Sign in to use this feature.

Years

Between: -

Subjects

remove_circle_outline
remove_circle_outline
remove_circle_outline
remove_circle_outline
remove_circle_outline
remove_circle_outline
remove_circle_outline

Journals

Article Types

Countries / Regions

Search Results (25)

Search Parameters:
Keywords = RIF regression

Order results
Result details
Results per page
Select all
Export citation of selected articles as:
28 pages, 12083 KB  
Article
Statistical and Geomatic Approaches to Typological Characterization and Susceptibility Mapping of Mass Movements in Northwestern Morocco’s Alpine Zone
by Mohamed Mastere, Ayyoub Sbihi, Anas El Ouali, Sanae Bekkali, Oussama Arab, Danielle Nel Sanders, Benyounes Taj, Ibrahim Ouchen, Noamen Rebai and Ali Bounab
Geomatics 2025, 5(4), 51; https://doi.org/10.3390/geomatics5040051 - 3 Oct 2025
Viewed by 182
Abstract
The Rif Mountains in northern Morocco are highly exposed to geohazards, particularly earthquakes and mass movements. In this context, the Zoumi region is most affected, showing various mass movement types involving both unconsolidated and solid materials. This study evaluates the region’s susceptibility to [...] Read more.
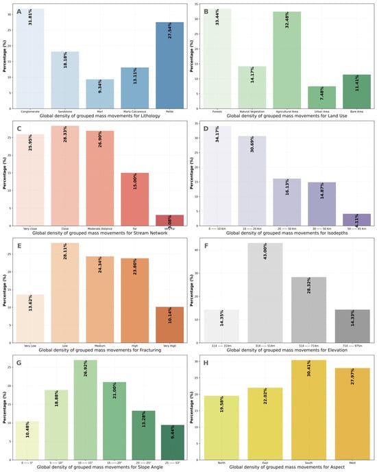
The Rif Mountains in northern Morocco are highly exposed to geohazards, particularly earthquakes and mass movements. In this context, the Zoumi region is most affected, showing various mass movement types involving both unconsolidated and solid materials. This study evaluates the region’s susceptibility to mass movements using logistic regression (LR), applied for the first time in this area. The model incorporates eight key predisposing factors known to influence mass movement: slope gradient, slope aspect, land use, drainage density, elevation, lithology, fracturing density, and earthquake isodepths. Historical mass movements were mapped using remote sensing and field surveys, and statistical analysis calculation was conducted to analyze their spatial correlation with these environmental conditioning factors. A mass movement susceptibility (MMS) map was produced, classifying the region into four susceptibility levels, ranging from low to very high. Landslides were the most frequent movement type (36%). The LR model showed strong predictive performance, with an AUC of 88%, confirming its robustness. The final map reveals that 42% of the Zoumi area falls within the high to very high susceptibility zones. These results highlight the importance of using advanced modeling approaches to support risk mitigation and land use planning in environmentally sensitive mountain regions. Full article
Show Figures

Figure 1

23 pages, 698 KB  
Article
Repayment Burdens of Student Loans for Korean Higher Education
by JinYeong Kim, Yeogyoung Moon and Chung Choe
Sustainability 2025, 17(18), 8118; https://doi.org/10.3390/su17188118 - 9 Sep 2025
Viewed by 800
Abstract
This study estimates student loan borrowers’ repayment burdens (RBs) in South Korea. Using data from the Survey Report on Labor Conditions by Employment Type and novel administrative records, we estimate life-cycle earnings profiles by income quantile through RIF regression. These estimates are then [...] Read more.
This study estimates student loan borrowers’ repayment burdens (RBs) in South Korea. Using data from the Survey Report on Labor Conditions by Employment Type and novel administrative records, we estimate life-cycle earnings profiles by income quantile through RIF regression. These estimates are then used to derive RBs for hypothetical borrowers under income-contingent loans (ICLs) and mortgage-type loans, and to evaluate RBs for actual ICL borrowers by matching them with estimated income profiles. The findings suggest that Korea’s student loan system plays a positive role in expanding access to higher education, particularly through ICLs. Many low-income students who benefited from ICLs are later found in the top income deciles. However, raising the repayment threshold irrespective of borrower income may delay repayment and reduce system efficiency. These results underscore the importance of aligning repayment rules with borrowers’ earnings trajectories to ensure both equity and the long-term sustainability of the loan system. Full article
(This article belongs to the Section Economic and Business Aspects of Sustainability)
Show Figures

