Equity-Considered Design Method for Battery Electric Bus Networks
Abstract
1. Introduction
1.1. Literature Review
1.2. Contributions
2. Model for Electric TNDP
2.1. Problem Description
2.2. Objective Functions
2.2.1. Equity in Terms of Travel Time
2.2.2. Direct Travel Proportion of the Elderly During Non-Peak Hours
2.2.3. Total Cost of the Bus System
2.3. Constraints
- (1)
- Bus route length
- (2)
- The number of bus routes
- (3)
- Non-linear coefficient
- (4)
- Departure frequency
- (5)
- Energy conservation
3. Solution Algorithm
3.1. Generation of Initial Populations
3.2. Demand Assignment
3.3. Objective Function Calculation
3.4. Crossover and Mutation
4. Case Study
4.1. Mandl Benchmark Network
4.2. Network of Zhengzhou City
5. Conclusions and Discussion
Author Contributions
Funding
Institutional Review Board Statement
Informed Consent Statement
Data Availability Statement
Conflicts of Interest
References
- Macioszek, E.; Wierk, P.; Gran, A.; Sobota, A. Application of a Logit Model to Identify Sociodemographic Factors Influencing the Choice of Public Transport for Daily Trips—A Case Study Based on the Example of the Górnośląska-Zagłębiowska Metropolis (Poland). Transp. Probl. Int. Sci. J. 2024, 19, 183–192. [Google Scholar] [CrossRef]
- Olfindo, R. Transport Accessibility, Residential Satisfaction, and Moving Intention in a Context of Limited Travel Mode Choice. Transp. Res. Part A Policy Pract. 2021, 145, 153–166. [Google Scholar] [CrossRef]
- Tyndall, J. Bus Quality Improvements and Local Commuter Mode Share. Transp. Res. Part A Policy Pract. 2018, 113, 173–183. [Google Scholar] [CrossRef]
- Mahmoudi, R.; Saidi, S.; Wirasinghe, S.C. A Critical Review of Analytical Approaches in Public Bus Transit Network Design and Operations Planning with Focus on Emerging Technologies and Sustainability. J. Public Transp. 2024, 26, 100100. [Google Scholar] [CrossRef]
- Guihaire, V.; Hao, J.-K. Transit Network Design and Scheduling: A Global Review. Transp. Res. Part A Policy Pract. 2008, 42, 1251–1273. [Google Scholar] [CrossRef]
- Kepaptsoglou, K.; Karlaftis, M. Transit Route Network Design Problem: Review. J. Transp. Eng. 2009, 135, 491–505. [Google Scholar] [CrossRef]
- Derrible, S.; Kennedy, C. Applications of Graph Theory and Network Science to Transit Network Design. Transp. Rev. 2011, 31, 495–519. [Google Scholar] [CrossRef]
- Ibarra-Rojas, O.J.; Delgado, F.; Giesen, R.; Muñoz, J.C. Planning, Operation, and Control of Bus Transport Systems: A Literature Review. Transp. Res. Part B Methodol. 2015, 77, 38–75. [Google Scholar] [CrossRef]
