Next Article in Journal
Impact of Digital Transformation on Enterprise Risk-Taking: An Analysis Based on Chain Multiple Mediating Effects
Previous Article in Journal
Competitiveness Evaluation Mechanism of Computing Power Centers from the Complex Systems Perspective Based on Chinese Data
 
 
Font Type:
Arial Georgia Verdana
Font Size:
Aa Aa Aa
Line Spacing:
Column Width:
Background:
Article

Research on the Impact of Government Subsidies on the Recycling of Electric Bicycle Batteries

School of Business, Jiangnan University, Wuxi 214122, China
*
Author to whom correspondence should be addressed.
Sustainability 2025, 17(22), 10204; https://doi.org/10.3390/su172210204
Submission received: 17 October 2025 / Revised: 5 November 2025 / Accepted: 13 November 2025 / Published: 14 November 2025

Abstract

As a critical tool for low-carbon urban transportation, improper disposal of waste batteries from electric bicycles could significantly hinder sustainable development progress. To enhance resource cycling efficiency, this study constructs a sustainable supply chain model involving battery owners, recyclers, and the government, comparing equilibrium outcomes under two subsidy schemes: subsidizing battery owners versus directly subsidizing recyclers. Key findings reveal that when environmental governance costs exceed a critical threshold, subsidies significantly increase recycling volumes while reducing government expenditure. Direct subsidies to recyclers generate stronger price signals, more effectively incentivizing battery owners’ participation and achieving superior policy outcomes. This research provides a quantitative foundation for optimizing environmental governance efficiency and circular economy policies in e-bike battery recycling, demonstrating that targeted subsidies can simultaneously promote ecological sustainability and fiscal effectiveness.

1. Introduction

Electric bicycles are playing an increasingly important role in urban transportation. However, with their widespread adoption, the issue of recycling used power batteries has become increasingly prominent. The improper handling of these batteries, particularly lead-acid batteries, can cause severe environmental pollution and represents a significant waste of recyclable resources. The challenge of battery recycling is not only a matter of environmental protection and sustainable resource utilization but also involves economic benefits, social responsibility, and the effectiveness of government policies. Therefore, researching the impact of different forms of government subsidies on the recycling of used electric bicycle batteries is of great importance.
The electric bicycle industry has been developing in China for many years, leading to an exponential increase in the number of used power batteries. Lead-acid batteries, valued for their operational reliability, abundant resource availability, low manufacturing costs, ability to support high-current charging and discharging, and relatively mature recycling technology, are widely used in the electric bicycle industry [1]. Currently, the majority of retired power batteries on the market are lead-acid batteries. Due to the steady development of both the electric bicycle and lead-acid battery industries, the volume of retired lead-acid batteries in China each year is extremely high, representing a significant resource for secondary lead production [2]. Used lead-acid batteries contain heavy metals and hazardous substances, such as lead and sulfuric acid. If not handled properly, these components can cause persistent and irreversible pollution to soil, water sources, and human health, making their effective recycling and utilization essential [3].
Due to the specific characteristics of used lead-acid batteries, the government has introduced relevant policies to support and ensure the establishment of legal and compliant recycling channels. However, due to factors such as the high recycling value of used lead-acid batteries, relatively simple disassembly techniques, low recycling prices, and limited convenience of formal recycling channels, some battery holders still discard used batteries indiscriminately or sell them to informal recyclers, posing potential environmental risks. Based on this, this paper introduces government subsidies into the used battery recycling supply chain and establishes a Stackelberg game model involving various nodes of the recycling supply chain and the government. The study then focuses on analyzing the impact of different subsidy methods on the quantity of battery recycling, recycling prices, and the utility of stakeholders in the recycling supply chain. Although the existing literature has extensively explored government subsidies in reverse supply chains, most research exhibits the following limitations: (a) When comparing different subsidy targets (e.g., consumers, recyclers), key parameters (such as environmental governance costs Ce and administrative costs mi) are treated as exogenously given, failing to reveal the intrinsic threshold conditions for subsidies to take effect; (b) The optimization objectives often focus on a single dimension (e.g., maximizing recycling volume or corporate profits), lacking a joint optimization of multiple objectives such as government expenditure, environmental utility, and recycler profits; (c) The model assumptions are predominantly based on high-value, centralized recycling scenarios such as electric vehicle lithium-ion batteries or large household appliances, failing to capture the distinctive characteristics of low-value, highly fragmented markets like lead-acid batteries in electric bicycles.
In response to the aforementioned limitations, the novelty of this paper is reflected in: (1) It derives a precise critical condition for the effectiveness of government subsidy policies ( C e > a b + M + m i ), providing a clear decision threshold for government intervention rather than merely qualitative policy recommendations. (2) It constructs a multi-objective Stackelberg game framework aimed at simultaneously optimizing recycling volume, recycler profit, battery holder utility, and total government expenditure, and analyzes the potential of different subsidy approaches in achieving Pareto improvements. This represents a substantial expansion of single-objective optimization models at the theoretical level. (3) Targeting the characteristics of the lead-acid battery recycling market for electric bicycles, the model in this paper incorporates unique assumptions, such as the extremely high dispersion of battery holders and intense competition from informal recycling channels. These elements render the research conclusions highly explanatory and policy-relevant for this specific field. (4) At the practical level, the findings of this study provide a precise decision-making basis for formulating government subsidy policies. For instance, the results indicate that directly subsidizing recyclers, rather than the dispersed battery holders, can more effectively increase the recycling price and volume while reducing government administrative costs. This offers a clear, practical pathway for the government to optimize the efficiency of fiscal fund usage and establish a ‘whitelist’ subsidy mechanism centered on recycling enterprises. For recycling enterprises, the model reveals that enhancing their profitability by improving technology is a key strategy for securing higher government subsidies and achieving market expansion.
The structure of this paper is as follows: Section 2 provides a review of relevant literature. Section 3 describes the basic problem, notation definitions, and model assumptions. Section 4 presents the game theory model and its results. Section 5 discusses the equilibrium outcomes of the model. Section 6 offers the results and analysis of numerical simulations. Section 7 concludes with research findings, management implications, and suggestions for future research directions.

2. Literature Review

This paper primarily involves literature in two areas: the current status of waste electrical and electronic equipment (WEEE) recycling, and reverse supply chains under government intervention.

