Effects of Aged Biodegradable Plastics and Antibiotics on the Conjugative Transfer of Antibiotic Resistance Genes Between Bacteria
Abstract
1. Introduction
2. Materials and Methods
2.1. Plastics and UV Aging
2.2. Microplastics Characterization
2.3. Determination of Adsorption Capacity of Microplastics for SMX Before and After Aging
2.4. Effects of Aged Microplastics and SMX on the Conjugative Transfer of ARGs Between Bacteria
2.4.1. Bacterial Strains and Plasmids
2.4.2. Effects of Different Treatment Systems on the Conjugative Transfer of ARGs Between Bacteria
2.5. Assessment of Bacterial Physiological Responses
2.6. Quantification of Conjugative Transfer Related Gene Expression
3. Results and Discussion
3.1. Characterization of Microplastics Before and After Aging
3.1.1. Surface Morphology Analysis
3.1.2. Analysis of Micro/Nanoplastic Release Quantities
3.1.3. Analysis of Surface Functional Groups
3.2. Combined Effects of Microplastics and SMX
3.2.1. Adsorption of SMX by Micro/Nanoplastics
3.2.2. Solution Stability of Micro/Nanoplastics Before and After Addition of SMX
3.3. Impact of Aged Microplastics and SMX on the Conjugative Transfer of ARGs Between Bacteria
3.4. Mechanisms Underlying the Effects of Aged Microplastics and SMX on the Transfer of ARGs Among Bacteria
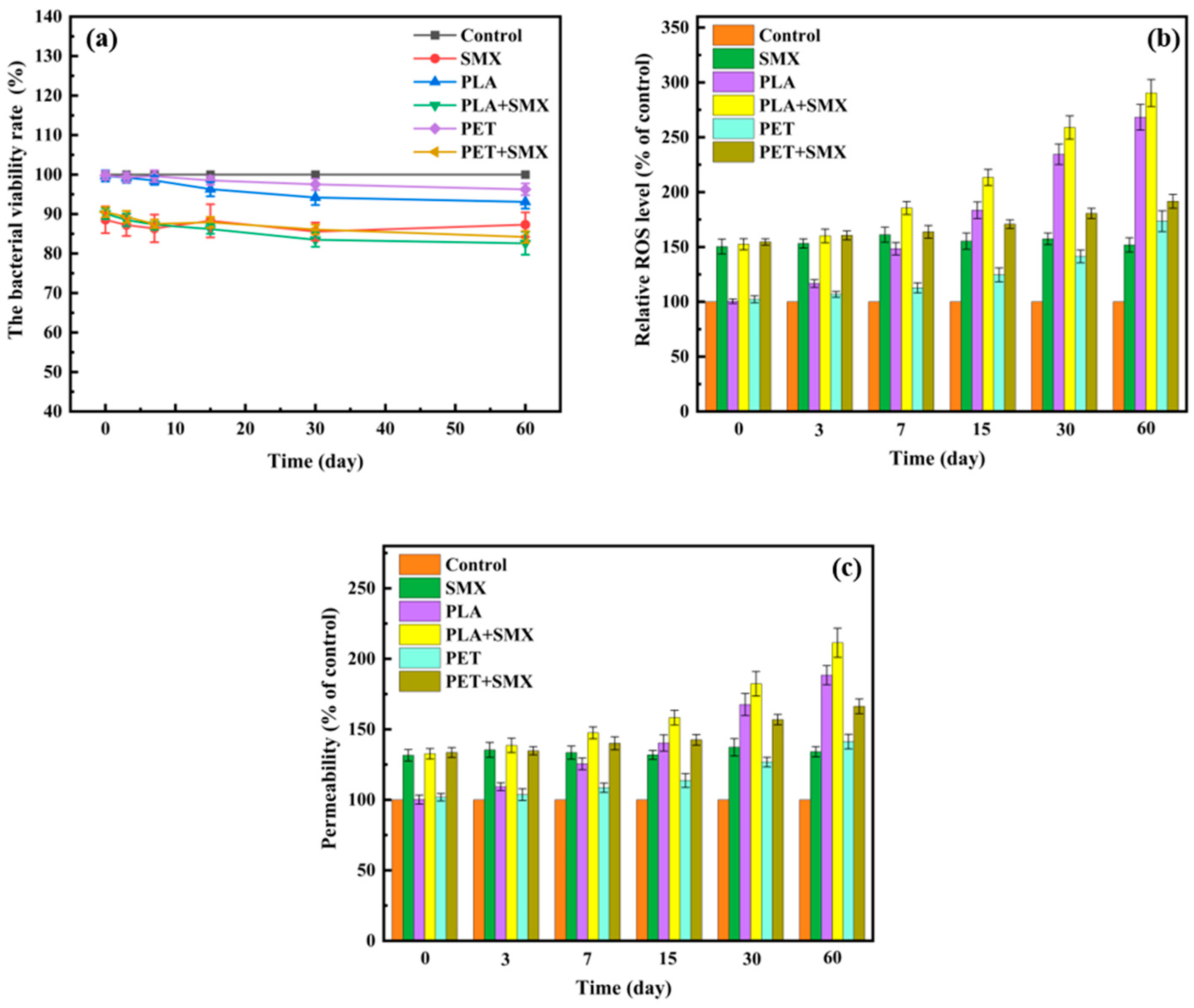
3.4.1. Effects on Bacterial Viability
3.4.2. Effects on ROS Levels
3.4.3. Effects on Bacterial Membrane Permeability
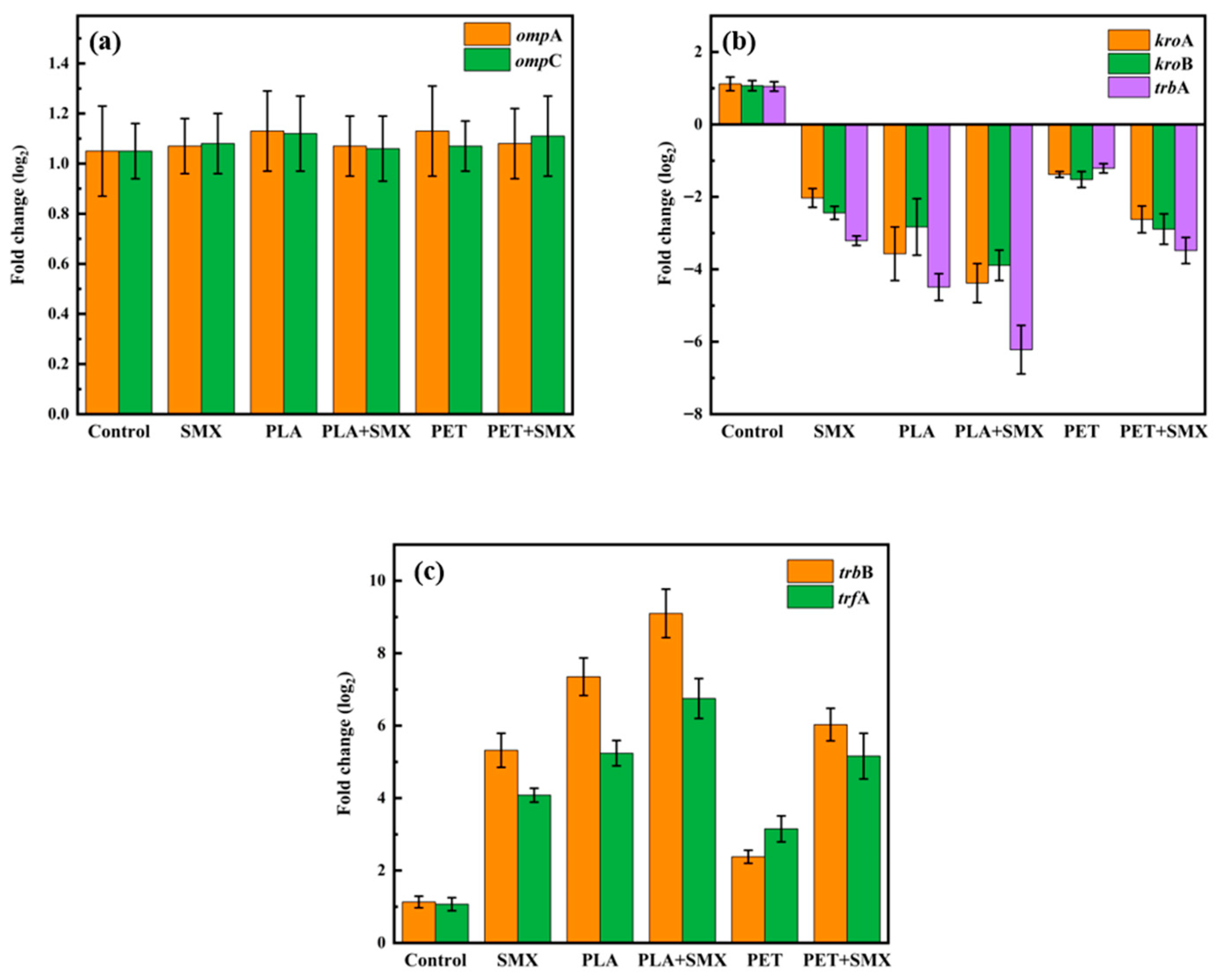
3.4.4. Effects on the Expression of Conjugative Transfer Related Genes
3.5. Mechanism of Synergistic Enhancement by Aged PLA and SMX
4. Conclusions
Supplementary Materials
Author Contributions
Funding
Institutional Review Board Statement
Informed Consent Statement
Data Availability Statement
Conflicts of Interest
Abbreviations
| ARGs | Antibiotic Resistance Genes |
| Dtr | DNA Transfer and Replication |
| HPLC | High-Performance Liquid Chromatography |
| LDH | Lactate Dehydrogenase |
| Mpf | Mating-Pair Formation |
| MPs | Microplastics |
| PBS | Phosphate-Buffered Saline |
| PCR | Polymerase Chain Reaction |
| PET | Polyethylene Terephthalate |
| PLA | Polylactic Acid |
| qPCR | Quantitative Real-Time Polymerase Chain Reaction |
| ROS | Reactive Oxygen Species |
| SEM | Scanning Electron Microscopy |