Figure 1

13 pages, 1099 KB  
Article
NF-κB as an Inflammatory Biomarker in Thin Endometrium: Predictive Value for Live Birth in Recurrent Implantation Failure
by Zercan Kalı, Pervin Karlı, Fatma Tanılır, Pınar Kırıcı and Serhat Ege
Diagnostics 2025, 15(14), 1762; https://doi.org/10.3390/diagnostics15141762 - 12 Jul 2025
Viewed by 736
Abstract
Background: Recurrent implantation failure (RIF) poses a major challenge in assisted reproductive technologies, with thin endometrium (≤7 mm) being a frequently observed yet poorly understood condition. Emerging evidence implicates nuclear factor-kappa B (NF-κB), a key transcription factor in inflammatory signaling, in impaired endometrial [...] Read more.
Background: Recurrent implantation failure (RIF) poses a major challenge in assisted reproductive technologies, with thin endometrium (≤7 mm) being a frequently observed yet poorly understood condition. Emerging evidence implicates nuclear factor-kappa B (NF-κB), a key transcription factor in inflammatory signaling, in impaired endometrial receptivity. However, its clinical relevance and prognostic value for live birth outcomes still need to be fully elucidated. Objective: We aim to evaluate the expression levels of endometrial NF-κB in patients with RIF and thin endometrium and to determine its potential as a predictive biomarker for live birth outcomes following IVF treatment. Methods: In this prospective case–control study, 158 women were categorized into three groups: Group 1 (RIF with thin endometrium, ≤7 mm, n = 52), Group 2 (RIF with normal endometrium, >7 mm, n = 38), and fertile controls (n = 68). NF-κB levels were assessed using ELISA and immunohistochemical histoscore. Pregnancy outcomes were compared across groups. ROC analysis and multivariable logistic regression were performed to assess the predictive value of NF-κB. Results: NF-κB expression was significantly elevated in Group 1 compared to Group 2 and controls (p = 0.0017). ROC analysis identified a cut-off value of 7.8 ng/mg for live birth prediction (AUC = 0.72, sensitivity 74%, specificity 75%). Multivariable analysis confirmed NF-κB is an independent predictor of live birth (p = 0.045). Histological findings revealed increased NF-κB staining in luminal and glandular epithelial cells in the thin endometrium group. Conclusions: Increased endometrial NF-κB expression is associated with thin endometrium and reduced live birth rates in RIF patients. NF-κB may serve not only as a biomarker of pathological inflammation but also as a prognostic tool for treatment stratification in IVF. Based on findings in the literature, the therapeutic targeting of NF-κB may represent a promising strategy to improve implantation outcomes. Full article
(This article belongs to the Special Issue Diagnosis and Prognosis of Gynecological and Obstetric Diseases)
Show Figures

Figure 1

32 pages, 1601 KB  
Article
Assessing Vertical Equity in Defined Benefit Pension Plans: An Application to Switzerland
by Tanja Kirn and Gijs Dekkers
Risks 2025, 13(5), 89; https://doi.org/10.3390/risks13050089 - 8 May 2025
Viewed by 887
Abstract
This paper establishes a theoretical link between actuarial neutrality and the Oaxaca–Blinder decomposition to empirically assess vertical equity in public defined-benefit schemes. We demonstrate how this approach can be generalized to non-linear functions, point systems, and notional accounts. We use an aligned dynamic [...] Read more.
This paper establishes a theoretical link between actuarial neutrality and the Oaxaca–Blinder decomposition to empirically assess vertical equity in public defined-benefit schemes. We demonstrate how this approach can be generalized to non-linear functions, point systems, and notional accounts. We use an aligned dynamic microsimulation model to apply this method to the first pillar of the Swiss pension system and highlight the following three key effects: (1) the impact of the accrual rate on vertical equity; (2) the assessment of actuarial neutrality through the comparison of migrants with the non-migrant population; and (3) vertical equity across marital statuses. Our findings indicate that changing societal trends, such as increased migration, female labor participation, and the rise in non-marital unions, may alter the extent of vertical equity. This has significant implications for actuarial risk management, as a higher degree of vertical equity is associated with increased pension expenses, thereby raising the financial sustainability risk of the pension system. Future research should explore these dynamics to ensure that pension systems remain both equitable and financially sustainable in the face of evolving societal trends. Full article
(This article belongs to the Special Issue Risk Analysis in Insurance and Pensions)
Show Figures

