Next Article in Journal
How Government Open Data Platforms Affect Corporate ESG Performance
Previous Article in Journal
A Methodology for Assessing Digital Readiness of Industrial Enterprises for Ecosystem Adaptation: Evidence from Kazakhstan’s Sustainable Industrial Transformation
 
 
Font Type:
Arial Georgia Verdana
Font Size:
Aa Aa Aa
Line Spacing:
Column Width:
Background:
Article

National Ecological Civilization Construction Demonstration Zone and PM2.5 Pollution Mitigation in China

School of Finance, Harbin University of Commerce, Harbin 150028, China
*
Author to whom correspondence should be addressed.
Sustainability 2025, 17(21), 9765; https://doi.org/10.3390/su17219765
Submission received: 12 September 2025 / Revised: 23 October 2025 / Accepted: 31 October 2025 / Published: 2 November 2025

Abstract

Rapid industrialization and urbanization have driven China’s economic growth but also worsened air pollution, posing serious challenges to sustainable development and public health. Balancing economic growth and environmental protection has become essential for achieving the UN Sustainable Development Goal of “Climate Action.” The National Ecological Civilization Construction Demonstration Zone policy, a major institutional innovation for green transition, aims to integrate ecological protection, industrial upgrading, and spatial governance to achieve both economic and environmental goals. Using county-level panel data from 2010 to 2022, this study applies a difference-in-differences (DID) approach, treating the phased establishment of NECCDZs as an exogenous policy shock. It further explores the mediating effects of green innovation capability and land use efficiency. The results show that the NECCDZ policy significantly reduces PM2.5 concentrations in pilot regions, and the findings remain robust under multiple tests. Improvements in green innovation and land use efficiency are identified as key transmission mechanisms, while policy effects vary across city hierarchies, industrial base types, and regions. Overall, the NECCDZ policy demonstrates the effectiveness of institutionalized ecological governance and offers policy insights for developing countries seeking coordinated progress in economic growth and environmental sustainability.

1. Introduction

As global urban expansion and increasing energy demands intensify, air pollution has become a critical challenge threatening both ecological stability and human well-being. The UN’s Sustainable Development Goals—specifically SDG 13—highlight the urgent need to combat climate change, calling for accelerated efforts toward green and low-carbon transformation. Among atmospheric pollutants, fine particulate matter (PM2.5) represents one of the most serious risks to human respiratory and cardiovascular health because of its minute size, high chemical reactivity, and strong capacity for biological penetration. Research has shown that PM2.5 particles are capable of penetrating the alveoli during respiration, subsequently entering the circulatory system and potentially contributing to chronic diseases or premature mortality [1,2]. Therefore, controlling and reducing PM2.5 emissions has become one of the key objectives in global environmental governance and the sustainable development agenda.
China, the largest emerging economy and developing nation globally, confronts severe air quality pressures while striving for sustainable development. The World Bank and China’s National Bureau of Statistics have churned out figures between 2010 and 2023 that paint a picture of China’s economic ascent. The country’s GDP has sky-rocketed from a mere USD 6.1 trillion to an impressive USD 18.1 trillion over this time frame, reflecting steady economic expansion. Between 2014 and 2023, the country’s average PM2.5 levels hit their highest point at 55.6 micrograms per cubic meter before steadily declining over the years. By 2023, concentrations had dropped to around 29.0 μg/m3—cutting the original figure nearly in half. This marked a dramatic improvement in air quality nationwide. China has made progress in balancing growth with environmental protection. Yet PM2.5 levels still exceed the WHO’s 5 μg/m3 limit, showing that continued efforts are needed to achieve sustainable air quality. Looking ahead, China must continue to strengthen its ecological civilization initiatives and green transition policies, promoting coordinated pollution reduction and carbon mitigation to consolidate governance achievements and achieve high-quality development. It also underscores the need to identify which specific policy instruments have effectively achieved the “win–win” objective of economic advancement and environmental improvement.
As a primary pollutant in urban atmospheric environments, fine particulate matter (PM2.5) is characterized by complex formation mechanisms and multiple sources. A substantial body of research has shown that PM2.5 concentration levels not only reflect regional emission volumes but are also influenced by various factors such as economic activity patterns, spatial development models, and natural ecological conditions. Specifically, existing research has examined a range of determinants, including economic growth [3], industrial structure [4], manufacturing activity [5], environmental regulation [6], technological innovation [7], and land use [8]. These factors collectively shape both the intensity and spatial distribution of air pollution. Rapid economic expansion and manufacturing concentration often lead to increased energy consumption and emissions, whereas industrial upgrading and technological innovation can mitigate such impacts through efficiency gains and cleaner production. Similarly, stringent environmental regulations and optimized land use planning contribute to reducing pollutant accumulation by promoting compact urban forms and limiting high-emission industries. Conversely, imbalanced spatial development and weak ecological resilience may exacerbate PM2.5 diffusion and persistence. These mechanisms jointly show how economic growth, governance, and environmental quality interact, providing the background for evaluating NECCDZ policy effects.
Although traditional urbanization has played a positive role in capital accumulation and spatial expansion, its associated environmental costs—particularly the deterioration of air quality—have raised widespread global concerns. In many emerging economies, urban development paths that neglect environmental constraints tend to exacerbate the regional accumulation effects of PM2.5 pollution [9]. For China, institutional shortcomings and planning delays during the traditional urbanization process have collectively intensified PM2.5 pollution risks. First, the land finance-driven urban development model has encouraged inefficient land expansion, thereby aggravating the spatial imbalance of industrial pollution [10]. Second, lagging infrastructure and extensive industrial layouts have led to the agglomeration and expansion of energy-intensive industries [11]. Third, unregulated development at urban peripheries has increased commuting distances and vehicle ownership, which in turn has amplified emissions from traffic-related sources [12,13].
In response to the increasingly severe urban–environment dilemma, the international community has continued to explore institutionalized approaches for pollution prevention and control. Specifically, European countries have generally enhanced their capacity to manage pollutants such as PM2.5 through a combination of end-of-pipe treatment technologies and stringent emission standards [14]. In contrast, the United States has established a relatively comprehensive legal framework through the Clean Air Act, which emphasizes source reduction and the enhancement of environmental control throughout the entire process [15]. Against this backdrop, the Chinese government has also actively promoted several national-level urban governance initiatives, including the construction of National Innovative Cities [16], pilot programs for Smart City development [17], and the “Broadband China” strategy [18]. Substantial advancements have been made in the construction of digital infrastructure and the enhancement of public services. However, these policies have primarily focused on technological advancement and informatization, while lacking systematic interventions targeting the root causes of pollution. Specifically, the NECCDZ policy achieves these outcomes by strengthening industrial layout regulation, promoting green technological innovation, and encouraging local governments to adopt low-carbon development models through performance evaluation and fiscal incentives, thereby reinforcing environmental regulation and achieving the intended results. Consequently, there is an urgent need to establish a comprehensive ecological civilization framework that integrates environmental performance with spatial governance.
To enhance the resilience of regional ecosystems and promote sustainable development, China launched the NECCDZ policy. This initiative aims to establish a systematic framework for ecological spatial regulation and green governance, thereby showcasing the institutional advantages driven by ecological reform. Existing empirical studies have shown that, at the prefecture level, the NECCDZ policy significantly strengthens the synergies between urban pollution control and carbon emission mitigation [19]. At the interprovincial level, the policy has boosted green productivity, advancing both ecological protection and economic growth [20]. In addition, the study by Xin et al. reached similar conclusions, further confirming the policy’s positive effect on enhancing ecological total factor productivity [21]. Taken together, the NECCDZ policy demonstrates strong potential for improving environmental quality while sustaining economic growth, offering a viable institutional pathway toward high-quality green development.
Although new empirical evidence has emerged, the relationship between the NECCDZ policy and PM2.5 concentrations remains inconclusive, and several research gaps persist, listed as follows: (1) most existing studies focus on the relationship between economic growth and carbon emissions, lacking a systematic evaluation of the causal link between the NECCDZ policy and PM2.5 pollution; (2) empirical analyses are primarily conducted at the provincial or municipal level, with limited research at the county level, which restricts a deeper understanding of spatial heterogeneity and urban–rural integration; and (3) the mechanisms through which the NECCDZ policy influences air pollution have not been fully explored, particularly regarding the mediating roles of technological innovation and land use efficiency. This study aims to systematically evaluate the emission reduction effects of the NECCDZ policy on PM2.5 pollution and to reveal its underlying mechanisms and regional heterogeneity, thereby providing empirical evidence and policy insights for ecological governance and green development strategies.
To address these gaps, this study constructs a balanced panel dataset of Chinese counties spanning 2010–2022 and employs a difference-in-differences (DID) approach to estimate the impact of the NECCDZ policy on PM2.5 concentrations. Furthermore, a mediation analysis framework is introduced to examine the roles of land use efficiency and green innovation capacity in the policy transmission mechanism, aiming to uncover the environmental effects and underlying logic of the policy from a finer spatial perspective.
This study makes three primary academic contributions. First, using county-level panel data from 2010 to 2022, it employs a quasi-natural experiment and a difference-in-differences (DID) approach to identify the pollution-reduction effect of the NECCDZ policy from a novel county-level perspective. Second, by focusing on two key variables—land use efficiency and green innovation capability—the study empirically uncovers the transmission mechanisms through which the NECCDZ policy influences PM2.5 pollution. This provides empirical evidence for understanding how regional ecological policies can achieve pollution reduction through spatial resource optimization and green transformation pathways. Third, the study constructs a three-dimensional classification framework based on city level, old industrial base, and industrial instruction, revealing the spatial heterogeneity of policy effects and enriching the theoretical understanding of differentiated pollution control strategies grounded in regional functional diversity.
To systematically identify the causal impact of the NECCDZ policy on PM2.5 pollution control, this study unfolds along four key dimensions: theoretical construction, empirical methodology, mechanism identification, and heterogeneity analysis. Specifically, first, grounded in the logic of institutional regulation and the concept of ecological civilization, a theoretical framework is developed to reflect the implementation mechanisms of environmental policy. Second, drawing on county-level panel data in China from 2010 to 2022, a difference-in-differences (DID) model is employed as a quasi-natural experiment to rigorously address potential endogeneity bias. Third, from the perspective of policy intervention pathways and enabling conditions, the study explores the indirect effects of NECCDZ via two core channels: ecological spatial governance and green governance capability. Finally, by incorporating city level, industrial structure, and functional orientation, the analysis identifies regional variations in policy effects under different contextual characteristics. The paper is structured as follows: Section 2 delves into the policy backdrop and puts forth the research assumptions; Section 3 goes into the details of the research setup and how variables were crafted; Section 4 presents the baseline regression results and robustness checks and conducts mechanism analysis and explores heterogeneity effects; and Section 5 provides an in-depth discussion of the research findings, elaborates on the study’s limitations, and presents the overall conclusions. Building on this, Section 6 offers targeted policy recommendations.

2. Policy Background and Research Hypotheses

2.1. Policy Background

At the beginning of 2016, China took a crucial step in the process of institutionalizing ecological protection. The establishment of the NECCDZ is an important measure by the Chinese government to promote sustainable development and strengthen ecological and environmental protection. This policy aims to lead by demonstration, promote green development, and improve the regional ecological environment quality. The policy calls for coordinated actions in ecological protection, industrial transformation, and pollution prevention. It also strengthens provincial supervision and encourages cooperation among local governments to improve regional ecological quality. The policy initially recognized 46 regions, ranging from Yanqing District in Beijing to Huzhou City in Zhejiang Province, marking the official launch of demonstration zone construction. Subsequently, the policy continued to advance. In 2018, a second batch of 45 regions was announced, significantly accelerating the construction process; in 2019, 84 additional regions were added, expanding coverage and showing initial results; in 2020, another 87 regions were approved, further improving the system; and in 2021, the number increased to 100 regions with more diverse regional types. By this point, the demonstration zone construction had formed a scaled and systematic advancement pattern (see Figure 1).
According to the “Management Measures for National Ecological Civilization Construction Demonstration Zones (Trial)” and the “Indicators for National Ecological Civilization Construction Demonstration Cities and Counties (Trial),” demonstration zone construction mainly revolves around five core pillars: (1) strictly implementing ecological red lines, maintaining the integrity and connectivity of ecosystems, preventing ecological degradation, and reducing pollution diffusion at the source; (2) promoting clean production and circular economy, improving resource use efficiency, fostering green technological innovation, and reducing industrial emission intensity; (3) implementing pollution control projects and key industry supervision, building a modern environmental governance system, and improving air and water quality; (4) advancing integrated management of mountains, rivers, forests, farmland, lakes, grasslands, and deserts to enhance ecosystem services and self-purification capabilities, absorbing and mitigating pollution; and (5) improving performance evaluation and ecological compensation mechanisms, strengthening supervision and accountability, and incentivizing local governments to continuously advance pollution reduction and ecological construction. Notably, the NECCDZ policy directly regulates major emission sources through measures such as enhanced industrial pollution control, vehicle emission management, and green building supervision. The policy incorporates air quality improvement and pollutant reduction into the core construction indicator system, ensuring the sustainability of governance outcomes through planning execution, dynamic monitoring, and long-term management mechanisms. These features indicate that the NECCDZ policy is expected to effectively reduce regional PM2.5 concentrations and improve air quality.
The spatial distribution of PM2.5 concentrations across China, as shown in Figure 2, highlights notable regional variation. Based on annual average PM2.5 concentration values calculated and visualized using ArcGIS2019 software, this study maps data at the county level from 2010 to 2022. The figure reveals that provinces such as Tibet, Henan, Hebei, Shanxi, and Sichuan exhibit notably elevated PM2.5 concentrations. The severity of air pollution in these areas can be attributed to a combination of factors, including high levels of industrial activity, vehicular emissions, and region-specific environmental conditions. Conversely, some regions report comparatively lower PM2.5 levels, indicating the presence of significant regional differences in air quality across the country.

