Abstract
Preferential flow, which primarily drains via vertical and interconnected macropores under gravity, allows water and solutes to transport non-uniformly through the soil matrix. Such a feature exacerbates the leaching risk of pollutants to groundwater. However, there is still a lack of knowledge of how the soil macropores affect the migration of manure-sourced veterinary antibiotics (VAs) in agricultural soils. This study used a series of techniques, including field dye tracing experiments, measurements of soil water retention curves (SWRCs), and micro-CT scanning, to explore macropore characteristics for a typical Entisol. The leaching behavior of sulfadiazine (SDZ) and sulfamethazine (SMZ) was then investigated using undisturbed columns (15 cm ID × 20 cm) under simulated rainfall. The results revealed the great lateral diffusion ability of the soil (up to 65 cm) as compared to vertical penetration (50 cm depth) in the field. The soil was abundant in macropores with equivalent diameter > 200 µm, and the macroporosity was higher in the lower layer (40–60 cm) than the upper layers, where cultivation may lead to the fragmentation of the soil structure and the formation of more isolated pores. Breakthrough curves (BTCs) and hydrological modeling indicated a faster penetration time and greater leaching of sulfonamides with increased macropores in the soil. Such an effect was, however, strengthened under rainstorm conditions (25 mm h−1). Antibiotics leaching was strongly correlated with the mean macropore diameter (MD), compactness (CP), and connectivity (Γ) parameters and significantly affected by MD and CP (p < 0.05), particularly at a moderate rainfall intensity (11 mm h−1). This study has linked antibiotics migration with the soil structure and highlighted macropores’ contribution to their accelerated leaching, thus providing evidence for environmental risk assessments and promoting sustainable soil and water management in real scenarios of soil macropore flow.
1. Introduction
The application of veterinary antibiotics in livestock farming has become routine practice for both therapeutic and growth-promoting purposes. China leads globally in the production and consumption of veterinary antibiotics, with especially intensive use in the swine, cattle, and poultry industries [1]. A key environmental concern regarding the heavy use of veterinary antibiotics is their incomplete absorption and metabolism in animals; between 30% and 90% of the administered dose can be excreted as active residues in urine and feces, ultimately entering the environment [2,3]. For instance, fertilizing soil with manure or other natural fertilizers containing animal waste is a major source of veterinary antibiotics in the environment [4]. Veterinary antibiotics such as sulfonamides are extremely mobile in the soil, resulting in significant potential environmental impacts. Sulfonamides accounted for 5.9% of the global veterinary drug consumption in 2017 [5]. The presence of sulfonamides such as sulfadiazine and sulfamethazine on the soil surface increases the likelihood of leaching and groundwater contamination [6,7]. Furthermore, Liu et al. [8] showed that sulfadiazine was recovered at an 84% rate in soil column experiments, while Ostermann et al. [9] found that sulfamethazine migrated to deep subsoil layers (≥2 m) in agricultural fields.
The non-uniform water flow that transports water and solutes through the soil matrix is considered preferential flow, including finger flow, funnel flow, and macropore flow [10]. Preferential flow occurs due to substantial spatial variations in flow velocity, which arise from heterogeneities in the soil structure, including layers, fractures, and macropores [11]. These flow pathways can greatly accelerate contaminant transport, resulting in significantly shortened travel times [12]. Wang et al. [13] reported that the primary factors affecting water flow were soil macropore characteristics, including macroporosity, compactness, global connectivity, the hydraulic radius, and the mean diameter. Pesticide and heavy metal losses by macropore flow are greater than losses through matrix transport [14,15,16,17,18,19]. According to Nahar and Niven [20], a high level of glyphosate leaching in soil columns following three successive applications was attributed to the macropore structure, a finding also supported by elevated bromide leaching. Kördel and Klein [17] also reported that macropore transport after heavy rainfall led to high concentrations of terbutylazine (13 µg/L) and metolachlor (40 µg/L). Moreover, the macropore flow of dissolved arsenic has been observed during and after rainfall [21]. However, Helmhart et al. [22] demonstrated that macropore discontinuities, including dead-end pores or slow flow, trapped iron and arsenic and caused high concentrations in the subsurface.
Several studies have been carried out on the effects of soil macropores on pesticide and heavy metal transport in soil, but there is still a gap in the literature regarding the behavior of veterinary antibiotics transport, particularly sulfonamides, through soil macropore flow. This study is the first to quantitatively couple 3D pore structural features derived from micro-CT, including the mean macropore diameter (MD), macroporosity (MP), global connectivity (Γ), compactness or macropore shape (CP), and hydraulic radius of macropores (HD), with breakthrough curve (BTC) parameters and model fitting to characterize sulfonamide leaching in farmland. The study aims are to (1) characterize soil macropores using a series of techniques, including measurements of hydraulic properties, soil water retention curves, field dye tracing experiments on the soil profile, and micro-CT scans of the pore structure at three soil layer depths; (2) investigate the leaching behavior of antibiotics through soil macropore flow under varying simulated rainfall intensities; and (3) explore how soil macropores affect antibiotics migration via the modeling of breakthrough curves in combination with hydrological parameters. The results provide insights into the significance of macropore parameters’ effects on the migration behavior of antibiotics under actual field scenarios, especially in soils with abundant macropores, and offer evidence for assessing groundwater pollution risks. In this light, two typical sulfonamide antibiotics were selected as target contaminants, and their leaching behavior in farmland soil was studied using undisturbed column tests. The soil was a calcareous Entisol, which is the most important farmland resource in the upper reaches of the Yangtze River, Southwest China. This soil is particularly abundant in macropores due to its shallow layers and insufficient development, making it vulnerable to water and pollutant infiltration and thus increasing the risk to groundwater.
2. Methodology
2.1. Chemicals and Reagents
Two antibiotics, sulfamethazine (SMZ) and sulfadiazine (SDZ), were chosen for the study. SMZ and SDZ with purity of ≥98% were obtained from Aladdin Chemical Reagent Co., Ltd. (Shanghai, China) to be used in column experiments, while higher-purity standards (≥99.5%) for chromatographic analysis were sourced from Dr. Ehrenstorfer GmbH (Augsburg, Germany). The internal standard, sulfamethazine-d4 (≥99.5%), was also supplied by Dr. Ehrenstorfer GmbH. Thermo Fisher Scientific (Waltham, MA, USA) provided HPLC-grade methanol and acetonitrile. Further details related to the antibiotics are given in the Supplementary Information (Table S1). Ultrapure water from a Millipore Water Purification System (Millipore, Billerica, MA, USA) was used to prepare all reagent solutions. Anhydrous calcium chloride and analytical-grade formic acid were also applied in the experiments.
2.2. Study Area and Soil Sampling
Soil samples were collected from hilly farmland in Yanting County, Sichuan Province, China (31°16′ N, 105°28′ E), characterized by a mild monsoon climate (average 17.3 °C, 826 mm annual rainfall). The site is located on a 6° slope within the purple soil region of the Sichuan Basin (Figure 1) and has been cultivated since farmland consolidation in 2013 and plot establishment in 2015 [23]. Loose and undisturbed soil samples were taken at 0–20 cm, 20–40 cm, and 40–60 cm depths. The soil was characterized by 0.51–0.93% (SOM), 16.2–17.13 cmol kg−1 (CEC), 8.44–8.77 (pH), and a bulk density of 1.53–1.63 g cm−3 (Table S2). Undisturbed samples were collected using polyethylene cylinders (15 cm diameter × 20 cm height) for micro-CT and column experiments, with four replicates of intact cores (5 cm diameter × 5.05 cm height). All samples were stored at 4 °C before analysis.
Figure 1.
Distribution of the studied Entisol (purple soil) in the upper reaches of the Yangtze River and location of the farmland site in this study.
2.3. Soil Hydraulic Properties
The soil core samples were saturated in distilled water from the bottom for 18 h in the laboratory, and the constant head method was used for saturated hydraulic conductivity (Ks) measurement [23]. Following the determination of Ks, the same soil core samples proceeded to the SWRC experiment at 11 suction levels of −1, −7.5, −15, −35.5, 68.6, −105.5, −330, −500, −1000, −5000, and −15,000 cm H2O. Suction between −1 and −100 cm H2O was applied using a sandbox pressure plate, while suction ranging from −337 to −15,300 cm H2O was achieved with a pressure plate (Soil Moisture Equipment Corp., Santa Barbara, CA, USA). Finally, the soil cores were oven-dried within 24 h at 105 °C to measure the soil water content. The RETC fitting program (RECT Version 6.02, University of California), applying the single-porosity van Genuchten (1980) model, was used to fit the SWRC observed data (vG) [24].
