pollutant molecules to react in the photocatalytic degradation process is relatively low. This indicates that the reaction is relatively easy to trigger and the photocatalyst works effectively. Low activation energy (<40−50 kJ/mol) generally indicates that physical adsorption or photochemical processes dominate the system. In this case, it can be said that the degradation process is largely based on the effect of reactive oxygen species (ROS) formed by the photocatalyst. In processes dominated by chemical reactions, the activation energy is generally higher (50−200 kJ/mol). The low activation energy indicates that temperature changes have a limited effect on the reaction rate. In such a system, although there is a noticeable increase in the reaction rate when the temperature is increased, this increase may not be dramatic. This indicates that photocatalytic degradation is more dependent on light energy and ROS formation on the surface of the photocatalyst. A low activation energy of 28.305 kJ/mol reveals that the photocatalyst reduces the energy barrier required for the reaction and that the catalyst works effectively. Therefore, the low activation energy also indicates that the photocatalytic process proposed in this study is economically and technically feasible in industrial applications, because the process can work effectively without requiring high temperatures.
When all these possibilities are considered together, it is seen that although high temperatures in photocatalysis systems provide significant advantages, such as increased reaction rate and shorter process times, careful optimization is required for temperature due to their potential negative effects on energy costs, catalyst stability, and scalability. It is thought that working in an optimum temperature range determined by considering the energy–cost balance can provide a more sustainable solution both technically and economically. The 40–50 °C temperature range can be considered a more optimal region when energy costs and efficiency are evaluated together. Although efficiency is achieved at high temperatures of 60 °C, the sustainability of this temperature depends on energy costs. Therefore, lower temperatures, such as 40–50 °C, can offer sustainable and economical solutions. Furthermore, when the kinetic data given in Figure 15b are analyzed, it is seen that the proposed model is entirely compatible with the pseudo-first-order kinetic model. Under these conditions, the optimum operating temperature is considered as 40 °C.

3.2.5. Effect of Pollutant Concentration

The initial concentration of pollutants is essential in determining the efficiency of photocatalytic degradation processes. The excess or deficiency of contaminants that can react in the system affects the dynamic interactions and reaction kinetics on the photocatalyst surface. At low pollutant concentrations, the number of molecules available for degradation is limited. While this provides better access to the active sites on the photocatalyst surface, the degradation rate may appear lower due to the scarcity of pollutants. These processes generally follow pseudo-first-order kinetics, where the reaction rate varies proportionally to the pollutant concentration.
On the other hand, as the pollutant concentration increases, more molecules are available for degradation, which may initially increase the degradation rate due to more adsorption on the photocatalyst surface. However, at high pollutant concentrations, the active sites on the photocatalyst surface can saturate faster, leading to a significant decrease in the efficiency of the degradation process. Saturation limits the interaction between reactive oxygen species (ROS) and pollutants and causes a buffer in the degradation rate despite the increasing pollutant concentration. Moreover, higher pollutant concentrations can reduce the solution’s transparency, preventing the effective penetration of light, an effect similar to that of high catalyst dosage. This, in turn, limits the activation of photocatalyst particles in the deeper or inner regions of the solution, reducing the overall efficiency of the process. Turbid solutions or solutions containing dark-colored contaminants may absorb or scatter incident light and reduce photon availability for the photocatalytic reaction. Moreover, high pollutant concentrations increase the demand for reactive oxygen species such as hydroxyl radicals and superoxide anions. When the ROS production in the system is not sufficient to meet this demand, the degradation efficiency is significantly reduced. The recombination or depletion of ROS can also occur at higher pollutant concentrations, further reducing the efficiency of the process.
In terms of reaction kinetics, at lower concentrations, degradation generally follows pseudo-first-order kinetics, where the reaction rate depends on the pollutant concentration. Higher pollutant concentrations can also lead to the appearance of intermediate degradation by-products that can compete with the parent pollutant for active sites on the catalyst surface or react with ROS. This competition can slow down the degradation process and reduce the mineralization efficiency (a complete breakdown of pollutants to CO2, H2O, and inorganic ions). Studies show that degradation efficiency decreases with increasing contaminant concentration, even if the total amount of degradation increases. The balance between adsorption, ROS availability, and light penetration is maintained for an optimum pollutant concentration range, and the highest process efficiency is achieved. The initial pollutant concentration strongly influences photocatalytic degradation by affecting adsorption dynamics, light penetration, ROS demand, and reaction kinetics. Low concentrations can result in slower degradation rates due to limited pollutant availability. In contrast, excessive concentrations can lead to active site saturation, reduced photon absorption, and competition between species, reducing efficiency. All these cases show that the optimization of pollutant concentration is critical to achieving maximum degradation efficiency and practical applicability in environmental remediation.
Experiments were carried out with catalyst dosages of 10 mg/L, 20 mg/L, 30 mg/L, 40 mg/L, 50 mg/L, and 100 mg/L, respectively, to determine the optimum pollutant concentration for the photocatalytic degradation of tetracycline with MXene/ZnO photocatalysts. In these experiments, the values of other parameters were applied, including the natural pH value of the solution for initial pH value, 400 rpm for stirring speed, 90 min for time, 0.050 g/L for catalyst dosage, 4400 µW/cm2 for catalyst dosage and 30 °C for temperature. The results obtained from these experiments are shown in Figure 16.
The graph in Figure 16a shows that removal is faster and more effective when the initial concentration is low. In the experiment with initial concentrations of 10 mg/L and 20 mg/L, almost all of the pollutant was removed after 90 min. It is observed that as the concentration increases, the removal rate decreases, and the reaction rate slows down. The photocatalysis reaction progresses faster at low initial concentrations (10–20 mg/L). This can be explained by the more effective use of active catalyst surfaces at low concentrations. Competition between pollutant molecules on the catalyst surface increases at high initial concentrations (50–100 mg/L). This causes the active sites to reach rapid saturation and the reaction rate to decrease. Photocatalytic systems work effectively at low pollutant concentrations. Therefore, photocatalysis processes can be used, especially in diluted wastewater-treatment systems. On the other hand, to increase performance at high concentrations, the catalyst surface area should be increased, or the catalyst dosage should be optimized. Under these conditions, although faster and more efficient removals were observed at lower concentrations, the optimum operating condition for the initial pollutant concentration was evaluated as 50 mg/L, considering the scalability and process costs of the process.
According to the kinetic graph given in Figure 16b, the reaction-rate constants decrease with increasing contaminant concentration. This situation is different from what is expected in classical first-order reaction kinetics, because in first-order kinetics the rate constant should not depend on the initial concentration. This difference may occur in a situation where the reaction is probably limited to the adsorption stage on the catalyst surface and the kinetic rate becomes dependent only on the adsorption capacity on the surface. Increasing initial contaminant concentration causes more molecules to try to adsorb on the catalyst surface. However, the catalyst surface has a limited active area. When the surface reaches saturation, excess contaminant molecules cannot be adsorbed and the reaction rate is affected. Limitation in the adsorption stage causes the rate constant to become dependent on the initial concentration. It can be thought that the reactive molecules reaching the catalyst surface are under external diffusion control, which limits the reaction rate. In this case, at higher concentrations, the molecules may take longer to reach the surface, which may lead to a decrease in the rate constant. Increasing temperature can accelerate both adsorption and reaction kinetics by increasing the kinetic energy of molecules. This explains why the rate constant of reactions occurring at the adsorption limit increases with temperature. As a result, it can be considered that this system is limited to an adsorption–diffusion-controlled mechanism and that the reaction kinetics therefore deviate from first-order kinetics.