Figure 1

14 pages, 388 KB  
Article
Generalized Recentered Influence Function Regressions
by Javier Alejo, Antonio Galvao, Julián Martínez-Iriarte and Gabriel Montes-Rojas
Econometrics 2025, 13(2), 19; https://doi.org/10.3390/econometrics13020019 - 18 Apr 2025
Viewed by 1729
Abstract
This paper suggests a generalization of covariate shifts to study distributional impacts on inequality and distributional measures. It builds on the recentered influence function (RIF) regression method, originally designed for location shifts in covariates, and extends it to general policy interventions, such as [...] Read more.
This paper suggests a generalization of covariate shifts to study distributional impacts on inequality and distributional measures. It builds on the recentered influence function (RIF) regression method, originally designed for location shifts in covariates, and extends it to general policy interventions, such as location–scale or asymmetric interventions. Numerical simulations for the Gini, Theil, and Atkinson indexes demonstrate strong performance across a myriad of cases and distributional measures. An empirical application examining changes in Mincerian equations is presented to illustrate the method. Full article
Show Figures

Figure 1

12 pages, 359 KB  
Article
Prevalence of Xpert MTB/RIF Ultra Trace Call Results and Associated Risk Factors During Active Tuberculosis Case Finding in Viet Nam: A Programmatic Evaluation
by Luong Van Dinh, Khoa Tu Tran, Andrew James Codlin, Luan Nguyen Quang Vo, Nga Thuy Thi Nguyen, Lan Phuong Nguyen, Rachel Forse, Han Thi Nguyen, Thi Minh Ha Dang, Lan Huu Nguyen, Hoa Binh Nguyen and Jacob Creswell
Diagnostics 2025, 15(8), 1006; https://doi.org/10.3390/diagnostics15081006 - 15 Apr 2025
Viewed by 2065
Abstract
Background: The Xpert MTB/RIF Ultra assay (Ultra) is a second-generation molecular diagnostic test for tuberculosis (TB). The “Trace Call” result was added as a semi-quantitative category for extremely low bacillary loads. The prevalence and interpretation of Trace Call results remains insufficiently elucidated in [...] Read more.
Background: The Xpert MTB/RIF Ultra assay (Ultra) is a second-generation molecular diagnostic test for tuberculosis (TB). The “Trace Call” result was added as a semi-quantitative category for extremely low bacillary loads. The prevalence and interpretation of Trace Call results remains insufficiently elucidated in the context of community-based active case finding (ACF). Methods: We organized 56 days of mobile chest X-ray (CXR) screening events in Ho Chi Minh City, Viet Nam, between October 2020 and March 2021. Participants were screened verbally and by CXR and tested by Ultra, if eligible. Persons with a Trace Call were re-tested on Ultra per national guidelines. qXRv3 computer-aided detection software was used for post hoc quality control of CXR interpretation. We calculated descriptive statistics and fitted mixed-effect multivariate regression models to identify factors associated with Trace Call results and confirmatory diagnosis. Results: A total of 16,698 people were screened by CXR to detect 185 Ultra-positive participants, including 142 persons with a confirmed TB diagnosis. Among Ultra-positive participants, 38.4% (71/185) had Trace Call results. Of these, 85.9% (61/71) were re-tested, and 45.9% (28/61) were bacteriologically-confirmed, comprising 19.7% (28/142) of the final number of confirmed diagnoses. Having a low qXR abnormality score (<0.5) (aOR = 4.97; 95%CI: [1.88, 13.14]; p = 0.001) and a history of TB within 5 recent years (aOR = 3.53; 95%CI: [1.69, 7.35]; p = 0.001) were associated with an initial Trace Call. Conclusions: The Trace Call can improve ACF detection, particularly in earlier stages of disease with limited pulmonary deterioration. However, participants with a history of TB had higher rates of Trace Call, reinforcing the need to interpret test results in this group with caution. Full article
(This article belongs to the Special Issue Tuberculosis Detection and Diagnosis 2025)
Show Figures

