Abstract
A functionalized chitosan thiourea composite (CH-TU) was successfully synthesized using formaldehyde as a crosslinking agent for enhancing silver recovery from different aqueous solutions. Comparison sorption studies with a non-functionalized composite (CH-F) as a reference material were conducted. Grafting led to an improvement in the sorption performances, i.e., 0.763 mmol Ag g−1 for CH-F vs. 2.125 mmol Ag g−1 for CH-TU. The pseudo-first-order rate equation (PFORE) was fitted to the sorption kinetics at saturation times of 40 and 30 min for CH-F and CH-TU, respectively, while the sorption isotherms were fitted with Langmuir and Sips equations for both sorbents. Fourier transform infrared (FTIR), scanning electron microscopy (SEM), energy-dispersive X-ray analysis (EDX), nitrogen sorption–desorption isotherms (BET-surface area), elemental analysis, thermogravimetric analysis (TGA) and pH of the zero charge (pHpzc) were used to characterize and investigate the sorption mechanism. Sorption was performed three times to check the reproducibility, while the sorption performances were stable over 20 cycles, with a limited decrease in performance (5 and 3% for CH-F and CH-TU, respectively). Nitric acid solution (0.3 M) was efficient for desorbing the adsorbed metal ions. The grafted sorbent with thiourea is considered as a promising tool for recovering Ag(I) from acidic waste leachate derived from waste spent films.
1. Introduction
Silver is considered as a precious metal and is used in several industries, especially in the jewelry industry. Some of its alloys, i.e., silver–copper, are used in computer manufacturing. Silver is used in high-tech industries (i.e., electrical connectors), electronics, products for health care, photovoltaics cell production [1,2], button cells [3], and several nanomaterial industries [4,5,6,7]. Silver is used in light reflection industries for mirrors and photographic films (and X-ray films) because of its sensitivity to light and in photochromic lens manufacturing [8]. Most silver is derived as a sub-product from the refining of cadmium, zinc and copper [9]. Some hydrometallurgical procedures consume a huge amount of energy, which consequently increases the cost of recovery or decreases the efficiency of recovery of the desired metals; this results in toxic by-products which are a secondary pollution source.
Silver is considered as a toxic material for aquatic life [10], including fish. Many countries list silver as a pollutant for water bodies [11]. Several technologies have been used in the procedure of silver extraction from aquatic media, wastewater and some other environments. Among these technologies are biosorption, biohydrometallurgy, reverse osmosis, leaching, cementation, ion exchange, adsorption, electrochemical deposition and ultrafiltration [5,12,13,14,15,16]. This is one of several reasons that encouraged researchers to develop processes to recover silver from diluted media, decreasing its effect on humans and the environment. It is noteworthy that there is a serious need to find a low-cost, effective and sustainable method for recovering silver (with a high efficiency) from leachates, wastewater, effluents, waste materials or other secondary resources. Several techniques have been used for reducing the silver concentration; i.e., electrodeposition methods have been used [1,17,18] and solvent extraction techniques have been used for recovering silver from highly concentrated solutions [19,20,21]. Extraction from low-grade solutions is performed through chelating composites [16,22], ion-exchange resins [23,24,25,26] and biosorbents [27,28,29]. Green technologies derived via microbial metabolism have effectively been used in the treatment of heavy metals and wastewater [30,31,32]. Sulfur-based sorbents (thions, thiols or heterocyclic compounds) show a high affinity toward silver ions [22,23,33,34,35]; due to the sulfur reagent compounds, which shows a high selectivity for silver [36,37,38,39,40,41], this is based on hard and soft acids and bases (HSAB) theory [42]. Selectivity has been shown by sulfur-containing polymers, i.e., dithiocarbamate [43], mercaptobenzimidazole [35] and thiol derivatives [44,45].
The easy functionalization of biopolymers by grafting new groups for either enhancing the sorption capacities or improving the selectivity and other physicochemical properties (for specific metals or groups of metals) has received the attention of the scientific community. This can be achieved physically using beads, fibers or hollo fibers to improve the sorption kinetics and physical properties. Coupling of different biopolymers has been achieved physically or chemically by crosslinking [46,47,48,49,50,51]. Several functional groups have been grafted for this purpose, such as amidoxime groups [52], dithiooxamide [22], quaternary ammonium derivatives [53], sulfonic moieties [54], amino acid derivatives [55,56], amine and thion [57], amino sulfonic acid [58], phosphorus groups [59,60] heterocyclic groups [61,62,63], and the green synthesized materials [64].
Chitosan (amino-polysaccharide) is well known as one of the most abundant biopolymers (produced commercially from shrimp shells). It has been used as a base material for the efficient removal of environmental pollution, including dyes and radioactive and heavy elements. In addition, it is used in the medical field in drug delivery. The presence of amines in the structure allows it to be dissolved in acidic media (through protonation), and it can be physically modified easily (through beads, fibers or hollo fibers [65]) or chemically [66,67,68] (though grafting new functional groups or compounds) to enhance the sorption and/or improve the kinetics. The most interesting groups that have been grafted on chitosan particles are polyamine moieties [69,70], carboxylic/carboxylate derivatives [71,72] and phosphonic [73,74] and aminophosphonic [75,76] groups.
This work is concerned with developing a sustainable extraction process with a low cost and high efficiency for recovering silver using a functionalized chitosan composite biopolymer through a reaction with thiourea and formaldehyde as a coupling agent in water media (without using a toxic solvent). This work was performed due to the disadvantages of most recent methods in the field of silver recovery (including a high consumption of energy, a low efficiency and the production of toxic by-products). The sorbents were first synthesized and characterized through a broad variety of analysis tools, i.e., FTIR, TGA-DTA, SEM-EDX, elemental analysis, titration and BET (sorption–desorption isotherms of nitrogen). The second part of the study details sorption optimization through different kind of tests, such as pH effect, sorption isotherm, sorption kinetics and selectivity tests (from multicomponent solution); this was conducted for the optimization of Ag(I) ion sorption from synthetic solutions before application in a complex real solution. The last part of the work uses the optimum conditions from the previous step in an experiment on real effluents from secondary waste resource materials.
2. Materials and Methods
2.1. Materials
Chitosan powder (25% acetylation degree), thiourea (>99%), formaldehyde solution (37 wt.% in H2O), calcium sulfate dihydrate (CaSO4.2H2O, >97%), silver nitrate (AgNO3; >99%), magnesium sulfate heptahydrate, (MgSO4·7H2O, ≥99.5%), zinc sulfate heptahydrate (ZnSO4·7H2O, 99%) and cadmium sulfate (CdSO4, ≥99.0%) were purchased from Sigma Aldrich, Merck KGa and Darmstadt, Germany. Aluminum sulfate octahydrate (Al2(SO4)3·8H2O, >99%) and sodium sulfate decahydrate ((Na2SO4·10H2O, ≥99.0%) were provided by Guanghua Sci-Tech Co.-Ltd, Guangdong, Shantou, China.