3.2.6. Effect of Light Intensity

Light intensity is an important parameter that can potentially influence the efficiency of photocatalytic degradation of organic pollutants, as it directly affects the activation of the photocatalyst and the formation of reactive oxygen species (ROS). High light intensity promotes the generation of a more significant number of photons to excite the photocatalyst and, thus, forming more electron–hole pairs. This increases the production of reactive oxygen species, such as hydroxyl radicals and superoxide anions, essential for degrading organic pollutants. However, light intensity has a limit point. The amount of active surfaces on the catalyst surface where photons can adsorb is limited. Beyond a certain threshold, the activation of the photocatalyst also reaches saturation. In this case, no more can be adsorbed, as all available sites for photon adsorption are utilized. At this point, further increases in light intensity do not significantly increase the reaction rate. On the other hand, at low light intensities, the photocatalytic degradation rate is directly proportional to the light intensity because the formation of electron–hole pairs is limited by photon availability.
High light intensities can lead to a faster recombination of electron–hole pairs, reducing the efficiency of the charge carriers required to produce reactive oxygen species (ROS). This effect can reduce process efficiency, canceling any potential advantages that a high photon flux may provide. Moreover, increased light intensity may not proportionally increase degradation efficiency due to scattering or absorption within the medium at high pollutant or catalyst concentrations. This limits the penetration depth of light and reduces the activation of photocatalyst particles in deeper layers. On the other hand, dark or turbid solutions absorb more light, leaving less light available for photocatalyst activation and thus reducing the effect of higher light intensity. Higher light intensities can cause heat generation, increasing the reaction system’s temperature. While moderate temperature increases can improve reaction kinetics, excessive heating can lead to catalyst deactivation, ROS instability, and reduced adsorption of contaminants on the catalyst surface. Therefore, in the case of very high light intensities, the need for external cooling of the system may arise, which will negatively affect the process in terms of cost. Beyond the saturation point, increasing light intensity leads to diminishing returns in decay efficiency, making using extremely high-intensity light sources economically impractical. The careful optimization of light intensity is essential to balance efficiency and energy costs and to ensure sustainable and effective photocatalytic pollutant removal.
To determine the effect of light intensity, experiments were conducted with two different light intensities, 4400 µW/cm2 (single lamp) and 8800 µW/cm2 (double lamp). In these experiments, other operating parameters were applied as 0.050 g/L for catalyst dosage, 30 °C for temperature, 400 rpm for stirring speed, solution’s natural pH value for pH, and 50 mg/L for pollutant concentration. The results obtained from this experiment are shown in Figure 17.
As expected, the adsorption effect is almost the same for both light intensities in the adsorption region. After the UV light is applied, photocatalytic removal is seen to be faster and more effective in the experiment conducted at 8800 µW/cm2 light intensity. In this experiment, the C/Co ratio drops to 0.05 at 60 min. This indicates almost complete removal. At 4400 µW/cm2 intensity, this ratio remains at 0.2 for the same period, and complete removal is not achieved.
As the light intensity increases (8800 µW/cm2), more photons hit the catalyst surface, forming more electron–hole (e/h+) pairs. This increases the photocatalytic reaction rate. In this way, the breakdown of pollutant molecules is accelerated, and higher removal efficiencies can be achieved in a shorter time. At a light intensity of 4400 µW/cm2, photocatalytic activity continues but progresses more slowly. Due to the low light intensity, active catalyst sites may not be used at full capacity.
Optimizing light intensity in industrial applications is critical for energy efficiency. High light intensities such as 8800 µW/cm2 significantly increase the efficiency of the photocatalytic reaction. However, the use of high light intensity can increase energy costs. However, shortening the treatment time thanks to the rapid removal of pollutants can balance the total operational costs. When operating at low light intensity, the removal efficiency can be further increased by optimizing the reactor design to ensure a homogeneous light distribution or by increasing the catalyst dosage. In this study, when an evaluation is made by considering the cost–benefit relationship, the optimum operating condition is evaluated as 4400 µW/cm2.

3.2.7. Optimum Conditions

When the data obtained from the experiments conducted under different experimental conditions in this study were evaluated together on the cost–benefit axis, the optimum operating conditions were defined as 90 min for the radiation time, 0.050 g/L for the catalyst dosage, 50 mg/L for the pollutant concentration, 40 °C for the temperature, the solution’s natural pH value (~6.20) for the pH, and 4400 µW/cm2 for the light intensity. An experiment was conducted under these conditions; the results are shown in Figure 18.
When the data given in Figure 18 are examined, it is seen that tetracycline in the solution is almost completely removed in approximately 90 min under optimum conditions. This result is quite promising in terms of the scalability of the process and its usability in practical applications.