| SMX | Sulfamethoxazole |
| TEM | Transmission Electron Microscopy |
| TOC | Total Organic Carbon |
| UV | Ultraviolet |
References
- Ahn, B.; Yun, S.; Yun, S.; Kim, Y.J.; Won, W. System-level analysis of strategies for biodegradable plastics production from microalgae. Sustain. Prod. Consum. 2025, 55, 340–352. [Google Scholar] [CrossRef]
- Liu, X.M.; Ahmad, S.; Ma, J.K.; Wang, D.; Tang, J.C. Comparative study on the toxic effects of secondary nanoplastics from biodegradable and conventional plastics on Streptomyces coelicolor M145. J. Hazard. Mater. 2023, 460, 132343. [Google Scholar] [CrossRef]
- Wang, K.F.; Guo, C.Y.; Li, J.; Wang, K.K.; Liang, S.Q.; Wang, W.; Wang, J.D. A critical review of the adsorption-desorption characteristics of antibiotics on microplastics and their combined toxic effects. Environ. Technol. Innov. 2024, 35, 103729. [Google Scholar] [CrossRef]
- Sun, Y.; Wang, X.J.; Xia, S.Q.; Zhao, J.F. New insights into oxytetracycline (OTC) adsorption behavior on polylactic acid microplastics undergoing microbial adhesion and degradation. Chem. Eng. J. 2021, 416, 129085. [Google Scholar] [CrossRef]
- Hu, L.L.; Zhou, Y.H.; Chen, Z.; Zhang, D.Y.; Pan, X.L. Oligomers and Monomers from Biodegradable Plastics: An Important but Neglected Threat to Ecosystems. Environ. Sci. Technol. 2023, 57, 9895–9897. [Google Scholar] [CrossRef]
- Zhao, X.Y.; Cornish, K.; Vodovotz, Y. Narrowing the Gap for Bioplastic Use in Food Packaging: An Update. Environ. Sci. Technol. 2020, 54, 4712–4732. [Google Scholar] [CrossRef]
- Khouri, N.G.; Bahú, J.O.; Blanco-Llamero, C.; Severino, P.; Concha, V.O.C.; Souto, E.B. Polylactic acid (PLA): Properties, synthesis, and biomedical applications—A review of the literature. J. Mol. Struct. 2024, 1309, 138243. [Google Scholar] [CrossRef]
- Parolini, M.; De Felice, B.; Gazzotti, S.; Sugni, M.; Ortenzi, M.A. Comparison of the potential toxicity induced by microplastics made of polyethylene terephthalate (PET) and polylactic acid (PLA) on the earthworm Eisenia foetida. Environ. Pollut. 2024, 348, 123868. [Google Scholar] [CrossRef] [PubMed]
- Emadian, S.M.; Onay, T.T.; Demirel, B. Biodegradation of bioplastics in natural environments. Waste Manag. 2017, 59, 526–536. [Google Scholar] [CrossRef] [PubMed]