Figure 1

23 pages, 1715 KB  
Article
Vascular Endothelial Growth Factor Variants (936C/T, 634C/G, 2578A/C) and Their Genotype–Haplotype Association with Recurrent Implantation Failure in Infertile Women: A Single-Center Analytical Study
by Lucia Maria Procopciuc, Mihaela Iancu, Gabriela Valentina Caracostea, Iulian Goidescu, Adelina Staicu, Roxana Liana Lucaciu, Adriana Corina Hangan, Sidonia Gog Bogdan and Mihai Surcel
Diagnostics 2025, 15(7), 868; https://doi.org/10.3390/diagnostics15070868 - 28 Mar 2025
Viewed by 587
Abstract
Background: Vascular Endothelial Growth Factor (VEGF) is a key regulator in angiogenesis and contributes to a successful implantation. The current study has the following objective: to perform genotyping and haplotyping analysis to confirm whether the VEGF-936C/T, VEGF-634C/G, and VEGF- [...] Read more.
Background: Vascular Endothelial Growth Factor (VEGF) is a key regulator in angiogenesis and contributes to a successful implantation. The current study has the following objective: to perform genotyping and haplotyping analysis to confirm whether the VEGF-936C/T, VEGF-634C/G, and VEGF-2578C/A gene polymorphisms are associated with the susceptibility for recurrent implantation failure (RIF) in Romanian females at reproductive age. Materials and Methods: In total, 41 infertile women experiencing recurrent implantation failure and 44 women with minor infertility were genotyped for VEGF polymorphisms using PCR-RFLP analysis. Results: The VEGF-936C/T polymorphism in the dominant model, (C/T+T/T), represents an increased risk factor for recurrent implantation failure, the odds being 2.70 (95% CI: [1.04, 7.00]). Also, VEGF-2578C/A gene polymorphism represents the risk factor of RIF under the codominant (adjusted-OR = 5.28, 95% CI: [1.42, 19.65]) and recessive models (adjusted-OR = 5.15, 95% CI: [1.55, 17.09]). Patients carrying the VEGF-T936 allele or VEGF-C2578 allele had 2.25-fold and 2.36-fold increased odds of implantation failure (95% CI: [1.05, 4.81], p = 0.034) and 95% CI: [1.27, 4.39], p = 0.006), respectively. The results of the haplotype-based regression analysis reveal that patient carriers of the VEGF-936/-634/-2578 T-C-A haplotype had 12.39 increased odds of RIF. Also, carriers of the VEGF-936/-2578 T-A haplotype had 9.56-fold (p = 0.0113) increased odds of RIF after adjusting for age. Conclusions: We found a significant association between VEGF-936C/T and VEGF-2578C/A polymorphisms and the odds of RIF in this cohort of Romanian infertile women. Haplotype analysis suggested the role of VEGF-936/-634/-2578 T-C-A and VEGF-936/-2578 T-A haplotypes as a risk factors for RIF. Full article
(This article belongs to the Special Issue Diagnosis and Management of Reproductive Disorders)
Show Figures

