Next Article in Journal
An Analysis of Municipal Solid Waste Management in Ghana: A Scoping Review of Challenges, Opportunities, and Technology Options
Previous Article in Journal
Effects of the Supervision Down to the Countryside on Public Spending: Empirical Evidence from Rural China
 
 
Font Type:
Arial Georgia Verdana
Font Size:
Aa Aa Aa
Line Spacing:
Column Width:
Background:
Article

From Conflict to Coexistence: Integrated Landscape Optimization for Sustainable Tourism in Urban Tourism Areas

1
School of Public Administration, Nanjing Normal University, Nanjing 210023, China
2
Department of Geography, Fuyang Normal University, Fuyang 236000, China
3
Graduate School of Global Environment Studies, Sophia University, Tokyo 102-8554, Japan
4
School of Economy, Nanjing Audit University, Nanjing 210023, China
*
Author to whom correspondence should be addressed.
Sustainability 2025, 17(18), 8270; https://doi.org/10.3390/su17188270
Submission received: 28 July 2025 / Revised: 5 September 2025 / Accepted: 12 September 2025 / Published: 15 September 2025

Abstract

Urban Tourism Areas (UTAs) face growing challenges in balancing tourism development with ecological preservation, particularly under the pressures of rapid urbanization and intensified land use. However, systematic approaches to optimizing landscape patterns in urban tourism contexts remain limited. The aim of this study is to develop and apply an integrated framework that combines ecological sensitivity evaluation and landscape eco-ethics to guide sustainable landscape optimization. Using Shihe District in Xinyang City, China—a region marked by diverse natural landscapes and intensive human–environment interactions—as a case study, we applied a multi-indicator ecological sensitivity assessment together with landscape pattern analysis, supported by Geographic Information Systems (GIS) and FRAGSTATS software. The results revealed significant spatial heterogeneity in ecological sensitivity across the district. High- and very-high-sensitivity zones accounted for 23.2% of the total area, primarily located in southwestern mountainous regions, while low-sensitivity zones covered 53.8%, concentrated in urban plains and lowlands. The landscape exhibited a Shannon’s Diversity Index (SHDI) of 0.8617 and an Edge Density (ED) of 17.05, reflecting a moderately fragmented spatial structure. Based on these findings, a hierarchical optimization strategy was proposed, delineating three protection zones: primary conservation zones (23.2%), secondary buffer zones (22.9%), and development-prioritized zones (53.8%). This framework promotes ecological integrity, supports balanced tourism development, and accommodates the needs of both tourists and local communities. The model has potential applicability to other global UTAs facing similar conflicts between ecological protection and tourism expansion.

1. Introduction

Urban Tourism Areas (UTAs), located at the intersection of natural ecosystems and urban infrastructure, are increasingly becoming focal spaces for sustainable tourism development [1]. These areas integrate diverse land-use functions—ecological conservation, cultural experience, recreational service, and urban support—while simultaneously facing growing ecological pressures due to high development intensity, landscape fragmentation, and environmental degradation [2,3,4]. Similar challenges have been observed in urban tourism areas across Europe, Latin America, and Southeast Asia, where spatial conflicts between conservation and tourism intensification are becoming increasingly salient. In such complex spatial systems, achieving a balance between ecological protection and tourism development has emerged as a central challenge in contemporary landscape planning [5]. Recent international research has increasingly emphasized the concepts of tourism carrying capacity [6] and nature-based solutions (NbS) as guiding frameworks for sustainable tourism planning [7]. Tourism carrying capacity provides a quantitative benchmark for limiting visitor pressure, while NbS highlight ecosystem-based strategies to enhance resilience in urban and peri-urban destinations. However, both approaches face challenges in UTAs, where high anthropogenic intensity and fragmented landscapes complicate the translation of thresholds and NbS principles into actionable zoning strategies.
To address this challenge, ecological sensitivity evaluation has become an important tool for identifying ecologically vulnerable areas and supporting spatial zoning decisions [8]. Ecological sensitivity models have been widely applied in rural contexts [9], such as mountain parks in Austria [10] and coastal heritage areas in Spain, where land-use conflicts are less intense and ecological baselines more stable. However, such rural-based models often neglect the micro-fragmentation and tourism-driven land pressures found in UTAs, limiting their transferability. UTAs present distinct spatial characteristics: high anthropogenic intensity, fragmented land mosaics, and strong functional overlap between built and natural environments [11]. These features reduce the applicability of existing models and call for tailored methods that reflect the spatial complexity and functional hybridity of urban tourism systems [12]. In particular, rural-oriented sensitivity frameworks often adopt indicator systems that overlook tourism-driven pressures such as visitor density, facility distribution, and accessibility, while their weighting schemes rarely reflect the ecological value of cultural landscapes. These shortcomings limit their explanatory power in highly disturbed and multifunctional UTAs.
Meanwhile, landscape pattern analysis, grounded in landscape ecology and supported by tools such as FRAGSTATS and GIS, enables quantitative evaluation of spatial heterogeneity, patch configuration, and ecological connectivity [13,14]. This approach offers valuable insights into how land-use dynamics affect ecological function and aesthetic value [15]. Yet, in most cases, ecological sensitivity assessment and landscape pattern analysis are applied in isolation, without forming a unified framework that can support practical landscape zoning and optimization [16]. Moreover, few studies integrate landscape eco-ethics—which emphasize the normative values of ecological protection, intergenerational responsibility, and harmonious coexistence—into empirical planning models, particularly in urban tourism contexts where land-use conflict is acute, typically manifested in overlapping ecological and infrastructural zones, competition for land allocation, and aesthetic degradation. To address these tensions, eco-ethical principles such as spatial equity, biodiversity rights, and intergenerational justice are embedded in our zoning logic. Thus, the central aim of this research is to develop an integrated framework that explicitly addresses these hybrid pressures by combining ecological sensitivity assessment, landscape pattern metrics, and eco-ethical principles.
In light of these limitations, this study proposes an integrated framework that combines ecological sensitivity evaluation, landscape pattern analysis, and eco-ethical zoning principles to support sustainable landscape planning in UTAs [17]. Taking Shihe District in Xinyang, China as a case study—an area marked by rich natural and cultural resources but also facing significant land-use pressures—this research aims to answer the following core scientific question: To what extent do conventional ecological sensitivity evaluation models fail to reflect the hybrid pressures of UTAs, and how can landscape eco-ethics reshape spatial optimization to overcome the protection–development dichotomy? Shihe District exemplifies the multifunctional land-use challenges typical of second-tier cities in China, where rapid urbanization intersects with ecologically sensitive zones and tourism-led development. Its fragmented landscape, historical heritage, and growing visitor flows offer a representative microcosm of UTA dilemmas faced in broader Asian contexts [18].
To this end, the study constructs a multi-indicator ecological sensitivity model, incorporating both natural and anthropogenic factors, and evaluates landscape structure through spatial metrics at multiple scales [19]. By integrating these results with the principles of landscape eco-ethics, a zoning and classification strategy is developed to guide differentiated landscape management [20]. The methodological innovation lies in: (1) Extending ecological sensitivity evaluation to high-disturbance, multifunctional UTAs; (2) Constructing an integrated spatial analysis framework that bridges ecological modeling and landscape pattern metrics to inform ethical and sustainable land-use planning [21,22].
The remainder of this paper is structured as follows: Section 2 outlines the study area, data sources, and methodological framework. Section 3 presents the evaluation results and zoning strategies. Section 4 discusses the implications for sustainable tourism landscape management. Section 5 concludes with key findings and directions for future research.

2. Materials and Methods

2.1. Research Area and Data Sources

Shihe District (Figure 1) is located in southern Henan Province, characterized by a mix of plains in the northeast and mountains in the southwest [23]. This ecological diversity creates both opportunities and constraints for tourism development. Key ecological reserves, including Nanwan Reservoir and Siwangshan Provincial Nature Reserve, are subject to strict protection, while expanding tourism and urban land use place increasing pressure on the environment. Thus, Shihe exemplifies the tension between ecological conservation and tourism expansion, making it a representative case for studying landscape optimization in urban tourism areas [24].
From an ecological standpoint, Shihe encompasses several critical conservation zones, such as the Nanwan Reservoir Drinking Water Source Protection Area, Chushankudian Reservoir, and Siwangshan Provincial Nature Reserve, in addition to nationally designated key ecological function areas [25]. The se zones are subject to strict ecological management and impose significant constraints on land use and tourism development. As such, the district exemplifies the tension between ecological conservation and tourism expansion—making it a representative and meaningful case for exploring landscape optimization strategies in urban tourism areas.
This study utilized a range of geospatial and textual data sources to support the ecological sensitivity evaluation and landscape pattern analysis (Table 1). Remote sensing data were obtained from Landsat 8/9 OLI_TIRS satellite imagery (April 2020) with a spatial resolution of 30 m × 30 m, accessed via the Geospatial Data Cloud. Digital Elevation Model (DEM) data were sourced from the ASTER GDEM V2 dataset at 30 m resolution. Land use data were acquired from raster datasets (30 m resolution) provided by the Resource and Environmental Science and Data Center, Chinese Academy of Sciences. Basic geographic information data were obtained from the National Catalogue Service for Geographic Information. Administrative boundary data were sourced from the Standard Map Service System of the Ministry of Natural Resources of China. In addition, tourism resource data and related textual information were collected from several official planning documents. These data collectively provided the necessary inputs for constructing the ecological sensitivity evaluation system and conducting spatial analyses of landscape patterns within Shihe District.