2.2. Synthesis of Adsorbents
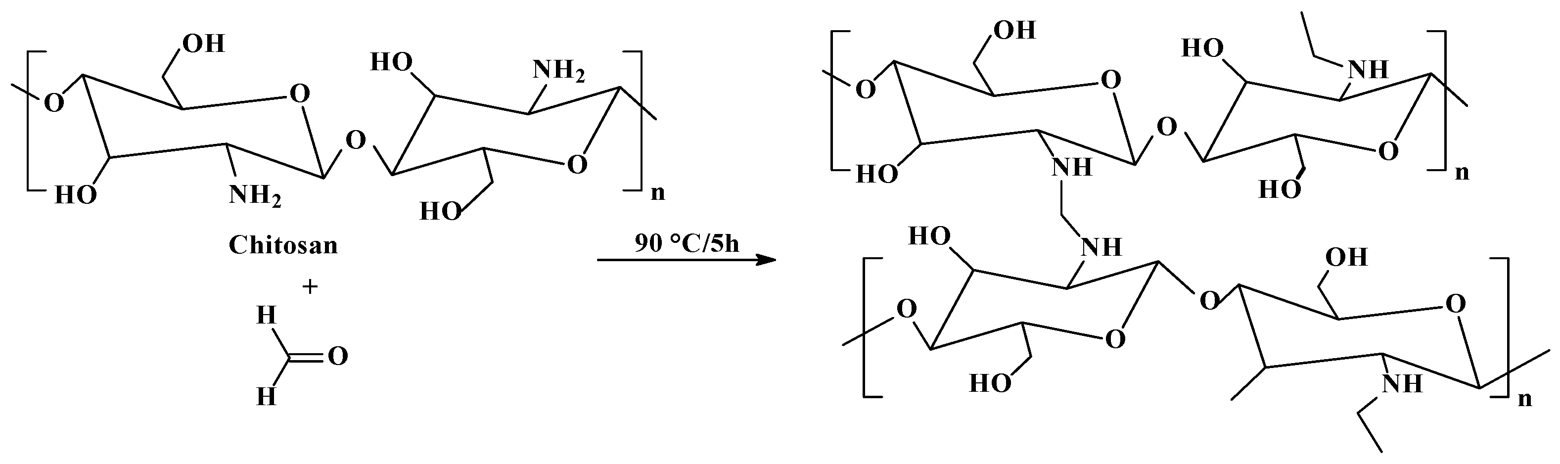
2.2.1. Synthesis of Chitosan Formaldehyde Particles (Reference Material)
A total of 4 g of chitosan particles was dissolved in 150 mL of a 7% (w/w) acetic acid solution. The mixture was transferred into a 250 mL three-necked round-bottom flask. A total of 5 mL of formaldehyde solution was added drop-wise to the mixture with continuous stirring, before the flask was equipped with a condenser and a thermometer to adjust the temperature to 90 °C, and the reaction was continued for a further 5 h to produce the crosslinked chitosan composite. The precipitate product was filtered and washed with water and acetone (to remove the unreacted materials), then dried at 60 °C overnight to produce non-functionalized chitosan particles (CH-F), as shown in Scheme 1.
Scheme 1.
Synthesis of non-functionalized chitosan particles (CH-F).
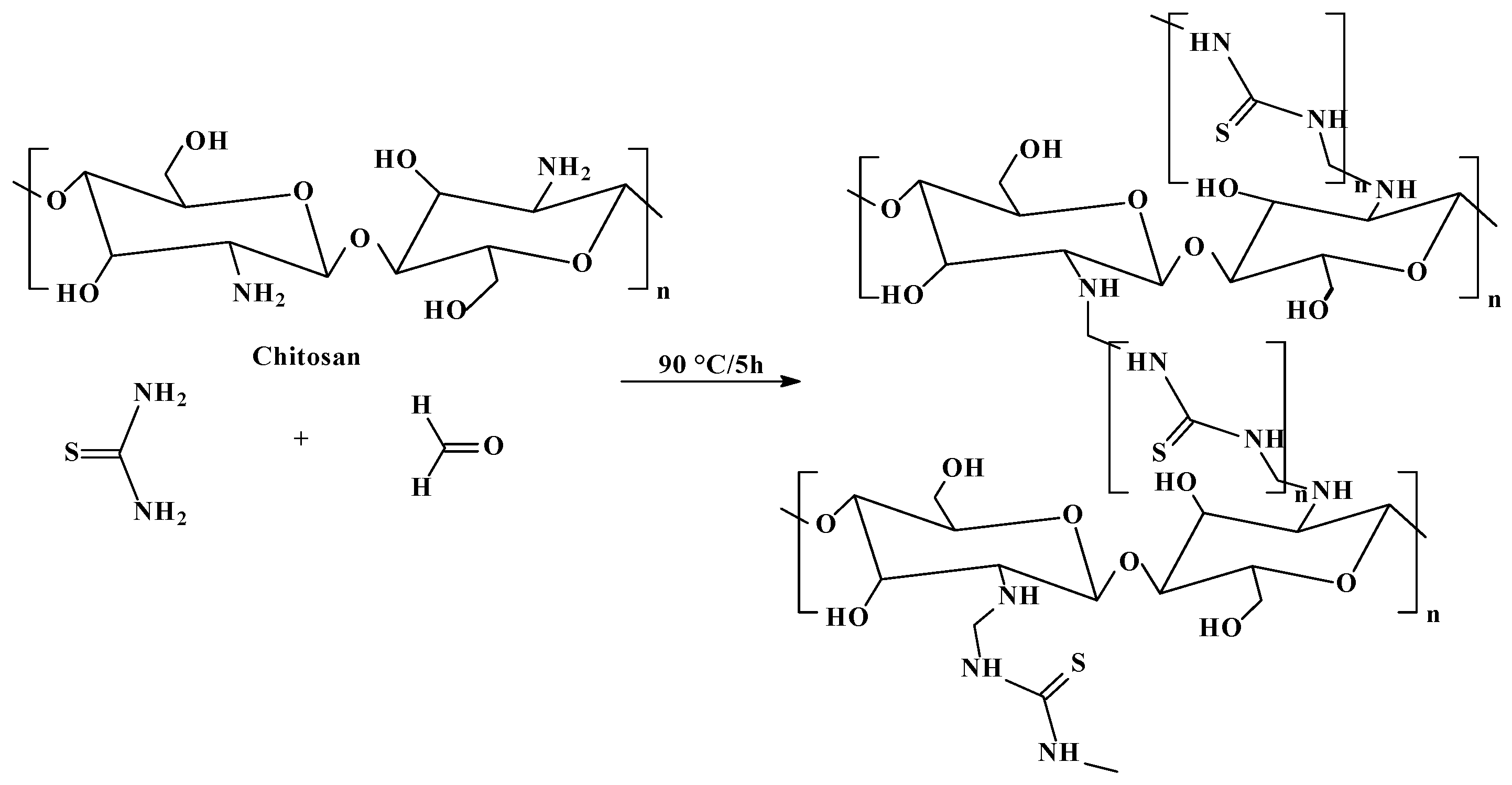
2.2.2. Synthesis of Functionalized Chitosan Thiourea Particles
Four grams of chitosan particles was dissolved in 150 mL of 7% acetic acid solution (as in the previous step). A total of 4 g of thiourea was added to the mixture with continuous stirring until it dissolved, followed by 10 mL of formaldehyde solution, added drop-wise (in 10 min). The flask was equipped with a condenser and a thermometer, and the reaction was continuously stirred under reflux (at 90 °C) for 5 h. The produced precipitate was filtered and washed with water and acetone before being dried at 60 °C for 12 h to produce functionalized chitosan thiourea particles (CH-TU), as shown in Scheme 2.
Scheme 2.
Synthesis route of functionalized chitosan thiourea particles (CH-TU).
The expected synthesis mechanism was assigned as an elimination reaction of oxygen from formaldehyde with two protons from the amine groups (of either chitosan and/or thiourea, depending on the sorbent), as shown in Scheme 3.
Scheme 3.
Schematic diagram of the coupling mechanism of formaldehyde with thiourea and chitosan.
