Abstract
Global warming is a critical issue driven largely by the extensive release of greenhouse gases, with the cement industry being one of the biggest contributors to CO2 emissions. A sustainable solution involves the integration of supplementary cementitious materials (SCMs) into cement production, which can mitigate environmental impacts. This study focuses on the effects of binary SCMs, composed of calcined expanded clay kiln dust and opoka, on the hardening and hydration behavior of Portland cement. The analysis used methods such as X-ray diffraction, thermal analysis, calorimetry, and compressive strength testing. The tested dust was thermally activated at 600 °C and the opoka was dried and milled to evaluate its combined influence on the cement properties. Portland cement was substituted with a combination of these two additives. The findings revealed that the two-component mixture exerts a multifaceted impact on the hydration process of Portland cement. The activated expanded clay kiln dust triggers a pozzolanic reaction because of its high reactivity, while the opoka component promotes the development of monocarboaluminates. This binary supplementary cementitious material, derived from opoka and expanded clay kiln dust, proves to be a highly effective substitute, allowing up to 25 wt.% replacement of Portland cement without reducing its compressive strength.
1. Introduction
In recent decades, the rapid development of the global economy and improvements in living standards have led to an unprecedented surge in urbanization. One of the key drivers of this resource consumption is the construction sector, which serves as the backbone of urban development. As the primary industry responsible for building residential, public, and commercial structures, construction is highly dependent on materials such as cement. Cement is widely used in concrete, which is essential for the construction of roads, bridges, skyscrapers, and other vital infrastructure. However, the cement industry presents significant environmental challenges. It is one of the most energy-intensive industries and requires large amounts of heat and electricity to produce cement clinker, the key ingredient in cement [1,2]. The production of clinker involves the calcination of limestone, which releases large amounts of carbon dioxide (CO2). Consequently, the cement industry is accountable for 6–7% of total CO2 emissions, contributing significantly to climate change [3,4]. As global demand for cement continues to increase due to urbanization and development needs, the environmental impact of the cement industry is becoming increasingly unsustainable. In response to these concerns, researchers and industry leaders are actively seeking alternatives to reduce both the environmental footprint and the economic cost of cement production. One of the most promising ways to solve this problem is to substitute part of the cement clinker with supplementary cementitious materials (SCMs), which could significantly reduce CO2 emissions and energy consumption [5,6,7].
In addition to the already known and well-studied SCMs, such as slag, fly ash, silica fume, etc., recently much attention has been paid to the use of alternative materials in the cement industry. The adoption of alternative materials, such as clay, in cement production has grown significantly in the past two decades due to extensive research demonstrating its effectiveness [8]. Recently, there has been an increase in interest in the use of low-purity clays for cement production. Clays are widely available and have various applications. Deposits that are currently not commercially exploited or those with properties that are not suitable for conventional uses, such as in the ceramic or paper industries, are now being explored for their potential in the cement sector [9]. Calcination is the most widely used and extensively researched method to improve the pozzolanic activity of clays [10]. A large number of related and thorough studies need to be carried out in this way because each test material differs in its chemical or mineralogical composition, choice of activation method, or other method of improving properties.
It is particularly effective when cement clinker is replaced by waste from other industries or natural raw materials, whose processing does not require high energy or fuel costs [11,12,13]. Incorporating materials with lower carbon emissions as replacements for clinker improves sustainability in cement production. Research has shown [14] that the waste generated during the production of expanded clay can serve as a suitable additive (supplementary cementitious material) to partially replace Portland cement. This waste, primarily in the form of dust, is produced during the burning process and collected through air pollution control systems. However, it is not reintegrated into the production cycle due to its adverse effects on the blowing quality of raw pellets. The composition of this waste may vary depending on the region of production and the raw materials used. In any case, expanded clay is produced through high-temperature sintering of plastic clays [15], which mainly consists of alumina, silica, calcium, and iron oxides, in conjunction with minor impurities [16]. Therefore, the reactivation temperature of the waste from different raw materials may vary depending on the dominant clay minerals. Despite the significant amounts of this waste generated by expanded clay production facilities, its utilization in the cement industry remains limited and sporadic, especially considering the vast scale of cement production.
Although the use of natural raw materials to produce supplementary cementitious materials is not as sustainable as the use of waste, the amount of natural raw materials is significantly higher than that of waste. This makes it possible to replace part of the cement with suitable SCMs on a much larger scale. One such raw material is the natural pozzolanic material, opoka. Large amounts of this raw material are found in eastern Europe, and deposits explored in Lithuania alone amount to approximately 35 million tons. This natural raw material in equal parts consists of various strains of SiO2, and finely distributed CaCO3 [17]. The properties of opoka can be comparable to the properties of calcined, less pure clays or fly ash, combined with fine ground limestone, such as in the ‘LC3’ system [18]. The only difference is that opoka is characterized by lower pozzolanic activity as mentioned in the system. Due to this characteristic, the level of cement replacement with opoka in the Portland cement production is only 5–10 wt.% [19].