The model equation was
In this context, denotes the volume of water content (m3 m−3); h refers to the applied pressure head (cm); and correspond to the residual and saturated water content (m3 m−3), respectively; and the empirical parameters are m (=1 − 1/n) and n (cm−1).
The pore size distribution is characterized by the maximum pore radius, r (µm), described as the largest pore radius that retains water under a given pressure head h (cm). This parameter can be obtained from the absolute value of h through the Young–Laplace equation [25]:
According to Cui et al. [26], the soil pore systems were categorized into size classes, including non-drainage micropores (r < 0.1 µm or h > 14,900 cm, residual water), slowly drainable micropores (25 µm > r > 0.1 µm), fine macropores (125 µm > r > 25 µm), and coarse macropores (r > 125 µm).
2.4. Macropore Characterization
2.4.1. Field Dye Tracing Experiment
The double-ring method was applied to perform the field dye tracing experiment (Figure S1) at the downslope experimental plot during summer 2024. The Brilliant Blue dye marked the flow paths at the experimental site. A 4.0 g/L dye solution (Brilliant Blue R 250 CI-nr 42660, Merck KGaA, Darmstadt, Germany) was prepared before the experiments and sprayed above the plot area [27], resulting in a uniform irrigation system to mimic outdoor rainfall, with a 36.38 mm/h equivalent rainfall intensity, and 4 L of dye solution was distributed uniformly, wetting the soil surface constantly using handheld bowls with equal amounts of tap water and dye solution simultaneously in a double-ring infiltration design (Figure S1a). The dye-stained region was divided into two sections along the circumference of the outer ring (Figure S1b). Thus, the soil profiles were excavated in 3.5 h after dye solution application, with 5 cm spacing between the two vertical soil profiles (Figure S1d) and horizontal slices with 10 cm spacing (Figure S1c). Purple soil macropore characteristics: Images from vertical sections of the soil profile were captured with a digital camera (Nikon D700, Nikon Corporation, Tokyo, Japan) and analyzed with the ImageJ software (version 1.54i).
The vertical and horizontal slices of the dye images were processed in the Microsoft Photos 2025 and ImageJ software (version 1.54i). Image processing included editing and cropping the raw dye images to 100 × 100 cm and 600 × 600 cm in the Microsoft Photos software, which maintained the scale (tape measure) and the stained areas in the images; then, it was rotated anti-clockwise. We set the scale in the ImageJ software, and one pixel represented one 1 mm × 1 mm section of the original image. Then, noise was reduced by removing outliers with a radius of 3 through a process tool. The color threshold for segmentation consisted of the range of 50–240° for hue, 0–255° for saturation, and 0–240° for brightness, while dye coverage areas and the remaining parts of the images were expressed as a pixel value of 255 for white and 0 for black. Thus, binary images were processed and analyzed to obtain the dye coverage areas in pixels of each row of the image and the whole image [28,29,30,31].
The total stained area (TSA) represents the total combined area of dye coverage across all depth layers in the profile. The uniform infiltration depth (UID) is the depth at which dye coverage declines below 80% [32], indicating a transition from uniform to preferential flow. The preferential flow fraction (PFF) quantifies the fraction of total infiltration passing through preferential pathways (Equation (3)) [32,33]:
2.4.2. Micro-CT Scan and Macropore Network Analysis
This experiment utilized a micro-CT system (Voxel-2000 series, Tianjin Sanying Precision Instrument Co., Ltd., Tianjin, China) to scan soil columns measuring 15 cm in diameter and 20 cm in height. The scanning was performed with a line source voltage of 440 kV and a current of 1.5 mA for an exposure time of 0.55 s per projection. During a full 360 rotation, images were acquired at intervals of 0.25°, resulting in a total of 4320 frames each with an image size of 3072 × 3072 pixels. The collected projections were reconstructed into three-dimensional (3D) volumes using the manufacturer’s software, Voxel Studio Recon, yielding a final spatial resolution of 55.3 µm. From the reconstructed 3D data, macropores with a diameter greater than 200 µm were identified and analyzed. The ImageJ software (version 1.54i, National Institutes of Health, Bethesda, MD, USA) was used for subsequent image processing. To facilitate slice-based analysis, the grayscale image stack was resampled to a new voxel size of 0.110 mm × 0.110 mm × 0.110 mm [34].
Furthermore, the diameter (124.6 mm) and height (124.6 mm) of the region of interest (ROI) were selected from the central parts of three soil columns sampled at different depths using ImageJ with the clear outside tool to prevent errors at the boundary region due to sampling. To characterize the macropores, several parameters, including the macroporosity, compactness (CP), macropore mean diameter (MD), hydraulic radius of macropores (HD), and global connectivity (Γ), were obtained by applying the ImageJ 3D object counter plug-in [35]. Macropores smaller than 8 voxels were used to prevent potential unresolved features [36]. The features of individual pores and unconnected pores were analyzed to obtain the selected parameters of the soil pores through the plug-in in ImageJ. The analyze particles tool was used to quantify the volume and surface area of each macropore [13]. The HD was defined as the ratio of the macropore volume to the surface area of macropores. Macroporosity was calculated as the ratio of the total macropore volume obtained from the scan to the volume of the region of interest (ROI). The BoneJ plug-in in ImageJ was applied to measure the MD using the local thickness algorithm [37]. The macropore shape factor (CP) increases as the pore deviates from a sphere, while tubular and elongated pores facilitate high water infiltration [38]. The parameter Γ indicates soil pore connectivity, expressing the probability that two pores belong to the same continuous pore, with values ranging from 0 to 1. The value approaches 1 when all pores form a single continuous percolating network. The parameters CP, Γ, and MD were obtained from the following equations:
with A corresponding to the macropore surface area and and indicating each macropore’s diameter and volume, while n denotes the amount of isolated macropores according to Wang et al. [13].
2.5. Soil Column Experiments
2.5.1. Breakthrough Curves (BTCs) and Modeling
The undisturbed soil columns were subjected to a series of laboratory tests, which included saturation, drainage, and the infiltration of the samples with a KBr solution with the target antibiotics and then leachate collection. Three undisturbed soil samples were collected by a PVC pipe sampler (inner diameter: 15 cm and length: 20 cm) at depths of 0–20, 20–40, and 40–60 cm, respectively. The preferential flow along the cylinder walls was avoided via vegetable fat application around the top of the cylinder prior to infiltration. Here, 0.02 M of calcium chloride solution was infiltrated into the soil columns for 48 h at a flow rate of 11 mm/h to maintain a steady-rate flow [39,40]. The chemical solution preparation procedure was adopted according to Gbadegesin et al. [41].
After saturation, aqueous solutions containing 100 mg/L of KBr and 1 mg/L of sulfonamide antibiotics were applied, while a peristaltic pump (BT-100F, Baoding Lange Co., Ltd., Baoding, China) was used to regulate their application. The leachates were collected in 200 mL glass vials automatically under simulated moderate rainfall (11 mm/h) and storm rainfall (25 mm/h) through 3 pv of Br− with the antibiotics solution, followed by 3 pv of ultrapure water. The modeling of veterinary antibiotics transport in the soil columns was performed via the dual-porosity model in the HYDRUS-1D software (version 4.17.0140) [42] to simulate KBr and the selected antibiotics’ transport through macropores in the undisturbed soil columns. More details are provided in the Supplementary Information.
2.5.2. Quantification of Br− Tracer and Antibiotics
A PES membrane of 0.45 mm (Millipore, Billerica, MA, USA) was used to filter the leachate samples. A bromide ion detector (Bante931, Shanghai Bante Co., Ltd., Shanghai, China) and an Agilent 1290 Infinity II high-performance liquid chromatography with ultraviolet detection (HPLC-UV) system (Agilent, Santa Clara, CA, USA) with a C18 column (150 mm × 2.1 mm, 3.5 mm, Waters, Milford, CT, USA) were used to measure the concentrations of bromide ions (Br−) and antibiotics residuals in effluent samples, respectively. The total retention percentage was obtained by comparing the influent and effluent fluxes of antibiotics to quantify their retention rates through the soil column, while Br− was applied as a conservative tracer to monitor water flow fluctuations. The HPLC-UV system contributed to the determination of sulfadiazine (SDZ) and sulfamethazine (SMZ). The mobile phase used 0.5% formic acid (A) and acetonitrile (B). Here, 20 μL per sample was injected, and the gradient elution flow rate was 0.8 mL min−1. The gradient elution method was programmed as follows: 0–1 min: 80% A; 1–13.5 min: 80–70% A; 13.5–15 min: 70–80% A, according to Liu et al. [8]. The retention times for SDZ and SMZ were 4.0 and 5.6, with a 0.05 mg/L detection limit.
