Abstract
It is of great significance to establish maize water and fertilizer application schemes under multi-objective conditions to improve water- and fertilizer-use efficiency, reduce agricultural greenhouse gas emissions, and promote sustainable agricultural developments. This study aims to analyze the effects of different water and fertilizer combinations on the summer maize yield, water-use efficiency, and field N2O flux and to determine the optimal water and fertilizer application scheme for summer maize. Field experiments were conducted in 2023, with a total of 15 different combinations of upper and lower limits of irrigation and fertilizer levels. A binary quadratic regression model based on the yield, water-use efficiency, and N2O emission flux was constructed. The fast non-dominated sorting genetic algorithm III (NSGA-III) was employed for verification and solution finding to simulate the optimal water and fertilizer regime. The results indicate that with increasing water and fertilizer applications, the field N2O emission flux gradually increases. The summer maize yield and water-use efficiency show a trend of initially increasing and then decreasing. Compared to fertilization, irrigation has a more significant impact on the summer maize yield and water-use efficiency, while fertilization notably influences the field N2O emission flux to a greater extent. Using NSGA-III, the simulated optimal water and fertilizer combination showed no significant difference in the yield and water-use efficiency compared to the actual optimal water–fertilizer irrigation combination (moderate water and moderate fertilizer), with a 3.12% increase in the field N2O emission flux, a 15.30% decrease in the irrigation amount, and an 11.90% reduction in the fertilizer application. In conclusion, employing the optimized water and fertilizer combination can reduce agricultural irrigation and fertilization while ensuring crop yields, providing theoretical support for the green, efficient, and sustainable development of the summer maize industry.
1. Introduction
Summer maize is the most widely planted cereal crop in China. Summer maize accounts for about 35% of the total food crop area [1]. Under dryland conditions, an appropriate water and fertilizer-ratio model can significantly increase crop yields. Water is crucial throughout the crop-growth process, and water and nutrients are indispensable factors for crops [2]. Appropriate water and fertilizer management benefits high crop yields, whereas indiscriminate water and fertilizer practices not only hinder crop growth and development but also result in the wastage of water and fertilizer resources and environmental pollution [3].Currently, the efficiency of water and fertilizer utilization in China remains at a relatively low level. Issues such as the wastage of water and fertilizer resources, environmental pollution, and increased carbon emissions have not been effectively addressed. Therefore, improving the efficiency of water- and fertilizer-resource utilization will effectively promote the green, efficient, and sustainable development of agriculture in China [4,5].
The core of the water–fertilizer coupling effect lies in leveraging the organic connection between the water and fertilizer to manage crops, enhance crop yields, and water- and fertilizer-use efficiency. Therefore, the effective regulation of water and fertilizers is particularly crucial in the cultivation of summer maize [6,7,8,9]. Numerous scholars have conducted relevant research on this issue. Viets [10] believes that the root absorption of nutrients and water by summer maize is a process that is mutually independent. Physiological processes and soil microorganisms are influenced by the effectiveness of water and fertilizers. Li Hui and colleagues found that the summer maize yield increases with increased water and nitrogen application, but beyond a certain range, this suppresses maize yield and reduces water- and fertilizer-use efficiency [11]. Therefore, an appropriate water and fertilizer application is beneficial for promoting the summer maize yield and improving water- and fertilizer- use efficiency. Therefore, an appropriate water and fertilizer application is beneficial for promoting the summer maize yield and improving water- and fertilizer-use efficiency. Irrigation and fertilization have significant impacts on greenhouse gas emissions from agricultural fields [12,13,14]. A large number of field experiments indicate that increasing irrigation and fertilization can enhance crop yields, but excessive irrigation and fertilization also lead to excessive greenhouse gas emissions [15,16]. Qiu et al. pointed out that in dryland ecosystems, nitrogen fertilization significantly increases field emissions of N2O and CO2 [17]. Shcherbak et al. found that with an increasing fertilizer application, N2O emissions increase exponentially [18]. Therefore, the rational application of water and fertilizers is of utmost importance for mitigating N2O emissions from agricultural fields.
Numerous scholars’ studies indicate that crop responses to irrigation and fertilizer levels can be represented by quadratic surfaces, with a good fit. He Jinyu et al. established a ternary quadratic regression model for rice yields and validated the model accuracy through 2a experiments. Optimization of the model yielded optimal combinations of water, nitrogen, and phosphorus for different yields, providing theoretical support for water and fertilizer conservation in rice cultivation [19]. Hu Xiaohui et al. conducted ternary quadratic fitting on the experimental data of bag-cultivated chili pepper yields, comprehensive fruit quality, and water- and fertilizer-use efficiency, achieving a good fit [20]. Regarding the optimization of water and fertilizer application strategies, numerous scholars have used comprehensive evaluation models or multi-objective optimization models to select optimal water and fertilizer application schemes [21]. Zhang et al. used the integrated difference combination evaluation model to optimize a high-yield, high-quality, and economically efficient water and fertilizer management model for potatoes [22]. Ma Jianqin et al. proposed an optimal water and fertilizer combination for summer maize by establishing a dual-objective optimization model of water–fertilizer coupling, suggesting an irrigation of 848.24 m3/hm2 and fertilization of 192.66 kg/hm2 [23]. Therefore, investigating the effects of different water–fertilizer couplings on field N2O gas emissions and yields of summer maize and determining appropriate irrigation and fertilization levels is of significant practical value for improving maize yields, water-use efficiency, and reducing agricultural greenhouse gas emissions.
In existing research, scholars have mostly focused on the study of water–fertilizer coupling effects on maize morphological traits, such as the leaf area and plant height, as well as on yield and quality indicators. There has been limited research on the impact of water–fertilizer coupling effects on the field N2O emission flux. At the same time, most studies optimize water and fertilizer schemes based on multiple objectives, such as yield and quality, with little consideration for the field N2O emission flux. This study incorporates the field N2O emission flux as an optimization target for water and fertilizer schemes, aiming to reduce the field N2O emission flux under reasonable water and fertilizer regimes. This provides empirical support for reducing the field N2O emission flux in summer maize cultivation. Therefore, this study conducted field trials of summer maize under different water and fertilizer combinations, combined with measurements of the maize yield, water-use efficiency, and field N2O emission flux. Using binary a quadratic regression analysis, a water–fertilizer coupling regression model for the maize yield, water-use efficiency, and field N2O emission flux was established. This study includes a single-factor effect analysis and coupling effect analysis of the model. Genetic algorithms were employed to seek the optimal water and fertilizer schemes. The aim of this research was to provide empirical support for improving water-use efficiency in summer maize irrigation, promoting water-saving measures and technologies, reducing emissions, and achieving carbon neutrality.