2.1. Current Status of Waste Electrical and Electronic Equipment (WEEE) Recycling

Given the similarities between the recycling processes of used power batteries and waste electrical and electronic equipment (WEEE), this paper draws on relevant studies concerning WEEE recycling, which provide valuable references. Zhang Yan summarized the laws, regulations, and their roles related to WEEE recycling in China, pointing out that although relevant e-waste management systems exist in China, issues such as unclear responsible entities, ineffective implementation of disposal policies, and disorderly recycling processes remain. To address these challenges, it was suggested to establish economic incentives, information disclosure mechanisms, and supervision and penalty systems to improve China’s WEEE-related laws and regulations [4]. Li et al. [5] systematically analyzed the harm of e-waste to human health and the environment, noting that China’s e-waste recycling system is still underdeveloped. They proposed not only controlling the generation of e-waste at the source by raising public environmental awareness and improving regulations but also strengthening research on WEEE reuse and encouraging manufacturers to develop green products. Deng et al. [6] examined the current state of WEEE recycling systems in China and recommended enhancing market supervision, encouraging producer take-back programs, establishing green recycling rate indicators, and raising public environmental awareness to improve the national WEEE recycling system. Cao et al. [7] based on the status of e-waste recycling in China, proposed that the government, enterprises, and consumers should collaborate to promote effective WEEE treatment. They suggested that the government formulate feasible laws and regulations to incentivize producers to save resources and protect the environment through the use of eco-friendly materials, eco-design, and advanced technologies. Jin et al. [8] analyzed the status of WEEE recycling in China, identified existing problems, and introduced advanced international experiences. They emphasized that the recycling of e-waste requires the participation of the government, producers, retailers, and the public, and recommended introducing third-party credit evaluation platforms for supervision, collectively forming a national WEEE recycling and treatment system. Hu Yuan et al. [9] reviewed laws and regulations related to e-waste recycling in China and proposed improvements in legislation, responsibility clarification, government incentives and supervision, and public participation to enhance e-waste governance and promote resource recovery. Liu et al. [10] pointed out that the recycling rate of WEEE in China remains low, and improper disposal poses serious risks to the ecological environment and human health. They recommended that the government take measures to standardize e-waste recycling, such as establishing sound regulations, promoting new technologies, and raising public environmental awareness. Wu Di [11], from a legal perspective, proposed the following suggestions for China’s e-waste recycling industry: first, extend the scope of extended producer responsibility to include retailers, consumers, and recycling agencies; second, innovate government incentive measures and strengthen support for specialized recycling enterprises. Triana Wulandari et al. [12] have further confirmed the significant economic value of metals such as cobalt and nickel contained in batteries, along with the extremely large quantities of batteries produced to date and the substantial volume projected to be manufactured within the next 10 years. CSE discussed the design of efficient and long-life electrocatalysts [13]. Xu et al. [14] pointed out that the treatment of solid waste can lead to significant carbon and nitrogen leakage, adversely affecting air quality, aquatic ecosystems, and climate, highlighting the critical role of solid waste management in promoting a circular economy and achieving sustainable development.
Previous studies indicate that government reward-penalty mechanisms can effectively incentivize e-waste recycling. Therefore, this paper introduces government subsidies into the used battery recycling supply chain and calculates the optimal solutions.

2.2. Government Intervention in Reverse Supply Chains

In the field of reverse supply chain research, many scholars have investigated the effectiveness of government subsidy policies by focusing on the target of subsidies. Qi et al. [15] explored optimal government subsidy decisions and pricing strategies for waste tire recycling, demonstrating that whether the government should subsidize consumers or online recycling platforms depends on the subsidy coefficient. Wang et al. [16] studying waste electronic equipment, found that the target of government subsidies should be determined based on the remanufacturing utilization rate. When the utilization rate is high, subsidies should be directed to remanufacturers, whereas when it is low, retailers and recyclers should be subsidized. Heydari et al. [17] examined reverse supply chains for end-of-life products and concluded that subsidy incentives provided by the government to manufacturers are more effective than those given to retailers. Yang et al. [18] investigated optimal subsidy models for waste cooking oil under information asymmetry and found that, due to higher recycling volumes and profits, the government should subsidize bio enterprises rather than recyclers. Lu Guangxi [19] analyzed scenarios in which the government subsidizes manufacturing enterprises, retail enterprises, and third-party recycling enterprises separately. The study revealed that subsidizing retail enterprises leads to optimal recycling rates, recycling prices, and supply chain profits. Fu Zhiwei [20] categorized subsidy targets into four types: consumers, recycling enterprises, manufacturing enterprises, and both recycling and manufacturing enterprises. Through case studies, it was verified that government subsidies should be provided to manufacturing enterprises. Jiang Xiaoyin [21] focused on the reverse supply chain for food waste and concluded that subsidizing catering enterprises is more effective than subsidizing consumers. Mao Siyuan [22] constructed a two-tier supply chain consisting of manufacturers and recyclers and found that higher profit levels for supply chain entities are achieved when subsidies are provided to recyclers. Chen Jiaqi et al. [23] discovered that the effectiveness of subsidies is related to the intensity of government support. For non-scale farming households, their large number and scattered distribution lead to high subsidy costs; thus, providing subsidies directly to manufacturers yields better results than subsidizing the farmers. Xiao Min et al. [24] concludes that government subsidies, coupled with battery information sharing, effectively steer retired power batteries toward formal recycling channels and suppress the expansion of informal recyclers. Furthermore, subsidies help compensate for the profit reductions faced by formal recyclers when implementing information-sharing practices. In summary, while existing studies have extensively investigated the role of government subsidies in reverse supply chains, most are either confined to specific product categories (e.g., waste electrical appliances or kitchen waste) or predominantly focus on comparing subsidy effects on a single type of stakeholder (such as manufacturers or consumers). A systematic comparison of the impacts of different subsidy approaches (subsidizing holders vs. subsidizing recyclers) on multiple objectives within the recycling supply chain—including volume, price, multi-stakeholder utility, and government expenditure—represents a significant research gap for the specific context of waste electric bicycle batteries, a sector characterized by its vast scale and decentralized recycling channels. This study aims to address this identified gap.

2.3. Research Gap

Based on the review and analysis of the aforementioned literature, we identified the studies highly relevant to this paper, as shown in Table 1, and examined the existing research gaps.

3. Basic Model

3.1. Problem Description

The key distinction between this study and existing research on electric vehicle power batteries (EV/LIB) or waste electrical and electronic equipment (WEEE) recycling stems from the unique characteristics of the lead-acid battery recycling market for electric bicycles, which directly shape the specific assumptions of our model: (1) EV/LIB/WEEE: High unit value creates strong economic incentives for recycling, giving formal recyclers inherent motivation. Holders are often enterprises or institutions, making the sources relatively concentrated. (2) Lead-acid batteries for electric bicycles: Extremely low unit value results in insufficient economic motivation for formal recycling. This leads our model to place greater emphasis on the external incentivizing role of government subsidies and necessitates consideration of intense competition from informal recycling channels. Moreover, holders are hundreds of millions of individual users, making them highly dispersed, with a significant number of batteries being left idle or disposed of improperly.
It is precisely these unique market characteristics that prevent the direct application of EV/LIB or WEEE models designed for high-value, centralized recycling scenarios. The parameter settings of the model constructed in this study are specifically designed to more accurately characterize the particular issues of lead-acid battery recycling for electric bicycles, thereby ensuring the relevance and practical applicability of the research findings.
This paper considers a reverse supply chain for electric bicycle battery recycling, consisting of battery holders, recyclers, and remanufacturers. Here, the recycler acts as an intermediary between battery holders and remanufacturers, facilitating the recycling process. When collecting decommissioned batteries, the recycler conducts inspections to assess their condition. Batteries that meet the criteria for echelon utilization are sold to the secondary use market. If a battery’s state of health is too low or it is severely damaged, it proceeds directly to the material recovery stage and is sold to remanufacturers. This study assumes that all batteries after echelon utilization can be fully collected and their raw materials extracted. The structure of the battery recycling model is illustrated in Figure 1.
In this model, the decision sequence follows a Stackelberg game. Specifically, in this study, the government acts as the dominant leader and takes the initiative in determining the subsidy price to minimize its expenditure. Recyclers and battery holders act as followers within the Stackelberg framework, making their respective decisions on the recycling price and the quantity sold, seeking to optimize their own utility within the constraints and opportunities presented by the government’s prior choices.

