Lean Implementation in Sustainable Energy Entrepreneurship: Key Drivers for Operational Efficiency
Abstract
1. Introduction
- What is the interdependence level of the drivers of lean implementation in enhancing the operational efficiency of SEEs?
- How do we classify the drivers of lean implementation in SEEs based on the driving power and dependence?
2. Literature Review
2.1. Importance of Lean Implementation
2.2. Lean Practices in SEEs
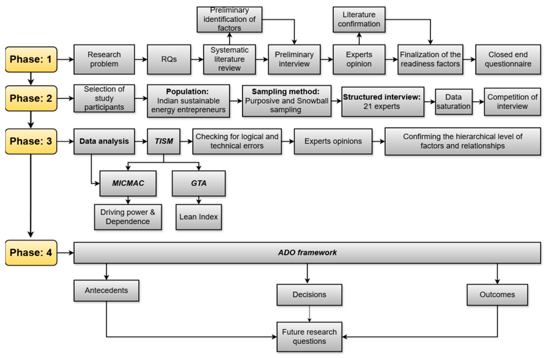
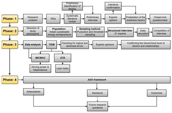
3. Research Methodology
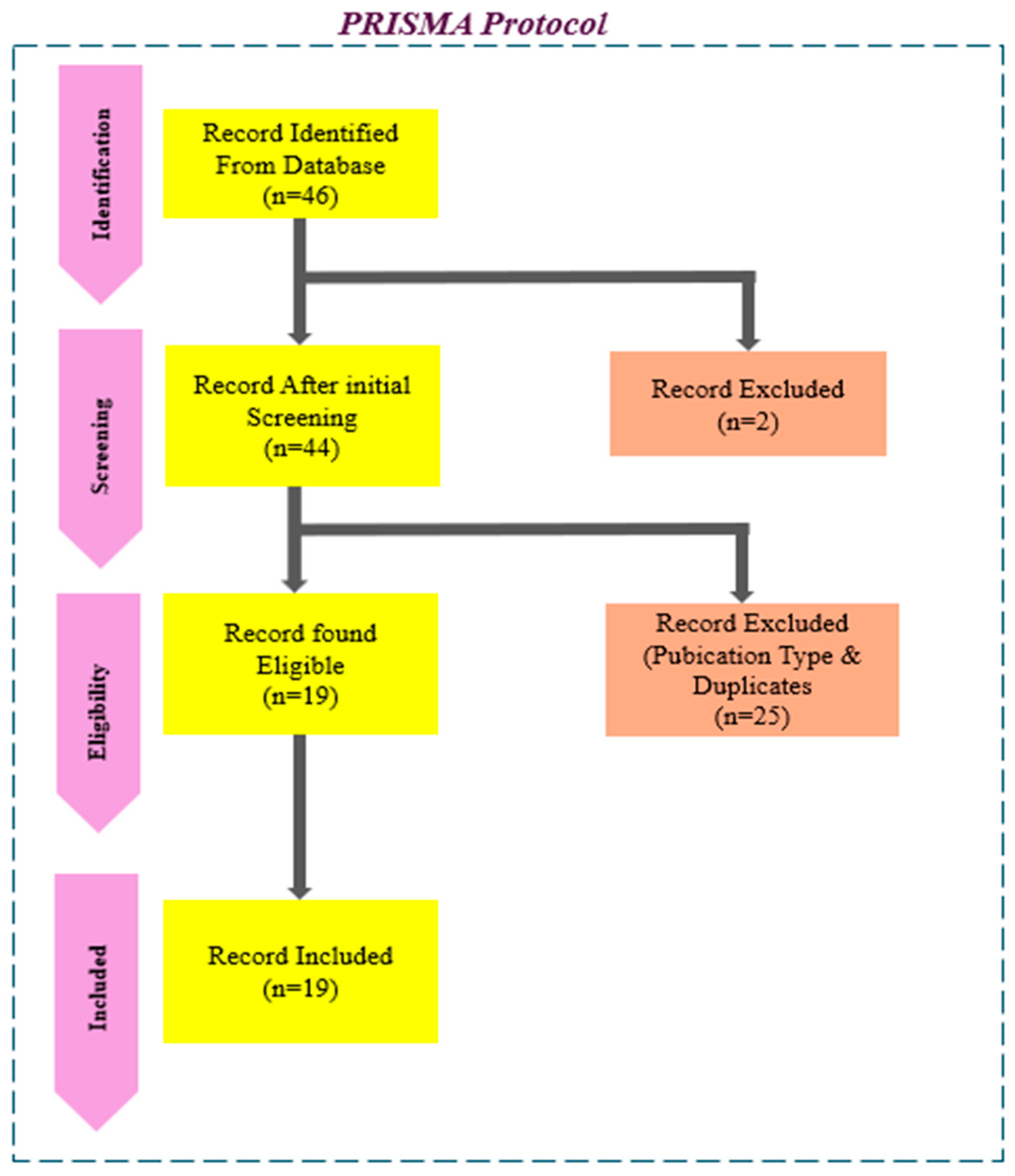
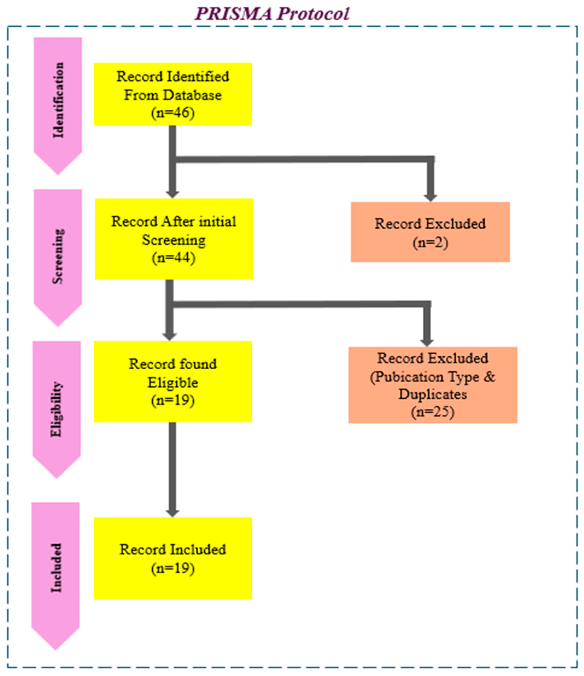
3.1. Literature Identification, Screening, and Eligibility Assessment
3.2. Experts’ Selection and Their Interview Methodology
3.3. Key Driving Factors for Lean Implementation
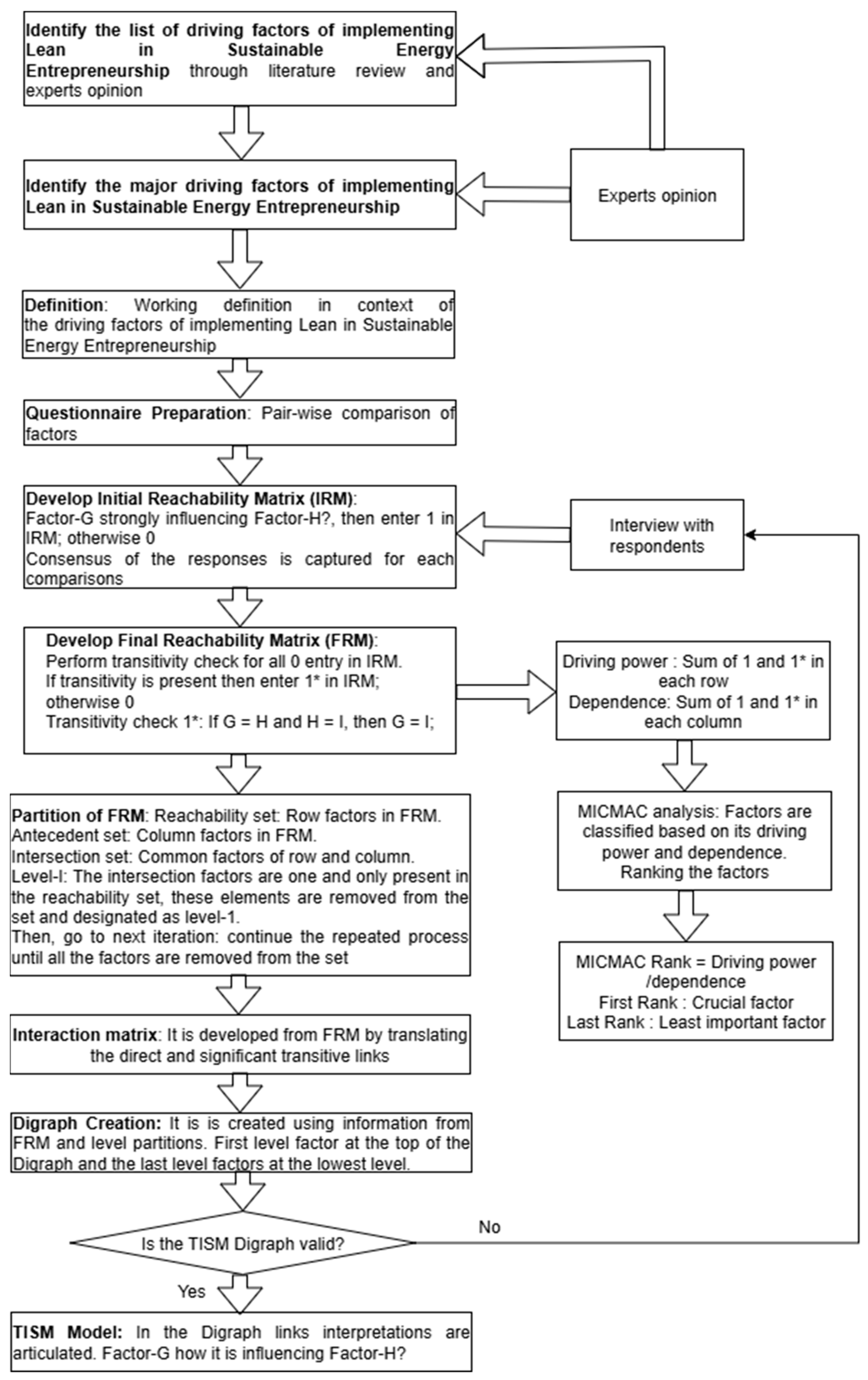
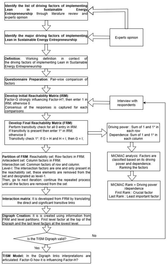
3.4. Identifying the Interdependence of Shortlisted Driving Factors for Lean Implementation
3.5. MICMAC
3.6. Graph-Theoretic Approach (GTA)
4. Results
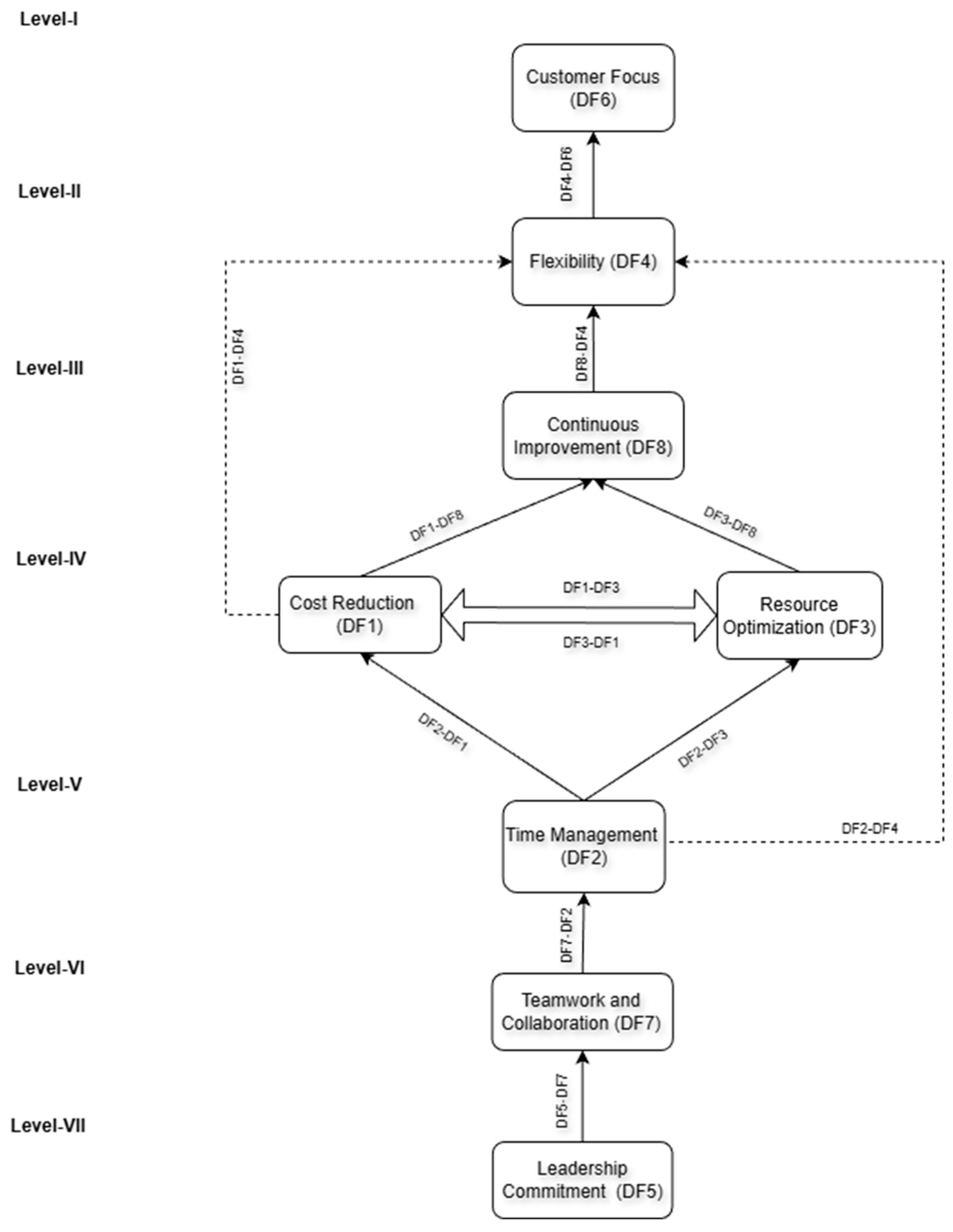
4.1. TISM: Identify the Interdependence of Lean Implementation Driving Factors
4.2. MICMAC: Categorization of Drivers of Lean Implementation in SEEs
4.3. Lean Assessment—GTA
5. Discussion
6. Implications of the Study
6.1. Implications for Theory
6.2. Implications for Practice
6.3. Implications for Policy
7. Future Research Directions—ADO Framework
7.1. Antecedents
7.2. Decisions
7.3. Outcomes
8. Conclusions
Author Contributions
Funding
Institutional Review Board Statement
Informed Consent Statement
Data Availability Statement
Acknowledgments
Conflicts of Interest
Appendix A
References
- Bashir, M.F.; Jamaani, F.; Troise, C.; Bresciani, S. Assessing the Impact of Environmental Taxes, Energy Structure and Renewable Energy Investments on Climate Change: Empirical Evidence From Top-10 Polluting Economies. Sustain. Dev. 2025; early view. [Google Scholar]
- Atuahene, S.A.; Sheng, Q.X. Powering Ghana’s future: Unraveling the dynamics of electricity generation and the path to sustainable energy. Environ. Sci. Eur. 2023, 35, 25. [Google Scholar] [CrossRef]
- Alka, T.A.; Raman, R.; Suresh, M. Analyzing the Causal Relationships Among Socioeconomic Factors Influencing Sustainable Energy Enterprises in India. Energies 2025, 18, 4373. [Google Scholar] [CrossRef]
- Moghadam, S.S.; Gholamian, M.R.; Zahedi, R.; Shaqaqifar, M. Designing a multi-purpose network of sustainable and closed-loop renewable energy supply chain, considering reliability and the circular economy. Appl. Energy 2024, 369, 123539. [Google Scholar] [CrossRef]
- Siegel, R.; Antony, J.; Govindan, K.; Garza-Reyes, J.A.; Lameijer, B.; Samadhiya, A. A framework for the systematic implementation of Green-Lean and sustainability in SMEs. Prod. Plan. Control 2024, 35, 71–89. [Google Scholar] [CrossRef]
- Duch-Brown, N.; Rossetti, F. Digital platforms across the European regional energy markets. Energy Policy 2020, 144, 111612. [Google Scholar] [CrossRef]
- Arana-Landín, G.; Uriarte-Gallastegi, N.; Landeta-Manzano, B.; Laskurain-Iturbe, I. The contribution of lean management—Industry 4.0 technologies to improving energy efficiency. Energies 2023, 16, 2124. [Google Scholar] [CrossRef]