2.6. Statistical Analysis
The modeling quality was validated by the estimation of the determination coefficients (R2) for the simulated and observed data on the antibiotics and bromide concentrations in the leachates. SPSS (version 27) and the OriginPro software (version 10.2.5.234) were used to calculate the basic data, perform the correlation analysis, and draw the corresponding charts. The relationship between the macropore characteristics and the leaching of veterinary antibiotics was determined using Pearson’s correlations, with significance levels of p < 0.01 and p < 0.05.
3. Results and Discussion
3.1. Soil Pore Distribution by SWRC Measurement
The observed and fitted data on soil water retention at the three depths are presented in Table 1 and Figure 2. The soil water retention curves, obtained from experimental measurements with van Genuchten (vG) model fits (Figure 2), demonstrated strong depth-dependent hydraulic behavior in the farmland soil profile. The saturated water content (θs) decreased with depth, from 0.462 at the surface to 0.388 at 40–60 cm, consistent with a decrease in porosity [43]. Meanwhile, the air entry parameter (α) increased from 0.0348 to 0.0513, suggesting low water retention thresholds in subsoil layers. The shape parameter (n) peaked in the subsurface layer at 1.485, indicating a narrow pore size distribution and fast moisture release, while the low value of 1.285 in deep soil revealed wide heterogeneity favoring preferential pathways [44].
Table 1.
Soil pore size classification and fitted parameters from measurement of SWRC (mean and std).
Figure 2.
Soil water retention curves (SWRCs) obtained from measurement of pressure head (h) and water content (θ), van Genuchten model fitting results, and estimated pore size distribution in studied soil at different depths. Non-drainable micropores (r < 0.1 µm), slowly drainable micropores (0.1 < r < 25 µm), fine macropores (25 < r < 125 µm), and coarse macropores (r > 125 µm), respectively. Error bars represent standard deviations.
At 0–20 cm, the water content (θ) remained relatively high under low matric suction, indicating the dominance of coarse macropores, compared to the lower and subsurface layers. Meanwhile, the intermediate 20–40 cm depth established a high fine macropore volume. In contrast, the 40–60 cm subsoil exhibited a considerable decline in θ with increasing suction, reflecting the great prevalence of macropores, which enhanced gravitational drainage and bypass flow [45]. The soil pore volume categories from the SWRCs (Table 1 and Figure 2) showed high macroporosity at 40–60 cm, 0–20 cm, and 20–40 cm depths. Macropores dominated in the 40–60 cm subsoil compared to other layers, supported by a higher α and lower θs, which facilitated rapid gravitational flow and preferential pathways. Furthermore, the slowly draining and non-drainable micropore volumes were greater than the fine and coarse macropore volumes throughout the soil profile, offering moderate conditions for root water uptake [46].
3.2. Soil Macropore Characteristics
Stained Flow and Macropore Parameters Derived from CT Scan
The dye photographs exhibited structural differences across depths. Vertical soil profile images (Figure 3a) showed that the dye in the upper 0–20 cm spread over a wide area, staining a considerable fraction of the soil cross-section. The surface soil was highly blue-stained, suggesting near-uniform initial infiltration across the surface through macropore and finger flow. By contrast, dye penetration below 20 cm became spatially restricted. At the 20–40 cm depth, the blue dye was observed mainly along a distinct finger flow, indicating that water was concentrated into finger channels through downward movement [47]. A large portion of the matrix in the subsurface layer remained unstained, reflecting a sharp decrease in lateral dye coverage compared to the surface. In the 40–60 cm layer, horizontal images (Figure 3b) demonstrated small, isolated stained areas. The dye at this depth was largely limited to the immediate surroundings of connected macropore outlets, with most of the horizontal cross-section showing no dye. However, the dye tracer experiment showed extensive lateral dye coverage in the topsoil, but this subsequently decreased along preferential flow paths in the subsoil. The PFF (%) showed an average of 63.99, with a 3.4 cm UID for 0–20 cm, 100 for 20–40 cm, and 40–60 cm depths. The great PFF found in the subsoil compared to the topsoil indicated a high proportion of preferential flow, which reflected high pore connectivity in the deep soil [33]. The results exhibited a change from widespread matrix infiltration near the surface to a concentrated preferential flow along vertical macropores at depth. For instance, a large area was stained at the 0–20 cm depth, while dye coverage dropped considerably to below 20% of the area beyond the 20–40 cm depth, which agreed with the findings in similar experiments [48,49]. Moreover, the field dye tracer experiment established that the macropore system in farmland can rapidly distribute solutes sideways, greatly expanding contamination across a broad area. Thus, contaminants like veterinary antibiotics can migrate unpredictably far from their source, challenging the common assumption of straight vertical leaching in risk assessments.
Figure 3.
Photographs of dye-stained areas of soil in (a) vertical slices and (b) horizontal slices from double-ring center (DRC) for dye tracing experiment and the calculated coverage rates from binary digital images; with the red dashed and black solid lines indicate the uniform infiltration at depth and dye coverage from DRC, respectively.
The CT-derived macropore parameters in Table 2 reveal apparent depth-dependent trends in the soil structure. The surface layer (0–20 cm) showed macroporosity (MP) of 7.6%, which was higher than the 5.5% found in the 20–40 cm layer. However, the lower layer (40–60 cm) had the highest MP of 8.0%, slightly exceeding the macroporosity in the surface layer. The MP decrease in the subsurface layer, with recovery in the lower layer, indicates that the presence of rock fragments influenced the high macroporosity at the 40–60 cm depth (Figure 4), while tillage practices increased the MP at the surface compared to the compacted subsurface layer [50]. The macropore hydraulic radius (HD) increased with depth, while the mean macropore diameter (MD) was high in the surface layer, at 3.15 mm, while that in the lower layer was 2.67 mm and that in the subsurface layer was 2.04 mm. Moreover, the macropore compactness (CP), as a shape factor where high values indicate more irregular pores, peaked at 428 at 0–20 cm, 295 at 20–40 cm, and 262 at 40–60 cm. The great CP in the topsoil suggested the presence of numerous irregular pores (root channels or worm burrows), while the low CP in the deep soil indicated that the macropores were relatively simple in shape, such as a few elongated vertical channels [34]. The global connectivity index (Γ) was 0.545 in the 0–20 cm layer, indicating that more macropores in the plow layer were isolated or dead-ended. In contrast, Γ reached 0.919 at 20–40 cm and 0.961 at 40–60 cm, suggesting that a large amount of macropores in the subsoil belonged to a single interconnected network [13]. Thus, the surface layer contained a great number of distinct macropores with limited continuity (Figure 4a,b), while the subsurface layer had a smaller amount of macropores that were highly interconnected into continuous pathways (Figure 4c,d). In contrast, the lower layer demonstrated a highly connected macropore system and great macroporosity compared to the surface and subsurface layers (Figure 4e,f).
Table 2.
Soil macropore parameters obtained from computed binarization and calculation of micro-CT scan images.
Figure 4.
Micro-CT images of soil macropore structures before and after computed binarization. Selected 2D grayscale slices of horizontal and vertical cross-sections from undisturbed columns at three depths representing surface layer (0–20 cm; a,b), subsurface layer (20–40 cm; c,d), and lower layer (40–60 cm; e,f). Macropores are presented in the dark areas of the grayscale images. A 3D reconstruction of the macropore network (>125 μm) was obtained for the entire soil column, with red and green colors indicating isolated and connected pores, respectively.