In this work, binary SCMs consisting of completely different materials were investigated to assess the possibility of mixing them to obtain an effective additive for Portland cement. These two raw materials, expanded clay kiln dust and opoka, vary greatly in their pozzolanic activity and the amount generated. Opoka is in large reserves but has low activity, whereas expanded clay kiln dust is more active, but its amount is relatively small in terms of cement production volume. In this study, expanded clay kiln dust and opoka were mixed and evaluated to determine their potential use as additives for Portland cement.
2. Materials and Methods
2.1. Materials
In this work, expanded clay production waste (EPW), opoka, and Portland cement CEM I 42.5 R were used. The chemical composition of used materials is provided in Table 1.
Table 1.
Chemical composition.
XRD analysis results (Figure 1, curve 1) show that EPW contains kaolinite (PDF no. 00-058-2005), illite (PDF no. 00-058-2015), muscovite (PDF no. 00-058-2037), quartz (PDF no. 04-008-7651), calcite (PDF no. 04-008-0198), anatase (PDF no. 00-004-0477), anorthite (PDF no. 04-015-1492), anatase (PDF no. 00-004-0477), olivine (PDF no. 00-003-0195), and magnesite (PDF no. 00-002-0871). The broad hump peak at 20–30 degrees indicated the presence of amorphous materials. Meanwhile, in the opoka XRD curve (Figure 1, curve 2), without the analogous hump at 20–30 2θ, the peaks attributed to the presence of calcite, tridymite, cristobalite, and quartz were observed.
Figure 1.
X-ray diffraction curves of EPW (1) and opoka (2). Indexes: M, muscovite KAl2(AlSi3O10)(F,OH)2; Q, quartz (SiO2); An, anorthite (Ca(Al2Si2O8)); C, calcite (CaCO3); K, kaolinite (Al2Si2O5(OH)4); I, illite (K0.65Al2.0[Al0.65Si3.35O10](OH)2); Mc, magnesite (MgCO3); O, olivine (MgFeSiO4); A, anatase (TiO2); Mg, magnesium oxide (MgO).
In the DSC curve of the opoka sample (Figure 2a), an endothermic effect near 100 °C corresponds to the evaporation of adsorbed water, while a peak at 760 °C indicates the decay of the calcite. An exothermic effect at approximately 870 °C reflects the wollastonite formation [20]. In the EPW DSC curve (Figure 2b), a peak at 115 °C is related to residual water evaporation, one at 490 °C signifies kaolinite dehydroxylation, and another at 680 °C represents calcite decomposition [14]. Similarly, the exothermic peak around 860 °C marks calcium silicate formation. TGA (thermogravimetric analysis) shows a total mass loss of 26.3 wt.% for the opoka sample, compared to 9.84 wt.% for EPW.
Figure 2.
Simultaneous thermal analysis of (a) opoka and (b) EPW.
2.2. Sample Preparations
Expanded clay production waste. The results of XRD and thermal analysis showed that EPW contains undecomposed kaolinite; therefore, it was decided to additionally burn this waste. According to the EPW DSC curve (Figure 2b), the decomposition of kaolinite ends at 600 °C, so this material was calcined at the mentioned temperature for one hour. After combustion, XRD analysis confirmed (Figure 3) that kaolinite was completely decomposed since no characteristic peaks of this compound remained in the curve. Furthermore, the intensity of the illite peaks decreased slightly, while all other compounds remained unchanged.
Figure 3.
X-ray diffraction curve of calcined EPW at 600 °C. Indexes: M, muscovite KAl2(AlSi3O10)(F,OH)2; Q, quartz (SiO2); An, anorthite (Ca(Al2Si2O8)); C, calcite (CaCO3); I, illite (K0.65Al2.0[Al0.65Si3.35O10](OH)2); O, olivine (MgFeSiO4); A, anatase (TiO2).
The calcined dust was additionally mashed until a specific surface area reached the value of 360 m2/kg.
Opoka. The crushed opoka was dried to a constant weight at 70 °C and milled in a vibratory mill until 360 m2/kg of specific surface area.
