Determination of the Combustion Parameters of Nonwoody and Animal Biomasses via Thermogravimetric Analysis for Sustainable Energy Valorization
Abstract
1. Introduction
2. Materials and Methods
2.1. Materials and Sample Preparation
2.2. Thermogravimetric Study of the Samples
2.3. Determination of the Combustion Characteristic Parameters
- Ignition and burnout temperatures
- Ignition index
- Burnout index
- Comprehensive combustibility index.
- Combustion index
- Flame stability index
3. Results and Discussion
3.1. TGA
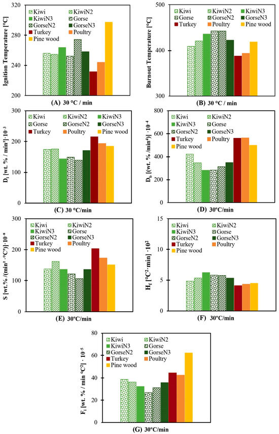
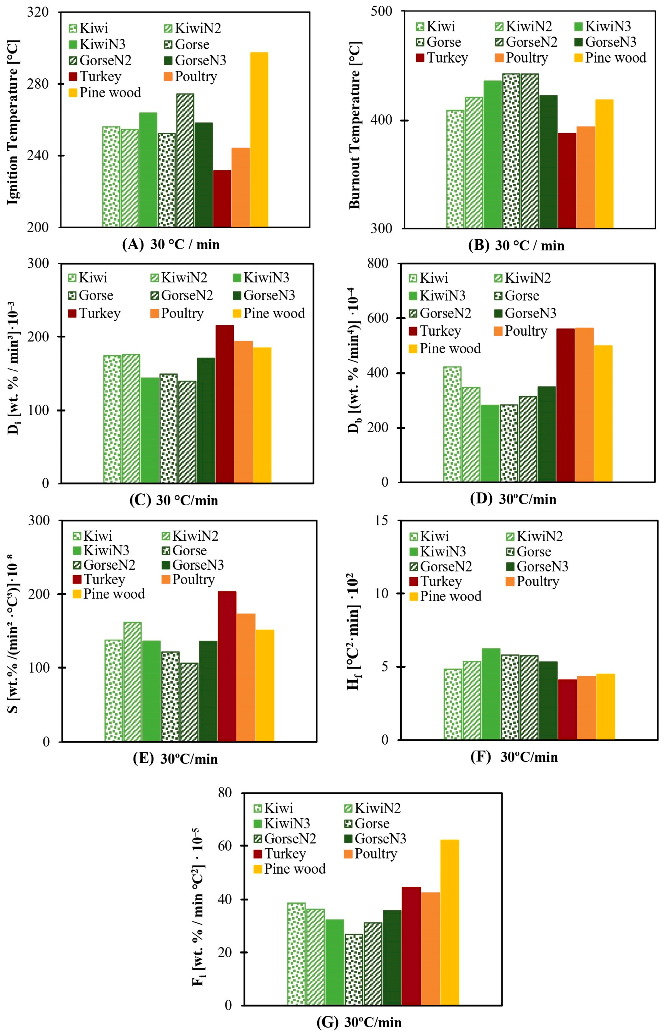
3.2. Ignition and Burnout Temperatures
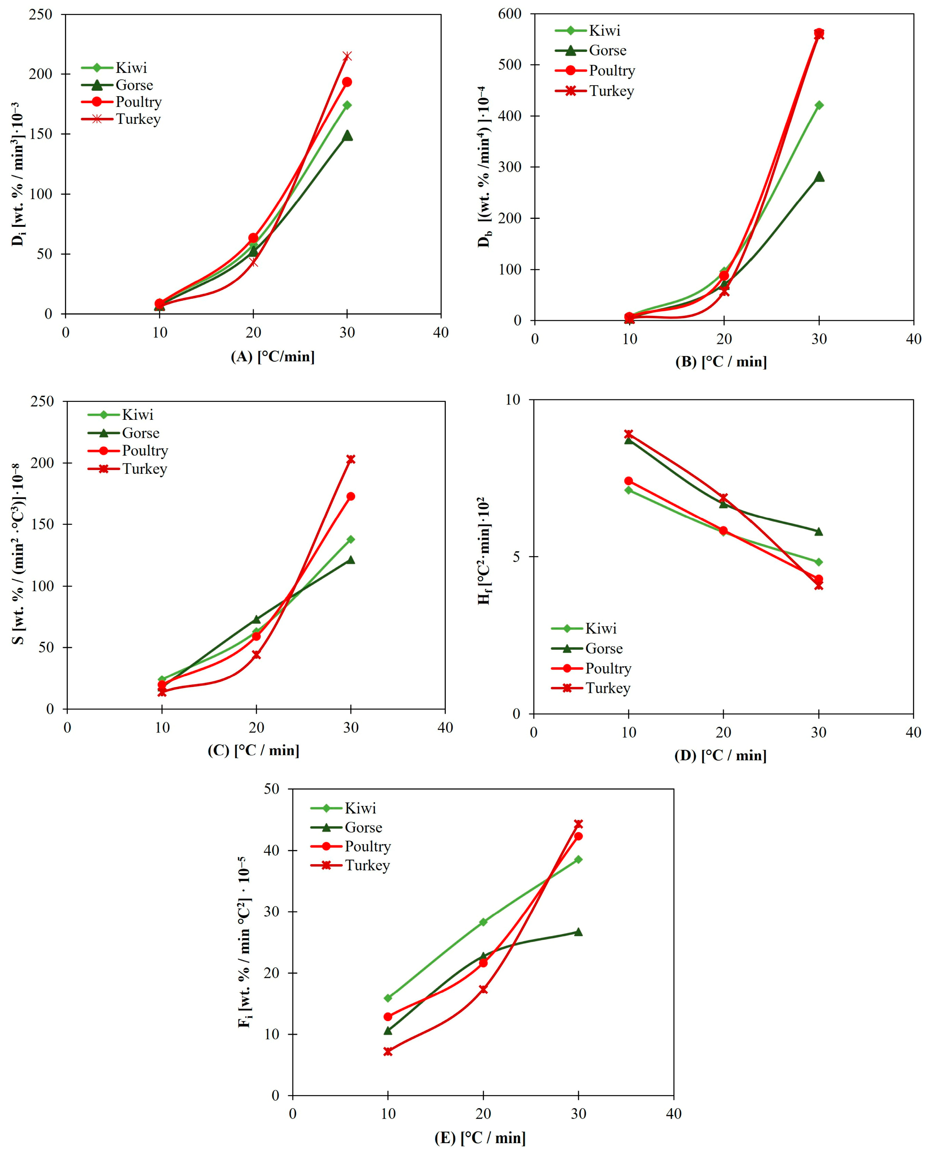
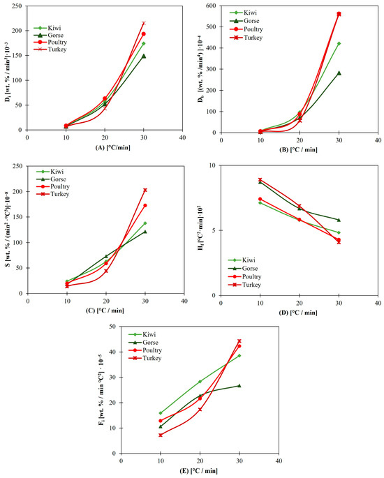
3.3. Ignition and Burnout Indices
3.4. Comprehensive Combustibility Index, Flame Stability Index and Combustion Index
3.5. Influence of Additives
3.6. Combustion Parameters for Animal Biomasses Compared with Those for Nonanimal Samples
4. Conclusions
Supplementary Materials
Author Contributions
Funding
Institutional Review Board Statement
Informed Consent Statement
Data Availability Statement
Conflicts of Interest
Abbreviations
| Db | Burnout index |