3.3. Relationship of Saturated Hydraulic Conductivity and Macroporosity
The saturated hydraulic conductivity values from the SWRCs are shown in Table S2. The Ks was 3.96, 1.1, and 0.67 mm/min across the depths, respectively. The contribution of active macropores with an approximate diameter of greater than 200 mm to the water flow was observed (Figure 5). The macroporosity near the bedrock layer (7.6%) was greater than that in the surface layer (5.3) and the subsurface layer (3.6) (Table 1) due to the presence of rock fragments at the 40 to 60 cm depth and soil biological activity at the 0 to 20 cm depth as compared to the compacted subsurface layer [13,51]. While the water content was near saturation, the influence of larger active macropores on the water flow was apparent given the sharp rise in R2 toward saturation, and the Ks reflected the structural influence of macropores in directing water flow patterns across the soil profile.
Figure 5.
Correlation between saturated hydraulic conductivity (Ks) and macroporosity for the studied soil at varying depths. The Ks values were obtained from the Darcy’s Law-based constant head method using undisturbed soil core samples. The macroporosity results were derived from SWRC measurement and van Genuchten model fitting.
Ks decreased with depth despite the increased macroporosity at 40–60 cm, indicating that the total pore volume alone does not determine flow efficiency [52]. Furthermore, the reduction in Ks in the subsoil was due to the predominantly small macropore diameters, which was in agreement with the results of Tang et al. [53]. Tang et al. [53] also reported that the macropore diameter showed a strong positive correlation (r = 0.58) with Ks. The size of macropores (Table 2) reduced the macroporosity effect on Ks, resulting in a moderate correlation between Ks and the macroporosity (Figure 5). However, the pore connectivity and macropore shape exhibited a strong correlation with Ks, close to 1 with significance at p = 0.05, through the soil profile (Figure S2). The pore functionality and connectivity, rather than the volume alone, governs the saturated flow in structured soils [54]. Thus, the role of functional pore networks is essential in promoting sustainable soil and water conservation [55].
3.4. Macropore Flow Impact on Bromide and Sulfonamide Leaching
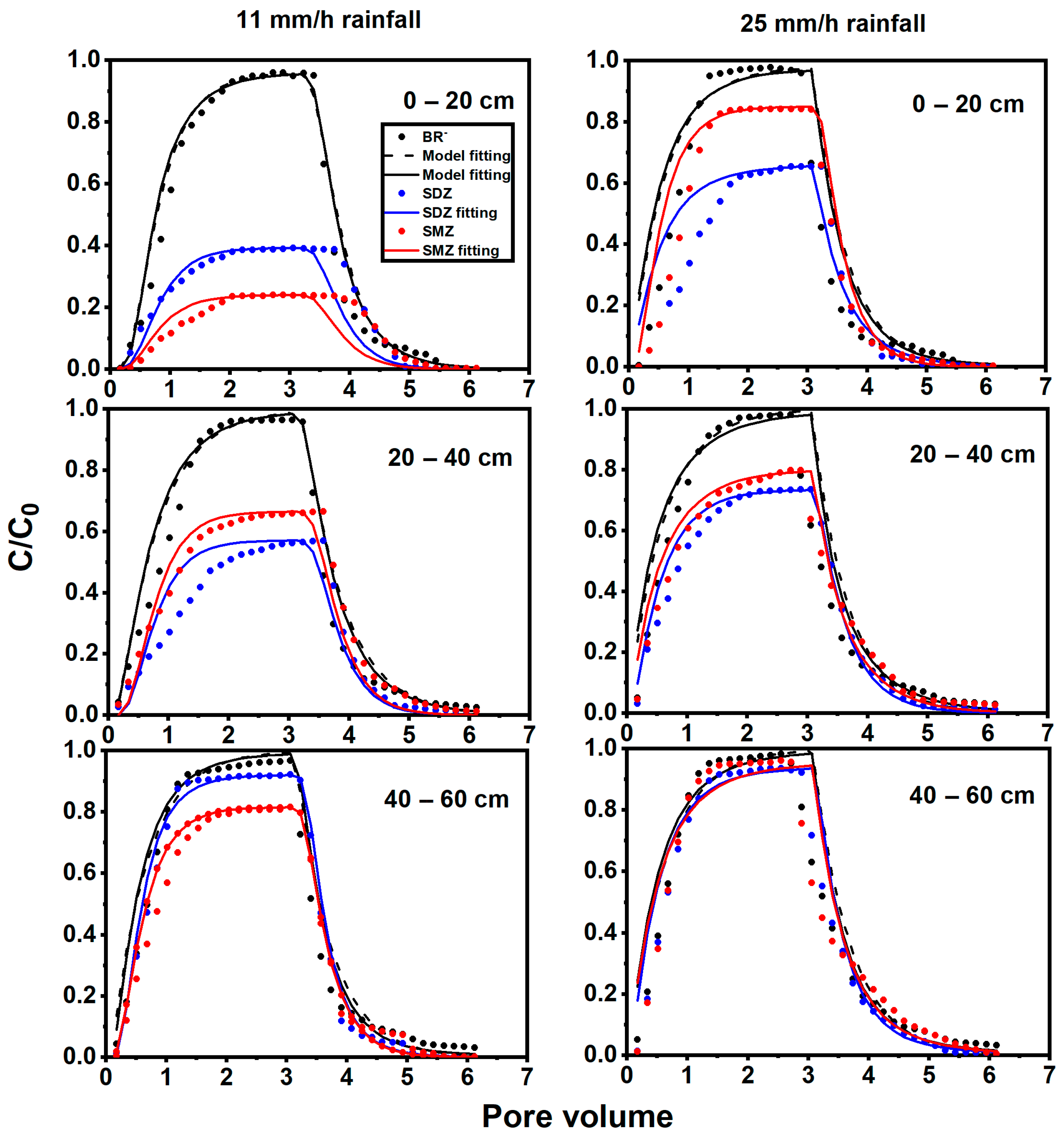
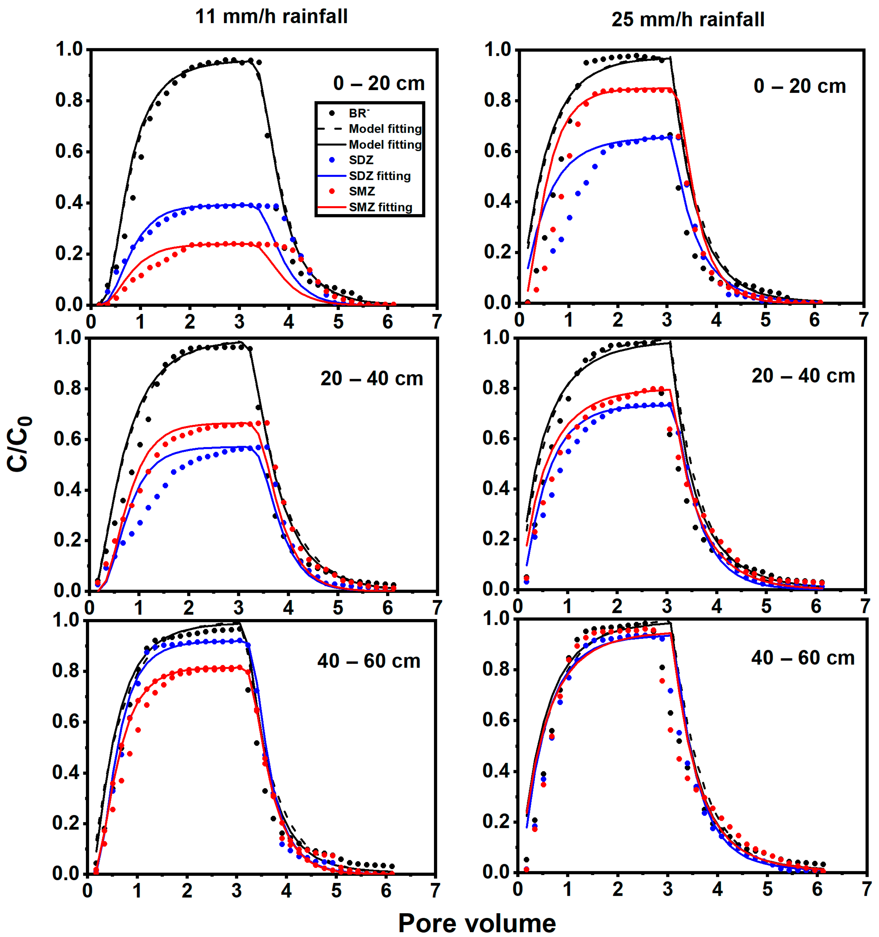
The breakthrough curves (BTCs) showed conservative tracer behavior for bromide (Br−) and reactive behavior for sulfadiazine (SDZ) and sulfamethazine (SMZ). Br− appeared early in the effluent with a sharp peak, indicating minimal retention. In contrast, SDZ and SMZ’s breakthrough curves were delayed and showed extended tails, reflecting sorption and kinetic nonequilibrium effects. Both antibiotics interacted with the soil through cation exchange or surface complexation, which slowed their movement compared to bromide. At a low flow rate (11 mm h−1), SDZ and SMZ broke through later and at lower concentrations than bromide, suggesting considerable retardation. The mobility order was Br− > SDZ ≥ SMZ under low flux, indicating the moderate sorption affinity of sulfonamide antibiotics in soil. Several studies have reported low sorption coefficients for SDZ and SMZ, suggesting a risk of leaching in soils [5,56,57,58,59]. The results confirmed that a considerable fraction of SDZ compared to SMZ leached through the soil columns, particularly under conditions favoring macropore flow. Under a high infiltration rate (25 mm h−1), the gap in mobility between bromide and the antibiotics narrowed. The BTCs of SDZ and SMZ at 25 mm h−1 approached that of bromide, with much earlier appearance and higher relative peak concentrations than at 11 mm h−1 (Figure 6).