2. Materials and Methods
2.1. Overview of the Study Area
The experimental site is located at the Agricultural Water Conservation and High Efficiency Experiment Field of the North China Institute of Water Resources and Hydropower in the Jinshui District, Zhengzhou City, Henan Province (34°47′ N, 113°46′ E; elevation, 110.4 m) (as shown in Figure 1). This region belongs to a warm temperate continental climate, with an average annual temperature of approximately 14.3 °C and an average annual rainfall of around 640 mm. The annual cumulative sunshine duration is about 2400 h, which is suitable for the cultivation of summer maize. Rainfall is unevenly distributed throughout the year, mainly concentrated from June to September, accounting for 53.3% of the annual rainfall. Irrigation is required during the growing season of summer maize. The experimental area was determined to have sandy loam soil, with a bulk density of 1440 kg/m3, a soil porosity of 40%, and a field water holding capacity of 32%, as measured by experiments.
Figure 1.
Locational map of the experimental field.
2.2. Experimental Design
The experiment used the maize variety Guoshen Zhenghuangnuo 2, sown on 9 June 2023, with row spacing of 70 cm and plant spacing of 30 cm. The maize was harvested on 29 September 2023, with a total growth period of 112 days. The experiment was designed with three irrigation levels, each with an upper limit of 90% of the field capacity (θf) and irrigation lower limits of 60% of θf, 70% of θf, and 80% of θf, respectively, with rain-fed conditions used as a control. A compound fertilizer was applied as the base fertilizer before sowing, using the Xinlianxin Meike Long soluble compound fertilizer, with additional fertilization conducted on July 17. The fertilizer treatments were divided into high fertilizer at 216 kg/hm2, medium fertilizer at 180 kg/hm2, and low fertilizer at 144 kg/hm2. To improve the accuracy of the measurement data, two experimental groups were set with an irrigation lower limit of 70% of the field capacity (θf) in this study. There were 15 treatments in total, with one irrigation level corresponding to three fertilization levels, using drip irrigation and integrated water and fertilizer equipment (as shown in Table 1). Each treatment plot in the experimental area measured 16 m2, with dimensions of 4 m by 4 m, and was planted with 6 rows of maize, totaling 78 plants.
Table 1.
Field experiment treatments of summer maize.
2.3. Measurement Items and Methods
2.3.1. Measurement of Farmland N2O Emission Flux
During the growing season of summer maize, the farmland N2O emission flux was continuously measured using the static chamber method, with one sampling chamber arranged in each experimental plot, ensuring no interference between chamber positions. The sampling time was from 8:00 a.m. to 11:00 a.m. Gas sampling was conducted from June to September, with sampling intervals of 7 days in the early period and 15 days in the later period. Gas samples were collected one day after irrigation and fertilization, with delays in sampling during heavy rainfall. The sampling interval was 30 min. Gas samples of 30 mL were extracted from the well-mixed gas inside the chamber at 0 and 30 min using a syringe and collected in vacuum bags. After sampling, an analysis was performed using the Agilent Technologies 5890 Gas Chromatograph (temperature setting resolution—1 °C; temperature stability—superior to 0.01 °C when the ambient temperature changes by 1 °C; hydrogen flame ionization detector—minimum detection limit of 5 Pg/s (carbon-based and n-tridecane), with a dynamic linear range of 107 (±10%).
The formula for calculating the farmland N2O emission flux () is as follows [24]:
In this equation, represents the soil gas emission flux, mg/(m2·h); represents the gas density under standard conditions, g/cm3; represents the height of the sampling chamber, m; represents the temperature inside the chamber during sampling, and °C; represents the rate of change of the gas concentration inside the chamber, μL/(m3·h).
The formula for calculating the cumulative N2O emission flux during the entire growth period of summer maize in the farmland [24] is as follows:
In this equation, represents the total amount of N2O emissions from the farmland; subscript i denotes the sampling times; and t represents the sampling time, d.
2.3.2. Determination of Summer Maize Yield
During the maize maturity stage, two rows of maize ears from each treatment were randomly harvested. After drying to a safe moisture content (14%), the number of ears, number of grains per ear, and hundred-grain weight were measured, and the yield per unit area (kg/hm2) was calculated.
2.3.3. Determination of Soil Moisture Content
Using the ECH2O system to measure the soil moisture, probes were buried at a depth of 30 cm in the experimental field, based on the deep root development of summer maize. The soil moisture content was measured daily.
2.3.4. Crop Irrigation Volume
In this experiment, irrigation volume calculations are based on three preset lower limits: 60% , 70% , and 80% irrigation thresholds. When the measured soil moisture falls below the designated lower limit for a plot, irrigation decisions were made based on real-time meteorological data. If rainfall occurred before or after irrigation, priority was given to incorporating rainfall, adjusting irrigation timing based on the amount of effective rainfall and the water the maize needed, until reaching the designated upper limit of the soil moisture content. The formula for calculating the amount of irrigation water is as follows:
In this equation, represents the soil porosity in the planned wetting layer, expressed as a percentage; denotes the depth of the planned wetting layer for day i of crop growth, measured in meters; is the target soil moisture content to be achieved after irrigation, expressed as a percentage; is the initial soil moisture content for day i, expressed as a percentage; and represents the field capacity of the soil, expressed as a percentage.
2.3.5. Crop Water Consumption
Crop water consumption refers to the sum of inter-row evaporation and plant transpiration. The water consumption during the maize growing season can be calculated using the water balance equation. This formula is as follows:
In this equation, represents the evapotranspiration during the maize growing season in millimeters (mm); denotes effective rainfall in millimeters (mm); represents groundwater recharge in millimeters (mm), considered as 0 mm in this experiment; and represents the change in soil water storage in the experimental area in millimeters (mm), where
In this equation, represents the soil-layer depth, which is 100 mm in this experiment; denotes the average bulk density of the soil layer within 100 mm, where g/cm3 in this experiment; and represents the average soil moisture content within 100 mm.