| Di | Ignition index |
| DSC | Differential scanning calorimetry |
| DTA | Differential thermal analysis |
| DTG | Mass loss rate |
| DTGmax | Maximum mass loss rate |
| DTGmean | Average mass loss rate |
| Fi | Flame stability index |
| Gorse N2 | Gorse pellet blended with 2 wt. % kaolinite |
| Gorse N3 | Gorse pellet blended with 2 wt. % CaCO3 |
| Hf | Combustion index |
| Kiwi N2 | Kiwi pellet blended with 2 wt. % kaolinite |
| Kiwi N3 | Kiwi pellet blended with 2 wt. % CaCO3 |
| S | Comprehensive combustibility index |
| Ti | Ignition temperature |
| ti | Ignition time |
| Tb | Burnout temperature |
| TGA | Thermogravimetric analysis |
| tp | Peak time |
References
- García, R.; Pizarro, C.; Lavín, A.G.; Bueno, J.L. Characterization of Spanish biomass wastes for energy use. Bioresour. Technol. 2012, 103, 249–258. [Google Scholar] [CrossRef]
- Vertès, A.; Qureshi, N.; Blaschek, H.; Yukawa, H. Green Energy to Sustainability; Wiley: Hoboken, NJ, USA, 2020. [Google Scholar] [CrossRef]
- Global Primary Energy Consumption by Source. Our World in Data. Available online: https://ourworldindata.org/grapher/global-energy-substitution (accessed on 20 March 2023).