2.2. Research Hypothesis

In comparison with conventional growth paradigms marked by excessive energy consumption and substantial emissions, which frequently generate short-term economic benefits at the cost of environmental degradation, the creation of the NECCDZ represents China’s deliberate move toward a development model that is green, low-carbon, and environmentally sustainable. PM2.5 primarily originates from industrial emissions, motor vehicle exhaust, construction dust, biomass combustion, and regional pollution factors. Notably, the NECCDZ policy directly regulates key emission sectors by strengthening industrial pollution control, vehicle emission management, and green construction supervision. The policy incorporates air quality improvement and pollutant reduction into its core performance indicators, and ensures the continuity of governance effectiveness through planning enforcement, dynamic supervision, and long-term management mechanisms. These traits suggest the policy could significantly lower PM2.5 levels and enhance air quality regionally. Specifically, the policy focuses not only on restoring and enhancing overall ecosystem functions but also on establishing multi-level institutional arrangements and practical pathways in areas such as spatial configuration, land use, transportation governance, and energy structure optimization. At the ecological spatial level, the integration of endangered species protection requirements supports the identification of ecological sources, the development of ecological corridors, and the implementation of more precise functional zoning. These measures improve ecosystem connectivity and integrity, thereby enhancing the natural environment’s capacity to absorb and mitigate air pollutants, and indirectly reducing pollution levels [22]. At the land use level, the NECCDZ advocates the withdrawal of certain construction land, restoration and expansion of ecological land patterns, and optimization of territorial spatial structure to strengthen the ecosystem’s conservation and environmental regulation functions. This nature-oriented spatial restructuring reduces pollutant accumulation at the source and lays a solid foundation for long-term air quality improvement [23]. In terms of transportation governance, the policy advances the development of green mobility systems by prioritizing public transit and promoting low-carbon travel alternatives to improve urban traffic configurations. This approach helps to limit the heavy reliance on fuel-intensive vehicles and substantially lowers PM2.5 emissions originating from transportation sources, thereby providing strong support for urban air pollution mitigation [24]. At the energy transition level, the NECCDZ is committed to building a diversified clean energy system by advancing the large-scale application of renewable energy sources such as solar, wind, hydro, and biomass. This transition not only promotes a cleaner, low-carbon energy supply structure, but also improves energy efficiency and mitigates environmental pressure associated with increasing energy consumption. Collectively, these multi-dimensional policy interventions—across spatial planning, land use, transportation, and energy—form a systematic mechanism that supports the improvement of regional air quality and control of PM2.5 pollution, providing a solid foundation for promoting sustainable urban governance. Building upon the preceding analysis, this study formulates the following research hypotheses:
H1. 
The NECCDZ policy can effectively reduce PM2.5 concentrations.
One of the core objectives of the NECCDZ is to promote the greening and intensification of land use through institutional innovation and policy integration. The policy emphasizes not only the protection and restoration of ecological space but also the rational adjustment of land use patterns and the enhancement of resource use efficiency, thereby supporting regional sustainable development while improving ecological and environmental quality. By promoting improvements in green agricultural efficiency, the NECCDZ guides agricultural production from high-consumption, high-emission models toward low-carbon and environmentally friendly practices. This green transformation not only enhances the output efficiency and ecological value per unit of land but also facilitates the intensive use of agricultural resources [25]. The policy also promotes the phase-out of outdated production capacity and guides the reallocation of resources from high-pollution, low-efficiency sectors to green and high-efficiency industries. This structural adjustment helps to release underutilized construction land, optimize land spatial allocation, and improve both the output quality and environmental performance of land use [26]. In addition, the NECCDZ advances ecological spatial reconstruction and enforces land use control systems, reinforcing the “three-line coordination” mechanism of ecological redlines, permanent basic farmland, and urban development boundaries to achieve dynamic alignment between land development and ecological carrying capacity. This process curbs disorderly urban sprawl and enhances the overall efficiency of land development. Land use efficiency (LUE) reflects the coordination between land resource allocation and economic output within an administrative region and serves as an important indicator for evaluating regional land use performance and spatial resource utilization efficiency. This indicator comprehensively reflects a region’s economic output capacity and the intensity of spatial land use; a higher value indicates more efficient land utilization. Through its multidimensional governance measures, the NECCDZ not only enhances land use efficiency but also plays a significant role in improving air quality. First, the policy emphasizes ecological space restoration and territorial optimization by increasing the proportion of ecological land types such as forests and wetlands, improving the layout of ecological corridors and functional zones, and strengthening the ecosystem’s capacity for conservation and purification, thereby reducing PM2.5 concentrations [27]. Second, the Demonstration Zone promotes compact and intensive development models by optimizing the spatial layout of residential areas and public service facilities, thereby reducing energy consumption and transportation emissions associated with uncontrolled urban expansion. Third, through strict land use access controls and industrial spatial restructuring, the NECCDZ facilitates the relocation of high-pollution enterprises to industrial parks or their gradual withdrawal from urban core areas, which significantly lowers overall pollutant emission intensity [28]. Therefore, in the course of improving land use efficiency, the NECCDZ helps mitigate PM2.5 pollution through various pathways, thereby contributing to overall enhancements in regional air quality. In light of the preceding discussion, the following research hypothesis is formulated in this study:
H2. 
The NECCDZ policy reduces PM2.5 concentrations by improving land use efficiency.
A central aim of the NECCDZ is to establish an institutional framework and an ecological civilization evaluation system oriented toward green development. This institutional arrangement incentivizes the innovation, application, and diffusion of environmentally sustainable technologies, which in turn support both pollution reduction and the pursuit of long-term sustainable development. The NECCDZ promotes the generation and diffusion of green innovation through digital empowerment, the deepening of green development concepts, and the cultivation of new, quality productive forces. These efforts synergistically enhance environmental monitoring efficiency, promote the application of low-carbon technologies, and improve the overall capability to provide green technological outputs [29]. The policy places high emphasis on green-oriented technological advancement, encouraging enterprises to adopt digital technologies, including big data and artificial intelligence, to refine green processes and support the development of clean technologies, thereby improving their green innovation capability [30]. In addition, the NECCDZ contributes to the enhancement of ecological infrastructure within demonstration regions and fosters an institutional and factor environment conducive to technological innovation by enterprises. By facilitating the expansion of green technology financing channels and reducing innovation transaction costs, the policy effectively stimulates firms’ enthusiasm and strengthens their commitment to the research and deployment of green technologies [31,32]. Technological innovation typically refers to system-level transformations based on emerging technologies, novel processes, and alternative materials, aiming to promote efficient operation of production systems and intelligent upgrading of service systems [33]. Green innovation capability (GIC) measures the level of technological innovation related to environmental protection and sustainable development within a region, reflecting its capacity for green technology creation and diffusion. This indicator captures the density of green innovation output per capita, with higher values indicating stronger regional capacity for green technological development and environmental innovation. In addressing PM2.5 pollution, technological innovation demonstrates multidimensional governance potential. First, the steady advancement of green energy technologies promotes the restructuring of the energy system toward renewable sources such as wind, hydro, and solar power, thereby reducing PM2.5 emissions at their origin [34]. Second, technological breakthroughs in pollution control have led to the efficient upgrading of end-of-pipe treatment equipment, which not only improves particulate capture efficiency but also reduces the operational costs of pollution control systems [35,36]. Third, innovation drives high-emission industries toward green manufacturing and intelligent transformation, enhancing energy efficiency and enabling comprehensive emissions control throughout the entire production process [37,38]. Drawing upon the foregoing analysis, the study formulates the following research hypothesis:
H3. 
The NECCDZ policy reduces PM2.5 concentrations by enhancing green innovation capability.
Drawing on the prior discussion, the study’s theoretical framework is depicted in Figure 3.

3. Research Design

3.1. Model

This article explores the econometric model and variable settings employed to assess the policy effects of the NECCDZ policy. Utilizing a multi-period difference-in-differences (MDID) model, the analysis aims to provide insights into the effectiveness and impact of this significant ecological initiative on regional development.

3.1.1. MDID Model

This study employs the difference-in-differences (DID) method to effectively analyze policy effects, overcoming the limitations of traditional regression models. The Difference-in-Differences (DID) model effectively isolates the net impact of policy implementation by utilizing differencing in both time and treatment versus control groups. This approach controls for time-invariant individual fixed effects and common trend disturbances, ensuring accurate results [39,40]. The multi-period difference-in-differences (MDID) approach enriches the conventional DID model by integrating multiple time points, enabling a deeper understanding of the dynamic evolution of policy effects over time [41]. The NECCDZ policy, implemented in phases, enables the MDID model to effectively analyze its diverse impacts over time. This approach facilitates a comprehensive evaluation of the policy’s environmental effectiveness, highlighting the varying outcomes across different regions and periods, ultimately contributing to a deeper understanding of ecological governance. This study employs an empirical model utilizing the MDID approach to evaluate how the establishment of the NECCDZ influences regional PM2.5 pollution, highlighting the relationship between economic development and environmental impact. And given that the study employs balanced panel data for Chinese counties (or prefecture-level cities) from 2010 to 2022, substantial heterogeneity exists across regions in terms of geographic location, industrial base, and governance capacity. Using pooled OLS or random effects would fail to account for these unobserved individual characteristics, potentially leading to biased estimates. In contrast, the two-way fixed effects model controls for both time-invariant regional heterogeneity and common year-specific shocks, which is particularly appropriate for policy evaluation. Following the approach used by Beck et al. (2010) [42], the model is set up as follows:
Y it = β 0 + β 1 T r e a t e d i × P o s t i t + λ C o n t r o l s i t + υ i + τ t + ε i t
In Model (1), Yit measures PM2.5 concentration levels in county i for year t, The variable Treatedi designates counties into treatment groups, where a value of 1 indicates inclusion in the treatment group. Postit serves as a dummy variable to denote policy implementation participation in the NECCDZ, varying by county and year. The Treatedi × Postit analysis evaluates the differential effects of NECCDZ on treated counties versus the control group, providing valuable insights. In line with the standard difference-in-differences model framework, the model controls for both county fixed effects υi and time fixed effects τi simultaneously, while also incorporating an error term εi to account for unobserved disturbances. In economic modeling, control variables play a crucial role in understanding complex interactions. Key factors include the fiscal budget level, household savings, and social welfare supply. Additionally, education penetration, medical service capacity, industrial development, and productivity significantly influence economic outcomes, providing a comprehensive view of societal dynamics.

3.1.2. Mediation Analysis Model

This study explores the impact of the NECCDZ policy on regional PM2.5 concentrations. Using the Baron and Kenny [43] analytical approach, we identify indirect pathways and transmission mechanisms that elucidate how NECCDZ influences air quality outcomes. The basic model specifications are as follows:
Y it = α 1 + β 1 T r e a t e d i × P o s t i t + λ C o n t r o l s i t + υ i + τ t + ε i t
M it = α 2 + β 2 T r e a t e d i × P o s t i t + λ C o n t r o l s i t + υ i + τ t + ε i t
Y it = α 3 + β 3 T r e a t e d i × P o s t i t + γ M i t + λ C o n t r o l s i t + υ i + τ t + ε i t
In Models (3) and (4), M symbolizes the mechanism variable, focusing on enhancing land use efficiency and fostering green innovation capability for sustainable development.