3.2. Notations and Assumptions

The parameters and variables used in the model, along with their interpretations, are summarized in Table 2.
The main assumptions of this study are as follows:
(1)
Information is symmetric among supply chain members, and all participants are fully rational and make decisions with the goal of maximizing their own benefits.
(2)
Recyclers will choose echelon utilization only when the revenue from it exceeds the income from selling the batteries as recycled materials and will engage in recycling only when the recycling revenue is greater than the recycling cost. This is expressed as [inequality conditions].
(3)
The environmental pollution caused by unrecycled or improperly handled waste batteries is borne by the government.

4. Game-Theoretic Decision Model for the Battery Recycling Supply Chain

4.1. Game Analysis in the Absence of Government Subsidies

Under this scenario, the recycler purchases used batteries from battery holders and then sells them to remanufacturers or the echelon utilization market. The battery holders determine the quantity of used batteries to sell, denoted as Q 0 , based on the recycling price p 0 offered by the recycler. The relationship between the recycling quantity Q 0 and the recycling price p 0 is assumed to be linear, representing the supply function battery holders, as shown in Equation (1):
Q 0 = a + b p 0
Since some battery holders are willing to provide used batteries to the recycler free of charge, it follows that a > 0. The parameter b represents the intensity of battery holders’ willingness to sell. A larger value of b indicates a stronger willingness to sell.
In practice, the cost for battery holders to sell used batteries is relatively low. In this study, this cost is considered negligible and is assumed to be zero. The utility of battery holders consists of two components: the profit from selling used batteries and the environmental improvement utility. Selling used batteries to recyclers can effectively mitigate local environmental pollution caused by indiscriminate disposal or improper handling. The utility function of the battery holders, which combines economic returns and environmental benefits, is given by Equation (2):
U 0 = ( p 0 Q 0 ) α Q 0 1 α = p 0 α Q 0
The recycler’s objective is to maximize profit, and its profit function is given by:
π 0 = v h θ + f 1 θ w p 0 Q 0
The government bears the cost associated with pollution caused by the indiscriminate disposal and improper handling of waste batteries. Its expenditure function is given by:
S 0 = Q max Q 0 C e
Under this scenario, the game between the recycler and the battery holders constitutes a complete-information static game. Using the backward induction method to derive the equilibrium decisions, the following function can be obtained from π 0 p 0 = 0 :
p 0 * = M b a 2 b
Q 0 * = M b + a 2
To enhance the readability of the results, this paper denotes M = v h f θ + f w , where f and v represent the selling price and the unit recycling cost of waste batteries, respectively. Thus, M can represent the profit level of the recycler. A higher value of M indicates a stronger profitability of the recycler.
From Equations (5) and (6), the optimal equilibrium outcomes for the battery holders, the recycler, and the government under the scenario without government subsidies can be derived as follows:
U 0 * = [ ( M b a ) ( M b + a 2 ) 2 b ] α ( M b + a 2 ) 1 α
π 0 * = ( M b + a ) 2 4 b
S 0 * = ( Q max M b + a 2 ) C e
Proposition 1.
In the absence of government subsidies, as the sensitivity of battery holders to the recycling price increases, both the recycling price and the quantity of recycled batteries increase ( p 0 * / b > 0 , Q 0 * / b > 0 ).
Proposition 1 indicates that when battery holders are sufficiently sensitive to the recycling price, an increase in the price leads to a significant rise in the quantity of recycled batteries. The recycler can recover more used batteries by raising the recycling price. The price sensitivity coefficient b essentially reflects the comprehensive level of market maturity and residents’ environmental awareness. A higher b value suggests that battery holders are predominantly “price-sensitive,” meaning their decision to participate in recycling is primarily driven by economic incentives, and the price elasticity of the recycled quantity is relatively high. In this case, the recycler possesses an effective market adjustment tool: by appropriately increasing the recycling price p , the recycler can significantly stimulate marginal supply, attracting battery holders who were initially hesitant due to the recycling benefit being lower than their psychological threshold or opportunity cost (such as the benefits of self-dismantling, selling to informal channels, or the convenience of discarding). This enables a rapid increase in the recycled quantity Q .
For recycling enterprises, Proposition 1 reveals a precise pricing strategy lever. Enterprises can estimate the b value in different regions through market research (such as small-scale price testing), and then formulate differentiated dynamic pricing strategies to seek the optimal balance between profit maximization and recycling volume targets. For the government, in the initial stage of market-oriented recycling, it is important to cultivate residents’ habit of “profiting from recycling”. This itself can gradually push up the b value, laying the foundation for market mechanisms to function effectively.
The mechanism described in this proposition serves as the market precondition for the subsequent analysis of the government subsidy policy’s effectiveness. It is precisely because of price sensitivity that the government’s intervention through subsidies to alter price signals can ultimately influence the recycling volume.
Proposition 2.
In this scenario, as the unit revenue from echelon utilization or the unit revenue from recycling waste batteries increases, the recycling price offered by the recycler rises, and the quantity recycled also increases ( p 0 * / v > 0 , Q 0 * / v > 0 , p 0 * / M > 0 , Q 0 * / M > 0 ). Meanwhile, the utility of battery holders improves, the profit of the recycler increases, and government expenditure decreases ( U 0 * / v > 0 , π 0 * / v > 0 , S 0 * / v < 0 ).
An increase in the unit revenue from echelon utilization v and the unit revenue from recycling materials resale f directly enhances the core profitability of the recycler (i.e., the value of M rises). The expansion of profit margins endows the recycler with two key capabilities: first, an improved risk tolerance, enabling it to raise the recycling price p to compete for resources without excessive concern about cost fluctuations; and second, market expansion capacity, as higher offers can effectively divert resources from informal recycling channels.
Proposition 2 indicates that recyclers are incentivized by the increase in revenue from recycling waste batteries. This is because the additional unit revenue from echelon utilization or the rise in unit net income compensates for the loss resulting from the increase in recycling prices, allowing recyclers to set higher recycling prices to attract battery holders. The higher recycling price leads to a significant increase in the quantity of batteries recycled. The increase in the recycling volume of waste batteries enhances both the economic benefits and the environmental utility for battery holders, while reducing the government’s expenditure on addressing pollution caused by improper disposal. Therefore, the government and the industry should vigorously support and invest in R&D in two key areas: (1) technologies related to echelon utilization, such as rapid testing and repurposing-integration technologies, to improve the value of v ; (2) green extraction technologies to increase metal recovery rates and purity, thereby enhancing the value of f and reducing environmental costs. This represents a long-term mechanism to fundamentally improve the economic efficiency and competitiveness of the entire recycling industry.
Proposition 2 points out the fundamental path to improve the efficiency of the recycling industry. The increase in profits from cascading utilization and material recycling directly depends on technological progress. This forms a complement to the “market-side” strategy of price incentives in Proposition 1, solidifying the economic feasibility of recycling operations from the “technology side”. A high M value means that recyclers have stronger internal capabilities, making them more resilient when facing cost fluctuations or market competition. This enhancement of intrinsic profitability gives recyclers the potential for sustainable operation even without subsidies. This proposition strongly implies that, compared to subsidizing recycling activities, government policy should focus on supporting R&D and technological innovation. For example, providing additional deductions for R&D expenses or tax incentives to enterprises that make breakthrough in cascading utilization or green recycling technologies may yield better long-term effects and more efficient use of fiscal funds than direct operational subsidies. The government can establish a tiered support policy based on the technological level and M-value potential of enterprises. By focusing support on enterprises with strong technological innovation capabilities and large potential for M-value improvement, the industry can be guided toward high-quality development.