Figure 6.
The breakthrough curves for water tracer (Br−) and antibiotics (SDZ and SMZ) leaching in saturated undisturbed columns collected from three depths of farmland soil under simulated rainfall of two intensities. Dotted lines are observed data and solid lines are fitted results via the CDE and TR models for Br− and antibiotics, respectively.
The results indicated that a fast flow allowed the sorbing antibiotics to be transported close to the bromide tracer. The reduction in retardation can be explained by the short contact time and great bypass of the soil matrix at high flow. Thus, the antibiotics remained in mobile macropore water for more time, rather than diffusing into micropores or adsorbing onto particle surfaces. The preferential flow reduced the influence of soil matrix–solute interactions. The field dye results supported this mechanism as the dye was carried along certain pathways so rapidly that large portions of the soil volume were never contacted. Similarly, SDZ and SMZ under high flux percolated through the soil before being fully equilibrated with the solid phase. These findings align with those of Radolinski et al. [47], who found that, above a certain threshold of preferential flow contribution, solute transport became insensitive to the sorption strength. SMZ tended to be slightly more retarded than SDZ (Figure 6), which could be related to differences in their chemical structures and sorption affinity. However, both sulfonamides showed broadly similar behavior in response to the flow conditions, and the small differences were influenced by the effects of macropore flow under high infiltration [9]. The matrix-dominated flow occurred at a low flow rate, and the antibiotics were notably less mobile than bromide due to sorption, while their mobility increased substantially due to the macropore-dominated flow at a high flow rate [60]. The recovery rates were 63% (SDZ) and 57% (SMZ) at a low flow rate (moderate rainfall), while they were 77% (SDZ) and 84% (SMZ) at a high flow rate (storm rainfall). SDZ showed a higher leaching level than SMZ across the soil profile, which is in line with the results of a previous study [61]. In contrast, Ostermann et al. [9] reported higher concentrations of SMZ than SDZ in leachates.
The correlation analysis between macropore characteristics and antibiotics transport is are shown in Figure S2. The results showed that MD, Γ, CP, MP, and HD contributed to the antibiotics’ dispersion throughout the soil profile, and their correlations ranged from 0.63 to 0.99 for MD, 0.65 to 0.99 for Γ, 0.57 to 0.99 for CP, 0.087 to 0.91 for MP, and 0.25 to 0.97 for HD. Γ and CP were strongly correlated with SMZ > SDZ > Br−; thus, CP significantly influenced SMZa (p < 0.01). Meanwhile, MD showed a significant influence on SDZa (p ≤ 0.05) and was strongly correlated with SDZ > Br− > SMZ leaching. However, MP showed a weak correlation with SMZ compared to Br− and SDZ, respectively, while the correlations of HD were weak for Br−, moderate for SDZ, and strong for SMZ. Moreover, SDZa was significantly correlated with SDZb, and Ks showed a strong and significant correlation with SMZa (p < 0.05). Generally, the effects of the macropore characteristics on the leaching behavior were more significant at a low flow rate than a high flow rate according to the correlation analysis, and MD, Γ, and CP were the most effective macropore parameters contributing to antibiotics leaching. These findings align with the results of previous studies [13,34,53,62].
3.5. Breakthrough Curve Modeling and Parameter Insights
The modeling results confirmed the experimental interpretations and highlighted the importance of considering preferential flow (Table 3 and Figure 6). The convection–dispersion (CDE) model is reasonable in estimating conservative tracer (Br−) leaching behavior in a non-uniform flow; it assumes a single well-mixed domain. However, the two-region (dual-porosity) model simulates a fraction of water and solutes moving quickly through macropores, while another fraction remains relatively stagnant in micropores or soil aggregates [63]. According to the fitting parameters (Table 3), the TR model captured the early arrival and tailing of the Br− BTCs more accurately than the CDE model. For instance, the RMSE was 0.077 (CDE) and 0.076 (TR model) at the 20–40 cm depth at 11 mm h−1. Similarly, the TR model reduced the fitting error by accounting for the significant immobile water fraction θim of 0.066 at 25 mm h−1 at 20–40 cm, which CDE neglected. The Br− BTCs showed that the TR model offered a minor advantage, e.g., both CDE and TR achieved 0.98 (R2) in the surface layer, which reflected that Br− transport was near equilibrium (with minimal immobile domain effects) [8]. However, the TR model generally yielded a high R2 and low RMSE (Table 3) for SDZ and SMZ, particularly under a low flow rate, across the soil profile, suggesting the presence of non-equilibrium transport.
Table 3.
The obtained parameters from the fitting of breakthrough curves for the water tracer (Br−) and antibiotics (SDZ and SMZ) via the convection–dispersion equation (CDE) and the two region (TR) hydraulic models.
The longitudinal dispersivity (λ) increased among Br−, SMZ, and SDZ across the soil profile. The λ value for Br− was higher at 20–40 cm, from 135.5 to 151.6, than at 40–60 cm and 0–20 cm; λ for SMZ was higher at 40–60 cm, from 99.9 to 107.5, than at 20–40 cm, and 0–20 cm; and λ for SDZ was higher at 0–20 cm, from 32.6 to 35.2, than at 40–60 cm and 20–40 cm depths, respectively. SMZ was more highly distributed than SDZ through the soil macropore network. The high dispersivity indicated a more irregular pore structure or long water flow paths, a pattern that some authors [64,65] have linked with the occurrence of discontinuous macropores in soil columns. The immobile water content (θim) ranged from around 2% to over 6% of the pore volume (Table 3). θim increased with the flow rate in the surface soil, which was consistent with great bypass flow, while θim increased with the depth and flow rate in the subsoil, which exhibited less bypass flow at 20–40 cm compared to 40–60 cm and 0–20cm depths [66]. The small α values suggested slow mass exchange, which is typical for large aggregates or densely structured soils and leads to the persistence of tailing over hours to days [67]. Thus, contaminants continue to leach out of the soil after the main flow event, as the solute slowly diffuses from immobile zones.
3.6. Impact of Flow Rate and Soil Depth on Breakthrough Behavior
The infiltration rates showed a strong impact on the leaching behavior of Br−, SDZ, and SMZ (Figure 6). Under the low flux condition (11 mm h−1, simulating moderate rainfall), flow through the soil columns was relatively slow and closer to matrix-controlled percolation. The bromide and antibiotic breakthroughs were delayed, and leachate collection took a long time (e.g., 190 min to collect a given volume from the 0–20 cm column at 11 mm h−1). In contrast, percolation was much faster under a high infiltration rate (25 mm h−1), and a similar leachate volume was obtained in 85 min from the 0–20 cm column (Table S3). The fast leaching at 25 mm h−1 indicated that the water and antibiotics traveled through the soil more rapidly, consistent with the activation of macropore flow at high flux. In the experiments, the fast infiltration likely wetted and connected previously air-filled macropores [60], leading to the early breakthrough of all solutes at 25 mm h−1 compared to 11 mm h−1. However, the degree of longitudinal dispersivity exhibited an apparent dependence on the infiltration dynamics, particularly the flow intensity and total infiltration amount [68].