3.2. Variables and Data Sources

3.2.1. Dependent Variable

This study examines the annual anthropogenic PM2.5 environmental concentrations at the county (district) level across China from 2010 to 2022. The data are obtained from the Emission Database for Global Atmospheric Research (EDGAR) v8.0, jointly developed by the Joint Research Centre (JRC) of the European Commission and the Netherlands Environmental Assessment Agency (PBL). The database estimates emissions as the product of activity data and emission factors, disaggregated by sectors such as energy use, industry, transportation, and agriculture. Using sector-specific spatial proxy data, the database downscales environmental concentration estimates to a global grid with a spatial resolution of 0.1° × 0.1° [44]. To ensure consistency with China’s administrative boundaries, this study employs ArcGIS software to conduct spatial overlay and regional aggregation, summing the grid-level data to the county level to obtain annual total environmental concentrations for each county. Following standard practices in environmental economics, the PM2.5 concentration variable is logarithmically transformed to reduce skewness and improve model fit.

3.2.2. Independent Variable

This study conducts a comparative analysis of the NECCDZ policy by classifying counties into treatment and control groups. Counties that adopted the NECCDZ policy are identified as the treatment group, while those that did not serve as the control group. In cities designated as NECCDZ pilot areas, the treatment variable is set to 1 for the selected year and all subsequent years, indicating the implementation of the policy, while it remains 0 for other years.

3.2.3. Control Variables

Incorporating control variables in empirical analysis significantly improves the precision of assessing the NECCDZ policy’s impact on PM2.5 concentrations. This approach effectively isolates the policy’s net effect by accounting for other exogenous factors influencing air quality. PM2.5 concentrations in Chinese counties are significantly affected by economic fundamentals, social development conditions, and the prevailing industrial structure. Drawing on previous research findings [45], this study selects several key control variables across three dimensions: macroeconomic factors, social development, and industrial structure. Specifically, (1) macroeconomic factors include fiscal budget capacity and residents’ savings levels. Fiscal budget capacity evaluates local government finances by comparing budget revenue and expenditure against regional GDP [46], highlighting fiscal sustainability and growth potential. Residents’ savings levels are evaluated by comparing urban and rural savings deposits with the regional GDP [47], highlighting economic stability. (2) Social development hinges on effective social welfare, robust educational resources, and strong medical service capacity. The availability of beds in social welfare and adoption institutions per 10,000 people serves as a key measurement of social welfare levels [48]. The education level (stu) measures secondary school students as a proportion of the total local population [49]. The availability of hospital beds per 10,000 people significantly reflects the quality of medical services in a region. (3) Industrial structure significantly influences industrial development, determining production efficiency across various sectors. Industrial development is assessed through the number of industrial enterprises per 10,000 people, providing a clear metric for evaluating economic growth. Meanwhile, industrial productivity is measured by the ratio of industrial added value to the number of employed persons, standardized by a factor of 100. Table 1 provides comprehensive information on all variables discussed in the text.

3.2.4. Sample Selection and Data Sources

After removing samples with incomplete information or missing data, we successfully obtained a total of 10,528 valid observations for analysis. The sample exhibits strong representativeness, showcasing significant spatial coverage and a broad temporal span. While there are limitations in data completeness, it effectively encompasses key regions both before and after policy implementation, ensuring a comprehensive understanding of the impacts and outcomes associated with the policy changes. The reliability of empirical analysis is underscored by sourcing PM2.5 concentration data from the EDGAR database. Additionally, information about the implementation of NECCDZ is provided by the Ministry of Ecology and Environment, People’s Republic of China (https://www.mee.gov.cn). Control variables are essential for analysis, sourced from the comprehensive China County Statistical Yearbook. This study obtained patent data from Tianyancha and the China National Intellectual Property Administration (CNIPA) and filtered them using the green patent classification list provided by the World Intellectual Property Organization (WIPO). Subsequently, based on the applicants’ location information, the green patent data were cleaned and matched to county-level administrative units, removing records with missing authorization dates, incomplete geographic information, or inconsistent classification types to ensure spatial consistency. Table 2 presents descriptive statistics for the core variables analyzed in this study, highlighting key findings. The analysis of PM2.5 concentration reveals 10,350 valid observations, with only about 178 missing values. This results in a missing rate of approximately 1.7%, highlighting the reliability of the dataset for studying air quality and its impacts. The PM2.5 data demonstrates high completeness, with remarkably few missing entries, ensuring reliable analysis.

4. Empirical Results

Before conducting baseline regression, it is essential to verify the absence of significant multicollinearity among explanatory variables. The Variance Inflation Factor (VIF) test serves as a crucial diagnostic tool in this process. Following the VIF analysis, baseline regression results can be presented, accompanied by robustness checks to ensure the reliability of the findings.

4.1. Multicollinearity Test

Conducting a multicollinearity diagnostic prior to the baseline regression is a necessary step to eliminate potential interference caused by strong correlations among explanatory variables. This study employs the Variance Inflation Factor (VIF) for effective evaluation of statistical models. According to conventional standards, a VIF value below 10 is generally considered indicative of no serious multicollinearity. In Table 3, all variables exhibited VIF values below 10, confirming the absence of multicollinearity issues in the model, ensuring reliable and valid results for analysis.

4.2. Baseline Regression Results

Table 4 displays the primary estimation results, utilizing a two-way fixed effects approach to assess how the NECCDZ influences PM2.5 levels. To verify the robustness of the estimated treatment effect, Columns (1) through (8) sequentially add control variables—including fiscal expenditure (budget), household savings (sav), social welfare investment (welfare), education inputs (student), healthcare capacity (hos), industrial composition (ind), and value-added of industry (iva)—while consistently accounting for county- and year-level fixed effects. Column (1) reports a specification that incorporates only the NECCDZ variable along with fixed effects for counties and years. The regression results show that NECCDZ is linked to a statistically significant decrease in PM2.5 concentrations, with the coefficient estimated at −0.019 and significance at the 1 percent threshold. This suggests that, on average, regions designated as NECCDZ witnessed a roughly 2.3 percent drop in PM2.5 levels when compared to areas not included in the policy initiative. In Columns (2) through (8), after sequentially incorporating various covariates, the estimated coefficients for NECCDZ remain negative, statistically significant, and quantitatively stable (approximately −0.019 to −0.024). In Column (8), which incorporates the full set of control variables, yields a NECCDZ coefficient of −0.024 that continues to be statistically significant at the 1 percent level. This result provides additional evidence that the NECCDZ policy exerts a consistent and notable impact on reducing air pollution levels. The consistently high R2 values observed in all specifications, hovering around 0.998, imply that the two-way fixed effects model effectively captures most of the unobserved heterogeneity across both spatial and temporal dimensions. This highlights its strong capacity to explain the variation in PM2.5 concentrations. Taken together, the baseline estimation results offer compelling and consistent support for the view that NECCDZ implementation leads to a marked decline in PM2.5 concentrations within the affected regions. This finding remains robust across a range of model frameworks.The changes in regression coefficients and error bars with the incremental addition of control variables are shown in Figure 4.

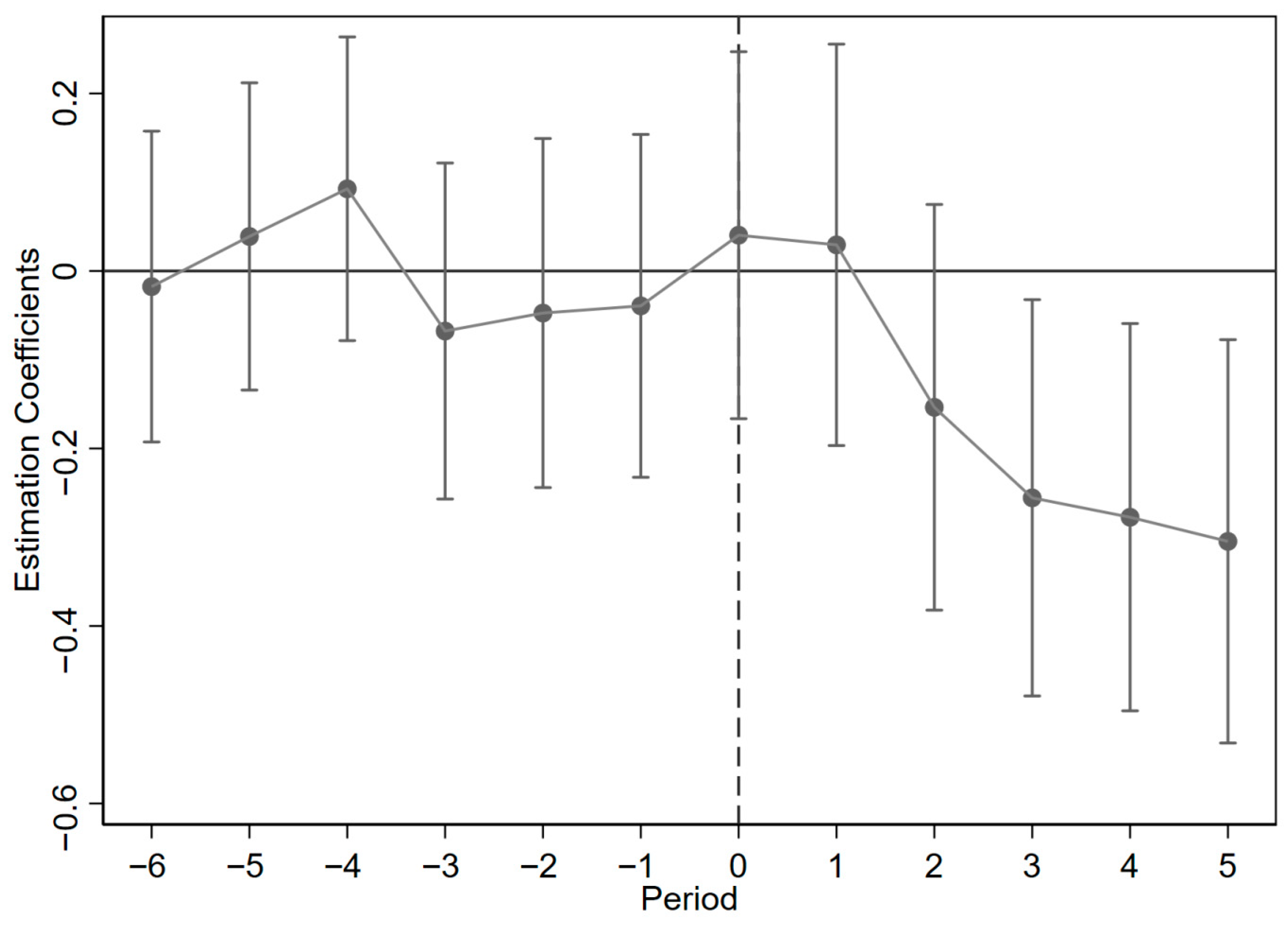
4.3. Parallel Trends Test

The validity of policy evaluation using the difference-in-differences framework hinges critically on the assumption that the treatment and control groups follow similar trends prior to the intervention. This condition suggests that, had the policy not been introduced, both the treated and untreated groups would have followed broadly comparable trends over time, without exhibiting systematic divergence before the intervention took place [50,51]. A credible attribution of the estimated impact to the policy intervention is possible only if a statistically meaningful gap emerges between the treatment and control groups after the policy takes effect. Drawing on established research practices, this paper employs an event study approach to examine whether the parallel trends assumption holds. The method for conducting the parallel trends test is used to set up the following model:
Y i t = 6 5 β k T r e a t e d ( k ) + λ C o n t r o l s i t + ν i + τ t + ε i t
Figure 5 shows that in the years prior to policy implementation (from period −6 to −1), the estimated coefficients remain close to zero, and the majority of the associated 95 percent confidence intervals include zero, indicating no significant difference between groups before the intervention. These results offer solid statistical evidence in favor of the parallel trends assumption, indicating that prior to the policy intervention, both the treated and control groups followed comparable developmental trajectories. After the intervention point (period 0), the estimated coefficients consistently fall into the negative range and exhibit a progressively deepening downward trend over time, indicating that the policy’s suppression effect on PM2.5 is characterized by dynamic accumulation. Overall, the test confirms the validity of the parallel trend assumption.
It is important to emphasize that the policy effects are not immediate; rather, they exhibit a lag of approximately three periods. This lag is practically explainable due to several interrelated factors: (1) The NECCDZ represents a comprehensive strategy for advancing sustainability through complex institutional and structural reforms. Emphasizing adjustments in industrial layout and spatial-economic coordination, it seeks to accelerate the adoption of eco-friendly technologies. Nevertheless, due to the significant investments of time and resources required, the policy’s impact tends to materialize gradually as various actors work together toward environmental goals. (2) The progression from research and development to large-scale deployment and integration of low-emission and energy-efficient technologies typically entails significant delays. These time lags, rooted in the phases of commercialization and cross-sector diffusion, often defer the observable outcomes of relevant policies. (3) Variation in local administrative capacity—including disparities in resource deployment, understanding of policy directives, and enforcement rigor—can lead to uneven implementation progress and influence the overall effectiveness of policy outcomes across regions. (4) Shifts in public attitudes and habits—such as adopting environmentally friendly consumption patterns and embracing low-carbon mobility—tend to occur slowly over time, often necessitating long-term encouragement and consistent societal influence to take root. (5) The concentration of PM2.5 is shaped by complex environmental factors, including weather patterns, geographic features, and the ecological resilience of a region. These elements can interfere with or postpone the observable impact of pollution mitigation efforts. Overall, the delay in observable policy effects can be attributed to the combined influence of governance structures, technological development stages, public behavioral shifts, and ecological conditions. It is therefore essential to incorporate this temporal dimension into both empirical strategies and the interpretation of policy impacts.

