Snow Cover Inversion Driven by Dzud Events in Mongolia from 2000 to 2024
Abstract
1. Introduction
2. Materials and Methods
2.1. Study Area
2.2. Data Sources and Identification of Dzud Years
2.3. Methods
- (1)
- Data Preprocessing
- (2)
- NDSI-Based Snow Detection
- (3)
- Snow Cover Fraction
- (4)
- Slope Trend
- (5)
- Mann–Kendall Trend Analysis
- (6)
- Pearson Correlation Analysis
3. Results
3.1. Spatiotemporal Distribution Characteristics of Snow Cover
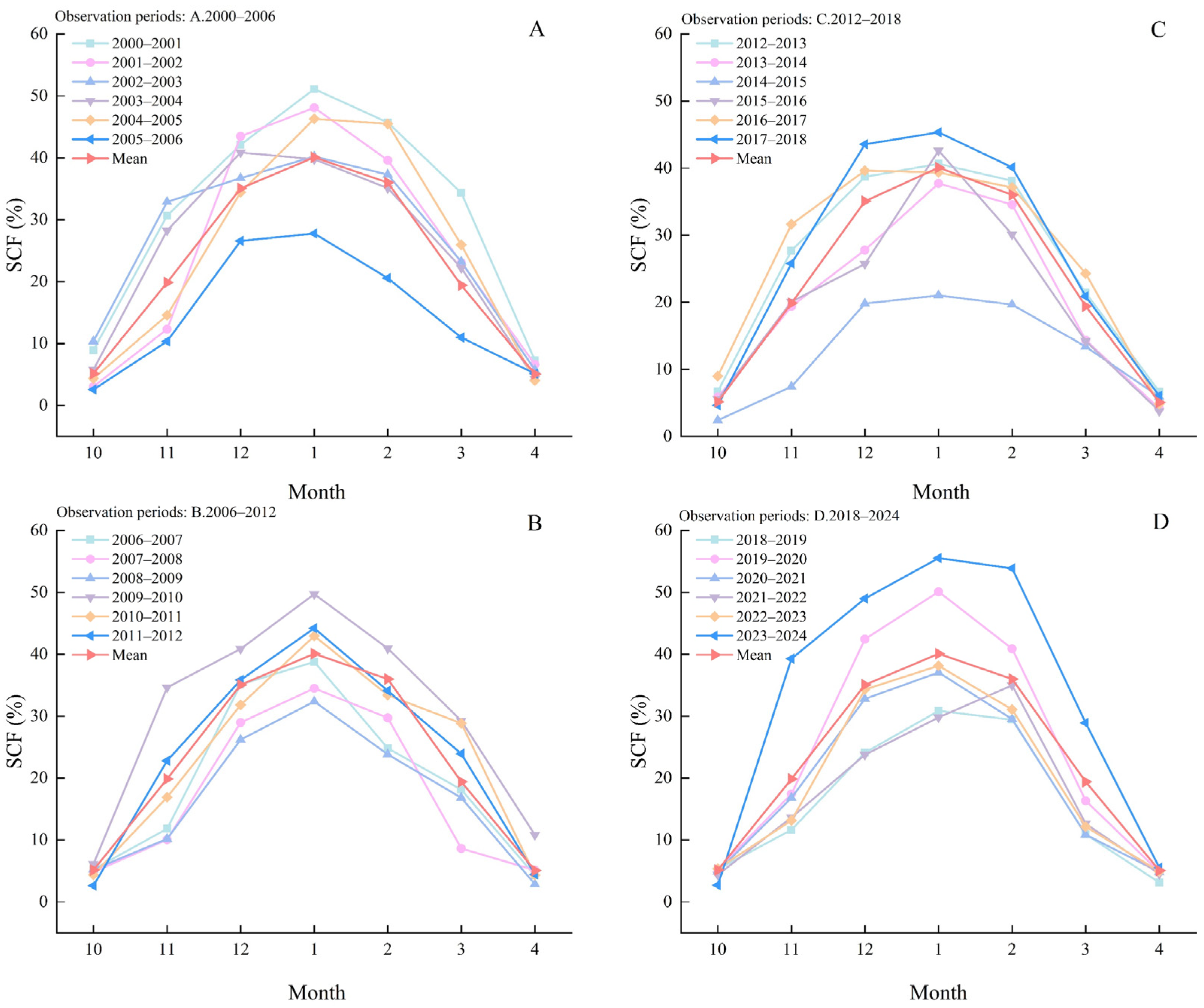
3.2. Interannual and Intra-Annual Variability of Snow Cover
3.3. Snow Cover Trend Analysis
4. Discussion
4.1. Impacts of Snow Cover on Dzud
4.2. Snow Cover Zoning and Loss of Livestock During Dzud
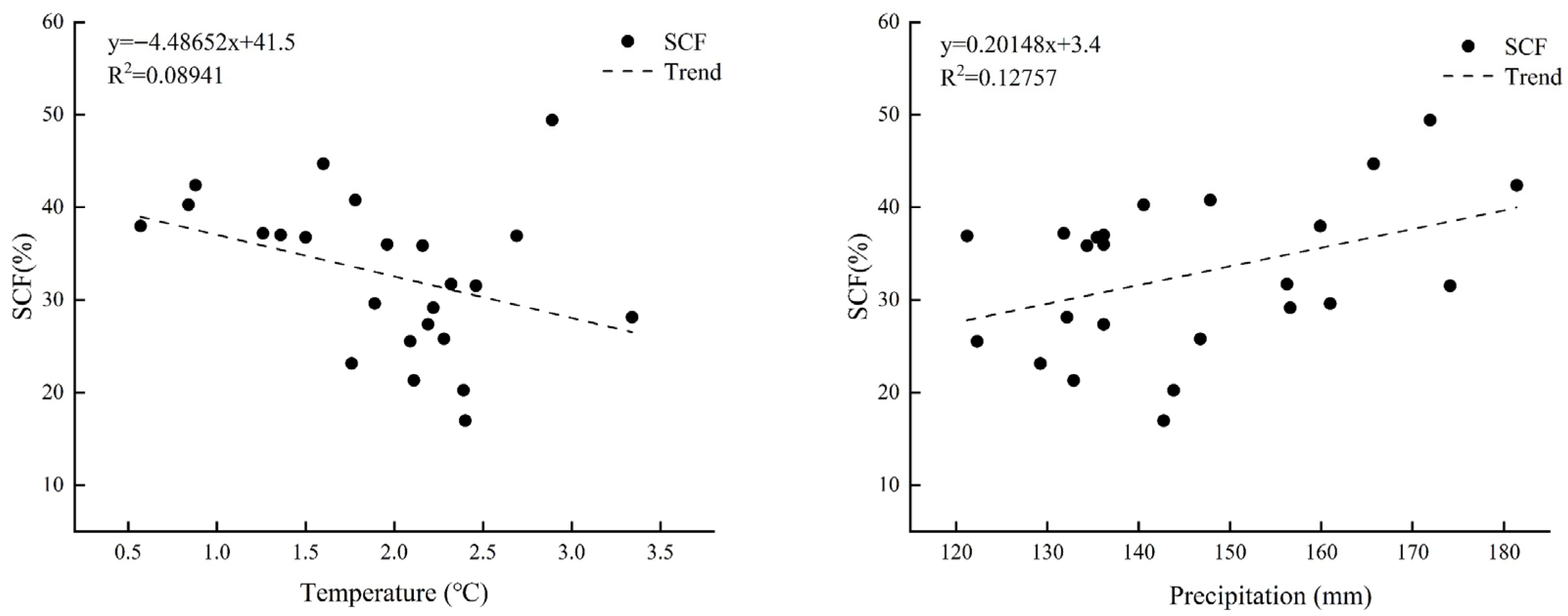
4.3. Impacts of Climate Change on Snow Cover
5. Conclusions
Author Contributions
Funding
Institutional Review Board Statement
Informed Consent Statement
Data Availability Statement
Conflicts of Interest
References
- Stott, P. How climate change affects extreme weather events. Science 2016, 352, 1517–1518. [Google Scholar] [CrossRef]
- Perkins-Kirkpatrick, S.E.; Stone, D.A.; Mitchell, D.M.; Rosier, S.; King, A.D.; Lo, Y.T.E.; Pastor-Paz, J.; Frame, D.; Wehner, M. On the attribution of the impacts of extreme weather events to anthropogenic climate change. Environ. Res. Lett. 2022, 17, 024009. [Google Scholar] [CrossRef]
- Sanz-Lazaro, C. A framework to advance the understanding of the ecological effects of extreme climate events. Sustainability 2019, 11, 5954. [Google Scholar] [CrossRef]
- O’Gorman, P.A. Contrasting responses of mean and extreme snowfall to climate change. Nature 2014, 512, 416–418. [Google Scholar] [CrossRef] [PubMed]
- Sun, F.; Chen, Y.; Li, Y.; Duan, W.; Li, B.; Fang, G.; Li, Z.; Zhu, Z.; Feng, M. Decreasing trends of mean and extreme snowfall in High Mountain Asia. Sci. Total Environ. 2024, 921, 171211. [Google Scholar] [CrossRef]
- Marshall, A.M.; Abatzoglou, J.T.; Rahimi, S.; Lettenmaier, D.P.; Hall, A. California’s 2023 snow deluge: Contextualizing an extreme snow year against future climate change. Proc. Natl. Acad. Sci. USA 2024, 121, e2320600121. [Google Scholar] [CrossRef]
- Li, S.; Ding, K.; Ding, A.; He, L.; Huang, X.; Ge, Q.; Fu, C. Change of extreme snow events shaped the roof of traditional Chinese architecture in the past millennium. Sci. Adv. 2021, 7, eabh2601. [Google Scholar] [CrossRef]