- Wu, X.; Zhang, H.; Chen, J.; Tan, F.; Cai, R.; Wang, Y. Photoaging Promotes Toxic Micro/Nanoplastics Release from PLA/PBAT Biodegradable Plastic in Gastrointestinal Condition. Environ. Health 2025, 3, 446–457. [Google Scholar] [CrossRef]
- Ni, N.; Shi, R.Y.; Meng, J.; Guo, X.Y.; Shi, M.L.; Zhang, X.H.; Yao, S.; Nkoh, J.N.; Wang, F.H.; Song, Y.; et al. Comparative analysis of the sorption behaviors and mechanisms of amide herbicides on biodegradable and nondegradable microplastics derived from agricultural plastic products. Environ. Pollut. 2023, 318, 120865. [Google Scholar] [CrossRef]
- Zheng, M.H.; Wu, P.W.; Li, L.Q.; Yu, F.; Ma, J. Adsorption/desorption behavior of ciprofloxacin on aged biodegradable plastic PLA under different exposure conditions. J. Environ. Chem. Eng. 2023, 11, 109256. [Google Scholar] [CrossRef]
- Ma, S.S.; Wang, L.; Ding, J.T.; Zhou, H.B.; Shen, Y.J.; Wang, J.; Chen, Y.X.; Yang, Y. Effects of high-concentration sulfamethoxazole on antibiotic resistance genes during swine manure aerobic composting. J. Environ. Chem. Eng. 2025, 13, 117216. [Google Scholar] [CrossRef]
- Osinski, Z.; Patyra, E.; Kwiatek, K. HPLC-FLD-Based Method for the Detection of Sulfonamides in Organic Fertilizers Collected from Poland. Molecules 2022, 27, 2031. [Google Scholar] [CrossRef] [PubMed]
- Liang, J.S.; Mao, G.N.; Yin, X.L.; Ma, L.P.; Liu, L.; Bai, Y.H.; Zhang, T.; Qu, J.H. Identification and quantification of bacterial genomes carrying antibiotic resistance genes and virulence factor genes for aquatic microbiological risk assessment. Water Res. 2020, 168, 115160. [Google Scholar] [CrossRef] [PubMed]
- Lopez-Igual, R.; Bernal-Bayard, J.; Rodriguez-Paton, A.; Ghigo, J.M.; Mazel, D. Engineered toxin-intein antimicrobials can selectively target and kill antibiotic-resistant bacteria in mixed populations. Nat. Biotechnol. 2019, 37, 755–760. [Google Scholar] [CrossRef] [PubMed]
- Mendler, K.; Chen, H.; Parks, D.H.; Lobb, B.; Hug, L.A.; Doxey, A.C. AnnoTree: Visualization and exploration of a functionally annotated microbial tree of life. Nucleic Acids Res. 2019, 47, 4442–4448. [Google Scholar] [CrossRef]
- Qiu, Z.G.; Yu, Y.M.; Chen, Z.L.; Jin, M.; Yang, D.; Zhao, Z.G.; Wang, J.F.; Shen, Z.Q.; Wang, X.W.; Qian, D.; et al. Nanoalumina promotes the horizontal transfer of multiresistance genes mediated by plasmids across genera. Proc. Natl. Acad. Sci. USA 2012, 109, 4944–4949. [Google Scholar] [CrossRef]