2.2. Research Framework

This study adapts established ecological sensitivity and landscape pattern analysis methods but introduces innovation by incorporating tourism-specific indicators, a dual AHP–entropy weighting approach, and the integration of eco-ethical zoning principles. This study develops an integrated research framework that combines landscape eco-ethics with tourism planning to guide sustainable landscape optimization (Figure 2). The analysis follows a multi-step process: First, a comprehensive dataset was established through literature review, field surveys, and remote sensing data processing. Core data layers included land use, topography, hydrology, and tourism resources. Second, ArcGIS 10.8 was used to perform both single-factor and composite ecological sensitivity evaluations, incorporating multiple ecological and socio-environmental indicators [26,27]. Each factor was assigned a weight and spatially analyzed to generate a composite sensitivity map.
Third, land use data were reclassified into five categories and processed in FRAGSTATS 4.2 to calculate key landscape metrics such as Class Area (CA), Number of Patches (NP), Patch Density (PD), Percentage of Landscape (PLAND), Largest Patch Index (LPI), Edge Density (ED), and Shannon’s Diversity Index (SHDI). These indicators revealed spatial characteristics and fragmentation levels across the landscape. Finally, by integrating ecological sensitivity results with landscape pattern metrics, the study proposed a zoning-based and classification-based landscape optimization strategy, offering targeted guidance for sustainable management of UTAs [28,29].

2.3. Ecological Sensitivity Evaluation Model

The selection of evaluation indicators is a critical step in accurately assessing ecological sensitivity, as the complexity of ecosystems results in varying degrees of influence among different factors [30]. Drawing on comprehensive baseline data, relevant literature, and established research methodologies [31], this study sought to minimize multicollinearity among factors and to ensure that the selected indicators reflected the specific ecological characteristics of the Shihe River tourism region, which is dominated by forested areas and water bodies, particularly the extensive ecological environment surrounding Nanwan Lake.
Based on these considerations, four categories of ecological sensitivity factors were selected: Landform factors: include Elevation, Slope, and Aspect. Elevation and slope influence soil moisture distribution and plant growth, while aspect affects vegetation patterns, wildlife habitat, and microclimatic conditions [32,33]. Natural conditions: factors include Vegetation Coverage, River Buffer Zone, and Lake Buffer Zone, which reflect the ecological health and sensitivity of natural habitats [34]. Tourism resource factors: include Historical Attractions, Natural Attractions, and Man-made Attractions. Kernel density analysis was performed on these features, and the results were normalized to reflect their spatial influence on ecological sensitivity [35]. In addition, tourism density and landscape accessibility were incorporated as supplementary indicators to better capture tourism-related pressures in urban tourism areas. Tourism density represents the clustering of attractions and associated visitor flows, which directly influence ecological disturbance. Landscape accessibility, derived from distance to major scenic roads, reflects the dual role of transportation in improving tourism convenience while amplifying ecological sensitivity in adjacent habitats. Human activity factors: include Land Use Type and Road Buffer Zone, which capture the intensity of human exploitation and disturbance [36].
By incorporating both conventional ecological indicators and tourism-specific factors such as accessibility and density, the indicator system ensures that ecological sensitivity evaluation reflects not only environmental processes but also the unique pressures of urban tourism activities. The complete classification of factors is presented in Table 2. The thresholds for classification were derived from multiple sources; vegetation coverage and NDVI from ecological function benchmarks in recent studies; river, lake, and road buffers from ecological redline policies and planning guidelines; and tourism density from local planning documents and empirical distribution data of Shihe District. This combination of standards, literature, and local adaptation ensures that the thresholds are both scientifically robust and contextually relevant.
Given the complex interplay of natural and anthropogenic factors influencing ecological sensitivity, determining appropriate factor weights is essential for ensuring objectivity and analytical rigor [37]. To address variability and reduce subjectivity, this study employed a combined weighting approach integrating subjective and objective methods. First, the Analytic Hierarchy Process (AHP) was used to derive subjective weights based on pairwise comparisons by a panel of five domain experts, including two ecologists, one tourism planner, one landscape architect, and one urban/regional planner. This interdisciplinary composition ensured that both ecological and tourism-related perspectives were considered. To minimize bias, each expert provided independent judgments, and the consistency of the judgment matrices was tested (CR < 0.1). Second, the entropy weight method was used to compute objective weights based on the inherent variability of the dataset, thereby minimizing subjective bias by giving higher weights to factors with greater discriminatory power. Finally, the two sets of weights were integrated using an entropy-based minimization formula to obtain composite weights, which were subsequently applied in constructing the ecological sensitivity index. This combined method ensures a balanced representation of expert knowledge and data-driven evidence.
Scale method to construct factor judgment matrix.
By comparing the factors with each other and carrying out basic processing of the data to express the importance of the factors in the evaluation system [38].
Conduct consistency test on judgment matrix using Formula (1) to calculate the maximum characteristic root of judgment matrix, and then determine the consistency index C.I. (C.I. = λmax − n/n − 1, where n is the number of matrix factors), and finally calculate the stochastic consistency ratio coefficient C.R. (C.R. = C.I./R.I.), if C.R. < 0.10, the judgment matrix is considered to have acceptable consistency; otherwise (C.R. ≥ 0.10), the matrix must be reconstructed. In this study, CI refers to the Consistency Index, RI is the Random Index based on matrix order, and CR is the ratio coefficient defined as CI/RI [39].
λ m a x = 1 n j = 1 n ( X W ) i W i
where n is the number of matrix factors, XW is the judgment matrix X multiplied with W.
Calculation of factor weights.
Factor weights are calculated by using the product method, firstly, applying Formula (2) to multiply the factors of each row, (x is the judgment matrix, n is the order of the matrix); secondly, open the nth square root of w i , i.e., w i ¯ = w i n , and finally, applying Formula (3) to vectorize the square root of each row in the judgment matrix x [40].
w i = j = 1 n x i j
X i = w i ¯ j = 1 n w j ¯ w i ¯ = w 1 ¯ , w 2 ¯ , w n ¯
where x is the judgment matrix and n is the order of the judgment matrix.
In this study, Yaahp 10.3 software was also utilized for the auxiliary calculation of hierarchical analysis weight values [41], which also facilitates the calculation of factor weights and related judgment matrix consistency test. The consistency CR values of the target layer and comprehensive evaluation layer are 0.0936, 0.0372, 0.0723, 0.0000, 0.0372, respectively, which are in the range of 0 to 0.1, proving that the factor judgment matrices have feasibility; and the weights of the comprehensive factor layer are W = [0.1563, 0.4906, 0.3089, 0.0443].
The basic principle of entropy value method to calculate the weights is to assign weights to the factors according to the relative effect value that the factors themselves have [42]; however, for the factors with a small degree of change, the weight value is about 0. The specific steps are as follows:
Standardize the judgment matrix x:
x j = 1 x j ,   x i j =   x i j x j ¯ δ j          
where xij is the standardized matrix data, xj is the mean value of the jth evaluation factor, δj is the standard variance of the jth evaluation factor. For the negative data, use the translation method to eliminate negative values, z is the translation amplitude of the evaluation factor, the formula is as follows:
X i j = x i j + z                  
The weight of the jth evaluation factor in the ith sample is calculated and the standardized judgment matrix is Y.
Y i j = x i j i = 1 m x i j ,   Y = Y i j m , n
where n is the number of factors in the judgment matrix, m is the number of factor data that the factor has, according to the relevant calculation method, the entropy value of the jth evaluation factor and the coefficient of variation is obtained as:
e j = 1 ln m i = 1 m y i j ln y i j , 0 < e j < 1
g i j = 1 e j
Calculation of evaluation factor indicator weights and indices:
w j = g j i = 1 m g j ,   R i = i = 1 m w i j y i j
Assuming that the comprehensive weight is wj, theoretically it should be as close as possible to the weight Wi calculated by hierarchical analysis and the weight wj calculated by entropy value method. Based on the relative information entropy minimization for the calculation and combined with the Lagrange multiplier method to simplify the formula [43], so as to obtain the factor comprehensive weights (Table 3). The factor composite weighting formula is shown in Equation (10).
w j ¯ = W j w j j = 1 n W j w j          
In Shihe District factor comprehensive assignment table (Table 3), by the weight value ranking can be seen, vegetation type, water body area, soil type, elevation, watershed buffer, vegetation cover is more forward, the degree of influence on ecological sensitivity is higher, and the study area of the protection of the focus of the higher degree of fit.

