Estimating Ammonia Emissions and Nitrogen Mass Balance in the Po-Basin: Models, Tools, and Policy Implications
Abstract
1. Introduction
- The quantification of current livestock emissions;
- Simulation of different scenarios with the application of different combinations of techniques and emissions estimations;
- Comparison of ammonia emissions of simulated scenarios, also with the “baseline” case in which no BAT are applied;
- Export of emissions data for Integrated Environmental Authorization (AIA) procedures;
- An estimation of emissions for the European pollution release and transfer Register (E-PRTR) regulations, with an alert when the emissions estimation exceeds the thresholds for declaration [1];
- Integration of nitrogen and phosphorus excretion calculations based on animal feed composition.
The National and European Context
2. Materials and Methods
2.1. Geographic Domain and Scope
2.2. Methodology for Livestock Emissions
- Housing or shelter for animals;
- Storage of effluents;
- Application of effluents in the field.
2.3. Modeling the Nitrogen Fluxes from Livestock
- Establishing a correspondence between the animal categories defined in the BAT-tool and those used in the local database;
- Matching the housing systems prevalent with those available in the BAT-tool and specifying the corresponding number of animals;
- Selecting data from the regional database on manure volumes and storage cover types to complete the BAT-tool’s storage module, which requires input on the proportions of uncovered and/or covered liquid and solid manure;
- Finalizing the simulations by entering the manure spreading techniques used for slurry, specifying their respective shares.
2.4. Livestock Consistence in Po-Basin
2.5. Methodology for Mineral Fertilizer Emissions
3. Results
3.1. Nitrogen Fluxes in the Po-Basin
3.2. Emission Reduction from Urea Application
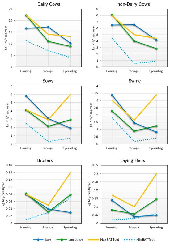
3.3. Emission Scenarios and Air Quality
- 47% for dairy cows and 76% for other cattle;
- 68% for pigs and 82% for sows;
- 17% for laying hens and 31% for chickens.
3.4. Nitrogen Losses
4. Discussion
5. Conclusions
Author Contributions
Funding
Institutional Review Board Statement
Informed Consent Statement
Data Availability Statement
Acknowledgments
Conflicts of Interest
References
- REGULATION (EU) 2024/1244 of the European Parliament and of the Council of 24 April 2024 on Reporting of Environmental Data from Industrial Installations, Establishing an Industrial Emissions Portal and Repealing Regulation (EC) No 166/2006.
- DGR Regione Lombardia n. 1926/2019 and ARPAE Guidelines Det-2020-337, Additional Instructions for E-PRTR Declaring Farms. Available online: https://www.isprambiente.gov.it/it/attivita/aria-1/emissioni-in-atmosfera/dichiarazione-prtr-2025-dati-2024 (accessed on 9 September 2025).
- Region Emilia-Romagna DGR n. 2385 of 23/12/2024.
- Air Quality Plans: Council Deliberations of Emilia-Romagna Regione n. 152/2024 (PAIR2030) and of Piedmont Region n. 284/2023 (Agriculture air quality plan). Available online: https://www.terraria.com/en/case-studies/pair-2030/ (accessed on 9 September 2025).
- ISPRA. Italian Emission Inventory 1990–2023; Informative Inventory Report 2025; Report 410/2025; ISPRA: Rome, Italy, 2025. [Google Scholar]
- CTN_ACE. Linee Guida Agli Inventari Locali di Emissioni in Atmosfera; RTI CTN_ACE 3/2001; Agenzia Nazionale per la Protezione dell’Ambiente: Rome, Italy, 2001. [Google Scholar]
- De Lauretis, R.; Taurino, E.; Angelino, E.; Antognazza, F.; Caserini, S.; Clemente, M.; Tomazzolli, V.; Votano, A.; Susanetti, L.; Pinat, T.; et al. Emissioni in Atmosfera. In Qualità Dell’ambiente Urbano VIII Rapporto Edizione 2012; ISPRA: Rome, Italy, 2012; pp. 138–143. [Google Scholar]
- SNPA. Inventari Regionali Delle Emissioni in Atmosfera e Loro Articolazione a Livello Locale. Available online: https://www.isprambiente.gov.it/files/snpa/consiglio-federale/DOC78_CFInventariemisisoniinatmconallegati.pdf (accessed on 9 September 2025).
- AgrEE Tool—Agricultural Emission Estimation Tool. Available online: https://www.tfeip-secretariat.org/_files/ugd/e5a9c7_eee53299f86948edac11147fc7134390.pdf (accessed on 9 September 2025).