- Xu, Q.; Huang, F.; Mou, S.; Lu, H. Snow disaster hazard assessment on the Tibetan plateau based on copula function. Sustainability 2023, 15, 10639. [Google Scholar] [CrossRef]
- Han, J.; Dai, H.; Gu, Z. Sandstorms and desertification in Mongolia, an example of future climate events: A review. Environ. Chem. Lett. 2021, 19, 4063–4073. [Google Scholar] [CrossRef]
- Nandintsetseg, B.; Shinoda, M.; Du, C.; Munkhjargal, E. Cold-season disasters on the Eurasian steppes: Climate-driven or man-made. Sci. Rep. 2018, 8, 14769. [Google Scholar] [CrossRef]
- Fernández-Giménez, M.E.; Batkhishig, B.; Batbuyan, B. Cross-boundary and cross-level dynamics increase vulnerability to severe winter disasters (dzud) in Mongolia. Glob. Environ. Change 2012, 22, 836–851. [Google Scholar] [CrossRef]
- Chadraabal, A.; Odkhuu, U.; Shinoda, M.; Suzuki, Y. Social causes of dzuds in Mongolia since the 1990s. J. Disaster Res. 2022, 17, 1183–1191. [Google Scholar] [CrossRef]
- Middleton, N.; Rueff, H.; Sternberg, T.; Batbuyan, B.; Thomas, D. Explaining spatial variations in climate hazard impacts in western Mongolia. Landsc. Ecol. 2015, 30, 91–107. [Google Scholar] [CrossRef]
- Du, C.; Shinoda, M.; Tachiiri, K.; Nandintsetseg, B.; Komiyama, H.; Matsushita, S. Mongolian herders’ vulnerability to dzud: A study of record livestock mortality levels during the severe 2009/2010 winter. Nat. Hazards 2018, 92, 3–17. [Google Scholar] [CrossRef]
- Otani, S.; Onishi, K.; Kurozawa, Y.; Kurosaki, Y.; Bat-Oyun, T.; Shinoda, M.; Mu, H. Assessment of the effects of severe winter disasters (Dzud) on public health in Mongolia on the basis of loss of livestock. Disaster Med. Public Health Prep. 2016, 10, 549–552. [Google Scholar] [CrossRef] [PubMed]
- Rao, M.P.; Davi, N.K.; D’Arrigo, R.D.; Skees, J.; Nachin, B.; Leland, C.; Lyon, B.; Wang, S.-Y.; Byambasuren, O. Dzuds, droughts, and livestock mortality in Mongolia. Environ. Res. Lett. 2015, 10, 074012. [Google Scholar] [CrossRef]
- Tachiiri, K.; Komiyama, H.; Morinaga, Y.; Shinoda, M. Application of a livestock weight model to the 2009–2010 winter disaster in Mongolia. Rangel. J. 2017, 39, 263–277. [Google Scholar] [CrossRef]