- Hosseini, S.E.; Wahid, M.A. Hydrogen production from renewable and sustainable energy resources: Promising green energy carrier for clean development. Renew. Sustain. Energy Rev. 2016, 57, 850–866. [Google Scholar] [CrossRef]
- Bose, B.K. Global Warming: Energy, Environmental Pollution, and the Impact of Power Electronics. IEEE Ind. Electron. Mag. 2010, 4, 6–17. [Google Scholar] [CrossRef]
- Rosillo Callé, F. (Ed.) The Biomass Assessment Handbook: Bioenergy for a Sustainable Environment; Earthscan: London, UK, 2007. [Google Scholar]
- Ma, D.; Sun, J.; Zhang, Y.; Sun, Z.; Wang, X.; Zi, J.; Stojiljković, D.; Manić, N.; Tan, H.; Rahman, Z.U.; et al. Evaluation of ash/slag heavy metal characteristics and potassium recovery of four biomass boilers. Biomass Bioenergy 2023, 173, 106770. [Google Scholar] [CrossRef]
- Fit for 55. Consejo Europeo. 10 October 2023. Available online: https://www.consilium.europa.eu/es/policies/green-deal/fit-for-55-the-eu-plan-for-a-green-transition/ (accessed on 13 November 2023).
- Directive (EU) 2023/2413 of the European Parliament and of the Council of 18 October 2023 Amending Directive (EU) 2018/2001, Regulation (EU) 2018/1999 and Directive 98/70/EC as Regards the Promotion of Energy from Renewable Sources, and Repealing Council Directive (EU) 2015/652. 2023. Available online: http://data.europa.eu/eli/dir/2023/2413/oj (accessed on 7 November 2025).
- Hatamleh, R.I.; Jamhawi, M.M.; Al-Kofahi, S.D.; Hijazi, H. The Use of a GIS System as a Decision Support Tool for Municipal Solid Waste Management Planning: The Case Study of Al Nuzha District, Irbid, Jordan. Procedia Manuf. 2020, 44, 189–196. [Google Scholar] [CrossRef]
- Madden, B.; Florin, N.; Mohr, S.; Giurco, D. Estimating emissions from household organic waste collection and transportation: The case of Sydney and surrounding areas, Australia. Clean. Waste Syst. 2022, 2, 100013. [Google Scholar] [CrossRef]
- de Holanda Pasolini, V.; Lima, R.M.; Costa, A.B.S.; de Sousa, R.C. Drying of poultry manure for biomass applications in the combustion. Biomass Convers. Biorefinery 2024, 14, 17543–17553. [Google Scholar] [CrossRef]
- Wzorek, M.; Junga, R.; Yilmaz, E.; Niemiec, P. Combustion behavior and mechanical properties of pellets derived from blends of animal manure and lignocellulosic biomass. J. Environ. Manag. 2021, 290, 112487. [Google Scholar] [CrossRef]
- Mishra, R.K.; Mohanty, K. Pyrolysis kinetics and thermal behavior of waste sawdust biomass using thermogravimetric analysis. Bioresour. Technol. 2018, 251, 63–74. [Google Scholar] [CrossRef] [PubMed]
- Royo, J.; Canalís, P.; Quintana, D. Ash partitioning in combustion of pelletized residual agricultural biomass. Biomass Bioenergy 2025, 193, 107563. [Google Scholar] [CrossRef]
- Dula, M.; Kraszkiewicz, A. A review: Problems related to ash deposition and deposit formation in low-power biomass-burning heating devices. Front. Energy Res. 2025, 13, 1652415. [Google Scholar] [CrossRef]
- Kaniowski, W.; Taler, J.; Wang, X.; Kalemba-Rec, I.; Gajek, M.; Mlonka-Mędrala, A.; Nowak-Woźny, D.; Magdziarz, A. Investigation of biomass, RDF and coal ash-related problems: Impact on metallic heat exchanger surfaces of boilers. Fuel 2022, 326, 125122. [Google Scholar] [CrossRef]