- Sadik-Zada, E.R.; Gatto, A. Energy security pathways in South East Europe: Diversification of the natural gas supplies, energy transition, and energy futures. In From Economic to Energy Transition: Three Decades of Transitions in Central and Eastern Europe; Springer Nature: Berlin/Heidelberg, Germany, 2021; pp. 491–514. [Google Scholar]
- Böhmecke-Schwafert, M.; Moreno, E.G. Exploring blockchain-based innovations for economic and sustainable development in the global south: A mixed-method approach based on web mining and topic modeling. Technol. Forecast. Soc. Change 2023, 191, 122446. [Google Scholar] [CrossRef]
- Sudhir, K.; Yoo, O.S.; Zhou, Z. Entrepreneurs and Investors: Funding-Induced Distortions in Lean Start-up Product Experiments and Innovation. Mark. Sci. 2025; in advance. [Google Scholar]
- Tucci, C.L.; Snihur, Y.; Novelli, E.; Felin, T. A debate: Does Lean Startup represent a giant leap? Ind. Innov. 2025, 32, 500–511. [Google Scholar] [CrossRef]
- Dibia, F.; Dibia, C.; Dhakal, H.N.; Okpako, O.; Radulovic, J.; Isike, A. A Review on Achieving Sustainability in the Petroleum Industry Through the Integration of Lean and Green. Appl. Sci. 2025, 15, 2333. [Google Scholar] [CrossRef]
- Fayyaz, A.; Liu, C.; Xu, Y.; Farooq, A.; Ahmed, S. Linkages between lean six sigma, green manufacturing, circular economy and operational performance in manufacturing organizations of a developing country. Int. J. Lean Six Sigma 2025, 16, 1549–1586. [Google Scholar] [CrossRef]
- Sethi, M.; Sushil; Gupta, M.P. Modelling the enablers of organizational resilience: A modified total interpretive structural modeling (m-TISM) approach. Benchmarking Int. J. 2025, 32, 1776–1824. [Google Scholar] [CrossRef]
- Xiahou, X.; Li, Z.; Zuo, J.; Wang, Z.; Li, K.; Li, Q. Critical success factors for the implementation of urban regeneration REITs in China: A TISM–MICMAC based approach. Eng. Constr. Archit. Manag. 2024, 31, 363–385. [Google Scholar] [CrossRef]
- Paul, J.; Khatri, P.; Kaur Duggal, H. Frameworks for developing impactful systematic literature reviews and theory building: What, Why and How? J. Decis. Syst. 2024, 33, 537–550. [Google Scholar] [CrossRef]
- Laprof, S.; Carrisco, S.; John, A.; Khan, J. The Impact of Data Analytics on Enhancing Lean Six Sigma Practices in Engineering Management. 2025. Available online: https://www.researchgate.net/profile/Ada-John/publication/387832918_The_Impact_of_Data_Analytics_on_Enhancing_Lean_Six_Sigma_Practices_in_Engineering_Management/links/677f372518ad70589ea5f5db/The-Impact-of-Data-Analytics-on-Enhancing-Lean-Six-Sigma-Practices-in-Engineering-Management.pdf (accessed on 29 August 2025).
- Costa, F.; Alemsan, N.; Bilancia, A.; Tortorella, G.L.; Staudacher, A.P. Integrating industry 4.0 and lean manufacturing for a sustainable green transition: A comprehensive model. J. Clean. Prod. 2024, 465, 142728. [Google Scholar] [CrossRef]
- Lee, P.F.; Khan, N.A.A.; Muhammad, N.A.; Hasnida, A.-S.; Chin, J.F.J.; Prakash, J.; Di, S.E.; Ghazali, B. Lean implementation in the service sector: A case study of waste elimination in Malaysian customs administration. Int. J. Lean Six Sigma, 2025; ahead of print. [Google Scholar]
- Sharma, G.V.S.S.; Prasad, C.L.V.R.S.V.; Srinivasa Rao, M. Industrial engineering into healthcare–A comprehensive review. Int. J. Healthc. Manag. 2021, 14, 1288–1302. [Google Scholar] [CrossRef]