Preparation of mixtures. The prepared starting materials were weighed in a fixed ratio and then mixed in a homogenizer “TURBULA TYPE T 2 F”. The selected opoka/EPW ratios by weight% were 30:70, 50:50, and 70:30. Based on the results of similar studies [8], 25 wt.% of Portland cement was replaced in the cement samples with the prepared mixtures. The sample compositions and abbreviations are presented in Table 2.
Table 2.
Sample compositions and abbreviations.
2.3. Methods
Water-to-cement (W/C) ratio and setting time of cement paste were estimated according to EN 196-3 [21].
The compressive strength of the samples was determined according to EN 196-1 [22]. Sand-free Portland cement samples were formed for instrumental analysis. The storage conditions of the sand-free samples were analogous to those of the standard samples. After the required curing time, the samples were ground and washed with isopropanol. The powder obtained was dried at 50 °C for 10 h and sealed in plastic bags.
Calorimetric (heat flow and heat) analysis was performed using a calorimeter, TAM Air III, TA Instruments, New Castle, DE, USA. Measurement error <0.03 W/g. The obtained results were recalculated per gram of Portland cement.
The pozzolanic activity of EPW was evaluated following the NF P18-513 standard [23]. This method assesses pozzolanic activity by measuring the amount of calcium hydroxide (Ca(OH)2) chemically bound by the pozzolanic material at a temperature of 85 ± 5 °C after 16 h of reaction.
The specific surface area was measured by an automatic Blaine instrument (TESTING Bluhm & Feuerherdt GmbH, Berlin, Germany).
XRD data were performed by the diffractometer D8 Advance, Bruker AXS GmbH, Karlsruhe, Germany. 2θ angle range was 3–70° with a step of 0.02°.
XRF was accomplished on a spectrometer Bruker X-ray S8 Tiger WD, SPECTRAPlus V.2 QUANT EXPRESS software.
