Repayment Burdens of Student Loans for Korean Higher Education
Abstract
1. Introduction
2. Student Loans in South Korea
3. Empirical Strategy
3.1. Estimating Lifetime Income by Quantile
3.2. Estimating the RB of Actual Borrowers
4. Data
5. Results
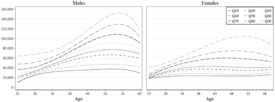
5.1. Life-Cycle Earnings Profiles
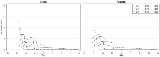
5.2. Mortgage-Type Loans
5.3. Income-Contingent Loans (ICL)
5.4. RBs of the Actual ICL Borrowers
6. Conclusions
Author Contributions
Funding
Institutional Review Board Statement
Informed Consent Statement
Data Availability Statement
Conflicts of Interest
Abbreviations
| ICL | Income-contingent Loans |
| KOSAF | Korea Student Aid Foundation |
| NTS | National Tax Service |
| RB | Repayment Burden |
| RIF | Recentered Influence Function |
Appendix A
| Years | Standard Income for Repayment After Income Deduction (US$) | CPI (%) | Real Standard Income for Repayment (US$) | Rate of Increase (%) |
|---|---|---|---|---|
| 2010 | 6780 | 87.17 | 7777.93 | |
| 2011 | 7160 | 90.68 | 7896.00 | 1.52 |
| 2012 | 7940 | 92.66 | 8568.78 | 8.52 |
| 2013 | 8500 | 93.87 | 9055.27 | 5.68 |
| 2014 | 10,530 | 95.06 | 11,076.64 | 22.32 |
| 2015 | 10,530 | 95.74 | 10,998.99 | −0.70 |
| 2016 | 10,530 | 96.67 | 10,893.12 | −0.96 |
| 2017 | 10,530 | 98.55 | 10,685.40 | −1.91 |
| 2018 | 11,860 | 100.00 | 11,860.00 | 10.99 |
| 2019 | 12,430 | 100.38 | 12,382.51 | 4.41 |
| 2020 | 13,230 | 100.92 | 13,109.08 | 5.87 |
| 2021 | 14,130 | 103.45 | 13,659.37 | 4.20 |
Appendix B
| 10th | 30th | 50th | 70th | 90th | |
|---|---|---|---|---|---|
| Base case: $10,000 loan, 15-year term, repayments begin 5 years after graduation | |||||
| Women | |||||
| Mean | 4.971 | 4.018 | 3.407 | 2.834 | 2.163 |
| Maximum | 7.767 | 5.984 | 5.325 | 4.569 | 3.357 |
| Men | |||||
| Mean | 4.652 | 3.081 | 2.514 | 2.032 | 1.386 |
| Maximum | 16.492 | 6.453 | 5.300 | 4.015 | 2.447 |
| $30,000 loan, 15-year term, repayments begin 5 years after graduation | |||||
| Women | |||||
| Mean | 14.913 | 12.053 | 10.221 | 8.503 | 6.488 |
| Maximum | 23.300 | 17.951 | 15.976 | 13.706 | 10.071 |
| Men | |||||
| Mean | 13.957 | 9.244 | 7.543 | 6.096 | 4.158 |
| Maximum | 49.477 | 19.358 | 15.900 | 12.045 | 7.341 |
| $10,000 loan, 20-year term, repayments begin 10 years after graduation | |||||
| Women | |||||
| Mean | 4.103 | 3.176 | 2.580 | 2.066 | 1.554 |
| Maximum | 7.767 | 5.890 | 4.739 | 3.914 | 3.114 |
| Men | |||||
| Mean | 3.117 | 1.838 | 1.468 | 1.212 | 0.915 |
| Maximum | 16.492 | 3.565 | 3.084 | 2.654 | 1.891 |
| $30,000 loan, 20-year term, repayments begin 10 years after graduation | |||||
| Women | |||||
| Mean | 12.309 | 9.528 | 7.741 | 6.198 | 4.661 |
| Maximum | 23.300 | 17.669 | 14.217 | 11.743 | 9.341 |
| Men | |||||
| Mean | 9.351 | 5.515 | 4.404 | 3.637 | 2.746 |
| Maximum | 49.477 | 10.696 | 9.251 | 7.961 | 5.672 |
| 10th | 30th | 50th | 70th | 90th | |
|---|---|---|---|---|---|
| Base case: $10,000 loan, 15-year term, repayments begin 5 years after graduation | |||||
| Women | |||||
| Mean | 3.729 | 2.944 | 2.384 | 1.912 | 1.341 |
| Maximum | 5.801 | 5.072 | 4.188 | 3.311 | 2.149 |
| Men | |||||
| Mean | 7.447 | 2.110 | 1.569 | 1.212 | 0.895 |
| Maximum | 67.600 | 3.965 | 2.904 | 2.026 | 1.413 |
| $30,000 loan, 15-year term, repayments begin 5 years after graduation | |||||
| Women | |||||
| Mean | 11.188 | 8.833 | 7.151 | 5.735 | 4.022 |
| Maximum | 17.403 | 15.217 | 12.565 | 9.932 | 6.446 |
| Men | |||||
| Mean | 22.341 | 6.329 | 4.706 | 3.637 | 2.684 |
| Maximum | 202.801 | 11.894 | 8.711 | 6.078 | 4.240 |