- Ferrazzi, M.; Frecassetti, S.; Bilancia, A.; Portioli-Staudacher, A. Investigating the influence of lean manufacturing approach on environmental performance: A systematic literature review. Int. J. Adv. Manuf. Technol. 2025, 136, 4025–4044. [Google Scholar] [CrossRef]
- Liu, C.; González, V.A.; Pavez, I.; Tortorella, G.L.; Abdelmegid, M. Exploring the socio-technical interactions associated with lean implementation: A systematic literature review. Prod. Plan. Control 2025, 36, 2109–2141. [Google Scholar] [CrossRef]
- Fernando, M.H.V.; Costa, D.D.; Malsha Nadeetharu, B.K.; Kulatunga, U. Application of lean principles for building refurbishment projects in Sri Lanka. Built Environ. Proj. Asset Manag. 2024, 14, 244–259. [Google Scholar] [CrossRef]
- Dara, H.M.; Raut, A.; Adamu, M.; Ibrahim, Y.E.; Ingle, P.V. Reducing non-value added (NVA) activities through lean tools for the precast industry. Heliyon 2024, 10, e29148. [Google Scholar] [CrossRef]
- Hardcopf, R.; Kannan, V.; Ebbeler, J. Brawny Brackets: Connecting the dots from layout design to pull flow. Decis. Sci. J. Innov. Educ. 2025, 23, e12329. [Google Scholar] [CrossRef]
- Rashid, A.; Rasheed, R.; Amirah, N.A. Synergizing TQM, JIT, and Green Supply Chain Practices: Strategic Insights for Enhanced Environmental Performance. Logistics 2025, 9, 18. [Google Scholar] [CrossRef]
- Dey, P.K.; Malesios, C.; De, D.; Chowdhury, S.; Abdelaziz, F.B. The impact of lean management practices and sustainably-oriented innovation on sustainability performance of small and medium-sized enterprises: Empirical evidence from the UK. Br. J. Manag. 2020, 31, 141–161. [Google Scholar] [CrossRef]
- Kosasih, W.; Pujawan, I.N.; Karningsih, P.D.; Shee, H. Integrated lean-green practices and supply chain sustainability framework. Clean. Responsible Consum. 2023, 11, 100143. [Google Scholar] [CrossRef]
- Mehta, V.B.; Dave, P.Y. Impact of 5S and lean manufacturing techniques in various organisations to enhance the productivity. Int. J. Adv. Eng. Manag. 2020, 2, 421–436. [Google Scholar]
- Dalvi-Esfahani, M.; Nilashi, M.; Abumalloh, R.A.; Thurasamy, R.; Ahmad, M.S. Investigating the interrelationships between the barriers of green computing adoption: TISM-MICMAC-DEMATEL method. Qual. Quant. 2025, 59 (Suppl. 1), 507–570. [Google Scholar] [CrossRef]
- Edalatpanah, S.A.; Sıcakyüz, Ç.; Nourkhah, S.A.; Pamucar, D. Prioritizing critical success factors for wind turbine suppliers: A neutrosophic hybrid DEMATEL and ANP approach. Int. J. Environ. Sci. Technol. 2025, 22, 12179–12203. [Google Scholar] [CrossRef]
- Luhaniwal, J.; Agarwal, S.; Mathur, T. An integrated DEA-fuzzy AHP method for prioritization of renewable energy sources in India. Sci. Rep. 2025, 15, 838. [Google Scholar] [CrossRef]
- Raman, R.; Gunasekar, S.; Dávid, L.D.; Rahmat, A.F.; Nedungadi, P. Aligning sustainable aviation fuel research with sustainable development goals: Trends and thematic analysis. Energy Rep. 2024, 12, 2642–2652. [Google Scholar] [CrossRef]
- Raman, R.; Ustenko, V.; Filho, W.L.; Nedungadi, P. Energy justice and gender: Bridging equity, access, and policy for sustainable development. Discov. Sustain. 2025, 6, 558. [Google Scholar] [CrossRef]
- Sushil. Interpreting the interpretive structural model. Glob. J. Flex. Syst. Manag. 2012, 13, 87–106. [Google Scholar] [CrossRef]