The thermal analysis was conducted using an analyzer, Netzsch STA 409 PC Luxx, Erich NETZSCH GmbH, Selb, Germany. The temperature—30–1000 °C, rate—10 °C/min. The mass loss in the samples was assessed using the tangential method.
3. Results
3.1. Pozzolanic Activity
The pozzolanic activity of all materials (EPW, activated EPW, and opoka) was determined (Figure 4). The pozzolanic activity of EPW (626 mg CaO/g) corresponds to the average value of the pozzolanic activity and is almost twice that of opoka (390 mg CaO/g). After thermal activation of the tested dust, their activity increased by more than a third and reached a value of 965 mg CaO/g. This value corresponds to a high value of pozzolanic activity, as it is similar to the activity value of metakaolinite [24].
Figure 4.
Pozzolanic activity of the materials used.
Based on the results obtained, in the next stages of the investigation, thermally activated expanded clay production waste was used.
3.2. The Influence of Additives on the Cement Paste
The data indicate that the tested additives increase the water demand required to achieve normal consistency in the cement paste while also extending the setting time (Table 3).
Table 3.
Setting time and normal consistency of Portland cement paste samples.
This can be attributed to the composition of EPW particles, which include burnt clay, a material that is known to increase the demand for water [25]. Additionally, prolonged setting time is influenced by the presence of partially burnt clay grains and a reduced amount of cement [26].
3.3. The Influence of Additives on the Early Hydration of Portland Cement
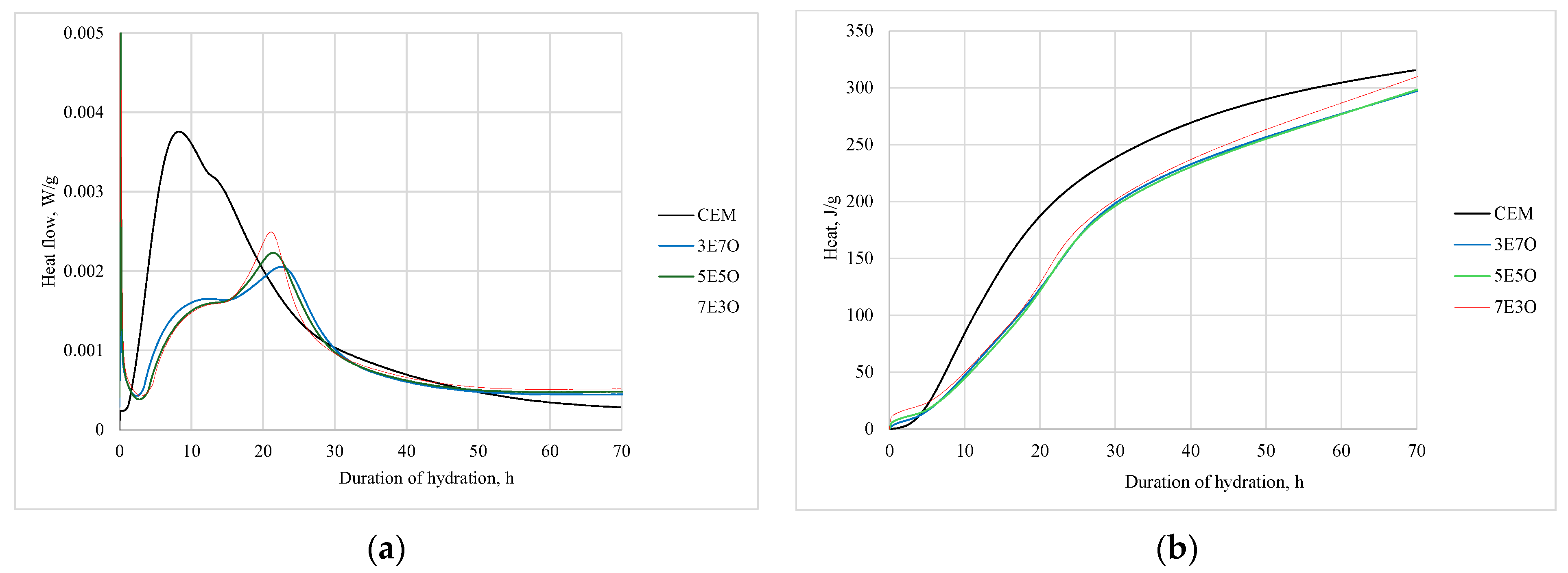
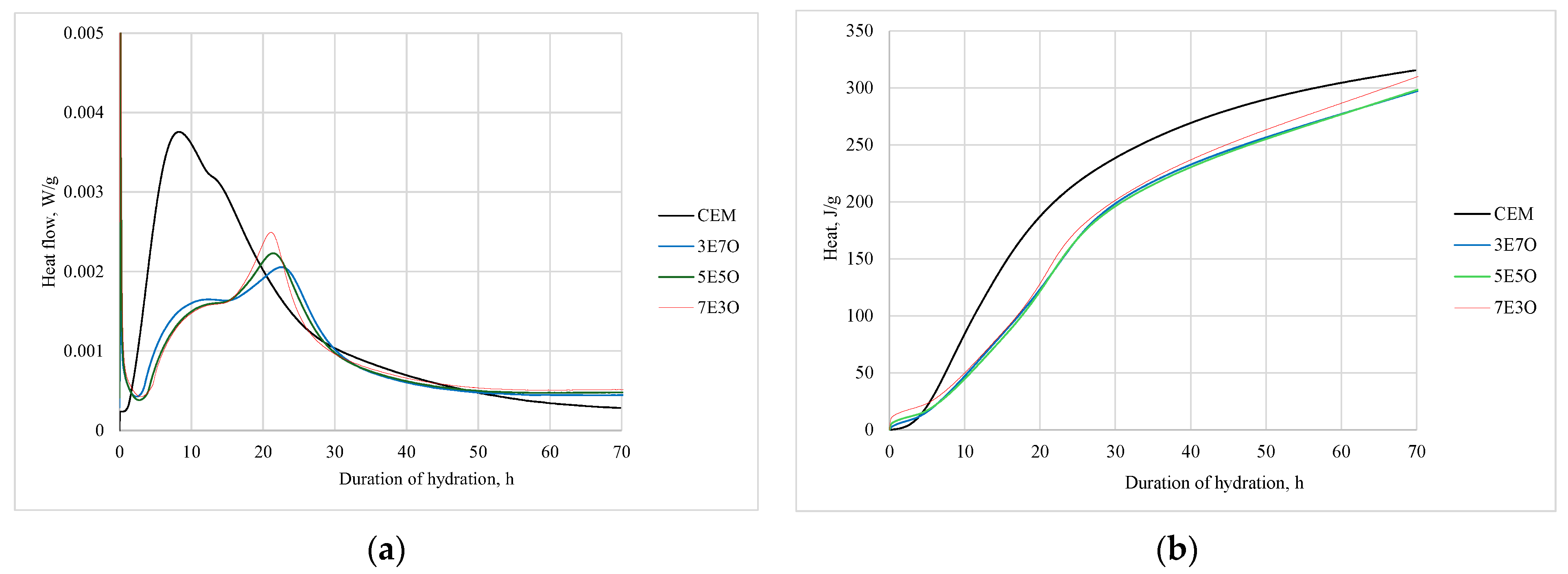
The influence of additives on the early hydration process of Portland cement was estimated by calorimetric analysis. During this study, heat flow (W/g) and heat of hydrating (J/g) of cement paste were measured. The results obtained are presented in Figure 5.