3.2.8. Reaction Kinetics

In all the experiments conducted within the scope of the study, the r2 values, the reaction-rate constant values, and observed removal efficiencies obtained as a result of calculations made according to the pseudo-first-order kinetic model for all operational parameters examined are presented in Table 3.
According to the kinetic data presented in Table 3, it is seen that as the catalyst dosage increases, the removal efficiency, and rate constant (k) values increase significantly. Increasing the catalyst dosage increases the reaction rate by increasing the surface area. In addition, the r2 values between 0.9965 and 0.9998 indicate that the pseudo-first-order model is quite suitable for this process. When the data obtained for the initial pH value are evaluated, the removal efficiency fluctuates between pH 4–11, and the highest removal efficiency is observed at pH 9 (95.56%). According to these data, the reaction is quite sensitive to pH, and the best performance is obtained in slightly alkaline conditions. The r2 values for the initial pH value also indicate a high fit to the model. This clearly shows the effect of pH change on the kinetic model. At low and high pH levels, the decrease in removal efficiency suggests that proton concentrations may affect the active sites on the catalyst surface.
It is observed that as the initial pollutant concentration increases, the removal efficiency decreases, and the “k” value decreases accordingly. At low concentrations, the catalyst surface can fully interact with the pollutants, while at high concentrations, it indicates that the surface has reached saturation. The fact that the initial pollutant concentration r2 is again very high (0.9985–0.9998) supports the suitability of the kinetic model. At high concentrations, the reaction rate becomes limited, which explains the decrease in the reaction rate. It is seen that the removal efficiency and rate constant (k) increase as the temperature increases, but no significant change is observed after 50 °C. Although the reaction is positively affected by the rise in temperature, the catalyst activity tends to stabilize at extremely high temperatures. Similarly, the removal efficiency and rate constant increase with increasing light intensity. In photocatalytic reactions, the increase in light intensity causes more excitation of the electron–hole pairs on the catalyst. Here, the high value of r2 as 0.9997 shows that the light intensity fits the kinetic model very well. In summary, when the kinetic data are evaluated from a holistic perspective, it is seen that the pseudo-first-order kinetic model provides a perfect fit for the process (r2 values are generally above 0.99). There are some studies on the photocatalytic degradation of various pollutants using MXene/ZnO-based photocatalysts in the literature. The rate-constant values observed in some of these studies are summarized in Table 4.
The rate constant expresses the rate of a photocatalytic reaction; higher values of k indicate that the catalyst is faster and more effective. It is seen that the rate constants given in Table 4 vary depending on different catalysts and pollutants. While the catalyst prepared by the electrostatic self-assembly method for MXene/ZnO has the highest rate constant for MB (Methylene Blue), the rate constant observed in this study is relatively lower. It is known that the preparation methods of catalysts, the chemicals used for the synthesis process, and the supporting materials included in the structure can significantly affect the catalyst morphology and, thus, the catalytic activity. Therefore, it is thought that the observed differences can be attributed mainly to the different synthesis processes. Moreover, complexed photocatalysts containing dopants such as Ag@ZnO@Ti3C2 generally show higher performance compared to simple MXene/ZnO structures. The type of pollutant is a critical parameter in catalyst selection. For example, a catalyst that is effective in MB degradation may not show the same performance in more complex organic compounds such as Ciprofloxacin. The table shows that the k-value observed for this study is lower than the others. It is estimated that this is due to the fact that the default value for the pollutant concentration in the study (50 mg/L) is a relatively high value, whereas the catalyst dosage studied is lower.

3.2.9. Stability and Reusability of Catalysts

Photocatalysts are generally high-tech materials that can have high production costs. If the catalysts used are unstable or cannot be reused, new ones must be constantly supplied. This significantly increases operating costs. Stable catalysts can be used for longer periods, thus considerably reducing the cost of catalysts per process. For example, it is possible to use a catalyst 10 times, reducing costs by up to 10 times compared to using the same amount of catalyst once. In short, stable and reusable catalysts are one of the cornerstones of the economic and technical feasibility of photocatalytic processes. Therefore, they should be carefully considered both on laboratory and industrial scales. The performance of reusable catalysts is usually monitored by cycle tests. Performance stability is an indicator of catalyst stability. Accordingly, to evaluate the stability and reusability of the MXene/ZnO catalyst produced in this study, a cycle test was carried out, using the same catalyst five times. The obtained experimental data are presented in Figure 19.
In the graph given in Figure 19, a gradual decrease in the C/Co ratio is observed in each cycle. While a higher removal is achieved in the first cycle, a significant decrease in the removal rate is observed towards the 5th cycle. This situation indicates that there is a limited loss of activity on the reactive surface of the catalyst. Possible reasons may be surface contamination, loss of active sites, photo corrosion, or surface coating of the formed products. The observed activity loss is relatively low. Therefore, the synthesized MXene/ZnO photocatalyst offers limited reusability. To increase the reusability of the catalyst, it would be beneficial to regenerate it by washing, heating, or reactivating it under UV light after each use and cycle.

4. Conclusions

The results of this study can be summarized as follows:
  • A high surface area and effective photocatalyst were obtained by combining zinc oxide (ZnO) nanoparticles and MXene layers. It was observed that MXene increased ZnO’s photocatalytic performance.
  • The optimum catalyst dosage was determined as 0.05 g/L. The efficiency decreased at higher doses due to shading effects.
  • The highest removal was observed at pH 9 (96% removal), but high efficiency was also obtained in the experiments conducted at a natural pH value (6.2).
  • The value of 40 °C was determined to be the optimum temperature for the process. Energy costs were taken into account at higher temperatures.
  • As the duration of UV irradiation increased, the process efficiency increased, but decreasing returns were observed after a certain point.
  • Working at high concentrations was found to be advantageous in terms of testing and optimizing the effectiveness of the method.
  • It was determined that the pollutants were effectively degraded thanks to the high hydroxyl radical production of the ZnO/MXene composite.
  • The catalyst maintained stability in consecutive usage trials, and its reusability was tested. As a result of this test, a limited level of performance decrease was observed after five cycles.
  • It was determined that the photocatalytic reactions were compatible with the pseudo-first-order kinetic model.
  • End-of-life MXene/ZnO composites can be treated with HF (hydrofluoric acid) to dissolve the ZnO and other impurities and recover pure MXene material again. HF dissolves the ZnO into Zn2+ ions, thus removing the ZnO matrix from the composite. The layered structure of MXene is generally resistant to acidic environments, so that it can be recovered without damage under favorable conditions. Other metal oxides and impurities can also dissolve and decompose in HF, which facilitates the repurification of MXene. Since MXene is a relatively expensive material to produce, its recovery provides meaningful economic and environmental advantages. The reprocessing of waste material reduces costs and reduces the need for raw materials. The recovered MXene can be reused without the need for resynthesis.
  • It was predicted that the ZnO/MXene composite could be a cost-effective, efficient, and environmentally friendly option for water treatment and the removal of environmental pollutants. These results emphasize the importance of optimizing the materials and process parameters used in photocatalysis.