- Hariana; Putra, H.P.; Prabowo; Hilmawan, E.; Darmawan, A.; Mochida, K.; Aziz, M. Theoretical and experimental investigation of ash-related problems during coal co-firing with different types of biomass in a pulverized coal-fired boiler. Energy 2023, 269, 126784. [Google Scholar] [CrossRef]
- Abioye, K.J.; Harun, N.Y.; Sufian, S.; Yusuf, M.; Jagaba, A.H.; Ekeoma, B.C.; Kamyab, H.; Sikiru, S.; Waqas, S.; Ibrahim, H. A review of biomass ash related problems: Mechanism, solution, and outlook. J. Energy Inst. 2024, 112, 101490. [Google Scholar] [CrossRef]
- Xu, W.; Niu, Y.; Tan, H.; Wang, D.; Du, W.; Hui, S. A New Agro/Forestry Residues Co-Firing Model in a Large Pulverized Coal Furnace: Technical and Economic Assessments. Energies 2013, 6, 4377–4393. [Google Scholar] [CrossRef]
- Niu, Y.; Tan, H.; Hui, S. Ash-related issues during biomass combustion: Alkali-induced slagging, silicate melt-induced slagging (ash fusion), agglomeration, corrosion, ash utilization, and related countermeasures. Prog. Energy Combust. Sci. 2016, 52, 1–61. [Google Scholar] [CrossRef]
- Sandberg, J.; Karlsson, C.; Fdhila, R.B. A 7year long measurement period investigating the correlation of corrosion, deposit and fuel in a biomass fired circulated fluidized bed boiler. Appl. Energy 2011, 88, 99–110. [Google Scholar] [CrossRef]
- Huang, Y.; McIlveen-Wright, D.; Rezvani, S.; Wang, Y.D.; Hewitt, N.; Williams, B.C. Biomass co-firing in a pressurized fluidized bed combustion (PFBC) combined cycle power plant: A techno-environmental assessment based on computational simulations. Fuel Process. Technol. 2006, 87, 927–934. [Google Scholar] [CrossRef]
- Hariana, H.; Ghazidin, H.; Darmawan, A.; Hilmawan, E.; Prabowo; Aziz, M. Effect of additives in increasing ash fusion temperature during co-firing of coal and palm oil waste biomass. Bioresour. Technol. Rep. 2023, 23, 101531. [Google Scholar] [CrossRef]
- Wang, L.; Hustad, J.E.; Skreiberg, Ø.; Skjevrak, G.; Grønli, M. A Critical Review on Additives to Reduce Ash Related Operation Problems in Biomass Combustion Applications. Energy Procedia 2012, 20, 20–29. [Google Scholar] [CrossRef]
- Mureddu, M.; Dessì, F.; Orsini, A.; Ferrara, F.; Pettinau, A. Air- and oxygen-blown characterization of coal and biomass by thermogravimetric analysis. Fuel 2018, 212, 626–637. [Google Scholar] [CrossRef]
- Yang, H.; Yan, R.; Chen, H.; Lee, D.H.; Zheng, C. Characteristics of hemicellulose, cellulose and lignin pyrolysis. Fuel 2007, 86, 1781–1788. [Google Scholar] [CrossRef]
- Irfan Khan, M.; Khan, H.U.; Azizli, K.; Sufian, S.; Man, Z.; Siyal, A.A.; Muhammad, N.; Faiz ur Rehman, M. The pyrolysis kinetics of the conversion of Malaysian kaolin to metakaolin. Appl. Clay Sci. 2017, 146, 152–161. [Google Scholar] [CrossRef]
- Niu, S.L.; Lu, C.M.; Han, K.H.; Zhao, J.L. Thermogravimetric analysis of combustion characteristics and kinetic parameters of pulverized coals in oxy-fuel atmosphere. J. Therm. Anal. Calorim. 2009, 98, 267–274. [Google Scholar] [CrossRef]
- Rico, J.J.; Pérez-Orozco, R.; Patiño Vilas, D.; Porteiro, J. TG/DSC and kinetic parametrization of the combustion of agricultural and forestry residues. Biomass Bioenergy 2022, 162, 106485. [Google Scholar] [CrossRef]
- Ahn, S.; Choi, G.; Kim, D. The effect of wood biomass blending with pulverized coal on combustion characteristics under oxy-fuel condition. Biomass Bioenergy 2014, 71, 144–154. [Google Scholar] [CrossRef]