- EMEP/EEA. Air Pollutant Emission Inventory Guidebook 2023: Technical Guidance to Prepare National Emission Inventories; EMEP/EEA: Copenhagen, Denmark, 2023. [Google Scholar]
- IPCC. Refinement to the 2006 IPCC Guidelines for National Greenhouse Gas Inventories; IPCC: Geneva, Switzerland, 2019. [Google Scholar]
- ALFAM2 Project—Ammonia Loss from Field-Applied Manure. Available online: https://projects.au.dk/alfam (accessed on 9 September 2025).
- Hafner, S.D.; Pacholski, A.; Bittman, S.; Burchill, W.; Bussink, W.; Chantigny, M.; Sommer, S.G. The ALFAM2 database on ammonia emission from field-applied manure: Description and illustrative analysis. Agric. For. Meteorol. 2018, 258, 66–79. [Google Scholar] [CrossRef]
- FarmAC Model. Available online: https://www.farmac.dk (accessed on 9 September 2025).
- Aether, U.K. Available online: https://aether-uk.com/ (accessed on 9 September 2025).
- DATAMAN—A Database of Greenhouse Gas Emissions from Manure Management. Available online: https://www.dataman.co.nz/?AspxAutoDetectCookieSupport=1 (accessed on 9 September 2025).
- Hassouna, M.; van der Weerden, T.J.; Beltran, I.; Amon, B.; Alfaro, M.A.; Anestis, V.; Simon, P. DATAMAN: A global database of methane, nitrous oxide, and ammonia emission factors for livestock housing and outdoor storage of manure. J. Environ. Qual. 2023, 52, 207–223. [Google Scholar] [CrossRef] [PubMed]
- Beltran, I.; van der Weerden, T.J.; Alfaro, M.A.; Amon, B.; de Klein, C.A.; Grace, P.; Velthof, G.L. DATAMAN: A global database of nitrous oxide and ammonia emission factors for excreta deposited by livestock and land-applied manure. J. Environ. Qual. 2021, 50, 513–527. [Google Scholar] [CrossRef]
- Van der Weerden, T.J.; Noble, A.; de Klein, C.A.M.; Hutchings, N.; Thorman, R.E.; Alfaro, M.A.; Velthof, G.L. Ammonia and nitrous oxide emission factors for excreta deposited by livestock and land applied manure. J. Environ. Qual. 2012, 50, 1005–1023. [Google Scholar] [CrossRef] [PubMed]
- Van der Weerden, T.J.; Noble, A.N.; Beltran, I.; Hutchings, N.J.; Thorman, R.E.; De Klein, C.A.M.; Amon, B. Influence of key factors on ammonia and nitrous oxide emission factors for excreta deposited by livestock and land-applied manure. Sci. Total Environ. 2023, 889, 164–173. [Google Scholar] [CrossRef] [PubMed]
- Webb, J.; van der Weerden, T.J.; Hassouna, M.; Amon, B. Guidance on the conversion of gaseous emission units to standardized emission factors and recommendations for data reporting. Carbon Manag. 2021, 12, 663–679. [Google Scholar] [CrossRef]
- ENEA. Strumenti per il Calcolo Delle Emissioni Ammoniacali in Agricoltura e Zootecnica. Available online: https://www.espa.enea.it/prodotti-e-servizi/strumenti-per-il-calcolo-delle-emissioni-ammoniacali-in-agricoltura-e-zootecnica.html (accessed on 9 September 2025).
- BAT-Tool Software and User Manual. Available online: https://www.lifeprepair.eu/index.php/azioni/air-quality-and-agriculture/#toggle-id-2 (accessed on 17 September 2025).
- BDN-Anagrafe Nazionale Zootecnica. Available online: https://www.vetinfo.it/j6_statistiche/# (accessed on 9 September 2025).
- Marongiu, A.; Angelino, E.; Moretti, M.; Malvestiti, G.; Fossati, G. Atmospheric emission sources in the Po-basin from the LIFE-IP PREPAIR project. Open J. Air Pollut. 2022, 11, 70–83. [Google Scholar] [CrossRef]
- Marongiu, A.; Colombo, L.; Collalto, A.G. Dynamic emission inventory of ammonia in northern Italy by machine learning. Air Qual. Atmos. Health 2025. [Google Scholar] [CrossRef]
- ISTAT. Banca Dati Agricoltura. Available online: http://agri.istat.it/sag_is_pdwout/index.jsp (accessed on 9 September 2025).