Author Contributions

Z.K.K.: Supervision, visualization, writing-review and editing, funding acquisition, investigation, conceptualization, methodology, Z.D.: Formal analysis, investigation, visualization. All authors have read and agreed to the published version of the manuscript.

Funding

This study was funded by the Atatürk University Scientific Research Projects Coordination Unit with the grand number: FYL-2024-14620. The study team sincerely thanks the Atatürk University for their support. No external funding received for APC.

Institutional Review Board Statement

Not applicable.

Informed Consent Statement

Not applicable.

Data Availability Statement

Most of the data from the trials are reported in the paper. For more information, please contact the corresponding author directly.

Acknowledgments

We sincerely thank Atatürk University Eastern Anatolia High Technology Application and Research Center (DAYTAM) for SEM and SEM-EDX analyses and Bayburt University Central Research Laboratory (BUMER) for XRD and TEM analyses.

Conflicts of Interest

The authors declare no conflicts of interest.

References

  1. Karcıoğlu Karakaş, Z. A Comprehensive Study on the Production and Photocatalytic Activity of Copper Ferrite Nanoparticles Synthesized by Microwave-Assisted Combustion Method as an Effective Photocatalyst. J. Phys. Chem. Solids 2022, 170, 110927. [Google Scholar] [CrossRef]
  2. Naguib, M.; Mashtalir, O.; Lukatskaya, M.R.; Dyatkin, B.; Zhang, C.; Presser, V.; Gogotsi, Y.; Barsoum, M.W. One-Step Synthesis of Nanocrystalline Transition Metal Oxides on Thin Sheets of Disordered Graphitic Carbon by Oxidation of MXenes. Chem. Commun. 2014, 50, 7420–7423. [Google Scholar] [CrossRef] [PubMed]
  3. Naguib, M.; Kurtoglu, M.; Presser, V.; Lu, J.; Niu, J.; Heon, M.; Hultman, L.; Gogotsi, Y.; Barsoum, M.W. Two-Dimensional Nanocrystals Produced by Exfoliation of Ti3AlC2. Adv. Mater. 2011, 23, 4248–4253. [Google Scholar] [CrossRef]
  4. Tan, Q.; Zhuang, W.; Attia, M.; Djugum, R.; Zhang, M. Recent Progress in Additive Manufacturing of Bulk MAX Phase Components: A Review. J. Mater. Sci. Technol. 2022, 131, 30–47. [Google Scholar] [CrossRef]
  5. El Saeed, M.A.; Deorsola, F.A.; Rashad, R.M. Optimization of the Ti3SiC2 MAX Phase Synthesis. Int. J. Refract. Met. Hard Mater. 2012, 35, 127–131. [Google Scholar] [CrossRef]
  6. Deysher, G.; Shuck, C.E.; Hantanasirisakul, K.; Frey, N.C.; Foucher, A.C.; Maleski, K.; Sarycheva, A.; Shenoy, V.B.; Stach, E.A.; Anasori, B.; et al. Synthesis of Mo4VAlC4 MAX Phase and Two-Dimensional Mo4VC4 MXene with Five Atomic Layers of Transition Metals. ACS Nano 2020, 14, 204–217. [Google Scholar] [CrossRef] [PubMed]
  7. Anasori, B.; Lukatskaya, M.R.; Gogotsi, Y. 2D Metal Carbides and Nitrides (MXenes) for Energy Storage. Nat. Rev. Mater. 2017, 2, 16098. [Google Scholar] [CrossRef]
  8. Zhen, T.; Barsoum, M.W.; Kalidindi, S.R. Effects of Temperature, Strain Rate and Grain Size on the Compressive Properties of Ti3SiC2. Acta Mater. 2005, 53, 4163–4171. [Google Scholar] [CrossRef]
  9. Wang, J.; Ye, T.N.; Gong, Y.; Wu, J.; Miao, N.; Tada, T.; Hosono, H. Discovery of Hexagonal Ternary Phase Ti2InB2 and Its Evolution to Layered Boride TiB. Nat. Commun. 2019, 10, 2284. [Google Scholar] [CrossRef] [PubMed]
  10. Zapata-Solvas, E.; Christopoulos, S.R.G.; Ni, N.; Parfitt, D.C.; Horlait, D.; Fitzpatrick, M.E.; Chroneos, A.; Lee, W.E. Experimental Synthesis and Density Functional Theory Investigation of Radiation Tolerance of Zr3(Al1-XSix)C2 MAX Phases. J. Am. Ceram. Soc. 2017, 100, 1377–1387. [Google Scholar] [CrossRef]
  11. Di Mauro, A.; Fragalà, M.E.; Privitera, V.; Impellizzeri, G. ZnO for Application in Photocatalysis: From Thin Films to Nanostructures. Mater. Sci. Semicond. Process. 2017, 69, 44–51. [Google Scholar] [CrossRef]
  12. Topçu, M.A. Production and Characterization of Zinc Oxide Nanofibers Derived from Waste Material as Precursor. Process Saf. Environ. Prot. 2023, 175, 150–159. [Google Scholar] [CrossRef]
  13. An, S.; Joshi, B.N.; Lee, M.W.; Kim, N.Y.; Yoon, S.S. Electrospun Graphene-ZnO Nanofiber Mats for Photocatalysis Applications. Appl. Surf. Sci. 2014, 294, 24–28. [Google Scholar] [CrossRef]
  14. Pascariu, P.; Homocianu, M. ZnO-Based Ceramic Nanofibers: Preparation, Properties and Applications. Ceram. Int. 2019, 45, 11158–11173. [Google Scholar] [CrossRef]
  15. Jadoun, S.; Yáñez, J.; Mansilla, H.D.; Riaz, U.; Chauhan, N.P.S. Conducting Polymers/Zinc Oxide-Based Photocatalysts for Environmental Remediation: A Review. Environ. Chem. Lett. 2022, 20, 2063–2083. [Google Scholar] [CrossRef] [PubMed]
  16. Patil, S.A.; Jagdale, P.B.; Singh, A.; Singh, R.V.; Khan, Z.; Samal, A.K.; Saxena, M. 2D Zinc Oxide–Synthesis, Methodologies, Reaction Mechanism, and Applications. Small 2023, 19, e2206063. [Google Scholar] [CrossRef] [PubMed]
  17. Sun, Y.; Zhang, W.; Li, Q.; Liu, H.; Wang, X. Preparations and Applications of Zinc Oxide Based Photocatalytic Materials. Adv. Sens. Energy Mater. 2023, 2, 100069. [Google Scholar] [CrossRef]
  18. Ameen, S.; Akhtar, M.S.; Kim, Y.S.; Yang, O.B.; Shin, H.S. An Effective Nanocomposite of Polyaniline and ZnO: Preparation, Characterizations, and Its Photocatalytic Activity. Colloid Polym. Sci. 2011, 289, 415–421. [Google Scholar] [CrossRef]
  19. Lee, K.M.; Lai, C.W.; Ngai, K.S.; Juan, J.C. Recent Developments of Zinc Oxide Based Photocatalyst in Water Treatment Technology: A Review. Water Res. 2016, 88, 428–448. [Google Scholar] [CrossRef] [PubMed]
  20. Saini, B.; Harikrishna, K.; Laishram, D.; Krishnapriya, R.; Singhal, R.; Sharma, R.K. Role of ZnO in ZnO Nanoflake/Ti3C2MXene Composites in Photocatalytic and Electrocatalytic Hydrogen Evolution. ACS Appl. Nano Mater. 2022, 5, 9319–9333. [Google Scholar] [CrossRef]
  21. Liu, X.; Letters, C.C.-M. Mxene Enhanced the Photocatalytic Activity of ZnO Nanorods under Visible Light. Mater. Lett. 2020, 261, 127127. [Google Scholar] [CrossRef]