4.4. Robustness Test

To ensure the credibility and stability of the baseline findings, this study implements a range of robustness tests across different analytical dimensions. In particular, the robustness checks involve substituting the dependent variable to examine result consistency, as well as employing winsorization techniques to reduce the impact of extreme values on the estimation; lagging the policy variable by three periods to control for temporal delay effects; excluding regions affected by other concurrent policy interventions to account for confounding effects; The analysis further incorporates the propensity score matching combined with difference-in-differences (PSM-DID) approach to enhance the comparability between treated and control units, and introduces placebo tests to examine whether the observed effects could be driven by random or spurious associations. By tackling possible biases from multiple perspectives, these methods contribute to strengthening the reliability of the estimated policy impacts, reinforcing causal interpretation, and improving the broader applicability of the results.

4.4.1. Variable Replacement Test

To further strengthen the reliability of the conclusions, an additional robustness test is carried out by substituting the original dependent variable with an alternative measure. Specifically, the annual total PM2.5 emissions (denoted as PM2.5_SUM) are used in place of the original dependent variable in the regression analysis. Table 5, Column (1), reports the estimation outcome, indicating that the NECCDZ variable yields a coefficient of −0.024, which is statistically significant at the 1 percent level. The direction and size of the estimated coefficient align closely with the baseline results, reinforcing the consistency and dependability of the study’s primary conclusions.

4.4.2. Winsorization

To reduce the possible distortion caused by extreme values, this study implements winsorization at the 1st and 99th percentiles for the key variables used in the analysis. In particular, values falling below the 1st percentile are replaced with the 1st percentile threshold, and those exceeding the 99th percentile are capped at the 99th percentile level. Subsequently, the regression is re-estimated based on the dataset after applying winsorization. As shown in Column (2) of Table 5, the NECCDZ variable retains a coefficient of −0.024, which continues to be statistically significant at the 1 percent level. This result suggests that extreme values exert limited influence on the overall empirical findings, thereby providing additional support for the stability and credibility of the baseline estimations.

4.4.3. Alternative Policy Implementation Timing

In the empirical setup, the key independent variable NECCDZ is specified with a two-period lag, denoted as L2.NECCDZ. This modeling choice is grounded in the findings of the parallel trends analysis, which reveal that a statistically significant divergence between the treated and control units appears starting from the second period after the policy takes effect. This indicates that the policy does not exert an immediate impact on PM2.5 emissions in the short term, but instead exhibits a lagged effect, with its environmental governance outcomes gradually materializing after two periods. This lag structure aligns with the realistic timeline of policy issuance, implementation, and subsequent ecological response, allowing for a more accurate depiction of the policy’s dynamic effect trajectory. Under this specification, the estimation results in Column (3) of Table 5 indicate that the coefficient for L2.NECCDZ is −0.045 and remains significant at the 1 percent level. This suggests that the NECCDZ initiative contributed to a notable decline in PM2.5 concentrations in the treated regions two years after the policy was enacted. This result remains robust after controlling for multiple potential confounding variables, including fiscal expenditure (budget), residents’ savings (sav), welfare investment (welfare), education funding (student), medical services (hos), industrial output (ind), and industrial added value (iva), thereby further reinforcing the credibility and explanatory power of the policy conclusion.

4.4.4. Excluding Concurrent Policies

To better isolate the true impact of the NECCDZ policy and minimize potential bias from overlapping national initiatives, the study removes county-level observations that were also selected as pilot sites for the National Innovative City (NIC), National Smart City (Smart), and “Broadband China” (BBC) programs. The regression analysis is then re-performed using this refined sample [16,17,18]. Table 6 presents the estimation results corresponding to the exclusion approach discussed above in Columns (1) through (3). The estimated coefficients of NECCDZ in Columns (1) to (3) are −0.027, −0.031, and −0.028, respectively. All are significantly negative at the 1 percent level and align in direction with the baseline regression results. These robustness check results clearly demonstrate that even after removing samples potentially affected by overlapping policy interventions, the NECCDZ policy still exerts a significant suppressive effect on regional PM2.5 concentrations. This further strengthens the internal validity and explanatory power of the study’s core conclusions.

4.4.5. PSM-DID

To reduce potential imbalances in covariate distributions between the treated and untreated groups [52] and to improve the precision of the DID estimation, this study adopts a propensity score matching (PSM) approach for sample preprocessing and assesses the quality of the matching results. Figure 6 illustrates the variation in standardized bias of major covariates before and after the matching procedure. In the figure, black dots represent the bias for unmatched samples, while crosses represent the bias after matching. The findings reveal that before matching, the majority of covariates, especially industrial added value (iva), industrial output (ind), residents’ savings (sav), and the number of students (student), exhibited notable deviations from the zero line, reflecting considerable imbalance in covariate distributions between the treated and control groups. Following the matching process, the standardized biases of most covariates move substantially closer to the zero line and show a more clustered distribution without evident outliers, indicating that the covariate balance between groups has been successfully improved. Notably, the most biased variables (e.g., ind and iva) show substantial reductions in bias after matching, significantly reducing the potential interference of sample heterogeneity with the estimation results.
Using the matched dataset, the PSM-DID regression is re-estimated, and the corresponding results are presented in Column (4) of Table 6. The coefficient of the key explanatory variable NECCDZ is estimated at −0.024 and remains significantly negative at the 1 percent level, suggesting that the policy maintains a robust negative impact on PM2.5 levels even after accounting for covariate balance through matching. In summary, the application of PSM effectively improves sample comparability and eliminates bias arising from unequal covariate distributions. The DID regression conducted on this basis robustly confirms the positive environmental impact of the NECCDZ policy, further strengthening the credibility of causal identification and the robustness of the study’s conclusions.
The findings in this section indicate that the results of this study remain robust under various tests, including the following: Variable Replacement Test, Winsorization, Alternative Policy Implementation Timing, Excluding Concurrent Policies, and PSM-DID.

4.5. Placebo Test

To reduce the potential influence of unobserved factors on causal inference, a placebo test is conducted within the DID framework to further verify the robustness of the empirical findings. The core idea is to artificially construct a “pseudo-treatment” in the absence of an actual policy shock, thereby testing whether the estimated effects might arise from model specifications or data structures rather than from the policy itself [53,54,55]. According to existing literature, placebo tests are typically implemented via two main approaches: the first involves advancing the policy start time and examining whether the “treatment × time” interaction term remains significant; the second involves randomly reassigning treatment group labels while keeping the sample unchanged, and then testing whether the resulting distribution of estimated effects is symmetric around zero and significantly different from the actual result. Given that the former is susceptible to bias caused by shortened observation windows, this study adopts the second approach: while maintaining the overall structure of the sample, NECCDZ pilot status is randomly assigned to counties, and the DID regression is repeated 1000 times to generate a distribution of placebo treatment effects [55,56,57]. A kernel density plot is subsequently employed to visualize the resulting empirical distribution, serving as a basis for assessing the reliability and robustness of the model estimates.
Figure 7 displays the outcomes derived from the placebo simulation exercise. The x-axis illustrates the placebo treatment effects generated through random assignment, whereas the y-axis depicts their corresponding kernel density distribution. As shown, the placebo estimates produced through random reassignment form a symmetric, bell-shaped distribution centered at zero, consistent with the statistical characteristics expected under a randomization-based process. In comparison, the dashed line indicating the actual DID estimate (around −0.023) is located at the far end of the distribution’s tail, well separated from the central mass of the placebo estimates. This result indicates that the probability of obtaining an effect of similar magnitude under random assignment is extremely low, thereby reinforcing the credibility of the baseline regression findings. In other words, the empirical results are more likely to reflect a true causal effect induced by the implementation of the NECCDZ policy, rather than a spurious correlation driven by random assignment or structural features of the data.

4.6. Mechanism Test

The foregoing empirical evidence suggests that the NECCDZ policy plays a significant role in lowering PM2.5 concentrations across designated regions. However, the internal mechanisms through which this policy effect is realized remain to be further explored. To explore how the policy generates its environmental effects, this study incorporates land use efficiency and green innovation capacity as possible mediators, and develops a multi-channel analytical framework to examine their intermediary roles between the NECCDZ policy and environmental outcomes. Identifying these underlying mechanisms contributes to clarifying how ecological civilization initiatives reshape resource distribution and technological configurations at the micro scale, while also offering valuable empirical support and policy implications for interpreting the dynamics of regional green transitions.

4.6.1. Land Use Efficiency

Drawing on previous studies [58], this study constructs a land use efficiency (LUE) indicator by calculating the sum of secondary and tertiary industry value added divided by administrative land area, with the resulting values standardized. This measure captures the intensity of land resource utilization by regional economic activities and offers greater policy sensitivity and spatial comparability than traditional metrics based on population density or construction land area, as shown in Column (1) and (2) of Table 5. The empirical findings indicate that the NECCDZ policy exerts a significant positive influence on land use efficiency (LUE), with an estimated coefficient of 0.058, which is statistically significant at the 1 percent level. This suggests that the policy contributes to improving output efficiency per unit of land area. In addition, land use efficiency (LUE) is found to exert a negative impact on PM2.5 levels, with a coefficient of −0.022 that is statistically significant at the 1 percent level. This indicates that enhancing LUE plays a role in improving regional air quality. In addition, the mediating effect is statistically significant according to the Sobel test and remains robust after 1000 Bootstrap replications. These findings confirm that land use efficiency serves as a meaningful intermediary in the linkage between the NECCDZ policy and reductions in PM2.5 concentrations.
The mechanism underlying this mediating effect likely stems from the NECCDZ policy’s role in steering resource flows away from traditional, energy-intensive, and high-emission sectors toward greener, more intensive, and efficiency-oriented industrial configurations, thereby enhancing land-based input–output efficiency. On one hand, the policy curbs disorderly land expansion and restricts the spatial growth of traditional polluting enterprises, pushing land use toward a “less but better” configuration. On the other hand, it fosters synergies in spatial planning, industrial upgrading, and energy conservation across regions, enabling improvements in land-based output efficiency while simultaneously reducing pollution intensity per unit of land. The improvement in land use efficiency not only signals a trend toward more intensive resource use but also reflects a restructuring of regional economic activity under the guidance of environmental governance objectives, ultimately achieving an indirect reduction in PM2.5 concentrations. These results offer empirical evidence in support of Hypothesis H2, which posits that the NECCDZ policy contributes to lowering PM2.5 levels through enhancements in land use efficiency.

4.6.2. Green Innovation Capability

Drawing on prior research, this study adopts the ratio of granted green patents to the registered population as a proxy for green innovation capability (GIC) [59], aiming to evaluate how the NECCDZ policy influences regional green innovation performance. This indicator effectively reflects the intensity of green technology output at the regional level while controlling for heterogeneity in population size, making it highly representative. Given the time delay between the implementation of the NECCDZ policy and the eventual approval of green patents, the regression analysis in this study incorporates a one-period lag for the policy variable, as shown in Column (3) and (4) of Table 7. The estimation results indicate that the NECCDZ policy significantly enhances green innovation capability (GIC), with a coefficient of 0.96 that is statistically significant at the 1 percent level, suggesting a strong positive impact on regional green innovation development. Additional analysis shows that GIC has a negative coefficient of −0.004 in the regression on PM2.5, which is statistically significant at the 1 percent level. This indicates that areas with higher levels of green innovation output generally experience improved air quality. The mediating effect is statistically significant according to the Sobel test and remains robust after 1000 Bootstrap replications. Overall, the NECCDZ policy has effectively enhanced local green innovation capability by strengthening support for green industries, promoting environmental technologies, and providing institutional guidance. This technological improvement not only reinforces the endogenous momentum for green transformation but also helps suppress pollutant emissions, thereby playing a positive indirect role in improving PM2.5 concentrations. These findings provide empirical support for Hypothesis H3: the NECCDZ policy reduces PM2.5 concentrations by enhancing green innovation capability.
This section finds that the NECCDZ policy exerts an indirect effect on PM2.5 concentrations through mediating mechanisms. Both green innovation capacity and land use efficiency play significant mediating roles, indicating that the policy effectively promotes regional pollution reduction by enhancing technological innovation and optimizing resource allocation.