2.3.6. Crop Water-Use Efficiency
Crop water-use efficiency refers to the amount of dry matter produced by summer maize per unit of water consumed. The calculation formula is as follows:
In this equation, represents the crop economic yield in kilograms per hectare (kg/hm2), and ET represents the water consumption in cubic meters per hectare (m3/hm2).
2.4. Data Processing
The data were organized and plotted using Excel and MATLAB. Binary quadratic regression models were established for the summer maize yield, water-use efficiency, and field N2O emission flux. The non-dominated sorting genetic algorithm (NSGA-III) was employed to validate and solve the regression models, aiming to simulate the optimal yield, water-use efficiency, and field N2O emission flux.
3. Results
3.1. An Analysis of the Effects of Water and Fertilizer Applications on the Summer Maize Yield, Water-Use Efficiency, and Farmland N2O Emission Flux
To enhance the reliability and comparability of the data, irrigation and fertilization quantities measured in different units were standardized to obtain normalized coding values, as shown in Table 2. The standardization formula used is as follows:
Table 2.
Experimental factor coding table.
In this equation, represents the normalized coding value, denotes the data requiring standardization, represents the mean of the overall data, and represents the standard deviation of the overall data.
Based on the coding values of the irrigation volume and the coding values of the fertilization amount from the data in Table 1, binary quadratic regression models were utilized to establish regression models for the summer maize yield, water-use efficiency, and field N2O emission flux.
y1 = 10,240.49 + 458.38x1 + 49.96x2 − 723.19x12 − 185.66x22 − 99.55x1x2
y2 = 2.91 − 0.12x1 + 0.01x2 − 0.25x12 − 0.09x22 + 0.01x1x2
y3 = 0.64 + 0.01x1 + 0.03x2 + 0.01x1x2
In this equation, y1 represents summer maize yield in kilograms per hectare (kg/hm2), y2 represents water-use efficiency in kilograms per cubic meter (kg/m3), y3 represents the field N2O emission flux in kilograms per hectare (kg/hm2), x1 denotes the coding value of the irrigation volume; and x2 denotes the coding value of the fertilization amount.
The results of the significance analysis for Equations (8)–(10) are P1 = 0.0001, P2 = 0.0001, and P3 = 0.0005, indicating that all regression relationships reach an extremely significant level. Equations (8)–(10) have R2 values of 0.9480, 0.9198, and 0.9775, respectively, indicating a good fit between the regression simulation and actual values. This suggests that simulated values can effectively represent actual ones, and this model can be used to predict the summer maize yield, water-use efficiency, and simulated field N2O emissions. From the first-order coefficients in Equation (8), it is evident that the impact of the irrigation volume on the summer maize yield is greater than that of the fertilization amount. Within a certain range, both the irrigation volume and fertilization amount have a positive effect on the summer maize yield. From the first-order coefficients in Equation (9), it is evident that the impact of the irrigation volume on the summer maize water-use efficiency is greater than that of the fertilization amount. The fertilization amount has a positive effect on the summer maize water-use efficiency, while the irrigation volume has a negative effect. From the first-order coefficients in Equation (10), it is evident that the impact of the fertilization amount on the field N2O emission flux is greater than that of the irrigation volume. Additionally, both the irrigation volume and fertilization amount have a positive effect on the field N2O emission flux.
3.1.1. Single-Factor Analysis
To further explore the individual effects of each factor on the yield and water-use efficiency, Equations (8)–(10) were subjected to dimensionality reduction to obtain single-factor-effect functions:
y1x1 = 10,240.49 + 458.38x1 − 723.19x12
y1x2 = 10,240.49 + 49.96x2 − 185.66x22
y2x1 = 2.91 − 0.12x1 − 0.25x12
y2x2 = 2.91 + 0.01x2 − 0.09x22
y3x1 = 0.64 + 0.01x1
y3x2 = 0.64 + 0.03x2
In these equations, y1x1 and y1x2 represent the single-factor effect functions of the irrigation volume and fertilization amount on the summer maize yield, respectively; y2x1 and y2x2 represent the single-factor effect functions of the irrigation volume and fertilization amount on the summer maize water-use efficiency, respectively; y3x1 and y3x2 represent the single-factor effect functions of the irrigation volume and fertilization amount on the summer maize field N2O emission flux, respectively.
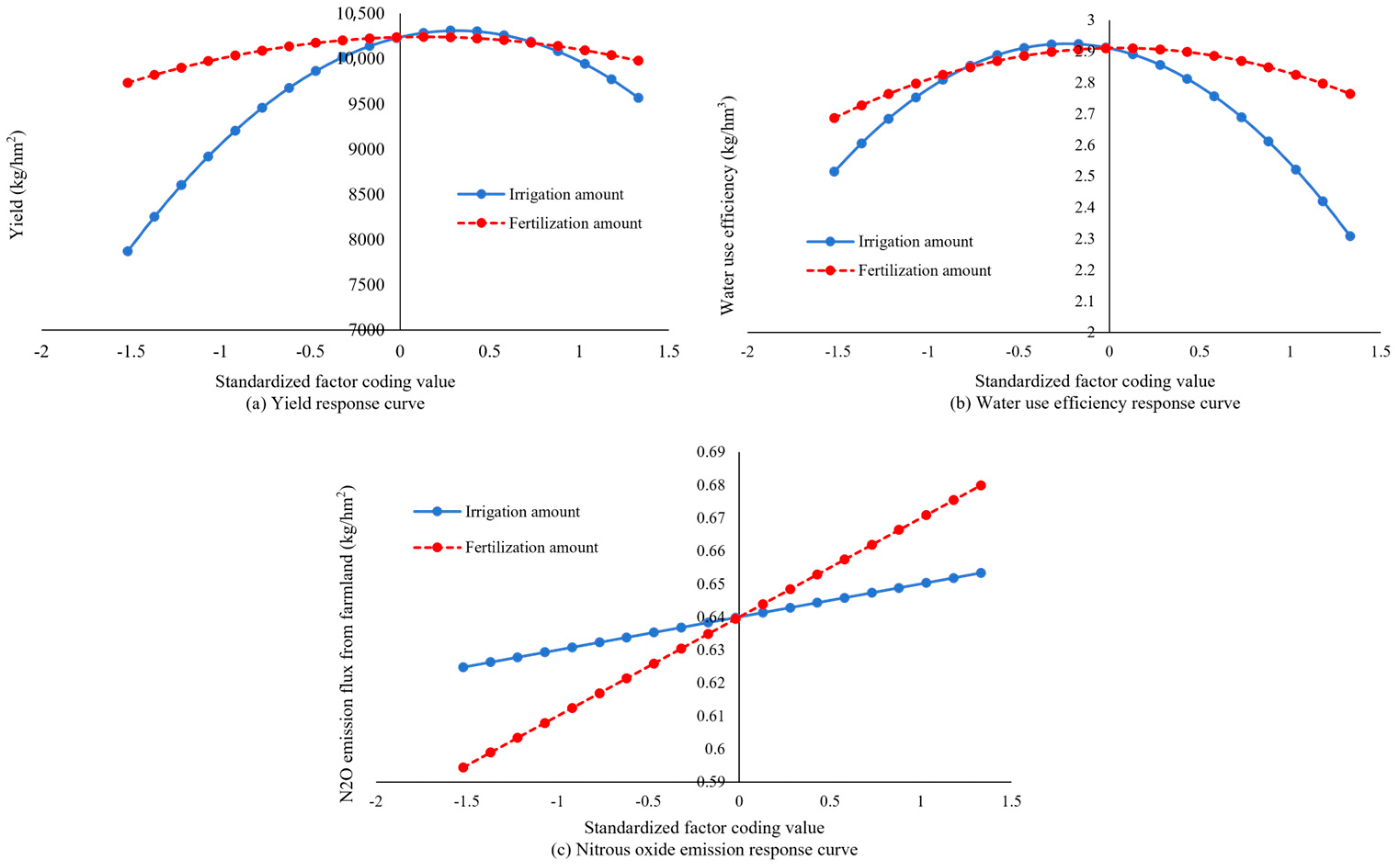
From Figure 2a, it can be observed that the single-factor effect curve of the summer maize yield is a downward-opening unimodal parabola, indicating the presence of a maximum value. Although the impact of irrigation on the summer maize yield is greater than that of fertilization, the trend of the two factors’ influence on the yield remains consistent. The yield of summer maize follows a parabolic trend of initially increasing and then decreasing with the increase of both irrigation and fertilization. From Figure 2b, it can be observed that the single-factor effect curve of the water-use efficiency for summer maize forms a downward-opening parabolic shape, indicating the presence of a maximum value. The water-use efficiency of summer maize increases with the increase in the irrigation amount. After reaching its peak, the water-use efficiency decreases with further increases in the irrigation amount. The water-use efficiency of summer maize shows little variation with increasing fertilization within the experimental range, indicating that the impact of fertilization on water-use efficiency is not significant. From Figure 2c, it can be observed that the effect curve of irrigation on N2O emissions from summer maize fields is a straight line with a slope of K = 0.01, while the effect curve of fertilization on N2O emissions from summer maize fields is a straight line with a slope of K = 0.03. Fertilization has a greater impact on N2O emissions from the fields than irrigation. The N2O emissions from summer maize fields gradually increase with irrigation, and they also gradually increase with fertilization. The variation patterns observed in the single-factor effect curves indicate that within a certain range, irrigation and fertilization can enhance both the yield and water-use efficiency of summer maize. However, excessive irrigation and fertilization not only lead to a reduced crop yield but also result in the wastage of water and fertilizer resources, leading to environmental pollution and increased N2O emissions from farmlands. Therefore, identifying a rational water and fertilizer scheme is of significant importance for summer maize production as well as for water and fertilizer conservation and emission reduction.
Figure 2.
Single-factor effect curves.
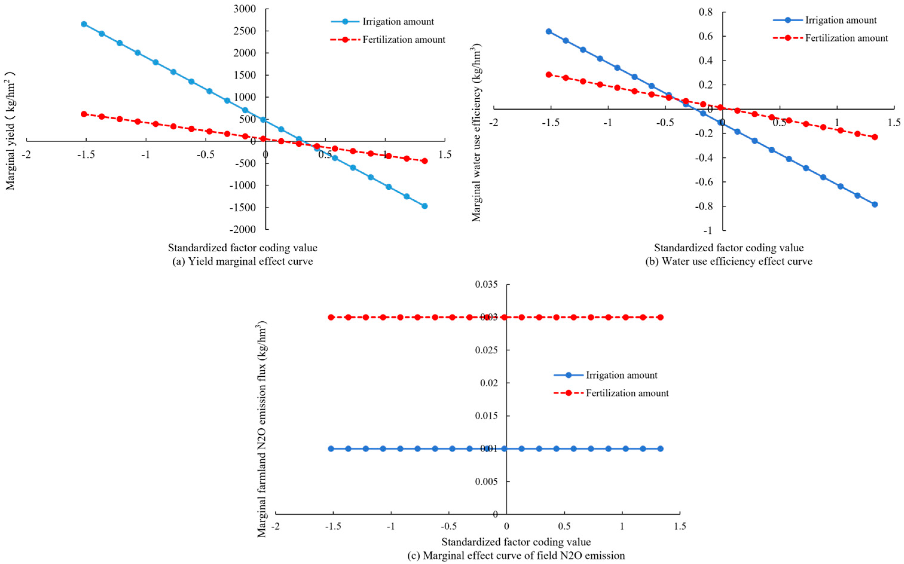
3.1.2. Single-Factor Marginal Effect Analysis
To explore the impact of factor inputs on the rate of change of the dependent variable, we take the first-order partial derivatives of Equations (11)–(16) and obtain the marginal effect functions for single factors.
dy1x1/dx1 = 458.38 − 1446.38x1
dy1x2/dx2 = 49.96 − 371.32x2
dy2x1/dx1 = −0.12 − 0.5x1
dy1x2/dx2 = 0.01 − 0.18x2
dy3x1/dx1 = 0.01
dy3x2/dx2 = 0.03
In these equations, dy1x1/dx1 and dy1x2/dx2 represent the marginal effect functions of irrigation and fertilization on the yield, dy2x1/dx1 and dy1x2/dx2 represent the marginal effect functions of irrigation and fertilization on the water-use efficiency, and dy3x1/dx1 and dy3x2/dx2 represent the marginal effect functions of irrigation and fertilization on the farmland N2O emission flux. The single-factor marginal effect curves are shown in Figure 3.