- Yu, D.; Chen, M.; Wei, Y.; Niu, S.; Xue, F. An assessment on co-combustion characteristics of Chinese lignite and eucalyptus bark with TG–MS technique. Powder Technol. 2016, 294, 463–471. [Google Scholar] [CrossRef]
- Niu, S.; Han, K.; Lu, C. Characteristic of coal combustion in oxygen/carbon dioxide atmosphere and nitric oxide release during this process. Energy Convers. Manag. 2011, 52, 532–537. [Google Scholar] [CrossRef]
- Zhang, K.; Zhang, K.; Cao, Y.; Pan, W. Co-combustion characteristics and blending optimization of tobacco stem and high-sulfur bituminous coal based on thermogravimetric and mass spectrometry analyses. Bioresour. Technol. 2013, 131, 325–332. [Google Scholar] [CrossRef]
- Ren, J.; Xie, C.; Guo, X.; Qin, Z.; Lin, J.-Y.; Li, Z. Combustion Characteristics of Coal Gangue under an Atmosphere of Coal Mine Methane. Energy Fuels 2014, 28, 3688–3695. [Google Scholar] [CrossRef]
- Zheng, S.; Hu, Y.; Wang, Z.; Cheng, X. Experimental investigation on ignition and burnout characteristics of semi-coke and bituminous coal blends. J. Energy Inst. 2020, 93, 1373–1381. [Google Scholar] [CrossRef]
- Cao, W.; Li, J.; Lin, L.; Zhang, X. Release of potassium in association with structural evolution during biomass combustion. Fuel 2021, 287, 119524. [Google Scholar] [CrossRef]
- Kuptz, D.; Kuchler, C.; Rist, E.; Eickenscheidt, T.; Mack, R.; Schön, C.; Drösler, M.; Hartmann, H. Combustion behaviour and slagging tendencies of pure, blended and kaolin additivated biomass pellets from fen paludicultures in two small-scale boilers < 30 kW. Biomass Bioenergy 2022, 164, 106532. [Google Scholar] [CrossRef]
- Dragutinovic, N.; Höfer, I.; Kaltschmitt, M. Effect of additives on thermochemical conversion of solid biofuel blends from wheat straw, corn stover, and corn cob. Biomass Convers. Biorefinery 2019, 9, 35–54. [Google Scholar] [CrossRef]
- Schmitt, V.E.M.; Kaltschmitt, M. Effect of straw proportion and Ca- and Al-containing additives on ash composition and sintering of wood–straw pellets. Fuel 2013, 109, 551–558. [Google Scholar] [CrossRef]
- Hashemi, H.; Wang, G.; Jensen, P.A.; Wu, H.; Frandsen, F.J.; Sander, B.; Glarborg, P. Modeling Potassium Capture by Aluminosilicate, Part 1: Kaolin. Energy Fuels 2021, 35, 13984–13998. [Google Scholar] [CrossRef]
- Öhman, M.; Boström, D.; Nordin, A.; Hedman, H. Effect of Kaolin and Limestone Addition on Slag Formation during Combustion of Wood Fuels. Energy Fuels 2004, 18, 1370–1376. [Google Scholar] [CrossRef]
- Zacharczuk, W.; Andruszkiewicz, A.; Tatarek, A.; Alahmer, A.; Alsaqoor, S. Effect of Ca-based additives on the capture of SO2 during combustion of pulverized lignite. Energy 2021, 231, 120988. [Google Scholar] [CrossRef]
- Steenari, B.-M.; Lundberg, A.; Pettersson, H.; Wilewska-Bien, M.; Andersson, D. Investigation of Ash Sintering during Combustion of Agricultural Residues and the Effect of Additives. Energy Fuels 2009, 23, 5655–5662. [Google Scholar] [CrossRef]
- Patiño Vilas, D. Análisis Experimental de Combustión de Biomasa en un Quemador de Lecho fijo. Universidade de Vigo. 2009. Available online: https://portalcientifico.uvigo.gal/documentos/5c13b1b9c8914b6ed37773e4?lang=es (accessed on 27 February 2025).