The two-region transport model fitting suggested that a large fraction of water was mobile under high flux in the surface layer. The fitted immobile water content (θim) decreased from about 0.06 under 11 mm h−1 to 0.03 at 25 mm h−1. This indicated that immobile water domains were less dominant when infiltration was intense. These findings are consistent with the concept of preferential flow being a non-equilibrium process at higher flux: water moves rapidly through a limited fraction of the pore space, creating subsequent mobile–immobile partitioning in the structured subsoil [69]. In contrast, the trend in the deep layers was reversed for the 20–40 cm and 40–60 cm depths, with a higher θim at 25 mm h−1 than at 11 mm h−1, which indicated a smaller impact of the high flow rate on bypass flow in the subsoil compared to the surface soil.
4. Conclusions
This study found that macropore flow plays a dominant role in the leaching of sulfonamide antibiotics, particularly under heavy rainfall conditions. The measurement of soil water retention curves and micro-CT scans revealed higher macroporosity near the bedrock than the surface layer, which contributed moderately to saturated hydraulic conductivity and preferential lateral water movement. The MD, Γ, and CP among the macropore parameters had the greatest influence on antibiotics transport. The dual-porosity model outperformed the one-dimensional model in predicting antibiotics migration through macropores. Under a low flow rate, solute mobility followed the order Br− > SDZ ≥ SMZ, while a high flow rate led to earlier breakthrough and higher peak concentrations for SDZ and SMZ. These results emphasize that preferential macropore flow can allow antibiotics to bypass soil sorption and increase the leaching risks under heavy rainfall, especially after manure application, while highlighting the importance of accounting for the soil macropore structure in future contaminant transport models and pollution control strategies for sustainable soil health and water quality.
Supplementary Materials
The following supporting information can be downloaded at: https://www.mdpi.com/article/10.3390/su17219898/s1, Figure S1: (a): the design of a double ring method, (b): the field excavation and dye area diagram, (c): excavation in a horizontal, and (d): vertical directions; Figure S2: Correlation analysis between antibiotics transport and soil macropore parameters; Table S1: Properties of two target antibiotics; Table S2: Soil basic properties in three depths; Table S3: Observational results of soil breakthrough curves. References [13,37,38,70,71,72,73,74,75,76] are cited in the Supplementary Materials.
Author Contributions
D.N. was involved in writing—review & editing, investigation, and formal analysis; C.L. was involved in writing—review & editing, supervision, resources, and funding acquisition; J.C. was involved in resources, and funding acquisition; X.L. and Z.S. were involved in investigation, and formal analysis; and Q.Z. was involved in formal analysis. All authors have read and agreed to the published version of the manuscript.
Funding
This work was supported by the National Natural Science Foundation of China (42371039 and 41771521).
Institutional Review Board Statement
Not applicable.
Informed Consent Statement
Not applicable.
Data Availability Statement
The original contributions presented in this study are included in the article/Supplementary Materials. Further inquiries can be directed to the corresponding author.
Conflicts of Interest
The authors declare no conflicts of interest.
References
- Gbadegesin, L.A.; Tang, X.; Liu, C.; Cheng, J. Transport of Veterinary Antibiotics in Farmland Soil: Effects of Dissolved Organic Matter. Int. J. Environ. Res. Public Health 2022, 19, 1702. [Google Scholar] [CrossRef]
- Qiao, M.; Chen, W.; Su, J.; Zhang, B.; Zhang, C. Fate of tetracyclines in swine manure of three selected swine farms in China. J. Environ. Sci. 2012, 24, 1047–1052. [Google Scholar] [CrossRef] [PubMed]
- Sarmah, A.K.; Meyer, M.T.; Boxall, A.B. A global perspective on the use, sales, exposure pathways, occurrence, fate and effects of veterinary antibiotics (VAs) in the environment. Chemosphere 2006, 65, 725–759. [Google Scholar] [CrossRef]
- Gworek, B.; Kijeńska, M.; Wrzosek, J.; Graniewska, M. Pharmaceuticals in the Soil and Plant Environment: A Review. Water Air Soil Pollut. 2021, 232, 145. [Google Scholar] [CrossRef]
- Conde-Cid, M.; Núñez-Delgado, A.; Fernández-Sanjurjo, M.J.; Álvarez-Rodríguez, E.; Fernández-Calviño, D.; Arias-Estévez, M. Tetracycline and Sulfonamide Antibiotics in Soils: Presence, Fate and Environmental Risks. Processes 2020, 8, 1479. [Google Scholar] [CrossRef]
- dos Santos Neto, S.M.; Coutinho, A.P.; Antonino, A.C.D. Sorption of sulfadiazine and flow modeling in an alluvial deposit of a dry riverbed in the Brazilian semiarid. J. Contam. Hydrol. 2021, 241, 103818. [Google Scholar] [CrossRef]
- Weiss, K.; Schüssler, W.; Porzelt, M. Sulfamethazine and flubendazole in seepage water after the sprinkling of manured areas. Chemosphere 2008, 72, 1292–1297. [Google Scholar] [CrossRef]
- Liu, X.; He, Y.; Li, J.; Li, J.; Zhang, J.; Tang, X. Does biochar field aging reduce the kinetic retention for weakly hydrophobic antibiotics in purple soil? Biochar 2025, 7, 69. [Google Scholar] [CrossRef]
- Ostermann, A.; Siemens, J.; Welp, G.; Xue, Q.; Lin, X.; Liu, X.; Amelung, W. Leaching of veterinary antibiotics in calcareous Chinese croplands. Chemosphere 2013, 91, 928–934. [Google Scholar] [CrossRef] [PubMed]
- Hendrickx, J.M.H.; Flury, M. Uniform and Preferential Flow Mechanisms in the Vadose Zone. In Conceptual Models of Flow and Transport in The Fractured Vadose Zone; Academic Press: Washington, DC, USA, 2001; Available online: http://www.nap.edu/catalog/10102.html (accessed on 4 September 2025).
- Mamun, A.A. Characterization of Water Flow and Solute Transport Driven by Preferential Flow in Soil Vadose Zone. Master’s Thesis, Clemson University, Clemson, SC, USA, 2022. Available online: https://tigerprints.clemson.edu/all_dissertations/3010 (accessed on 4 September 2025).