4.7. Heterogeneity Analysis

4.7.1. Heterogeneity by City Level

To examine the variation in the implementation effects of the NECCDZ policy across different urban hierarchies, this study classifies the sample into high-level cities (HC) and general cities (GC) based on administrative rank and urban functional roles. Specifically, provincial capital cities are identified as high-level cities, while all other prefecture-level and county-level cities are categorized as general cities. Separate regression analyses are then conducted for each group. Separate regressions are then conducted for each subgroup. As presented in Table 8, the estimated coefficient for the NECCDZ policy in hub cities is 0.005, which is statistically insignificant and unexpectedly positive. This implies that the policy has not yet produced a meaningful reduction in PM2.5 levels within these urban centers. In contrast, Column (2) indicates that the effect in general cities is −0.030, significant at the 1% level, implying that general cities have demonstrated more notable emission reduction outcomes in response to the ecological policy.
This heterogeneity in policy impact may be explained by several factors. First, hub cities often feature high economic activity density, large pollution baselines, and heavier environmental governance burdens. In the short term, the implementation of ecological policies may fail to produce immediate improvements in air quality due to delayed industrial adjustments and greater challenges in emission source control. Second, some hub cities may encounter “structural friction” in the early stages of policy execution—constraints such as inertia within the existing industrial systems and spatial capacity bottlenecks hinder the timely manifestation of policy effects, or may even temporarily reverse them. Third, as political, economic, and transportation centers, hub cities possess complex urban functions; during phases of infrastructure expansion, “constructive pollution” may arise, offsetting the policy’s emission reduction effect. In contrast, general cities often exhibit clearer industrial positioning and more streamlined policy execution mechanisms, with simpler pollution source structures, thereby facilitating more coordinated and concentrated environmental governance efforts that contribute to more substantial improvements in air quality. Figure 8 depicts the spatial distribution of high-level cities (HC) and general cities (GC) across the study area.

4.7.2. Heterogeneity by Industrial Base

To assess whether the emission reduction impact of the NECCDZ policy differs across varying industrial structures, this study categorizes cities according to the National Plan for the Adjustment and Transformation of Old Industrial Bases (2013–2022), released by the National Development and Reform Commission. Based on this classification, the sample is separated into cities identified as Old Industrial Bases (OIB) and those not included in this category (NOIB). The empirical results are presented in Table 8. The empirical analysis shows that in cities classified as Old Industrial Bases (OIB), the NECCDZ policy is associated with a PM2.5 reduction effect, with an estimated coefficient of –0.038. Although the coefficient is negative, its significance is limited to the 10 percent level, implying that the policy’s pollution reduction effect in these cities remains relatively weak and has yet to show strong statistical support. By contrast, in NOIB cities, the estimated coefficient is –0.021 and statistically significant at the 1 percent level, indicating a stronger and more evident effect of the policy in reducing emissions. This divergence may stem from a series of institutional and structural constraints that are more pronounced in OIB cities.
To begin with, Old Industrial Base (OIB) cities are often characterized by the prevalence of high-pollution and high-energy-consuming sectors, including heavy machinery production, coal extraction, and metallurgical industries. Their industrial structure exhibits a high degree of path dependence, leaving limited room and flexibility for green transformation. As a result, these cities tend to exhibit low responsiveness to structural adjustments, making it difficult for ecological policies to translate into effective pollution reduction in the short term. Second, these cities often suffer from aging infrastructure and low energy efficiency, leading to high costs for the adoption and diffusion of clean production technologies and energy-saving equipment, which hinders the effective implementation of emission reduction policies. Third, many OIB cities face tight fiscal constraints and weak environmental governance capacity, lacking the necessary resources to support large-scale ecological projects and industrial upgrading, thereby weakening the complementary conditions needed for successful policy implementation. Furthermore, OIB cities often confront conflicting objectives between “stability maintenance” and “green transition” during policy implementation. As a result, local governments may prioritize economic stability over ecological advancement, thereby diluting the marginal effects of ecological civilization policies. Figure 9 displays the geographic distribution of cities classified as OIB and NOIB.

4.7.3. Heterogeneity of Industrial Structure

To evaluate the differences in the emission reduction effects of the NECCDZ policy across regions with varying dominant industrial structures, this study classifies regions based on the relative shares of the primary, secondary, and tertiary industries in regional GDP. Specifically, the added value of each industry is divided by the regional GDP to obtain its proportion, and the industry with the highest share is identified as the dominant sector of that region. Accordingly, the sample is divided into agriculture-dominated (AD), industry-dominated (ID), and service-dominated (SID) regions, and separate regressions are conducted for each group. The empirical results are presented in Table 8. The empirical findings indicate that in agriculture-dominated (AD) regions, the estimated coefficient of NECCDZ on PM2.5 is −0.016. Although the sign is negative, the result lacks statistical significance (p > 0.1), implying that the policy has not produced a clear emission reduction effect in these areas. By contrast, in industry-dominated (ID) regions, the NECCDZ policy yields an estimated coefficient of −0.027, which is statistically significant at the 1 percent level, indicating that the policy has led to a marked improvement in air quality in these areas. For SID regions, the coefficient is −0.004, nearly zero and statistically insignificant, suggesting that the policy has had limited direct impact on pollution reduction in these areas. These findings suggest that the dominant industrial structure of a region plays a role in shaping both the transmission mechanism and the effectiveness of ecological policy interventions.
First, industry-dominated regions are typically characterized by a high concentration of manufacturing enterprises, centralized pollution sources, and intensive energy consumption. In such contexts, the ecological civilization policy—by restricting the development of high-pollution industries and strengthening environmental regulation—is more likely to yield noticeable reductions in pollutant emissions. Moreover, these regions often possess relatively advanced environmental infrastructure, along with the technological and industrial foundation necessary to implement clean production and adopt green technologies, thus facilitating more effective policy enforcement and outcomes. Second, the greater environmental pressure and stronger public awareness of environmental issues in ID regions may foster broader societal consensus and institutional synergy, which in turn amplifies the policy impact. By contrast, AD regions are characterized by lower levels of industrialization and more scattered pollution sources, offering limited marginal space for environmental improvements through ecological policy. Additionally, since agricultural production is not a major contributor to PM2.5 emissions, the direct effect of the policy in such regions is inherently constrained. As for SID regions, which typically exhibit high proportions of tertiary-sector activity, they are marked by low pollution intensity and high industrial externality, with pollution often manifesting in cross-boundary and less visible forms. Consequently, short-term ecological interventions are less likely to lead to significant improvements in air quality. Figure 10 depicts the spatial layout of cities categorized by their dominant industrial structures.

4.7.4. Heterogeneity of Regional Policy Effects

To examine whether the NECCDZ policy exerts heterogeneous effects on emission reduction across regions, this study adopts the official regional classification issued by the National Bureau of Statistics of China (NBS) in the Regional Statistical Yearbook, dividing the sample into eastern, central, western, and northeastern regions, and conducts separate regressions for each group. The empirical results are presented in Table 9. The empirical results reveal notable regional disparities in the policy’s effectiveness. In the eastern region, the estimated coefficient of NECCDZ on PM2.5 concentrations is −0.021, significant at the 10 percent level (p < 0.1), indicating that the policy has achieved certain emission-reduction effects in coastal areas characterized by strong economic foundations and advanced industrial structures. In the central region, the coefficient is −0.281 and statistically significant at the 1 percent level (p < 0.01), suggesting that the policy has produced the most pronounced improvements in air quality in these areas. By contrast, in the western region, the estimated coefficient is −0.020, negative but statistically insignificant (p > 0.1), implying that the policy has not yet generated a significant emission-reduction impact. Finally, in the northeastern region, the coefficient is −0.003, nearly zero and statistically insignificant (p > 0.1), suggesting that the NECCDZ policy’s direct effect on PM2.5 reduction in this region remains limited.
These findings suggest that regional heterogeneity plays an important role in shaping the transmission mechanisms and implementation effectiveness of ecological policy interventions. Specifically, the eastern region, with its robust economic base and advanced industrial structure, benefits from higher governance capacity, stronger institutional enforcement, and greater technological innovation, which together facilitate the effective translation of policy objectives into tangible pollution control outcomes. The central region, in the midst of industrial transformation and pollution-intensive sector restructuring, demonstrates a more substantial regulatory and technological substitution effect, resulting in significant improvements in air quality. In contrast, the western and northeastern regions, characterized by relatively weaker economic foundations, fragile ecological environments, and insufficient environmental infrastructure and technological capacity, may face fiscal and administrative constraints that hinder the effective implementation of the NECCDZ policy. Consequently, the expected emission-reduction effects in these regions have not yet materialized.
Figure 11 illustrates the spatial distribution of cities categorized by the four official regional divisions.
This section reveals that the effects of the NECCDZ policy exhibit significant heterogeneity, with the pollution reduction impact being notably stronger in GC, NOIB, ID, and Central compared with other areas.

5. Conclusions and Policy Recommendations

5.1. Discussion

This study demonstrates that the implementation of the National Ecological Civilization Construction Demonstration Zone (NECCDZ) policy has significantly reduced urban PM2.5 concentrations. Compared with existing research, this research employs county-level panel data from 2010 to 2022, providing more representative and robust empirical evidence. By integrating environmental performance with spatial planning and institutional incentives, the NECCDZ is identified as an effective model of ecological governance, offering strong support for the establishment of an ecology-oriented institutional framework. More importantly, the study reveals two major policy transmission channels—land use efficiency (LUE) and green innovation capacity (GIC)—underscoring the vital role of institutionalized mechanisms in indirectly improving environmental outcomes. Spatial ecological regulation helps restrain land-intensive polluting activities and imposes ecological constraints on land development, thereby reducing pollution externalities at the source. Meanwhile, the enhancement of green innovation capacity promotes emission reduction through technological progress, green product development, and industrial upgrading, embedding pollution control into the governance system and ensuring sustained environmental improvement. From an international perspective, developed countries in Europe and North America have established relatively mature institutional frameworks for pollution control. European nations primarily rely on end-of-pipe treatment technologies and stringent emission standards to manage pollutants such as PM2.5 [14], whereas the United States has developed a legal system centered on source control and whole-process regulation through the Clean Air Act [15]. In contrast, China’s NECCDZ policy has constructed a more comprehensive governance mechanism for pollution mitigation by integrating spatial ecological regulation, green technological innovation, and institutional incentives. Although this model offers valuable insights for other developing countries, its transferability remains contingent upon governance capacity, fiscal strength, and the foundation of green technology. For developing countries with strong institutional enforcement, NECCDZ can serve as a valuable institutional paradigm; however, in contexts characterized by fragmented governance or weak environmental incentives, localized adaptation and institutional adjustment are essential. Therefore, this study not only addresses the practical issues of China’s green transition but also provides meaningful implications for countries worldwide seeking sustainable urban governance pathways.

5.2. Limitations

This study utilizes county-level panel data from 2010 to 2022 and applies a rigorous difference-in-differences (DID) analytical approach. Nevertheless, several limitations should be recognized. A primary concern lies in the reliance on secondary data sources, such as the EDGAR emissions database and national statistical yearbooks. These sources may exhibit limitations in terms of measurement precision, frequency of updates, and regional coverage, which could affect the accuracy of pollution-related estimates. In addition, although the findings provide strong empirical support for the effectiveness of the NECCDZ policy within the Chinese context, the extent to which these results can be applied to other countries remains uncertain, particularly in cases where institutional frameworks and development trajectories differ significantly. Furthermore, the current analysis concentrates on land use efficiency and green innovation capacity as the core policy transmission mechanisms. However, it does not incorporate other institutional variables that may influence outcomes, including the capacity of local governments to enforce environmental regulations, the strength of fiscal incentives, or the level of public engagement. This study also applies a uniform implementation year for all treatment regions, which may fail to reflect temporal differences in local policy adoption and may reduce the ability to capture dynamic treatment effects. To address these issues, future research may consider incorporating public health indicators, such as rates of respiratory diseases or hospital admissions, in order to examine the broader societal impacts of environmental regulation. Additionally, the integration of micro-level socioeconomic data, including firm-level emissions, household income levels, or employment structure, could help reveal heterogeneous effects across different population groups. The use of spatial econometric models may also provide insight into potential spillover effects and interregional policy interactions. Lastly, accounting for variation in policy intensity and the quality of local governance would support a more comprehensive evaluation of the institutional performance and long-term effectiveness of the NECCDZ policy.