4.2. Game-Theoretic Analysis Under a Recycling Reward Subsidy Targeting Battery Holders

Building upon the scenario without subsidies, in this case, the government provides a reward subsidy to battery holders for recycling used batteries to reduce environmental pollution caused by improper disposal, encouraging their participation in the recycling process. The subsidy per unit of recycled batteries is denoted as ϕ 1 . The decision-making process in the reverse supply chain remains consistent with the scenario without subsidies. Under this policy, the profit structure of the recycler remains unchanged compared to the no-subsidy case. However, unlike the no-subsidy scenario, the reward subsidy increases the utility of battery holders and raises government expenditure. The supply function for used batteries in this case is as follows:
Q 1 = a + b ( p 1 + ϕ 1 )
Based on the principles of Stackelberg game theory, the government is regarded as the leader, the recycler as the sub-leader, and the battery holders as followers. The equilibrium solution of the sequential game is obtained through backward induction. Battery holders determine the quantity of batteries sold Q 1 based on the price offered by the recycler p 1 and the government subsidy ϕ 1 . The recycler sets the price p 1 to maximize profit based on the quantity sold by battery holders Q 1 . The government sets the subsidy level ϕ 1 to minimize total fiscal expenditure according to its financial constraints. From Equation (10), the utility function of battery holders, the profit function of the recycler, and the government expenditure are, respectively, as follows:
U 1 = ( p 1 + ϕ 1 ) α a + b p 1 + ϕ 1 1 α
π 1 = v h θ + f 1 θ w p 1 Q 1
S 1 = ( Q max Q 1 ) C e + ( ϕ 1 + m 1 ) Q 1
The optimal strategy quantities under this scenario are as follows, for details, refer to Appendix A.
p 1 * = 3 ( v h f ) θ + 3 f 3 w C e + m 1 b a 4 b
Q 1 * = ( v h f ) θ + f w m 1 + C e b + a 4
ϕ 1 = ( C e M m 1 ) b a 2 b
The objective function values for the battery holders, the recycler, and the government under this scenario are, respectively, as follows:
U 1 * = b ( M + C e m 1 ) 3 a 4 b α ( b M + b C e b m 1 + a ) 4
π 1 * = ( b M + b C e b m 1 + a ) 2 16 b
S 1 * = 2 b C e 4 Q max M b a b C e + b m 1 + b 2 C e 2 ( M b + a b m 1 ) 2 8 b
Proposition 3.
Unlike the no-subsidy scenario, the government’s reward subsidy ϕ 1 to battery holders increases the quantity of battery recycling Q 1 * , the utility of battery holders U 1 * , and the profit of the recycler π 1 * .
The subsidy ϕ 1 provided by the government to battery holders effectively increases their overall income from selling used batteries ( p 1 + ϕ 1 ). This generates a strong income effect, significantly enhancing their willingness to sell and shifting the supply curve upward and to the right. Consequently, at the same recycling price p 1 offered by the recycler, the recycling quantity Q 1 will be higher than in the no-subsidy scenario. The increase in recycling volume expands the business scale for the recycler. Although unit profit may change due to competition or government regulation, the total profit generally increases. For battery holders, their utility U 1 improves more significantly due to the dual effects of economic gains and environmental benefits.
According to Equation (13), after the government provides the subsidy, its expenditure is mainly related to the quantity of batteries recycled and the subsidy intensity. Additionally, the costs associated with subsidy distribution, government supervision, and other aspects of the subsidy process m 1 will also affect government expenditure. The effectiveness of this subsidy method highly depends on a precise subsidy distribution and supervision system. Ensuring that the subsidy is accurately and efficiently delivered to the actual battery holders, while preventing recyclers from intercepting or falsely claiming subsidies, or avoiding “subsidy fraud,” requires high execution and supervision costs (i.e., a high value of m 1 ). This may, to some extent, undermine the policy’s effectiveness.
This subsidy approach is theoretically effective, but may face high transaction costs and “moral hazard” (such as false reporting) in practice. This implies that even if its theoretical model shows promising results, its net benefits (theoretical benefits—implementation costs) may be lower than those of alternative approaches.

4.3. Game-Theoretic Analysis Under a Cost Subsidy Targeting Battery Recyclers

Under this subsidy scenario, the government provides funds to battery recyclers as a cost subsidy to encourage the acquisition of used batteries, with the subsidy per unit of recycled batteries denoted as ϕ 2 .
In this case, the decision-making process within the battery recycling supply chain remains the same as under the reward subsidy scenario. However, unlike the reward subsidy mechanism, the government subsidy does not directly affect the quantity of batteries recycled. Instead, it aims to indirectly increase the recycling volume by enhancing the profitability of battery recyclers through the subsidy.
The functions of the recycling supply chain under this scenario are as follows:
Q 2 = a + b p 2
U 2 = ( p 2 Q 2 ) α Q 2 1 α
π 2 = [ ( v h ) θ + f ( 1 θ ) w p 2 + ϕ 2 ] Q 2
S 2 = ( Q max Q 2 ) C e + ( ϕ 2 + m 2 ) Q 2
In Equation (23), m 2 represents the cost coefficient when the government provides subsidies to waste battery recyclers. Based on the profit expression of the recycler and the government expenditure expression, the optimal sales volume of battery holders, the optimal selling price of the recycler, and the subsidy amount under the recycler subsidy scenario can be derived as follows:
p 2 * = ( v h f ) θ + f w C e + m 2 b 3 a 4 b
Q 2 * = ( v h f ) θ + f w m 2 + C e b + a 4
ϕ 2 = ( C e M m 2 ) b a 2 b
At this point, the optimal objective functions for the battery holders, battery recyclers, and the government are, respectively, given by:
U 2 * = b ( M + C e m 2 ) 3 a 4 b α ( b M + b C e b m 2 + a ) 4
π 2 * = ( b M + b C e b m 2 + a ) 2 16 b
S 2 * = 2 b C e 4 Q max M b a b C e + b m 2 + b 2 C e 2 ( M b + a b m 2 ) 2 8 b
In this scenario, compared with the reward subsidy provided to battery holders, the government subsidy under the cost subsidy model similarly increases the quantity of recycled waste batteries, the profit of recyclers, and the utility of battery holders. This indicates that both subsidy approaches serve to enhance the recycling volume of waste batteries and improve the profitability of the recycling supply chain, thereby contributing to the optimization of environmental outcomes.