Figure 1

32 pages, 396 KB  
Article
Underestimating the Pandemic: The Impact of COVID-19 on Income Distribution in the U.S. and Brazil
by Federica Alfani, Fabio Clementi, Michele Fabiani, Vasco Molini and Francesco Schettino
Economies 2024, 12(9), 235; https://doi.org/10.3390/economies12090235 - 3 Sep 2024
Cited by 1 | Viewed by 2640
Abstract
The COVID-19 pandemic has exposed individuals to various risks, including job loss, income reduction, deteriorating well-being, and severe health complications and death. In Brazil and the U.S., as well as in other countries, the initial response to the pandemic was marked by governmental [...] Read more.
The COVID-19 pandemic has exposed individuals to various risks, including job loss, income reduction, deteriorating well-being, and severe health complications and death. In Brazil and the U.S., as well as in other countries, the initial response to the pandemic was marked by governmental underestimation, leading to inadequate public health measures to curb the spread of the virus. Although progressively mitigated, this approach played a crucial role in the impacts on local populations. Therefore, the principal aim of this paper is to evaluate the impact of COVID-19 and, indirectly, of the policies adopted by the U.S. and the Brazilian governments to prevent pandemic diffusion on income distribution. Utilizing available microdata and employing novel econometric methods (RIF-regression for inequality measures) this study shows that growth in COVID-19 prevalence significantly exacerbates economic disparities. Furthermore, the impact of COVID-19 on inequality has increased over time, suggesting that this negative impact has been intensifying. In the U.S., results indicate that working from home, the inability to work, and barriers to job-seeking significantly increase inequalities. Although further data are necessary to validate the hypothesis, this preliminary evidence suggests that the pandemic has significantly contributed to increased inequality in these two countries already characterized by increasing polarization and significant social disparities. Full article
9 pages, 235 KB  
Article
Uterine Endometrium Microbiome in Women with Repeated Implantation Failure Complicated by Endometriosis
by Yosuke Ono, Yuta Kobayashi, Shigeki Shimada, Yoshiyuki Fukushi, Osamu Yoshino, Shinichiro Wada and Hideto Yamada
J. Clin. Med. 2024, 13(16), 4605; https://doi.org/10.3390/jcm13164605 - 7 Aug 2024
Cited by 5 | Viewed by 2512
Abstract
Objectives: This prospective study evaluated whether endometriosis is associated with chronic endometritis (CE) and affects the uterine endometrium microbiome (UEM) in women with repeated implantation failure (RIF). Methods: Forty-three women with RIF were divided into 12 with endometriosis (EM) and 31 [...] Read more.
Objectives: This prospective study evaluated whether endometriosis is associated with chronic endometritis (CE) and affects the uterine endometrium microbiome (UEM) in women with repeated implantation failure (RIF). Methods: Forty-three women with RIF were divided into 12 with endometriosis (EM) and 31 without endometriosis (non-EM). The UEM was examined by 16S ribosomal RNA (rRNA) sequencing, and CE was determined by CD 138 staining (plasma cells > 5.15/10 mm2) simultaneously. Results: The EM group had a higher bacterial number (EM vs. non-EM; median [range], 6.5 vs. 3 [3–11, 1–16], p = 0.009), while the frequency of Lactobacillus species did not change. The rates of presence of Dialister (41.7% [5/12] vs. 3.3% [1/31], p = 0.004) and Streptococcus species (58.3% [7/12] vs. 16.1% [5/31], p = 0.017) were higher in the EM group. The prevalence of CE did not differ between the two groups. Multivariable logistic regression analysis revealed that the presence of Dialister species (odds ratio, 10.97, 95% confidence interval, 1.17–249.37, p = 0.036) was associated with endometriosis. In the EM group, five women with Dialister species had a higher number of bacterial species (10 vs. 5 [6–11, 3–7], p = 0.021) and higher Shannon diversity index (0.50 vs. 0.20 [0.19–1.39, 0.03–0.46], p = 0.026) than seven without Dialister species. Conclusions: Dialister and Streptococcus species, and the increased number of bacterial species in UEM may be related to the pathogenesis of RIF complicated by endometriosis. Full article
(This article belongs to the Section Obstetrics & Gynecology)
10 pages, 551 KB  
Article
The Yield of Active Tuberculosis Disease and Latent Tuberculosis Infection in Tuberculosis Household Contacts Investigated Using Chest X-ray in Yogyakarta Province, Indonesia
by Betty Nababan, Rina Triasih, Geoffrey Chan, Bintari Dwihardiani, Arif Hidayat, Setyogati C. Dewi, Lana Unwanah, Arif Mustofa and Philipp du Cros
Trop. Med. Infect. Dis. 2024, 9(2), 34; https://doi.org/10.3390/tropicalmed9020034 - 31 Jan 2024
Cited by 4 | Viewed by 4052
Abstract
In Indonesia, the implementation of tuberculosis (TB) contact investigation is limited, with low detection rates. We report the yield of and risk factors for TB disease and infection for household contacts (HHCs) investigated using chest X-ray (CXR) screening. We identified HHCs aged five [...] Read more.
In Indonesia, the implementation of tuberculosis (TB) contact investigation is limited, with low detection rates. We report the yield of and risk factors for TB disease and infection for household contacts (HHCs) investigated using chest X-ray (CXR) screening. We identified HHCs aged five years and above of bacteriologically confirmed index cases from 2018 to 2022 in Yogyakarta City and Kulon Progo. All HHCs were offered screening for TB symptoms; TB infection testing with either tuberculin skin testing or interferon gamma release assay; and referral for CXR. Sputum from those with symptoms or CXR suggestive of TB was tested with Xpert MTB/RIF. Risk factors for active TB disease and latent TB infection (LTBI) were identified by logistic regression models. We screened 2857 HHCs for TB between June 2020 and December 2022, with 68 (2.4%) diagnosed with active TB. Of 2621 HHCs eligible for LTBI investigation, 1083 (45.7%) were diagnosed with LTBI. The factors associated with active TB were age, being underweight, diabetes mellitus, urban living, and sleeping in the same house as an index case. Factors associated with LTBI were increasing age and male gender. Conclusions: Screening for HHC including CXR and TST/IGRA yielded a moderate prevalence of TB disease and infection. Full article
Show Figures