- Purvis, B.; Mao, Y.; Robinson, D. Three Pillars of Sustainability: In Search of Conceptual Origins. Sustain. Sci. 2019, 14, 681–695. [Google Scholar] [CrossRef]
- Iliopoulou, C.; Kepaptsoglou, K.; Vlahogianni, E. Metaheuristics for the Transit Route Network Design Problem: A Review and Comparative Analysis. Public Transp. 2019, 11, 487–521. [Google Scholar] [CrossRef]
- Mandl, C.E. Evaluation and Optimization of Urban Public Transportation Networks. Eur. J. Oper. Res. 1980, 5, 396–404. [Google Scholar] [CrossRef]
- Gkiotsalitis, K.; Cats, O. Public Transport Planning Adaption under the COVID-19 Pandemic Crisis: Literature Review of Research Needs and Directions. Transp. Rev. 2021, 41, 374–392. [Google Scholar] [CrossRef]
- Tong, P.; Yan, Y.; Wang, D.; Qu, X. Optimal Route Design of Electric Transit Networks Considering Travel Reliability. Comput. Aided Civ. Infrastruct. Eng. 2021, 36, 1229–1248. [Google Scholar] [CrossRef]
- Huo, X.; He, X.; Xiong, Z.; Wu, X. Multi-Objective Optimization for Scheduling Multi-Load Automated Guided Vehicles with Consideration of Energy Consumption. Transp. Res. Part C Emerg. Technol. 2024, 161, 104548. [Google Scholar] [CrossRef]
- Lu, X.; Wang, J.; Yuen, C.W.; Liu, Q. Multi-Objective Intercity Carpooling Route Optimization Considering Carbon Emission. Sustainability 2023, 15, 2261. [Google Scholar] [CrossRef]
- Akopov, A.S.; Beklaryan, L.A. Evolutionary Synthesis of High-Capacity Reconfigurable Multilayer Road Networks Using a Multiagent Hybrid Clustering-Assisted Genetic Algorithm. IEEE Access 2025, 13, 53448–53474. [Google Scholar] [CrossRef]
- Pternea, M.; Kepaptsoglou, K.; Karlaftis, M.G. Sustainable Urban Transit Network Design. Transp. Res. Part A Policy Pract. 2015, 77, 276–291. [Google Scholar] [CrossRef]
- Häll, C.H.; Ceder, A.; Ekström, J.; Quttineh, N.-H. Adjustments of Public Transit Operations Planning Process for the Use of Electric Buses. J. Intell. Transp. Syst. 2019, 23, 216–230. [Google Scholar] [CrossRef]
- Iliopoulou, C.; Tassopoulos, I.; Kepaptsoglou, K.; Beligiannis, G. Electric Transit Route Network Design Problem: Model and Application. Transp. Res. Rec. J. Transp. Res. Board 2019, 2673, 264–274. [Google Scholar] [CrossRef]
- Liu, Y.; Feng, X.; Ding, C.; Hua, W.; Ruan, Z. Electric Transit Network Design by an Improved Artificial Fish-Swarm Algorithm. J. Transp. Eng. Part A Syst. 2020, 146, 04020071. [Google Scholar] [CrossRef]
- Iliopoulou, C.; Kepaptsoglou, K. Robust Electric Transit Route Network Design Problem (RE-TRNDP) with Delay Considerations: Model and Application. Transp. Res. Part C Emerg. Technol. 2021, 129, 103255. [Google Scholar] [CrossRef]