- Zhang, D.; Sun, J.B.; Peng, S.; Wang, Y.M.; Lin, X.G.; Wang, S.S. Biodegradable microplastics exacerbate the risk of antibiotic resistance genes pollution in agricultural soils. J. Hazard. Mater. 2025, 496, 139490. [Google Scholar] [CrossRef]
- Zhou, Q.; Zhang, J.; Zhang, M.; Wang, X.A.; Zhang, D.Y.; Pan, X.L. Persistent versus transient, and conventional plastic versus biodegradable plastic?-Two key questions about microplastic-water exchange of antibiotic resistance genes. Water Res. 2022, 222, 118899. [Google Scholar] [CrossRef]
- Rong, L.L.; Zhang, B.Y.; Qiu, H.M.; Zhang, H.L.; Yu, J.Y.; Yuan, Q.; Wu, L.G.; Chen, H.; Mo, Y.M.; Zou, X.M.; et al. Significant generational effects of tetracyclines upon the promoting plasmid-mediated conjugative transfer between typical wastewater bacteria and its mechanisms. Water Res. 2025, 287, 124290. [Google Scholar] [CrossRef]
- Chen, L.; Mao, C.K.; Yuan, S.N.; Pu, X.J.; Liang, H.H.; Chen, X.Y.; Shao, H.Y.; Wu, M.H. Comparison of aging behavior and adsorption processes of biodegradable and conventional microplastics. Chem. Eng. J. 2024, 502, 157915. [Google Scholar] [CrossRef]
- Yoo, J.W.; Park, J.S.; Lee, Y.H.; Choi, T.J.; Kim, C.B.; Jeong, T.Y.; Kim, C.H.; Kim, T.H.; Lee, Y.M. Toxic effects of fragmented polyethylene terephthalate particles on the marine rotifer Brachionus koreanus: Based on ingestion and egestion assay, in vivo toxicity test, and multi-omics analysis. J. Hazard. Mater. 2024, 472, 134448. [Google Scholar] [CrossRef] [PubMed]
- Xie, H.X.; Wei, C.J.; Wang, W.; Chen, R.; Cui, L.W.; Wang, L.M.; Chen, D.L.; Yu, Y.L.; Li, B.; Li, Y.F. Screening the phytotoxicity of micro/nanoplastics through non-targeted metallomics with synchrotron radiation X-ray fluorescence and deep learning: Taking micro/nano polyethylene terephthalate as an example. J. Hazard. Mater. 2024, 463, 132886. [Google Scholar] [CrossRef]
- Liu, X.M.; Wang, X.L.; Wang, R.J.; Guo, S.S.; Ahmad, S.; Song, Y.H.; Gao, P.K.; Chen, J.F.; Liu, C.C.; Ding, N. Effects comparison between the secondary nanoplastics released from biodegradable and conventional plastics on the transfer of antibiotic resistance genes between bacteria. Environ. Pollut. 2023, 317, 120680. [Google Scholar] [CrossRef]
