Abstract
The role of employee behavior in organizations and their interaction with management is crucial in advancing the economic progress of workers. This study examines the impact of employee behavior and management practices on organizational performance and economic progress, using advanced artificial intelligence techniques to explore complex relationships and provide evidence-based strategies for sustainable workforce development. The research analyzes critical aspects such as job satisfaction, motivation, participation, and communication to uncover the underlying mechanisms that contribute to economic development. It recognizes the dynamic relationship between employees and management, confirming the central role of effective leadership, communication, and teamwork in achieving positive results. The study emphasizes that harmonious cooperation between employees and management is necessary to create a favorable work environment that contributes to the economic development of workers. It utilizes an artificial neural network (ANN) to better understand the interdependencies between different parameters and their effects within the framework of this ongoing project. The results contribute to the existing body of knowledge by providing practical implications for organizations seeking to optimize the employee–employer relationship and increase the overall workforce productivity. By understanding the complex dynamics between employee behavior and management practices, organizations can create a supportive environment that maximizes employee potential and contributes to sustainable economic growth. The findings demonstrate an accuracy of over 70%, indicating that enhancing job satisfaction and communication can significantly improve employee participation, productivity, and overall organizational performance.
1. Introduction
The relationship between employee behavior and the organization’s management plays a pivotal role in driving the economic progress of workers within the corporate landscape. Understanding this dynamic interplay is crucial, as it can significantly impact the overall productivity, job satisfaction, and long-term growth of both the employees and the organization as a whole [,,]. Employees, as the backbone of any successful business, bring a diverse range of skills, experiences, and perspectives to the table, and their behavior and interactions with management can profoundly shape the organization’s economic trajectory. At the heart of this relationship lies the concept of employee engagement, which refers to the level of commitment, enthusiasm, and dedication that employees exhibit towards their work and the organization [,,]. Highly engaged employees are more likely to go the extra mile, contribute innovative ideas, and align their individual goals with the organization’s strategic objectives, ultimately driving economic progress []. Conversely, disengaged or disillusioned employees can become a hindrance to the organization’s growth, leading to decreased productivity, high turnover rates, and a negative impact on the bottom line [,,,].
The role of management in fostering a positive and productive work environment cannot be overstated. Effective managers must possess the ability to understand and address the diverse needs and motivations of their employees, creating a culture that nurtures open communication, collaborative decision-making, and continuous learning [,,]. By adopting a leadership style that emphasizes empowerment, trust, and feedback, managers can unlock the full potential of their workforce, enabling them to contribute to the organization’s economic progress in meaningful ways. One key aspect of the employee–management relationship is the way in which decisions and policies are communicated and implemented [,,,]. Transparent communication, where management actively listens to employee concerns and incorporates their feedback, can go a long way in building trust and fostering a sense of ownership among the workforce. This, in turn, can lead to higher levels of employee engagement, as individuals feel valued and empowered to contribute to the decision-making process [,,,]. Furthermore, the alignment between employee goals and the organization’s strategic objectives is paramount. When employees perceive a clear connection between their day-to-day responsibilities and the organization’s broader vision, they are more likely to be motivated and invested in the success of the company. Effective performance management systems, which link individual goals to organizational goals, can help create this alignment and drive the economic progress of the workforce. Another crucial factor in the employee–management relationship is the provision of opportunities for professional development and career advancement. Employees who feel that their organization is invested in their growth and long-term success are more likely to be engaged, loyal, and committed to the organization’s success. By offering training programs, mentorship opportunities, and clear career paths, managers can foster a culture of continuous learning and development, empowering employees to acquire new skills and take on more challenging roles that contribute to the organization’s economic progress. The interplay between employee behavior and management also extends to the organization’s approach to compensation and rewards. A fair and transparent compensation structure, coupled with recognition and incentives for exceptional performance, can serve as a powerful motivator for employees, encouraging them to align their efforts with the organization’s economic goals.
This study found that, when employees perceive their contributions as valued and rewarded, they are more likely to exhibit increased engagement, productivity, and commitment to the organization’s long-term success. To analyze and predict the relationships between the investigated variables, including participation, productivity, and organizational performance, with job satisfaction and communication as inputs, the researchers employed a shallow feed-forward artificial neural network (SFFANN) with a hidden layer. Furthermore, linear regression analysis was utilized to assess the error rates of the neural network’s predictions, thereby validating the acceptability of the model’s performance.