Figure 1

15 pages, 4402 KB  
Article
Integrating Molecular Diagnostics and GIS Mapping: A Multidisciplinary Approach to Understanding Tuberculosis Disease Dynamics in South Africa Using Xpert MTB/RIF
by Lesley Erica Scott, Anne Nicole Shapiro, Manuel Pedro Da Silva, Jonathan Tsoka, Karen Rita Jacobson, Michael Emch, Harry Moultrie, Helen Elizabeth Jenkins, David Moore, Annelies Van Rie and Wendy Susan Stevens
Diagnostics 2023, 13(20), 3163; https://doi.org/10.3390/diagnostics13203163 - 10 Oct 2023
Cited by 1 | Viewed by 2204
Abstract
An investigation was carried out to examine the use of national Xpert MTB/RIF data (2013–2017) and GIS technology for MTB/RIF surveillance in South Africa. The aim was to exhibit the potential of using molecular diagnostics for TB surveillance across the country. The variables [...] Read more.
An investigation was carried out to examine the use of national Xpert MTB/RIF data (2013–2017) and GIS technology for MTB/RIF surveillance in South Africa. The aim was to exhibit the potential of using molecular diagnostics for TB surveillance across the country. The variables analysed include Mycobacterium tuberculosis (Mtb) positivity, the mycobacterial proportion of rifampicin-resistant Mtb (RIF), and probe frequency. The summary statistics of these variables were generated and aggregated at the facility and municipal level. The spatial distribution patterns of the indicators across municipalities were determined using the Moran’s I and Getis Ord (Gi) statistics. A case-control study was conducted to investigate factors associated with a high mycobacterial load. Logistic regression was used to analyse this study’s results. There was striking spatial heterogeneity in the distribution of Mtb and RIF across South Africa. The median patient age, urban setting classification, and number of health care workers were found to be associated with the mycobacterial load. This study illustrates the potential of using data generated from molecular diagnostics in combination with GIS technology for Mtb surveillance in South Africa. Spatially targeted interventions can be implemented in areas where high-burden Mtb persists. Full article
(This article belongs to the Section Clinical Laboratory Medicine)
Show Figures