Figure 5.
The calorimetric curves of samples: (a) Heat flow; (b) heat.
In all samples containing additives, the induction period is approximately one hour longer than in the OPC samples (Figure 5a). Notably, during this phase, samples with additives release significantly more heat compared to the additive-free sample (Figure 5b). The second peak intensity of thermal emission, associated with calcium silicate hydration, is considerably lower in samples and occurs approximately three hours later than in pure Portland cement (Figure 5a). This can be explained by the fact that a significant amount (25 wt.%) of additives dilutes the cement content (especially calcium silicates) in the cement paste, leading to a reduction of thermal emission in samples containing additives. Among additive samples, the 3E7O mixture, which contains the highest proportion of opoka, exhibits the most pronounced peak.
Distinct variations in heat flow curves were observed within the hydration reaction zone, marked by the shoulder of the second peak. This shoulder is prominent in all additive-containing samples and exceeds the heat emission peak from calcium silicate hydration. The higher EPW content correlates with the increase in intensity of this peak. This phenomenon of heat evolution is linked to the formation of active aluminum compounds, such as metakaolinite, which develop during the additional burning of the EPW additive. Increased release of aluminate ions accelerates the consumption of gypsum, resulting in a faster appearance of the exothermic peak in the C3A/gypsum system, as has been shown, e.g., by [27,28]. Consequently, the opoka additive slightly enhances calcium silicate hydration, whereas EPW significantly accelerates the reaction of aluminate phases with gypsum.
All samples with additives release less heat during hydration (up to 70 h) (298–308 J/g) than the OPC sample (310 J/g). Generalizing the results of these tests, it can be concluded that the addition of 25% by weight of additives to Portland cement delays the hydration of calcium silicates and reduces the total heat release during hydration but significantly intensifies the reactions of the hydration of the aluminate-bearing phases.
3.4. The Influence of Additives on the Portland Cement Compressive Strength and Hydration Course
After 3 days of hydration, the samples without additives had the highest compressive strength (35.4 MPa). These data confirm that all additives delay the calcium silicate hydration. On the other hand, among the additive samples, the highest compressive strength (34.8 MPa) was determined for sample 7E3O, which contains the highest amount of activated EPW, which most significantly intensifies the hydration reactions of the aluminates. As the hardening time increases to 7 days, the compressive strength of all samples becomes equal and reaches 44.2–44.6 MPa. After 28 days of hardening, the compressive strength of the samples containing additives was the same (3E7O—46.0 MPa) or became higher (5E5O—50.2 and 7E3O—48.0 MPa) than that of the blank Portland cement sample (46.2 MPa). Therefore, with a shorter hardening duration (up to 7 days), the samples with a higher amount of the EPW component showed a higher compressive strength, but when the hardening duration was extended to 28 days, samples with the same amount of both additives showed the highest compressive strength (Figure 6).
Figure 6.
Compressive strength of Portland cement samples containing various additives.
The results of XRD analysis of samples hardened for different durations are presented in Figure 7.
Figure 7.
XRD analysis results of samples after (a) 3 and (b) 28 days of hydration. 1—CEM, 2—3E7O, 3—5E5O, 4—7E3O. Indexes: E, ettringite (Ca6(Al(OH)6)2(SO4)3∙26H2O); P, portlandite (Ca(OH)2); CC, calcite (CaCO3); CS, calcium silicates (C3S, C2S); Br, brownmillerite (C4AF); Q, quartz; K, monocarboaluminate (Ca4Al2(CO3)(OH)12·5H2O).
XRD analysis revealed that after 3 days of hydration (Figure 7a), all samples contained typical cement hydrates such as ettringite and portlandite. Non-hydrated minerals, including calcium silicates and brownmillerite, were also present. In samples with additives, additional peaks corresponding to calcite (CaCO3) and quartz were observed, as these compounds are components of the additives. Notably, no new aluminum-containing compounds were detected, suggesting the formation of amorphous aluminum compounds during cement hardening. A marked difference in the peak intensity of portlandite and non-hydrated calcium silicates was observed between the additive-containing samples and the pure Portland cement sample. The additive samples exhibited lower peak intensities for these compounds compared to the OPC sample. Among these, the 7E3O sample displayed the weakest peaks for these compounds. As hydration continued for 28 days, these trends persisted. Furthermore, after 28 days of hydration, a new compound, monocarboaluminate, was detected in the XRD peaks of the additive samples, indicating the involvement of calcium carbonate from opoka in the Portland cement hydration process.