- Pylarinou, C.; Iliopoulou, C.; Kepaptsoglou, K. Transit Route Network Redesign under Electrification: Model and Application. Int. J. Transp. Sci. Technol. 2021, 10, 366–379. [Google Scholar] [CrossRef]
- Perumal, S.S.G.; Lusby, R.M.; Larsen, J. Electric Bus Planning & Scheduling: A Review of Related Problems and Methodologies. Eur. J. Oper. Res. 2022, 301, 395–413. [Google Scholar] [CrossRef]
- Liu, Y. Study on Optimization of Bus Scheduling. Front. Comput. Intell. Syst. 2022, 1, 76–78. [Google Scholar] [CrossRef]
- Momenitabar, M.; Dehdari Ebrahimi, Z.; Mattson, J.; Hough, J. Designing an Electric Transit Route Network Utilizing Energy Storage Technology to Mitigate Annual Demand Charge. Transp. Res. Rec. J. Transp. Res. Board 2023, 2677, 158–174. [Google Scholar] [CrossRef]
- Li, X.; Li, Y.; Liu, W.; Yuan, Y. Optimal Design of Pure Battery Electric Bus System on the Grid Network. Transp. A Transp. Sci. 2024, 20, 2152298. [Google Scholar] [CrossRef]
- Aksoy, İ.C.; Alver, Y. Addressing Electric Transit Network Design Frequency Setting Problem with Dynamic Transit Assignment. Transp. B Transp. Dyn. 2024, 12, 2318566. [Google Scholar] [CrossRef]
- Ben-Elia, E.; Benenson, I. A Spatially-Explicit Method for Analyzing the Equity of Transit Commuters’ Accessibility. Transp. Res. Part A Policy Pract. 2019, 120, 31–42. [Google Scholar] [CrossRef]
- Feng, T.; Zhang, J. Multicriteria Evaluation on Accessibility-based Transportation Equity in Road Network Design Problem. J. Adv. Transp. 2014, 48, 526–541. [Google Scholar] [CrossRef]
- Li, X.; Zhang, Y.; Du, M. Analysis of Travel Decision-Making for Urban Elderly Healthcare Activities under Temporal and Spatial Constraints. Sustainability 2018, 10, 1560. [Google Scholar] [CrossRef]
- Behbahani, H.; Nazari, S.; Jafari Kang, M.; Litman, T. A Conceptual Framework to Formulate Transportation Network Design Problem Considering Social Equity Criteria. Transp. Res. Part A Policy Pract. 2019, 125, 171–183. [Google Scholar] [CrossRef]
- Delbosc, A.; Currie, G. Using Lorenz Curves to Assess Public Transport Equity. J. Transp. Geogr. 2011, 19, 1252–1259. [Google Scholar] [CrossRef]
- Jang, S.; An, Y.; Yi, C.; Lee, S. Assessing the Spatial Equity of Seoul’s Public Transportation Using the Gini Coefficient Based on Its Accessibility. Int. J. Urban Sci. 2017, 21, 91–107. [Google Scholar] [CrossRef]
- Chen, X.; Wang, Y.; Ma, X. Integrated Optimization for Commuting Customized Bus Stop Planning, Routing Design, and Timetable Development With Passenger Spatial-Temporal Accessibility. IEEE Trans. Intell. Transport. Syst. 2021, 22, 2060–2075. [Google Scholar] [CrossRef]