2.3. Characterization
Fourier transform infrared (FT-IR) spectra of the dried samples, which were used for verifying the structure and the specification of functional groups (the grafted groups), were measured after introducing the samples into a KBr disc using an IRTracer-100 FT-IR spectrometer, Shimadzu, Tokyo (Japan); the resolution of the equipment was set to 4 cm−1. Nitrogen sorption–desorption isotherms were used for detecting the porosity and surface area using a TriStar-II system, Norcross, GA, USA, at −77 K. The samples were first swept for 4 h under N2 gas at 110 °C. Thermal decomposition of the composites was achieved through a Netzsch STA 449 F3-Jupiter, NETZSCH, Gerätebau GmbH, Selb, Germany. Experiments were performed under nitrogen, with 10 °C min−1 as the temperature ramp. Morphological studies were performed using scanning electron microscopy (SEM) of the sorbents, achieved using a Phenom ProX-SEM, Thermo-Fisher Scientific, Eindhoven, The Netherlands, with an accelerating voltage of 15 Kv. Energy-dispersive X-ray analysis (EDX tool) was used for verifying the semi-quantitative analysis. The total charge of the surface at different pH values was studied using pH of the zero charge (pHpzc) through the pH-drift method [77]. The pH was adjusted using an ionometer (S220 Seven; Mettler-Toledo, Shanghai (China)). The collected solutions from the experiments (before and after sorption) were filtered (by 1.2 µm filter membranes) before analysis using an inductively coupled plasma atomic emission spectrometer (ICP-AES, Agilent Technologies, Santa Clara, CA, USA). The elements in the solutions (residues after sorption and the original solutions) were measured using an ICPS-7510, Shimadzu, Tokyo (Japan).
2.4. Sorption and Application Experiments
The batch method was used for describing the sorption performances of functionalized and non-functionalized sorbents. It was performed under agitation with a velocity of 200–220 rpm as follows: a solution with an initial concentration (C0, mmol Ag L−1) at an initial pH value (pH0) of a certain volume (L) was made up, containing a certain amount of sorbent (m, g) which is linked to the sorbent dose (Equation (1); g L−1). The samples collected from kinetics (after a fixed time (C(t), mmol Ag L−1)) or after equilibrium (Ceq, mmol Ag L−1) from isotherm, pH, or selectivity experiments were analyzed via icp after filtration, as mentioned before. In the sorption isotherms, different initial metal concentrations were detected (0.09 and 4.8 mmol Ag L−1) in the equilibrium residue. Tables S1 and S2 report the relevant kinetics and isotherm equations. The sorption selectivity was investigated using equimolar concentrations of different categories of metal ions (expected to be co-existing) with Ag(I) in the leachate solution. This experiment was performed at different pH values. The desorption kinetics (determined from the loaded samples in kinetics experiments) of adsorbed Ag ions in an acidic 0.3 M nitric acid solution were determined. Sorption recycling was performed in five cycles, while a rinsing step (using demineralized water) was performed between each run. The sorption capacity was calculated using a mass balance equation, Equation (2)
SD = m/V
Q = (C0 − Ceq) × V/m
Experiments were performed in triplicate for testing the reproducibility and were plotted using error bars for the average of the three experiments. The mathematical equations for kinetics and isotherms are listed in the Supplementary File; see Tables S1 and S2 for the kinetics and isotherms equations, respectively.
The polymetallic-contaminated solution containing Ag(I) ions was derived from acidic leaching of waste material. Sorption was investigated using the batch method (200 rpm) at 21 °C with S.D (0.6 gL−1) for 10 h. The initial and final metal concentrations were measured using ICP-AES to determine the sorption capacities, distribution ratios and selectivity.
3. Results
3.1. Characterization of Synthesized Sorbents
3.1.1. FTIR Analysis
Different types of functional groups were detected in the FTIR spectra (Sciencetech Inc., London, ON, Canada), verifying the structure and the successful grafting of new groups. The analysis was performed on the pristine biopolymer and the biopolymer after functionalization with thiourea moieties.
The synthesized chitosan composites, non-functionalized (CH-F) and after grafting of thiourea (CH-TU), were characterized by a variety of different groups; i.e., OH and NH were found in both composites and S=O and S-H were found in the functionalized particles, as shown in Figure 1. The peaks at 3429 and 3412 cm−1 for CH-F and CH-TU, respectively, were assigned to νO-H and νN-H [78,79,80,81]. These peaks appeared with a low intensity and almost disappeared after adsorption of Ag(I) (this points to the sharing of NH and OH in the sorption mechanism), while they returned to their original state after desorption. The peaks around 2920 to 2940 cm−1 were assigned to the νC-H of aliphatic bonds [82,83]. The peaks in the region of 2300–2400 for CH-F are related to the standard error of the equipment. The new peak that appeared after grafting of thiourea at 2495 cm−1 is related to the νC=S of the grafted moieties [84], which verifies the successive grafting of thiourea. The peak at 2079 cm−1 was assigned to νSH (through tautomerization) [85]; these two peaks disappeared after sorption, verifying the binding of metal ions [86], and were restored, with small shifts for the desorbed composite in the peaks at 2499 and 3135 cm−1. The broad band at 1624 cm−1 for CH-TU compared to weak band at 1631 cm−1 for CH-F highlights the successive grafting of thiourea; these peaks are related to NH groups [87]. Some peaks shifted or appeared with a low resolution after metal sorption, leading us to conclude that they were involved in the binding mechanism [88]. Among these peaks are the OH and NH peaks of both sorbents and the C=S and SH peaks for CH-TU. Table S3 shows some of the interesting peaks of both sorbents after loading and after 20 cycles of sorption and desorption.
Figure 1.
FTIR spectra of (a) CH-F and (b) CH-TU after Ag(I) sorption and after 20 cycles of sorption and desorption of silver.
3.1.2. TGA Analysis
The thermal decomposition of both sorbents (CH-F and CH-TU) was investigated using TGA analysis, as shown in Figure 2, while the DrTGA data are reported in Figure S1. The two sorbents had similar trends in their decomposition profile shapes, while they showed different results in the overall loss percent and the final residues. They had three loss profiles, which are described in the following.
Figure 2.
Thermal decomposition of CH-F (a) and CH-TU (b).
(a) The first step was assigned to the release of absorbed water, showing at 195.2 and 228.3 °C for CH-F and CH-TU, respectively; the loss in weight at this step is around 19.53 and 12.66% for both sorbents, respectively.
(b) The second step is concerned with the degradation of functional groups (amine and hydroxyls in the CH-F sorbent and amine, hydroxyls and thiol/thion in the CH-TU sorbent), as well as depolymerization of the sorbents. This step exhibited a weight loss of 55.9 and 50.12% for both sorbents, respectively.
(c) The last step is concerned with the degradation of chars and sulfone groups (for the CH-TU); the weight loss of this step was around 17.93 and 13.5%, respectively. The total loss of both sorbents was in the range of 93.37 and 76.28%, respectively, which confirms the increase in hydrocarbons in CH-TU and reflects the successful grafting of thiourea. Siddiqi et al. [89] concluded that nitrogen-based materials are eliminated first at low temperatures, followed by another transition linked to organic skeleton degradation. The final weight loss for both sorbents was significantly different, at 93.37 and 76.28% for CH-F and CH-TU, respectively. This difference was due to the difference in ratios of hydrocarbons in both sorbents. The final residue of CH-TU was higher than that of CH-F because of the increase in the hydrocarbon skeleton via grafting of thiourea. Apparently, the grafting of thiourea significantly increases the thermal stability and shifts the temperature to higher values; this was apparent from the final loss temperature, which was around 560 and 700 °C for CH-F and CH-TU, respectively.