| $10,000 loan, 20-year term, repayments begin 10 years after graduation | |||||
| Women | |||||
| Mean | 2.844 | 2.042 | 1.615 | 1.294 | 0.951 |
| Maximum | 5.143 | 3.780 | 3.056 | 2.524 | 1.865 |
| Men | |||||
| Mean | 5.208 | 1.308 | 0.978 | 0.800 | 0.635 |
| Maximum | 67.600 | 2.386 | 2.031 | 1.670 | 1.240 |
| $30,000 loan, 20-year term, repayments begin 10 years after graduation | |||||
| Women | |||||
| Mean | 8.532 | 6.127 | 4.844 | 3.881 | 2.853 |
| Maximum | 15.429 | 11.341 | 9.169 | 7.572 | 5.594 |
| Men | |||||
| Mean | 15.625 | 3.924 | 2.934 | 2.401 | 1.904 |
| Maximum | 202.801 | 7.158 | 6.092 | 5.011 | 3.719 |
| 10th | 30th | 50th | 70th | 90th | |
|---|---|---|---|---|---|
| Base case: $10,000 loan, repayments begin 1 year after graduation, at age 38 (15 years later) | |||||
| Mean% principal repaid | 57 | 100 | 100 | 100 | 100 |
| # years payment | 9 | 9 | 9 | 6 | 2 |
| Age final payment | 43 | 36 | 34 | 31 | 27 |
| Repayment burdens | 2.97 | 3.83 | 4.24 | 7.39 | 8.98 |
| Mean monthly payment | 66 | 103 | 101 | 147 | 434 |
| Mean payment, 21–29 | - | 24 | 51 | 162 | 434 |
| Total repayments | 7095 | 11,117 | 10,877 | 10,587 | 10,405 |
| Total discounted by 2% | 5729 | 9265 | 9486 | 9743 | 9910 |
| $30,000 loan, repayments begin 1 year after graduation, at age 38 (15 years later) | |||||
| Mean% principal repaid | 8 | 46 | 87 | 100 | 100 |
| # years payment | 9 | 11 | 13 | 11 | 6 |
| Age final payment | - | 43 | 39 | 36 | 31 |
| Repayment burdens | 2.97 | 5.10 | 6.45 | 8.02 | 10.78 |
| Mean monthly payment | 66 | 136 | 192 | 250 | 441 |
| Mean payment, 21–29 | - | 24 | 51 | 162 | 472 |
| Total repayments | 7095 | 18,008 | 29,980 | 32,940 | 31,785 |
| Total discounted by 2% | 5729 | 14,564 | 24,474 | 28,214 | 29,210 |
| $10,000 loan, repayments begin 1 year after graduation, at age 43 (20 years later) | |||||
| Mean% principal repaid | 100 | 100 | 100 | 100 | 100 |
| # years payment | 14 | 9 | 9 | 6 | 2 |
| Age final payment | 43 | 36 | 34 | 31 | 27 |
| Repayment burdens | 2.95 | 3.83 | 4.24 | 7.39 | 8.98 |
| Mean monthly payment | 69 | 103 | 101 | 147 | 434 |
| Mean payment, 21–29 | - | 24 | 51 | 162 | 434 |
| Total repayments | 11,527 | 11,117 | 10,877 | 10,587 | 10,405 |
| Total discounted by 2% | 8922 | 9265 | 9486 | 9743 | 9910 |
| $30,000 loan, repayments begin 1 year after graduation, at age 43 (20 years later) | |||||
| Mean% principal repaid | 21 | 100 | 100 | 100 | 100 |
| # years payment | 14 | 16 | 14 | 11 | 6 |
| Age final payment | - | 43 | 39 | 36 | 31 |
| Repayment burdens | 3.17 | 5.93 | 6.03 | 8.02 | 10.78 |
| Mean monthly payment | 74 | 181 | 202 | 250 | 441 |
| Mean payment, 21–29 | - | 24 | 51 | 162 | 472 |
| Total repayments | 12,379 | 34,840 | 33,907 | 32,940 | 31,785 |
| Total discounted by 2% | 9507 | 26,597 | 27,392 | 28,214 | 29,210 |
| 10th | 30th | 50th | 70th | 90th | |
|---|---|---|---|---|---|
| Base case: $10,000 loan, repayments begin 1 year after graduation, at age 36 (15 years later) | |||||
| Mean% principal repaid | 0 | 46 | 100 | 100 | 100 |
| # years payment | 0 | 12 | 11 | 8 | 4 |
| Age final payment | - | . | 34 | 31 | 27 |
| Mean RBs | - | 2.68 | 3.95 | 5.45 | 8.68 |
| Mean monthly payment | - | 42 | 83 | 112 | 219 |
| Mean payment, 21–29 | . | 31 | 60 | 114 | 219 |
| Total repayments | 0 | 6000 | 11,011 | 10,764 | 10,519 |
| Total discounted by 2% | 0 | 5000 | 9375 | 9586 | 9805 |
| $30,000 loan, repayments begin 1 year after graduation, at age 36 (15 years later) | |||||
| Mean% principal repaid | 0 | 5 | 33 | 73 | 100 |
| # years payment | 0 | 12 | 13 | 13 | 10 |