- Pu, Y.H.; Hao, Y.M.; Zeng, Q.Z.; Yang, Q.; Yang, B.W.; Wu, Y.X.; Yang, X.Y.; Sun, Y.; Wang, X.; Ma, Y.L.; et al. Effects of UV-aged tire wear particles (TWPs) on soil microorganisms: Microbial community, microbial metabolism, cell defense and repair, and transmission of ARGs. J. Environ. Chem. Eng. 2025, 13, 115624. [Google Scholar] [CrossRef]
- Gonzalez-Pleiter, M.; Tamayo-Belda, M.; Pulido-Reyes, G.; Amariei, G.; Leganes, F.; Rosal, R.; Fernandez-Pinas, F. Secondary nanoplastics released from a biodegradable microplastic severely impact freshwater environments. Environ. Sci. Nano 2019, 6, 1382–1392. [Google Scholar] [CrossRef]
- Razanajatovo, R.M.; Ding, J.N.; Zhang, S.S.; Jiang, H.; Zou, H. Sorption and desorption of selected pharmaceuticals by polyethylene microplastics. Mar. Pollut. Bull. 2018, 136, 516–523. [Google Scholar] [CrossRef]
- Wang, Q.; Mao, D.Q.; Luo, Y. Ionic Liquid Facilitates the Conjugative Transfer of Antibiotic Resistance Genes Mediated by Plasmid RP4. Environ. Sci. Technol. 2015, 49, 8731–8740. [Google Scholar] [CrossRef] [PubMed]
- Liu, X.; Wang, D.; Tang, J.; Liu, F.; Wang, L. Effect of dissolved biochar on the transfer of antibiotic resistance genes between bacteria. Environ. Pollut. 2021, 288, 117718. [Google Scholar] [CrossRef]
- Liu, X.M.; Tang, J.C.; Wang, L.; Giesy, J.P. Al2O3 nanoparticles promote secretion of antibiotics in Streptomyces coelicolor by regulating gene expression through the nano effect. Chemosphere 2019, 226, 687–695. [Google Scholar] [CrossRef]
- Fan, X.L.; Zou, Y.F.; Geng, N.; Liu, J.Q.; Hou, J.; Li, D.D.; Yang, C.F.; Li, Y. Investigation on the adsorption and desorption behaviors of antibiotics by degradable MPs with or without UV ageing process. J. Hazard. Mater. 2021, 401, 123363. [Google Scholar] [CrossRef]
- Chen, S.; Xu, G.H.L.; Chen, J.W.; Zhang, H.; Jiang, X.Z.; Liu, Z.W.; Lin, Z.W.; Zhang, C.Z.; Xu, L.; Zhang, J.B. Predicting the environmental fate of biodegradable mulch films: A machine learning approach for sustainable agriculture. J. Hazard. Mater. 2025, 492, 138277. [Google Scholar] [CrossRef] [PubMed]
- Xu, Y.Z.; Zhang, X.; Xiao, S.Z.; Peng, B.Y.; Chen, J.B.; Yang, L.B.; Zhou, X.F.; Zhang, Y.L. Distinct exposure impact of non-degradable and biodegradable microplastics on freshwater microalgae (Chlorella pyrenoidosa): Implications for polylactic acid as a sustainable plastic alternative. J. Hazard. Mater. 2024, 480, 136265. [Google Scholar] [CrossRef] [PubMed]