5.3. Conclusions

Using county-level panel data from 2010 to 2022, this study applies a DID approach with robustness and placebo tests to evaluate the NECCDZ’s effect on PM2.5. It also examines mechanisms and regional differences to reveal the policy’s logic and governance boundaries. The empirical results demonstrate that (1) the creation of NECCDZs has substantially reduced PM2.5 concentrations, and this reduction effect remains robust even after adjusting for other influencing factors, altering sample periods, and substituting dependent variables, thereby demonstrating the policy’s strong performance in environmental governance. (2) The analysis of the mechanism shows that the policy is primarily successful in cutting emissions by improving land use efficiency and enhancing green innovation capacity. Both Sobel tests and Bootstrap resampling confirm the statistical significance of these mediating effects. (3) Heterogeneity analysis shows that the policy exhibits stronger emission reduction effects in non-central cities, non-traditional industrial bases, central region and industry-dominated regions, suggesting that future NECCDZ implementation should place greater emphasis on ecologically sensitive areas and cities undergoing economic transition. Overall, the NECCDZ policy not only demonstrates clear advantages in improving regional air quality but also offers valuable policy implications for institutionalized ecological spatial governance and the promotion of green development pathways.

6. Policy Recommendations

The findings demonstrate that the creation of National Ecological Civilization Demonstration Zones significantly enhances urban PM2.5 pollution management, thereby providing novel empirical support for examining how ecological governance and pollution prevention interact. Moreover, it offers a feasible institutional pathway for advancing the implementation of China’s ecological civilization framework. From the standpoint of both theoretical investigation and policy assessment, this paper broadens the analytical framework used to evaluate China’s environmental governance tools and offers practical, evidence-based guidance to advance urban sustainable development within the green transformation context. Drawing on the empirical results, three policy suggestions are put forward.

6.1. Improve Eco-Performance Evaluation to Drive Deep Governance Reform

Empirical results reveal that the establishment of NECCDZ has played a substantial role in curbing PM2.5 emissions nationwide, emphasizing its significance as a central institutional mechanism for environmental governance. However, the policy’s effectiveness varies markedly across cities with different administrative levels, industrial bases, and dominant sectors, revealing a mismatch between “institutional embedding” and “local responsiveness.” To bridge this gap, pollution abatement outcomes should be formally incorporated into the NECCDZ performance evaluation framework, transforming institutional demonstration into tangible governance results. It is recommended that the central government set stage-based and region-specific air quality targets, supported by earmarked fiscal funds and ecological compensation schemes, to incentivize local governments to pursue ecological projects, strengthen implementation monitoring, and enhance outcome evaluation. In addition, it is necessary to establish cross-regional governance collaboration platforms (such as joint prevention and control mechanisms for air pollution) to strengthen regional coordination effectiveness. This approach can effectively avoid governance dilemmas such as the “boundary rebound effect” and “responsibility fragmentation,” thereby enhancing policy execution coherence and improving implementation outcomes.

6.2. Establish a Capacity-Building Mechanism for Green Governance

This study confirms that green governance capacity, as measured by land use efficiency and green innovation capability, is a key transmission mechanism through which the NECCDZ policy improves air quality. However, the observed time lag in policy outcomes suggests that local governments still face challenges in translating policy mandates into effective action. To address this, it is necessary to systematically enhance the institutional capacity of local governments to ensure effective policy implementation and reduce the time needed for results to emerge. Local governments should be encouraged to establish dedicated ecological civilization units and recruit interdisciplinary professionals in areas such as environmental management, green finance, and low-carbon technologies to improve the professionalism of policy delivery. At the same time, a continuous monitoring and feedback system should be developed to strengthen performance evaluation, public engagement, and dynamic environmental data updates, thus increasing the agility and accuracy of policy adjustments. Furthermore, the central government could create a dedicated ecological capacity-building fund to support technical training, digital governance platforms, and pilot demonstration projects in economically weaker regions, thereby improving responsiveness and execution capacity at the grassroots level. These measures can help break the current chain of implementation delay leading to outcome delay, accelerate the policy’s effectiveness, and enhance the overall governance capacity of institutional tools like NECCDZ.

6.3. Promote Differentiated Policies for Effective Delivery

Heterogeneity analysis reveals that the NECCDZ policy demonstrates more significant emission-reduction effects in general cities, non–old industrial base regions, industry-dominated areas, and central regions, while its impact remains limited in core cities, old industrial bases, and agriculture- or service-dominated regions. This indicates the existence of clear structural constraints and regional disparities in local ecological transition processes. For regions where the policy has achieved notable effects, efforts should focus on extending green industrial chains, promoting low-carbon technological innovation, and advancing green manufacturing systems to consolidate policy gains. Central regions should use their locational advantages to promote green manufacturing and optimize the energy structure. These efforts can enhance the policy’s effect and achieve joint gains in growth and emission reduction. In contrast, for regions where the policy effects are less significant, greater emphasis should be placed on fiscal and financial support, green transition incentives, and improvements in ecological compensation mechanisms to enhance policy transmission. Specifically, core cities should strengthen cross-regional environmental governance, and promote low-carbon transformation in transportation, construction, and energy consumption to reduce structural “construction-related pollution.” Meanwhile, old industrial bases should adopt fiscal subsidies, green credit, technological upgrading incentives, and pollution exit mechanisms to break the path dependence on high energy consumption and high emissions, facilitating the green reconstruction of traditional industries. Overall, the implementation of the NECCDZ policy should follow a differentiated and hierarchical governance logic—enhancing innovation leadership in developed regions, expanding transformation momentum in central regions, and improving institutional support in less-developed regions—to achieve coordinated emission reduction and green development nationwide.

Author Contributions

Conceptualization, S.Z., D.J. and Y.W.; methodology, Y.W.; software, Y.W.; validation, Y.W., S.Z. and D.J.; formal analysis, Y.W.; investigation, Y.W.; resources, Y.W.; data curation, Y.W.; writing—original draft preparation, Y.W.; writing—review and editing, D.J.; visualization, S.Z.; supervision, D.J.; project administration, S.Z.; funding acquisition, D.J. All authors have read and agreed to the published version of the manuscript.

Funding

This study is supported by the Ministry of Education Humanities and Social Sciences Research Planning Fund Project, “Research on the Dilemma and Governance of Labor Rights Protection for Workers in New Employment Forms” (Project Number: 23YJA840007), and by the Research Planning Project of Philosophy and Social Sciences in Heilongjiang Province, “Research on the Evolution Mechanism and Realization Path of New Quality Productivity in Manufacturing Empowered by Digital-Physical Integration in Heilongjiang Province” (Project Number: 24JLH002).

Institutional Review Board Statement

Not applicable.

Informed Consent Statement

Not applicable.

Data Availability Statement

All data used in this study are available from the corresponding author upon request.

Acknowledgments

During the preparation of this manuscript/study, the authors used ChatGPT 4.0 for the purposes of translation and language editing. The authors have reviewed and edited the output and take full responsibility for the content of this publication.

Conflicts of Interest

The authors declare no conflicts of interest.

Abbreviations

The following abbreviations are used in this manuscript:
NECCDZNational Ecological Civilization Construction Demonstration Zone
LUELand Use Efficiency
GICGreen Innovation Capability