| Age final payment | - | . | 58 | 39 | 33 |
| Mean RBs | - | 2.68 | 4.92 | 7.05 | 9.04 |
| Mean monthly payment | - | 42 | 91 | 165 | 272 |
| Mean payment, 21–29 | - | 31 | 60 | 114 | 251 |
| Total repayments | 0 | 6000 | 14,259 | 25,761 | 32,600 |
| Total discounted by 2% | 0 | 5000 | 11,869 | 21,486 | 28,501 |
| $10,000 loan, repayments begin 1 year after graduation, at age 41 (20 years later) | |||||
| Mean% principal repaid | 0 | 67 | 100 | 100 | 100 |
| # years payment | 0 | 17 | 11 | 8 | 4 |
| Age final payment | - | . | 34 | 31 | 27 |
| Mean RBs | - | 2.66 | 3.95 | 5.45 | 8.68 |
| Mean monthly payment | - | 41 | 83 | 112 | 219 |
| Mean payment, 21–29 | - | 31 | 60 | 114 | 219 |
| Total repayments | 0 | 8342 | 11,011 | 10,764 | 10,519 |
| Total discounted by 2% | 0 | 6679 | 9375 | 9586 | 9805 |
| $30,000 loan, repayments begin 1 year after graduation, at age 41 (20 years later) | |||||
| Mean% principal repaid | 0 | 8 | 55 | 100 | 100 |
| # years payment | 0 | 17 | 18 | 16 | 10 |
| Age final payment | - | . | 58 | 39 | 33 |
| Mean RBs | - | 2.64 | 5.30 | 7.05 | 9.04 |
| Mean monthly payment | - | 41 | 101 | 177 | 272 |
| Mean payment, 21–29 | - | 31 | 60 | 114 | 251 |
| Total repayments | 0 | 8342 | 21,750 | 33,907 | 32,600 |
| Total discounted by 2% | 0 | 6679 | 17,220 | 27,429 | 28,501 |
| 10th | 30th | 50th | 70th | 90th | |
|---|---|---|---|---|---|
| Base case: $10,000 loan, repayments begin 1 year after graduation, at age 38 (15 years later) | |||||
| Mean% principal repaid | 1 | 100 | 100 | 100 | 100 |
| # years payment | 9 | 10 | 10 | 6 | 2 |
| Age final payment | - | 38 | 35 | 31 | 27 |
| Repayment burdens | 1.54 | 3.67 | 3.98 | 6.13 | 9.14 |
| Mean monthly payment | 33 | 107 | 100 | 155 | 443 |
| Mean payment, 21–29 | - | 22 | 45 | 155 | 443 |
| Total repayments | 3591 | 12,873 | 12,046 | 11,157 | 10,631 |
| Total discounted by 2% | 2932 | 10,434 | 10,368 | 10,219 | 10,123 |
| $30,000 loan, repayments begin 1 year after graduation, at age 38 (15 years later) | |||||
| Mean% principal repaid | 0 | 11 | 54 | 100 | 100 |
| # years payment | 9 | 10 | 13 | 12 | 6 |
| Age final payment | - | 50 | 42 | 37 | 31 |
| Repayment burdens | 1.54 | 4.24 | 5.57 | 7.81 | 11.21 |
| Mean monthly payment | 33 | 115 | 166 | 258 | 465 |
| Mean payment, 21–29 | - | 22 | 45 | 155 | 466 |
| Total repayments | 3591 | 13,826 | 25,829 | 37,099 | 33,470 |
| Total discounted by 2% | 2932 | 11,156 | 21,096 | 31,275 | 30,656 |
| $10,000 loan, repayments begin 1 year after graduation, at age 43 (20 years later) | |||||
| Mean% principal repaid | 4 | 100 | 100 | 100 | 100 |
| # years payment | 13 | 10 | 10 | 6 | 2 |
| Age final payment | - | 38 | 35 | 31 | 27 |
| Repayment burdens | 1.41 | 3.67 | 3.98 | 6.13 | 9.14 |
| Mean monthly payment | 32 | 107 | 100 | 155 | 443 |
| Mean payment, 21–29 | - | 22 | 45 | 155 | 443 |
| Total repayments | 4930 | 12,873 | 12,046 | 11,157 | 10,631 |
| Total discounted by 2% | 3899 | 10,434 | 10,368 | 10,219 | 10,123 |
| $30,000 loan, repayments begin 1 year after graduation, at age 43 (20 years later) | |||||
| Mean% principal repaid | 0 | 46 | 100 | 100 | 100 |
| # years payment | 13 | 15 | 17 | 12 | 6 |
| Age final payment | - | 50 | 42 | 37 | 31 |
| Repayment burdens | 1.41 | 4.92 | 5.80 | 7.81 | 11.21 |
| Mean monthly payment | 32 | 151 | 198 | 258 | 465 |
| Mean payment, 21–29 | - | 22 | 45 | 155 | 466 |
| Total repayments | 4930 | 27,128 | 40,354 | 37,099 | 33,470 |
| Total discounted by 2% | 3899 | 20,648 | 31,654 | 31,275 | 30,656 |
| 10th | 30th | 50th | 70th | 90th | |
|---|---|---|---|---|---|