- Agarwal, S.; Kant, R.; Shankar, R. Modeling the enablers of humanitarian supply chain management: A hybrid group decision-making approach. Benchmarking: Int. J. 2021, 28, 166–204. [Google Scholar] [CrossRef]
- Alka, T.A.; Raman, R.; Suresh, M. Critical success factors for successful technology innovation development in sustainable energy enterprises. Sci. Rep. 2025, 15, 14138. [Google Scholar] [CrossRef]
- Zhao, L.; Wang, Q.E.; Hwang, B.G.; Chang-Richards, A.Y. Analysis of critical factors influencing sustainable infrastructure vulnerabilities using an ISM-MICMAC approach. Eng. Constr. Archit. Manag. 2024, 31, 3622–3652. [Google Scholar] [CrossRef]
- Sreenivasan, A.; Suresh, M. Agile readiness for sustainable operations in start-ups. Int. J. Innov. Sci. 2024, 16, 166–192. [Google Scholar]
- Kaur, I.; Shri, C.; Mital, K.M. Modelling enhancement of team emotional intelligence. Vision 2016, 20, 184–198. [Google Scholar] [CrossRef]
- Kharb, R.; Shri, C.; Singh, P.; Bhatia, S.; Saini, N. Modelling the barriers of green financing in achieving environmental sustainability: An analysis using TISM. Environ. Dev. Sustain. 2024, 1–34. [Google Scholar] [CrossRef]
- Guest, G.; Bunce, A.; Johnson, L. How many interviews are enough? An experiment with data saturation and variability. Field Methods 2006, 18, 59–82. [Google Scholar] [CrossRef]
- Rasanjali, W.A.; Mendis, A.P.K.D.; Perera, B.A.K.S.; Disaratna, V. Implementing enterprise resource planning for lean waste minimisation: Challenges and proposed strategies. Smart Sustain. Built Environ. 2024, 13, 330–353. [Google Scholar] [CrossRef]
- Cai, T.; Dong, M.; Chen, K.; Gong, T. Methods of participating power spot market bidding and settlement for renewable energy systems. Energy Rep. 2022, 8, 7764–7772. [Google Scholar] [CrossRef]
- Aldewachi, B.; Ayağ, Z. Achieving sustainability in solar energy firms in Turkey through adopting lean principles. Sustainability 2021, 14, 108. [Google Scholar] [CrossRef]
- Drobyazko, S.; Skrypnyk, M.I.; Radionova, N.; Hryhorevska, O.O.; Matiukha, M. Enterprise energy supply system design management based on renewable energy sources. Glob. J. Environ. Sci. Manag. 2021, 7, 369–382. [Google Scholar]
- Eddoug, F.Z.; Benabbou, R.; Benhra, J. Lean and agile project management knowledge areas: A systematic literature review. Int. J. Agil. Syst. Manag. 2024, 17, 502–534. [Google Scholar] [CrossRef]
- Misztal, A.; Ratajszczak, K. Possibilities of using contemporary quality management methods and tools for the sustainable development of the organization. Sustainability 2025, 17, 617. [Google Scholar] [CrossRef]
- Sikiru, S.; Abioye, K.J.; Adedayo, H.B.; Adebukola, S.Y.; Soleimani, H.; Anar, M. Technology projection in biofuel production using agricultural waste materials as a source of energy sustainability: A comprehensive review. Renew. Sustain. Energy Rev. 2024, 200, 114535. [Google Scholar] [CrossRef]
- Al Zaabi, Y.; Antony, J.; Garza-Reyes, J.A.; da Luz Tortorella, G.; Sony, M.; Jayaraman, R. Unlocking the potential: A study on the role of operational excellence in Oman’s energy sector. Int. J. Qual. Reliab. Manag. 2024, 42, 157–182. [Google Scholar] [CrossRef]
- Olabi, A.G.; Abdelkareem, M.A. Renewable energy and climate change. Renew. Sustain. Energy Rev. 2022, 158, 112111. [Google Scholar] [CrossRef]