2.4. Landscape Pattern Analysis

Landscape pattern analysis was conducted to quantify the spatial characteristics of land use types in Shihe District and to assess their relationship with ecological sensitivity. The comprehensive ecological sensitivity evaluation maps generated in ArcGIS 10.8 were converted from raster to vector format and spatially overlaid with land use maps. Subsequently, Fragstats 4.2 software was employed to calculate key landscape metrics, including Patch Area (CA), Number of Patches (NP), Patch Density (PD), Edge Density (ED), Largest Patch Index (LPI), Percentage of Landscape (PLAND), and Shannon’s Diversity Index (SHDI), among others.
Based on the Shihe District Land Use Master Plan, regional tourism development characteristics, and field survey results, the landscape was classified into five primary categories: First, Arable Land, which includes cultivated fields, paddy fields with irrigation infrastructure, and dryland fields dependent on natural precipitation [44]. Second, Woodland, encompassing both natural and planted forests with >30% canopy cover, short woodlands and shrublands with >40% canopy cover and height < 2 m, and sparse forests with 10–30% canopy cover [45]. Third, Grassland, comprising high-, medium-, and low-cover grasslands. Unused land with minimal spatial extent was merged into this category for calculation consistency [46]. Fourth, Water Bodies, including natural and artificial rivers, canals, lakes, reservoirs, ponds, and mudflats [47]. Fifth, Construction Land, consisting of urban and rural settlements, tourist facilities, squares, roads, and other areas of intensive human activity [48]. This classification scheme provided the basis for subsequent quantitative analysis of landscape patterns.
Based on the results of ecological sensitivity evaluation and spatial pattern analysis, a set of landscape metrics was selected to assess the spatial structure and ecological stability of the landscape in relation to tourism development [49]. These metrics provide valuable insights into landscape configuration and composition, which are critical for supporting sustainable tourism development. CA measures the total area of a given landscape class (ha). Larger CA values usually support greater species diversity and ecological stability, making this indicator useful for identifying key habitats and guiding conservation. NP represents the number of patches within the landscape. Higher NP indicates stronger fragmentation and spatial heterogeneity, while lower NP reflects more consolidated and homogeneous patterns. NP directly affects habitat connectivity, species distribution, and ecological disturbance dynamics.
PLAND is used to measure the various plant community composition components in a landscape and to calculate the proportion of different types of patches in the overall landscape area, thus providing a basis for elucidating their dominance. As its value approaches 0, it indicates that the variety of patches in the landscape is progressively decreasing, and at 100 points, it indicates that there is only one patch in the landscape [50].
P L A N D = p i = i = 1 n a i j A ( 100 )
where aij represents the area of patch ij and A represents the total area of all landscapes.
Landscape patch density is the level of differentiation and fragmentation of patches in the landscape. High density signifies a higher number of patches of different types of landscape elements in the region, a lower scale, and a higher diversity of landscapes.
P D = n i A
P D i = 1 A j = 1 M N i
A = i = 1 M A i
where PD stands for the total number of different types of landscape elements in the landscape, A for the total area of the study area, Ni for the number of patches of category I landscape elements, and Ai for the total area of category I landscape elements. PDi also represents the density of landscape element patches, which is the number of patches per unit area of a particular type of element in the landscape [51].
Landscape edge density is determined by the pattern of landscape elements and the density of patches, which effectively expresses the interaction of different types of matter, energy, species and other information [52]. Anthropogenic activity patterns determine the boundary distribution of man-made patches, while the boundary density of natural patches reflects the dynamics of their changes. The dynamic characteristics of each element can be revealed from the distribution of their boundaries.
E D = 1 A i = 1 M × j = 1 M P i j
E D i = 1 A j = 1 M P i j
where EDi is the edge length between a particular kind of landscape element patch and its surrounding heterogeneous patches per unit area, and ED is the edge length between heterogeneous landscape element patches per unit area of the entire landscape [53]. M is the total number of different types of landscape elements; A is the total area of the landscape within the study area; Ni is the number of different patches of category i elements; Ai is the total area of category i elements; and Pij is the length of the boundary in the landscape between the patches of category i elements and the patches of category j elements.
SHDI is an important indicator of the biodiversity of biomes, which can reflect the heterogeneity of the landscape, especially sensitive to the uneven distribution of landscape plants in different patches [54]. Meanwhile, SHDI, as a more sensitive indicator, can reflect landscape diversity and heterogeneity in different periods. When calculating landscape system indicators, if there are more land resources with higher fragmentation, more qualitative information is needed and the SHDI value will be higher.
S H D I = i = 1 m ( p i l n p i )
where Pi represents the landscape patch type and i represents the occupied ratio.

3. Results and Analysis

3.1. Evaluation of Ecological Sensitivity

3.1.1. Terrain Conditions

Elevation (Figure 3a). Elevation significantly influences climate, vegetation types, and ecological stability [55]. As altitude increases, temperature drops, biodiversity decreases, and ecological sensitivity rises. In Shihe District, elevation gradually increases from northeast to southwest, with areas above 400 m—mainly in southwestern mountainous zones—identified as highly sensitive. These zones are ecologically fragile and critical for conservation. In contrast, lower elevations in the central and northeastern areas correspond to the main urban construction zone. Overall, high and very high sensitivity zones occupy about 30% of the district, underscoring the importance of targeted protection and optimization in upland regions.
Slope (Figure 3b). Slope affects vegetation distribution, erosion risk, and water runoff [56]. Steeper slopes are more ecologically unstable and less suitable for intensive development. GIS-based classification identified five slope categories, with flatter areas (<6°) concentrated in the north and northeast, where development intensity is higher. In contrast, steeper zones (>15°) in the west and south are ecologically sensitive and less disturbed. Notably, 60% of the area has moderate slopes (5°–15°), forming valleys and ridges particularly suitable for eco-tourism development, especially near Nanwan Lake.
Slope Orientation (Figure 3c). Aspect influences microclimate, solar exposure, and vegetation growth. In the Northern Hemisphere, north-facing slopes are typically cooler and more humid, supporting more diverse and stable plant communities. GIS classification divided aspect into five sensitivity levels. Medium sensitivity zones account for 46.5% of the area, while high sensitivity areas—primarily north-facing slopes—make up 16.67%. The relatively balanced spatial distribution of slope orientation suggests broad potential for sustainable tourism planning across different terrain conditions.

3.1.2. Natural Conditions

Water Resource Abundance (Figure 3d). Water bodies are fundamental to both ecological stability and tourism in Shihe District. High and very high sensitivity zones—mainly in the northeastern mountains and around Nanwan Reservoir—cover approximately 410 km2 (23% of the district; Table 4). These areas are critical for water regulation and ecosystem services. To preserve ecological integrity, strict protection of buffer zones is essential, including delineation of ecological red lines, pollution control, and restricted development [57]. A systematic network of protected areas and conservation corridors should be established to enhance waterfront ecosystem resilience and support sustainable tourism.
Vegetation Cover (Figure 3e). Vegetation plays a key role in air purification, soil stabilization, microclimate regulation, and biodiversity—factors that contribute to tourism attractiveness and ecological resilience. Using NDVI, vegetation was classified into five sensitivity levels. Very high sensitivity zones (>0.35) account for 30.63% of the area and are concentrated around South Bay Lake. Moderate sensitivity zones span over 50%, forming an extensive ecological buffer. Low-sensitive areas are primarily located in urban centers. Management should prioritize native vegetation conservation and ecological restoration, especially in high-sensitivity zones.
Water Source Buffer Zones (Figure 3i). Buffers around major water bodies are ecologically sensitive due to their role in protecting water quality. Low sensitivity zones cover 56.99% of the area, while high and very high sensitivity zones account for 22.15% and 3.61%, respectively. These zones are concentrated around South Bay Reservoir and Out-of-the-Mountain Reservoir, the district’s main water sources. Effective protection requires land-use controls, riparian vegetation restoration, and active monitoring to maintain hydrological functions and mitigate tourism-related pressures.

3.1.3. Tourism Resource and Human Activities

Tourism Resources (Figure 3f–h). Tourism resources in Shihe District exhibit strong spatial heterogeneity in ecological sensitivity. Historical landscapes are mainly clustered around the northwest and southeast peripheries of South Bay Reservoir, while natural and man-made attractions are more dispersed. However, the vast majority of tourism-related areas are classified as very low sensitivity, accounting for 98.47%, 99.21%, and 99.9% of the total area for historical, natural, and artificial attractions, respectively. This indicates a landscape with numerous but fragmented tourism nodes, requiring differentiated protection strategies. Sensitivity-based zoning should guide the intensity, type, and location of tourism development to balance utilization and conservation.
Human Activities (Figure 3j,k). Land use patterns reveal that human disturbance is a major driver of ecological sensitivity. Extremely sensitive zones—primarily in the north, east, and around South Bay Lake—occupy 34.13% of the district, while medium sensitivity areas represent the largest share (59.62%), spread mainly across the south and west. Low and insensitive zones are minimal (1.69% combined), indicating that most of the district experiences moderate to high human impact. These results highlight the urgent need for land-use regulation and ecological planning to mitigate tourism-induced degradation.
In terms of transportation infrastructure (Figure 3k), road networks are generally classified as insensitive, covering 91.2% of the area and aligning with highways and mountain roads. While crucial for tourism access, roads may fragment habitats. Therefore, strategic routing, ecological buffers, and connectivity corridors should be incorporated into transportation planning to reduce ecological disruption.