- Sternberg, T. Investigating the presumed causal links between drought and dzud in Mongolia. Nat. Hazards 2018, 92, 27–43. [Google Scholar] [CrossRef]
- Joly, F.; Sabatier, R.; Hubert, B.; Munkhtuya, B. Livestock productivity as indicator of vulnerability to climate hazards: A Mongolian case study. Nat. Hazards 2018, 92, 95–107. [Google Scholar] [CrossRef]
- Iijima, Y.; Hori, M.E. Cold air formation and advection over Eurasia during “dzud” cold disaster winters in Mongolia. Nat. Hazards 2018, 92, 45–56. [Google Scholar] [CrossRef]
- Pan, C.G.; Kimball, J.S.; Munkhjargal, M.; Robinson, N.P.; Tijdeman, E.; Menzel, L.; Kirchner, P.B. Role of surface melt and icing events in livestock mortality across Mongolia’s semi-arid landscape. Remote Sens. 2019, 11, 2392. [Google Scholar] [CrossRef]
- Nandintsetseg, B.; Shinoda, M.; Erdenetsetseg, B. Contributions of multiple climate hazards and overgrazing to the 2009/2010 winter disaster in Mongolia. Nat. Hazards 2018, 92, 109–126. [Google Scholar] [CrossRef]
- Chadraabal, A.; Shinoda, M.; Suzuki, Y.; Komiyama, H. Mitigation of severe wintertime disasters in northern Mongolia through the early implementation of local action. Int. J. Disaster Risk Reduct. 2020, 50, 101739. [Google Scholar] [CrossRef]
- Soma, T.; Schlecht, E. The relevance of herders’ local ecological knowledge on coping with livestock losses during harsh winters in western Mongolia. Pastoralism 2018, 8, 3. [Google Scholar] [CrossRef]
- Shestakovich, N. Exploratory Analysis of Spatial and Temporal Dynamics of Dzud Development in Mongolia, 1993–2004. Master’s Thesis, University of Michigan, Ann Arbor, MI, USA, 2011. [Google Scholar]
- Xu, Y.; Zhang, Y.; Chen, J.; John, R. Livestock dynamics under changing economy and climate in Mongolia. Land Use Policy 2019, 88, 104120. [Google Scholar] [CrossRef]
- Vova, O.; Kappas, M.; Renchin, T.; Fassnacht, S.R. Extreme climate event and its impact on landscape resilience in Gobi region of Mongolia. Remote Sens. 2020, 12, 2881. [Google Scholar] [CrossRef]
- Bormann, K.J.; Brown, R.D.; Derksen, C.; Painter, T.H. Estimating snow-cover trends from space. Nat. Clim. Change 2018, 8, 924–928. [Google Scholar] [CrossRef]
- Allchin, M.I.; Déry, S.J. A spatio-temporal analysis of trends in Northern Hemisphere snow-dominated area and duration, 1971–2014. Ann. Glaciol. 2017, 58, 21–35. [Google Scholar] [CrossRef]