- Olabi, A.G.; Obaideen, K.; Abdelkareem, M.A.; AlMallahi, M.N.; Shehata, N.; Alami, A.H.; Mdallal, A.; Hassan, A.A.M.; Sayed, E.T. Wind energy contribution to the sustainable development goals: Case study on London array. Sustainability 2023, 15, 4641. [Google Scholar] [CrossRef]
- Sasso, R.A.; Filho, M.G.; Ganga, G.M.D. Synergizing lean management and circular economy: Pathways to sustainable manufacturing. Corp. Soc. Responsib. Environ. Manag. 2025, 32, 543–562. [Google Scholar] [CrossRef]
- Knöttner, S.; Hofmann, R. Assessment and conceptualization of industrial energy flexibility supply in mathematical optimization in a competitive and changing environment. Energy Convers. Manag. 2024, 304, 118205. [Google Scholar] [CrossRef]
- Ogbonnaya, C.; Hegarty, G. Manufacturing Strategies for a Family of Integrated Photovoltaic-Fuel Cell Systems. Energies 2024, 17, 4837. [Google Scholar] [CrossRef]
- Maqueira, J.M.; Minguela-Rata, B.; Moyano-Fuentes, J.; Rojo, A.; Bruque, S. The paradox of information systems in supply chain flexibility: The indirect effect on the lean production-business performance relationship through sourcing, operating system and distribution flexibility. J. Manuf. Technol. Manag. 2025, 36, 1049–1073. [Google Scholar] [CrossRef]
- Simões, J.M.S.; Toledo, J.C.D.; Lizarelli, F.L. Front-line lean leader capacities, practices and effects on implementing tools: A survey of leaders in industrial companies. Int. J. Lean Six Sigma 2024, 15, 925–956. [Google Scholar] [CrossRef]
- Suleiman Almazrouei, S.A.; AlBalushi, M.; Hilmi, M.F. Employees’ perception of lean management maturity and its impact on their innovative behaviours. Int. J. Qual. Reliab. Manag. 2025; ahead of print. [Google Scholar]
- Blank, S.; Eckhardt, J.T. The lean startup as an actionable theory of entrepreneurship. J. Manag. 2024, 50, 3012–3034. [Google Scholar] [CrossRef]
- Carayannis, E.; Kostis, P.; Dinçer, H.; Yüksel, S. Quality function deployment-oriented strategic outlook to sustainable energy policies based on quintuple innovation helix. J. Knowl. Econ. 2024, 15, 6761–6779. [Google Scholar] [CrossRef]
- Wallsgrove, R.; Woo, J.; Lee, J.H.; Akiba, L. The emerging potential of microgrids in the transition to 100% renewable energy systems. Energies 2021, 14, 1687. [Google Scholar] [CrossRef]
- Safari, A.; Parast, M.M.; Al Ismail, V.B. Lean Six Sigma, ISO 9001, and organizational performance: An integrated approach. Qual. Manag. J. 2025, 32, 180–195. [Google Scholar] [CrossRef]
- Safari, A.; Daneshvar, M.; Anvari-Moghaddam, A. Energy intelligence: A systematic review of artificial intelligence for energy management. Appl. Sci. 2024, 14, 11112. [Google Scholar] [CrossRef]
- Leyer, M.; Reus, M.; Moormann, J. How satisfied are employees with lean environments? Prod. Plan. Control 2021, 32, 52–62. [Google Scholar] [CrossRef]
- Jensen, P.H.; Cross, J.; Polanco-Lahoz, D.A. COVID-19’s impact on lean programs and implementation in energy-based utilities. TQM J. 2024, 36, 1724–1755. [Google Scholar] [CrossRef]
- Vlachos, I.; Siachou, E.; Langwallner, E. A perspective on knowledge sharing and lean management: An empirical investigation. Knowl. Manag. Res. Pract. 2020, 18, 131–146. [Google Scholar] [CrossRef]
- Androniceanu, A.; Enache, I.C.; Valter, E.N.; Raduica, F.F. Increasing energy efficiency based on the kaizen approach. Energies 2023, 16, 1930. [Google Scholar] [CrossRef]