3.1.4. Comprehensive Evaluation

Based on the weighted integration of all sensitivity factors, a composite ecological sensitivity map of Shihe District was generated through GIS overlay analysis (Figure 4), with area statistics summarized in Table 5. The district is divided into three broad sensitivity levels, each requiring differentiated management strategies.
High and Very High Sensitivity Zones. Covering 392.29 km2 (23.22% of the district), these zones are concentrated in the southwestern mountainous areas, featuring steep terrain, dense vegetation, and ecological fragility. They serve as critical ecological buffers supporting landscape stability. Development in these areas should be strictly restricted, with only essential ecological monitoring infrastructure permitted. Priorities include enforcing ecological red lines, controlling land use, and preventing habitat loss and pollution. These proportions (23.2%, 22.9%, and 53.8%) were determined by integrating national ecological red-line guidelines with Shihe’s local land-use planning documents.
Moderate Sensitivity Zones. These areas span 392.24 km2 (22.96%) and are mostly located around Nanwan Reservoir and its buffer zones. While less fragile, they remain ecologically vulnerable. Tourism in these zones should follow protection-oriented planning, with controlled visitor access and well-defined development boundaries. Eco-corridor construction and low-impact tourism—such as water-based recreation—can support conservation while enhancing landscape use.
Low and Less Sensitive Zones. Accounting for 944.98 km2 (53.82%), these zones lie in urbanized and tourism development regions, where anthropogenic pressure is high. Key issues include water degradation, land fragmentation, and poor infrastructure layout. Here, emphasis should be placed on scientific land-use planning, improving spatial layout, enhancing tourism carrying capacity, and promoting synergies between urban growth and ecological sustainability.

3.2. Multi-Scale Landscape Pattern Analysis

Landscape diversity and fragmentation in Shihe District were evaluated using the Shannon Diversity Index (SHDI) and Shannon Evenness Index (SHEI). The SHDI value of 0.8617 (Table 6) reflects a moderately high level of land-use diversity, indicating a landscape composed of varied and spatially heterogeneous land-use types. The SHEI value of 0.7806 suggests that the overall distribution of land-use categories is relatively balanced, with limited dominance by any single type. However, certain subregions still exhibit localized anthropogenic disturbances, contributing to uneven spatial structures across the district.
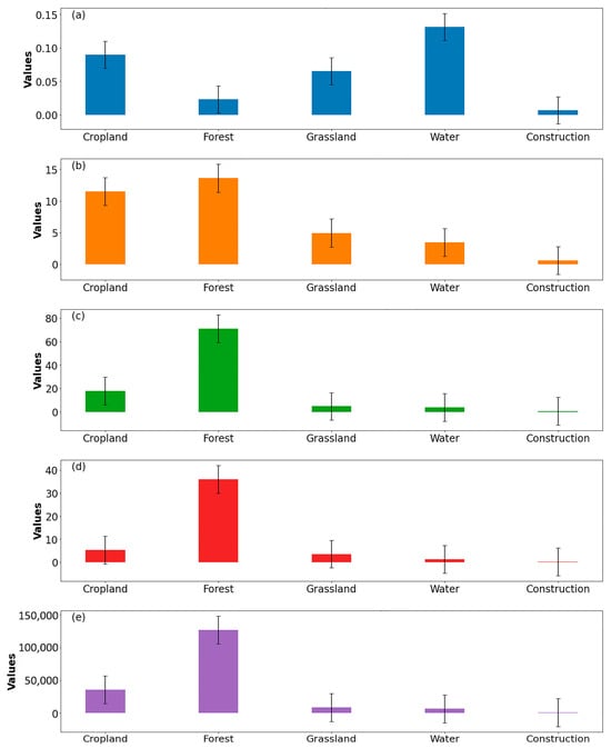
Patch Density (PD). As shown in Figure 5a and Table 7, water bodies display the highest PD (0.1310), indicating fragmented spatial distribution and weak connectivity. Arable land (0.0901) and grassland (0.0655) also show moderate fragmentation, while construction land has the lowest PD (0.0067), reflecting its compact extent.
Edge Density (ED). Woodland exhibits the highest ED (13.60), followed by arable land (11.51), suggesting stronger edge effects and higher ecological vulnerability. In contrast, grassland (4.95) and water bodies (3.46) present lower edge density, indicating relatively cohesive boundaries.
Percentage of Landscape (PLAND). Forest land dominates the landscape (71.04%), with arable land (17.86%), grassland (4.77%), and water bodies (3.77%) forming the secondary classes. This structure highlights the ecological and tourism importance of forest and farmland.
Class Area (CA). Woodland covers the largest area (126,944.1 ha), followed by arable land (35,483.49 ha), grassland (8531.73 ha), and water bodies (6739.74 ha). Construction land is concentrated in the northeastern urban core and around South Bay Lake, emphasizing the need for integrated management of built-up and ecological spaces.
As shown in Table 7, woodland dominates the landscape with the largest class area (71.04%) and the highest Largest Patch Index (LPI = 35.99), indicating that forest patches are relatively continuous and ecologically stable. This provides a strong foundation for biodiversity conservation and forest-based tourism. In contrast, cropland, although covering nearly 18% of the landscape, shows a much lower LPI (5.22) and relatively high edge density (11.51), reflecting greater fragmentation and vulnerability to ecological disturbance. Grassland and water bodies, while smaller in proportion, exhibit high patch density (0.0655 and 0.1310, respectively), highlighting their scattered distribution and weaker connectivity. Such fragmentation may compromise ecosystem services and limit their recreational potential unless complemented by ecological corridors. Building land, though occupying less than 1% of the area, shows the lowest connectivity (PD = 0.0067) but exerts disproportionate pressure due to its concentration around key tourism hubs.

3.3. Landscape Pattern Optimization

3.3.1. Zoning Optimization

Based on the comprehensive ecological sensitivity assessment and landscape resource evaluation, Shihe District is divided into three protection levels to guide differentiated management and promote sustainable tourism (Figure 6).
Primary Protection Zone. Concentrated in the southwestern mountainous areas, this zone covers 23.2% of the district and is characterized by steep slopes, dense vegetation, and high biodiversity. These areas represent critical ecological buffers and are classified as extremely fragile. Development is strictly prohibited except for essential monitoring infrastructure. Conservation priorities include forest restoration, biodiversity protection, and slope stabilization. Limited low-impact tourism facilities such as observation decks may be considered to support environmental education without compromising ecological integrity.
Secondary Protection Zone. Covering 22.9% of the district, these areas are mainly distributed around Nanwan Reservoir and its surrounding buffer zones. With moderate ecological sensitivity and relatively higher carrying capacity, they can accommodate regulated ecotourism activities. Key management measures include establishing eco-corridors, limiting visitor flow, and enforcing strict buffer protection. Stakeholder participation is crucial, particularly involving local residents, cultural operators, and tourism enterprises in eco-friendly tourism projects such as eco-villages, cultural towns, and water-based recreation.
Tertiary Protection Zone. Spanning 53.8% of the district, this zone comprises the eastern and northeastern flatlands where human activities are most intensive, including cultivated land and construction areas. While less sensitive ecologically, they face risks such as land degradation and habitat fragmentation. These areas are designated for tourism service hubs and supporting infrastructure (e.g., accommodation, transport nodes, visitor centers). Planning strategies emphasize eco-friendly construction, integration of green infrastructure, and heritage conservation to enhance tourism capacity while mitigating ecological stress. These delineations not only provide a spatial management framework but also serve as practical references for local authorities in enforcing ecological red-line policies and regulating tourism intensity according to sensitivity levels.

3.3.2. Classification Optimization

To further promote ecological integrity and improve landscape functionality in line with sustainable tourism objectives, this study proposes a classification-based optimization strategy that organizes the district’s landscape into functional typologies—mountain, water, and woodland systems—each with tailored management priorities. This classification approach aims to reconcile ecological conservation and tourism development by regulating the spatial intensity, ecological roles, and tourism potentials of different landscape elements (Figure 7).
Mountain landscapes, such as the Dabie and Tongbai mountain ranges and other regional peaks, play a foundational role in soil and water conservation, biodiversity maintenance, and regional ecological stability. These areas also provide significant visual and recreational appeal. Management efforts in mountain regions should focus on ecological protection through the designation of upper watershed conservation forests, strict demarcation between natural forest and productive land uses (e.g., tea plantations), and the restoration of ecologically degraded slopes. Construction activities, if any, must be strictly controlled, with tourism infrastructure confined to low-impact formats that follow existing paths and preserve terrain morphology, thus aligning with the principles of landscape eco-ethics.
Water landscapes, including rivers, reservoirs, streams, ponds, and waterfalls, function as both critical ecological corridors and tourism resources. These areas should be prioritized for integrated water management by delineating comprehensive ecological protection zones and restoring riparian habitats through the implementation of buffer zones and wetland systems. To enhance flood resilience and ecosystem services, sponge city principles should be incorporated where appropriate. Recreational infrastructure, such as eco-sensitive trails or observation platforms, can be introduced in selected areas to foster environmental interpretation and human-nature interaction. Simultaneously, destructive activities—such as channel hardening, straightening, or illegal dredging—must be strictly prohibited to protect aquatic integrity.
Woodland systems—including native forests, plantations, and recreational green corridors—are essential for carbon sequestration, climate regulation, and biodiversity support, while offering opportunities for nature-based tourism. Management should emphasize the conservation of natural forests, reforestation with indigenous species, and improvement of forest connectivity across fragmented patches. In addition, preventative measures such as fire and pest control, alongside the establishment of welfare forests for community use, can enhance multifunctional landscape values. Particular attention should be given to the preservation of ancient and culturally significant trees through long-term monitoring and funding mechanisms, ensuring that both ecological and cultural functions are maintained for future generations.