| Base case: $10,000 loan, repayments begin 1 year after graduation, at age 36 (15 years later) | |||||
| Mean% principal repaid | 0 | 0 | 86 | 100 | 100 |
| # years payment | 0 | 11 | 13 | 9 | 5 |
| Age final payment | - | - | 38 | 32 | 28 |
| Mean RBs | - | 1.49 | 3.48 | 4.89 | 6.70 |
| Mean monthly payment | - | 23 | 72 | 108 | 182 |
| Mean payment, 21–29 | - | 24 | 51 | 104 | 182 |
| Total repayments | 0 | 3063 | 11,232 | 11,700 | 10,947 |
| Total discounted by 2% | 0 | 2578 | 9386 | 10,314 | 10,181 |
| $30,000 loan, repayments begin 1 year after graduation, at age 36 (15 years later) | |||||
| Mean% principal repaid | 0 | 0 | 2 | 45 | 100 |
| # years payment | 0 | 11 | 13 | 13 | 11 |
| Age final payment | - | - | - | 44 | 34 |
| Mean RBs | - | 1.49 | 3.89 | 6.51 | 8.53 |
| Mean monthly payment | - | 23 | 72 | 146 | 273 |
| Mean payment, 21–29 | - | 24 | 51 | 104 | 241 |
| Total repayments | 0 | 3063 | 11,232 | 22,706 | 36,018 |
| Total discounted by 2% | 0 | 2578 | 9386 | 18,977 | 31,094 |
| $10,000 loan, repayments begin 1 year after graduation, at age 41 (20 years later) | |||||
| Mean% principal repaid | 0 | 0 | 100 | 100 | 100 |
| # years payment | 0 | 12 | 15 | 9 | 5 |
| Age final payment | - | - | 38 | 32 | 28 |
| Mean RBs | - | 1.46 | 3.48 | 4.89 | 6.70 |
| Mean monthly payment | - | 23 | 71 | 108 | 182 |
| Mean payment, 21–29 | - | 24 | 51 | 104 | 182 |
| Total repayments | 0 | 3278 | 12,699 | 11,700 | 10,947 |
| Total discounted by 2% | 0 | 2737 | 10,469 | 10,314 | 10,181 |
| $30,000 loan, repayments begin 1 year after graduation, at age 41 (20 years later) | |||||
| Mean% principal repaid | 0 | 0 | 5 | 80 | 100 |
| # years payment | 0 | 12 | 18 | 18 | 11 |
| Age final payment | - | - | - | 44 | 34 |
| Mean RBs | - | 1.46 | 3.86 | 6.23 | 8.53 |
| Mean monthly payment | - | 23 | 73 | 162 | 273 |
| Mean payment, 21–29 | - | 24 | 51 | 104 | 241 |
| Total repayments | 0 | 3278 | 15,707 | 35,057 | 36,018 |
| Total discounted by 2% | 0 | 2737 | 12,592 | 27,794 | 31,094 |
References
- Belley, P.; Lochner, L. The changing role of family income and ability in determining educational achievement. J. Hum. Cap. 2007, 1, 37–89. [Google Scholar] [CrossRef]
- Lochner, L.J.; Monge-Naranjo, A. The nature of credit constraints and human capital. Am. Econ. Rev. 2011, 101, 2487–2529. [Google Scholar] [CrossRef]
- Contini, D.; Zotti, A. Do financial conditions play a role in university dropout? New evidence from administrative data. In Teaching, Research and Academic Careers: An Analysis of the Interrelations and Impacts; Springer: Cham, Switzerland, 2022; pp. 39–70. [Google Scholar]
- Manski, C.F. Parental Income and College Opportunity; Democratic Study Center: Washington, DC, USA, 1992. [Google Scholar]
- Stinebrickner, R.; Stinebrickner, T.R. Understanding educational outcomes of students from low-income families: Evidence from a liberal arts college with a full tuition subsidy program. J. Hum. Resour. 2003, 38, 591–617. [Google Scholar] [CrossRef]
- OECD. Education at a Glance 2015: OECD Indicators; OECD Publishing: Paris, France, 2015. [Google Scholar]
- Barr, N.; Chapman, B.; Dearden, L.; Dynarski, S. The US college loans system: Lessons from Australia and England. Econ. Educ. Rev. 2019, 71, 32–48. [Google Scholar] [CrossRef]
- Kim, J.; Wiederspan, M. Evaluating South Korea’s introduction of an income contingent loan program. Res. High. Educ. 2021, 62, 1–25. [Google Scholar] [CrossRef]
- Chapman, B.; Doris, A. Modelling higher education financing reform for Ireland. Econ. Educ. Rev. 2019, 71, 109–119. [Google Scholar] [CrossRef]