- Xu, W.; Ma, L.; Ma, M.; Zhang, H.; Yuan, W. Spatial–temporal variability of snow cover and depth in the Qinghai–Tibetan Plateau. J. Clim. 2017, 30, 1521–1533. [Google Scholar] [CrossRef]
- Yan, D.; Ma, N.; Zhang, Y. Development of a fine-resolution snow depth product based on the snow cover probability for the Tibetan Plateau: Validation and spatial–temporal analyses. J. Hydrol. 2022, 604, 127027. [Google Scholar] [CrossRef]
- Knowles, N. Trends in snow cover and related quantities at weather stations in the conterminous United States. J. Clim. 2015, 28, 7518–7528. [Google Scholar] [CrossRef]
- Zhou, H.; Aizen, E.; Aizen, V. Seasonal snow cover regime and historical change in Central Asia from 1986 to 2008. Glob. Planet. Change 2017, 148, 192–216. [Google Scholar] [CrossRef]
- Zhang, X.; Sa, C.; Meng, F.; Luo, M.; Wang, X.; Tian, X.; Garmaev, E. Impact of Snow on Vegetation Green-Up on the Mongolian Plateau. Plants 2025, 14, 2310. [Google Scholar] [CrossRef] [PubMed]
- Zhang, Y.; Ma, N. Spatiotemporal variability of snow cover and snow water equivalent in the last three decades over Eurasia. J. Hydrol. 2018, 559, 238–251. [Google Scholar] [CrossRef]
- Han, L.; Tsunekawa, A.; Tsubo, M.; He, C.; Shen, M. Spatial variations in snow cover and seasonally frozen ground over northern China and Mongolia, 1988–2010. Glob. Planet. Change 2014, 116, 139–148. [Google Scholar] [CrossRef]
- Munkhjargal, M.; Groos, S.; Pan, C.G.; Yadamsuren, G.; Yamkin, J.; Menzel, L. Multi-source based spatio-temporal distribution of snow in a semi-arid headwater catchment of Northern Mongolia. Geosciences 2019, 9, 53. [Google Scholar] [CrossRef]
- Sa, C.; Meng, F.; Luo, M.; Li, C.; Wang, M.; Adiya, S.; Bao, Y. Spatiotemporal variation in snow cover and its effects on grassland phenology on the Mongolian Plateau. J. Arid Land 2021, 13, 332–349. [Google Scholar] [CrossRef]
- Mu, Q.; Bayarsaikhan, S.; Bao, G.; Vandansambuu, B.; Tong, S.; Gantumur, B.; Ganbold, B.; Bao, Y. Spring Phenological Responses of Diverse Vegetation Types to Extreme Climatic Events in Mongolia. Sustainability 2024, 16, 9931. [Google Scholar] [CrossRef]
- Purevjav, A.-O.; Avirmed, T.; Wilcox, S.W.; Barrett, C.B. Climate rather than overgrazing explains most rangeland primary productivity change in Mongolia. Science 2025, 389, 1229–1233. [Google Scholar] [CrossRef]