Between 50 and 950 °C, three peaks are visible in all DSC curves of the samples (Figure 8). The first peak, located between 50 and 210 °C, is related to the decomposition of various cement hydrates: aluminate phase hydrates and calcium silicate. The peak at approximately 450 °C indicates portlandite decomposition, and the 600–750 °C is typical for the decay of calcite [29]. The nature of the DSC curves of all samples cured for different durations is analogous, but the main difference in the curve character between 90 °C and 210 °C is visible. The peak at 145 °C is typical of the decomposition of calcium silicate/aluminate hydrates or carboaluminates [29]. This shoulder is observable only in the DSC curves of the additive samples. Thus, the results of the DSC analysis confirm the existence of aluminate/carbonate-bearing phases in the hydrated samples containing additives.
Figure 8.
DSC analysis curves of samples after (a) 3 and (b) 28 days of hardening.
The intensities of all three main peaks also differ. After 3 days of hydration, the first peak, which indicates the breakdown of the major cement hydrates, has approximately the same intensity in all samples. Meanwhile, the peak that shows the decay of portlandite is the most intense in the sample of Portland cement without additives (CEM), and the intensity of this peak is approximately the same in the samples with additives. During the decomposition of calcite, the most intense peak is 3E7O, which contains the highest amount of the opoka additive. The intensity of this peak decreases as the amount of opoka in the mixture decreases. After 28 days of hydration, the endothermic peak up to a temperature of 220 °C is of the same intensity for almost all samples. During portlandite decomposition, the same trend remains that the peak of the pure cement sample is the most intense. During the decomposition of the calcite, the most intense peak also remains for sample 3E7O.
Thermogravimetric analysis data are presented in Figure 9, curves a–c. After 3 days of hydration, the maximum mass loss at 90–220 °C is recorded in the 7E3O sample, slightly lower in the 5E5O, and the lowest in the 3E7O and pure cement samples. During the decomposition of portlandite (~450 °C), the mass loss of all samples is quite similar. Meanwhile, during calcite decomposition, maximum mass losses were recorded in sample 3E7O, which contains the highest amount of opoka.
Figure 9.
TG analysis curves of samples: (a)—temperature range 90–220 °C; (b)—temperature range ~450 °C; (c)—temperature range 650–750 °C.
As hydration is extended up to 7 days, the mass loss at 90–220 °C increases consistently for all samples, but in the pure cement sample, these mass losses increase quite slightly—up to 7.69%. Meanwhile, in samples with all additives, it increases noticeably, and the largest mass loss is recorded in sample 5E5O (9.06%). A significant difference is observed at 450 °C, where portlandite decomposition is recorded. When the duration of hydration increases to 7 days, the mass loss of the pure cement sample increases, while this mass loss begins to decrease in all samples with additives. This indicates that portlandite is beginning to participate in the pozzolanic/monocarboaluminate formation reaction. The mass loss during the decomposition of calcite (650–750 °C), due to the carbonization of the samples from atmospheric CO2, also increases in all samples, compared to the mass loss after 3 days.
With an increase in the duration of hydration to 28 days, in the temperature range of 90 to 220 °C (Figure 9a), the mass loss of all samples continued to increase, but for the samples with additives, it was approximately a quarter higher (9.25–9.45%) compared to the sample of pure Portland cement (7.75%). During the decomposition of portlandite (Figure 9b), the mass loss of the CEM sample continued to increase slightly, while it decreased for all samples with additives, and the largest decrease is observed in the 3E7O sample (from 1.85 to 1.45%). It should be noted that in the temperature range of 650–750 °C (during calcite decomposition) in the samples with additives after 28 days of hardening, lower mass losses were recorded than after 7 days of hardening. This confirms the data of the RSDA analysis that the calcium carbonate present in the opoka participates in hydration reactions and is incorporated into the composition of monocarboaluminates.
4. Conclusions
The objective of this investigation was to evaluate the impact of a binary supplementary cementitious material, composed of expanded clay production waste and opoka, on the hardening and hydration processes of Portland cement. The characteristics of Portland cement incorporating this material were analyzed. On the basis of the investigation, conclusions can be drawn as follows:
- Opoka is composed of SiO2 strains, quartz, tridymite, cristobalite, and calcium carbonate, while expanded clay furnace dust consists of a mixture of different clay minerals (muscovite, anorthite, illite, and kaolinite) with impurities of quartz, calcite, etc. In the mineral composition of thermally activated dust, kaolinite transforms into metakaolinite, while other minerals remain. The pozzolanic activity of additional thermally activated expanded clay production waste (965 mg CaO/g) is almost three times that of opoka (390 mg CaO/g).