Figure S1 shows the comparison of DrTG of both sorbents. It is shown that the functionalization of thiourea changes the structure and shifts the temperature to higher values (306.22, 468.31, 544.21 and 673.5 °C) compared to the two peaks for CH-F (295.63 and 583.6).
3.1.3. Elemental Analysis and pHpzc
The elemental analysis shows an increase in the N content compared to the pristine sorbent, as well as the appearance of sulfur in the final product. The N content was almost exactly the same, and shows an increasing ratio from 2.93 to 4.45 mmol, while S elements were noted in the final product (functionalized sorbent), with a molar ratio of only 1.28 mmol. These results verify the successful grafting of thiourea (considered the main source of S elements and supporting the increase in the N content). The full data from the elemental analysis are reported in Table S4. Figure 3 shows the determination of pHpzc using the pH-drift method; the determination was performed using 0.1 M NaCl as the background salt. The pHpzc values were 6.38 and 5.64 for CH-F and CH-TU, respectively. It was concluded that in acidic and slightly acidic solutions, the sorbents’ surfaces were still positively charged (at a pH below 6.38 and 5.64 for CH-F and CH-TU, respectively). The functionalized and non-functionalized sorbents with formaldehyde exhibit clear changes in their acid–base properties, leading to a shift in global pHpzc.
Figure 3.
Effect of pHpzc of CH-F and CH-TU using 0.1 M NaCl as a background salt.
3.1.4. SEM Analysis
Figure 4a–d show the scanning electron microscopy images and the size of the particles. Both sorbents seem to have the same external shape, which is characterized by an elongated structure; the majority of the particles had an unsymmetrical structure. It was noted that the size decreased after functionalization from an average of 19 µm to 14 µm for CH-F and CH-TU, respectively.
Figure 4.
SEM micrograph analysis of CH-F (a,c) and CH-TU (b,d).
3.1.5. BET Surface Area
The particle size of the sorbents was investigated using N2 sorption/desorption isotherms. The SSA (specific surface area) was close to 45–48 m2 g−1 for CH-F, while it increased to 52–54 for CH-TU. The porous volume appeared to be higher for CH-TU than for CH-F (≈0.715 cm3 g−1 vs. 0.52 cm3 g−1, respectively), while the pore size decreased from 572–512 Å to 466–435 Å, respectively. The largest pore size highlighted the possible microporous nature of the sorbents.
3.2. Silver Sorption
3.2.1. Effect of pH
The binding mechanisms of metal ions with reactive functional groups grafted on the sorbent surface are controlled by the pH of the medium. The pH had a direct effect on the speciation of metal ions and the nature of the functional groups (protonation/deprotonation properties). Silver species show a poor effect toward the pH (Figure S2 shows the speciation diagram of Ag(I); precipitation was detected over pH 9.3). From Figure 5, the sorption began with a low capacity, followed by an increase until it stabilized at a pH around 6. At acidic pH values (1 and 2), electrostatic repulsion was present between the protonated functional groups and positively charged metal ions. With an increase in the pH (over 3), the positive charge on the functional groups decreased and consequently so did the repulsion effect, causing an increase in the loading capacity. The binding was favorable for cation exchange with amine groups (from chitosan and thiourea) and thiol groups (obtained from tautomerization of thion groups). The small deviation in the error bars emphasizes the good reproducibility of the sorption experiments.
Figure 5.
pH effect of CH-F and CH-TU sorbents.
Under the selected experimental conditions (T: 21 °C and pHeq: 6.4), the sorption capacities of both sorbents reached 0.549 and 1.31 mmol g−1 for CH-F and CH-TU, respectively. This means that the sorption increased 2.5-fold as a result of functionalization by thiourea. The preference of thion (thiol groups) for silver can be explained by the hard and soft acids and bases theory (in which the silver ions are considered as soft acids which are attracted to a soft base (thiol groups)) or the S-based ligands [42]. Figure S3 shows the variation in the pH after sorption, which indicates that the two sorbents had the same profile at acidic pH (slightly increased), and the opposite trend was shown in slightly acidic or alkaline media. It was shown that after pH 6, CH-F slightly increased, while CH-TU slightly decreased; ∆pH ≈ 0.4 pH.
3.2.2. Uptake Kinetics
Several profiles were used for the uptake kinetics, i.e., resistance and diffusion rate, which include the film, intraparticle and bulk diffusion and proper reaction rate [90] in the batch system. The bulk reaction rate and resistance to film diffusion were minimized by the agitation speed (210–220 rpm (the sorption condition)), which is sufficient to minimize these kinds of profiles. Therefore, the analysis of kinetic profiles was performed with the PFORE (pseudo-first-order rate equation), PSORE (pseudo-second-order rate equation) and RIDE (resistance to intraparticle diffusion), which is the so-called Crank equation. Table S1 reports the relevant equations and the parameters of each one. In Figure 6, the faster sorption kinetics of the functionalized sorbent are shown compared to the non-functionalized one. Total saturation of CH-TU and CH-F was achieved within 30 and 40 min, respectively. The PFORE fitted the experimental profiles for both sorbents, in which the initial slopes of both sorbents follow the same trend. The low values of the error bars confirm the high reproducibility of the experimental test.
Figure 6.
Kinetic profiles of CH-F and CH-TU through the PFORE (solid line), PSORE (dotted lines) and RIDE (dash lines).
The fast kinetics reveal the easy diffusion of Ag(I) ions inside the pores. Table 1 reports the three models’ parameters. The PFORE was used through comparable matching of both the calculated and experimental values of the sorption capacities and other statistic parameters (Akaike information criterion (AIC) values and R2). The PSORE (dotted lines) and RIDE (dash lines) fit the experimental values at low time values, but failed for higher time values; the PFORE (solid lines) fits for all time values.
Table 1.
Average values of the three repeated experiments for the uptake kinetics of Ag(I) sorption using CH-F and CH-TU sorbents.
Several contributions show how it is risky to discuss and interpret PFOREs and PSOREs that are unfit for the experimental parameters and the model requisites [91,92].
3.2.3. Sorption Isotherms
Figure 7 shows a comparable study of the two sorbents using the sorption isotherms (qeq = f(Ceq)). The sorption properties were improved by grafting thiourea moieties (increased by three-fold) under the selected experimental conditions (pH0 6 at room temperature (21 ± 1 °C)). The maximum sorption capacities reached 0.763 mmol Ag g−1 and 2.125 mmol Ag g−1 for CH-F and CH-TU, respectively. The expected binding mechanism of Ag(I) ions in CH-F occurred through the amine and hydroxyl groups (which are considered as hard base groups), while in CH-TU, the thiol shared the binding with the already existing functional groups (through tautomerization of thion groups). Sulfur-based materials are considered as a soft base and favorable for Ag(I) (a soft acid). The three models are shown in Figure 7. The Freundlich equation (dash lines; with a bad fit) is known as a power-type equation. The Langmuir equation (solid lines) describes monolayer sorption without sorbed interactions, with an expected homogeneous sorption energy, and the Sips equation (dotted line; combination of Freundlich and Langmuir equations; the third parameter is used for adjusting and improving the mathematical quality of fits) was considered a good fit for the experimental data.
Figure 7.
Comparable studies of the sorption isotherms of CH-F and CH-TU sorbents using the Freundlich equation (dash lines), Langmuir equation (solid lines) and Sips equation (dotted line).
Table 2 reports the parameters (average values of the three repeated experiments) of the used models. By comparing the statistical criteria, fitting quality and AIC values, we found that the sorption isotherms were better fitted by the Sips and Langmuir equations than the Freundlich equation.