- ISO 16948; Solid Biofuels—Determination of Total Content of Carbon, Hydrogen and Nitrogen. AENOR: Madrid, Spain, 2015.
- ISO 16994; Solid Biofuels—Determination of Total Content of Sulfur and Chlorine. AENOR: Madrid, Spain, 2016.
- Vermeulen, I.; Block, C.; Vandecasteele, C. Estimation of fuel-nitrogen oxide emissions from the element composition of the solid or waste fuel. Fuel 2012, 94, 75–80. [Google Scholar] [CrossRef]
- McKendry, P. Energy production from biomass (part 1): Overview of biomass. Bioresour. Technol. 2002, 83, 37–46. [Google Scholar] [CrossRef]
- Xu, Y.; Zhai, M.; Jin, S.; Zou, X.; Liu, S.; Dong, P. Numerical simulation of high-temperature fusion combustion characteristics for a single biomass particle. Fuel Process. Technol. 2019, 183, 27–34. [Google Scholar] [CrossRef]
- Alekseenko, S.V.; Butakov, E.B.; Chikishev, L.M.; Sharaborin, D.K. Experimental study of diffusion combustion of a fine pulverized coal in a CH4–N2 gas jet. J. Appl. Mech. Tech. Phys. 2020, 61, 757–762. [Google Scholar] [CrossRef]
- ISO 18134-1:2015; Solid Biofuels—Determination of Moiture Content—Oven dry Method—Part 1: Total Moisture—Reference Method. AENOR: Madrid, Spain, 2015.
- ISO 18123:2015; Solid Biofuels—Determination of the Content of Volatile Matter. AENOR: Madrid, Spain, 2015.
- ISO 18122:2015; Solid Biofuels—Determination of Ash Content. AENOR: Madrid, Spain, 2015.
- Boström, D.; Skoglund, N.; Grimm, A.; Boman, C.; Öhman, M.; Broström, M.; Backman, R. Ash transformation chemistry during combustion of biomass. Energy Fuels 2012, 26, 85–93. [Google Scholar] [CrossRef]
- Ni, Z.; Song, Z.; Bi, H.; Jiang, C.; Sun, H.; Qiu, Z.; He, L.; Lin, Q. The effect of cellulose on the combustion characteristics of coal slime: TG-FTIR, principal component analysis, and 2D-COS. Fuel 2023, 333, 126310. [Google Scholar] [CrossRef]
- Jayaraman, K.; Kok, M.V.; Gokalp, I. Thermogravimetric and mass spectrometric (TG-MS) analysis and kinetics of coal-biomass blends. Renew. Energy 2017, 101, 293–300. [Google Scholar] [CrossRef]
- Liu, Y.; Cao, X.; Duan, X.; Wang, Y.; Che, D. Thermal analysis on combustion characteristics of predried dyeing sludge. Appl. Therm. Eng. 2018, 140, 158–165. [Google Scholar] [CrossRef]
- Saadatkhah, N.; Carillo Garcia, A.; Ackermann, S.; Leclerc, P.; Latifi, M.; Samih, S.; Patience, G.S.; Chaouki, J. Experimental methods in chemical engineering: Thermogravimetric analysis—TGA. Can. J. Chem. Eng. 2020, 98, 34–43. [Google Scholar] [CrossRef]
- Savitky, A.; Golay, M. Smoothing and Differentiation of Data by Simplified Least Squares Procedures. 2002. Available online: https://pubs.acs.org/doi/epdf/10.1021/ac60214a047 (accessed on 19 September 2023).