- Chapman, B.; Liu, A.Y. Repayment burdens of student loans for Vietnamese higher education. Econ. Educ. Rev. 2013, 37, 298–308. [Google Scholar] [CrossRef]
- Armstrong, S.; Dearden, L.; Kobayashi, M.; Nagase, N. Student loans in Japan: Current problems and possible solutions. Econ. Educ. Rev. 2019, 71, 120–134. [Google Scholar]
- Kim, T. Higher education reforms in South Korea: Public—Private problems in internationalising and incorporating universities. Policy Futures Educ. 2008, 6, 558–568. [Google Scholar] [CrossRef]
- Song, K.C. A discussion on the enactment plan of the grant law for higher education. J. Econ. Financ. Educ. 2010, 19, 125–153. [Google Scholar]
- Hong, H.K.; Chae, J.E. Student loan policies in Korea: Evolution, opportunities and challenges. Educ. Res. J. 2011, 26, 99–122. [Google Scholar]
- Ban, S.J. The policy suggestions for higher education financial expansion to overcome the structural crisis in higher education system. J. Econ. Financ. Educ. 2023, 32, 31–58. [Google Scholar]
- Statistics Korea. Middle-Income Bracket. Available online: https://kostat.go.kr/menu.es?mid=b80304020000 (accessed on 7 August 2025).
- Kim, D.W.; Ban, J.Y. A Study on the research trends in government student loans using text mining. Educ. Res. Tomorrow 2021, 34, 23–52. [Google Scholar] [CrossRef]
- Kim, J.Y. Student loans and housing behaviors: Focused on Korean millennials. Hous. Stud. Rev. 2022, 30, 5–30. [Google Scholar]
- Firpo, S.; Fortin, N.M.; Lemieux, T. Unconditional quantile regressions. Econometrica 2009, 77, 953–973. [Google Scholar] [CrossRef]
- Kantor, D. MAHAPICK: Stata Module to Select Matching Observations Based on a Mahalanobis Distance Measure. 2012. Available online: https://econpapers.repec.org/software/bocbocode/s456703.htm (accessed on 7 September 2025).
- Baum, S.; Schwartz, S. How Much Debt Is Too Much? Defining Benchmarks for Manageable Student Debt. College Board. 2006. Available online: https://ticas.org/files/pub_files/Manageable_Debt_FINAL_4.20.06.pdf (accessed on 7 September 2025).



| Men | Women | All | ||
|---|---|---|---|---|
| Annual earnings (US$) | 49,395.464 | 35,342.407 | 44,063.858 | |
| (25,666.653) | (18,062.757) | (24,064.967) | ||
| Age | 39.416 | 34.820 | 37.672 | |
| (8.872) | (8.944) | (9.175) | ||
| Hours per week | 38.161 | 36.750 | 37.626 | |
| (6.360) | (6.001) | (6.264) | ||
| Education | Junior college | 0.250 | 0.313 | 0.274 |
| (0.433) | (0.464) | (0.446) | ||
| College graduate | 0.750 | 0.687 | 0.726 | |
| (0.433) | (0.464) | (0.446) | ||
| Number of observations | 274,234 | 167,645 | 441,879 | |
| Men | Women | All | ||
|---|---|---|---|---|
| University entry age | 19.674 | 19.303 | 19.459 | |
| (1.831) | (1.543) | (1.680) | ||
| Education | University entry age | 0.275 | 0.377 | 0.334 |
| (0.447) | (0.485) | (0.472) | ||
| Junior college | 0.725 | 0.623 | 0.666 | |
| (0.447) | (0.485) | (0.472) | ||
| Attending four years of university | 0.711 | 0.632 | 0.665 | |
| (0.453) | (0.482) | (0.472) | ||
| Attending state university | 0.118 | 0.070 | 0.090 | |
| (0.322) | (0.254) | (0.286) | ||
| Tuition (US$) | 3447.324 | 3606.427 | 3539.375 | |
| (897.544) | (872.517) | (886.632) | ||
| Age of first ICL use | 22.796 | 20.187 | 21.287 | |
| (1.573) | (1.551) | (2.023) | ||
| Major | Engineering | 0.430 | 0.119 | 0.250 |
| (0.495) | (0.324) | (0.433) | ||
| Social | 0.200 | 0.230 | 0.217 | |
| (0.400) | (0.421) | (0.412) | ||
| Natural | 0.115 | 0.181 | 0.153 | |
| (0.319) | (0.385) | (0.360) | ||
| Arts and sports | 0.102 | 0.168 | 0.140 | |
| (0.303) | (0.374) | (0.347) | ||