Table 2.
Sorption isotherms of Ag(I) using CH-F and CH-TU sorbents.
Table 2 reports the results of the comparison studies of the parameters of the three equations; it was noted that for the Langmuir and Sips equations, the overestimation did not exceed more than 10% of the calculated value. The Langmuir affinity coefficient, bL, shows high values after functionalization (CH-F (1.11 L mmol−1) < CH-TU (3.24 mmol−1)); these data were significantly similar to those of the Sips equation; i.e., nS increased to a small extent from 0.982 to 1.15 for CH-F and CH-TU, respectively.
The expected sorption mechanisms of Ag(I) and the reactive functional groups were determined through the data collected from FTIR spectra (through the functional groups that are used in the sorption, emphasizing the formation of thiol groups through tautomerization of the thion groups in the composite); through pHPZC, which shows the overall charge of the sorbent; and through the metal speciation of Ag(I), as in Figure S2 (which provides two species at the experimental pH: free cationic Ag+ species and an aqua complex (Ag(H2O)4+)). These data indicate variable values for both sorbents; the maximum sorption pH was below the pHpzc point for CH-TU and over it for CH-F. Mixed mechanisms were predicted using the chelating properties (the deprotonated functional groups) of the completely negatively charged functionalized sorbent and the partially positively charged non-functionalized one with the positively charged metal ions (either as free cationic species or as a partially dehydrated aqua complex). At this pH (optimum sorption), electron pairs on the chelating groups will be available for binding with positively charged metal ions, indicating mainly chelation for CH-TU and a mix of chelation and ion exchange for CH-F, as shown in Scheme 4.
Scheme 4.
Expected bending mechanism of Ag(I) with CH-F (a) and CH-TU (b).
Table 3 reports comparison studies from the literature of CH-F and CH-TU sorbents. Some materials have high sorption capacities, such as dithiooxamide coupling with formaldehyde (30.9 mmol Ag g−1) [22], nanoscale iron0/activated carbon (qm,L: 12.0) [93], dithiocarbamate-modified cellulose (qm,L: 9.94) [94], poly-pyrrole thiol functionalization (qm, L: 7.48) [95], and sorbents derived from thiourea (i.e., a thiourea–PVDF composite shows a relative decrease in the sorption (qm,L: 1.86 mmol g−1)) [41].
Table 3.
Comparison of the sorption properties of Ag(I) with some alternative sorbents (T = 20–25 °C).
3.2.4. Sorption Selectivity
Acidic effluents contain diverse competitive ions, which affect the sorption performances of the prepared sorbents. This test was conducted to estimate the impact of polymetallic components on the sorption efficiency of the target metal ions. Both sorbents were tested for Ag(I) sorption in an equimolar solution with 1 mmol L−1 of Na(I), Mg(II), Ca(II), Fe(III), Al(III) and Cu(II). The sorption experiments were performed at different pH values (ranging from 3 to 7). Figure 8 shows the effect of pH on the selectivity ratio of CH-F and CH-TU for Ag(I) against other metal ions. SCAg/Metal was calculated using the below equation, Equation (3):
Figure 8.
Selectivity studies of CH-F (a) and CH-TU (b) at different pH values for equimolar concentration of metal ions.
From this figure, it was concluded that grafting of thiourea not only increases the loading performance but also the selectivity for multiple metal ions. From Scheme 4, both sorbents have comparable contents of NH and OH, while the functionalized sorbent contains thion groups (derived from the grafted thiourea that is produced by tautomerization), which convert to thiol groups that favor Ag(I) sorption, as discussed before.
The selectivity of both sorbents was higher at a pHeq of 6.89 and 6.71 for CH-F and CH-TU, respectively, and had the following order:
- For CH-F/pHeq 6.89: Ca(II) ≈ Na(I) > Mg(II) > Fe(II) > Al(III) ≈ Cu(II) > Ag(I).
- For CH-TU/pHeq 6.71: Ag(I) > Ca(II) > Mg(II) >Fe(III) > Al(III) > Na(I) ≈Cu(II).
This is highlighted in Table S5 for both sorbents. The preference towards Ag(I) and Cu(II) is due to their classification as soft/intermediary metals. It was noteworthy that S-based ligands are considered as a soft base, which have higher ability to bind to soft ions (such as Ag+ or Cu2+), while O-based ligands are considered as a hard base and more attracted to a hard metal character for binding (i.e., Ca2+, Na+, and Mg2+) [42].
3.2.5. Metal Desorption and Recycling Performance
Reuse of the sorbents is considered an important property. The highest sorption was recorded at pHs higher than 5, which allows the lone pair of electrons to bind with cationic ions through free protons on the amines and hydroxyls. A 0.3 M HNO3 solution was a good tool for the elution of all the adsorbed metal ions. Figure 9 shows the elution efficiency in nitric acid, which was estimated by the following equation (Equation (4)).
where C(t) is the concentration of metal ions in the solution at time (t), V is the volume of the eluent, qmax is the maximum loading capacity and Wt is the weight of the sorbent.
Elution efficiency = (C(t) × V)/(qmax × Wt) × 100
Figure 9.
Elution kinetics of CH-F and CH-TU using 0.3 M HNO3.
It is clear that the maximum desorption time was around 30 and 15 min for CH-F and CH-TU, respectively, which was sufficient for complete elution.
After desorption, the sorbents were rinsed with water for another loading for five cycles. Table 4 reports the efficiency (adsorption/desorption) over the five cycles. CH-F and CH-TU show a relative stability in the recycling processes, in which CH-TU is more efficient and has a high stability in the recycling process. The desorption of both sorbents reached 100%, while the losses in sorption performances were around 5 and 3% for CH-F and CH-TU, respectively.
Table 4.
The recycling data for CH-F and CH-TU sorbents.
3.3. Application to a Real Effluent—Acidic Leachate of Waste Photographic Film
Another test was performed on a polymetallic complex solution from acidic leaching (from 7 M nitric acid for 3 h at 50 °C) of reprocessed photographic films. The leaching solution consists of a high concentration of Ag(I) compared to other elements. The produced leaching solution had a wide content of the investigated elements—Fe, Cu, Mg, Cr, Co, Al, Ag, and Ni—with concentrations of 7.92, 1.53, 1.02, 0.71, 3.96, 2.3, 15.02, and 2.51 mg L−1, respectively. Sorption was achieved via the agitation method with an SD of 0.66 g L−1 at two different pH values (2 and 6) for both sorbents for around 10 h with an agitation speed of 210 rpm. After sorption, the sorbents were washed with water for neutralization and the metal ions were completely removed from pores; then, the elution step was performed. Desorption of the adsorbed metal ions was achieved using 0.3 M HNO3. The outlet solution after adsorption was measured and the sorption selectivity is reported in Figure 10. A high adsorption activity and selectivity were noted at a high pH compared to those at low pH values. The selectivity is shown in Table S6; the order is as follows:
Figure 10.
Selectivity studies of CH-F (a) and CH-TU (b) at different pH values from leachate leaching solution.
- CH-F/pHeq/2.35: Al > Cr > N i> Co> Fe > Mg ≈ Cu; CH-F/pHeq/6.11: Ni > Al > Co ≈ Cr ≈ Mg > Fe ≈ Cu. For CH-TU/pHeq/2.19: Al > Co ≈ Cr > Fe > Mg > Ni> Cu; CH-F/pHeq/5.86: Ni > Mg > Co> Al > Cu> Cr > Fe.