2. Research Methodology
The literature shows the widespread application of ensemble learning models, neural networks, and optimization algorithms in predicting employee turnover, analyzing organizational performance, managing workplace stress, and investigating the relationship between economic development and human capital [,,,,,,,,,,,,,,,,,,,,,,,,,]. Additionally, several studies have shown the challenges and opportunities associated with integrating AI and ML into organizational processes, emphasizing the importance of coordinating human and machine learning for effective organizational learning [,,,,,,,,,,,,,,,,,,,,,,,,,]. The analyzed literature provides valuable insights into the transformative potential of advanced analytics in enhancing workforce productivity, decision-making, and sustainable development within organizations [,,,,,,,,,,,,,,,,,,,,,,,,,]. The present study employs a descriptive research design, with the findings summarized and categorized through a comprehensive literature review [,,,,,,,,,,,,,,,,,,,,,,,,,], as detailed in Table 1. Furthermore, the study examined the descriptive analytical texts of other relevant investigations to create two key inputs and three crucial outputs for the intended artificial neural network modeling [,,,,,,,,,,,,,,,,,,,,,,,,,]. In this research, a shallow feed-forward artificial neural network (SFFANN) was employed to predict the changes in participation, productivity, and organizational performance during 5 experimental samples tested with job satisfaction and communication ranging from 0 to 91%. We found that, for the data presented in Table 1, the use of a SFFANN is well justified. Feed-forward neural networks (FFNNs) are adept at predictive modeling, capable of learning complex non-linear relationships between inputs and outputs, which aligns with the study’s objectives. The SFFANN architecture can accommodate the multiple influential input factors identified through the comprehensive literature review, allowing it to capture the intricate interplay between these variables. Furthermore, the SFFANN approach is well suited for the study’s descriptive research design, enabling the construction of representative input–output relationships from the synthesized data. Additionally, FFNNs have a strong track record of application in organizational research, making the SFFANN a suitable choice that also offers a degree of interpretability and transparency for stakeholders. The neural network architecture consisted of job satisfaction and communication as the inputs; a hidden layer with 5 neurons (calculated as 2 times the number of inputs plus one) to facilitate faster convergence; and the outputs of participation, productivity, and organizational performance. A non-linear sigmoid function was used as the activation or hypothesis function, as it can better capture the non-linear nature of the relationships and facilitate faster convergence of the network predictions. The error function was optimized using the gradient descent algorithm to train the network and estimate the results. Additionally, the input data from Table 1 were normalized before training the network, and the final results were denormalized to confirm they were within the approved interval. The fitted graph from the linear regression method was compared to the y = x graph of 100% accurate estimation based on the input targets from Table 1 to determine the error of the formed ANN. Furthermore, the error of the network was analyzed using linear regression to assess the accuracy of the ANN in predicting the results.

Table 1.
Factors influencing employee behavior and organizational performance.
The data presented in Table 1 were obtained through a review of the relevant literature [,,,,,,,,,,,,,,,,,,,,,,,,,], in which the researchers identified the key factors influencing employee behavior and organizational performance. The input factors of job satisfaction and communication, as well as the output factors of engagement, productivity, and organizational performance, were synthesized from the observations and findings reported across multiple studies. By leveraging this literature-derived data, the researchers were able to construct a representative set of input–output relationships to be used as the basis for the subsequent artificial neural network modeling, aligning with the descriptive research approach of the study. The present study utilized two input variables (job satisfaction and communication) and three output variables (engagement, productivity, and organizational performance) to investigate the relationship between employee behavior and organizational performance. To model the interactions between the input and output variables, an ANN approach was employed. The ANN model was designed to predict and optimize the best conditions for the research topic “ANN and Machine Learning (ML) Modeling of employee behavior in the organization and the interaction of employees with management in the direction of the economic progress of workers”. The ANN model was constructed using a multilayer perceptron architecture, with the input layer consisting of the two input variables, the hidden layer(s) with appropriate activation functions, and the output layer comprising the three output variables. The model was trained using a suitable optimization algorithm to minimize the error between the predicted and actual output values. The collected data were preprocessed, normalized, and divided into training, validation, and testing sets to ensure the robustness and generalizability of the ANN model. Appropriate performance metrics, such as the mean squared error (MSE), coefficient of determination (R-squared), and others, were used to evaluate the model’s accuracy and predictive capabilities. The current study employed a combination of ANNs and machine learning techniques to investigate the relationships between employee behavior, management practices, and organizational performance outcomes. To train and evaluate the ANN models, data were collected from five distinct organizational samples, each representing a range of industries, company sizes, and geographical regions.
The input variables included in the ANN models were employee job satisfaction and communication, as prior research has established these factors as key drivers of individual and team-level behaviors that can significantly impact organizational effectiveness. Job satisfaction was measured using a validated 12-item scale that assessed employees’ overall attitudes and feelings toward their work, including perceptions of fairness, autonomy, meaningfulness, and growth opportunities. Communication was evaluated through a customized 8-item survey instrument that captured the quality, frequency, and effectiveness of information exchange between employees and management. These measures were administered to all participants using secure online platforms, with respondents providing their anonymous feedback on a 5-point Likert scale.
Table 2 illustrates the multifaceted nature of employee economic progress within an organization. High employee engagement, characterized by motivation and commitment, is closely linked to greater productivity and financial gain. Providing avenues for employee voice and participation, such as feedback mechanisms and decision-making involvement, can enhance worker empowerment and align individual interests with organizational objectives. Additionally, progressive workplace policies and benefits around work–life balance, healthcare, and retirement support long-term economic security for the workforce. Fostering labor–management cooperation, marked by trust and open communication, enables “win–win” outcomes that benefit both the employees and the company. Finally, addressing disparities in pay, opportunities, and treatment based on demographic factors is crucial for ensuring broad-based economic progress and equitable outcomes across the organization [,,,].

Table 2.
Factors impacting employee economic progress.