Figure 1

17 pages, 1441 KB  
Article
Prolongation of Acid-Fast Bacilli Sputum Smear Positivity in Patients with Multidrug-Resistant Pulmonary Tuberculosis
by Sidwell Mvo, Carine Bokop, Benjamin Longo-Mbenza, Sandeep D. Vasaikar and Teke Apalata
Pathogens 2023, 12(9), 1133; https://doi.org/10.3390/pathogens12091133 - 5 Sep 2023
Viewed by 1808
Abstract
The study sought to determine factors associated with prolonged smear positivity in multidrug-resistant tuberculosis (MDR-TB) patients following appropriate management. Newly diagnosed patients were enrolled between June 2017 and May 2018. Sputum samples were collected for Xpert® MTB/RIF and line probe assays (LiPAs). [...] Read more.
The study sought to determine factors associated with prolonged smear positivity in multidrug-resistant tuberculosis (MDR-TB) patients following appropriate management. Newly diagnosed patients were enrolled between June 2017 and May 2018. Sputum samples were collected for Xpert® MTB/RIF and line probe assays (LiPAs). Microscopic tests were performed at baseline and 4, 8, and 12 weeks post-anti-TB therapy. Of the 200 patients, 114 (57%) were HIV-positive. After 12 weeks of treatment, there was a significant microscopy conversion rate among DS-TB patients compared to MDR-TB patients irrespective of their HIV status (p = 0.0013). All MDR-TB patients who had a baseline smear grade ranging from scanty to +1 converted negative, while 25% ranging from +2 to +3 remained positive until the end of 12 weeks (p = 0.014). Factors associated with smear positivity included age <35 years (p = 0.021), initial CD4+ T-cell count ≥200 cells/mm3 (p = 0.010), and baseline smear grade ≥2+ (p = 0.014). Cox regression showed that only the baseline smear grade ≥2+ was independently associated with prolonged smear positivity in MDR-TB patients (p = 0.011) after adjusting for HIV status, CD4+ T-cell count, and age. Baseline sputum smear grade ≥2+ is a key determinant for prolonged smear positivity beyond 12 weeks of effective anti-TB therapy in MDR-TB patients. Full article
(This article belongs to the Section Bacterial Pathogens)
Show Figures

Figure 1

18 pages, 2449 KB  
Article
Unraveling the Roots of Income Polarization in Europe: A Divided Continent
by Michele Fabiani
Economies 2023, 11(8), 217; https://doi.org/10.3390/economies11080217 - 16 Aug 2023
Cited by 3 | Viewed by 3331
Abstract
The issue of polarization, as opposed to inequality, has been little explored in European countries. In this paper, using data provided by the Luxembourg Income Studies Database, we look at the trend of income polarization in 12 European countries, the only ones available [...] Read more.
The issue of polarization, as opposed to inequality, has been little explored in European countries. In this paper, using data provided by the Luxembourg Income Studies Database, we look at the trend of income polarization in 12 European countries, the only ones available with two comparable years, using the relative distribution method. The results clearly show a trend toward polarization in almost the cases analyzed, with a concentrated prevalence in the lower tail of the distribution, thus observing a worsening in the distribution. Next, we look at drivers that may have contributed to these changes, using the RIF-regression method. It is interesting to observe how these characteristics are in many cases common across all countries: the occupational sector, level of education and area of residence have the same impact, albeit with different intensities, in all countries. This suggests the possibility of coordinated intervention across these nations, acting on the same variables for all of them. Full article
Show Figures