- Zhao, Y.F.; Wan, S.; Xu, M.; Wu, G.P.; Wang, D.F.; Yi, C.; Cui, L.Z. Effect of aging on the properties of microplastics and their adsorption behavior of norfloxacin. J. Water Process Eng. 2025, 70, 107021. [Google Scholar] [CrossRef]
- Yang, X.X.; Zhou, Y.S.; Xia, R.; Liao, J.Q.; Liu, J.Q.; Yu, P.F. Microplastics and chemical leachates from plastic pipes are associated with increased virulence and antimicrobial resistance potential of drinking water microbial communities. J. Hazard. Mater. 2024, 463, 132900. [Google Scholar] [CrossRef]
- Cao, Y.; Zhao, Q.; Jiang, F.S.; Geng, Y.X.; Zhang, L.F.; Li, C.; Li, J.; Li, Y.J.; Hu, X.W.; Huang, J.H.; et al. Interactions between inhalable aged microplastics and lung surfactant: Potential pulmonary health risks. Environ. Res. 2024, 245, 117803. [Google Scholar] [CrossRef]
- Villacorta, A.; Rubio, L.; Alaraby, M.; Lopez-Mesas, M.; Fuentes-Cebrian, V.; Moriones, O.H.; Marcos, R.; Hernandez, A. A new source of representative secondary PET nanoplastics. Obtention, characterization, and hazard evaluation. J. Hazard. Mater. 2022, 439, 129593. [Google Scholar] [CrossRef]
- Zhang, J.J.; Lin, Z.H.; Ai, F.X.; Du, W.C.; Yin, Y.; Guo, H.Y. Effect of ultraviolet aged polytetrafluoroethylene microplastics on copper bioavailability and Microcystis aeruginosa growth. Aquat. Toxicol. 2024, 272, 106967. [Google Scholar] [CrossRef]
- Liu, X.M.; Wei, H.Y.; Ahmad, S.; Wang, R.J.; Gao, P.K.; Chen, J.F.; Song, Y.H.; Liu, C.C.; Ding, N.; Tang, J.C. Effects and mechanism of microplastics on abundance and transfer of antibiotic resistance genes in the environment—A critical review. Crit. Rev. Environ. Sci. Technol. 2024, 54, 1852–1874. [Google Scholar] [CrossRef]
- Yang, W.F.; Gao, P.; Ma, G.Y.; Huang, J.Y.; Wu, Y.X.; Wan, L.; Ding, H.J.; Zhang, W.H. Transcriptome analysis of the toxic mechanism of nanoplastics on growth, photosynthesis and oxidative stress of microalga Chlorella pyrenoidosa during chronic exposure. Environ. Pollut. 2021, 284, 117413. [Google Scholar] [CrossRef]