- Cudney, E.A.; Furterer, S.L.; Laux, C.M.; Hundal, G.S. Lean Sustainability: A Pathway to a Circular Economy; CRC Press: Boca Raton, FL, USA, 2023. [Google Scholar]
- Azevedo, L.P.; Lagarinhos, C.A. Green energy from waste to promote decarbonization: A case study in Brazil. In Decarbonization Strategies and Drivers to Achieve Carbon Neutrality for Sustainability; Elsevier: Amsterdam, The Netherlands, 2024; pp. 527–554. [Google Scholar]
- Dauda, J.A.; Ajayi, S.; Omotayo, T.; Oladiran, O.O.; Ilori, O.M. Implementation of lean for small-and medium-sized construction organisational improvement. Smart Sustain. Built Environ. 2024, 13, 496–511. [Google Scholar] [CrossRef]
- Tantawy, M.M.; Foord, D.J.; Jimenez-Moro, E.; Piperopoulos, P.; McNally, J.J. Continuous improvement strategies towards energy transition: The importance of individual employees’ entrepreneurial orientation and learning processes. Bus. Strategy Environ. 2025, 34, 1320–1337. [Google Scholar] [CrossRef]
- Chillayil, J.; M, S.; PK, V.; Mahapatra, S.K.; Kottayil, S.K. Industrial energy behaviour model: An analysis using the TISM approach. J. Sci. Technol. Policy Manag. 2023, 14, 74–97. [Google Scholar] [CrossRef]
- Suresh, M.; Arun Ram Nathan, R.B. Readiness for lean procurement in construction projects. Constr. Innov. 2020, 20, 587–608. [Google Scholar] [CrossRef]
- Kushwaha, J.; Singh, P.; Sharma, A. Modelling the enablers of work-family balance among working single mothers integrating expert-mining and TISM-MICMAC. J. Organ. Eff. People Perform. 2023, 10, 501–526. [Google Scholar] [CrossRef]
- Bianco, D.; Godinho Filho, M.; Osiro, L.; Ganga, G.M.D.; Tortorella, G.L. The driving and dependence power between Lean leadership competencies: An integrated ISM/fuzzy MICMAC approach. Prod. Plan. Control 2023, 34, 1037–1061. [Google Scholar] [CrossRef]
- Vadivel, S.M.; Kumar, V.; Verma, P. Lean facility layout selection in a post service to enhance operational performance: A graph theory model. TQM J. 2024, 37, 2551–2585. [Google Scholar] [CrossRef]
- Gurumurthy, A.; Mazumdar, P.; Muthusubramanian, S. Graph theoretic approach for analysing the readiness of an organisation for adapting lean thinking: A case study. Int. J. Organ. Anal. 2013, 21, 396–427. [Google Scholar] [CrossRef]
- Santos, L.C.; Reul, L.M.A.; Gohr, C.F. A graph-theoretic approach for assessing the leanness level of supply chains. Supply Chain Manag. Int. J. 2023, 28, 74–89. [Google Scholar] [CrossRef]
- Lande, M.; Seth, D.; Shrivastava, R.L. Application of graph-theoretic approach for the evaluation of lean-six-sigma (LSS) critical-success-factors (CSFs) facilitating quality audits in Indian small & medium enterprises (SMEs). Int. J. Qual. Reliab. Manag. 2022, 39, 1845–1868. [Google Scholar]
- Suresh, M.; Antony, J.; Nair, G.; Garza-Reyes, J.A. Lean-sustainability assessment framework development: Evidence from the construction industry. Total Qual. Manag. Bus. Excell. 2023, 34, 2046–2081. [Google Scholar] [CrossRef]
- Faisal, M.N.; Sabir, L.B.; Sharif, K.J. Operationalizing transparency in supply chains using a systematic literature review and graph theoretic approach. Benchmarking Int. J. 2024, 31, 1270–1294. [Google Scholar] [CrossRef]
- Priyadarsini, S.L.; Suresh, M.; Nikhila, G. Assessment framework for the selection of a potential interactive dressing material for diabetic foot ulcer. Heliyon 2023, 9, e16476. [Google Scholar] [CrossRef] [PubMed]