Figure A1

10 pages, 255 KB  
Article
The Influence of Maternal KIR Haplotype on the Reproductive Outcomes after Single Embryo Transfer in IVF Cycles in Patients with Recurrent Pregnancy Loss and Implantation Failure—A Single Center Experience
by Radu Maftei, Bogdan Doroftei, Radu Popa, Valeriu Harabor, Ana-Maria Adam, Cristina Popa, AnaMaria Harabor, Gigi Adam, Aurel Nechita, Ingrid-Andrada Vasilache, Elena Mihalceanu, Anca Bivoleanu, Gabriela Lunguleac, Ana-Maria Cretu, Teodora Armeanu, Roxana Diaconu and Petru Cianga
J. Clin. Med. 2023, 12(5), 1905; https://doi.org/10.3390/jcm12051905 - 28 Feb 2023
Cited by 6 | Viewed by 3501
Abstract
(1) Background: Recurrent pregnancy loss (RPL) and recurrent implantation failure (RIF) have in common a deficient maternal adaptation to the semi-allogeneic fetus, in which killer immunoglobulin-like receptor (KIR) family expressed by natural killer (NK) cells play an important role. The aim of this [...] Read more.
(1) Background: Recurrent pregnancy loss (RPL) and recurrent implantation failure (RIF) have in common a deficient maternal adaptation to the semi-allogeneic fetus, in which killer immunoglobulin-like receptor (KIR) family expressed by natural killer (NK) cells play an important role. The aim of this study was to evaluate the influence of maternal KIR haplotype on the reproductive outcomes after single embryo transfer in IVF cycles in patients with RPL and RIF. (2) Methods: Patients with RIF and RPL who presented at Origyn Fertility Center from Iasi, Romania, were prospectively enrolled between January 2020 and December 2022. Clinical and paraclinical data was examined. Descriptive statistics and a conditional logistic regression model were used to analyze our data. (3) Results: Patients with a KIR AA haplotype had significantly more chances of miscarriage if they underwent an IVF procedure (aOR: 4.15, 95% CI: 1.39–6.50, p = 0.032) compared with those who spontaneously achieved a pregnancy. Moreover, it appeared that the same haplotype increased the chances of obtaining a pregnancy for patients who underwent an IVF procedure (aOR: 2.57, 95% CI: 0.85–6.75, p = 0.023). (4) Conclusions: Determination of KIR haplotype could be beneficial for patients with RPL or RIF in order to offer an individualized management. Full article
(This article belongs to the Section Obstetrics & Gynecology)
16 pages, 615 KB  
Article
Knowledge of International Standards for Tuberculosis Care among Private Non-NTP Providers in Lagos, Nigeria: A Cross-Sectional Study
by Victor Abiola Adepoju, Kelechi Elizabeth Oladimeji, Olusola Adedeji Adejumo, Oluwatoyin Elizabeth Adepoju, Ademola Adelekan and Olanrewaju Oladimeji
Trop. Med. Infect. Dis. 2022, 7(8), 192; https://doi.org/10.3390/tropicalmed7080192 - 18 Aug 2022
Cited by 3 | Viewed by 3079
Abstract
Studies specifically evaluating tuberculosis knowledge among private non-NTP providers using the International Standards for Tuberculosis Care (ISTC) framework are scarce. We evaluated the knowledge of ISTC among private non-NTP providers and associated factors in urban Lagos, Nigeria. We performed a cross-sectional descriptive study [...] Read more.
Studies specifically evaluating tuberculosis knowledge among private non-NTP providers using the International Standards for Tuberculosis Care (ISTC) framework are scarce. We evaluated the knowledge of ISTC among private non-NTP providers and associated factors in urban Lagos, Nigeria. We performed a cross-sectional descriptive study using a self-administered questionnaire to assess different aspects of tuberculosis management among 152 non-NTP providers in Lagos, Nigeria. The association between the dependent variable (knowledge) and independent variables (age, sex, qualifications, training and years of experience) was determined using multivariate logistic regression. Overall, the median knowledge score was 12 (52%, SD 3.8) and achieved by 47% of the participants. The highest knowledge score was in TB/HIV standards (67%) and the lowest was in the treatment standards (44%). On multivariate analysis, being female (OR 0.3, CI: 0.1–0.6, p < 0.0001) and being a nurse (OR 0.2, CI: 0.1–0.4, p < 0.0001) reduced the odds of having good TB knowledge score, while having previously managed ≥100 TB patients (OR 2.8, CI: 1.1–7.2, p = 0.028) increased the odds of having good TB knowledge. Gaps in the knowledge of ISTC among private non-NTP providers may result in substandard TB patient care. Specifically, gaps in knowledge of standard TB regimen combinations and Xpert MTB/RIF testing stood out. The present study provides evidence for tailored mentorship and TB education among nurses and female private non-NTP providers. Full article
(This article belongs to the Section Infectious Diseases)
Show Figures

Figure 1

Back to TopTop