- Berke, A.; Truitt, W.; Larson, K. Is Access to Public Bike-Share Networks Equitable? A Multiyear Spatial Analysis across 5 U.S. Cities. J. Transp. Geogr. 2024, 114, 103759. [Google Scholar] [CrossRef]
- Carleton, P.R.; Porter, J.D. A Comparative Analysis of the Challenges in Measuring Transit Equity: Definitions, Interpretations, and Limitations. J. Transp. Geogr. 2018, 72, 64–75. [Google Scholar] [CrossRef]
- Ma, S.-H.; Chen, X.-F.; Wu, Y.-J.; Shao, H.; Zhang, J.-J. Equity Analysis of Transportation Networks in Urban Agglomerations Based on Accessibility. J. Transp. Syst. Eng. Inf. Technol. 2022, 22, 51–59. [Google Scholar] [CrossRef]
- He, Y.; Liu, Z.; Song, Z. Optimal Charging Scheduling and Management for a Fast-Charging Battery Electric Bus System. Transp. Res. Part E Logist. Transp. Rev. 2020, 142, 102056. [Google Scholar] [CrossRef]
- Mitra, S.; Yao, M.; Ritchie, S.G. Gender Differences in Elderly Mobility in the United States. Transp. Res. Part A Policy Pract. 2021, 154, 203–226. [Google Scholar] [CrossRef]
- Villena-Sanchez, J.; Boschmann, E.E.; Avila-Forcada, S. Daily Travel Behaviors and Transport Mode Choice of Older Adults in Mexico City. J. Transp. Geogr. 2022, 104, 103445. [Google Scholar] [CrossRef]
- Ravensbergen, L.; Varickanickal, J.; Newbold, K.B.; Mohamed, M. A Mixed-Methods Investigation of Older Adults’ Public Transit Use and Travel Satisfaction. Travel Behav. Soc. 2023, 32, 100577. [Google Scholar] [CrossRef]
- El-Geneidy, A.; Levinson, D.; Diab, E.; Boisjoly, G.; Verbich, D.; Loong, C. The Cost of Equity: Assessing Transit Accessibility and Social Disparity Using Total Travel Cost. Transp. Res. Part A Policy Pract. 2016, 91, 302–316. [Google Scholar] [CrossRef]
- Lyons, T.; Choi, D. Transit Economic Equity Index: Developing a Comprehensive Measure of Transit Service Equity. Transp. Res. Rec. J. Transp. Res. Board 2021, 2675, 288–300. [Google Scholar] [CrossRef]
- Raza, A.; Zhong, M.; Akuh, R.; Safdar, M. Public Transport Equity with the Concept of Time-Dependent Accessibility Using Geostatistics Methods, Lorenz Curves, and Gini Coefficients. Case Stud. Transp. Policy 2023, 11, 100956. [Google Scholar] [CrossRef]
- Camporeale, R.; Caggiani, L.; Fonzone, A.; Ottomanelli, M. Quantifying the Impacts of Horizontal and Vertical Equity in Transit Route Planning. Transp. Plan. Technol. 2017, 40, 28–44. [Google Scholar] [CrossRef]
- Fan, W.; Machemehl, R.B. Optimal Transit Route Network Design Problem with Variable Transit Demand: Genetic Algorithm Approach. J. Transp. Eng. 2006, 132, 40–51. [Google Scholar] [CrossRef]