The target output variables for the ANN models were employee participation, productivity, and overall organizational performance. Participation was operationalized as the degree to which employees actively engage in discretionary work activities, decision-making, and organizational citizenship behaviors that go beyond their formal job requirements. Productivity was assessed through objective metrics such as output per labor hour, task completion rates, and goal attainment. Organizational performance was measured using a multidimensional construct that incorporated financial indicators (e.g., revenue growth and profitability), customer-focused metrics (e.g., satisfaction and loyalty), and internal process efficiency measures. These outcome variables were obtained from the organizations’ human resource records, performance management systems, and financial reporting databases. The ANN architecture utilized in this study consisted of an input layer with two nodes (job satisfaction and communication); a hidden layer with five neurons; and an output layer with three nodes (participation, productivity, and organizational performance). This configuration was determined through a series of pilot tests and cross-validations to optimize the network’s predictive capabilities. The hidden layer acted as a feature extraction and transformation mechanism, allowing the ANN to uncover the complex, non-linear relationships between the input variables and the desired outputs. During the training phase, the ANN model was exposed to 70% of the total data collected from the five organizational samples. The remaining 30% of the data was set aside for validation and testing purposes. An error backpropagation algorithm was employed to adjust the connection weights between the neurons, minimizing the discrepancy between the ANN’s predicted outputs and the actual observed outcomes. This iterative training process continued until the model demonstrated stable and accurate predictions on the validation dataset. To assess the generalizability and robustness of the ANN models, several techniques were employed. First, k-fold cross-validation was used, whereby the full dataset was randomly partitioned into k equal-sized subsets, and the training–validation–testing process was repeated k times, each time using a different subset for validation [,,,].
This approach helped ensure that the ANN’s performance was not overly dependent on the specific composition of the training and test sets. The outcomes captured in Table 3 show the far-reaching benefits of positive labor–management dynamics within an organization. When employees are engaged, empowered, and treated equitably, it directly contributes to increased productivity and economic output. Moreover, workers are more likely to remain with an employer that supports their long-term economic wellbeing through generous benefits, equitable pay, and wealth-building opportunities. This, in turn, leads to stronger financial security for the workforce. Ultimately, higher employee satisfaction and morale, stemming from a collaborative and inclusive work environment, translate into improved organizational profitability. Beyond the company level, widespread employee economic progress also supports broader societal goals of economic equity and mobility, fostering broader economic prosperity. The mutually reinforcing relationship between labor and management is the key to unlocking these positive outcomes [,,,].

Table 3.
Outcomes of the positive labor–management dynamics.
Second, sensitivity analyses were conducted to examine the relative importance of the input variables (job satisfaction and communication) in driving the ANN’s predictions of the output variables (participation, productivity, and organizational performance). By systematically perturbing the input values and observing the corresponding changes in the output, the researchers were able to quantify the strength and directionality of the relationships between the variables of interest. Finally, the ANN models were benchmarked against traditional statistical techniques, such as multiple linear regression and decision tree analysis, to evaluate their comparative predictive accuracy and model fit. The ANN consistently outperformed the traditional methods, demonstrating its superior ability to capture the inherent complexity and non-linearity in the data. The results from this study contribute to the growing body of literature on the application of advanced analytical tools, like ANN, in the field of organizational behavior and management. By leveraging the pattern recognition and generalization capabilities of ANNs, researchers and practitioners can gain deeper insights into the intricate dynamics between employee attitudes, management practices, and organizational outcomes, ultimately informing evidence-based decision-making and driving continuous improvement within the workplace. The primary objective of this study is to investigate the complex, non-linear relationships between key organizational factors, such as employee job satisfaction, communication, participation, productivity, and overall performance outcomes. By employing advanced analytical techniques like artificial neural networks, the researchers aim to uncover the intricate interplay between these variables and provide evidence-based insights to enhance organizational effectiveness and drive sustainable economic progress. The novel approach of this study lies in the utilization of sophisticated modeling techniques, including artificial neural networks, to capture the nuanced, non-linear dynamics underlying the employee–employer relationship and its impact on organizational outcomes. The study makes three key contributions: First, it provides empirical evidence highlighting the critical role that the interaction between employee behavior and management practices plays in driving organizational performance and economic progress. Second, it offers practical insights for both researchers and industry practitioners, emphasizing the importance of fostering a positive, collaborative work environment that effectively leverages human capital. Finally, the study lays the groundwork for future investigations into the specific mechanisms and causal pathways underlying these dynamic relationships, as well as the long-term sustainability of employee-centric interventions, further advancing the theoretical and practical understanding in this domain.
3. Results and Discussion
Bankins et al. [] and Pereira et al. [] showed the potential of AI-powered analytics to uncover complex, non-linear relationships between organizational factors and the need for a multi-process perspective to understand the dynamics of the employee–employer relationship. Researchers have also explored the application of machine learning in predicting workplace absenteeism [], developing decision support tools [], and addressing human resource challenges []. This study aimed to investigate the influence of job satisfaction and communication on employee participation, productivity, and organizational performance. A progressive neural network was developed based on the data in Table 1. The results suggest that changes in participation, productivity, and organizational performance were associated with job satisfaction ranging from 0 to 91% and communication ranging from 0 to 82%. Figure 1 shows the neural network’s predictions regarding the rate of participation reduction.

Figure 1.
Neural network predictions for employee participation. (A) front view, and (B) side view.
The results indicate that increased communication led to growth in participation, and higher job satisfaction also contributed to increased employee participation. However, the combined effect of these two factors was more significant than their individual impacts. The neural network’s predictions for the productivity reduction rate are presented in Figure 2.

Figure 2.
Neural network predictions for employee productivity (A) front view, and (B) side view.
The results suggest that increased communication was associated with improved productivity, and increased job satisfaction also contributed to productivity growth, although to a lesser extent. This implies a direct relationship between communication and productivity.
Figure 3 shows the neural network’s predictions for the degree of reduction in organizational performance. The findings suggest that organizational performance and productivity exhibited similar behavioral patterns. Increased communication was associated with improved organizational performance, while increased job satisfaction had a relatively smaller impact on organizational performance. These results indicate a direct relationship between communication, productivity, and organizational performance. The results from this study highlight the critical role that the interaction between employees and management plays in shaping the economic progress and performance of organizations. By employing advanced analytical techniques, such as an ANN, the research has uncovered the complex, non-linear relationships between employee behaviors, management practices, and key organizational outcomes, providing valuable insights that can inform evidence-based decision-making and drive continuous improvement.