4. Discussion

This study highlights the ecological fragility of UTAs by revealing how landform, water resources, vegetation, and tourism activities collectively shape spatial sensitivity patterns in Shihe District. The finding that high and very high sensitivity zones occupy 23.2% of the area indicates that ecological conflicts are concentrated in mountainous and reservoir-buffer regions, where ecological thresholds are easily exceeded under intensive tourism development. This underscores the need to recognize ecological sensitivity not merely as an environmental attribute, but as a spatial constraint guiding planning decisions [58].
The analysis also demonstrates how landscape metrics, such as patch density and edge density, reveal fragmentation processes that are particularly relevant in tourism-driven landscapes. For instance, high edge density in woodland areas reflects the pressure of tourism infrastructure encroaching on ecological boundaries, while the fragmentation of water bodies suggests potential conflicts between scenic utilization and hydrological stability [59]. These findings resonate with previous studies emphasizing that conventional tourism development often prioritizes accessibility and facility expansion at the expense of ecological thresholds, but extend the discussion by quantifying the spatial mechanisms through which such conflicts materialize.
A key implication of the results is that landscape optimization in UTAs requires reconciling ecological ethics with tourism demand. The delineation of conservation-prioritized zones operationalizes the principle of ecological ethics by embedding ecological thresholds into spatial zoning, thereby ensuring that development intensity respects the carrying capacity of sensitive ecosystems. Unlike traditional approaches that apply rural-based ecological models with limited attention to urban–tourism interactions, the framework here integrates tourism-specific indicators—such as attraction density and accessibility—making it more applicable to highly urbanized tourism contexts. Compared with conventional carrying capacity assessments, which often remain static and visitor-focused, our framework integrates ecological sensitivity with landscape pattern metrics, offering a more spatially explicit and adaptive tool for UTAs. Moreover, the incorporation of eco-ethical zoning parallels the NbS discourse, as both approaches emphasize the restoration of natural processes and the integration of ecological thresholds into planning decisions. This integrated approach not only addresses the static and visitor-centric limitations of traditional models but also fills a critical gap in applying spatially explicit ecological thresholds to highly fragmented UTAs, where land-use conflicts are most acute.
Beyond Shihe District, the proposed framework demonstrates potential transferability to other UTAs worldwide. In Southeast Asia, mountainous destinations such as northern Thailand face comparable challenges in reconciling hydrological protection with tourism expansion. In Europe, heritage-rich but densely visited regions, such as coastal UTAs in Italy, struggle with fragmented landscapes under intense visitor pressure [60]. Likewise, in Latin America, ecotourism areas on the urban fringes, including reserves in the Brazilian Atlantic Forest, must balance conservation goals with economic use [61]. While the framework requires contextual adaptation to local socio-political and data conditions, these parallels highlight its broader applicability and the relevance of integrating ecological sensitivity with tourism-driven pressures across diverse global contexts [62].
Finally, this study advances the discourse on sustainable tourism by linking quantitative ecological sensitivity results to practical zoning strategies. Yet, the discussion also highlights unresolved trade-offs: for example, restricting development in high-sensitivity zones may conflict with local economic expectations, while allowing controlled ecotourism in moderately sensitive areas requires strong governance capacity. Addressing these trade-offs calls for participatory planning, where residents, planners, and tourism operators co-design adaptive strategies to align ecological ethics with socio-economic realities. For policy makers, the quantitative findings translate into clear spatial thresholds for planning, such as prioritizing conservation in 23.2% of highly sensitive zones, while managers can use patch-level indicators to guide decisions on where eco-corridors, infrastructure, or restoration projects should be implemented.

5. Conclusions

This study provides a comprehensive assessment of ecological sensitivity and landscape pattern optimization for Shihe District, a tourism area characterized by diverse natural and cultural resources. The spatial distribution of tourism resources in the district exhibits a pattern of “widely dispersed with localized concentrations,” constrained by complex topography and limited land availability for large-scale centralized development. These conditions favor the promotion of decentralized, small-scale, and high-quality tourism initiatives that align with ecological conservation priorities.
The integrated analysis revealed distinct spatial patterns of ecological sensitivity, with low-sensitivity zones concentrated in the eastern and northern regions, moderately sensitive areas distributed in the northeast at elevations of 200–300 m, and highly sensitive zones located in the southwestern mountainous regions. Guided by the principles of ecological priority, green development, and landscape diversity, the district was delineated into a three-tier protection system: first-level protection zones prioritize landscape restoration, forest enhancement, and biodiversity conservation; second-level zones maintain landscape integrity and support controlled eco-tourism development; and third-level zones emphasize sustainable land-use planning and balanced development to enhance tourism carrying capacity while preserving cultural and natural heritage. Methodologically, this study demonstrates the utility of integrating ecological sensitivity evaluation with landscape pattern analysis, supported by GIS and multi-criteria decision-making tools. The approach offers a scientifically robust basis for informing spatial planning and targeted management strategies in complex tourism landscapes. The classification-based and zoning-based optimization strategies proposed herein provide actionable guidance for achieving a harmonious balance between conservation and development.
Nevertheless, several limitations should be acknowledged. The land-use classification system adopted here is relatively coarse, with only five broad categories, which may obscure fine-scale heterogeneity and lead to underestimation of localized ecological risks. Moreover, the model emphasizes natural and spatial factors, while socio-economic and policy drivers—key determinants of tourism-induced landscape change—are underrepresented, potentially reducing the explanatory power for human–environment interactions. In addition, the analysis relies on static land-use data from 2020, which limits its temporal generalization and may affect the robustness of results in dynamic tourism contexts. Future research should refine the framework by incorporating higher-resolution land-use datasets, longitudinal monitoring, and scenario simulations, while integrating socio-economic and governance variables to capture broader drivers of change. Cross-regional comparative studies will also be necessary to test the transferability of the framework. Addressing these limitations will improve the reliability of results and enhance the utility of ecological planning tools for adaptive, sustainability-oriented management in tourism-intensive regions.

Author Contributions

J.S.: Conceptualization, Methodology, Writing—review & editing. L.L.: Data curation, Fieldwork, Formal analysis, Supervision, Visualization, Writing—original draft, Writing—review & editing. L.P.: Formal analysis, Visualization, Writing—review & editing. All authors have read and agreed to the published version of the manuscript.

Funding

This work was supported by JST SPRING [grant number JPMJSP2169].

Institutional Review Board Statement

Not applicable.

Informed Consent Statement

Not applicable.

Data Availability Statement

No new data were created or analyzed in this study. The data that support the findings of this study are available from the corresponding author upon reasonable request.

Acknowledgments

The authors thank the Resources and Environment Sciences and Data Center, Chinese Academy of Sciences for providing basic data services.

Conflicts of Interest

The authors declare that they have no known competing financial interests or personal relationships that could have appeared to influence the work reported in this paper.