5. Model Discussion

This section examines the impact of government subsidies on the battery recycling supply chain by comparing the recycling quantities and prices under three scenarios: no subsidy, subsidizing battery holders, and subsidizing recyclers. Furthermore, by analyzing the changes in utility and profit between the scenarios of subsidizing battery holders and subsidizing recyclers, the optimal choices for each stakeholder are derived.
Proposition 4.
When C e > a b + M + m i , then Q i * > Q 0 * .
Proposition 4 indicates that the government subsidy policy becomes effective only when the environmental governance cost C e exceeds a critical threshold a b + M + m i . This threshold is jointly determined by the recycler’s profitability M , the supply characteristics of battery holders a b , and the administrative cost during subsidy implementation m i .
When C e is below the critical value, the environmental governance cost remains relatively low, and spontaneous market recycling is relatively sufficient, providing the government little incentive to introduce subsidies. However, when C e exceeds the critical threshold, environmental pressures intensify, and the market’s spontaneous equilibrium can no longer meet environmental requirements. In this case, government subsidies become a necessary intervention.
When the government subsidizes battery holders, the subsidy ϕ 1 directly increases the revenue that battery holders obtain from selling used batteries, stimulating a rightward shift in the supply curve and raising the recycling volume. When the government provides subsidies to recyclers, the subsidy ϕ 2 reduces the recycling cost for recyclers, thereby enabling them to increase their target acquisition volume and meet environmental targets. Both subsidy methods contribute to an increase in the quantity of recycled waste batteries.
Proposition 5.
When C e > a b + M + m i , p 1 * < p 0 * , p 2 * > p 0 * .
When C e exceeds the critical value, the acquisition prices under the two subsidy methods exhibit opposite trends. When the government subsidizes battery holders, the subsidy ϕ 1 is provided directly to consumers, effectively reducing the actual cost for recyclers to “purchase” used batteries. During decision-making, recyclers may find that even if they slightly reduce the nominal recycling price p 1 , battery holders—supported by the subsidy—still receive considerable comprehensive benefits and maintain strong willingness to supply. Consequently, recyclers are motivated to lower p 1 to preserve their own profits, resulting in the phenomenon of “subsidy benefits being partially absorbed by recyclers.” Moreover, as battery recyclers share the government’s environmental pressure (implicit cost b C e ), they compensate for their own loss of benefits by suppressing the acquisition price. The government subsidy ϕ 1 to battery holders reduces the need for manufacturers to raise prices to maintain incentives, leading to a lower acquisition price compared to the no-subsidy scenario.
In contrast, when the government subsidizes recyclers, the subsidy ϕ 2 directly reduces the net recycling cost per unit for recyclers, effectively increasing the gross profit of each transaction. To capture more market share and recycling volume to maximize profits, recyclers have a strong incentive to return this benefit to the market by raising the recycling price p 2 , thereby attracting more battery holders. This increases the nominal recycling price and sends a clearer market incentive signal. The injection of government subsidy ϕ 2 lowers the marginal cost for recyclers, thereby supporting their strategy to adopt higher prices to expand recycling volume. In this case, the battery recycling price is higher than that in the no-subsidy scenario.
Propositions 5 and 6 establish a dynamic decision-making framework from the government. By continuously monitoring regional environment costs, the maturity of the recycling market, and the average profitability of recycling enterprises, the government can effectively determine the necessity of initiating subsidies and the optimal timing for adjusting subsidy intensity.
Proposition 6.
When m 1 > m 2 , Q 1 * < Q 2 * , π 1 * < π 2 * , S 1 * > S 2 * .
In the reverse supply chain for waste battery recycling, recyclers are typically regional enterprises with fixed production facilities and well-established financial systems. This allows the government to track subsidy flows through targeted audits, significantly reducing inspection costs. Conversely, directly subsidizing the geographically dispersed population of battery holders would increase the government’s distribution losses.
Opting for cost subsidies targeted at battery recyclers not only enhances recyclers’ profits and increases the quantity and price of battery recycling but also leverages economies of scale to reduce the administrative costs associated with subsidy distribution. This approach achieves a Pareto improvement by simultaneously increasing recycling volumes and prices while reducing government expenditure. It is recommended that the government prioritize volume-based subsidies to recyclers, motivated by both economic efficiency and policy feasibility. The government could establish a “whitelist of compliant recycling enterprises” and provide fixed subsidies per ton or unit based on their verified recycling volumes. This would not only incentivize recyclers but also foster competition among enterprises, translating a portion of the subsidies into higher offers to residents.
The research conclusions strongly support subsidizing recyclers, not only because it can increase recycling volume and price, but also due to its exceptional policy efficiency and feasibility. The number of manufacturing enterprises is limited, and their financial practices are standardized, resulting in much lower costs for government supervision and subsidy distribution compared to dealing with a vast number of dispersed battery holders, which reduces transaction costs. Furthermore, this subsidy method aligns the government’s object (increase formal recycling rates) with recycler’s profit maximization goal (by raising prices to expend recycling volume), reducing gaming and distortions in policy implementation.