Figure 3.
The marginal effect curves for single factors.
As shown in Figure 3, the marginal effect curves for the summer maize yield and water-use efficiency exhibit a downward trend, with the intersection point on the X-axis representing the optimal input level. The marginal effect function for the N2O emission flux in summer maize fields, however, appears as a straight line. In Figure 3, the region where y > 0 indicates the promotion of the marginal effect function by each factor, while the region where y < 0 indicates the inhibition of the marginal effect function by each factor. From Figure 3a, it can be seen that for the summer maize yield, irrigation has a promoting effect within the range of −1.8277 < x1 < 0.3169, with the yield reaching its maximum at x1 = 0.3169. However, when irrigation is within the range of 0.3169 < x1 < 1.1476, it inhibits the summer maize yield. When the fertilizer application is within the range of −1.2249 < x2 < 0.1344, it promotes the summer maize yield, reaching its maximum at x2 = 0.1344. However, when the fertilizer application is within the range of 0.1344 < x2 < 1.2249, it inhibits the summer maize yield. As shown in Figure 3b, for the water-use efficiency of summer maize, irrigation has a promoting effect when the irrigation amount is within the range of −1.8277 < x1 < −0.2400, reaching its maximum at x1 = −0.2400. However, when the irrigation amount is within the range of −0.2400 < x1 < 1.1476, irrigation reduces the water-use efficiency of summer maize. When the fertilization amount is within the range of −1.2249 < x2 < 0.0556, fertilization has a promoting effect on the water-use efficiency of summer maize, reaching its maximum at x2 = 0.0556. However, when the fertilization amount is within the range of 0.0556 < x2 < 1.2249, fertilization reduces the water-use efficiency of summer maize. From Figure 3c, it is evident that both irrigation and fertilization contribute to the increase in nitrous oxide (N2O) emissions from summer maize fields. In summary, it can be concluded that appropriate irrigation and fertilization practices can enhance summer maize yields, improve water-use efficiency, and reduce nitrous oxide emissions from farmlands.
3.1.3. A Study on the Effects of Water–Fertilizer Coupling on the Summer Maize Yield, Water-Use Efficiency, and Field N2O Emission Flux
MATLAB was used to generate three-dimensional relationship plots of the water–fertilizer coupling effects for Equations (8)–(10) (as shown in Figure 4).
Figure 4.
Water–fertilizer coupling effect plot.
As shown in Figure 4, the water–fertilizer coupling effect significantly influences the summer maize yield, water-use efficiency, and field N2O emission flux. The yield of summer maize and water-use efficiency exhibit a downward-opening convex parabolic shape with increasing irrigation and fertilization, indicating an interactive effect. The N2O emission flux from the farmland shows an upward parabolic shape with increasing irrigation and fertilization. From Figure 4a, it is observed that within a certain range, the summer maize yield increases with the increase in water and fertilizer application rates. The increase in irrigation contributes more to yield enhancement compared to fertilization. However, excessive irrigation and fertilization lead to a reduction in the summer maize yield. In summary, there exists a good coupling effect between the irrigation volume and fertilization amount on the summer maize yield. During the cultivation of summer maize, excessive irrigation can lead to leaching of limited fertilizers, hindering the absorption of nitrogen, phosphorus, potassium, and other nutrient factors by the maize roots, resulting in a decrease in the maize yield. Excessive fertilization in summer maize cultivation can also lead to nutrient loss, causing water bodies to become eutrophic. It can be seen that in the process of summer maize cultivation, a rational irrigation and fertilization scheme is essential to optimize the synergistic effects of water and fertilizers, thereby achieving a higher summer maize yield. From Figure 4b, it is evident that the water-use efficiency of summer maize is influenced by the interaction between the water and fertilizer. With a constant fertilization amount, the water-use efficiency of summer maize first increases and then decreases with an increasing irrigation volume, with a pronounced decreasing trend. When the irrigation volume is constant, the effect of the fertilization amount on the summer maize water-use efficiency is not significant. At moderate levels of water and fertilizer inputs, their interaction is most significant, resulting in the highest water-use efficiency. When the coding value of the irrigation volume and the coding value of the fertilization amount are at moderate levels, the water-use efficiency of summer maize reaches its maximum. The results indicate that both excessively low and high irrigation and fertilization levels can reduce the water-use efficiency of summer maize. However, excessive irrigation and fertilization can lead to soil pollution and a waste of water and fertilizer resources. From Figure 4c, it can be observed that the field N2O emission flux is influenced by the interaction between the water and fertilizer. When the fertilization amount is constant, the field N2O emission flux of summer maize increases with the increase in the irrigation volume. Similarly, when the irrigation volume is constant, the field N2O emission flux of summer maize increases with the increase in the fertilization amount. The field N2O emission flux of summer maize increases with the increase of the irrigation volume and fertilization amount, with the fertilization amount exerting a greater impact than the irrigation volume. Therefore, rational water and fertilizer management can enhance water- and fertilizer-use efficiency and reduce the field N2O emission flux. It is evident that only a reasonable irrigation and fertilization plan can ensure that the field N2O emission flux of summer maize remains at an appropriate level.
3.2. Multi-Objective Optimization Based on NSGA-III Algorithm
3.2.1. Objective Functions
Based on the irrigation and fertilization levels from field experiments, an optimized water–fertilizer ratio scheme for summer maize was formulated, considering the actual yield, water-use efficiency, and field N2O emission flux.
- (1)
- Summer maize yield
Yield refers to the quantity of the summer maize crop produced within a certain period. Maximizing the summer maize yield serves as the objective function.
f1 = 10,240.49 + 458.38x1 + 49.96x2 − 723.19x12 − 185.66x22 − 99.55x1x2
In this equation, f1 represents the crop yield in kg/hm2, x1 represents the encoded value of the irrigation amount, and x2 represents the encoded value of the fertilization amount.
- (2)
- Water-use efficiency
Water-use efficiency refers to the amount of dry matter produced per unit of water consumed by crop transpiration in the field. Maximizing water-use efficiency serves as the objective function.
f2 = 2.91 − 0.12x1 + 0.01x2 − 0.25x12 − 0.09x22 + 0.01x1x2
In this equation, f2 represents water-use efficiency in kg/m3, and x1 and x2 are as described above.