References

  1. Zhang, Q.; Lu, L.; Huang, J.; Zhang, X. Uneven Development and Tourism Gentrification in the Metropolitan Fringe: A Case Study of Wuzhen Xizha in Zhejiang Province, China. Cities 2022, 121, 103476. [Google Scholar] [CrossRef]
  2. Baños-Pino, J.F.; Zapico, E.; Mayor, M.; Balado-Naves, R. The Design of an Eco-Tax on Tourism Waste for Sustainable Destinations, Based on Environmental Efficiency and Spatial Dependence. J. Sustain. Tour. 2024, 1, 23. [Google Scholar] [CrossRef]
  3. McPhearson, T.; Cook, E.M.; Berbés-Blázquez, M.; Cheng, C.; Grimm, N.B.; Andersson, E.; Barbosa, O.; Chandler, D.G.; Chang, H.; Chester, M.V.; et al. A Social-Ecological-Technological Systems Framework for Urban Ecosystem Services. One Earth 2022, 5, 505–518. [Google Scholar] [CrossRef]
  4. Iliopoulou-Georgudaki, J.; Theodoropoulos, C.; Konstantinopoulos, P.; Georgoudaki, E. Sustainable Tourism Development Including the Enhancement of Cultural Heritage in the City of Nafpaktos—Western Greece. Int. J. Sustain. Dev. World Ecol. 2017, 24, 224–235. [Google Scholar] [CrossRef]
  5. Chen, L.; Yang, H.; Huang, H.; Chang, M.; Wang, X.; Han, D.; Liu, S.; Xiao, Y.; Yao, D.; Xiang, X.; et al. How Do Natural and Socio-Economic Factors Influence the Sustainable Development of the Ecological Environment in the World Natural Heritage Sites? Evidence from the Jiuzhaigou, China. J. Clean. Prod. 2023, 428, 139238. [Google Scholar] [CrossRef]
  6. Skiniti, G.; Lilli, M.; Skarakis, N.; Tournaki, S.; Nikolaidis, N.; Tsoutsos, T. A Holistic Approach for Tourism Carrying Capacity Estimation in Sensitive Ecological Areas. Environ. Dev. Sustain. 2024, 26, 31971–31995. [Google Scholar] [CrossRef]
  7. Kauark-Fontes, B.; Marchetti, L.; Salbitano, F. Integration of Nature-Based Solutions (NBS) in Local Policy and Planning toward Transformative Change. Evidence from Barcelona, Lisbon, and Turin. Ecol. Soc. 2023, 28, 25. [Google Scholar] [CrossRef]
  8. Xu, W.; Wang, J.; Zhang, M.; Li, S. Construction of Landscape Ecological Network Based on Landscape Ecological Risk Assessment in a Large-Scale Opencast Coal Mine Area. J. Clean. Prod. 2021, 286, 125523. [Google Scholar] [CrossRef]
  9. Kato, S.; Motobe, A. Landscape Metric Sensitivity to Grain Size in Rural Japan. Landsc. Ecol. Eng. 2024, 20, 285–298. [Google Scholar] [CrossRef]
  10. Burpee, B.T.; Saros, J.E.; Nanus, L.; Baron, J.; Brahney, J.; Christianson, K.R.; Ganz, T.; Heard, A.; Hundey, B.; Koinig, K.A.; et al. Identifying Factors That Affect Mountain Lake Sensitivity to Atmospheric Nitrogen Deposition across Multiple Scales. Water Res. 2022, 209, 117883. [Google Scholar] [CrossRef] [PubMed]
  11. Kim, M.; Holifield, R. Touristification, Commercial Gentrification, and Experiences of Displacement in a Disadvantaged Neighborhood in Busan, South Korea. J. Urban Aff. 2024, 46, 509–527. [Google Scholar] [CrossRef]
  12. Ivars-Baidal, J.A.; Vera-Rebollo, J.F.; Perles-Ribes, J.; Femenia-Serra, F.; Celdrán-Bernabeu, M.A. Sustainable Tourism Indicators: What’s New within the Smart City/Destination Approach? J. Sustain. Tour. 2023, 31, 1556–1582. [Google Scholar] [CrossRef]
  13. Devi, A.R.; Shimrah, T. Assessment of Land Use and Land Cover and Forest Fragmentation in Traditional Landscape in Manipur, Northeast India. Int. J. Environ. Sci. Technol. 2022, 19, 10291–10306. [Google Scholar] [CrossRef]
  14. Tang, X.; Wu, Y.; Ye, J.; Lv, H.; Sun, F.; Huang, Q. Ecotourism Risk Assessment in Yaoluoping Nature Reserve, Anhui, China Based on GIS. Environ. Earth Sci. 2022, 81, 204. [Google Scholar] [CrossRef]
  15. Mu, Y.; Xiong, K.; Zhai, Q.; Xie, Q. Progress in Regulating Ecosystem Services Research: An Implication for the Karst World Heritage Sites. Npj Herit. Sci. 2025, 13, 120. [Google Scholar] [CrossRef]
  16. Chen, J.; Wang, S.; Zou, Y. Construction of an Ecological Security Pattern Based on Ecosystem Sensitivity and the Importance of Ecological Services: A Case Study of the Guanzhong Plain Urban Agglomeration, China. Ecol. Indic. 2022, 136, 108688. [Google Scholar] [CrossRef]
  17. Qiao, E. Evaluation of Landscape Ecological Security Pattern via the “Pattern-Function-Stability” Framework in the Guanzhong Plain Urban Agglomeration of China. Ecol. Indic. 2024, 166, 112325. [Google Scholar] [CrossRef]
  18. Liu, X.; Su, Y.; Li, Z.; Zhang, S. Constructing Ecological Security Patterns Based on Ecosystem Services Trade-Offs and Ecological Sensitivity: A Case Study of Shenzhen Metropolitan Area, China. Ecol. Indic. 2023, 154, 110626. [Google Scholar] [CrossRef]
  19. Xu, Y.; Liu, R.; Xue, C.; Xia, Z. Ecological Sensitivity Evaluation and Explanatory Power Analysis of the Giant Panda National Park in China. Ecol. Indic. 2023, 146, 109792. [Google Scholar] [CrossRef]
  20. Kang, J.; Zhang, X.; Zhu, X.; Zhang, B. Ecological Security Pattern: A New Idea for Balancing Regional Development and Ecological Protection. A Case Study of the Jiaodong Peninsula, China. Glob. Ecol. Conserv. 2021, 26, e01472. [Google Scholar] [CrossRef]
  21. Zhang, Y.; Zhao, Z.; Fu, B.; Ma, R.; Yang, Y.; Lü, Y.; Wu, X. Identifying Ecological Security Patterns Based on the Supply, Demand and Sensitivity of Ecosystem Service: A Case Study in the Yellow River Basin, China. J. Environ. Manag. 2022, 315, 115158. [Google Scholar] [CrossRef]
  22. Ghosh, S.; Das Chatterjee, N.; Dinda, S. Urban Ecological Security Assessment and Forecasting Using Integrated DEMATEL-ANP and CA-Markov Models: A Case Study on Kolkata Metropolitan Area, India. Sustain. Cities Soc. 2021, 68, 102773. [Google Scholar] [CrossRef]
  23. Kong, X.; Han, M.; Li, Y.; Kong, F.; Sun, J.; Zhu, W.; Wei, F. Spatial Differentiation and Formation Mechanism of Ecological Sensitivity in Large River Basins: A Case Study of the Yellow River Basin, China. Ecol. Indic. 2024, 158, 111571. [Google Scholar] [CrossRef]
  24. Cheng, L.; Li, M.; Wang, Y.; Han, Q.; Hao, Y.; Qiao, Z.; Zhang, W.; Qiu, L.; Gong, A.; Zhang, Z.; et al. Transcriptome-Based Variations Effectively Untangling the Intraspecific Relationships and Selection Signals in Xinyang Maojian Tea Population. Front. Plant Sci. 2023, 14, 1114284. [Google Scholar] [CrossRef]
  25. Gao, H.; Wang, Y.; Wang, S. Basic Principles and Applications of Ecological Design for Public Buildings in Mountainous Areas: A Case Study of the Shihe District, Xinyang. J. Mt. Sci. 2018, 36, 441–451. [Google Scholar] [CrossRef]
  26. Chen, B.; Liu, X.; Liu, J. Construction and Optimization of Ecological Security Patterns in Chinese Black Soil Areas Considering Ecological Importance and Vulnerability. Sci. Rep. 2025, 15, 12142. [Google Scholar] [CrossRef]
  27. Liu, T.; Peng, X.; Li, J. Evaluation of Ecological Sensitivity and Spatial Correlation Analysis of Landscape Patterns in Sanjiangyuan National Park. Sustainability 2024, 16, 5294. [Google Scholar] [CrossRef]
  28. Bai, J.; Wang, X.; Tu, Y.; Zhou, J.; Wang, X.; Yao, W.; Sun, Z. Integration of Ecosystem Service Composite Index and Driving Thresholds for Ecological Zoning Management: A Case Study of Qinling-Daba Mountain, China. J. Environ. Manag. 2025, 384, 125309. [Google Scholar] [CrossRef] [PubMed]
  29. Bai, J.; Sun, R.; Liu, Y.; Chen, J.; Li, X. Integrating Ecological and Recreational Functions to Optimize Ecological Security Pattern in Fuzhou City. Sci. Rep. 2025, 15, 778. [Google Scholar] [CrossRef]
  30. Hu, X.; Ma, C.; Huang, P.; Guo, X. Ecological Vulnerability Assessment Based on AHP-PSR Method and Analysis of Its Single Parameter Sensitivity and Spatial Autocorrelation for Ecological Protection—A Case of Weifang City, China. Ecol. Indic. 2021, 125, 107464. [Google Scholar] [CrossRef]
  31. Wei, G.; Yang, Z.; Liang, C.; Yang, X.; Zhang, S. Urban Lake Scenic Protected Area Zoning Based on Ecological Sensitivity Analysis and Remote Sensing: A Case Study of Chaohu Lake Basin, China. Sustainability 2022, 14, 13155. [Google Scholar] [CrossRef]
  32. Cheng, Z.; Aakala, T.; Larjavaara, M. Elevation, Aspect, and Slope Influence Woody Vegetation Structure and Composition but Not Species Richness in a Human-Influenced Landscape in Northwestern Yunnan, China. Front. For. Glob. Change 2023, 6, 1187724. [Google Scholar] [CrossRef]