- Ali, S.M.; Belal, H.M.; Roy, S.; Rahman, M.T.; Raihan, A.S. Examining the role of soft dimensions on the implementation of ISO 14000 environmental management systems: A graph-theoretic approach. Ann. Oper. Res. 2025, 348, 2049–2074. [Google Scholar]
- Josyula, S.S.; Suresh, M.; Raghu Raman, R. How to make intelligent automation projects agile? Identification of success factors and an assessment approach. Int. J. Organ. Anal. 2023, 31, 1461–1491. [Google Scholar] [CrossRef]
- Narayanamurthy, G.; Sengupta, T.; Pati, R.K.; Gupta, V.; Gurumurthy, A.; Venkatesh, M. Assessment of systemic greenness: A case study of tyre manufacturing unit. Prod. Plan. Control 2020, 31, 1035–1060. [Google Scholar] [CrossRef]
- Chatzinikolaou, D.; Vlados, C.M. International Political Economy, Business Ecosystems, Entrepreneurship, and Sustainability: A Synthesis on the Case of the Energy Sector. Sustainability 2024, 16, 10092. [Google Scholar] [CrossRef]
- Paul, J.; Benito, G.R. A review of research on outward foreign direct investment from emerging countries, including China: What do we know, how do we know and where should we be heading? Asia Pac. Bus. Rev. 2018, 24, 90–115. [Google Scholar] [CrossRef]
- Khatri, P.; Duggal, H.K. Well-being of higher education consumers: A review and research agenda. Int. J. Consum. Stud. 2022, 46, 1564–1593. [Google Scholar] [CrossRef]
- Thomas, A.; Gupta, V. Tacit knowledge in organizations: Bibliometrics and a framework-based systematic review of antecedents, outcomes, theories, methods and future directions. J. Knowl. Manag. 2022, 26, 1014–1041. [Google Scholar] [CrossRef]
- Södergren, J. Brand authenticity: 25 Years of research. Int. J. Consum. Stud. 2021, 45, 645–663. [Google Scholar] [CrossRef]
- Singh, S.; Paul, J.; Dhir, S. Innovation implementation in Asia-Pacific countries: A review and research agenda. Asia Pac. Bus. Rev. 2021, 27, 180–208. [Google Scholar] [CrossRef]
- Kumar, M.; Paul, J.; Misra, M.; Romanello, R. The creation and development of learning organizations: A review. J. Knowl. Manag. 2021, 25, 2540–2566. [Google Scholar] [CrossRef]







| DF1 | DF2 | DF3 | DF4 | DF5 | DF6 | DF7 | DF8 | |
|---|---|---|---|---|---|---|---|---|
| DF1 | 1 | 0 | 1 | 0 | 0 | 0 | 0 | 1 |
| DF2 | 1 | 1 | 1 | 0 | 0 | 0 | 0 | 1 |
| DF3 | 1 | 0 | 1 | 0 | 0 | 0 | 0 | 1 |
| DF4 | 0 | 0 | 0 | 1 | 0 | 1 | 0 | 0 |
| DF5 | 1 | 1 | 1 | 1 | 1 | 0 | 1 | 1 |
| DF6 | 0 | 0 | 0 | 0 | 0 | 1 | 0 | 0 |
| DF7 | 1 | 1 | 1 | 1 | 0 | 1 | 1 | 0 |
| DF8 | 0 | 0 | 0 | 1 | 0 | 1 | 0 | 1 |
| DF1 | DF2 | DF3 | DF4 | DF5 | DF6 | DF7 | DF8 | Driving Power | |
|---|---|---|---|---|---|---|---|---|---|
| DF1 | 1 | 0 | 1 | 1* | 0 | 1* | 0 | 1 | 5 |
| DF2 | 1 | 1 | 1 | 1* | 0 | 1* | 0 | 1 | 6 |
| DF3 | 1 | 0 | 1 | 1* | 0 | 1* | 0 | 1 | 5 |
| DF4 | 0 | 0 | 0 | 1 | 0 | 1 | 0 | 0 | 2 |
| DF5 | 1 | 1 | 1 | 1 | 1 | 1* | 1 | 1 | 8 |
| DF6 | 0 | 0 | 0 | 0 | 0 | 1 | 0 | 0 | 1 |
| DF7 | 1 | 1 | 1 | 1 | 0 | 1 | 1 | 1* | 7 |
| DF8 | 0 | 0 | 0 | 1 | 0 | 1 | 0 | 1 | 3 |
| Dependence | 5 | 3 | 5 | 7 | 1 | 8 | 2 | 6 |
| DF1 | DF2 | DF3 | DF4 | DF5 | DF6 | DF7 | DF8 | |
|---|---|---|---|---|---|---|---|---|
| DF1 | 1 | 0 | 1 | 1* | 0 | 0 | 0 | 1 |
| DF2 | 1 | 1 | 1 | 1* | 0 | 0 | 0 | 1 |
| DF3 | 1 | 0 | 1 | 0 | 0 | 0 | 0 | 1 |
| DF4 | 0 | 0 | 0 | 1 | 0 | 1 | 0 | 0 |
| DF5 | 1 | 1 | 1 | 1 | 1 | 0 | 1 | 1 |