- (3)
- Field N2O emission flux of summer maize
N2O is one of the main greenhouse gases. In order to reduce N2O emissions from agricultural fields and minimize carbon emissions, the objective function was set to minimize the field N2O emission flux.
f3 = 0.64 + 0.01x1 + 0.03x2 + 0.01x1x2
In this equation, f3 represents the field N2O emission flux in kg/hm2, and x1 and x2 are as described above.
3.2.2. Constraint Conditions
- (1)
- Irrigation Amount Constraint
The irrigation amount needs to meet the growth requirements of the crops and fall within the range of data obtained from the experiment.
−1.8277 ≤ x1 ≤ 1.1476
- (2)
- Fertilizer application constraint
The fertilizer amount needs to be suitable for the growth requirements of the crops and fall within the range of data obtained from the experiment.
−1.2249 ≤ x2 ≤ 1.2249
3.2.3. The NSGA-III Algorithm
In this study, the NSGA-III algorithm was applied to solve the established multi-objective optimization model, reducing the complexity of non-dominated sorting. The solution set exhibits good convergence and a fast computational speed. The principle of the NSGA-III algorithm is as follows: Initially, a random initial population is generated, with a population size of N. Non-dominated sorting is performed, and the first-generation offspring population is obtained through selection, crossover, and mutation. Next, starting from the second-generation population, the offspring population is merged with the parent population. Then, fast non-dominated sorting is conducted, and the crowding distance of each individual in each non-dominated layer is computed. Based on the crowding distance between individuals and the non-dominated sorting layers, appropriate individuals are selected to form the new parent population. Finally, new offspring populations are generated based on the basic operations of genetic algorithms, and this process continues until the termination conditions of the program are met [25].
MATLAB was used to design the program for the fast non-dominated sorting genetic algorithm NSGA-III. The decision variables are the irrigation amount and fertilization amount, and the genetic encoding adopts real number encoding, with each chromosome divided into two parts for the irrigation amount and fertilization amount. Using the NSGA-III algorithm to solve the above three-objective optimization model, setting the population size as P = 100, crossover probability as Pc = 0.8, mutation probability as Pm = 0.02, and the number of evolution generations as T = 500, we obtained the Pareto non-dominated solutions, as shown in Figure 5a. Finally, 500 random experiments were conducted to verify that the Pareto non-dominated solutions are within the specified solution range, indicating the reasonableness of the Pareto non-dominated solutions, as shown in Figure 5b. At this point, the encoded values for irrigation and fertilization are 0.0644 and −0.7521, respectively, which correspond to actual values of 889.34 m3/hm2 and 158.59 kg/hm2. Ultimately, the maize yield was determined to be 10,129.00 kg/hm2, with a water-use efficiency of 2.85 kg/m3 and a field N2O emission flux of 0.61 kg/hm2. Comparing the optimized model with the high-fertilizer and high-irrigation experimental data, the results show an increase in the yield of 6.03%, an increase in the water-use efficiency of 6.17%, and a decrease in the field N2O emission flux of 13.77%. This optimization also leads to a water saving of 36.47% and a fertilizer saving of 26.58%. Comparing the optimized model with the moderate-fertilizer and moderate-irrigation experimental data, there is little difference in the maize yield and water-use efficiency. However, the field N2O emission flux increases by 3.12%. Additionally, there is a water saving of 15.30% and a fertilizer saving of 11.90%. Comparing the optimized model with the low-fertilizer and low-irrigation experimental data, the maize yield increases by 8.10%, water-use efficiency increases by 22.64%, and the field N2O emission flux increases by 0.89%. From this, it can be concluded that appropriate water and fertilizer management is beneficial for enhancing maize yields and water-use efficiency while simultaneously reducing the field N2O emission flux.
Figure 5.
The Pareto non-dominated solution chart and the verification chart of random experiments.
4. Discussion
In agricultural management, water and fertilizer are crucial factors affecting the yield of summer maize, water-use efficiency, and farmland N2O emission flux. Therefore, optimizing water and fertilizer applications can achieve the goal of low consumption and high efficiency in crop production. Irrigation and fertilization have an interactive effect on summer maize yields, with the impact of irrigation on the yield and water-use efficiency being greater than that of fertilization. This finding is consistent with the conclusions of Wu Lifeng et al. [26]. The impact of fertilization on N2O emissions from summer maize fields is greater than that of irrigation, which is consistent with the findings of Guo Yifei et al. [27]. Irrigation has a negative effect on water-use efficiency in summer maize yields, a conclusion also reached by Feng Peng through his research [28]. Excessive irrigation and fertilization are detrimental to the growth of summer maize, leading to a reduced yield and water-use efficiency. This finding is consistent with the research results of Zhang Zhongxue [29]. The application of nitrogen fertilizers can decompose abundant substrates, which serve as reactants for nitrification and denitrification processes. This significantly increases the soil bacterial biomass and total phospholipid fatty acids, thereby promoting the production and emission of N2O. This conclusion is consistent with the findings of Shang F Z et al. [30]. This study established a tri-objective optimization model for summer maize yields, water-use efficiency, and field N2O emissions, using irrigation and fertilization rates as decision variables. The NSGA-III algorithm was applied to solve the model. The optimal irrigation and fertilization combination obtained from the multi-objective optimization model was as follows: an irrigation rate of 889.34 m3/hm2 and a fertilization rate of 158.59 kg/hm2. Under this irrigation and fertilization scheme, the summer maize yield was 10,129.00 kg/hm2, water-use efficiency was 2.85 kg/m3, and the field N2O emission flux was 0.61 kg/hm2. The optimized water and fertilizer management increased the maize yield and water-use efficiency, while also reducing field N2O emissions. However, this study did not consider the effects of irrigation and fertilization allocation at different growth stages on the summer maize yield, water-use efficiency, and field N2O emission flux. The precise allocation of water and fertilizer to specific dates would contribute to the refinement of crop water and fertilizer management. Moreover, this experiment was conducted for only one year, with significant differences in irrigation and fertilization levels among treatments, which could introduce errors into the experiment. The stability of the experimental data and the adaptability of the optimization model to the water and fertilizer regime for summer maize still require further investigation.