- Mosthaf, K.; Rolle, M.; Petursdottir, U.; Aamand, J.; Jørgensen, P.R. Transport of Tracers and Pesticides Through Fractured Clayey Till: Large Undisturbed Column Experiments and Model-Based Interpretation. Water Resour. Res. 2021, 57, e2020WR028019. [Google Scholar] [CrossRef]
- Wang, Y.; Ruan, J.; Li, Y.; Kong, Y.; Cao, L.; He, W. Soil Macropore and Hydraulic Conductivity Dynamics of Different Land Uses in the Dry–Hot Valley Region of China. Water 2023, 15, 3036. [Google Scholar] [CrossRef]
- Akhtar, M.S.; Stüben, D.; Norra, S.; Memon, M. Soil structure and flow rate-controlled molybdate, arsenate and chromium(III) transport through field columns. Geoderma 2011, 161, 126–137. [Google Scholar] [CrossRef]
- Bøe, F.N. The Effect of Freezing and Thawing on Transport of Pesticides Through Macroporous Soils and the Potential Risk Towards the Aquatic Environment. Master’s Thesis, Norwegian University of Life Sciences, As, Norway, 2017. [Google Scholar]
- Kolupaeva, V.N.; Kokoreva, A.A.; Belik, A.A.; Pletenev, P.A. Study of the behavior of the new insecticide cyantraniliprole in large lysimeters of the Moscow State University. Open Agric. 2019, 4, 599–607. [Google Scholar] [CrossRef]
- Kördel, W.; Klein, M. Prediction of leaching and groundwater contamination by pesticides. Pure Appl. Chem. 2006, 78, 1081–1090. [Google Scholar] [CrossRef]
- Pan, F.; Xiao, K.; Guo, Z.; Li, H. Effects of fiddler crab bioturbation on the geochemical migration and bioavailability of heavy metals in coastal wetlands. J. Hazard. Mater. 2022, 437, 129380. [Google Scholar] [CrossRef] [PubMed]
- Quinn, R.; Dussaillant, A. The impact of macropores on heavy metal retention in sustainable drainage systems. Hydrol. Res. 2018, 49, 517–527. [Google Scholar] [CrossRef]
- Nahar, K.; Niven, R.K. An Analysis of Miscible Displacement and Numerical Modelling of Glyphosate Transport in Three Different Agricultural Soils. Agronomy 2023, 13, 2539. [Google Scholar] [CrossRef]
- Rukh, S.; Akhtar, M.S.; Alshehri, F.; Mehmood, A.; Malik, K.M.; Almadani, S.; Khan, A.; Shahab, M. Modeling the Transport of Inorganic Arsenic Species through Field Soils: Irrigation and Soil Structure Effect. Water 2024, 16, 386. [Google Scholar] [CrossRef]
- Helmhart, M.; O’Day, P.A.; Garcia-Guinea, J.; Serrano, S.; Garrido, F. Arsenic, Copper, and Zinc Leaching through Preferential Flow in Mining-Impacted Soils. Soil Sci. Soc. Am. J. 2012, 76, 449–462. [Google Scholar] [CrossRef]
- Tuyishimire, E.; Cui, J.; Tang, X.; Sun, Z.; Cheng, J. Interactive Effects of Honeysuckle Planting and Biochar Amendment on Soil Structure and Hydraulic Properties of Hillslope Farmland. Agriculture 2022, 12, 414. [Google Scholar] [CrossRef]
- van Genuchten, M.T. A closed-form equation for predicting the hydraulic conductivity of unsaturated soils. Soil Sci. Soc. Am. J. 1980, 44, 892–898. [Google Scholar] [CrossRef]
- Vomocil, J.A.; Flocker, W.J. Degradation of Structure of Yolo Loam by Compaction. Soil Sci. Soc. Am. J. 1965, 29, 7–12. [Google Scholar] [CrossRef]
- Cui, J.; Tang, X.; Zhang, W.; Liu, C. The Effects of Timing of Inundation on Soil Physical Quality in the Water-Level Fluctuation Zone of the Three Gorges Reservoir Region, China. Vadose Zo J. 2018, 17, 180043. [Google Scholar]
- Wang, F.; Wang, G.; Cui, J.; Guo, L.; Mello, C.R.; Boyer, E.W.; Tang, X.; Yang, Y. Preferential flow patterns in forested hillslopes of east Tibetan Plateau revealed by dye tracing and soil moisture network. Eur. J. Soil Sci. 2022, 73, e13294. [Google Scholar] [CrossRef]
- Li, M.; Yao, J.; Yan, R.; Cheng, J. Effects of Infiltration Amounts on Preferential Flow Characteristics and Solute Transport in the Protection Forest Soil of Southwestern China. Water 2021, 13, 1301. [Google Scholar] [CrossRef]
- Yan, Y.; Yang, Y.; Dai, Q. Effects of preferential flow on soil nutrient transport in karst slopes after recultivation. Environ. Res. Lett. 2023, 18, 034012. [Google Scholar] [CrossRef]
- Defterdarović, J.; Krevh, V.; Filipović, L.; Kovač, Z.; Phogat, V.; He, H.; Baumgartl, T.; Filipović, V. Using Dye and Bromide Tracers to Identify Preferential Water Flow in Agricultural Hillslope Soil under Controlled Conditions. Water 2023, 15, 2178. [Google Scholar] [CrossRef]
- Schneider, A.; Hirsch, F.; Raab, A.; Raab, T. Dye Tracer Visualization of Infiltration Patterns in Soils on Relict Charcoal Hearths. Front. Environ. Sci. 2018, 6, 143. [Google Scholar] [CrossRef]
- van Schaik, N.L.M.B. Spatial variability of infiltration patterns related to site characteristics in a semi-arid watershed. Catena 2009, 78, 36–47. [Google Scholar] [CrossRef]
- Pushpanjali; Reddy, K.S.; Dhimate, A.S.; Karthikeyan, K.; Samuel, J.; Reddy, A.G.K.; Kumar, N.R.; Rao, K.V.; Pankaj, P.K.; Rohit, J.; et al. Soil preferential flow dynamics in the southern drylands of India—A watershed based approach. Front. Water 2025, 6, 1457680. [Google Scholar] [CrossRef]
- Zhang, Z.; Liu, K.; Zhou, H.; Lin, H.; Li, D.; Peng, X. Linking saturated hydraulic conductivity and air permeability to the characteristics of biopores derived from X-ray computed tomography. J. Hydrol. 2019, 571, 1–10. [Google Scholar] [CrossRef]
- Bolte, S.; Cordelières, F.P. A guided tour into subcellular colocalization analysis in light microscopy. J. Microsc. 2006, 224, 213–232. [Google Scholar] [CrossRef]
- Jefferies, D.A.; Heck, R.J.; Thevathasan, N.V.; Gordon, A.M. Characterizing soil surface structure in a temperate tree-based intercropping system using X-ray computed tomography. Agrofor. Syst. 2014, 88, 645–656. [Google Scholar] [CrossRef]
- Doube, M.; Kłosowski, M.M.; Arganda-Carreras, I.; Cordelières, F.P.; Dougherty, R.P.; Jackson, J.S.; Schmid, B.; Hutchinson, J.R.; Shefelbine, S.J. BoneJ: Free and extensible bone image analysis in ImageJ. Bone 2010, 47, 1076–1079. [Google Scholar] [CrossRef]
- Zhou, Y.; Yi, Y.J.; Liu, H.X.; Tang, C.H.; Zhu, Y.L.; Zhang, S.H. Effect of geomorphologic features and climate change on vegetation distribution in the arid hot valleys of Jinsha River, Southwest China. J. Mt. Sci. 2022, 19, 2874–2885. [Google Scholar] [CrossRef]
- Jacobsen, O.; Moldrup, P.; Larsen, C.; Konnerup, L.; Petersen, L. Particle transport in macropores of undisturbed soil columns. J. Hydrol. 1997, 196, 185–203. [Google Scholar] [CrossRef]
- Park, J.Y.; Huwe, B. Effect of pH and soil structure on transport of sulfonamide antibiotics in agricultural soils. Environ. Pollut. 2016, 213, 561–570. [Google Scholar] [CrossRef] [PubMed]
- Gbadegesin, L.A.; Liu, X.; Tang, X.; Liu, C.; Cui, J. Leaching of Sulfadiazine and Florfenicol in an Entisol of a Chicken-Raising Orchard: Impact of Manure-Derived Dissolved Organic Matter. Agronomy 2022, 12, 3228. [Google Scholar] [CrossRef]
- Imůnek, J.; Genuchten, M.T.; van Šejna, M. The Hydrus-1D Software Package for Simulating the Movement of Water, Heat, and Multiple Solutes in Variably Saturated Media; Version 3.0, Hydrus Software Series 1; Department of Environmental Sciences, University of California Riverside: Riverside, CA, USA, 2005. [Google Scholar]
- Hillel, D. Soil and Water: Physical Principles and Processes; Academic Press: New York, NY, USA, 1971. [Google Scholar]
- Puppala, A.J.; Punthutaecha, K.; Vanapalli, S.K. Soil-Water Characteristic Curves of Stabilized Expansive Soils. J. Geotech. Geoenvironmental Eng. 2006, 132, 736–751. [Google Scholar] [CrossRef]
- Nimmo, J.R. The processes of preferential flow in the unsaturated zone. Soil Sci. Soc. Am. J. 2021, 85, 1–27. [Google Scholar] [CrossRef]