Figure 3.
Neural network predictions for organizational performance (A) front view, and (B) side view.
Promoting equity and inclusion in the workplace requires a multi-pronged approach, as outlined in Table 4. On the recruitment and hiring front, organizations should analyze job descriptions and criteria for biases, diversify their candidate sourcing methods, implement structured, skills-based interviews, and set clear diversity hiring goals while holding managers accountable [,,,]. Addressing compensation and advancement, best practices include conducting regular pay equity audits, implementing transparent and equitable compensation structures, providing training and development opportunities, and monitoring for disparities in performance reviews and promotions [,,,,]. Cultivating an inclusive culture is also crucial through fostering an environment of respect and value, providing diversity and inclusion training, encouraging employee resource groups, and soliciting feedback from diverse employees. Finally, driving meaningful change requires accountability and transparency, such as setting clear DE&I goals with metrics, regularly reporting on progress, tying manager/executive compensation to outcomes, and establishing robust reporting channels. The results demonstrate that employee job satisfaction and communication are pivotal factors in determining an organization’s ability to achieve its strategic objectives.

Table 4.
Best practices for promoting equity and inclusion in the workplace.
When employees are satisfied with their work environment, feel empowered to voice their ideas and concerns, and experience effective information exchange with management, they are more likely to actively participate in discretionary behaviors that contribute to productivity and overall organizational performance. This is in line with previous research, which has consistently shown that fostering a positive, engaging, and collaborative work culture is essential for unlocking the full potential of the human capital within an organization. Importantly, the use of an ANN in this context has allowed the researchers to move beyond simplistic, linear models and uncover the intricate interplay between the various variables of interest. By training the ANN on data from diverse organizational samples, this study has been able to identify patterns and relationships that may have been obscured or underestimated using traditional analytical approaches. The hidden layer of the ANN, acting as a feature extraction and transformation mechanism, has enabled the capture of the nuanced, non-linear interactions between employee attitudes, management strategies, and organizational outcomes.
This enhanced understanding of the complex dynamics within the employee–management interface has significant implications for both researchers and practitioners. From a theoretical standpoint, the findings contribute to the ongoing dialogue surrounding the role of human capital in driving economic progress, highlighting the importance of moving beyond simplistic, reductionist models and embracing more sophisticated analytical tools that can account for the inherent complexity of organizational phenomena. For practitioners, the insights gleaned from this study can inform the development of evidence-based human resource management practices and organizational development interventions. By prioritizing the cultivation of employee job satisfaction and effective communication channels, managers can unlock the full potential of their workforce and create a work environment that is conducive to increased participation, productivity, and overall organizational performance. This, in turn, can have a direct and tangible impact on the organization’s economic progress and competitiveness within its respective industry. Furthermore, the successful application of ANNs in this context demonstrates the growing potential of advanced analytical techniques to inform strategic decision-making and drive organizational transformation.
As businesses continue to grapple with the challenges posed by rapidly changing market conditions, technological disruption, and evolving workforce dynamics, the ability to leverage data-driven insights and uncover hidden patterns within complex organizational systems will become increasingly crucial. Looking ahead, future research should explore the generalizability of these findings across a wider range of industries, cultural contexts, and organizational structures. Additionally, investigations into the specific mechanisms and causal pathways underlying the relationships between employee behaviors, management practices, and economic progress would further strengthen the theoretical and practical implications of this work. Longitudinal studies that track the long-term impacts of interventions aimed at enhancing employee–management interactions would also be valuable in understanding the sustainability and scalability of the observed effects. The current study has shown a compelling illustration of the critical role that the interaction between employees and management plays in shaping the economic progress and performance of organizations.
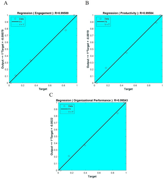
By harnessing the power of ANNs and other advanced analytical tools, researchers and practitioners can gain deeper insights into the complex, non-linear dynamics that underpin the employee–management interface, ultimately informing evidence-based decision-making and driving sustainable organizational transformation. The linear regression analysis, as depicted in Figure 4, confirms that the ANN achieved a very high accuracy, with an error of less than 1% compared to the targets in Table 1.

Figure 4.
Linear regression analysis of the ANN’s accuracy in predicting (A) participation, (B) productivity, and (C) organizational performance.
The model successfully predicted the relationships between participation, productivity, and organizational performance. Figure 5 shows the ANN architecture employed in the current study to investigate the relationships between employee behavior, management practices, and organizational outcomes. The ANN model features an input layer with two nodes, corresponding to the key predictor variables of job satisfaction and communication. These input variables were carefully selected based on prior research demonstrating their importance as drivers of individual and team-level behaviors that can significantly impact organizational effectiveness.

Figure 5.
Schematic of the ANN with a hidden layer of five neurons and two input variables (job satisfaction and communication) used to predict participation, productivity, and organizational performance across five samples.