References

  1. Feng, Y.; Castro, E.; Wei, Y.; Jin, T.; Qiu, X.; Dominici, F.; Schwartz, J. Long-Term Exposure to Ambient PM2.5, Particulate Constituents and Hospital Admissions from Non-Respiratory Infection. Nat. Commun. 2024, 15, 1518. [Google Scholar] [CrossRef] [PubMed]
  2. Hill, W.; Lim, E.L.; Weeden, C.E.; Lee, C.; Augustine, M.; Chen, K.; Kuan, F.-C.; Marongiu, F.; Evans, E.J.; Moore, D.A.; et al. Lung Adenocarcinoma Promotion by Air Pollutants. Nature 2023, 616, 159–167. [Google Scholar] [CrossRef]
  3. Li, G.; Fang, C.; Wang, S.; Sun, S. The Effect of Economic Growth, Urbanization, and Industrialization on Fine Particulate Matter (PM2.5) Concentrations in China. Environ. Sci. Technol. 2016, 50, 11452–11459. [Google Scholar] [CrossRef]
  4. Dong, F.; Li, J.; Zhang, X.; Zhu, J. Decoupling Relationship between Haze Pollution and Economic Growth: A New Decoupling Index. Ecol. Indic. 2021, 129, 107859. [Google Scholar] [CrossRef]
  5. Fang, D.; Yu, B. Driving Mechanism and Decoupling Effect of PM2.5 Emissions: Empirical Evidence from China’s Industrial Sector. Energy Policy 2021, 149, 112017. [Google Scholar] [CrossRef]
  6. Feng, T.; Du, H.; Lin, Z.; Zuo, J. Spatial Spillover Effects of Environmental Regulations on Air Pollution: Evidence from Urban Agglomerations in China. J. Environ. Manag. 2020, 272, 110998. [Google Scholar] [CrossRef] [PubMed]
  7. Gupta, M.; Saini, S.; Sahoo, M. Determinants of Ecological Footprint and PM2.5: Role of Urbanization, Natural Resources and Technological Innovation. Environ. Chall. 2022, 7, 100467. [Google Scholar] [CrossRef]
  8. Zhang, M.; Tan, S.; Pan, Z.; Hao, D.; Zhang, X.; Chen, Z. The Spatial Spillover Effect and Nonlinear Relationship Analysis between Land Resource Misallocation and Environmental Pollution: Evidence from China. J. Environ. Manag. 2022, 321, 115873. [Google Scholar] [CrossRef]
  9. Shisong, C.; Wenji, Z.; Hongliang, G.; Deyong, H.; You, M.; Wenhui, Z.; Shanshan, L. Comparison of Remotely Sensed PM2.5 Concentrations between Developed and Developing Countries: Results from the US, Europe, China, and India. J. Clean. Prod. 2018, 182, 672–681. [Google Scholar] [CrossRef]
  10. Zhu, L.; Hao, Y.; Lu, Z.-N.; Wu, H.; Ran, Q. Do Economic Activities Cause Air Pollution? Evidence from China’s Major Cities. Sustain. Cities Soc. 2019, 49, 101593. [Google Scholar] [CrossRef]
  11. Zhang, X.; Geng, Y.; Shao, S.; Wilson, J.; Song, X.; You, W. China’s Non-Fossil Energy Development and Its 2030 CO2 Reduction Targets: The Role of Urbanization. Appl. Energy 2020, 261, 114353. [Google Scholar] [CrossRef]
  12. Sun, B.; Fang, C.; Liao, X.; Guo, X.; Liu, Z. The Relationship between Urbanization and Air Pollution Affected by Intercity Factor Mobility: A Case of the Yangtze River Delta Region. Environ. Impact Assess. Rev. 2023, 100, 107092. [Google Scholar] [CrossRef]
  13. Xu, B.; Lin, B. What Cause Large Regional Differences in PM2.5 Pollutions in China? Evidence from Quantile Regression Model. J. Clean. Prod. 2018, 174, 447–461. [Google Scholar] [CrossRef]
  14. Crippa, M.; Janssens-Maenhout, G.; Dentener, F.; Guizzardi, D.; Sindelarova, K.; Muntean, M.; Van Dingenen, R.; Granier, C. Forty Years of Improvements in European Air Quality: Regional Policy-Industry Interactions with Global Impacts. Atmospheric Chem. Phys. 2016, 16, 3825–3841. [Google Scholar] [CrossRef]
  15. Shapiro, J.S.; Walker, R. Why Is Pollution from US Manufacturing Declining? The Roles of Environmental Regulation, Productivity, and Trade. Am. Econ. Rev. 2018, 108, 3814–3854. [Google Scholar] [CrossRef]
  16. Gao, K.; Yuan, Y. The Effect of Innovation-Driven Development on Pollution Reduction: Empirical Evidence from a Quasi-Natural Experiment in China. Technol. Forecast. Soc. Change 2021, 172, 121047. [Google Scholar] [CrossRef]
  17. Chu, Z.; Cheng, M.; Yu, N.N. A Smart City Is a Less Polluted City. Technol. Forecast. Soc. Change 2021, 172, 121037. [Google Scholar] [CrossRef]
  18. Dong, F.; Li, Y.; Qin, C.; Zhang, X.; Chen, Y.; Zhao, X.; Wang, C. Information Infrastructure and Greenhouse Gas Emission Performance in Urban China: A Difference-in-Differences Analysis. J. Environ. Manag. 2022, 316, 115252. [Google Scholar] [CrossRef] [PubMed]
  19. Hu, J.; Zhang, K. Study on the Synergy of Pilot Policy on Urban Pollution and Carbon Reduction: A Quasi-Natural Experiment Based on the National Ecological Civilization Advance Demonstration Area. Resour. Environ. Yangtze Basin 2023, 32, 2196–2211. [Google Scholar]
  20. Li, Y.; Liu, B.; Zhao, P.; Peng, L.; Luo, Z. Can China’s Ecological Civilization Strike a Balance between Economic Benefits and Green Efficiency? A Preliminary Province-Based Quasi-Natural Experiment. Front. Psychol. 2022, 13, 1027725. [Google Scholar] [CrossRef]
  21. Xin, B.; Gao, F. Is the ecological civilization pilot reform conducive to the improvement of ecological total factor productivity. China Popul. Resour. Environ. 2021, 31, 152–162. [Google Scholar]
  22. Yang, J.; Deng, W.; Zhang, G.; Cui, X. Linking Endangered Species Protection to Construct and Optimize Ecological Security Patterns in the National Ecological Civilization Construction Demonstration Zone: A Case Study of Yichang, China. Ecol. Indic. 2024, 158, 111579. [Google Scholar] [CrossRef]
  23. Yao, G.; Li, H.; Wu, J.; Wang, N.; Liu, C. The Coupling Coordination Degree of Ecological Environment and Urbanization in Ecological Civilization Demonstration Area Based on Remote Sensing Ecological Index and Compounded Night Light Index: A Case Study of the Yangtze River Delta. J. Ecol. Rural. Environ. 2023, 39, 1386–1398. [Google Scholar] [CrossRef]
  24. Xie, D.; Gou, Z.; Gui, X. How Electric Vehicles Benefit Urban Air Quality Improvement: A Study in Wuhan. Sci. Total Environ. 2024, 906, 167584. [Google Scholar] [CrossRef]
  25. Lu, S.; Xiong, J. Can the establishment of ecological civilization demonstration zones improve agricultural green efficiency? Based on the empirical data of huan province. J. Central South Univ. Sci. 2020, 26, 90–101. [Google Scholar]
  26. Li, S.; Wang, D.; Wu, Q. Effect of Ecological Civilization Pilot Demonstration Area Construction on Urban Land Green Use Efficiency. Front. Environ. Sci. 2023, 11, 1200171. [Google Scholar] [CrossRef]
  27. Yang, D.; Meng, F.; Liu, Y.; Dong, G.; Lu, D. Scale Effects and Regional Disparities of Land Use in Influencing PM2.5 Concentrations: A Case Study in the Zhengzhou Metropolitan Area, China. Land 2022, 11, 1538. [Google Scholar] [CrossRef]
  28. Li, Q.; Wang, Y.; Chen, W.; Li, M.; Fang, X. Does Improvement of Industrial Land Use Efficiency Reduce PM2.5 Pollution? Evidence from a Spatiotemporal Analysis of China. Ecol. Indic. 2021, 132, 108333. [Google Scholar] [CrossRef]
  29. Li, C.; Zhang, S.; Yang, B. The Impact of Ecological Civilization Construction on the Resilience of Green Technology Innovation: Evidence Based on Double Dual Machine Learning. Front. Environ. Sci. 2025, 12, 1514582. [Google Scholar] [CrossRef]
  30. Rubashkina, Y.; Galeotti, M.; Verdolini, E. Environmental Regulation and Competitiveness: Empirical Evidence on the Porter Hypothesis from European Manufacturing Sectors. Energy Policy 2015, 83, 288–300. [Google Scholar] [CrossRef]
  31. Jiang, S.; Liu, X.; Liu, Z.; Shi, H.; Xu, H. Does Green Finance Promote Enterprises’ Green Technology Innovation in China? Front. Environ. Sci. 2022, 10, 981013. [Google Scholar] [CrossRef]
  32. Feng, S.; Zhang, R.; Li, G. Environmental Decentralization, Digital Finance and Green Technology Innovation. Struct. Change Econ. Dyn. 2022, 61, 70–83. [Google Scholar] [CrossRef]
  33. Liu, X.; Zhang, X. Industrial Agglomeration, Technological Innovation and Carbon Productivity: Evidence from China. Resour. Conserv. Recycl. 2021, 166, 105330. [Google Scholar] [CrossRef]
  34. Shen, Y.; Zhang, X. Intelligent Manufacturing, Green Technological Innovation and Environmental Pollution. J. Innov. Knowl. 2023, 8, 100384. [Google Scholar] [CrossRef]
  35. Ouyang, X.; Li, Q.; Du, K. How Does Environmental Regulation Promote Technological Innovations in the Industrial Sector? Evidence from Chinese Provincial Panel Data. Energy Policy 2020, 139, 111310. [Google Scholar] [CrossRef]
  36. Chen, J.; Wang, S.; Zhou, C.; Li, M. Does the Path of Technological Progress Matter in Mitigating China’s PM2.5 Concentrations? Evidence from Three Urban Agglomerations in China. Environ. Pollut. 2019, 254, 113012. [Google Scholar] [CrossRef] [PubMed]
  37. Wang, H.; Wang, M. Effects of Technological Innovation on Energy Efficiency in China: Evidence from Dynamic Panel of 284 Cities. Sci. Total Environ. 2020, 709, 136172. [Google Scholar] [CrossRef] [PubMed]
  38. Miao, Z.; Baležentis, T.; Shao, S.; Chang, D. Energy Use, Industrial Soot and Vehicle Exhaust Pollution—China’s Regional Air Pollution Recognition, Performance Decomposition and Governance. Energy Econ. 2019, 83, 501–514. [Google Scholar] [CrossRef]
  39. Card, D.; Krueger, A.B. Minimum wages and employment: A case study of the fast-food industry in New Jersey and Pennsylvania: Reply. Am. Econ. Rev. 2000, 90, 1397–1420. [Google Scholar] [CrossRef]
  40. Baker, A.C.; Larcker, D.F.; Wang, C.C.Y. How much should we trust staggered difference-in-differences estimates? J. Financ. Econ. 2022, 144, 370–395. [Google Scholar] [CrossRef]
  41. Callaway, B.; Sant’Anna, P.H.C. Difference-in-Differences with Multiple Time Periods. J. Econom. 2021, 225, 200–230. [Google Scholar] [CrossRef]
  42. Beck, T.; Levine, R.; Levkov, A. Big Bad Banks? The Winners and Losers from Bank Deregulation in the United States. J. Finance 2010, 65, 1637–1667. [Google Scholar] [CrossRef]
  43. Baron, R.M.; Kenny, D.A. The Moderator–Mediator Variable Distinction in Social Psychological Research: Conceptual, Strategic, and Statistical Considerations. J. Pers. Soc. Psychol. 1986, 51, 1173–1182. [Google Scholar] [CrossRef]
  44. Crippa, M.; Guizzardi, D.; Pagani, F.; Schiavina, M.; Melchiorri, M.; Pisoni, E.; Graziosi, F.; Muntean, M.; Maes, J.; Dijkstra, L.; et al. Insights on the spatial distribution of global, national and sub-national GHG emissions in edgarv8. 0. Earth Syst. Sci. Data Discuss. 2023, 2023, 1–28. [Google Scholar] [CrossRef]
  45. Zhong, S.; Zhou, Z.; Zhang, X.; Jin, D. Green Fiscal Interventions and Air Quality Improvement: Empirical Insights on PM2.5 Reduction from Chinese Counties. Clean Technol. Environ. Policy 2025, 27, 4771–4795. [Google Scholar] [CrossRef]
  46. Han, D.; Attipoe, S.G.; Han, D.; Cao, J. Does Transportation Infrastructure Construction Promote Population Agglomeration? Evidence from 1838 Chinese County-Level Administrative Units. Cities 2023, 140, 104409. [Google Scholar] [CrossRef]
  47. Tian, Z.; Hu, A.; Yang, Z.; Lin, Y. Highway Networks and Regional Poverty: Evidence from Chinese Counties. Struct. Change Econ. Dyn. 2024, 69, 224–231. [Google Scholar] [CrossRef]
  48. Qin, Q.; Guo, H.; Shi, X.; Chen, K. Rural E-commerce and County Economic Development in China. China World Econ. 2023, 31, 26–60. [Google Scholar] [CrossRef]
  49. Chen, M.; Liu, X.; Xiong, X.; Wu, J. Has the Opening of High-Speed Rail Narrowed the Inter-County Economic Gap? The Perspective of China’s State-Designated Poor Counties. Int. Rev. Econ. Finance 2023, 88, 1–13. [Google Scholar] [CrossRef]
  50. Rambachan, A.; Roth, J. A More Credible Approach to Parallel Trends. Rev. Econ. Stud. 2023, 90, 2555–2591. [Google Scholar] [CrossRef]
  51. Roth, J.; Sant’Anna, P.H.C.; Bilinski, A.; Poe, J. What’s Trending in Difference-in-Differences? A Synthesis of the Recent Econometrics Literature. J. Econom. 2023, 235, 2218–2244. [Google Scholar] [CrossRef]
  52. Autor, D.H. Outsourcing at Will: The Contribution of Unjust Dismissal Doctrine to the Growth of Employment Outsourcing. SSRN Electron. J. 2001, 21, 1–54. [Google Scholar] [CrossRef]
  53. Bertrand, M.; Duflo, E.; Mullainathan, S. How Much Should We Trust Differences-in-Differences Estimates? SSRN Electron. J. 2001, 119, 249–275. [Google Scholar] [CrossRef]
  54. Galiani, S.; Gertler, P.; Schargrodsky, E. Water for Life: The Impact of the Privatization of Water Services on Child Mortality. J. Polit. Econ. 2005, 113, 83–120. [Google Scholar] [CrossRef]
  55. Lyu, Y.; Xiao, X.; Zhang, J. Does the Digital Economy Enhance Green Total Factor Productivity in China? The Evidence from a National Big Data Comprehensive Pilot Zone. Struct. Change Econ. Dyn. 2024, 69, 183–196. [Google Scholar] [CrossRef]