5. Conclusions
In this study, a multi-objective maize water–fertilizer coupling model was established to analyze the effects of the two factors on each target, resulting in the optimal water and fertilizer scheme under multiple objectives. The purpose of this study was to improve the water- and fertilizer-use efficiency of summer maize, reduce greenhouse gas emissions from farmlands, and provide empirical support for the effective use of water and fertilizer resources and sustainable agricultural developments. The main conclusions are as follows:
- (1)
- A binary quadratic regression model was established based on the irrigation amount and fertilizer application, which fitted well and effectively predicted the summer maize yield, water-use efficiency, and field N2O emission flux. Based on the established regression model, it was shown that with an increasing water and fertilizer application, the summer maize yield and water-use efficiency initially increased and then decreased. Additionally, with an increasing water and fertilizer application, the field N2O emission flux gradually increased. The impact of irrigation on the summer maize yield and water-use efficiency was greater than that of fertilization, while the impact of fertilization on the field N2O emission flux was greater than that of irrigation.
- (2)
- Using NSGA-III for model solving and validation, the optimal water and fertilizer combination obtained showed, compared to the experimental high-water high-fertilizer treatment, a 6.03% increase in the yield, a 6.17% improvement in the water-use efficiency, a 13.77% reduction in the field N2O emission flux, as well as water savings of 36.47% and fertilizer savings of 26.58%. Compared to the moderate-water and moderate-fertilizer treatments in the experiment, the yield and water-use efficiency were essentially similar, with water savings of 15.30% and fertilizer savings of 11.90%. However, there was a slight increase in the N2O emission flux. Compared to the low fertilizer and low water treatment in the experiment, the yield increased by 8.10%, the water-use efficiency improved by 22.64%, and there was a slight increase in the N2O emission flux.
Author Contributions
Author contributions: conceptualization, J.M.; methodology, B.C. and L.L.; software, L.L., B.C. and X.H.; analysis and validation, L.L.; data curation, L.L.; writing—original draft, L.L.; review, B.C. and J.Y.; visualization, Q.H. and X.X. All authors have read and agreed to the published version of the manuscript.
Funding
This research was supported by the Key R & D projects in Henan Province (241111112600), the North China University of Water Resources and Electric Power ‘double first-class’ innovation team project (CXTDPY-8), and this project was supported by a special fund of the Henan Key Laboratory of Water Pollution Control and Rehabilitation Technology (CJSZ2024008). Therefore, we thank the Department of Education and the Department of Science and Technology of Henan Province for their strong support.
Institutional Review Board Statement
Not applicable.
Informed Consent Statement
Not applicable.
Data Availability Statement
Derived data supporting the findings of this study are available from the corresponding authors on request.
Conflicts of Interest
The authors declare no conflicts of interest.
References
- Leng, Y.; Ma, X.; Cheng, G.; Ren, H.; Li, X. The high-yield corn competition aids the revitalization of China’s corn seed industry. Biotechnol. Bull. 2023, 39, 4–10. [Google Scholar]
- Zhu, Y.; Liu, Z.; Li, X.; Zhang, J. Effects of Water and Fertilizer Coupling on Leaf Enzyme Activity and Water-Fertilizer Utilization in Greenhouse Tomatoes. Water Sav. Irrig. 2023, 12, 18–26. [Google Scholar]
- Chang, Z.; Liang, G.; Peng, Y.; Zhao, J. Optimization of Water and Fertilizer Coupling Scheme for Walnuts Based on Yield, Quality, and Water-Fertilizer Utilization Rate. Agric. Res. Arid. Areas 2024, 42, 162–172. [Google Scholar]
- Cao, X.; Xiao, J.; Wu, M.; Huang, X. Agricultural water use efficiency and driving force assessment to improve regional productivity and effectiveness. Water Resour. Manag. 2021, 35, 2519–2535. [Google Scholar] [CrossRef]
- Ma, J.Q.; Yang, J.S.; Hao, X.P.; Cui, B.F.; Yang, S.G. Dynamic Simulation Model of Channel Leakage Based on Multiple Regression. Sustainability 2023, 15, 14904. [Google Scholar] [CrossRef]
- Liu, X.; Li, M.; Guo, P.; Zhang, Z.X. Optimization of water and fertilizer coupling system based on rice grain quality. Agric. Water Manag. 2019, 221, 34–46. [Google Scholar] [CrossRef]
- Zhang, J.; Wang, X.C.; Cui, X.L.; Li, A.Q.; Hu, T.T. Effects of Irrigation Amount and Nitrogen Fertilizer Enhancers on Summer Corn Yield and Water-Fertilizer Utilization. Agric. Res. Arid. Areas 2024, 42, 123–132+168. [Google Scholar]
- Yang, Z.P.; Liu, Y.; Deng, Y.P. Study on the Effects of Increased Silicon Fertilizer Application on Tomato Growth, Development, and Quality under Deficit Irrigation Conditions. Water Sav. Irrig. 2023, 10, 68–74. [Google Scholar]
- Chen, Z.; Cheng, Q.; Xu, H.H.; Huang, X.J. Response Characteristics of Plant Height and Biomass of Summer Corn under Different Water and Fertilizer Treatments and Spectral Inversion. Agric. Res. Arid. Areas 2023, 41, 198–207. [Google Scholar]
- Viets, F.G. Water deficits and nutrient availability. In Plant Responses and Control of Water Balance; Academic Press: Cambridge, MA, USA, 1972; pp. 217–237. [Google Scholar]