- The two-component additive has a complex influence on the hydration of Portland cement: due to the high activity of activated expanded clay furnace dust, a pozzolanic reaction takes place; meanwhile, the opoka component promotes the formation of monocarboaluminates.
- The new binary SCMs from natural raw materials and waste are suitable for industrial applications because they allow for rational and sustainable use of existing cement production resources. This two-component material can replace a significant amount (up to 25% by weight) of Portland cement without reducing the compressive strength of the cement.
Author Contributions
Conceptualization, R.K., S.U., I.B. and B.S.; methodology, R.K. and S.U.; software, I.B. and B.S.; validation, R.K., S.U., I.B. and B.S.; formal analysis, S.U. and B.S.; investigation, R.K., S.U., I.B. and B.S.; writing—original draft preparation, S.U., I.B. and B.S.; writing—review and editing, R.K.; visualization, I.B.; supervision, R.K. All authors have read and agreed to the published version of the manuscript.
Funding
This research received no external funding.
Institutional Review Board Statement
Not applicable.
Informed Consent Statement
Not applicable.
Data Availability Statement
The data presented in this study are available on request from the corresponding author.
Conflicts of Interest
The authors declare no conflicts of interest.
References
- Madlool, N.A.; Saidur, R.; Hossain, M.S.; Rahim, N.A. A critical review on energy use and savings in the cement industries. Renew. Sustain. Energy Rev. 2011, 15, 2042–2060. [Google Scholar] [CrossRef]
- Mokhtar, A.; Nasooti, M. A decision support tool for cement industry to select energy efficiency measures. Energy Strateg. Rev. 2020, 28, 100458. [Google Scholar] [CrossRef]
- Khaiyum, M.Z.; Sarker, S.; Kabir, G. Evaluation of Carbon Emission Factors in the Cement Industry: An Emerging Economy Context. Sustainability 2023, 15, 15407. [Google Scholar] [CrossRef]
- Supriya; Chaudhury, R.; Sharma, U.; Thapliyal, P.C.; Singh, L.P. Low-CO2 emission strategies to achieve net zero target in cement sector. J. Clean. Prod. 2023, 417, 137466. [Google Scholar] [CrossRef]
- Knight, A.K.; Cunningham, P.R.; Miller, A.S. Optimizing supplementary cementitious material replacement to minimize the environmental impacts of concrete. Cem. Concr. Compos. 2023, 139, 105049. [Google Scholar] [CrossRef]
- Snellings, R.; Suraneni, P.; Skibsted, J. Future and emerging supplementary cementitious materials. Cem. Concr. Res. 2023, 171, 107199. [Google Scholar] [CrossRef]
- Juenger, M.C.G.; Snellings, R.; Bernal, S.A. Supplementary cementitious materials: New sources, characterization, and performance insights. Cem. Concr. Res. 2019, 122, 257–273. [Google Scholar] [CrossRef]
- Oliveira, V.M.; Souza, F.; Cruz, R.T.; Py, L.G.; Kirchheim, A.P.; Bragança, S.R. Valorization of non-beneficiated clays as supplementary cementitious materials in the production of cement-based mortar. J. Build. Eng. 2021, 42, 102474. [Google Scholar] [CrossRef]
- Lorentz, B.; Shanahan, N.; Stetsko, Y.P.; Zayed, A. Characterization of Florida kaolin clays using multiple-technique approach. Appl. Clay Sci. 2018, 161, 326–333. [Google Scholar] [CrossRef]
- Rakhimova, C.N. Montmorillonite clays in Portland clinker-reduced, non-clinker cements, and cement composites: A review. Constr. Build. Mater. 2024, 411, 134678. [Google Scholar] [CrossRef]
- Pacewska, B.; Wilińska, I. Usage of supplementary cementitious materials: Advantages and limitations. J. Therm. Anal. Calorim. 2020, 142, 371–393. [Google Scholar] [CrossRef]
- Abdul-Wahab, S.A.; Al-Dhamri, H.; Ram, G.; Chatterjee, V.P. An overview of alternative raw materials used in cement and clinker manufacturing. Int. J. Sustain. Eng. 2020, 14, 743–760. [Google Scholar] [CrossRef]
- Kaminskas, R.; Barauskas, I.; Kazlauskas, E. Supplementary Cementitious Materials from Different Wastes. ACI Mater. J. 2023, 120, 73–79. [Google Scholar]