6. Numerical Analysis

This section aims to verify and conduct sensitivity analysis on the propositions and equilibrium results derived from the theoretical model through numerical simulation. According to Zhang’s research, the price elasticity coefficient is estimated to be between 0.8 and 1.2. This study adopts the median value and derives it based on a linear demand function. The environmental treatment cost per ton of waste batteries ranges from 1500 to 1600 RMB. The collection and transportation costs, including labor, storage, and logistics, average between 90 and 100 RMB per ton. The environmental treatment cost per ton of waste batteries is 1500–1600 RMB. China has an estimated 350 million electric bicycles in use, with an annual scrappage rate of about 7.5% and an average battery weight of 7 kg per vehicle; he cascade utilization rate θ is set within a range of [0.1, 0.9], covering scenarios from technologically immature to highly mature, ensuring the universal significance of the analysis results. A computational program fully corresponding to the theoretical model was built using MATLAB R2023B. By inputting parameters under different scenarios (no subsidy, subsidizing holders, subsidizing recyclers), the program can calculate equilibrium outcomes such as the optimal recycling price, recycling volume, and utility of each agent.
According to Xiao’s research [25,26], China’s electric bicycle fleet totals approximately 350 million units, with an annual retirement rate of around 7.5% and an average battery weight of 7 kg per vehicle. This results in an annual scrappage volume of about 1.83 million tons. However, in the model, Q max represents the regional inventory, assumed to be 1.4% of the annual scrappage volume. The value of batteries undergoing echelon utilization is about 30–40% of that of new batteries, with the cost of new batteries being approximately 4000 RMB per ton. The recycling price of materials from waste lead-acid batteries is 820 RMB per ton. The proportion of free recycling for electric bicycle batteries accounts for about 10–15% of the annual recycling volume, and the average annual recycling volume in China is 2000 tons per region.
The core logic of the simulations is to observe whether the numerical results are consistent with the direction and relationships predicted by the theoretical propositions. For example, Proposition 2 indicates that an improvement in recycler profitability M (which is positively correlated with θ ) will lead to enhancements in recycling volume and the benefits of all parties. Our simulation will test whether, as θ varies within the set range, Q * , U * , π * indeed show an increasing trend, while government expenditure S * exhibits a decreasing trend. Parameters used for the calculations are listed in Table 3.
To examine the impact of different parameters on the game equilibrium outcomes, we analyze the case of θ , assuming θ = 0.1 , 0.9 . Since the profitability level of the recycler M is positively correlated with θ , this analysis effectively explores the influence of the recycler’s profitability level M on the equilibrium results. Figure 1 shows the change in the utility of battery holders, Figure 2 shows the change in recycler profits, and Figure 3 shows the change in government expenditure.
As shown in Figure 2, with the increase in the echelon utilization ratio θ , the utility of battery holders and the profit level of recyclers increase significantly, while government expenditure decreases. When the echelon utilization ratio θ is relatively low or the recycler’s profitability M is insufficient, government subsidies can effectively enhance the utility of battery holders, increase recycler profits, and reduce government expenditure. Simulation results indicate that under the condition of constant recycler profitability, both the recycling price p 2 * and recycling volume Q 2 * under the scenario of subsidizing recyclers are significantly higher than those under no-subsidy and subsidizing-holders scenarios. This visually validates the conclusion of Proposition 4, demonstrating that subsidizing recyclers can transmit stronger price signals to the marker, thereby achieving higher efficiency, it also confirms the effectiveness of the price leverage mechanism stated in Proposition 1.
Simultaneously, as the echelon utilization ratio θ increases, the recycler’s profitability M = v h f θ + f w improves significantly. This is reflected not only in the recycler’s high-price strategy (e.g., p 2 * increasing by 12–18% compared to the no-subsidy scenario) to attract more waste batteries into formal recycling channels but also in the linear growth trend of the recycling volume Q 2 * with the rise in θ —when θ increases from 0.1 to 0.9, the recycling volume increases by 28.6%, validating the core conclusion in Proposition 2 that “an increase in the unit revenue from echelon utilization drives growth in recycling volume.” This virtuous cycle ultimately manifests as a synergistic improvement in three aspects: battery holders gain an additional 15–30% increase in utility due to higher recycling prices, recycler profits rise by over 27%, and government expenditure decreases by 23% due to the higher proportion of standardized recycling. This fully validates the core argument of this study that “subsidizing recyclers can achieve Pareto improvement.” Particularly under the technical condition of θ > 0.5, the environmental benefits of subsidizing recyclers are especially significant. Every 0.1-unit increase in θ reduces environmental governance costs by 6.5%, indicating that improving the echelon utilization ratio through technological upgrades, combined with targeted subsidies for recyclers, can effectively address the current market failures in waste battery recycling and achieve the triple goals of environmental protection, enterprise profitability, and fiscal savings.
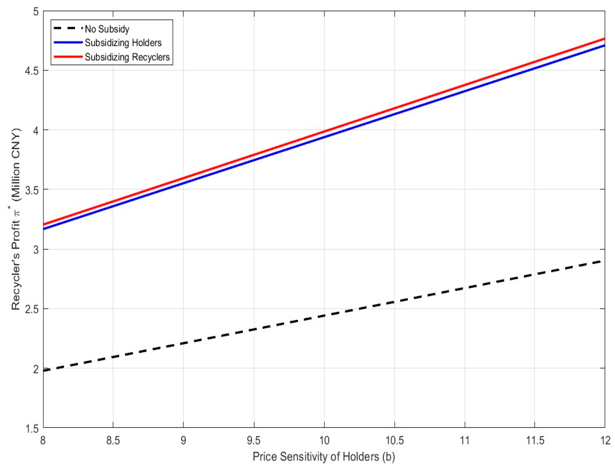
To ensure the reliability and generalizability of the research findings, this paper conducted a rigorous robustness analysis, focusing on the impact of changes in the key parameter—the price sensitivity of battery holders—on the model’s core output variables. This analysis systematically varied the values of parameter b and observed the response of recycler profit under three subsidy scenarios to verify the robustness of the main conclusions. The analysis is based on the game theory model established in the paper, with parameter values drawn from the literature and empirical data. The price sensitivity b was set to vary within the interval [8,12], a range covering reasonable scenarios from low to high market maturity.
The results of the robustness analysis clearly indicate that the model’s core conclusions remain highly stable within the reasonable fluctuation range of parameter b. As shown in Figure 3, the recycler’s profit under all three scenarios increases significantly with the increase in b, which confirms the assertions of Proposition 1 and Proposition 2: improving the price sensitivity of battery holders can effectively expand the recycling market and enhance the profitability of recyclers. The robustness analysis strengthens the core policy implication of this paper: subsidizing recyclers is the optimal strategy. This conclusion holds even when there is uncertainty in parameter b. The robustness analysis confirms that the conclusions of this paper’s model are insensitive to changes in key parameters, and the research findings are highly reliable and generalizable. Subsidizing recyclers can not only significantly increase recycler profits but also minimize government expenditure and maximize recycling volume under various market conditions, representing a robust and efficient policy choice.