Organizations can take the following steps to effectively implement best practices and create a more inclusive work environment: Secure leadership commitment by gaining buy-in and active involvement from executive leadership, which is critical to drive sustainable change, and having leaders visibly champion equity and inclusion efforts, allocate necessary resources, and hold managers accountable. Conduct a thorough assessment by performing an honest, data-driven audit of the current state of diversity, equity, and inclusion and identifying key pain points, disparities, and areas for improvement through employee surveys, focus groups, and HR data analysis. Develop a comprehensive strategy by formulating a long-term, organization-wide DE&I strategy with clear goals, metrics, and implementation plans, ensuring the strategy is aligned with the company’s overall business objectives and values. Embed DE&I into organizational processes by integrating equity and inclusion considerations into core HR functions like recruiting, performance management, and training and establishing clear policies, systems, and accountability measures to drive consistent implementation. Foster a culture of belonging by actively working to build an organizational culture where all employees feel they belong, are valued, and can thrive and providing ongoing training, facilitating open dialogues, and empowering employee resource groups (see Figure 6).

Figure 6.
Organizations can take the following steps to effectively implement best practices and create a more inclusive work environment.
Monitor progress and iterate by continuously tracking progress against DE&I goals and making data-driven adjustments to the strategy as needed and soliciting ongoing feedback from employees and external stakeholders to identify new challenges and opportunities. Hold everyone accountable by tying DE&I performance to compensation, promotion, and other key outcomes for managers and executives and ensuring all employees understand their individual roles and responsibilities in building a more inclusive workplace. Figure 7 shows that organizations can take the following steps to effectively implement best practices and create a more inclusive work environment: Secure Leadership Commitment - gain buy-in and active involvement from executive leadership, which is critical to drive sustainable change, and have leaders visibly champion equity and inclusion efforts, allocate necessary resources, and hold managers accountable.

Figure 7.
Organizations can take the following steps to effectively implement best practices and create a more inclusive work environment.
A case study of Acme Inc. illustrates how organizations can strategically integrate equity and inclusion considerations into their core human resource functions. The company’s multifaceted approach encompasses revisions to recruiting and hiring practices, performance management systems, and learning and development initiatives [,,,,]. Specific measures include addressing potential biases in job postings and candidate screening, providing structured interview training and set diversity hiring goals for recruiters and managers, updating performance review criteria to emphasize inclusive leadership behaviors, implementing calibration processes to mitigate demographic disparities, developing comprehensive DE&I training programs, and establishing sponsorship and mentorship opportunities for underrepresented talent [,,,,]. By embedding these evidence-based practices across the employee lifecycle, Acme Inc. is able to systematically cultivate a more inclusive organizational culture and drive sustainable progress towards its diversity, equity, and inclusion objectives (see Figure 8).

Figure 8.
Organizational strategies to integrate diversity, equity, and inclusion (DE&I) considerations into core human resource functions and operational processes represent a pivotal component of comprehensive efforts to cultivate a more inclusive work environment.
This research study investigates the role of employee behavior and its interaction with management in driving economic progress, aiming to shed light on how factors like job satisfaction, motivation, and communication influence worker outcomes and organizational performance. The novel approach recognizes the dynamic employee–management relationship, emphasizing the importance of harmonious collaboration in fostering a conducive work environment. Through comprehensive analysis, the study intends to provide valuable insights and practical implications for organizations to optimize employee–employer relationships and enhance workforce productivity.
Figure 9 shows that the rollout of Acme Inc.‘s equity, Kaizen, a Japanese business, and inclusion initiatives involved navigating several key organizational challenges. Embedding DE&I deeply into core HR processes and company culture represented a significant change, potentially leading to resistance from some managers and employees. Acme also had to invest in building internal DE&I expertise and capability to effectively implement initiatives like structured interviews and performance review calibration. Additionally, the company faced data and accountability gaps, struggling to obtain reliable people analytics to measure progress and hold leaders accountable [,,,,]. Many studies have shown the pivotal interplay between employee behavior and management practices, which is found to play a crucial role in driving organizational advancement and economic progress [,,,,]. Numerous scholars have delved into the intricate dynamics between employee conduct, managerial approaches, and organizational performance through the application of advanced artificial intelligence techniques [,,,,]. Significantly, studies have emphasized the importance of harmonious collaboration between employees and management in fostering a work environment conducive to economic development []. The existing knowledge base offers practical implications for organizations seeking to optimize the employee–employer relationship and enhance the overall workforce productivity, ultimately contributing to sustainable economic growth. Finally, Acme had to contend with budget and resource constraints, as comprehensively overhauling recruiting, performance management, and learning systems can be resource-intensive. Sustaining momentum and driving continuous improvement also proved challenging, as cultivating lasting cultural change requires ongoing commitment and iteration [,,,,]. Studies have utilized artificial neural networks (ANNs) and machine learning (ML) algorithms to predict macroeconomic trends and develop sustainable business management strategies [,,,].

Figure 9.
Key challenges in implementing DE&I initiatives at Acme Inc.
4. Conclusions
The results of this study suggest that enhancing employee job satisfaction and organizational communication can lead to increased levels of employee participation, productivity, and overall organizational performance. The results indicate that employee participation reaches its maximum level when both job satisfaction and communication are at their peak. Similarly, the study demonstrates that productivity and organizational performance attain their optimal states when job satisfaction and communication are both maximized. Conversely, the data reveal that, when both of these parameters are at their lowest levels, employee participation, productivity, and organizational performance are generally higher compared to other conditions. The relationship between employee behavior and the organization’s management practices is a critical determinant of the economic progress and outcomes for workers. By fostering a culture of employee engagement, empowerment, and continuous learning, managers can unlock the full potential of their workforce, aligning individual goals with the organization’s strategic objectives and driving sustained economic growth. This symbiotic relationship between employees and management is a key driver of organizational success, and its effective management can be the difference between organizational stagnation and prosperity in the competitive business landscape. By employing advanced analytical techniques such as artificial neural networks, the researchers were able to uncover the complex, non-linear relationships between key factors, including employee job satisfaction, communication, participation, productivity, and the organization’s broader performance outcomes. The results demonstrate that enhancing employee job satisfaction and establishing effective communication channels can significantly boost employee engagement, productivity, and the organization’s financial and operational success. These insights provide valuable implications for both academic researchers and industry practitioners, emphasizing the importance of fostering a positive, collaborative work environment that effectively leverages the full potential of an organization’s human capital. Going forward, further investigations into the specific mechanisms and causal pathways underlying these dynamic relationships, as well as longitudinal studies on the sustainability of such employee-centric interventions, could strengthen the theoretical and practical contributions of this line of research. Nonetheless, the current study offers evidence-based strategies for organizations seeking to optimize their employee–employer relationships and drive sustained economic progress.