  33. Feng, Z.; Jin, X.; Chen, T.; Wu, J. Understanding Trade-Offs and Synergies of Ecosystem Services to Support the Decision-Making in the Beijing–Tianjin–Hebei Region. Land Use Policy 2021, 106, 105446. [Google Scholar] [CrossRef]
  34. Xu, H.; Zhang, Z.; Yu, X.; Li, T.; Chen, Z. The Construction of an Ecological Security Pattern Based on the Comprehensive Evaluation of the Importance of Ecosystem Service and Ecological Sensitivity: A Case of Yangxin County, Hubei Province. Front. Environ. Sci. 2023, 11, 1154166. [Google Scholar] [CrossRef]
  35. Chand, S.; Singh, S.; Parappurathu, S.; Roy, S.D.; Kumar, A. Explaining the Status and Scope of Ecotourism Development for Livelihood Security: Andaman and Nicobar Islands, India. Int. J. Sustain. Dev. World Ecol. 2015, 22, 335–345. [Google Scholar] [CrossRef]
  36. Wang, X.; Lu, B.; Li, J.; Liu, Q.; He, L.; Lv, S.; Yu, S. Spatio-Temporal Analysis of Ecological Service Value Driven by Land Use Changes: A Case Study with Danjiangkou, Hubei Section. Resour. Environ. Sustain. 2024, 15, 100146. [Google Scholar] [CrossRef]
  37. Gao, P.; Wang, X.; Wang, H.; Cheng, C. Viewpoint: A Correction to the Entropy Weight Coefficient Method by Shen et al. for Accessing Urban Sustainability [Cities 42 (2015) 186–194]. Cities 2020, 103, 102742. [Google Scholar] [CrossRef]
  38. Kim, B.-C. Dependence Modeling for Large-Scale Project Cost and Time Risk Assessment: Additive Risk Factor Approaches. IEEE Trans. Eng. Manag. 2023, 70, 417–436. [Google Scholar] [CrossRef]
  39. Cho, J.S.; White, H. Testing for Regime Switching. Econometrica 2007, 75, 1671–1720. [Google Scholar] [CrossRef]
  40. Wu, D.; Chen, D.; Tang, L.; Shao, G. A Comprehensive Assessment of Ecological Sensitivity for a Coal-Fired Power Plant in Xilingol, Inner Mongolia. Int. J. Sustain. Dev. World Ecol. 2017, 24, 420–426. [Google Scholar] [CrossRef]
  41. Yan, Y.; Yu, W.; Zhao, W.; Zhou, Z.; Yang, Y.; Zhu, M.; Zhu, J.; Chen, R. Construction and Evaluation of Research Competency Indicator System for Pharmacists in Tertiary a Hospitals in China. BMC Med. Educ. 2025, 25, 262. [Google Scholar] [CrossRef] [PubMed]
  42. Chen, Y. Equivalent Relation between Normalized Spatial Entropy and Fractal Dimension. Phys. Stat. Mech. Its Appl. 2020, 553, 124627. [Google Scholar] [CrossRef]
  43. Huang, L.; Li, Z. Quality Evaluation of Culture-Tourism Integration Based on a 3E Multi-Dimensional Subjective–Objective Hybrid Weighting Method. IEEE Access 2025, 13, 137436–137445. [Google Scholar] [CrossRef]
  44. Baskent, E.Z. Assessment of Structural Dynamics in Forest Landscape Management. Can. J. For. Res. 1997, 27, 1675–1684. [Google Scholar] [CrossRef]
  45. Buyantuyev, A.; Wu, J. Effects of Thematic Resolution on Landscape Pattern Analysis. Landsc. Ecol. 2007, 22, 7–13. [Google Scholar] [CrossRef]
  46. Chen, J.; Franklin, J.F.; Lowe, J.S. Comparison of Abiotic and Structurally Defined Patch Patterns in a Hypothetical Forest Landscape. Conserv. Biol. 1996, 10, 854–862. [Google Scholar] [CrossRef]
  47. Zhang, S.; Yang, P.; Xia, J.; Wang, W.; Cai, W.; Chen, N.; Hu, S.; Luo, X.; Li, J.; Zhan, C. Land Use/Land Cover Prediction and Analysis of the Middle Reaches of the Yangtze River Under Different Scenarios. Sci. Total Environ. 2022, 833, 155238. [Google Scholar] [CrossRef]
  48. Chen, Y.; Yang, J.; Yang, R.; Xiao, X.; Xia, J. (Cecilia) Contribution of Urban Functional Zones to the Spatial Distribution of Urban Thermal Environment. Build. Environ. 2022, 216, 109000. [Google Scholar] [CrossRef]
  49. Lou, Z.; Zhao, X.; Chen, C.; Peng, S. Rural Revitalisation: Spatio-Temporal Evolution and Multi-Scenario Prediction of Ecosystem Service Values of Second Homes in Moudao, China. Land Use Policy 2025, 150, 107467. [Google Scholar] [CrossRef]
  50. Deng, H.; Wang, Y.; Zhang, Q.; Yan, Y. On Island Landscape Pattern of Forests in Helan Mountain and Its Cause of Formation. Sci. China Ser. E Technol. Sci. 2006, 49, 45–53. [Google Scholar] [CrossRef]
  51. Diaz, N.M. Landscape Metrics: A New Tool for Forest Ecologists. J. For. 1996, 94, 12–16. [Google Scholar] [CrossRef]
  52. Ribeiro, S.E.; Prevedello, J.A.; Delciellos, A.C.; Vieira, M.V. Edge Effects and Geometric Constraints: A Landscape-level Empirical Test. J. Anim. Ecol. 2016, 85, 97–105. [Google Scholar] [CrossRef] [PubMed]
  53. Dorner, B.; Lertzman, K.; Fall, J. Landscape Pattern in Topographically Complex Landscapes: Issues and Techniques for Analysis. Landsc. Ecol. 2002, 17, 729–743. [Google Scholar] [CrossRef]
  54. Imbernon, J.; Branthomme, A. Characterization of Landscape Patterns of Deforestation in Tropical Rain Forests. Int. J. Remote Sens. 2001, 22, 1753–1765. [Google Scholar] [CrossRef]
  55. Salick, J.; Fang, Z.; Byg, A. Eastern Himalayan Alpine Plant Ecology, Tibetan Ethnobotany, and Climate Change. Glob. Environ. Change 2009, 19, 147–155. [Google Scholar] [CrossRef]
  56. Biddoccu, M.; Zecca, O.; Audisio, C.; Godone, F.; Barmaz, A.; Cavallo, E. Assessment of Long-term Soil Erosion in a Mountain Vineyard, Aosta Valley (NW Italy). Land Degrad. Dev. 2018, 29, 617–629. [Google Scholar] [CrossRef]
  57. Wang, C.; Wang, J.; Yu, L.; Wang, Y. Urban Ecological Redline Optimization Based on Ecological Network Pattern—A Case Study of Qingdao City. Popul. Resour. Environ. China 2017, 27, 9–14. [Google Scholar]
  58. Lin, Q.; Eladawy, A.; Sha, J.; Li, X.; Wang, J.; Kurbanov, E.; Thomas, A. Remotely Sensed Ecological Protection Redline and Security Pattern Construction: A Comparative Analysis of Pingtan (China) and Durban (South Africa). Remote Sens. 2021, 13, 2865. [Google Scholar] [CrossRef]
  59. Ren, Y.; Lu, L.; Han, Y. Research Framework of Tourism Resources from a New Perspective of Tourism Resources. J. Nat. Resour. 2022, 37, 551. [Google Scholar] [CrossRef]
  60. Pernice, U.; Coccon, F.; Horneman, F.; Dabalà, C.; Torresan, S.; Puertolas, L. Co-Developing Business Plans for Upscaled Coastal Nature-Based Solutions Restoration: An Application to the Venice Lagoon (Italy). Sustainability 2024, 16, 8835. [Google Scholar] [CrossRef]
  61. Beltrão, M.G.; Gonçalves, C.F.; Brancalion, P.H.S.; Carmignotto, A.P.; Silveira, L.F.; Galetti, P.M.; Galetti, M. Priority Areas and Implementation of Ecological Corridor through Forest Restoration to Safeguard Biodiversity. Sci. Rep. 2024, 14, 30837. [Google Scholar] [CrossRef] [PubMed]
  62. Hong, W.; Guo, R.; Su, M.; Tang, H.; Chen, L.; Hu, W. Sensitivity Evaluation and Land-Use Control of Urban Ecological Corridors: A Case Study of Shenzhen, China. Land Use Policy 2017, 62, 316–325. [Google Scholar] [CrossRef]
Figure 1. Research area (The map shows the boundaries of Shihe District and its topographic variation. Natural, man-made, and historical attractions are marked with green, red, and blue points, respectively. Major rivers, reservoirs, and mountain ranges are labeled to illustrate the ecological setting. The inset map indicates the location of Shihe District within Henan Province).
Figure 1. Research area (The map shows the boundaries of Shihe District and its topographic variation. Natural, man-made, and historical attractions are marked with green, red, and blue points, respectively. Major rivers, reservoirs, and mountain ranges are labeled to illustrate the ecological setting. The inset map indicates the location of Shihe District within Henan Province).
Sustainability 17 08270 g001
Figure 2. Research Framework.
Figure 2. Research Framework.
Sustainability 17 08270 g002
Figure 3. Single-factor ecological sensitivity evaluation map. (a) Elevation; (b) Slope; (c) Aspect; (d) River buffer zone; (e) Vegetation coverage; (f) Historical attractions; (g) Natural attractions; (h) Man-made attractions; (i) Density of attractions; (j) Land use type; (k) Road buffer zone; (l) Lake buffer zone.
Figure 3. Single-factor ecological sensitivity evaluation map. (a) Elevation; (b) Slope; (c) Aspect; (d) River buffer zone; (e) Vegetation coverage; (f) Historical attractions; (g) Natural attractions; (h) Man-made attractions; (i) Density of attractions; (j) Land use type; (k) Road buffer zone; (l) Lake buffer zone.
Sustainability 17 08270 g003
Figure 4. Comprehensive sensitivity evaluation map.