- Hall, D.K.; Riggs, G.A.; Salomonson, V.V.; DiGirolamo, N.E.; Bayr, K.J. MODIS snow-cover products. Remote Sens. Environ. 2002, 83, 181–194. [Google Scholar] [CrossRef]
- Arsenault, K.R.; Houser, P.R.; De Lannoy, G.J. Evaluation of the MODIS snow cover fraction product. Hydrol. Process. 2014, 28, 980–998. [Google Scholar] [CrossRef]
- Mudelsee, M. Trend analysis of climate time series: A review of methods. Earth Sci. Rev. 2019, 190, 310–322. [Google Scholar] [CrossRef]
- Machiwal, D.; Gupta, A.; Jha, M.K.; Kamble, T. Analysis of trend in temperature and rainfall time series of an Indian arid region: Comparative evaluation of salient techniques. Theor. Appl. Climatol. 2019, 136, 301–320. [Google Scholar] [CrossRef]
- Kourtis, I.M.; Vangelis, H.; Tigkas, D.; Mamara, A.; Nalbantis, I.; Tsakiris, G.; Tsihrintzis, V.A. Drought assessment in greece using SPI and ERA5 climate reanalysis data. Sustainability 2023, 15, 15999. [Google Scholar] [CrossRef]
- Salman, S.A.; Shahid, S.; Ismail, T.; Chung, E.-S.; Al-Abadi, A.M. Long-term trends in daily temperature extremes in Iraq. Atmos. Res. 2017, 198, 97–107. [Google Scholar] [CrossRef]
- Sayemuzzaman, M.; Jha, M.K. Seasonal and annual precipitation time series trend analysis in North Carolina, United States. Atmos. Res. 2014, 137, 183–194. [Google Scholar] [CrossRef]
- Gong, Z.; Zhao, S.; Gu, J. Correlation analysis between vegetation coverage and climate drought conditions in North China during 2001–2013. J. Geogr. Sci. 2017, 27, 143–160. [Google Scholar] [CrossRef]
- Bashir, M.F.; Ma, B.; Komal, B.; Bashir, M.A.; Tan, D.; Bashir, M. Correlation between climate indicators and COVID-19 pandemic in New York, USA. Sci. Total Environ. 2020, 728, 138835. [Google Scholar] [CrossRef]
- Hoegh-Guldberg, O.; Jacob, D.; Taylor, M.; Guillén Bolaños, T.; Bindi, M.; Brown, S.; Camilloni, I.A.; Diedhiou, A.; Djalante, R.; Ebi, K.; et al. The human imperative of stabilizing global climate change at 1.5 °C. Science 2019, 365, eaaw6974. [Google Scholar] [CrossRef]
- Fuentes, M.; Cárdenas, J.P.; Olivares, G.; Rasmussen, E.; Salazar, S.; Urbina, C.; Vidal, G.; Lawler, D. Global digital analysis for science diplomacy on climate change and sustainable development. Sustainability 2023, 15, 15747. [Google Scholar] [CrossRef]