  22. Zhang, Y.; Huang, Y.; Lin, B.; Chen, Z.; Xu, X.; Pan, M. Ti3C2TX MXene Supported ZnO Nanocomposites with Highly Efficient Photocatalytic Performance for Degradation of VOCs. Diam. Relat. Mater. 2023, 133, 109763. [Google Scholar] [CrossRef]
  23. Khadidja, M.F.; Fan, J.; Li, S.; Li, S.; Cui, K.; Wu, J.; Zeng, W.; Wei, H.; Jin, H.G.; Naik, N.; et al. Hierarchical ZnO/MXene Composites and Their Photocatalytic Performances. Colloids Surf. A Physicochem. Eng. Asp. 2021, 628, 127230. [Google Scholar] [CrossRef]
  24. Baruwati, B.; Kumar, D.K.; Manorama, S.V. Hydrothermal Synthesis of Highly Crystalline ZnO Nanoparticles: A Competitive Sensor for LPG and EtOH. Sens. Actuators B Chem. 2006, 119, 676–682. [Google Scholar] [CrossRef]
  25. Fayyaz, A.; Saravanakumar, K.; Talukdar, K.; Kim, Y.; Yoon, Y.; Park, C.M. Catalytic Oxidation of Naproxen in Cobalt Spinel Ferrite Decorated Ti3C2Tx MXene Activated Persulfate System: Mechanisms and Pathways. Chem. Eng. J. 2021, 407, 127842. [Google Scholar] [CrossRef]
  26. Jang, J.; Shahzad, A.; Woo, S.H.; Lee, D.S. Magnetic Ti3C2Tx (Mxene) for Diclofenac Degradation via the Ultraviolet/Chlorine Advanced Oxidation Process. Environ. Res. 2020, 182, 108990. [Google Scholar] [CrossRef]
  27. Ihsanullah, I. MXenes as Next-Generation Materials for the Photocatalytic Degradation of Pharmaceuticals in Water. J. Environ. Chem. Eng. 2022, 10, 107381. [Google Scholar] [CrossRef]
  28. Krakkó, D.; Heieren, B.T.; Illés, Á.; Kvamme, K.; Dóbé, S.; Záray, G. (V)UV Degradation of the Antibiotic Tetracycline: Kinetics, Transformation Products and Pathway. Process Saf. Environ. Prot. 2022, 163, 395–404. [Google Scholar] [CrossRef]
  29. Shuck, C.E.; Han, M.; Maleski, K.; Hantanasirisakul, K.; Kim, S.J.; Choi, J.; Reil, W.E.B.; Gogotsi, Y. Effect of Ti3AlC2 MAX Phase on Structure and Properties of Resultant Ti3C2Tx MXene. ACS Appl. Nano Mater. 2019, 2, 3368–3376. [Google Scholar] [CrossRef]
  30. Downes, M.; Shuck, C.E.; McBride, B.; Busa, J.; Gogotsi, Y. Comprehensive Synthesis of Ti3C2Tx from MAX Phase to MXene. Nat. Protoc. 2024, 19, 1807–1834. [Google Scholar] [CrossRef] [PubMed]
  31. von Treifeldt, J.E.; Firestein, K.L.; Fernando, J.F.S.; Zhang, C.; Siriwardena, D.P.; Lewis, C.E.M.; Golberg, D.V. The Effect of Ti3AlC2 MAX Phase Synthetic History on the Structure and Electrochemical Properties of Resultant Ti3C2 MXenes. Mater. Des. 2021, 199, 109403. [Google Scholar] [CrossRef]
  32. Perumal, V.; Hashim, U.; Gopinath, S.C.B.; Haarindraprasad, R.; Foo, K.L.; Balakrishnan, S.R.; Poopalan, P. “Spotted Nanoflowers”: Gold-Seeded Zinc Oxide Nanohybrid for Selective Bio-Capture. Sci. Rep. 2015, 5, 12231. [Google Scholar] [CrossRef]
  33. Hoogendoorn, B.W.; Birdsong, B.K.; Capezza, A.J.; Ström, V.; Li, Y.; Xiao, X.; Olsson, R.T. Ultra-Low Concentration of Cellulose Nanofibers (CNFs) for Enhanced Nucleation and Yield of ZnO Nanoparticles. Langmuir 2022, 38, 12480–12490. [Google Scholar] [CrossRef] [PubMed]
  34. Rai, P.; Jo, J.N.; Lee, I.H.; Yu, Y.T. Fabrication of Flower-like ZnO Microstructures from ZnO Nanorods and Their Photoluminescence Properties. Mater. Chem. Phys. 2010, 124, 406–412. [Google Scholar] [CrossRef]
  35. Zhang, A.Q.; Zhang, L.; Sui, L.; Qian, D.J.; Chen, M. Morphology-Controllable Synthesis of ZnO Nano-/Micro- Structures by a Solvothermal Process in Ethanol Solution. Cryst. Res. Technol. 2013, 48, 947–955. [Google Scholar] [CrossRef]
  36. Pung, S.-Y.; Lee, W.-P.; Aziz, A. Kinetic Study of Organic Dye Degradation Using ZnO Particles with Different Morphologies as a Photocatalyst. Int. J. Inorg. Chem. 2012, 2012, 608183. [Google Scholar] [CrossRef]
  37. Das, A.; Hazarika, M.; Nair, R.G. Synthesis and Characterization of ZnO Nanoflowers as an Efficient Solar Photocatalyst. In Proceedings of the AIP Conference Proceedings; American Institute of Physics Inc.: Melville, NY, USA, 2019; Volume 2100. [Google Scholar]
  38. Wahab, R.; Kaushik, N.; Khan, F.; Kaushik, N.K.; Choi, E.H.; Musarrat, J.; Al-Khedhairy, A.A. Self-Styled ZnO Nanostructures Promotes the Cancer Cell Damage and Supresses the Epithelial Phenotype of Glioblastoma. Sci. Rep. 2016, 6, 1995. [Google Scholar] [CrossRef] [PubMed]
  39. Kumar, R.; Singh, A.K.; Mondal, P.S. Study of UV Assisted Photocatalytic Degradation of Organic Dye. In Proceedings of the Materials Today: Proceedings; Elsevier: Amsterdam, The Netherlands, 2022; Volume 66, pp. 3244–3249. [Google Scholar]
  40. Nugroho, D.A.; Trisnaliani, L.; Bustan, M.D. Effect on the Variation of Irradiation Time and Power Of UVC Lamp on Photocatalyst Degradation Of Iron (III) Sulfate Dye Waste. In Proceedings of the IOP Conference Series: Earth and Environmental Science; IOP Publishing: Bristol, UK, 2022; Volume 995. [Google Scholar]
  41. Kumar, A.; Pandey, G. Photocatalytic Degradation of Eriochrome Black-T by the Ni:TiO2 Nanocomposites. Desalin. Water Treat. 2017, 71, 406–419. [Google Scholar] [CrossRef]
  42. Phuruangrat, A.; Thongtem, S.; Thongtem, T. Microwave-Assisted Hydrothermal Synthesis and Characterization of CeO2 Nanowires for Using as a Photocatalytic Material. Mater. Lett. 2017, 196, 61–63. [Google Scholar] [CrossRef]
  43. Kesarla, M.K.; Fuentez-Torres, M.O.; Alcudia-Ramos, M.A.; Ortiz-Chi, F.; Espinosa-González, C.G.; Aleman, M.; Torres-Torres, J.G.; Godavarthi, S. Synthesis of G-C3N4/N-Doped CeO2 Composite for Photocatalytic Degradation of an Herbicide. J. Mater. Res. Technol. 2019, 8, 1628–1635. [Google Scholar] [CrossRef]
  44. Ta, Q.; Tran, N.; Catalysts, J.N. Rice Crust-Like ZnO/Ti3C2Tx MXene Hybrid Structures for Improved Photocatalytic Activity. Catalysts 2020, 10, 1140. [Google Scholar] [CrossRef]
  45. Wang, B.; Wang, M.; Liu, F.; Zhang, Q.; Yao, S.; Liu, X.; Huang, F. Ti3C2: An Ideal Co-Catalyst? Angew. Chemie 2020, 132, 1930–1934. [Google Scholar] [CrossRef]