- Yang, Z.; Zhang, S.; Liu, L.; Li, X.; Chen, H.; Yang, H.; Wang, X. Combustion behaviours of tobacco stem in a thermogravimetric analyser and a pilot-scale fluidized bed reactor. Bioresour. Technol. 2012, 110, 595–602. [Google Scholar] [CrossRef]
- Guo, F.; Zhong, Z. Experimental studies on combustion of composite biomass pellets in fluidized bed. Sci. Total Environ. 2017, 599, 926–933. [Google Scholar] [CrossRef]
- Li, X.G.; Lv, Y.; Ma, B.G.; Jian, S.W.; Tan, H.B. Thermogravimetric investigation on co-combustion characteristics of tobacco residue and high-ash anthracite coal. Bioresour. Technol. 2011, 102, 9783–9787. [Google Scholar] [CrossRef] [PubMed]
- Jayaraman, K.; Kök, M.V.; Gökalp, I. Combustion mechanism and model free kinetics of different origin coal samples: Thermal analysis approach. Energy 2020, 204, 117905. [Google Scholar] [CrossRef]
- Chen, J.; Wang, Y.; Lang, X.; Ren, X.; Fan, S. Comparative evaluation of thermal oxidative decomposition for oil-plant residues via thermogravimetric analysis: Thermal conversion characteristics, kinetics, and thermodynamics. Bioresour. Technol. 2017, 243, 37–46. [Google Scholar] [CrossRef] [PubMed]
- Liu, X.; Chen, M.; Yu, D. Oxygen enriched co-combustion characteristics of herbaceous biomass and bituminous coal. Thermochim. Acta 2013, 569, 17–24. [Google Scholar] [CrossRef]
- Biswas, S.; Choudhury, N.; Sarkar, P.; Mukherjee, A.; Sahu, S.G.; Boral, P.; Choudhury, A. Studies on the combustion behaviour of blends of Indian coals by TGA and Drop Tube Furnace. Fuel Process. Technol. 2006, 87, 191–199. [Google Scholar] [CrossRef]
- Nzihou, A.; Stanmore, B. The fate of heavy metals during combustion and gasification of contaminated biomass—A brief review. J. Hazard. Mater. 2013, 256, 56–66. [Google Scholar] [CrossRef]
- Vamvuka, D.; Sfakiotakis, S. Combustion behaviour of biomass fuels and their blends with lignite. Thermochim. Acta 2011, 526, 192–199. [Google Scholar] [CrossRef]
- Mani, T.; Murugan, P.; Abedi, J.; Mahinpey, N. Pyrolysis of wheat straw in a thermogravimetric analyzer: Effect of particle size and heating rate on devolatilization and estimation of global kinetics. Chem. Eng. Res. Des. 2010, 88, 952–958. [Google Scholar] [CrossRef]
- Franco, A.; Rico, J.J.; Pérez-Orozco, R.; Patiño Vilas, D. Biomass combustion parameters dataset. Mendeley Data 2025, V2. [Google Scholar] [CrossRef]






| Fuels | Pine Wood | Kiwi | Kiwi N2 | Kiwi N3 | Gorse | Gorse N2 | Gorse N3 | Poultry | Turkey | |
|---|---|---|---|---|---|---|---|---|---|---|
| Ultimate analysis [%] | N | 0.1 | 1.0 | 0.8 | 0.8 | 1.1 | 1.3 | 0.7 | 2.6 | 5.0 |
| C | 47.2 | 47.0 | 44.9 | 45.3 | 49.5 | 47.4 | 44.4 | 41.9 | 38.3 | |
| H | 6.3 | 5.5 | 6.1 | 6.2 | 6.1 | 7.8 | 7.6 | 4.3 | 4.0 | |
| O a | 46.0 | 46.5 | 48.2 | 47.7 | 43.3 | 43.5 | 47.3 | 51.2 | 52.8 | |
| S | — b | — b | — b | — b | — b | — b | — b | — b | — b | |
| Heating values [MJ/kg] | HHV | 19.1 | 18.1 | 17.9 | 18.2 | 20.0 | 21.2 | 19.6 | 14.4 | 12.5 |
| LHV | 17.8 | 16.9 | 16.5 | 16.8 | 18.7 | 19.5 | 17.9 | 13.4 | 11.7 | |
| Proximate analysis [%] | Moisture | 5.2 | 8.5 | 9.4 | 9.2 | 9.8 | 7.2 | 7.4 | 26.6 | 32.7 |