| DF6 | 0 | 0 | 0 | 0 | 0 | 1 | 0 | 0 |
| DF7 | 1 | 1 | 1 | 1 | 0 | 1 | 1 | 0 |
| DF8 | 0 | 0 | 0 | 1 | 0 | 1 | 0 | 1 |
| Factor | Driving Power | Dependence | Driving Power/Dependence | MICMAC Rank |
|---|---|---|---|---|
| DF1 | 5 | 5 | 1.000 | 4 |
| DF2 | 6 | 3 | 2.000 | 3 |
| DF3 | 5 | 5 | 1.000 | 4 |
| DF4 | 2 | 7 | 0.286 | 6 |
| DF5 | 8 | 1 | 8.000 | 1 |
| DF6 | 1 | 8 | 0.125 | 7 |
| DF7 | 7 | 2 | 3.500 | 2 |
| DF8 | 3 | 6 | 0.500 | 5 |
| Scenario | Permanent Value | Log10 of Permanent Value | Lean Index | Rank |
|---|---|---|---|---|
| The current practice of case energy enterprises | 2,15,59,608 | 7.333641 | 0.934164 | |
| Practical best-case situation | 5,63,32,746 | 7.750761 | 1 | |
| Practical worst-case situation | 26 | 1.414973 | 0 | |
| Sensitivity Analysis—DF1 | 2,15,59,608 | 7.333641 | 0.934164 | 4 |
| Sensitivity Analysis—DF2 | 2,15,59,608 | 7.333641 | 0.934164 | 4 |
| Sensitivity Analysis—DF3 | 2,35,59,984 | 7.372175 | 0.940246 | 3 |
| Sensitivity Analysis—DF4 | 2,77,19,496 | 7.442785 | 0.951391 | 1 |
| Sensitivity Analysis—DF5 | 2,15,59,608 | 7.333641 | 0.934164 | 4 |
| Sensitivity Analysis—DF6 | 2,77,19,496 | 7.442785 | 0.951391 | 1 |
| Sensitivity Analysis—DF7 | 2,42,54,559 | 7.384793 | 0.942238 | 2 |
| Sensitivity Analysis—DF8 | 2,77,19,496 | 7.442785 | 0.951391 | 1 |
| Factors | Improvement Suggestions |
|---|---|
| Flexibility (DF4) |
|
| Customer Focus (DF6) |
|
| Continuous Improvement (DF8) |
|
| Teamwork and Collaboration (DF7) |
|
| ADO Elements | Theoretical Integration | SDG Alignment |
|---|---|---|
| Antecedents | RBV, TLT, Systems Theory | ![]() |
| Decisions | DCT, Stakeholder Theory, Systems Theory | ![]() |
| Outcomes | Organizational Learning Theory, Market Orientation Theory, DCT | ![]() |
Disclaimer/Publisher’s Note: The statements, opinions and data contained in all publications are solely those of the individual author(s) and contributor(s) and not of MDPI and/or the editor(s). MDPI and/or the editor(s) disclaim responsibility for any injury to people or property resulting from any ideas, methods, instructions or products referred to in the content. |
© 2025 by the authors. Licensee MDPI, Basel, Switzerland. This article is an open access article distributed under the terms and conditions of the Creative Commons Attribution (CC BY) license (https://creativecommons.org/licenses/by/4.0/).
Share and Cite
Alka, T.A.; Suresh, M.; Rehman, A.U.; Muthuswamy, S. Lean Implementation in Sustainable Energy Entrepreneurship: Key Drivers for Operational Efficiency. Sustainability 2025, 17, 10936. https://doi.org/10.3390/su172410936
Alka TA, Suresh M, Rehman AU, Muthuswamy S. Lean Implementation in Sustainable Energy Entrepreneurship: Key Drivers for Operational Efficiency. Sustainability. 2025; 17(24):10936. https://doi.org/10.3390/su172410936
Chicago/Turabian StyleAlka, T. A., M. Suresh, Ateekh Ur Rehman, and Shanthi Muthuswamy. 2025. "Lean Implementation in Sustainable Energy Entrepreneurship: Key Drivers for Operational Efficiency" Sustainability 17, no. 24: 10936. https://doi.org/10.3390/su172410936
APA StyleAlka, T. A., Suresh, M., Rehman, A. U., & Muthuswamy, S. (2025). Lean Implementation in Sustainable Energy Entrepreneurship: Key Drivers for Operational Efficiency. Sustainability, 17(24), 10936. https://doi.org/10.3390/su172410936