  46. Cao, J.; Xiong, Z.; Lai, B. Effect of Initial PH on the Tetracycline (TC) Removal by Zero-Valent Iron: Adsorption, Oxidation and Reduction. Chem. Eng. J. 2018, 343, 492–499. [Google Scholar] [CrossRef]
  47. Zhang, X.X.; Wang, X.J.; Niu, Y.Y. Photocatalytic Degradation of Tetracycline by Supramolecular Materials Constructed with Organic Cations and Silver Iodide. Catalysts 2022, 12, 1581. [Google Scholar] [CrossRef]
  48. Asgharzadeh, F.; Kalantary, R.R.; Gholami, M.; Jafari, A.J.; Kermani, M.; Asgharnia, H. TiO2-Decorated Magnetic Biochar Mediated Heterogeneous Photocatalytic Degradation of Tetracycline and Evaluation of Antibacterial Activity. Biomass Convers. Biorefinery 2023, 13, 8949–8959. [Google Scholar] [CrossRef]
  49. Nasseh, N.; Hossein Panahi, A.; Esmati, M.; Daglioglu, N.; Asadi, A.; Rajati, H.; Khodadoost, F. Enhanced Photocatalytic Degradation of Tetracycline from Aqueous Solution by a Novel Magnetically Separable FeNi3/SiO2/ZnO Nano-Composite under Simulated Sunlight: Efficiency, Stability, and Kinetic Studies. J. Mol. Liq. 2020, 301, 112434. [Google Scholar] [CrossRef]
  50. Hu, M.; Chen, W.; Wang, J. Photocatalytic Degradation of Tetracycline by La-Fe Co-Doped SrTiO3/TiO2 Composites: Performance and Mechanism Study. Water 2024, 16, 210. [Google Scholar] [CrossRef]
  51. Jangra, S.; Raza, A.; Kumar, B.; Sharma, J.; Das, S.; Pandey, K.; Mishra, Y.K.; Goyat, M.S. MXene Decorated ZnO-Tetrapod for Efficient Degradation of Methyl Orange, Methylene Blue, and Rhodamine B Dyes. Mater. Sci. Eng. B 2025, 311, 117832. [Google Scholar] [CrossRef]
  52. Nugroho, D.; Joo, Y.J.; Cho, K.Y.; Benchawattananon, R.; Chanthai, S.; Zhu, L.; Oh, W.C. Novel Synthesis of Ti3C2 MXene/ZnO/CdSe for Sonoelectron and Photoelectron Triggered Synergetic Sonophotocatalytic Degradation with Various Antibiotics. FlatChem 2024, 47, 100726. [Google Scholar] [CrossRef]
  53. Zhou, W.; Sun, L.; Li, K.; Tian, S. Enhanced Photocatalytic Activity of V2C MXene-Coupled ZnO Porous Nanosheets with Increased Surface Area and Effective Charge Transfer. Materials 2024, 17, 2529. [Google Scholar] [CrossRef] [PubMed]
  54. Liu, W.; Zhou, M.; Fu, H. Design of Ag@ZnO@Ti3C2 MXene Heterojunction Photocatalyst for Enhanced Photocatalytic Degradation Activity of Methylene Blue and Levofloxacin under Visible Light Irradiation. J. Environ. Chem. Eng. 2023, 11, 110926. [Google Scholar] [CrossRef]
  55. Abbas, K.K.; Abdulkadhimal-Ghaban, A.M.H.; Rdewi, E.H. Synthesis of a Novel ZnO/TiO2-Nanorod MXene Heterostructured Nanophotocatalyst for the Removal Pharmaceutical Ceftriaxone Sodium from Aqueous Solution under Simulated Sunlight. J. Environ. Chem. Eng. 2022, 10, 108111. [Google Scholar] [CrossRef]
Figure 1. The schematic representation of the synthesis process designed for the synthesis of MXene@ZnO composite.
Figure 1. The schematic representation of the synthesis process designed for the synthesis of MXene@ZnO composite.
Sustainability 17 01904 g001
Figure 2. A schematic representation of the experimental setup to be used for photocatalysis experiments.
Figure 2. A schematic representation of the experimental setup to be used for photocatalysis experiments.
Sustainability 17 01904 g002
Figure 3. X-ray diffractograms of synthesized products and MAX phase, (a) MAX Phase, (b) MXene, (c) Standard diffraction pattern for ZnO, (d) ZnO nanoparticle, (e) MXene/ZnO nanocomposite.
Figure 3. X-ray diffractograms of synthesized products and MAX phase, (a) MAX Phase, (b) MXene, (c) Standard diffraction pattern for ZnO, (d) ZnO nanoparticle, (e) MXene/ZnO nanocomposite.
Sustainability 17 01904 g003
Figure 4. SEM images of MAX phase and synthesized MXene and ZnO (a,b) MAX phase; (c,d) MXene; (e,f) ZnO.
Figure 4. SEM images of MAX phase and synthesized MXene and ZnO (a,b) MAX phase; (c,d) MXene; (e,f) ZnO.
Sustainability 17 01904 g004
Figure 5. SEM images of MXene/ZnO sample (a,b) SEM images; (c) particle-size-distribution histogram.
Figure 5. SEM images of MXene/ZnO sample (a,b) SEM images; (c) particle-size-distribution histogram.
Sustainability 17 01904 g005
Figure 6. SEM-EDX spectra were obtained for the MAX phase sample and the synthesized MXene, ZnO, and MXene/ZnO samples.
Figure 6. SEM-EDX spectra were obtained for the MAX phase sample and the synthesized MXene, ZnO, and MXene/ZnO samples.
Sustainability 17 01904 g006
Figure 7. TEM images of synthesized MXene/ZnO photocatalyst.
Figure 7. TEM images of synthesized MXene/ZnO photocatalyst.
Sustainability 17 01904 g007
Figure 8. Adsorption–desorption isotherms of synthesized samples (a) MXene, (b) MXene/ZnO.
Figure 8. Adsorption–desorption isotherms of synthesized samples (a) MXene, (b) MXene/ZnO.
Sustainability 17 01904 g008
Figure 9. Data obtained from experiments to examine the effect of irradiation time: (a) changes in the concentration ratio; (b) compatibility with the kinetic model.
Figure 9. Data obtained from experiments to examine the effect of irradiation time: (a) changes in the concentration ratio; (b) compatibility with the kinetic model.
Sustainability 17 01904 g009
Figure 10. A schematic representation of the possible mechanism for the photocatalytic activities of MXene/ZnO composites.
Figure 10. A schematic representation of the possible mechanism for the photocatalytic activities of MXene/ZnO composites.
Sustainability 17 01904 g010
Figure 11. Zeta potential (mV) values measured in the pH 2–12 range for MXene/ZnO photocatalyst.
Figure 11. Zeta potential (mV) values measured in the pH 2–12 range for MXene/ZnO photocatalyst.
Sustainability 17 01904 g011
Figure 12. Data obtained from experiments to examine the effect of the initial pH value: (a) changes in the concentration ratio; (b) compatibility with the kinetic model.
Figure 12. Data obtained from experiments to examine the effect of the initial pH value: (a) changes in the concentration ratio; (b) compatibility with the kinetic model.