4. Conclusions
Chitosan particles were successfully functionalized using thiourea moieties with formaldehyde (which acts as a coupling agent). The produced functionalized sorbent was characterized by a high affinity for silver sorption compared to the non-functionalized sorbent. The sorbents were characterized via FTIR, SEM-EDX, TGA, EA and BET surface area. The adsorption kinetics were fitted using the PFORE (with equilibrium at 40 and 30 min for CH-F and CH-TU, respectively), while the isotherms were identical to the Sips and Langmuir equations. The maximum adsorption for Ag(I) was achieved at pH0 6, with a capacity of 0.763 and 2.125 mmol Ag g−1 for CH-F and CH-TU, respectively. The outcome of the sorption performance indicates the significant effect of thiol grafting. Tests of polymetallic solutions (either equimolar synthetic or waste leaching solutions) show the preference of CH-TU for Ag compared to CH-F against other competitive metal ions. This is because S-based ligands have a higher affinity for Ag (i.e., a soft acid) than O- and N-based ligands (which exhibit the opposite effect (a preference for hard acids)). The sorbent shows a high affinity for adsorption of Ag(I) compared with other values found in the literature. Nitric acid solution is considered a good eluent for the desorbed metal ions, and both sorbents show a high stability against sorption–desorption cycles, with the limit decreasing with the affinity (around 5 and 3% for CH-F and CH-TU, respectively). Finally, the functionalized sorbent shows a high affinity for recovering silver ions from acidic waste solutions. Moreover, the modified biosorbent was synthesized in a one-pot process via a green synthesis method (using water instead of solvent), and it shows a significant selectivity for Ag(I) over several ions (cations and anions) in a poly-metallic acidic leaching solution. This study provides a novel and eco-friendly sorbent for efficient Ag+ recovery, reflecting its potential application in environmental monitoring, where it can be reused for long-term practical applications.
Supplementary Materials
The following supporting information can be downloaded at: https://www.mdpi.com/article/10.3390/su16135280/s1, Figure S1: The comparison studies of DrTG for CH-F (a) and CH-TU (b); Figure S2: Silver species at different pH values; Figure S3: pH deviation of CH-F and CH-TU sorbents; Table S1: Reminder of the equations used for modeling sorption isotherms; Table S2: Reminder of the equations used for modeling uptake kinetics; Table S3: Assignments of the FTIR spectra for CH-F and CH-TU after Ag(I) sorption and after 20 cycles of sorption–desorption; Table S4: Elemental analysis of CH-F and CH-TU; Table S5: Selectivity of CH-F and CH-TU for some equimolar metal ions; Table S6: Selectivity of CH-F and CH-TU for some selected metal ions in waste leaching solution at different pH values [105,106,107,108,109,110,111,112,113,114,115,116,117,118,119,120,121,122,123,124,125,126,127,128,129,130,131,132,133,134,135,136,137,138,139,140,141,142,143,144,145,146,147,148,149,150].
Author Contributions
Conceptualization, M.F.H. and A.A.-H.A.-R.; methodology, A.F., H.H.A., A.F., M.A.S. and M.F.H.; software, M.S.K., W.M.S. and S.R.E.D.; validation, A.F., A.A.-H.A.-R., G.A.E.-H. and M.F.H.; formal analysis, A.F., W.M.S., G.A.E.-H. and M.F.H.; investigation, A.A.-H.A.-R. and S.R.E.D.; resources, A.F. and H.H.A.; data curation, A.F., G.A.E.-H. and M.F.H.; writing—original draft preparation, M.F.H., S.R.E.D. and A.A.-H.A.-R.; writing—review and editing, M.F.H.; visualization, A.F., H.H.A., W.M.S., A.F. and M.A.S.; supervision, M.F.H. and A.A.-H.A.-R.; project administration, H.H.A.; funding acquisition, H.H.A. All authors have read and agreed to the published version of the manuscript.
Funding
The authors would like to acknowledge Deanship of Graduate Studies and Scientific Research, Taif University, for funding this work.
Institutional Review Board Statement
Not applicable.
Informed Consent Statement
Not applicable.
Data Availability Statement
The data presented in this study are available on request from the corresponding author.
Acknowledgments
The authors would like to acknowledge Deanship of Graduate Studies and Scientific Research, Taif University for funding this work.
Conflicts of Interest
The authors declare no conflicts of interest.
References
- Silva de Oliveira, L.S.; Weitzel Dias Carneiro Lima, M.T.; Yamane, L.H.; Siman, R.R. Silver receovery from end-of-life photo-voltaic panels. Detritus 2020, 10, 62–74. [Google Scholar] [CrossRef]
- Savvilotidou, V.; Gidarakos, E. Pre-concentration and recovery of silver and indium from crystalline silicon and copper indium selenide photovoltaic panels. J. Clean. Prod. 2020, 250, 119440. [Google Scholar] [CrossRef]
- Carata, C.; Vasile, E.; Ghica, V.-G.; Petrescu, M.-I.; Iacob, G.; Buzatu, M. Recovery of silver from waste silver oxide button cells Part I: Characterization of active material. Rom. J. Mater. 2020, 50, 191–197. [Google Scholar]
- Ho, N.A.D.; Babel, S.; Sombatmankhong, K. Factors influencing silver recovery and power generation in bio-electrochemical reactors. Environ. Sci. Pollut. Res. 2017, 24, 21024–21037. [Google Scholar] [CrossRef] [PubMed]
- Ali, J.; Wang, L.; Waseem, H.; Sharif, H.M.A.; Djellabi, R.; Zhang, C.; Pan, G. Bioelectrochemical recovery of silver from wastewater with sustainable power generation and its reuse for biofouling mitigation. J. Clean. Prod. 2019, 235, 1425–1437. [Google Scholar] [CrossRef]
- Noorbakhsh-Sabet, N.; Zand, R.; Zhang, Y.; Abedi, V. Artificial intelligence transforms the future of health care. Am. J. Med. 2019, 132, 795–801. [Google Scholar] [CrossRef] [PubMed]
- Cervantes-Avilés, P.; Huang, Y.; Keller, A.A. Incidence and persistence of silver nanoparticles throughout the wastewater treatment process. Water Res. 2019, 156, 188–198. [Google Scholar] [CrossRef] [PubMed]
- Erku, M.D.; Yimam, A.; Jabasingh, A.S. Process optimization for the recovery of silver from waste X-ray photographic films. Indian J. Chem. Technol. 2019, 26, 404–410. [Google Scholar]
- Sverdrup, H.U.; Ragnarsdottir, K.V.; Koca, D. An assessment of metal supply sustainability as an input to policy: Security of supply extraction rates, stocks-in-use, recycling, and risk of scarcity. J. Clean. Prod. 2017, 140, 359–372. [Google Scholar] [CrossRef]