Figure 4. Comprehensive sensitivity evaluation map.
Sustainability 17 08270 g004
Figure 5. Index of landscape pattern of patches. (a) PD (Patch Density) values for different land types. (b) ED (Edge Density) values for different land types. (c) PLAND (Percentage of Landscape) values for different land types. (d) LPI (Largest Patch Index) values for different land types. (e) CA (Class Area) values for different land types.
Figure 5. Index of landscape pattern of patches. (a) PD (Patch Density) values for different land types. (b) ED (Edge Density) values for different land types. (c) PLAND (Percentage of Landscape) values for different land types. (d) LPI (Largest Patch Index) values for different land types. (e) CA (Class Area) values for different land types.
Sustainability 17 08270 g005
Figure 6. Shihe District landscape zoning protection map.
Figure 6. Shihe District landscape zoning protection map.
Sustainability 17 08270 g006
Figure 7. Shihe District Landscape Optimization Diagram. (a) Zoning schematic of ecological and development control areas. (b) Cross-section of ecological water management and rainwater purification system. (c) 3D visualization of forest, water, and ecological functions for tourism and conservation.
Figure 7. Shihe District Landscape Optimization Diagram. (a) Zoning schematic of ecological and development control areas. (b) Cross-section of ecological water management and rainwater purification system. (c) 3D visualization of forest, water, and ecological functions for tourism and conservation.
Sustainability 17 08270 g007
Table 1. Data source.
Table 1. Data source.
Data TypeYearData ContentData Source
Remote Sensing Data2020Landsat 8/9 OLI_TIRS satellite imageryGeospatial Data Cloud (https://www.gscloud.cn/, accessed on 27 July 2025)
Basic geographic information2021Road vector data1:1 million public version of the basic geographic information data
Land use data2020Shihe District land use raster dataChinese Academy of Sciences Resources and Environmental Sciences and Data Center
Administrative division2020Henan Province, Xinyang City, Shihe District administrative divisionStandard map service system (https://www.mnr.gov.cn/ accessed on 11 September 2025)
DEM2020Standard map service system (https://www.mnr.gov.cn/)Geospatial Data Cloud (https://www.gscloud.cn/)
Tourism Resources2020Natural Attractions, Cultural Attractions, Historical Attractions“Xinyang City” 13th Five-Year Plan “Tourism Industry Development Plan” “Xinyang City Master Plan (2015–2030)” “Xinyang Siwang Mountain core area red tourism master plan (2015–2025)” “Shihe District overall tourism master plan manual
Table 2. The ecological sensitivity classification standard of evaluation factors.
Table 2. The ecological sensitivity classification standard of evaluation factors.
Sensitivity LevelInsensitiveLow SensitiveMedium SensitiveHigh SensitiveExtremely Sensitive
Rank assigned value12345
LandformElevation/m45~100100~200200~300300~400400~895
Slope/(°)0~22~15~1515~2525~57
AspectSouth, FlatSouthwest, SoutheastEast, WestNorthwest,
Northeast
North
Natural conditionsVegetation coverage<0.10.1~0.150.15~0.250.25~0.35>0.35
River buffer zone>800500~800200~50050~200<50
Lake buffer zone>800500~800200~50050~200<50
Tourism resourceHistorical attractions>800500~800200~500100~200<100
Natural attractions>500200~500100~20050~100<50
Man-made attractions>200100~20050~10020~50<20
Density of attractions0~0.20.2~0.40.4~0.60.6~0.680.8~1
Human activitiesLand use typeArtificial Surfaces, Bare landGrasslandForestWater BodiesCultivated Land
Road buffer zone>200150~200100~15050~100<50
Table 3. The comprehensive weight table of ecological sensitivity evaluation factors in Shihe tourist area.
Table 3. The comprehensive weight table of ecological sensitivity evaluation factors in Shihe tourist area.
Target LayerComprehensive
Evaluation Layer
Evaluation Factor Layer
IndicatorAHP EmpowermentEntropy Method
Weighting
Comprehensive
Empowerment
Order
Ecological sensitivity evaluation of Shihe tourist areaLandformElevation0.13970.11210.13723
Slope0.03670.05560.04048
Aspect0.12290.10340.11894
Natural conditionsVegetation coverage0.23140.16980.18192
River buffer zone0.05450.08670.08815
Lake buffer zone0.21910.23890.21871
Tourism resourcehistorical attractions0.02920.03010.028410
natural attractions0.03920.06920.04817
Man-made attractions0.04970.01730.020411
Density of scenic attractions0.01410.05890.03969
Human activitiesLand use type0.04370.04980.05986
Road buffer zone0.02390.01560.018612
Table 4. Shihe District factors of ecological sensitivity grading area statistics.
Table 4. Shihe District factors of ecological sensitivity grading area statistics.
Sensitivity LevelInsensitive AreaLow Sensitive AreaMedium Sensitive AreaHighly Sensitive AreaExtremely Sensitive Area
Area/km2Percentage/%Area/km2Percentage/%Area/km2Percentage/%Area/km2Percentage/%Area/km2Percentage/%
Elevation/m284.770715.95%898.299250.31%226.817712.70%164.12039.19%211.647811.85%
Slope/(°)123.92266.97%362.739720.39%826.143246.44%342.582119.26%123.65346.95%
Aspect231.634813.02%426.859923.99%453.890325.51%450.019525.30%216.650912.18%
Vegetation coverage104.70035.92%94.127525.32%205.595211.62%741.004241.88%623.864235.26%
River buffer zone753.479942.20%342.492819.18%391.518121.93%219.793612.31%78.359494.39%
Lake buffer zone71.92664.03%30.082121.68%48.438012.71%36.570742.05%1598.69489.53%
historical attractions1758.3698.47%16.650.93%8.970.50%1.280.07%0.420.02%
natural attractions1771.5799.21%11.870.67%1.690.10%0.420.02%0.140.01%
Man-made attractions1783.95299.90%1.3194690.07%0.3298670.02%0.0923630.01%0.0175930.00%
Density of attractions28.316511.59%1.8037520.10%1064.6859.62%81.35914.56%609.481434.13%
Land use type1628.5491.20%38.512.16%39.009792.18%39.548392.21%40.091732.25%
Table 5. Results of comprehensive ecological sensitivity analysis.
Table 5. Results of comprehensive ecological sensitivity analysis.
Sensitivity LevelInsensitiveLow SensitiveMedium SensitiveHigh SensitiveExtremely Sensitive
Area/km2410.05534.93392.24267.47124.82
Ratio/%23.1130.7122.9615.367.86
Table 6. Calculation results of overall landscape pattern index in Shihe District.
Table 6. Calculation results of overall landscape pattern index in Shihe District.
TA (ha)NPPDLPIEDSHDISHEI
178,693.025660.316735.995117.05620.86170.7806
Table 7. Calculation results of landscape pattern patch type index in Shihe District.
Table 7. Calculation results of landscape pattern patch type index in Shihe District.
TYPECA (ha)PLANDNPPDLPIED
Cropland35,483.4917.85721610.09015.222411.5084
Woodland126,944.171.0403420.023535.995113.6037
Grassland8531.734.77451170.06553.56374.9506
Water6739.743.77172340.13101.32773.4554
Building land993.960.5562120.00670.20650.5906
Disclaimer/Publisher’s Note: The statements, opinions and data contained in all publications are solely those of the individual author(s) and contributor(s) and not of MDPI and/or the editor(s). MDPI and/or the editor(s) disclaim responsibility for any injury to people or property resulting from any ideas, methods, instructions or products referred to in the content.

Share and Cite

MDPI and ACS Style

Shen, J.; Li, L.; Peng, L. From Conflict to Coexistence: Integrated Landscape Optimization for Sustainable Tourism in Urban Tourism Areas. Sustainability 2025, 17, 8270. https://doi.org/10.3390/su17188270

AMA Style

Shen J, Li L, Peng L. From Conflict to Coexistence: Integrated Landscape Optimization for Sustainable Tourism in Urban Tourism Areas. Sustainability. 2025; 17(18):8270. https://doi.org/10.3390/su17188270

Chicago/Turabian Style

Shen, Jie, Lei Li, and Liang Peng. 2025. "From Conflict to Coexistence: Integrated Landscape Optimization for Sustainable Tourism in Urban Tourism Areas" Sustainability 17, no. 18: 8270. https://doi.org/10.3390/su17188270

APA Style

Shen, J., Li, L., & Peng, L. (2025). From Conflict to Coexistence: Integrated Landscape Optimization for Sustainable Tourism in Urban Tourism Areas. Sustainability, 17(18), 8270. https://doi.org/10.3390/su17188270

Note that from the first issue of 2016, this journal uses article numbers instead of page numbers. See further details here.

Article Metrics

Back to TopTop