Sustainability 17 01904 g012
Figure 13. Relationship between initial pH values and final removal efficiencies.
Figure 13. Relationship between initial pH values and final removal efficiencies.
Sustainability 17 01904 g013
Figure 14. Data obtained from experiments to examine the effect of the catalyst dosage: (a) changes in the concentration ratio; (b) compatibility with the kinetic model.
Figure 14. Data obtained from experiments to examine the effect of the catalyst dosage: (a) changes in the concentration ratio; (b) compatibility with the kinetic model.
Sustainability 17 01904 g014
Figure 15. Data obtained from experiments to examine the effect of the temperature: (a) changes in the concentration ratio; (b) compatibility with the kinetic model.
Figure 15. Data obtained from experiments to examine the effect of the temperature: (a) changes in the concentration ratio; (b) compatibility with the kinetic model.
Sustainability 17 01904 g015
Figure 16. Data obtained from experiments to examine the effect of the initial pollutant concentration: (a) changes in the concentration ratio; (b) compatibility with the kinetic model.
Figure 16. Data obtained from experiments to examine the effect of the initial pollutant concentration: (a) changes in the concentration ratio; (b) compatibility with the kinetic model.
Sustainability 17 01904 g016
Figure 17. Data obtained from experiments to examine the effect of the light intensity: (a) changes in the concentration ratio; (b) compatibility with the kinetic model.
Figure 17. Data obtained from experiments to examine the effect of the light intensity: (a) changes in the concentration ratio; (b) compatibility with the kinetic model.
Sustainability 17 01904 g017
Figure 18. Data obtained from experiment conducted under optimum conditions: (a) changes in the concentration ratio; (b) compatibility with the kinetic model.
Figure 18. Data obtained from experiment conducted under optimum conditions: (a) changes in the concentration ratio; (b) compatibility with the kinetic model.
Sustainability 17 01904 g018
Figure 19. Experimental data obtained from reusability experiments conducted in cycles for MXene/ZnO photocatalyst.
Figure 19. Experimental data obtained from reusability experiments conducted in cycles for MXene/ZnO photocatalyst.
Sustainability 17 01904 g019
Table 1. Operating parameters and their levels investigated in photocatalysis experiments.
Table 1. Operating parameters and their levels investigated in photocatalysis experiments.
Operating ParametersLevels of Parameters
Catalyst dosage (g/L)0.01 g/L, 0.025 g/L, 0.050 g/L, 0.1 g/L
Irradiation time (min)90 min, 120 min
Temperature (°C)30 °C, 40 °C, 50 °C, 60 °C
Pollutant concentration (mg/L)10 mg/L, 20 mg/L, 30 mg/L, 40 mg/L, 50 mg/L, 100 mg/L
Initial pH value of the solution4, 5, 6, 7, 8, 9, 10, 11
Light intensity (µW/cm2)4400 µW/cm2 (Single Lamp),
8800 µW/cm2 (Double Lamp)
Table 2. Various surface properties of the MXene and MXene/ZnO composite.
Table 2. Various surface properties of the MXene and MXene/ZnO composite.
Surface PropertiesMXeneMXene/ZnO
Single-point surface area10.7002 m2/g6.9699 m2/g
BET surface area12.4085 m2/g7.5184 m2/g
Langmuir surface area18.0703 m2/g10.5721 m2/g
t-Plot external surface area12.1308 m2/g6.2112 m2/g
Table 3. Calculated removal efficiencies and kinetic parameters for different experimental conditions.
Table 3. Calculated removal efficiencies and kinetic parameters for different experimental conditions.
Catalyst Dosage
Catalyst Amount (g/L)Time (min)Removal Efficiency (%)r2k (min−1)
0.0109057.750.99729.50 × 10−3
0.0259072.670.99651.37 × 10−2
0.0509092.670.99982.78 × 10−2
0.19099.60.99856.20 × 10−2
Initial pH
pHTime (min)Removal Efficiency (%)r2k (min−1)
49066.940.99871.15 × 10−2
59071.940.99841.34 × 10−2
69090.200.99862.43 × 10−2
79081.480.99711.78 × 10−2
89089.300.99882.30 × 10−2
99095.560.99902.89 × 10−2
109090.920.99782.37 × 10−2
119075.500.99931.46 × 10−2
Pollutant Concentration
Concentration (mg/L)Time (min)Removal Efficiency (%)r2k (min−1)
109099.990.99857.44 × 10−2
209099.990.99895.30 × 10−2
309098.920.99934.14 × 10−2
409094.050.99972.90 × 10−2
509092.670.99982.78 × 10−2
1009063.560.99941.05 × 10−2
Temperature
Temperature (°C)Time (min)Removal Efficiency (%)r2k (min−1)
309093.480.99932.93 × 10−2
409098.950.99923.37 × 10−2
509099.240.99935.22 × 10−2
609099.950.99988.44 × 10−2
Light Intensity
Light Intensity (µW/cm2)Time (min)Removal Efficiency (%)r2k (min−1)
44009092.670.99992.79 × 10−2
88009099.470.99975.76 × 10−2
Irradiaton Time
Irradiaton Time (min)Time (min)Removal Efficiency (%)r2k (min−1)
12012098.140.99955.73 × 10−2
Table 4. The rate-constant (k) values observed in studies on the photocatalytic degradation of various pollutants using MXene/ZnO based photocatalysts.
Table 4. The rate-constant (k) values observed in studies on the photocatalytic degradation of various pollutants using MXene/ZnO based photocatalysts.
CatalystPreparation RoutePollutantk (s−1, min−1)Ref.
MXene/ZnOHydrothermalTetracycline5.73 × 10−2 min−1This work
MXene/ZnOFlame transportMethylene Blue (MB)
Methyl Orange (MO)
Rhodamine B (RhB)
4.1 × 10−5 s−1
7.5 × 10−5 s−1
8.9 × 10−5 s−1
[51]
MXene/ZnOHydrothermalCiprofloxacin Amoxicillin
Ofloxacin
1.1 × 10−5 s−1
9.0 × 10−5 s−1
6.0 × 10−5 s−1
[52]
MXene/ZnOElectrostatic
self-assembly
Methylene Blue (MB)5.42 × 10−2 s−1[53]
Ag@ZnO@Ti3C2HydrothermalMethylene Blue (MB)
Levofloxacin
4.73 × 10−2 min−1
4.08 × 10−2 min−1
[54]
ZnO-TiO2-MXeneHydrothermal Ceftriaxone sodium1.06 × 10−2 min−1[55]
Disclaimer/Publisher’s Note: The statements, opinions and data contained in all publications are solely those of the individual author(s) and contributor(s) and not of MDPI and/or the editor(s). MDPI and/or the editor(s) disclaim responsibility for any injury to people or property resulting from any ideas, methods, instructions or products referred to in the content.