- Azimzada, A.; Tufenkji, N.; Wilkinson, K.J. Transformations of silver nanoparticles in wastewater effluents: Links to Ag bio-availability. Environ. Sci. Nano 2017, 4, 1339–1349. [Google Scholar] [CrossRef]
- Ali, H.; Khan, E.; Ilahi, I. Environmental chemistry and ecotoxicology of hazardous heavy metals: Environmental persistence, toxicity, and bioaccumulation. J. Chem. 2019, 2019, 6730305. [Google Scholar] [CrossRef]
- Cantuaria, M.L.; de Almeida Neto, A.F.; Nascimento, E.S.; Vieira, M.G. Adsorption of silver from aqueous solution onto pre-treated bentonite clay: Complete batch system evaluation. J. Clean. Prod. 2016, 112, 1112–1121. [Google Scholar] [CrossRef]
- Guo, J.; Jiang, L.; Liang, J.; Xu, W.; Yu, H.; Zhang, J.; Ye, S.; Xing, W.; Yuan, X. Photocatalytic degradation of tetracycline an-tibiotics using delafossite silver ferrite-based Z-scheme photocatalyst: Pathways and mechanism insight. Chemosphere 2021, 270, 128651. [Google Scholar] [CrossRef] [PubMed]
- Qiao, M.; Wu, X.; Zhao, S.; Djellabi, R.; Zhao, X. Peroxymonosulfate enhanced photocatalytic decomposition of silver-cyanide complexes using g-C3N4 nanosheets with simultaneous recovery of silver. Appl. Catal. B Environ. 2020, 265, 118587. [Google Scholar] [CrossRef]
- Baes, A.; Umali, S.; Mercado, R. Ion exchange and adsorption of some heavy metals in a modified coconut coir cation exchanger. Water Sci. Technol. 1996, 34, 193–200. [Google Scholar] [CrossRef]
- Jin, K.; Huang, X.; Yang, H.; Li, Y.; Zeng, J.; Zhou, H.; Liu, Y.; Zhang, R. A acylthiourea based ion-imprinted membrane for selective removal of Ag+ from aqueous solution. Colloids Surf. A Physicochem. Eng. Asp. 2024, 684, 133162. [Google Scholar] [CrossRef]
- Wang, Z.; Halli, P.; Hannula, P.; Liu, F.; Wilson, B.P.; Yliniemi, K.; Lundstrom, M. Recovery of silver from dilute effluents via electrodeposition and redox replacement. J. Electrochem. Soc. 2019, 166, E266–E274. [Google Scholar] [CrossRef]
- Ho, N.A.D.; Babel, S. Bioelectrochemical technology for recovery of silver from contaminated aqueous solution: A review. Environ. Sci. Pollut. Res. 2020, 28, 63480–63494. [Google Scholar] [CrossRef] [PubMed]
- Cho, S.-Y.; Kim, T.-Y.; Sun, P.-P. Recovery of silver from leachate of silicon solar cells by solvent extraction with TOPO. Sep. Purif. Technol. 2019, 215, 516–520. [Google Scholar] [CrossRef]
- Sun, P.-P.; Kim, T.-Y.; Seo, H.; Cho, S.-Y. Recovery of copper(II) and silver(I) from nitrate leaching solution of industrial dust via solvent extraction with LIX63. Metals 2021, 11, 1300. [Google Scholar] [CrossRef]
- Xing, W.D.; Lee, M.S. Development of a hydrometallurgical process for the recovery of gold and silver powders from anode slime containing copper, nickel, tin, and zinc. Gold Bull. 2019, 52, 69–77. [Google Scholar] [CrossRef]
- Celik, Z.; Guelfen, M.; Aydin, A.O. Synthesis of a novel dithiooxamide-formaldehyde resin and its application to the adsorption and separation of silver ions. J. Hazard. Mater. 2010, 174, 556–562. [Google Scholar] [CrossRef]
- Dong, Z.; Yang, X.; Pan, Q.; Ao, Y.; Du, J.; Zhai, M.; Zhao, L. Performance and mechanism of selective adsorption of silver to L-cysteine functionalized cellulose microsphere. Cellulose 2020, 27, 3249–3261. [Google Scholar] [CrossRef]
- Pilsniak-Rabiega, M.; Wejman, K.; Wolska, J. Novel conventional and chelating anion exchange resins with amino ligands for sorption of silver. Sep. Sci. Technol. 2020, 55, 2170–2182. [Google Scholar] [CrossRef]
- El-Shorbagy, H.G.; El-Kousy, S.M.; Elwakeel, K.Z.; Abd El-Ghaffar, M.A. Eco-friendly chitosan condensation adduct resins for removal of toxic silver ions from aqueous medium. J. Ind. Eng. Chem. 2021, 100, 410–421. [Google Scholar] [CrossRef]
- Han, C.; Li, J.; Wang, G.; Zhang, C. The adsorption of silver on powdered activated carbon in the ammonia-rree thiosulfate leaching solution. Russ. J. Non-Ferr. Met. 2021, 62, 165–173. [Google Scholar] [CrossRef]
- Omar, N.B.; Merroun, M.L.; Peñalver, J.M.A.; Gonzalez Muñoz, M.T. Comparative heavy metal biosorption study of brewery yeast and Myxococcus xanthus biomass. Chemosphere 1997, 35, 2277–2283. [Google Scholar] [CrossRef] [PubMed]
- Tsui, M.T.K.; Cheung, K.C.; Tam, N.F.Y.; Wong, M.H. A comparative study on metal sorption by brown seaweed. Chemosphere 2006, 65, 51–57. [Google Scholar] [CrossRef] [PubMed]
- Sun, G.Q.; Tang, X.H.; Zhou, L.M.; Liu, Z.R.; Le, Z.G.; Huang, G.L. Effective adsorption Ag(I) onto triethylenetetra-mine-modified chitosan beads: Adsorption equilibrium, kinetic, and thermodynamic studies. Desalin. Water Treat. 2020, 206, 297–306. [Google Scholar] [CrossRef]
- Nancharaiah, Y.; Mohan, S.V.; Lens, P. Metals removal and recovery in bioelectrochemical systems: A review. Bioresour. Technol. 2015, 195, 102–114. [Google Scholar] [CrossRef] [PubMed]
- Huang, L.; Wan, H.; Song, S.; Liu, D.; Puma, G.L. Complete removal of heavy metals with simultaneous efficient treatment of etching terminal wastewater using scaled-up microbial electrolysis cells. Chem. Eng. J. 2022, 439, 135763. [Google Scholar] [CrossRef]
- Hassan, M.; Kanwal, S.; Singh, R.S.; SA, M.A.; Anwar, M.; Zhao, C. Current challenges and future perspectives associated with configuration of microbial fuel cell for simultaneous energy generation and wastewater treatment. Int. J. Hydrogen Energy 2023, 50, 323–350. [Google Scholar] [CrossRef]
- Nazarchuk, G.I.; Melnyk, I.V.; Zub, Y.L.; Makridina, O.I.; Vezentsev, A.I. Mesoporous silica containing Si(CH2)3NHC(S)NHC2H5 functional groups in the surface layer. J. Colloid Interface Sci. 2013, 389, 115–120. [Google Scholar] [CrossRef] [PubMed]
- Cigil, A.B.; Urucu, O.A.; Birtane, H.; Kahraman, M.V. Cellulose/cysteine based thiol-ene UV cured adsorbent: Removal of silver (I) ions from aqueous solution. Cellulose 2021, 28, 6439–6448. [Google Scholar] [CrossRef]
- Elwakeel, K.Z.; Al-Bogami, A.S.; Guibal, E. 2-Mercaptobenzimidazole derivative of chitosan for silver sorption—Contribution of magnetite incorporation and sonication effects on enhanced metal recovery. Chem. Eng. J. 2021, 403, 126265. [Google Scholar] [CrossRef]