- Collalto, A.G.; Marongiu, A.; Angelino, E. Rassegna ed analisi delle variabili che influenzano le emissioni di ammoniaca dal settore zootecnico. Ing. Dell’ambiente 2024, 10, 492. [Google Scholar] [CrossRef]
- LIFE-IP PREPAIR—Air Quality and Agriculture, Action C4 Final Report. Available online: https://www.lifeprepair.eu/index.php/azioni/air-quality-and-agriculture/#toggle-id-1 (accessed on 17 September 2025).
- Veratti, G.; Stortini, M.; Amorati, R.; Bressan, L.; Giovannini, G.; Bande, S.; Pillon, S. (Impact of NOx and NH3 emission reduction on particulate matter across Po Valley: A LIFE-IP PREPAIR study. Atmosphere 2023, 14, 762. [Google Scholar] [CrossRef]
- Colombo, L.; Marongiu, A.; Fossati, G.; Malvestiti, G.; Angelino, E. PM2.5 wintertime sensitivity to changes in NOx, SO2, and NH3 emissions in Lombardy region. Air Qual. Atmos. Health 2024, 17, 1451–1466. [Google Scholar] [CrossRef]
- Colombo, L.; Marongiu, A.; Malvestiti, G.; Fossati, G.; Angelino, E.; Lazzarini, M.; Gurrieri, G.L.; Pillon, S.; Lanzani, G.G. Assessing the impacts and feasibility of emissions reduction scenarios in the Po Valley. Front. Environ. Sci. 2023, 11. [Google Scholar] [CrossRef]
- Council Directive 91/676/EEC of 12 December 1991 Concerning the Protection of Waters Against Pollution Caused by Nitrates from Agricultural Sources (Nitrates Directive), Annex III, point 2b. Off. J. Eur. Communities 1991, 375, 1–8. Available online: https://eur-lex.europa.eu/legal-content/EN/TXT/?uri=CELEX:31991L0676 (accessed on 17 September 2025).
- Carozzi, M.; Ferrara, R.M.; Acutis, M.; Rana, G. Dynamic of ammonia emission from urea spreading in Po Valley (Italy): Relationship with nitrogen compounds in the soil. In Proceedings of the 17th International Nitrogen Workshop, Wexford, Ireland, UK, 26–29 June 2012; pp. 1–4. [Google Scholar]
- Agrimonia Consortium. Agrimonia: A Dataset on Livestock, Meteorology and Air Quality in the Lombardy Region, Italy. Available online: https://arxiv.org/abs/2210.10604 (accessed on 17 September 2025).







| Animal Category | N_ex | N_h | N_ex_h | N_s | N_ex_st | N_d | N_field |
|---|---|---|---|---|---|---|---|
| Laying Hens | 0.598 | 0.067 | 0.531 | 0.047 | 0.484 | 0.120 | 0.364 |
| Broilers | 0.357 | 0.068 | 0.289 | 0.026 | 0.263 | 0.065 | 0.198 |
| Other Poultries | 0.949 | 0.174 | 0.775 | 0.069 | 0.706 | 0.175 | 0.531 |
| Swine | 10.362 | 1.873 | 8.489 | 0.747 | 7.742 | 1.024 | 6.718 |
| Sows | 23.484 | 3.384 | 20.100 | 1.766 | 18.335 | 2.422 | 15.913 |
| Dairy Cows | 114.88 | 18.381 | 96.499 | 9.154 | 87.346 | 7.315 | 80.030 |
| Other Cows | 41.667 | 6.667 | 35.001 | 3.333 | 31.668 | 2.355 | 29.312 |
| Fertilizer | Annual Quantity Sold t | N % | NH3 FE Kg t_N−1 |
|---|---|---|---|
| Nitrogen–phosphates | 121,055 | 16% | 52 |
| Nitrogen–potassium | 24,973 | 15% | 52 |
| Ternari | 128,404 | 13% | 52 |
| Other nitrogens | 58,152 | 32% | 57 |
| Calcium cyanamide | 10,413 | 20% | 159 |
| Nitrates (ammonium and calcium) | 111,023 | 25% | 8 |
| Ammonium sulphate | 55,843 | 18% | 92 |
| Urea | 388,924 | 46% | 159 |
| Simple nitrogens | 32,641 | 12% | 57 |
| Compounds | 76,509 | 12% | 57 |
| Animal Category | N_ex | N_h | N_ex_h | N_s | N_ex_st | N_d | N_field |