Funding
This work was supported by the scientific and technological innovation project.
Institutional Review Board Statement
This work did not include any human participants.
Informed Consent Statement
Not applicable.
Data Availability Statement
The datasets supporting the conclusions of this study are included within the article.
Conflicts of Interest
The author has declared that no competing interests exist.
References
- Garg, S.; Sinha, S.; Kar, A.K.; Mani, M. A review of machine learning applications in human resource management. Int. J. Product. Perform. Manag. 2022, 71, 1590–1610. [Google Scholar] [CrossRef]
- Zhu, H. Research on human resource recommendation algorithm based on machine learning. Sci. Program. 2021, 2021, 8387277. [Google Scholar] [CrossRef]
- Pap, J.; Mako, C.; Illessy, M.; Kis, N.; Mosavi, A. Modeling organizational performance with machine learning. J. Open Innov. Technol. Mark. Complex. 2022, 8, 177. [Google Scholar] [CrossRef]
- Pekel Ozmen, E.; Ozcan, T. A novel deep learning model based on convolutional neural networks for employee churn prediction. J. Forecast. 2022, 41, 539–550. [Google Scholar] [CrossRef]
- Riaz, H.; Ghanghas, S. Artificial Intelligence in Employee Performance Evaluation and Its Managerial Implication. J. Inform. Educ. Res. 2024, 4, 299–307. [Google Scholar]
- Bankins, S.; Ocampo, A.C.; Marrone, M.; Restubog, S.L.D.; Woo, S.E. A multilevel review of artificial intelligence in organizations: Implications for organizational behavior research and practice. J. Organ. Behav. 2024, 45, 159–182. [Google Scholar] [CrossRef]
- Indira, G.; Bhavani, M.; Brinda, R.; Zahira, R. Electricity Load Demand Prediction for Microgrid Energy Management System Using Hybrid Adaptive Barnacle-Mating Optimizer with Artificial Neural Network Algorithm. Energy Technol. 2024, 12, 2301091. [Google Scholar] [CrossRef]
- Thomas, B.; Senith, S.; Kirubaraj, A.A.; Ramson, S.J. Does management graduates’ emotional intelligence competencies predict their work performance? Insights from Artificial Neural Network Study. Mater. Today Proc. 2022, 58, 466–472. [Google Scholar] [CrossRef]
- Gong, Y.; Zhao, M.; Wang, Q.; Lv, Z. Design and interactive performance of human resource management system based on artificial intelligence. PLoS ONE 2022, 17, e0262398. [Google Scholar] [CrossRef] [PubMed]
- Pereira, V.; Hadjielias, E.; Christofi, M.; Vrontis, D. A systematic literature review on the impact of artificial intelligence on workplace outcomes: A multi-process perspective. Hum. Resour. Manag. Rev. 2023, 33, 100857. [Google Scholar] [CrossRef]
- Arzani, S.; Fatalla, A.; Veseli, E.; Khademi, A.; Khandan, A.; Fahmy, M.; Mirmohammadi, H.; Hasselgren, G.; Bang, H.; Kolahi, J.; et al. Revolutionizing systematic reviews and meta-analyses: The role of artificial intelligence in evidence synthesis. Dent. Hypotheses 2023, 14, 93–94. [Google Scholar] [CrossRef]
- Nath, G.; Wang, Y.; Coursey, A.; Saha, K.K.; Prabhu, S.; Sengupta, S. Incorporating a machine learning model into a Web-based administrative decision support tool for predicting workplace absenteeism. Information 2022, 13, 320. [Google Scholar] [CrossRef]
- Borch, C.; Hee Min, B. Toward a sociology of machine learning explainability: Human–machine interaction in deep neural network-based automated trading. Big Data Soc. 2022, 9, 20539517221111361. [Google Scholar] [CrossRef]
- Biswas, A.K.; Seethalakshmi, R.; Mariappan, P.; Bhattacharjee, D. An ensemble learning model for predicting the intention to quit among employees using classification algorithms. Decis. Anal. J. 2023, 9, 100335. [Google Scholar] [CrossRef]
- Benbya, H.; Davenport, T.H.; Pachidi, S. Artificial intelligence in organizations: Current state and future opportunities. MIS Q. Exec. 2020, 19, 4. [Google Scholar] [CrossRef]
- Mukhamediev, R.I.; Popova, Y.; Kuchin, Y.; Zaitseva, E.; Kalimoldayev, A.; Symagulov, A.; Levashenko, V.; Abdoldina, F.; Gopejenko, V.; Yakunin, K.; et al. Review of artificial intelligence and machine learning technologies: Classification, restrictions, opportunities and challenges. Mathematics 2022, 10, 2552. [Google Scholar] [CrossRef]
- Gue, I.H.V.; Ubando, A.T.; Tseng, M.L.; Tan, R.R. Artificial neural networks for sustainable development: A critical review. Clean Technol. Environ. Policy 2020, 22, 1449–1465. [Google Scholar] [CrossRef]
- Mer, A.; Srivastava, A. Employee engagement in the new normal: Artificial intelligence as a buzzword or a game changer? In The Adoption and Effect of Artificial Intelligence on Human Resources Management, Part A; Emerald Publishing Limited.: Bingley, UK, 2023; pp. 15–46. [Google Scholar]