- Jabro, J.; Stevens, W.; Iversen, W.; Sainju, U.; Allen, B.; Dangi, S.; Chen, C. Soil-Water Retention Curves and Pore-Size Distribution in a Clay Loam Under Different Tillage Systems. Land 2024, 13, 1987. [Google Scholar] [CrossRef]
- Radolinski, J.; Le, H.; Hilaire, S.S.; Xia, K.; Scott, D.; Stewart, R.D. A spectrum of preferential flow alters solute mobility in soils. Sci. Rep. 2022, 12, 4261. [Google Scholar] [CrossRef]
- Yao, J.; Cheng, J.; Sun, L.; Zhang, X.; Zhang, H. Effect of Antecedent Soil Water on Preferential Flow in Four Soybean Plots in Southwestern China. Soil Sci. 2017, 182, 83–93. [Google Scholar] [CrossRef]
- Wang, K.; Zhang, R. Heterogeneous soil water flow and macropores described with combined tracers of dye and iodine. J. Hydrol. 2011, 397, 105–117. [Google Scholar] [CrossRef]
- Budhathoki, S.; Lamba, J.; Srivastava, P.; Williams, C.; Arriaga, F.; Karthikeyan, K. Impact of land use and tillage practice on soil macropore characteristics inferred from X-ray computed tomography. Catena 2022, 210, 105886. [Google Scholar] [CrossRef]
- Li, J.; Han, Z.; Zhong, S.; Gao, P.; Wei, C. Pore size distribution and pore functional characteristics of soils as affected by rock fragments in the hilly regions of the Sichuan Basin, China. Can. J. Soil Sci. 2021, 101, 74–83. [Google Scholar] [CrossRef]
- Jarvis, N.J. A review of non-equilibrium water flow and solute transport in soil macropores: Principles, controlling factors and consequences for water quality. Eur. J. Soil Sci. 2007, 58, 523–546. [Google Scholar] [CrossRef]
- Tang, Y.; Pan, H.; Zhang, T.; Cao, L.; Wang, Y. The Dynamics of Soil Macropores and Hydraulic Conductivity as Influenced by the Fibrous and Tap Root Systems. Agriculture 2024, 14, 1676. [Google Scholar] [CrossRef]
- Beven, K.; Germann, P. Macropores and water flow in soils. Water Resour. Res. 1982, 18, 1311–1325. [Google Scholar] [CrossRef]
- Bao, J.; Wang, K.; Xu, Z. Transmission Characteristics of the Macropore Flow in Vegetated Slope Soils and Its Implication for Slope Stability. Sustainability 2024, 16, 7897. [Google Scholar] [CrossRef]
- Sukul, P.; Lamshöft, M.; Zühlke, S.; Spiteller, M. Sorption and desorption of sulfadiazine in soil and soil-manure systems. Chemosphere 2008, 73, 1344–1350. [Google Scholar] [CrossRef]
- Wehrhan, A.; Kasteel, R.; Simunek, J.; Groeneweg, J.; Vereecken, H. Transport of sulfadiazine in soil columns—Experiments and modelling approaches. J. Contam. Hydrol. 2007, 89, 107–135. [Google Scholar] [CrossRef] [PubMed]
- Srinivasan, P.; Sarmah, A.K. Assessing the sorption and leaching behaviour of three sulfonamides in pasture soils through batch and column studies. Sci. Total Environ. 2014, 493, 535–543. [Google Scholar] [CrossRef] [PubMed]
- Fan, Z.; Casey, F.X.M.; Hakk, H.; Larsen, G.L.; Khan, E. Sorption, Fate, and Mobility of Sulfonamides in Soils. Water Air Soil Pollut. 2010, 218, 49–61. [Google Scholar] [CrossRef]
- Jørgensen, P.R.; Mosthaf, K.; Rolle, M. A Large Undisturbed Column Method to Study Flow and Transport in Macropores and Fractured Media. Groundwater 2019, 57, 951–961. [Google Scholar] [CrossRef]
- Conde-Cid, M.; Fernández-Calviño, D.; Fernández-Sanjurjo, M.; Núñez-Delgado, A.; Álvarez-Rodríguez, E.; Arias-Estévez, M. Adsorption/desorption and transport of sulfadiazine, sulfachloropyridazine, and sulfamethazine, in acid agricultural soils. Chemosphere 2019, 234, 978–986. [Google Scholar] [CrossRef] [PubMed]
- Luo, L.; Lin, H.; Schmidt, J. Quantitative Relationships between Soil Macropore Characteristics and Preferential Flow and Transport. Soil Sci. Soc. Am. J. 2010, 74, 1929–1937. [Google Scholar] [CrossRef]
- Celestino Ladu, J.L.; Zhang, D.R. Modeling atrazine transport in soil columns with HYDRUS-1D. Water Sci. Eng. 2011, 4, 258–269. [Google Scholar] [CrossRef]
- Buttle, J.; Leigh, D. The influence of artificial macropores on water and solute transport in laboratory soil columns. J. Hydrol. 1997, 191, 290–313. [Google Scholar] [CrossRef]
- Koestel, J.K.; Norgaard, T.; Luong, N.M.; Vendelboe, A.L.; Moldrup, P.; Jarvis, N.J.; Lamandé, M.; Iversen, B.V.; de Jonge, L.W. Links between soil properties and steady-state solute transport through cultivated topsoil at the field scale. Water Resour. Res. 2013, 49, 790–807. [Google Scholar] [CrossRef]
- Miranda-Vélez, J.F.; Diamantopoulos, E.; Vogeler, I. Does macropore flow in no-till systems bypass mobile soil nitrogen after harvest? Soil Tillage Res. 2022, 221, 105408. [Google Scholar] [CrossRef]
- Helmke, M.F.; Simpkins, W.W.; Horton, R. Experimental Determination of Effective Diffusion Parameters in the Matrix of Fractured Till. Vadose Zo J. 2004, 3, 1050–1056. [Google Scholar] [CrossRef]
- Forrer, I.; Kasteel, R.; Flury, M.; Flühler, H. Longitudinal and lateral dispersion in an unsaturated field soil. Water Resour. Res. 1999, 35, 3049–3060. [Google Scholar] [CrossRef]
- Sternagel, A.; Loritz, R.; Klaus, J.; Berkowitz, B.; Zehe, E. Simulation of reactive solute transport in the critical zone: A Lagrangian model for transient flow and preferential transport. Hydrol. Earth Syst. Sci. 2021, 25, 1483–1508. [Google Scholar] [CrossRef]
- Walkley, A.; Black, I.A. An examination of the degtjareff method for determining soil organic matter, and a proposed modification of the chromic acid titration method. Soil Sci. 1934, 37, 29–38. [Google Scholar] [CrossRef]
- Blake, G.R.; Hartage, K.H. Bulk Density. In Methods of Soil Analysis, Part 1 Physical and Mineralogical Methods-Agronomy Monograph, 2nd ed.; American Society of Agronomy-Soil Science Society of America: Madison, WI, USA, 1986. [Google Scholar]
- Lamandé, M.; Wildenschild, D.; Berisso, F.E.; Garbout, A.; Marsh, M.; Moldrup, P.; Keller, T.; Hansen, S.B.; de Jonge, L.W.; Schjønning, P. X-ray CT and laboratory measurements on glacial till subsoil cores: Assessment of inherent and compaction-affected soil structure characteristics. Soil Sci. 2013, 178, 359–368. [Google Scholar] [CrossRef]
- Udawatta, R.P.; Anderson, S.H.; Gantzer, C.J.; Garrett, H.E. Agroforestry and Grass Buffer Influence on Macropore Characteristics. Soil Sci. Soc. Am. J. 2006, 70, 1763–1773. [Google Scholar] [CrossRef]
- Yu, K.; Duan, Y.; Zhang, M.; Dong, Y.; Wang, L.; Wang, Y.; Guo, X.; Hu, F. Using micro focus industrial computed tomography to characterize the effects of soil type and soil depth on soil pore characteristics, morphology, and soil compression in Xi’an, China. J Soils Sediments 2020, 20, 1943–1959. [Google Scholar] [CrossRef]
- Dong, Y.; Xiong, D.; Su, Z.; Yang, D.; Zheng, X.; Shi, L.; Poesen, J. Effects of vegetation buffer strips on concentrated flow hydraulics and gully bed erosion based on in situ scouring experiments. Land Degrad. Dev. 2018, 29, 1672–1682. [Google Scholar] [CrossRef]
- van Genuchten, M.T.; Tang, D.H.; Guennelon, R. Some Exact Solutions for Solute Transport Through Soils Containing Large Cylindrical Macropores. Water Resour. Res. 1984, 20, 335–346. [Google Scholar] [CrossRef]
Disclaimer/Publisher’s Note: The statements, opinions and data contained in all publications are solely those of the individual author(s) and contributor(s) and not of MDPI and/or the editor(s). MDPI and/or the editor(s) disclaim responsibility for any injury to people or property resulting from any ideas, methods, instructions or products referred to in the content. |
© 2025 by the authors. Licensee MDPI, Basel, Switzerland. This article is an open access article distributed under the terms and conditions of the Creative Commons Attribution (CC BY) license (https://creativecommons.org/licenses/by/4.0/).