- Wang, Y.H.; Shang, Y.J.; Guo, J.Y.; Xu, G.H.; Lu, G.H.; Zhou, X.; Liu, J.C. Aged biodegradable and non-biodegradable microplastics alter metolachlor toxicity in the gut and liver of crucian carp. J. Hazard. Mater. 2025, 496, 139212. [Google Scholar] [CrossRef]
- Kohanski, M.A.; DePristo, M.A.; Collins, J.J. Sublethal Antibiotic Treatment Leads to Multidrug Resistance via Radical-Induced Mutagenesis. Molecular Cell 2010, 37, 311–320. [Google Scholar] [CrossRef]
- Tang, K.H.D.; Li, R.H. Aged Microplastics and Antibiotic Resistance Genes: A Review of Aging Effects on Their Interactions. Antibiotics 2024, 13, 941. [Google Scholar] [CrossRef]
- Shao, Y.T.; Hua, X.; Li, Y.H.; Wang, D.Y. Comparison of reproductive toxicity between pristine and aged polylactic acid microplastics in Caenorhabditis elegans. J. Hazard. Mater. 2024, 466, 133545. [Google Scholar] [CrossRef]
- Zhao, H.; Zhao, H.M.; Wu, F.; Liu, B.L.; Li, H.; Li, Y.W.; Cai, Q.Y.; Xiang, L.; Mo, C.H.; Li, Q.X. Perfluorooctane sulfonate (PFOS) promotes transformational transfer of antibiotic resistance genes and cross-resistance between antibiotics and PFOS. Water Res. 2025, 284, 123868. [Google Scholar] [CrossRef]
- Grahn, A.M.; Haase, J.; Bamford, D.H.; Lanka, E. Components of the RP4 conjugative transfer apparatus form an envelope structure bridging inner and outer membranes of donor cells: Implications for related macromolecule transport systems. J. Bacteriol. 2000, 182, 1564–1574. [Google Scholar] [CrossRef]
- Giusti, M.D.; Pistorio, M.; Lozano, M.J.; Tejerizo, G.A.T.; Salas, M.E.; Martini, M.C.; López, J.L.; Draghi, W.O.; Del Papa, M.F.; Pérez-Mendoza, D.; et al. Genetic and functional characterization of a yet-unclassified rhizobial Dtr (DNA-transfer-and-replication) region from a ubiquitous plasmid conjugal system present in Sinorhizobium meliloti, in Sinorhizobium medicae, and in other nonrhizobial Gram-negative bacteria. Plasmid 2012, 67, 199–210. [Google Scholar] [CrossRef]
- Zhang, J.; Xia, X.H.; Li, Y.; Lin, X.H.; Li, Y.; Yang, Z.F. Photoaging of biodegradable nanoplastics regulates their toxicity to aquatic insects (Chironomus kiinensis) by impairing gut and disrupting intestinal microbiota. Environ. Int. 2024, 185, 108483. [Google Scholar] [CrossRef]






| Aging Time | PLA | PLA + SMX | PET | PET + SMX |
|---|---|---|---|---|
| 3 | 133.5 ± 9.7 | 327.5 ± 18.6 | 436.7 ± 25.9 | 603.9 ± 34.7 |