7. Conclusions

The current waste battery recycling market exhibits several market failures, where recycling enterprises face high costs and narrow profit margins, while consumers lack sufficient incentives to actively return used batteries through formal recycling channels. To address this issue, this study proposes government subsidies for the waste battery recycling supply chain. Specifically, we develop supply chain models for two scenarios: subsidizing battery holders and subsidizing battery recyclers. Using game theory, we analyze the impact of different subsidy policies on the quantity and price of waste battery recycling. The main findings of this study are as follows:
  • When the profitability of battery recyclers improves, it significantly increases the recycling price and quantity of waste batteries while reducing government expenditure on environmental pollution. To promote the development of the waste battery recycling supply chain, recyclers should enhance their recycling and dismantling technologies to reduce costs.
  • Both subsidy approaches can effectively increase the profits of battery recyclers. By boosting the recycling volume of waste batteries, subsidies help reduce environmental pollution caused by improper disposal, thereby improving environmental quality and decreasing additional government expenditure on pollution management. Thus, government subsidies are crucial for the standardized development of the waste battery recycling industry.
  • By constructing and solving a game-theoretic model, this study derives the optimal subsidy amount that minimizes government expenditure. The effectiveness of subsidies depends on the subsidy intensity. Due to the dispersed nature of battery holders and the challenges in monitoring subsidy distribution, the cost of subsidizing them is higher than subsidizing recyclers. Therefore, directly subsidizing battery recyclers is a more efficient approach. The research results are consistent with the findings of Mao Siyuan [20] et al., indicating that subsidizing recyclers can lead to higher supply chain profit levels. This, from a different product context (electric bicycle batteries), reaffirms the effectiveness of subsidizing the production end (recyclers), enhancing the university of this conclusion.
This conclusion may be attributed to the unique structure of the e-bike battery recycling supply chain. This supply chain is characterized by highly fragmented battery holders and recyclers serving as pivotal hubs. Under such a structure, directly subsidizing recyclers significantly reduces policy implementation costs, an advantage that may outweigh efficiency differences observed in other research contexts. This suggests that the optimal subsidy policy must be closely aligned with the market structure of specific products.
4.
To prepare for future subsidy reductions and achieve sustainable operation, the government should actively promote environmental awareness campaigns to enhance public understanding of the environmental pollution caused by waste batteries. This will help reduce the difficulty of recycling waste batteries.
5.
Under specific conditions, subsidizing recyclers can achieve Pareto improvement. This means that through this policy, the government can enhance overall social welfare without harming interests of all parts (and even improving the interests of all parts). This provides policymakers with a ‘win-win’ or even ‘multi-win’ solution, greatly increasing the likelihood that the policy will be accepted by all parts and successfully implemented. It effectively aligns the government’s environmental goals, the recycler’s economic goals, and the battery holder’s utility goals.
The models discussed in this study are based on complete information sharing. Future research could explore scenarios involving information asymmetry and examine the impact of information-sharing levels on the waste battery recycling supply chain. Additionally, while this study assumes a linear supply curve for waste batteries, actual conditions are more complex, presenting another direction for future research.

Author Contributions

Conceptualization, W.C. and H.M.; methodology, W.C.; software, H.M.; validation, W.C.; formal analysis, H.M.; data curation, W.C.; writing—original draft preparation, H.M.; writing—review and editing, W.C.; visualization, W.C.; supervision, W.C. All authors have read and agreed to the published version of the manuscript.

Funding

This research received no external funding.

Institutional Review Board Statement

Not applicable.

Informed Consent Statement

Not applicable.

Data Availability Statement

The original contributions presented in this study are included in the article. Further inquiries can be directed to the corresponding author.

Conflicts of Interest

The authors declare no conflict of interest.

Abbreviation

The following abbreviation is used in this manuscript:
WEEEWaste Electrical and Electronic Equipment

Appendix A

The calculation process for the government’s incentive subsidies for battery holders is as follows:
According to π 1 p 1 = 0 , it can be obtained that:
p 1 * = [ ( v h f ) θ + f w ϕ ] b a 2 b
Q 1 * = a + b ( ( v h f ) θ + f w ϕ ) b a 2 b + ϕ
S 1 ϕ 1 = 0
According to, it can be obtained that:
ϕ 1 = ( C e M m 1 ) b a 2 b
Substituting the above values into the formula yields:
p 1 * = [ 3 ( v h f ) θ + 3 f 3 w C e + m 1 ] b a 4 b
Q 1 * = [ ( v h f ) θ + f w m 1 + C e ] b + a 4
The calculation method for the optimal recycling price and quantity under the scenario of government subsidies to recyclers is the same as the aforementioned computational process.
The MATLAB code for the numerical simulation is shown below.
(1)
Utility under Different M Values.
Sustainability 17 10204 i001
(2)
Profit under Different M Values.
Sustainability 17 10204 i002
(3)
Expenditure under Different M Values.
Sustainability 17 10204 i003
(4)
Profit under Different b Values.
Sustainability 17 10204 i004