- Li, H.; Wang, X.M.; Liu, P.Z.; Liu, M.; Wang, X.L.; Wang, R.; Li, J. Coupling Effect Compensates for the Adverse Impact of Reduced Water and Nitrogen on Nutrient Absorption and Utilization in Summer Corn. J. Plant Nutr. Fertil. 2022, 28, 1283–1296. [Google Scholar]
- Wang, L.G.; Zhu, R.; Yin, Z.L.; Chen, Z.X.; Lu, R.; Fang, C.S. Quantifying the Spatial–Temporal Patterns and Influencing Factors of Agricultural Carbon Emissions Based on the Coupling Effect of Water–Land Resources in Arid Inland Regions. Front. Environ. Sci. 2022, 10, 908987. [Google Scholar] [CrossRef]
- Liu, P.Z.; Lin, Y.R.; Liu, X.T.; Deng, M.Z.; Zhang, P.F.; Ren, X.L.; Chen, X.L. Manure substitution with appropriate N rate enhanced the soil quality, crop productivity and net ecosystem economic benefit: A sustainable rainfed wheat practice. Field Crops Res. 2023, 304, 109164. [Google Scholar] [CrossRef]
- Liu, C.X.; Wang, Y.Q.; Chen, H.H.; Sun, Q.Y.; Jiang, Q.X.; Wang, Z.L. High level of winter warming aggravates soil carbon, nitrogen loss and changes greenhouse gas emission characteristics in seasonal freeze-thaw farmland soil. Sci. Total Environ. 2023, 905, 167180. [Google Scholar] [CrossRef] [PubMed]
- Xuan, C.; Xie, Y.J.; Wang, J.; Zhao, J.S.; Jia, E.Z.; Hui, W.; Yi, B.M. Presence of different microplastics promotes greenhouse gas emissions and alters the microbial community composition of farmland soil. Sci. Total Environ. 2023, 879, 162967. [Google Scholar]
- Hao, H.; Li, D.D.; Wu, Z.R.; Hu, Z.H.; Shu, Y.Y. Assessment of the straw and biochar application on greenhouse gas emissions and yield in paddy fields under intermittent and controlled irrigation patterns. Agric. Ecosyst. Environ. 2024, 359, 108745. [Google Scholar]
- Qiu, W.; Liu, J.; Li, B.; Wang, Z. N2O and CO2 emissions from a dryland wheat cropping system with long-term N fertilization and their relationships with soil C, N, and bacterial community. Environ. Sci. Pollut. Res. 2020, 27, 8673–8683. [Google Scholar] [CrossRef] [PubMed]
- Shcherbak, I.; Millar, N.; Robertson, G.P. Global metaanalysis of the nonlinear response of soil nitrous oxide (N2O) emissions to fertilizer nitrogen. Proc. Natl. Acad. Sci. USA 2014, 111, 9199–9204. [Google Scholar] [CrossRef] [PubMed]
- He, J.Y.; Tian, J.C. Water-Fertilizer Coupling Model and Optimization of Combination Scheme for Dryland Rice under Mulched Drip Irrigation. Trans. Chin. Soc. Agric. Eng. 2015, 31, 77–82. [Google Scholar]
- Hu, X.H.; Gao, Z.X.; Ma, Y.; Xie, J.K.; Xie, Z.L.; Li, X.; Zhang, L.Y.; Wang, J.Z.; Ma, X.Q.; Qu, F.; et al. Water-Fertilizer Coupling Scheme for Bag-cultivated Pepper Based on Yield, Quality, and Water-Fertilizer Use Efficiency. Trans. Chin. Soc. Agric. Eng. 2020, 36, 81–89. [Google Scholar]
- Dou, X.Y.; Wang, R.S.; Zhou, X.; Gao, F.; Yu, Y.; Li, C.N.; Zheng, C.H. Soil water, nutrient distribution and use efficiencies under different water and fertilizer coupling in an apple–maize alley cropping system in the Loess Plateau, China. Soil Tillage Res. 2022, 218, 105308. [Google Scholar]
- Zhang, F.; Chen, M.R.; Fu, J.T.; Zhang, X.Z.; Li, Y.; Shao, Y.T.; Xing, Y.Y.; Wang, X.K. Coupling effects of irrigation amount and fertilization rate on yield, quality, water and fertilizer use efficiency of different potato varieties in Northwest China. Agric. Water Manag. 2023, 287, 108446. [Google Scholar] [CrossRef]
- Ma, J.Q.; He, Q.X.; Liu, L. Analysis of water-fertilizer coupling effect and optimization of application scheme for maize under dual-objective conditions. J. Irrig. Drain. 2021, 40, 58–63. [Google Scholar]
- Xiong, H.; Zhang, B.C.; Li, J.Z.; Zhang, X.; Shi, J.H. Effects of irrigation volume on N2O and CO2 emission from winter wheat farmland soil. J. Irrig. Drain. 2020, 39, 41–50. [Google Scholar]
- Li, X.M.; Li, Z.F.; Song, Y.M.; Gui, L. Intelligent optimization of reactor radiation shielding design based on FCNN-NSGA-III. Rev. At. Nucl. Phys. 2023, 40, 572–578. [Google Scholar]
- Wu, L.F.; Zhang, F.C.; Fan, J.L.; Zhou, M.H.; Liang, F.; Gao, Z.J. Effects of water-fertilizer coupling on cotton yield, yield and water use efficiency. J. Agric. Mach. 2015, 46, 164–172. [Google Scholar]
- Guo, Y.F.; Zhang, L.P.; Wang, G.S.; Shang, R.C.; Zhang, H.; Zhu, Z.Y.; Wang, C.Z. Effects of tillage practices and water-fertilizer combinations on greenhouse gas emissions from wheat-maize fields. J. Agric. Eng. 2022, 38, 95–104. [Google Scholar]
- Feng, P.; Wang, X.N.; Wang, Q.L.; Sun, Q.Z.; Zhao, S.F. Effects of water-fertilizer coupling on maize yield and silage quality. Chin. Agric. Sci. 2012, 45, 376–384. [Google Scholar]
- Zhang, Z.X.; Zhang, S.W.; Guo, D.D.; Tan, Z.X.; Chen, X.; Liang, Q.P. Analysis of coupling effect of different water and fertilizer conditions in maize and optimization of water and fertilizer distribution scheme. J. Agric. Mach. 2017, 48, 206–214. [Google Scholar]
- Zhang, Z.S.; Chen, J.; Liu, T.Q.; Cao, C.G.; Li, C.F. Effects of nitrogen fertilizer sources and tillage practices on greenhouse gas emissions in paddy fields of central China. Atmos. Environ. 2016, 144, 274–281. [Google Scholar] [CrossRef]
Disclaimer/Publisher’s Note: The statements, opinions and data contained in all publications are solely those of the individual author(s) and contributor(s) and not of MDPI and/or the editor(s). MDPI and/or the editor(s) disclaim responsibility for any injury to people or property resulting from any ideas, methods, instructions or products referred to in the content. |
© 2024 by the authors. Licensee MDPI, Basel, Switzerland. This article is an open access article distributed under the terms and conditions of the Creative Commons Attribution (CC BY) license (https://creativecommons.org/licenses/by/4.0/).