| Humanities | 0.098 | 0.151 | 0.129 | |
| (0.297) | (0.359) | (0.335) | ||
| Medicine | 0.035 | 0.106 | 0.076 | |
| (0.185) | (0.307) | (0.265) | ||
| Education | 0.017 | 0.040 | 0.030 | |
| (0.128) | (0.195) | (0.170) | ||
| Others | 0.004 | 0.005 | 0.004 | |
| (0.060) | (0.070) | (0.066) | ||
| Family income section | Below the standard median income | 0.801 | 0.781 | 0.790 |
| (0.399) | (0.414) | (0.408) | ||
| Above the standard median income | 0.199 | 0.219 | 0.210 | |
| (0.399) | (0.414) | (0.408) | ||
| Multi-child Family | 0.145 | 0.152 | 0.149 | |
| (0.352) | (0.359) | (0.356) | ||
| Number of observations | 28,756 | 39,449 | 68,205 | |
| 10th | 30th | 50th | 70th | 90th | |
|---|---|---|---|---|---|
| Base case: $10,000 loan, 15-year term, repayments begin 5 years after graduation | |||||
| Women | |||||
| Mean | 5.335 | 4.344 | 3.707 | 3.088 | 2.329 |
| Maximum | 8.061 | 6.211 | 5.527 | 4.742 | 3.484 |
| Men | |||||
| Mean | 5.819 | 3.461 | 2.763 | 2.204 | 1.496 |
| Maximum | 28.037 | 6.697 | 5.501 | 4.167 | 2.540 |
| $30,000 loan, 15-year term, repayments begin 5 years after graduation | |||||
| Women | |||||
| Mean | 16.004 | 13.032 | 11.120 | 9.264 | 6.987 |
| Maximum | 24.184 | 18.632 | 16.582 | 14.226 | 10.453 |
| Men | |||||
| Mean | 17.458 | 10.382 | 8.289 | 6.612 | 4.489 |
| Maximum | 84.111 | 20.092 | 16.503 | 12.501 | 7.620 |
| $10,000 loan, 20-year term, repayments begin 10 years after graduation | |||||
| Women | |||||
| Mean | 4.497 | 3.515 | 2.882 | 2.319 | 1.726 |
| Maximum | 8.061 | 6.113 | 4.919 | 4.063 | 3.232 |
| Men | |||||
| Mean | 4.065 | 2.182 | 1.704 | 1.382 | 1.027 |
| Maximum | 28.037 | 3.701 | 3.201 | 2.754 | 1.962 |
| $30,000 loan, 20-year term, repayments begin 10 years after graduation | |||||
| Women | |||||
| Mean | 13.491 | 10.546 | 8.647 | 6.957 | 5.177 |
| Maximum | 24.184 | 18.339 | 14.756 | 12.188 | 9.695 |
| Men | |||||
| Mean | 12.196 | 6.546 | 5.112 | 4.145 | 3.081 |
| Maximum | 84.111 | 11.102 | 9.602 | 8.263 | 5.887 |
| 10th | 30th | 50th | 70th | 90th | |
|---|---|---|---|---|---|
| Base case: $10,000 loan, repayments begin 1 year after graduation | |||||
| Women | |||||
| Mean | - | 1.369 | 2.772 | 4.708 | 6.591 |
| Maximum | - | 1.538 | 3.720 | 6.063 | 8.613 |
| Men | |||||
| Mean | 1.271 | 3.049 | 3.757 | 5.999 | 9.055 |
| Maximum | 1.340 | 4.293 | 5.546 | 7.052 | 13.048 |
| $30,000 loan, repayments begin 1 year after graduation | |||||
| Women | |||||
| Mean | - | 1.369 | 2.562 | 5.803 | 8.214 |
| Maximum | - | 1.538 | 3.720 | 6.792 | 9.676 |
| Men | |||||
| Mean | 1.271 | 3.091 | 5.301 | 7.419 | 10.977 |
| Maximum | 1.340 | 4.329 | 7.601 | 8.574 | 13.048 |
| (a) | |||||
| 10th | 30th | 50th | 70th | 90th | |
| Base case: $10,000 loan, repayments begin 1 year after graduation, at age 38 (15 years later) | |||||
| Mean% principal repaid | 0 | 82 | 100 | 100 | 100 |
| # years payment | 4 | 10 | 10 | 6 | 2 |
| Age final payment | - | 40 | 35 | 31 | 27 |
| Repayment burdens | 1.27 | 3.18 | 3.76 | 6.00 | 9.06 |
| Mean monthly payment | 27 | 86 | 96 | 151 | 438 |
| Mean payment, 21–29 | - | 22 | 40 | 149 | 438 |
| Total repayments | 1297 | 10,317 | 11,508 | 10,869 | 10,511 |
| Total discounted by 2% | 1075 | 8333 | 9850 | 9951 | 10,009 |
| $30,000 loan, repayments begin 1 year after graduation, at age 38 (15 years later) | |||||
| Mean% principal repaid | 0 | 10 | 51 | 100 | 100 |
| # years payment | 4 | 10 | 13 | 13 | 6 |
| Age final payment | - | - | 42 | 38 | 31 |
| Repayment burdens | 1.27 | 3.18 | 4.79 | 7.42 | 10.98 |
| Mean monthly payment | 27 | 86 | 142 | 224 | 452 |