- Ferguson, E.M.; Duthie, J.; Unnikrishnan, A.; Waller, S.T. Incorporating Equity into the Transit Frequency-Setting Problem. Transp. Res. Part A Policy Pract. 2012, 46, 190–199. [Google Scholar] [CrossRef]
- Camporeale, R.; Caggiani, L.; Ottomanelli, M. Modeling Horizontal and Vertical Equity in the Public Transport Design Problem: A Case Study. Transp. Res. Part A Policy Pract. 2019, 125, 184–206. [Google Scholar] [CrossRef]
- Kim, M.; Kho, S.-Y.; Kim, D.-K. A Transit Route Network Design Problem Considering Equity. Sustainability 2019, 11, 3527. [Google Scholar] [CrossRef]
- Park, S.J.; Kang, S.; Byon, Y.-J.; Kho, S.-Y. Multiobjective Approach to the Transit Network Design Problem with Variable Demand Considering Transit Equity. J. Adv. Transp. 2022, 2022, 5887985. [Google Scholar] [CrossRef]
- Jiang, Y. Reliability-Based Equitable Transit Frequency Design. Transp. A Transp. Sci. 2022, 18, 879–909. [Google Scholar] [CrossRef]
- Zhang, W.; Zhao, H.; Song, Z. Integrating Transit Route Network Design and Fast Charging Station Planning for Battery Electric Buses. IEEE Access 2021, 9, 51604–51617. [Google Scholar] [CrossRef]
- Ahern, Z.; Paz, A.; Corry, P. Approximate Multi-Objective Optimization for Integrated Bus Route Design and Service Frequency Setting. Transp. Res. Part B Methodol. 2022, 155, 1–25. [Google Scholar] [CrossRef]
- Nikolić, M.; Teodorović, D. Mitigation of Disruptions in Public Transit by Bee Colony Optimization. Transp. Plan. Technol. 2019, 42, 573–586. [Google Scholar] [CrossRef]
- Kechagiopoulos, P.N.; Beligiannis, G.N. Solving the Urban Transit Routing Problem Using a Particle Swarm Optimization Based Algorithm. Appl. Soft Comput. 2014, 21, 654–676. [Google Scholar] [CrossRef]
- Nayeem, M.A.; Rahman, M.K.; Rahman, M.S. Transit Network Design by Genetic Algorithm with Elitism. Transp. Res. Part C Emerg. Technol. 2014, 46, 30–45. [Google Scholar] [CrossRef]
- Mahdavi Moghaddam, S.M.H.; Rao, K.R.; Tiwari, G.; Biyani, P. Simultaneous Bus Transit Route Network and Frequency Setting Search Algorithm. J. Transp. Eng. Part A Syst. 2019, 145, 04019011. [Google Scholar] [CrossRef]
- Vermeir, E.; Engelen, W.; Philips, J.; Vansteenwegen, P. An Exact Solution Approach for the Bus Line Planning Problem with Integrated Passenger Routing. J. Adv. Transp. 2021, 2021, 6684795. [Google Scholar] [CrossRef]
- Arbex, R.O.; Da Cunha, C.B. Efficient Transit Network Design and Frequencies Setting Multi-Objective Optimization by Alternating Objective Genetic Algorithm. Transp. Res. Part. B Methodol. 2015, 81, 355–376. [Google Scholar] [CrossRef]