| 7 | 118.7 ± 6.8 | 283.1 ± 20.4 | 356.5 ± 28.4 | 451.9 ± 31.4 |
| 15 | 101.3 ± 4.6 | 237.6 ± 13.8 | 276.2 ± 23.6 | 473.3 ± 26.7 |
| 30 | 88.9 ± 7.1 | 174.3 ± 10.7 | 288.9 ± 18.4 | 411.2 ± 19.4 |
| 60 | 62.3 ± 5.6 | 112.8 ± 7.5 | 203.6 ± 21.5 | 378.3 ± 23.8 |
| Aging Time | PLA | PLA + SMX | PET | PET + SMX |
|---|---|---|---|---|
| 3 | −7.6 ± 0.8 | −8.7 ± 0.6 | −5.3 ± 0.4 | −11.5 ± 1.2 |
| 7 | −8.8 ± 0.7 | −9.5 ± 1.4 | −6.8 ± 0.7 | −8.6 ± 0.9 |
| 15 | −10.5 ± 0.9 | −6.4 ± 0.5 | −8.6 ± 0.8 | −11.4 ± 1.2 |
| 30 | −12.1 ± 1.1 | −10.8 ± 1.5 | −10.3 ± 1.1 | −12.7 ± 1.4 |
| 60 | −13.6 ± 0.9 | −8.4 ± 0.7 | −12.5 ± 0.9 | −10.6 ± 0.6 |
Disclaimer/Publisher’s Note: The statements, opinions and data contained in all publications are solely those of the individual author(s) and contributor(s) and not of MDPI and/or the editor(s). MDPI and/or the editor(s) disclaim responsibility for any injury to people or property resulting from any ideas, methods, instructions or products referred to in the content. |
© 2025 by the authors. Licensee MDPI, Basel, Switzerland. This article is an open access article distributed under the terms and conditions of the Creative Commons Attribution (CC BY) license (https://creativecommons.org/licenses/by/4.0/).
Share and Cite
Liu, X.; Shi, S.; Yin, M.; Xu, X.; He, S.; Ahmad, S. Effects of Aged Biodegradable Plastics and Antibiotics on the Conjugative Transfer of Antibiotic Resistance Genes Between Bacteria. Sustainability 2025, 17, 9981. https://doi.org/10.3390/su17229981
Liu X, Shi S, Yin M, Xu X, He S, Ahmad S. Effects of Aged Biodegradable Plastics and Antibiotics on the Conjugative Transfer of Antibiotic Resistance Genes Between Bacteria. Sustainability. 2025; 17(22):9981. https://doi.org/10.3390/su17229981
Chicago/Turabian StyleLiu, Xiaomei, Songyu Shi, Mengzhen Yin, Xinyue Xu, Shuwen He, and Shakeel Ahmad. 2025. "Effects of Aged Biodegradable Plastics and Antibiotics on the Conjugative Transfer of Antibiotic Resistance Genes Between Bacteria" Sustainability 17, no. 22: 9981. https://doi.org/10.3390/su17229981
APA StyleLiu, X., Shi, S., Yin, M., Xu, X., He, S., & Ahmad, S. (2025). Effects of Aged Biodegradable Plastics and Antibiotics on the Conjugative Transfer of Antibiotic Resistance Genes Between Bacteria. Sustainability, 17(22), 9981. https://doi.org/10.3390/su17229981