- Ranta, M.; Ylinen, M. Employee benefits and company performance: Evidence from a high-dimensional machine learning model. Manag. Account. Res. 2023, 2023, 100876. [Google Scholar] [CrossRef]
- Mittal, S.; Mahendra, S.; Sanap, V.; Churi, P. How can machine learning be used in stress management: A systematic literature review of applications in workplaces and education. Int. J. Inf. Manag. Data Insights 2022, 2, 100110. [Google Scholar] [CrossRef]
- Kamatchi, D.; Kumar, B.V. Application of Artificial Neural Network with Various Algorithms Tools in Numerous Sectors—A Review. Period. Mineral. 2022, 91. [Google Scholar]
- Ozden, E.; Guleryuz, D. Optimized machine learning algorithms for investigating the relationship between economic development and human capital. Comput. Econ. 2022, 60, 347–373. [Google Scholar] [CrossRef]
- Chan, J.Y.; Wang, Z.; Xie, Y.; Meisel, C.A.; Meisel, J.D.; Solano, P.; Murillo, H. Identifying potential managerial personnel using pagerank and social network analysis: The case study of a european it company. Appl. Sci. 2021, 11, 6985. [Google Scholar] [CrossRef]
- Kumar, M.; Raut, R.D.; Mangla, S.K.; Ferraris, A.; Choubey, V.K. The adoption of artificial intelligence powered workforce management for effective revenue growth of micro, small, and medium scale enterprises (MSMEs). Prod. Plan. Control 2022, 1–17. [Google Scholar] [CrossRef]
- Zohuri, B.; Rahmani, F.M. Artificial intelligence driven resiliency with machine learning and deep learning components. Jpn. J. Res. 2023, 1, 1–5. [Google Scholar] [CrossRef]
- Gao, Q.; Xu, J.; Wang, Q.; Wu, C. The use of the analytic hierarchy process in improving psychological empowerment and employee performance. J. Organ. End User Comput. (JOEUC) 2023, 35, 1–22. [Google Scholar] [CrossRef]
- Kaushal, N.; Kaurav, R.P.S.; Sivathanu, B.; Kaushik, N. Artificial intelligence and HRM: Identifying future research Agenda using systematic literature review and bibliometric analysis. Manag. Rev. Q. 2023, 73, 455–493. [Google Scholar] [CrossRef]
- Anshari, M.; Syafrudin, M.; Tan, A.; Fitriyani, N.L.; Alas, Y. Optimisation of knowledge management (KM) with machine learning (ML) Enabled. Information 2023, 14, 35. [Google Scholar] [CrossRef]
- Young, A.G.; Majchrzak, A.; Kane, G.C. Organizing workers and machine learning tools for a less oppressive workplace. Int. J. Inf. Manag. 2021, 59, 102353. [Google Scholar] [CrossRef]
- Sturm, T.; Gerlach, J.P.; Pumplun, L.; Mesbah, N.; Peters, F.; Tauchert, C.; Nan, N.; Buxmann, P. Coordinating Human and Machine Learning for Effective Organizational Learning. MIS Q. 2021, 45, 1581–1602. [Google Scholar] [CrossRef]
- Momade, M.H.; Durdyev, S.; Dixit, S.; Shahid, S.; Alkali, A.K. Modeling labor costs using artificial intelligence tools. Int. J. Build. Pathol. Adapt. 2022. [Google Scholar] [CrossRef]
- Baashar, Y.; Alkawsi, G.; Mustafa, A.; Alkahtani, A.A.; Alsariera, Y.A.; Ali, A.Q.; Hashim, W.; Tiong, S.K. Toward predicting student’s academic performance using artificial neural networks (ANNs). Appl. Sci. 2022, 12, 1289. [Google Scholar] [CrossRef]
- Noman, A.A.; Akter, U.H.; Pranto, T.H.; Haque, A.K.M. Machine learning and artificial intelligence in circular economy: A bibliometric analysis and systematic literature review. Ann. Emerg. Technol. Comput. (AETiC) 2022, 6, 13–40. [Google Scholar] [CrossRef]
- Florez-Perez, L.; Song, Z.; Cortissoz, J.C. Using machine learning to analyze and predict construction task productivity. Comput. -Aided Civ. Infrastruct. Eng. 2022, 37, 1602–1616. [Google Scholar] [CrossRef]
- Farashaei, D.; Honarbakhsh, A.; Movahedifar, S.M.; Shakeri, E. Individual flexibility and workplace conflict: Cloud-based data collection and fusion of neural networks. Wirel. Netw. 2022, 30, 4093–4108. [Google Scholar] [CrossRef]
- Uppal, M.; Gupta, D.; Juneja, S.; Dhiman, G.; Kautish, S. Cloud-based fault prediction using IoT in office automation for improvisation of health of employees. J. Healthc. Eng. 2021, 2021, 8106467. [Google Scholar] [CrossRef]
- Lee, A.; Inceoglu, I.; Hauser, O.; Greene, M. Determining causal relationships in leadership research using Machine Learning: The powerful synergy of experiments and data science. Leadersh. Q. 2022, 33, 101426. [Google Scholar] [CrossRef]