| Mean payment, 21–29 | - | 22 | 40 | 149 | 460 |
| Total repayments | 1297 | 10,317 | 22,081 | 35,014 | 32,573 |
| Total discounted by 2% | 1075 | 8333 | 18,053 | 29,492 | 29,858 |
| $10,000 loan, repayments begin 1 year after graduation, at age 43 (20 years later) | |||||
| Mean% principal repaid | 0 | 100 | 100 | 100 | 100 |
| # years payment | 4 | 12 | 10 | 6 | 2 |
| Age final payment | - | 40 | 35 | 31 | 27 |
| Repayment burdens | 1.27 | 3.05 | 3.76 | 6.00 | 9.06 |
| Mean monthly payment | 27 | 84 | 96 | 151 | 438 |
| Mean payment, 21–29 | - | 22 | 40 | 149 | 438 |
| Total repayments | 1297 | 12,165 | 11,508 | 10,869 | 10,511 |
| Total discounted by 2% | 1075 | 9705 | 9850 | 9951 | 10,009 |
| $30,000 loan, repayments begin 1 year after graduation, at age 43 (20 years later) | |||||
| Mean% principal repaid | 0 | 32 | 100 | 100 | 100 |
| # years payment | 4 | 15 | 17 | 13 | 6 |
| Age final payment | - | - | 42 | 38 | 31 |
| Repayment burdens | 1.27 | 3.50 | 5.30 | 7.42 | 10.98 |
| Mean monthly payment | 27 | 106 | 183 | 224 | 452 |
| Mean payment, 21–29 | - | 22 | 40 | 149 | 460 |
| Total repayments | 1297 | 19,084 | 37,373 | 35,014 | 32,573 |
| Total discounted by 2% | 1075 | 14,598 | 29,081 | 29,492 | 29,858 |
| (b) | |||||
| 10th | 30th | 50th | 70th | 90th | |
| Base case: $10,000 loan, repayments begin 1 year after graduation, at age 36 (15 years later) | |||||
| Mean% principal repaid | 0 | 0 | 66 | 100 | 100 |
| # years payment | 0 | 7 | 13 | 9 | 5 |
| Age final payment | - | - | - | 32 | 28 |
| Mean RBs | - | 1.37 | 2.77 | 4.71 | 6.59 |
| Mean monthly payment | - | 21 | 55 | 104 | 179 |
| Mean payment, 21–29 | - | 23 | 43 | 96 | 179 |
| Total repayments | 0 | 1793 | 8542 | 11,254 | 10,724 |
| Total discounted by 2% | 0 | 1566 | 7189 | 9891 | 9974 |
| $30,000 loan, repayments begin 1 year after graduation, at age 36 (15 years later) | |||||
| Mean% principal repaid | 0 | 0 | 4 | 45 | 100 |
| # years payment | 0 | 7 | 13 | 13 | 11 |
| Age final payment | - | - | - | - | 34 |
| Mean RBs | - | 1.37 | 2.98 | 5.74 | 8.21 |
| Mean monthly payment | - | 21 | 55 | 128 | 260 |
| Mean payment, 21–29 | - | 23 | 43 | 96 | 233 |
| Total repayments | 0 | 1793 | 8542 | 19,964 | 34,257 |
| Total discounted by 2% | 0 | 1566 | 7189 | 16,730 | 29,603 |
| $10,000 loan, repayments begin 1 year after graduation, at age 41 (20 years later) | |||||
| Mean% principal repaid | 0 | 0 | 81 | 100 | 100 |
| # years payment | 0 | 7 | 18 | 9 | 5 |
| Age final payment | - | - | - | 32 | 28 |
| Mean RBs | - | 1.37 | 2.77 | 4.71 | 6.59 |
| Mean monthly payment | - | 21 | 48 | 104 | 179 |
| Mean payment, 21–29 | - | 23 | 43 | 96 | 179 |
| Total repayments | 0 | 1793 | 10,292 | 11,254 | 10,724 |
| Total discounted by 2% | 0 | 1566 | 8452 | 9891 | 9974 |
| $30,000 loan, repayments begin 1 year after graduation, at age 41 (20 years later) | |||||
| Mean% principal repaid | 0 | 0 | 4 | 72 | 100 |
| # years payment | 0 | 7 | 18 | 18 | 11 |
| Age final payment | - | - | - | - | 34 |
| Mean RBs | - | 1.37 | 2.56 | 5.80 | 8.21 |
| Mean monthly payment | - | 21 | 48 | 136 | 260 |
| Mean payment, 21–29 | - | 23 | 43 | 96 | 233 |
| Total repayments | 0 | 1793 | 10,292 | 29,344 | 34,257 |
| Total discounted by 2% | 0 | 1566 | 8452 | 23,436 | 29,603 |
| (a) | |||||
| 10th | 30th | 50th | 70th | 90th | |
| Average loan amount, repayments begin 1 year after graduation, at age 40 (15 years later) | |||||
| Mean% principal repaid | 57 | 100 | 100 | 100 | 100 |
| # years payment | 13 | 10 | 8 | 6 | 3 |
| Age final payment | - | 36 | 34 | 32 | 29 |
| Mean RBs | 2.97 | 4.96 | 6.14 | 7.58 | 10.28 |