- Konisky, D.M.; Hughes, L.; Kaylor, C.H. Extreme weather events and climate change concern. Clim. Change 2016, 134, 533–547. [Google Scholar] [CrossRef]
- Hahn, A. Complexity of Mongolian stakeholders’ dzud preparation and response. Nat. Hazards 2018, 92, 127–143. [Google Scholar] [CrossRef]
- Sternberg, T. Unravelling Mongolia’s extreme winter disaster of 2010. Nomadic Peoples 2010, 14, 72–86. [Google Scholar] [CrossRef]
- Niittynen, P.; Heikkinen, R.K.; Luoto, M. Snow cover is a neglected driver of Arctic biodiversity loss. Nat. Clim. Change 2018, 8, 997–1001. [Google Scholar] [CrossRef]
- Yu, L.; Liu, T.; Bu, K.; Yang, J.; Chang, L.; Zhang, S. Influence of snow cover changes on surface radiation and heat balance based on the WRF model. Theor. Appl. Climatol. 2017, 130, 205–215. [Google Scholar] [CrossRef]
- Zhong, X.; Zhang, T.; Kang, S.; Wang, J. Spatiotemporal variability of snow cover timing and duration over the Eurasian continent during 1966–2012. Sci. Total Environ. 2021, 750, 141670. [Google Scholar] [CrossRef]
- Wang, L.; Yao, Z.-J.; Jiang, L.-G.; Wang, R.; Wu, S.-S.; Liu, Z.-F. Changes in climate extremes and catastrophic events in the Mongolian Plateau from 1951 to 2012. J. Appl. Meteorol. Climatol. 2016, 55, 1169–1182. [Google Scholar] [CrossRef]
- Li, C.; Xu, X.; Du, H.; Du, D.; Leal Filho, W.; Wang, J.; Bao, G.; Ji, X.; Yin, S.; Bao, Y. Potential impacts of climate extremes on snow under global warming conditions in the Mongolian Plateau. Int. J. Clim. Change Strateg. Manag. 2022, 14, 425–439. [Google Scholar] [CrossRef]
- Gao, J.; Huang, X.; Ma, X.; Feng, Q.; Liang, T.; Xie, H. Snow disaster early warning in pastoral areas of Qinghai Province, China. Remote Sens. 2017, 9, 475. [Google Scholar] [CrossRef]
- Thackeray, C.W.; Derksen, C.; Fletcher, C.G.; Hall, A. Snow and climate: Feedbacks, drivers, and indices of change. Curr. Clim. Change Rep. 2019, 5, 322–333. [Google Scholar] [CrossRef]
- Bulygina, O.; Razuvaev, V.; Korshunova, N. Changes in snow cover over Northern Eurasia in the last few decades. Environ. Res. Lett. 2009, 4, 045026. [Google Scholar] [CrossRef]