- Asadi Bagloee, S.; Ceder, A. Transit-Network Design Methodology for Actual-Size Road Networks. Transp. Res. Part B Methodol. 2011, 45, 1787–1804. [Google Scholar] [CrossRef]












| References | Multi/Single Objective | Equity Measurement | Equity? | BEB? | Aging? |
|---|---|---|---|---|---|
| [46] | Single * | Spatial equity, i.e., dividing the minimum total travel time between centroid nodes i and j in the redesigned transit network by that in the current transit network before the redesign. | Constraint | No | No |
| [47] | Single | Standard deviation of the difference between measures of accessibility by transit and accessibility by automobile. | Objective | No | No |
| [45] | Single * | Revised Gini coefficient based on the Lorenz curve, which is constructed with the public transport need index. | Constraint | No | No |
| [48] | Single * | Revised Gini coefficient based on the Lorenz curve, which is constructed with the public transport need index | Constraint | No | No |
| [49] | Single | Modal equity is when the extent of the difference between transit travel time and cars’ travel time is negligible due to the improvement of the transit network. Spatial equity is the extent to which the difference of modal equity across different regions are minimized through prioritizing transit network enhancement in underprivileged areas. | Objective | No | No |
| [50] | Multi | Standard deviation of transit accessibility is defined as the discrepancy between travel durations via private vehicles and those using the public transit system. | Objective | No | No |
| [51] | Multi | Minimum improvement in the effective travel cost among OD pairs. | Objective | No | No |
| This study | Multi | Revised Gini coefficient based on the Lorenz curve, which is constructed with the transit accessibility. | Objective | Yes | Yes |
| Solution | Algorithm | Number of Bus Routes | Total Cost (Dollar) | Equity | Direct Travel Rate | Fleet Size | Total Operating Time (min) |
|---|---|---|---|---|---|---|---|
| [53] | MOSA | 4 | 10,440 | 0.2013 | 0.8896 | 74 | 145 |
| [54] | BCO | 6 | 13,138 | 0.242 | 0.9642 | 79 | 224 |
| [55] | PSO | 6 | 13,850 | 0.2552 | 0.9596 | 54 | 203 |
| [56] | GAWE | 6 | 13,424 | 0.2356 | 0.9518 | 81 | 266 |
| [57] | GA + TMO | 6 | 78,839 | 0.1878 | 0.9425 | 74 | 186 |
| [58] | DLN + BB | 6 | 11,104 | 0.283 | 0.9853 | 67 | 220 |
| [59] | AOGA | 10 | 15,546 | 0.251 | 0.9760 | 82 | 294 |
| [60] | GA + AS | 12 | 16,911 | 0.2719 | 0.8414 | 99 | 261 |
| This study | NSGA-II | 6 | 11,989 | 0.1841 | 0.9727 | 76 | 122 |
| Parameter | Value | Parameter | Value | Parameter | Value |