| Mean monthly payment | 70 | 131 | 167 | 236 | 502 |
| Mean payment, 21–29 | 32 | 51 | 129 | 272 | 502 |
| Total repayments | 10,892 | 15,763 | 16,061 | 16,984 | 18,074 |
| Total discounted by 2% | 9033 | 13,510 | 14,337 | 15,674 | 17,164 |
| Average loan amount, repayments begin 1 year after graduation, at age 45 (20 years later) | |||||
| Mean% principal repaid | 67 | 100 | 100 | 100 | 100 |
| # years payment | 17 | 10 | 8 | 6 | 3 |
| Age final payment | - | 36 | 34 | 32 | 29 |
| Mean RBs | 2.58 | 4.96 | 6.14 | 7.58 | 10.28 |
| Mean monthly payment | 62 | 131 | 167 | 236 | 502 |
| Mean payment, 21–29 | 32 | 51 | 129 | 272 | 502 |
| Total repayments | 12,591 | 15,763 | 16,061 | 16,984 | 18,074 |
| Total discounted by 2% | 10,239 | 13,510 | 14,337 | 15,674 | 17,164 |
| Mean loan amount | 13,324 | 13,344 | 14,099 | 15,398 | 16,907 |
| Number of borrowers | 4444 | 686 | 1113 | 1426 | 4253 |
| (%) | (15.45) | (2.39) | (3.87) | (4.96) | (14.79) |
| (b) | |||||
| 10th | 30th | 50th | 70th | 90th | |
| Average loan amount, repayments begin 1 year after graduation, at age 38 (15 years later) | |||||
| Mean% principal repaid | 0 | 71 | 100 | 100 | 100 |
| # years payment | 5 | 14 | 9 | 7 | 4 |
| Age final payment | - | - | 33 | 31 | 28 |
| Mean RBs | 1.74 | 3.19 | 5.73 | 6.75 | 10.12 |
| Mean monthly payment | 30 | 73 | 148 | 193 | 359 |
| Mean payment, 21–29 | 30 | 74 | 131 | 211 | 359 |
| Total repayments | 1800 | 12,201 | 16,013 | 16,242 | 17,212 |
| Total discounted by 2% | 1664 | 10,422 | 14,133 | 14,758 | 16,069 |
| Average loan amount, repayments begin 1 year after graduation, at age 43 (20 years later) | |||||
| Mean% principal repaid | 0 | 73 | 100 | 100 | 100 |
| # years payment | 5 | 15 | 9 | 7 | 4 |
| Age final payment | - | - | 33 | 31 | 28 |
| Mean RBs | 1.74 | 3.06 | 5.73 | 6.75 | 10.12 |
| Mean monthly payment | 30 | 70 | 148 | 193 | 359 |
| Mean payment, 21–29 | 30 | 74 | 131 | 211 | 359 |
| Total repayments | 1800 | 12,561 | 16,013 | 16,242 | 17,212 |
| Total discounted by 2% | 1664 | 10,684 | 14,133 | 14,758 | 16,069 |
| Mean loan amount | 14,000 | 13,129 | 13,915 | 14,497 | 15,797 |
| Number of borrowers | 9978 | 500 | 640 | 1057 | 8710 |
| (%) | (25.29) | (1.27) | (1.62) | (2.68) | (22.08) |
Disclaimer/Publisher’s Note: The statements, opinions and data contained in all publications are solely those of the individual author(s) and contributor(s) and not of MDPI and/or the editor(s). MDPI and/or the editor(s) disclaim responsibility for any injury to people or property resulting from any ideas, methods, instructions or products referred to in the content. |
© 2025 by the authors. Licensee MDPI, Basel, Switzerland. This article is an open access article distributed under the terms and conditions of the Creative Commons Attribution (CC BY) license (https://creativecommons.org/licenses/by/4.0/).
Share and Cite
Kim, J.; Moon, Y.; Choe, C. Repayment Burdens of Student Loans for Korean Higher Education. Sustainability 2025, 17, 8118. https://doi.org/10.3390/su17188118
Kim J, Moon Y, Choe C. Repayment Burdens of Student Loans for Korean Higher Education. Sustainability. 2025; 17(18):8118. https://doi.org/10.3390/su17188118
Chicago/Turabian StyleKim, JinYeong, Yeogyoung Moon, and Chung Choe. 2025. "Repayment Burdens of Student Loans for Korean Higher Education" Sustainability 17, no. 18: 8118. https://doi.org/10.3390/su17188118
APA StyleKim, J., Moon, Y., & Choe, C. (2025). Repayment Burdens of Student Loans for Korean Higher Education. Sustainability, 17(18), 8118. https://doi.org/10.3390/su17188118