- Kaminskas, R.; Savickaite, B. Expanded Clay Production Waste as Supplementary Cementitious Material. Sustainability 2023, 15, 11850. [Google Scholar] [CrossRef]
- Shayan, A.K.; Fazal, H.; Hassan, A.; Rao, A.K. A scientometric review of the synthesis and application of expanded clay aggregate in cementitious composites. Constr. Build. Mater. 2024, 437, 136654. [Google Scholar]
- Dondi, M.; Cappelletti, P.; D’Amore, M.; de Gennaro, R.; Graziano, S.F.; Langella, A.; Raimondo, M.; Zanelli, C. Lightweight aggregates from waste materials: Reappraisal of expansion behavior and prediction schemes for bloating. Constr. Build. Mater. 2016, 127, 394–409. [Google Scholar] [CrossRef]
- Barauskas, I.; Kaminskas, R.; Stanaitis, A.; Vilkaite, I. Influence of Opoka Additive on Composite Cement Hydration. Solid State Phenom. 2015, 244, 3–11. [Google Scholar] [CrossRef]
- Perez, A.; Favier, A.; Martirena, F.; Scrivener, K. Influence of the manufacturing process on the performance of low clinker, calcined clay-limestone Portland cement. In Calcined Clays for Sustainable Concrete; RILEM Bookseries 10; Springer: Berlin/Heidelberg, Germany, 2015; pp. 283–289. [Google Scholar]
- Kaminskas, R.; Barauskas, I.; Drapanauskaite, D. Influence of carbonated pozzolana on sulphate attack of cement stone at low temperatures. Adv. Cem. Res. 2014, 26, 85–92. [Google Scholar] [CrossRef]
- Gineika, A.; Siauciunas, R.; Baltakys, K. Synthesis of wollastonite from AlF3-rich silica gel and its hardening in the CO2 atmosphere. Sci. Rep. 2019, 9, 18063. [Google Scholar] [CrossRef] [PubMed]
- Standard EN 196-3:2016; Methods of Testing Cement—Part 3: Determination of Setting Times and Soundness. Academia: Cambridge, MA, USA, 2016.
- Standard EN 196-1:2016; Methods of Testing Cement—Part 1: Determination of Strength. Academia: Cambridge, MA, USA, 2016.
- NF P18-513:2012; Metakaolin. Pozzolanic Addition for Concrete. Definitions, Specifications and Conformity Criteria. Association Française de Normalisation: La Plaine Saint-Denis, France, 2012.
- Quarcioni, Y.; Chotoli, V.A.F.F.; Coelho, A.C.V.; Cincotto, M.A. Indirect and direct Chapelle’s methods for the determination of lime consumption in pozzolanic materials. Rev. IBR. Estrut. Mat. 2015, 8, 1–7. [Google Scholar] [CrossRef]
- Luzu, B.; Trauchessec, R.; Lecomte, A. Packing density of limestone calcined clay binder. Powder Technol. 2022, 408, 117702. [Google Scholar] [CrossRef]
- Babako, M.; Apeh, J.A. Setting time and standard consistency of Portland cement binders blended with rice husk ash, calcium carbide and metakaolin admixtures. IOP Conf. Ser. Mater. Sci. Eng. 2020, 805, 012031. [Google Scholar] [CrossRef]
- Schöler, A.; Lothenbach, B.; Winnefeld, F.; Haha, M.B.; Zajac, M.; Ludwig, H.M. Early hydration of SCM-blended Portland cements: A pore solution and isothermal calorimetry study. Cem. Concr. Res. 2017, 93, 71–82. [Google Scholar] [CrossRef]
- Hesse, F.; Götz-Neunhoeffer, C.; Neubauer, J. A new approach in quantitative in-situ XRD of cement pastes: Correlation of heat flow curves with early hydration reactions. Cem. Concr. Res. 2011, 41, 123–128. [Google Scholar] [CrossRef]
- El-Diadamony, H.; Amer, A.A.; Sokkary, T.M.; El-Hoseny, S. Hydration and characteristics of metakaolin pozzolanic cement pastes. HBRC J. 2018, 14, 150–158. [Google Scholar] [CrossRef]
Disclaimer/Publisher’s Note: The statements, opinions and data contained in all publications are solely those of the individual author(s) and contributor(s) and not of MDPI and/or the editor(s). MDPI and/or the editor(s) disclaim responsibility for any injury to people or property resulting from any ideas, methods, instructions or products referred to in the content. |
© 2025 by the authors. Licensee MDPI, Basel, Switzerland. This article is an open access article distributed under the terms and conditions of the Creative Commons Attribution (CC BY) license (https://creativecommons.org/licenses/by/4.0/).