References

  1. Zhang, Y.; Zhou, C.G.; Yang, J.; Xue, S.C.; Gao, H.L.; Yan, X.H.; Huo, Q.Y.; Wang, S.W.; Cao, Y.; Yan, J.; et al. Advances and challenges in improvement of the electrochemical performance for lead-acid batteries: A comprehensive review. J. Power Sources 2022, 520, 230800. [Google Scholar] [CrossRef]
  2. Hu, B.; Yang, F.; Chen, L. Research progress on recovery technology of lead paste from waste lead-acid batteries. Appl. Chem. Ind. 2019, 48, 2742–2748. [Google Scholar]
  3. Sun, Z.; Cao, H.; Zhang, X.; Lin, X.; Zheng, W.; Cao, G.; Sun, Y.; Zhang, Y. Spent lead-acid battery recycling in China—A review and sustainable analyses on mass flow of lead. Waste Manag. 2017, 64, 190–201. [Google Scholar] [CrossRef] [PubMed]
  4. Zhang, Y. Research on the Recycling Model of Waste Electrical and Electronic Equipment in China. Master’s Thesis, East China University of Political Science and Law, Shanghai, China, 2014. [Google Scholar]
  5. Li, X.X.; Zhang, Z.J.; Liu, Z.N.; Jin, H.H. Analysis of the current situation and countermeasures for waste electronic products recycling. J. China Mark. 2016, 1, 97–100. [Google Scholar]
  6. Deng, Y.; Sun, S.F.; Hu, N.; Song, X. Development status and suggestions for the waste electrical and electronic equipment recycling system in China. J. Environ. Sci. Manag. 2016, 41, 40–43. [Google Scholar]
  7. Cao, J.; Chen, Y.; Shi, B.; Lu, B.; Zhang, X.; Ye, X.; Zhai, G.; Zhu, C.; Zhou, G. WEEE recycling in Zhejiang Province, China: Generation, treatment, and public awareness. J. Clean. Prod. 2016, 127, 147. [Google Scholar] [CrossRef]
  8. Jin, W.; Han, C.Y.; Zhou, S.Y. Current situation and innovative models of e-waste recycling in China. J. Commerce. Econ. 2018, 23, 181–184. [Google Scholar]
  9. Hu, Y.; Ge, C. Legal regulation of e-waste recycling and treatment: Reflections based on cases. J. Shanghai Univ. Polit. Sci. Law (Rule Law Forum) 2017, 32, 105–114. [Google Scholar]
  10. Liu, J.; Bai, H.; Liang, H.; Wang, Y.; Xu, H. How to recycle the small waste household appliances in China? A revenue-expenditure analysis. Resour. Conserv. Recycl. 2018, 137, 15–20. [Google Scholar] [CrossRef]
  11. Wu, D. Research on the Legal System of Household Appliance Recycling Based on Extended Producer Responsibility. Ph.D. Thesis, China University of Geosciences (Beijing), Beijing, China, 2019. [Google Scholar]
  12. Wulandari, T.; Fawcett, D.; Majumder, S. From liquid to solid-state batteries: Ion-conduction and cell design. J. Battery Energy 2023, 2, 20230030. [Google Scholar] [CrossRef]
  13. Chinese Society of Electrochemistry (CSE). The Top Ten Scientific Questions in Electrochemistry. J. Electrochem. 2024, 30, 2024121. [Google Scholar] [CrossRef]
  14. Xu, X.; Zhan, J.; Chen, T. Managing solid waste to co-control carbon and nitrogen leakage in China. J. Resour. Conserv. Recycl. 2026, 225, 108603. [Google Scholar] [CrossRef]
  15. Qi, F.; Fan, Y.; Guan, G.; Zheng, J. Government subsidy decision-making for waste tire recycling under the coexistence of the retailer and the internet recycling platform. Discret. Dyn. Nat. Soc. 2022, 2022, 2717329. [Google Scholar] [CrossRef]
  16. Wang, Z.; Huo, J.; Duan, Y. Impact of government subsidies on pricing strategies in reverse supply chains of waste electrical and electronic equipment. Waste Manag. 2019, 95, 440–449. [Google Scholar] [CrossRef]
  17. Heydari, J.; Govindan, K.; Jafari, A. Reverse and closed loop supply chain coordination by government role. Transp. Res. Part D: Transp. Environ. 2017, 52, 379–398. [Google Scholar] [CrossRef]
  18. Yang, R.; Tang, W.; Zhang, J. Optimal subsidy and recycling mode of waste cooking oil under asymmetric information. J. Oper. Res. Soc. 2020, 73, 674–691. [Google Scholar] [CrossRef]
  19. Lu, G.X. Research on supply chain decision efficiency and social welfare of financial subsidies. Technol. Econ. Manag. Res. 2022, 9, 113–118. [Google Scholar]
  20. Fu, Z.W. Research on Reverse Supply Chain Decision of Waste Power Batteries Under Government Intervention Strategies. Ph.D. Thesis, China University of Mining and Technology, Xuzhou, China, 2020. [Google Scholar]
  21. Jiang, X.Y. Research on the Integration Mechanism of Reverse Supply Chain of Food Waste by Government Subsidies. Master’s Thesis, Shanghai Academy of Social Sciences, Shanghai, China, 2019. [Google Scholar]
  22. Mao, S.Y. Decision Mechanism of Reverse Supply Chain Based on Government Subsidy and Patent Protection. Master’s Thesis, Zhejiang University of Technology, Hangzhou, China, 2015. [Google Scholar]
  23. Chen, J.Q.; Zhao, Q.H.; Ji, J. Game analysis of raw material recycling and organic fertilizer production supply chain considering government subsidies. J. Oper. Res. Manag. Sci. 2022, 31, 1–6. [Google Scholar]
  24. Xiao, M.; Xu, C.; Xie, F. Research on the impact of information sharing and government subsidy on competitive power battery recycling. J. Clean. Prod. 2024, 456, 123456. [Google Scholar] [CrossRef]
  25. Zhang, W.; Zhu, L.; Liu, X.; Wang, W.; Song, H. Optimal strategies in electric vehicle battery closed-loop supply chain considering government subsidies and echelon utilization. J. Energy Storage 2024, 99, 113341. [Google Scholar] [CrossRef]
  26. Xiao, L.; Li, S.; Wang, Q.; Yang, L.; Song, B.; Jia, G. Application Status and Prospects of Lead-acid Batteries in China’s Electric Bicycle Industry. J. China Bicycl. 2022, 2, 85–89. [Google Scholar]
Figure 1. Decision-Making Flowchart for the Used Battery Recycling Reverse Supply Chain. Note: ϕ i represents government subsidies, p i represents recycling price set by the recycler, v represents unit value from echelon utilization of used batteries, f represents unit transfer price paid by the remanufacturer to the recycler, h represents unit recycling cost for Low-Density batteries after echelon use, θ represents proportion of batteries flowing into the echelon utilization market.
Figure 1. Decision-Making Flowchart for the Used Battery Recycling Reverse Supply Chain. Note: ϕ i represents government subsidies, p i represents recycling price set by the recycler, v represents unit value from echelon utilization of used batteries, f represents unit transfer price paid by the remanufacturer to the recycler, h represents unit recycling cost for Low-Density batteries after echelon use, θ represents proportion of batteries flowing into the echelon utilization market.
Sustainability 17 10204 g001
Figure 2. Utility, Profit, and Expenditure under Different M Values.
Figure 2. Utility, Profit, and Expenditure under Different M Values.
Sustainability 17 10204 g002
Figure 3. Maximum profit under Different b Values.
Figure 3. Maximum profit under Different b Values.
Sustainability 17 10204 g003
Table 1. Highly related studies.
Table 1. Highly related studies.
Research PaperResearch SubjectSubsidyBattery HolderGovernment ExpenditureEchelon Utilization
Zhang [5]E-waste
Cao [8]E-waste
Fu [18]Vehicle battery
Zhang [22]Vehicle battery
Xiao [23]E-bike battery
Our paperE-bike battery
Table 2. Notations and related descriptions.
Table 2. Notations and related descriptions.
NotationsDescription
a Quantity of used batteries voluntarily provided free of charge by battery holders
b Price Sensitivity of Battery Holders
Q i Volume of Waste Batteries Collected
p i Recycling Price Set by the Recycler
Q max Stock of Used Batteries
ϕ i Government Subsidies
θ Proportion of Batteries Flowing into the Echelon Utilization Market
f Unit Transfer Price Paid by the Remanufacturer to the Recycler
v Unit Value from Echelon Utilization of Used Batteries
w Unit Cost of Collecting Used Batteries
h Unit Recycling Cost for Low-Density Batteries After Echelon Use
C e Unit Environmental Remediation Cost per Waste Battery
m i Additional Outlays Incurred During the Subsidy Disbursement Process
Table 3. Parameter Settings.
Table 3. Parameter Settings.
NotationsValueunit
a 262ton
b 12
Q max 26,000ton
f 820CNY/ton
v 1500CNY/ton
w 98CNY/ton
h 200CNY/ton
C e 1542CNY/ton
m 1 20CNY
m 2 5CNY
Disclaimer/Publisher’s Note: The statements, opinions and data contained in all publications are solely those of the individual author(s) and contributor(s) and not of MDPI and/or the editor(s). MDPI and/or the editor(s) disclaim responsibility for any injury to people or property resulting from any ideas, methods, instructions or products referred to in the content.

Share and Cite

MDPI and ACS Style

Cao, W.; Mu, H. Research on the Impact of Government Subsidies on the Recycling of Electric Bicycle Batteries. Sustainability 2025, 17, 10204. https://doi.org/10.3390/su172210204

AMA Style

Cao W, Mu H. Research on the Impact of Government Subsidies on the Recycling of Electric Bicycle Batteries. Sustainability. 2025; 17(22):10204. https://doi.org/10.3390/su172210204

Chicago/Turabian Style

Cao, Wenbin, and Haoran Mu. 2025. "Research on the Impact of Government Subsidies on the Recycling of Electric Bicycle Batteries" Sustainability 17, no. 22: 10204. https://doi.org/10.3390/su172210204

APA Style

Cao, W., & Mu, H. (2025). Research on the Impact of Government Subsidies on the Recycling of Electric Bicycle Batteries. Sustainability, 17(22), 10204. https://doi.org/10.3390/su172210204

Note that from the first issue of 2016, this journal uses article numbers instead of page numbers. See further details here.

Article Metrics

Back to TopTop