|---|---|---|---|---|---|
| 6.76 $/h | 5.07 $/h | 20 km/h | |||
| 1.2 m/s | 100 kWh | 0.9 | |||
| 120 kW | 0.063 $/kWh | 1.3 kWh/km | |||
| 98,592 $ | 1408 $ | 56 $ | |||
| 3 times/year | 10 km | 30 km | |||
| 1.5 | 44 | 800 | |||
| 60 persons/bus | 0.3 | 100 |
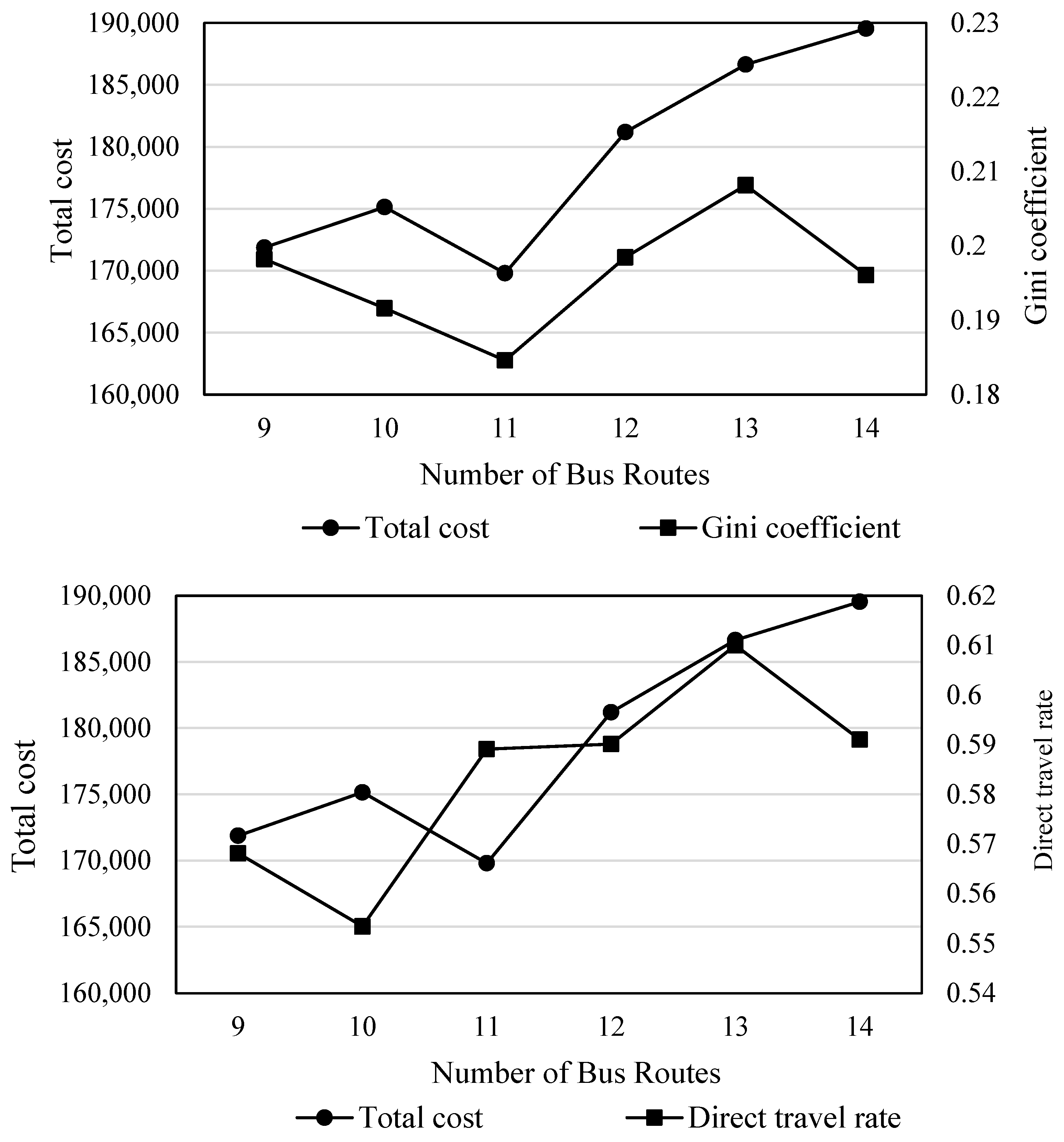
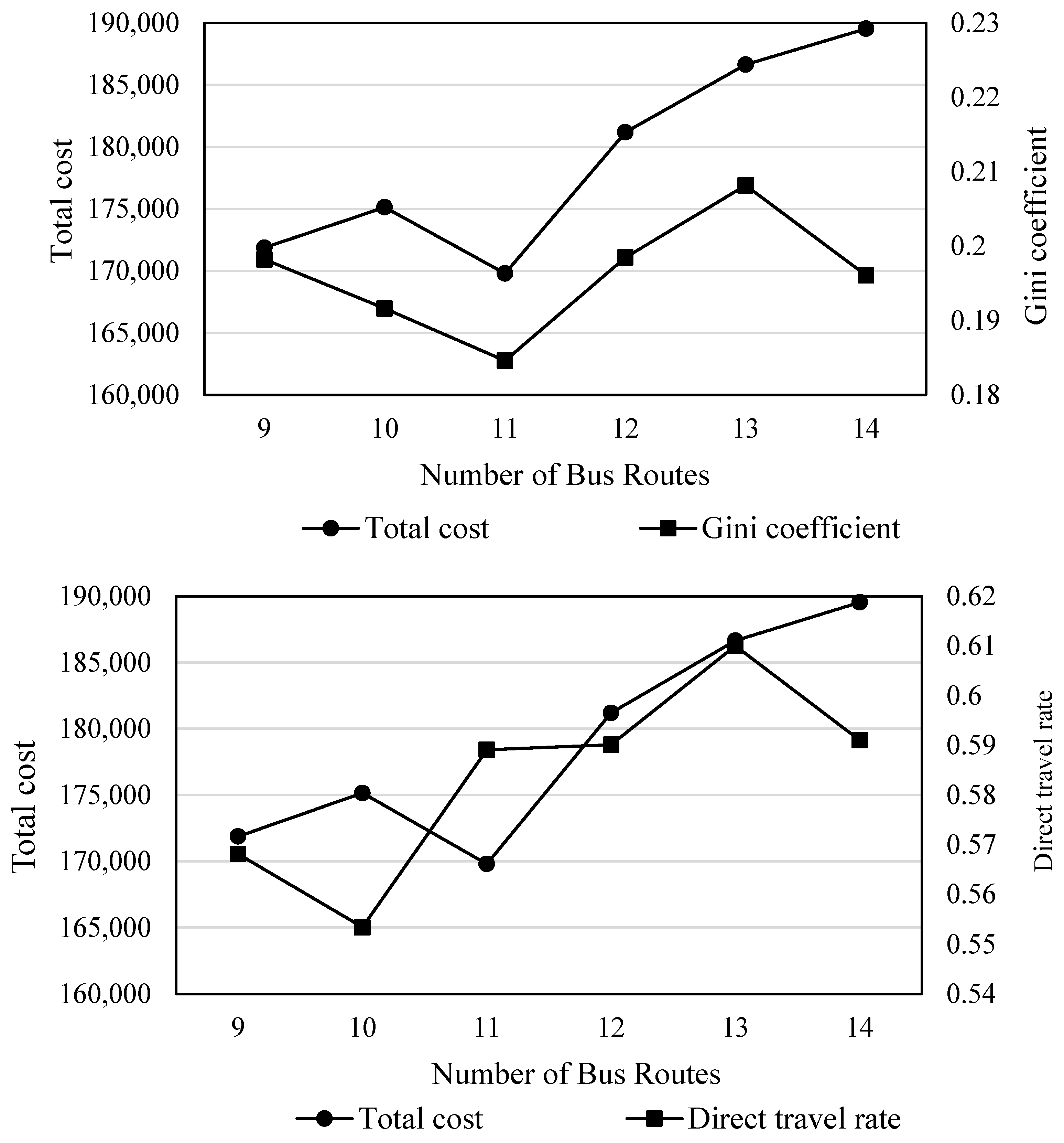
| Number of Bus Routes | Total Cost/$ | Gini Coefficient | Direct Travel Proportion of the Elderly |
|---|---|---|---|
| 9 | 1.72 × 105 | 0.198218221 | 0.5681 |
| 10 | 1.75 × 105 | 0.191618563 | 0.5534 |
| 11 | 1.70 × 105 | 0.184598629 | 0.5891 |
| 12 | 1.82 × 105 | 0.198469225 | 0.5901 |
| 13 | 1.87 × 105 | 0.208165351 | 0.6101 |
| 14 | 1.90 × 105 | 0.196067902 | 0.5910 |
| Line Label | Node Sequence | Frequency |
|---|---|---|
| 1 | 1, 7, 8, 18, 14 | 12 |
| 2 | 3, 10, 14, 18, 25, 29, 28, 27, 26, 31 | 17 |
| 3 | 5, 12, 11, 15, 19, 30, 35, 34 | 12 |
| 4 | 6, 13, 12, 11, 10, 9, 2, 1 | 9 |
| 5 | 6, 13, 12, 16, 20, 19, 30 | 10 |
| 6 | 4, 5, 6, 13, 17, 21, 37, 44 | 10 |
| 7 | 12, 16, 20, 36, 35, 34, 41, 40 | 5 |
| 8 | 23, 24, 28, 33, 40, 39, 38 | 7 |
| 9 | 22, 26, 31, 32, 39, 40, 41, 42, 43 | 11 |
| 10 | 23, 27, 32, 33, 34, 35, 36, 43 | 7 |
| 11 | 3, 4, 11, 15, 19, 30, 35, 42 | 18 |
Disclaimer/Publisher’s Note: The statements, opinions and data contained in all publications are solely those of the individual author(s) and contributor(s) and not of MDPI and/or the editor(s). MDPI and/or the editor(s) disclaim responsibility for any injury to people or property resulting from any ideas, methods, instructions or products referred to in the content. |
© 2025 by the authors. Licensee MDPI, Basel, Switzerland. This article is an open access article distributed under the terms and conditions of the Creative Commons Attribution (CC BY) license (https://creativecommons.org/licenses/by/4.0/).
Share and Cite
Yan, Y.; Du, W.; Tong, P.; Li, J. Equity-Considered Design Method for Battery Electric Bus Networks. Sustainability 2025, 17, 10149. https://doi.org/10.3390/su172210149
Yan Y, Du W, Tong P, Li J. Equity-Considered Design Method for Battery Electric Bus Networks. Sustainability. 2025; 17(22):10149. https://doi.org/10.3390/su172210149
Chicago/Turabian StyleYan, Yadan, Wenjing Du, Pei Tong, and Junsheng Li. 2025. "Equity-Considered Design Method for Battery Electric Bus Networks" Sustainability 17, no. 22: 10149. https://doi.org/10.3390/su172210149
APA StyleYan, Y., Du, W., Tong, P., & Li, J. (2025). Equity-Considered Design Method for Battery Electric Bus Networks. Sustainability, 17(22), 10149. https://doi.org/10.3390/su172210149