|---|---|---|---|---|---|---|---|
| Laying Hens | 27.7 | 3.1 | 24.6 | 2.2 | 22.4 | 5.5 | 16.9 |
| Broilers | 19.0 | 3.6 | 15.4 | 1.4 | 14.1 | 3.5 | 10.6 |
| Other Poultries | 11.4 | 2.1 | 9.3 | 0.8 | 8.5 | 2.1 | 6.4 |
| Swine | 69.4 | 12.5 | 56.8 | 5.0 | 51.8 | 6.9 | 45.0 |
| Sows | 11.2 | 1.6 | 9.6 | 0.8 | 8.7 | 1.2 | 7.6 |
| Dairy Cows | 137.5 | 22.0 | 115.5 | 11.0 | 104.6 | 8.8 | 95.8 |
| Other Cows | 109.8 | 17.6 | 92.2 | 8.8 | 83.4 | 6.2 | 77.2 |
| Total | 386.0 | 62.5 | 323.5 | 30.0 | 293.5 | 34.1 | 259.4 |
| Fertilizer | N_app | N_d | N_field |
|---|---|---|---|
| Nitrogen–phosphates | 19.85 | 0.85 | 19.00 |
| Nitrogen–potassium | 3.80 | 0.16 | 3.63 |
| Ternari | 16.05 | 0.69 | 15.36 |
| Other nitrogens | 18.78 | 0.88 | 17.90 |
| Calcium cyanamide | 2.04 | 0.27 | 1.77 |
| Nitrates (ammonium and calcium) | 27.98 | 0.18 | 27.79 |
| Ammonium sulphate | 10.00 | 0.76 | 9.24 |
| Urea | 178.52 | 23.38 | 155.14 |
| Simple nitrogens | 3.82 | 0.18 | 3.64 |
| Compounds | 8.95 | 0.42 | 8.53 |
| Total | 289.78 | 27.77 | 262.02 |
| Urea Application | Autumn–Winter Pre-Seeding/Seeding 1 | Autumn–Winter Cover | Summer Pre-Seeding/Seeding | Summer Cover |
|---|---|---|---|---|
| Incorporation of surface (3 cm) | 0 | 0 | +++ | +++ |
| Injection with closed slot | 0 | 0/+ | + | ++ |
| Irrigation following the application | 0 | 0/+ | 0 | +++ |
| Fertigation in surface hoses | 0 | 0 | 0 | ++ |
| Fertigation in underground hoses | 0 | 0 | 0 | + |
| Urease inhibitor | 0 | +++ | ++ | +++ |
| Controlled-release urea | 0 | +++ | ++ | +++ |
| Substitution with ammonium nitrate | 0 | +++/++++ | ++/+++ | +++/++++ |
| Precision farming (variable rate) | 0 | +/++ | +/++ | +/++ |
Disclaimer/Publisher’s Note: The statements, opinions and data contained in all publications are solely those of the individual author(s) and contributor(s) and not of MDPI and/or the editor(s). MDPI and/or the editor(s) disclaim responsibility for any injury to people or property resulting from any ideas, methods, instructions or products referred to in the content. |
© 2025 by the authors. Licensee MDPI, Basel, Switzerland. This article is an open access article distributed under the terms and conditions of the Creative Commons Attribution (CC BY) license (https://creativecommons.org/licenses/by/4.0/).
Share and Cite
Balboni, M.; Marongiu, A.; Vito, D. Estimating Ammonia Emissions and Nitrogen Mass Balance in the Po-Basin: Models, Tools, and Policy Implications. Sustainability 2025, 17, 10201. https://doi.org/10.3390/su172210201
Balboni M, Marongiu A, Vito D. Estimating Ammonia Emissions and Nitrogen Mass Balance in the Po-Basin: Models, Tools, and Policy Implications. Sustainability. 2025; 17(22):10201. https://doi.org/10.3390/su172210201
Chicago/Turabian StyleBalboni, Matteo, Alessandro Marongiu, and Domenico Vito. 2025. "Estimating Ammonia Emissions and Nitrogen Mass Balance in the Po-Basin: Models, Tools, and Policy Implications" Sustainability 17, no. 22: 10201. https://doi.org/10.3390/su172210201
APA StyleBalboni, M., Marongiu, A., & Vito, D. (2025). Estimating Ammonia Emissions and Nitrogen Mass Balance in the Po-Basin: Models, Tools, and Policy Implications. Sustainability, 17(22), 10201. https://doi.org/10.3390/su172210201