  56. La Ferrara, E.; Chong, A.; Duryea, S. Soap Operas and Fertility: Evidence from Brazil. Am. Econ. J. Appl. Econ. 2012, 4, 1–31. [Google Scholar] [CrossRef]
  57. Chetty, R.; Looney, A.; Kroft, K. Salience and Taxation: Theory and Evidence. Am. Econ. Rev. 2009, 99, 1145–1177. [Google Scholar] [CrossRef]
  58. He, S.; Yu, S.; Li, G.; Zhang, J. Exploring the influence of urban form on land-use efficiency from a spatiotemporal heterogeneity perspective: Evidence from 336 Chinese cities. Land Use Policy 2020, 95, 104576. [Google Scholar] [CrossRef]
  59. Elliott, R.J.R.; Kuai, W.; Maddison, D.; Ozgen, C. Eco-Innovation and (Green) Employment: A Task-Based Approach to Measuring the Composition of Work in Firms. J. Environ. Econ. Manag. 2024, 127, 103015. [Google Scholar] [CrossRef]
Figure 1. Geographical distribution of NECCDZ pilot regions (map review number GS(2019)182).
Figure 1. Geographical distribution of NECCDZ pilot regions (map review number GS(2019)182).
Sustainability 17 09765 g001
Figure 2. Spatial distribution of PM2.5 concentrations (μg/m3) (map review number GS(2019)182).
Figure 2. Spatial distribution of PM2.5 concentrations (μg/m3) (map review number GS(2019)182).
Sustainability 17 09765 g002
Figure 3. Theoretical framework.
Figure 3. Theoretical framework.
Sustainability 17 09765 g003
Figure 4. Changes in regression coefficients and error bars with the incremental addition of control variables. (The purple area represents the error bars).
Figure 4. Changes in regression coefficients and error bars with the incremental addition of control variables. (The purple area represents the error bars).
Sustainability 17 09765 g004
Figure 5. Parallel trends test.
Figure 5. Parallel trends test.
Sustainability 17 09765 g005
Figure 6. Balance Test.
Figure 6. Balance Test.
Sustainability 17 09765 g006
Figure 7. Placebo Test.
Figure 7. Placebo Test.
Sustainability 17 09765 g007
Figure 8. Distribution of city level (map review number GS(2019)182).
Figure 8. Distribution of city level (map review number GS(2019)182).
Sustainability 17 09765 g008
Figure 9. Industrial base (map review number GS(2019)182).
Figure 9. Industrial base (map review number GS(2019)182).
Sustainability 17 09765 g009
Figure 10. Distribution of industrial structure (map review number GS(2019)182).
Figure 10. Distribution of industrial structure (map review number GS(2019)182).
Sustainability 17 09765 g010
Figure 11. Heterogeneity of regional policy effects (map review number GS(2019)182).
Figure 11. Heterogeneity of regional policy effects (map review number GS(2019)182).
Sustainability 17 09765 g011
Table 1. Variable definitions.
Table 1. Variable definitions.
VariableAbbreviationDefinitionData Source
Dependent VariablePM2.5PM2.5Average PM2.5 Concentration (Taking the logarithm)EDGAR
Independent VariableNational Ecological Civilization Construction Demonstration ZoneNECCDZWhether the City Implements the National Ecological Civilization Construction Demonstration Zone PolicyList of National Pilot Regions for the Ecological Civilization Construction Demonstration Zone Policy
Control Variablesfiscal budget levelbudgetThe proportion of local general budget revenue and expenditure to regional GDPChina County Statistical Yearbook
household savings levelsavThe proportion of urban and rural household savings deposits to regional GDP
welfare provisionwelfareThe ratio of beds in social welfare and adoption institutions to the registered population
educational attainmentstudentShare of secondary school students in total population
healthcare capacityhosNumber of hospital beds per registered capita
industrial development levelindNumber of above-scale industrial enterprises per registered capita
industrial productivityivaIndustrial value added per registered capita (divided by 100)
Mechanism Variableland use efficiencyLUECombined output of secondary and tertiary industries per unit of administrative land area
green innovation capabilityGICThe amount of green patent licenses divided by the registered population.China National Intellectual Property Administration
Table 2. Descriptive statistics.
Table 2. Descriptive statistics.
VariableNMeanSDMinMax
PM2.510,3504.5341.550−1.8279.210
NECCDZ10,5280.04400.20501
budget10,5280.3470.2540.04603.099
sav10,5280.7400.4030.01303.732
welfare10,5280.3170.2780.001004.776
student10,5280.4840.1490.02201.612
hos10,5280.3760.1930.006003.217
ind10,5280.02700.034000.339
iva10,528179.8272.9−9.2434745
Table 3. Results of the multicollinearity test.
Table 3. Results of the multicollinearity test.
VariableNECCDZBudgetsavWelfareStudenthosindivaMeanVIF
VIF1.0701.2101.2101.2401.1001.3201.8601.9301.370
1/VIF0.9300.8300.8230.8040.9090.7590.5370.518
Table 4. Baseline regression results.
Table 4. Baseline regression results.
(1)(2)(3)(4)(5)(6)(7)(8)
PM2.5PM2.5PM2.5PM2.5PM2.5PM2.5PM2.5PM2.5
NECCDZ−0.019 ***−0.020 ***−0.023 ***−0.024 ***−0.022 ***−0.022 ***−0.022 ***−0.024 ***
(−3.839)(−3.906)(−4.574)(−4.751)(−4.437)(−4.406)(−4.425)(−4.877)
budget −0.035 ***−0.010−0.010−0.013−0.013−0.014−0.008
(−3.637)(−1.054)(−1.092)(−1.353)(−1.390)(−1.420)(−0.903)
sav −0.036 ***−0.032 ***−0.033 ***−0.033 ***−0.032 ***−0.017 **
(−4.629)(−4.352)(−4.453)(−4.494)(−4.375)(−2.207)
welfare 0.019 ***0.020 ***0.021 ***0.021 ***0.020 ***
(3.358)(3.479)(3.633)(3.641)(3.467)
student 0.042 ***0.044 ***0.044 ***0.044 ***
(3.308)(3.467)(3.478)(3.489)
hos −0.031 **−0.032 ***−0.033 ***
(−2.572)(−2.641)(−2.748)
ind 0.141−0.067
(1.058)(−0.502)
iva 0.000 ***
(5.273)
_cons4.526 ***4.538 ***4.556 ***4.547 ***4.529 ***4.539 ***4.535 ***4.511 ***
(5630.708)(1346.998)(830.333)(836.446)(555.248)(499.119)(446.514)(433.204)
CountyYESYESYESYESYESYESYESYES
YearYESYESYESYESYESYESYESYES
N10,16610,16610,16610,16610,16610,16610,16610,166
R20.9980.9980.9980.9980.9980.9980.9980.998
Standard errors in parentheses. ** p < 0.05, *** p < 0.01.
Table 5. Robustness Test 1.
Table 5. Robustness Test 1.
(1)(2)(3)
PM2.5_SUMPM2.5PM2.5
NECCDZ−0.024 ***−0.024 ***
(−4.780)(−4.745)
L2.NECCDZ −0.045 ***
(−5.430)
budget−0.016−0.006−0.018
(−1.210)(−0.471)(−0.984)
sav−0.015 *−0.021 **−0.036 ***
(−1.799)(−2.428)(−2.908)
welfare0.020 ***0.016 **0.032 **
(2.699)(2.251)(2.237)
student0.045 ***0.058 ***0.067 ***
(3.547)(4.521)(3.621)
hos−0.040 ***−0.039 ***−0.070 ***
(−3.037)(−2.908)(−2.817)
ind0.0640.053−0.590 **
(0.489)(0.394)(−2.153)
iva0.000 ***0.000 ***0.000 ***
(4.792)(4.768)(3.683)
_cons7.612 ***4.510 ***4.208 ***
(706.868)(408.741)(260.117)
CountyYESYESYES
YearYESYESYES
N10,16610,1664387
R20.9960.9980.998
Standard errors in parentheses. * p < 0.1.** p < 0.05, *** p < 0.01.
Table 6. Robustness Test 2.
Table 6. Robustness Test 2.
(1)(2)(3)(4)
PM2.5
(NIC)
PM2.5
(Smart)
PM2.5
(BBC)
PM2.5
(PSM-DID)
NECCDZ−0.027 ***−0.031 ***−0.028 ***−0.024 ***
(−4.716)(−4.977)(−4.436)(−4.803)
budget−0.002−0.0090.033 **0.003
(−0.164)(−0.591)(2.514)(0.253)
sav−0.021 **−0.021 **−0.034 ***−0.030 ***
(−2.423)(−2.024)(−3.712)(−3.272)
welfare0.015 *0.0170.022 ***0.022 ***
(1.859)(1.567)(2.611)(3.039)
student0.053 ***0.034 **0.0140.065 ***
(3.996)(2.151)(0.979)(4.068)
hos−0.048 ***−0.031 *−0.042 ***−0.040 ***
(−3.337)(−1.922)(−2.708)(−2.668)
ind0.088−0.0670.1720.173
(0.551)(−0.350)(0.995)(1.189)
iva0.000 ***0.000 ***0.000 ***0.000 ***
(4.332)(5.578)(5.193)(4.505)
_cons4.392 ***4.228 ***4.345 ***4.509 ***
(375.504)(327.185)(354.781)(363.222)
CountyYESYESYESYES
YearYESYESYESYES
N9021663575358479
R20.9980.9980.9980.998
Standard errors in parentheses. * p < 0.1, ** p < 0.05, *** p < 0.01.
Table 7. Mechanism Test: land use efficiency and green innovation capability.
Table 7. Mechanism Test: land use efficiency and green innovation capability.
(1)(2)(3)(4)
LUEPM2.5GPPM2.5
NECCDZ0.058 ***−0.022 ***0.960 ***−0.014 ***
(5.304)(−4.321)(5.985)(−2.827)
LUE −0.039 ***
(−2.992)
GIC −0.004 ***
(−4.717)
budget0.060 ***−0.005−0.0291.355 ***
(5.192)(−0.600)(−1.254)(3.242)
sav−0.100 ***−0.021 ***−0.017−0.377
(−7.431)(−2.751)(−1.510)(−1.353)
welfare−0.0110.019 ***0.012 *0.015
(−1.488)(3.376)(1.799)(0.118)
student0.065 ***0.046 ***0.041 **0.846 **
(3.226)(3.699)(2.293)(2.397)
hos0.071 ***−0.030 **0.0020.463
(3.482)(−2.547)(0.090)(1.504)
ind−0.659−0.100−0.19213.169 **
(−1.629)(−0.735)(−0.950)(2.479)
iva0.000 ***0.000 ***0.000 ***0.000
(5.342)(5.358)(2.928)(1.518)
Sobel Z0.152 *** 0.117 ***
Number of Bootstrap Replications1000 1000
Ind_eff0.152 *** 0.117 ***
_cons0.107 ***4.506 ***−0.3014.703 ***
(4.646)(430.578)(−0.568)(296.710)
CountyYESYESYESYES
YearYESYESYESYES
N10,14710,12153775358
R20.9390.9980.7980.998
Standard errors in parentheses. * p < 0.1, ** p < 0.05, *** p < 0.01.
Table 8. Heterogeneity Test: city level and industrial base.
Table 8. Heterogeneity Test: city level and industrial base.
(1)(2)(3)(4)(5)(6)(7)
PM2.5
(HC)
PM2.5
(GC)
PM2.5
(OIB)
PM2.5
(NOIB)
PM2.5
(AD)
PM2.5
(ID)
PM2.5
(SID)
NECCDZ0.005−0.030 ***−0.038 *−0.021 ***−0.016−0.027 ***0.004
(0.459)(−5.409)(−1.822)(−4.136)(−0.506)(−3.196)(0.567)
budget0.046−0.0080.021−0.0130.016−0.015−0.001
(1.153)(−0.880)(0.757)(−1.402)(0.411)(−1.021)(−0.102)
sav−0.006−0.022 ***−0.060 ***0.0030.055 *−0.021−0.021 **
(−0.324)(−2.652)(−4.289)(0.380)(1.793)(−1.285)(−2.425)
welfare0.0150.021 ***0.033 **0.016 ***0.0020.026 ***0.006
(1.211)(3.287)(2.267)(2.768)(0.075)(3.833)(0.827)
student0.188 ***0.029 **0.0230.053 ***0.154 ***0.038 *0.044 **
(4.564)(2.192)(0.924)(3.773)(3.627)(1.882)(2.510)
hos0.092 ***−0.042 ***0.035−0.040 ***−0.015−0.032−0.019 *
(2.729)(−3.329)(0.581)(−3.586)(−0.341)(−1.568)(−1.704)
ind0.040−0.0830.204−0.093−0.971−0.0050.505 **
(0.157)(−0.528)(0.694)(−0.637)(−0.990)(−0.030)(2.078)
iva0.000 ***0.000 ***0.000 ***0.000 ***0.0000.000 ***−0.000 ***
(2.676)(4.939)(2.602)(4.938)(1.574)(4.755)(−2.668)
_cons5.331 ***4.392 ***5.052 ***4.330 ***3.245 ***4.829 ***4.133 ***
(0.577)(392.109)(205.928)(364.652)(90.768)(285.503)(286.076)
CountyYESYESYESYESYESYESYES
YearYESYESYESYESYESYESYES
N124789192395777149959913506
R20.9970.9980.9970.9980.9990.9980.999
Standard errors in parentheses. * p < 0.1, ** p < 0.05, *** p < 0.01.
Table 9. Heterogeneity Test: regional policy effects.
Table 9. Heterogeneity Test: regional policy effects.
(1)(2)(3)(4)
PM2.5
(Eastern)
PM2.5
(Central)
PM2.5
(Western)
PM2.5
(Northeastern)
NECCDZ−0.021 *−0.281 ***−0.020−0.003
(−1.823)(−13.874)(−0.798)(−0.170)
budget−0.006−0.052−0.0100.200
(−0.131)(−0.639)(−0.596)(1.420)
sav−0.038 *−0.078−0.009−0.202 ***
(−1.820)(−1.438)(−0.490)(−4.825)
welfare0.0180.0160.022 *−0.028
(1.311)(0.572)(1.718)(−0.654)
student0.100 **0.0300.0370.045
(2.480)(1.089)(1.292)(0.464)
hos−0.0370.009−0.0240.072
(−0.694)(0.227)(−1.295)(0.969)
ind0.0600.193−0.849 **−0.043
(0.303)(0.513)(−2.123)(−0.119)
iva0.0000.0000.000 ***0.000
(1.086)(0.429)(4.416)(1.178)
_cons6.724 ***6.168 ***7.126 ***5.110 ***
(227.262)(117.054)(515.334)(105.475)
CountyYESYESYESCounty
YearYESYESYESYear
N3424.0001521.0004989.000416.000
r20.9960.9990.9980.998
Standard errors in parentheses. * p < 0.1, ** p < 0.05, *** p < 0.01.
Disclaimer/Publisher’s Note: The statements, opinions and data contained in all publications are solely those of the individual author(s) and contributor(s) and not of MDPI and/or the editor(s). MDPI and/or the editor(s) disclaim responsibility for any injury to people or property resulting from any ideas, methods, instructions or products referred to in the content.

Share and Cite

MDPI and ACS Style

Zhong, S.; Wang, Y.; Jin, D. National Ecological Civilization Construction Demonstration Zone and PM2.5 Pollution Mitigation in China. Sustainability 2025, 17, 9765. https://doi.org/10.3390/su17219765

AMA Style

Zhong S, Wang Y, Jin D. National Ecological Civilization Construction Demonstration Zone and PM2.5 Pollution Mitigation in China. Sustainability. 2025; 17(21):9765. https://doi.org/10.3390/su17219765

Chicago/Turabian Style

Zhong, Shen, Yue Wang, and Daizhi Jin. 2025. "National Ecological Civilization Construction Demonstration Zone and PM2.5 Pollution Mitigation in China" Sustainability 17, no. 21: 9765. https://doi.org/10.3390/su17219765

APA Style

Zhong, S., Wang, Y., & Jin, D. (2025). National Ecological Civilization Construction Demonstration Zone and PM2.5 Pollution Mitigation in China. Sustainability, 17(21), 9765. https://doi.org/10.3390/su17219765

Note that from the first issue of 2016, this journal uses article numbers instead of page numbers. See further details here.

Article Metrics

Back to TopTop