Share and Cite

MDPI and ACS Style

Karcıoğlu Karakaş, Z.; Dönmez, Z. A Sustainable Approach in the Removal of Pharmaceuticals: The Effects of Operational Parameters in the Photocatalytic Degradation of Tetracycline with MXene/ZnO Photocatalysts. Sustainability 2025, 17, 1904. https://doi.org/10.3390/su17051904

AMA Style

Karcıoğlu Karakaş Z, Dönmez Z. A Sustainable Approach in the Removal of Pharmaceuticals: The Effects of Operational Parameters in the Photocatalytic Degradation of Tetracycline with MXene/ZnO Photocatalysts. Sustainability. 2025; 17(5):1904. https://doi.org/10.3390/su17051904

Chicago/Turabian Style

Karcıoğlu Karakaş, Zeynep, and Zeliha Dönmez. 2025. "A Sustainable Approach in the Removal of Pharmaceuticals: The Effects of Operational Parameters in the Photocatalytic Degradation of Tetracycline with MXene/ZnO Photocatalysts" Sustainability 17, no. 5: 1904. https://doi.org/10.3390/su17051904

APA Style

Karcıoğlu Karakaş, Z., & Dönmez, Z. (2025). A Sustainable Approach in the Removal of Pharmaceuticals: The Effects of Operational Parameters in the Photocatalytic Degradation of Tetracycline with MXene/ZnO Photocatalysts. Sustainability, 17(5), 1904. https://doi.org/10.3390/su17051904

Note that from the first issue of 2016, this journal uses article numbers instead of page numbers. See further details here.

Article Metrics

Back to TopTop