- Kawase, H.; Yamazaki, T.; Sugimoto, S.; Sasai, T.; Ito, R.; Hamada, T.; Kuribayashi, M.; Fujita, M.; Murata, A.; Nosaka, M. Changes in extremely heavy and light snow-cover winters due to global warming over high mountainous areas in central Japan. Prog. Earth Planet. Sci. 2020, 7, 10. [Google Scholar] [CrossRef]
- Skaugen, T.; Stranden, H.B.; Saloranta, T. Trends in snow water equivalent in Norway (1931–2009). Hydrol. Res. 2012, 43, 489–499. [Google Scholar] [CrossRef]
- Tang, Z.; Wang, X.; Wang, J.; Wang, X.; Li, H.; Jiang, Z. Spatiotemporal variation of snow cover in Tianshan Mountains, Central Asia, based on cloud-free MODIS fractional snow cover product, 2001–2015. Remote Sens. 2017, 9, 1045. [Google Scholar] [CrossRef]
- Xia, Y.; Dan, D.; Liu, H.; Zhou, H.; Wan, Z. Spatiotemporal distribution of precipitation over the Mongolian Plateau during 1976–2017. Atmosphere 2022, 13, 2132. [Google Scholar] [CrossRef]













Disclaimer/Publisher’s Note: The statements, opinions and data contained in all publications are solely those of the individual author(s) and contributor(s) and not of MDPI and/or the editor(s). MDPI and/or the editor(s) disclaim responsibility for any injury to people or property resulting from any ideas, methods, instructions or products referred to in the content. |
© 2025 by the authors. Licensee MDPI, Basel, Switzerland. This article is an open access article distributed under the terms and conditions of the Creative Commons Attribution (CC BY) license (https://creativecommons.org/licenses/by/4.0/).
Share and Cite
Hana, G.; Wang, J.; Tuya, W.; Bu, H.; Li, F.; Zou, W. Snow Cover Inversion Driven by Dzud Events in Mongolia from 2000 to 2024. Sustainability 2025, 17, 10852. https://doi.org/10.3390/su172310852
Hana G, Wang J, Tuya W, Bu H, Li F, Zou W. Snow Cover Inversion Driven by Dzud Events in Mongolia from 2000 to 2024. Sustainability. 2025; 17(23):10852. https://doi.org/10.3390/su172310852
Chicago/Turabian StyleHana, Gaer, Juanle Wang, Wulan Tuya, He Bu, Fengjiao Li, and Weihao Zou. 2025. "Snow Cover Inversion Driven by Dzud Events in Mongolia from 2000 to 2024" Sustainability 17, no. 23: 10852. https://doi.org/10.3390/su172310852
APA StyleHana, G., Wang, J., Tuya, W., Bu, H., Li, F., & Zou, W. (2025). Snow Cover Inversion Driven by Dzud Events in Mongolia from 2000 to 2024. Sustainability, 17(23), 10852. https://doi.org/10.3390/su172310852