| Volatile matter | 71.6 | 71.4 | 60.4 | 60.2 | 72.3 | 73.1 | 72.7 | 47.7 | 45.9 | |
| Fixed carbon | 22.8 | 15.8 | 24.8 | 24.5 | 16.1 | 16.1 | 16.0 | 16.3 | 10.1 | |
| Ashes | 0.4 | 4.3 | 5.4 | 6.1 | 1.8 | 3.7 | 3.9 | 9.6 | 11.4 |
| Na | Mg | Al | Si | P | S | Cl | K | Ca | Ti | Mn | Fe | Zn | |
|---|---|---|---|---|---|---|---|---|---|---|---|---|---|
| Pine wood | 0.7% | 15.5% | 22.0% | 11.4% | 1.0% | 3.1% | 1.1% | 21.3% | 19.0% | 0.2% | 1.9% | 2.1% | 0.2% |
| Kiwi | 7.3% | 8.0% | 10.6% | 0.0% | 3.2% | 6.2% | 8.0% | 31.5% | 21.0% | - | 1.1% | 2.6% | 0.2% |
| Kiwi N2 | 7.7% | 4.8% | 11.8% | 34.1% | 1.4% | 3.7% | 2.9% | 14.7% | 12.4% | 0.1% | 1.8% | 4.6% | 0.2% |
| Kiwi N3 | 13.1% | 6.8% | 2.3% | 9.7% | 2.7% | 6.0% | 5.7% | 25.4% | 22.2% | 0.1% | 2.4% | 3.5% | 0.4% |
| Gorse | 11.7% | 7.2% | 4.4% | 11.7% | 2.8% | 5.5% | 3.6% | 26.8% | 18.0% | 0.4% | 2.2% | 4.5% | 0.3% |
| Gorse N2 | 0.9% | 4.0% | 10.4% | 31.2% | 2.5% | 1.9% | 0.3% | 21.1% | 23.5% | 0.2% | 0.3% | 3.5% | 0.3% |
| Gorse N3 | 1.0% | 3.7% | 4.3% | 15.4% | 2.2% | 1.8% | 0.4% | 18.2% | 49.9% | 0.2% | 0.2% | 2.5% | 0.2% |
| Poultry | - | - | 0.5% | 1.6% | 17.5% | 4.7% | 19.9% | 38.2% | 14.9% | - | 0.9% | 1.1% | 0.7% |
| Turkey | - | - | 0.3% | 1.2% | 27.1% | 4.9% | 15.9% | 31.6% | 17.7% | - | 0.4% | 0.7% | 0.4% |
Disclaimer/Publisher’s Note: The statements, opinions and data contained in all publications are solely those of the individual author(s) and contributor(s) and not of MDPI and/or the editor(s). MDPI and/or the editor(s) disclaim responsibility for any injury to people or property resulting from any ideas, methods, instructions or products referred to in the content. |
© 2025 by the authors. Licensee MDPI, Basel, Switzerland. This article is an open access article distributed under the terms and conditions of the Creative Commons Attribution (CC BY) license (https://creativecommons.org/licenses/by/4.0/).
Share and Cite
Franco-Sardinha, A.; Rico, J.J.; Pérez-Orozco, R.; Patiño, D. Determination of the Combustion Parameters of Nonwoody and Animal Biomasses via Thermogravimetric Analysis for Sustainable Energy Valorization. Sustainability 2025, 17, 10426. https://doi.org/10.3390/su172210426
Franco-Sardinha A, Rico JJ, Pérez-Orozco R, Patiño D. Determination of the Combustion Parameters of Nonwoody and Animal Biomasses via Thermogravimetric Analysis for Sustainable Energy Valorization. Sustainability. 2025; 17(22):10426. https://doi.org/10.3390/su172210426
Chicago/Turabian StyleFranco-Sardinha, Amanda, Juan Jesús Rico, Raquel Pérez-Orozco, and David Patiño. 2025. "Determination of the Combustion Parameters of Nonwoody and Animal Biomasses via Thermogravimetric Analysis for Sustainable Energy Valorization" Sustainability 17, no. 22: 10426. https://doi.org/10.3390/su172210426
APA StyleFranco-Sardinha, A., Rico, J. J., Pérez-Orozco, R., & Patiño, D. (2025). Determination of the Combustion Parameters of Nonwoody and Animal Biomasses via Thermogravimetric Analysis for Sustainable Energy Valorization. Sustainability, 17(22), 10426. https://doi.org/10.3390/su172210426