- Baduge, S.K.; Thilakarathna, S.; Perera, J.S.; Arashpour, M.; Sharafi, P.; Teodosio, B.; Shringi, A.; Mendis, P. Artificial intelligence and smart vision for building and construction 4.0: Machine and deep learning methods and applications. Autom. Constr. 2022, 141, 104440. [Google Scholar] [CrossRef]
- Vatansever, S.; Schlessinger, A.; Wacker, D.; Kaniskan, H.Ü.; Jin, J.; Zhou, M.M.; Zhang, B. Artificial intelligence and machine learning-aided drug discovery in central nervous system diseases: State-of-the-arts and future directions. Med. Res. Rev. 2021, 41, 1427–1473. [Google Scholar] [CrossRef] [PubMed]
- Tariq, M.U.; Poulin, M.; Abonamah, A.A. Achieving operational excellence through artificial intelligence: Driving forces and barriers. Front. Psychol. 2021, 12, 686624. [Google Scholar] [CrossRef]
- Zhang, S.; Zhang, C.; Su, Z.; Zhu, M.; Ren, H. New structural economic growth model and labor income share. J. Bus. Res. 2023, 160, 113644. [Google Scholar] [CrossRef]
- Zhang, S.; Li, X.; Zhang, C.; Luo, J.; Cheng, C.; Ge, W. Measurement of factor mismatch in industrial enterprises with labor skills heterogeneity. J. Bus. Res. 2023, 158, 113643. [Google Scholar] [CrossRef]
- Li, J.; Liao, Y.; Wang, W.; Han, X.; Cheng, Z.; Sun, G. Is stress always bad? the role of job stress in producing innovative ideas. Knowl. Manag. Res. Pract. 2023, 21, 1–12. [Google Scholar] [CrossRef]
- Duan, W.; Madasi, J.D.; Khurshid, A.; Ma, D. Industrial structure conditions economic resilience. Technol. Forecast. Soc. Chang. 2022, 183, 121944. [Google Scholar] [CrossRef]
- Duan, W.; Li, C. Be alert to dangers: Collapse and avoidance strategies of platform ecosystems. J. Bus. Res. 2023, 162, 113869. [Google Scholar] [CrossRef]
- Li, G.; Luo, J.; Liu, S. Performance Evaluation of Economic Relocation Effect for Environmental Non-Governmental Organizations: Evidence from China. Economics 2024, 18, 20220080. [Google Scholar] [CrossRef]
- Liu, B.; Li, M.; Ji, Z.; Li, H.; Luo, J. Intelligent Productivity Transformation: Corporate Market Demand Forecasting With the Aid of an AI Virtual Assistant. J. Organ. End User Comput. (JOEUC) 2024, 36, 1–27. [Google Scholar] [CrossRef]
- Zhu, D.; Bahadur, W.; Ali, M. The effect of spiritual leadership on proactive customer service performance: The roles of psychological empowerment and power distance. Humanit. Soc. Sci. Commun. 2023, 10, 792. [Google Scholar] [CrossRef]
- Zhang, H.M.; Liu, J.Y.; Chen, J.W. The double-edged sword effect of performance pressure on employee boundary-spanning behavior. J. Chin. Hum. Resour. Manag. 2024, 15, 86–103. [Google Scholar]
- Mushtaq, N.; Xing, M.J.; Bakhtawar, A.; Mufti, M.A. Elevating the influence of HR analytics on organizational performance: An empirical investigation in Hi-Tech manufacturing industry of a developing economy. J. Chin. Hum. Resour. Manag. 2024, 15, 3–40. [Google Scholar]
- Zhu, C. An Adaptive Agent Decision Model Based on Deep Reinforcement Learning and Autonomous Learning. J. Logist. Inform. Serv. Sci. 2023, 10, 107–118. [Google Scholar]
- Lv, X.L.; Chiang, H.D. Visual clustering network-based intelligent power lines inspection system. Eng. Appl. Artif. Intell. 2024, 129, 107572. [Google Scholar] [CrossRef]
- Li, T.; Wang, Z. The bifurcation of constrained optimization optimal solutions and its applications. AIMS Math. 2023, 8, 12373–12397. [Google Scholar] [CrossRef]
- Li, S.; Fang, X.; Liao, J.; Ghadamyari, M.; Khayatnezhad, M.; Ghadimi, N. Evaluating the efficiency of CCHP systems in Xinjiang Uygur Autonomous Region: An optimal strategy based on improved mother optimization algorithm. Case Stud. Therm. Eng. 2024, 54, 104005. [Google Scholar] [CrossRef]
- Khan, M.A.; Abbas, K.; Su’ud, M.M.; Salameh, A.A.; Alam, M.M.; Aman, N.; Mehreen, M.; Jan, A.; Hashim, N.A.A.B.N.; Aziz, R.C. Application of machine learning algorithms for sustainable business management based on macro-economic data: Supervised learning techniques approach. Sustainability 2022, 14, 9964. [Google Scholar] [CrossRef]
Disclaimer/Publisher’s Note: The statements, opinions and data contained in all publications are solely those of the individual author(s) and contributor(s) and not of MDPI and/or the editor(s). MDPI and/or the editor(s) disclaim responsibility for any injury to people or property resulting from any ideas, methods, instructions or products referred to in the content. |
© 2024 by the author. Licensee MDPI, Basel, Switzerland. This article is an open access article distributed under the terms and conditions of the Creative Commons Attribution (CC BY) license (https://creativecommons.org/licenses/by/4.0/).