- Onofrei, T.; Albu, M.; Mita, C. Sorption and concentration of Ag(I) on celluloses modified with azo and thiourea groups. Cellul. Chem. Technol. 2001, 35, 429–433. [Google Scholar]
- Hao, Z.; Guo, Y.; Wu, P.; Mansuer, M.; Zhu, J. Adsorption properties of silver ions on thiourea-formaldehyde resin. In Proceedings of the 3rd International Conference on Energy, Environment and Sustainable Development (EESD 2013), Shanghai, China, 12–13 November 2014; pp. 459–462. [Google Scholar] [CrossRef]
- Kumar, P.; Ansari, K.B.; Koli, A.C.; Gaikar, V.G. Sorption behavior of thiourea grafted polymeric resin toward silver ion, re-duction to silver nanoparticles, and their antibacterial properties. Ind. Eng. Chem. Res. 2013, 52, 6438–6445. [Google Scholar] [CrossRef]
- Yun, J.-I.; Bhattarai, S.; Yun, Y.-S.; Lee, Y.-S. Synthesis of thiourea-immobilized polystyrene nanoparticles and their sorption behavior with respect to silver ions in aqueous phase. J. Hazard. Mater. 2018, 344, 398–407. [Google Scholar] [CrossRef]
- Pilsniak-Rabiega, M.; Wolska, J. Silver(I) recovery on sulfur-containing polymeric sorbents from chloride solutions. Physicochem. Probl. Miner. Process. 2020, 56, 290–310. [Google Scholar] [CrossRef]
- Liu, P.; Wang, X.; Tian, L.; He, B.; Lv, X.; Li, X.; Wang, C.; Song, L. Adsorption of silver ion from the aqueous solution using a polyvinylidene fluoride functional membrane bearing thiourea groups. J. Water Process Eng. 2020, 34, 101184. [Google Scholar] [CrossRef]
- Pearson, R.G. Acids and bases. Science 1966, 151, 172–177. [Google Scholar] [CrossRef] [PubMed]
- Lopes, J.L.; Marques, K.L.; Girao, A.V.; Pereira, E.; Trindade, T. Functionalized magnetite particles for adsorption of colloidal noble metal nanoparticles. J. Colloid Interface Sci. 2016, 475, 96–103. [Google Scholar] [CrossRef]
- El-Ghaffar, M.A.A.; Mohamed, M.H.; Elwakeel, K.Z. Adsorption of silver(I) on synthetic chelating polymer derived from 3-amino-1,2,4-triazole-5-thiol and glutaraldehyde. Chem. Eng. J. 2009, 151, 30–38. [Google Scholar] [CrossRef]
- Melnyk, I.V.; Nazarchuk, G.I.; Vaclavikova, M.; Zub, Y.L. IR spectroscopy study of SBA-15 silicas functionalized with the ethylthiocarbamidepropyl groups and their interactions with Ag(I) and Hg(II) ions. Appl. Nanosci. 2019, 9, 683–694. [Google Scholar] [CrossRef]
- Qiao, H.; Li, B.; Hu, S.; Liu, C. Fast cost-effective synthesis of metal ions/biopolymer/silica composites by supramolecular hydrogels crosslink with superior tetracycline sorption performance. Chemosphere 2022, 294, 133821. [Google Scholar] [CrossRef] [PubMed]
- Hoque, M.; Alam, M.; Wang, S.; Zaman, J.U.; Rahman, M.S.; Johir, M.; Tian, L.; Choi, J.-G.; Ahmed, M.B.; Yoon, M.-H. Interaction chemistry of functional groups for natural biopolymer-based hydrogel design. Mater. Sci. Eng. R Rep. 2023, 156, 100758. [Google Scholar] [CrossRef]
- Yang, W.; Yang, W.; Zeng, J.; Chen, Y.; Huang, Y.; Liu, J.; Gan, J.; Li, T.; Zhang, H.; Zhong, L. Biopolymer-based gel electrolytes for electrochemical energy Storage: Advances and prospects. Prog. Mater. Sci. 2024, 144, 101264. [Google Scholar] [CrossRef]
- Neto, L.A.A.; Silva, L.P. Influence of biopolymer composition and crosslinking agent concentration on the micro-and nanomechanical properties of hydrogel-based filaments. J. Mech. Behav. Biomed. Mater. 2024, 150, 106316. [Google Scholar]
- Zhao, M.; Salih, K.A.; Wei, Y.; Guibal, E.; Ning, S.; Goda, A.E.-S.; Hamza, M.F. Novel method for synthesizing high S-bearing hybrid sorbent for efficient silver binding–Characterization, testing, and application to metal recovery from X-ray films. Chem. Eng. J. 2023, 477, 147010. [Google Scholar] [CrossRef]
- Hou, X.; Lin, L.; Li, K.; Jiang, F.; Qiao, D.; Zhang, B.; Xie, F. Towards superior biopolymer gels by enabling interpenetrating network structures: A review on types, applications, and gelation strategies. Adv. Colloid Interface Sci. 2024, 325, 103113. [Google Scholar] [CrossRef] [PubMed]
- Rahman, M.L.; Sarjadi, M.S.; Arshad, S.E.; Yusoff, M.M.; Sarkar, S.M.; Musta, B. Kenaf cellulose-based poly(amidoxime) ligand for adsorption of rare earth ions. Rare Met. 2019, 38, 259–269. [Google Scholar] [CrossRef]
- Seelarak, C.; Saiwan, C.; Supap, T.; Idem, R.; Tontiwachwuthikul, P.; Wongpanit, P. Studies of Crosslinked Quaternized Biopolymer for Separation of Heat Stable Salts in Amine Absorption Solution for Carbon Dioxide Capture. Energy Procedia 2013, 37, 1202–1208. [Google Scholar] [CrossRef][Green Version]
- Gad, H.M.H.; Hamed, M.M.; Eldahab, H.; Moustafa, M.E.; El-Reefy, S.A. Radiation-induced grafting copolymerization of resin onto the surface of silica extracted from rice husk ash for adsorption of gadolinium. J. Mol. Liq. 2017, 231, 45–55. [Google Scholar] [CrossRef]
- Roosen, J.; Binnemans, K. Adsorption and chromatographic separation of rare earths with EDTA- and DTPA-functionalized chitosan biopolymers. J. Mater. Chem. A 2014, 2, 1530–1540. [Google Scholar] [CrossRef]
- Wang, F.C.; Zhao, J.M.; Wei, X.T.; Huo, F.; Li, W.S.; Hu, Q.Y.; Liu, H.Z. Adsorption of rare earths(III) by calcium alginate-poly glutamic acid hybrid gels. J. Chem. Technol. Biotechnol. 2014, 89, 969–977. [Google Scholar] [CrossRef]
- Xu, C.; Zhang, Y.; Peng, Y.-L.; Zou, J.-S.; Yang, T.; Liu, Z.; Qiu, F.; Liu, C.; Jiang, S. Probing the differences in CO2 adsorption/desorption behaviors of solid amine sorbents in fixed and fluidized beds. Sep. Purif. Technol. 2024, 343, 127171. [Google Scholar] [CrossRef]
- Hamza, M.F.; Guibal, E.; Althumayri, K.; Wei, Y.; Eid, A.M.; Fouda, A. Poly-condensation of N-(2-acetamido)-2-aminoethanesulfonic acid with formaldehyde for the synthesis of a highly efficient sorbent for Cs (I). Chem. Eng. J. 2022, 454, 140155. [Google Scholar] [CrossRef]
- Ravi, S.; Lee, Y.-R.; Yu, K.; Ahn, J.-W.; Ahn, W.-S. Benzene triamido-tetraphosphonic acid immobilized on mesoporous silica for adsorption of Nd3+ ions in aqueous solution. Microporous Mesoporous Mater. 2018, 258, 62–71. [Google Scholar] [CrossRef]
- Maranescu, B.; Lupa, L.; Visa, A. Synthesis, characterization and rare earth elements adsorption properties of phosphonate metal organic frameworks. Appl. Surf. Sci 2019, 481, 83–91. [Google Scholar] [CrossRef]
- Abdel-Magied, A.F.; Abdelhamid, H.N.; Ashour, R.M.; Zou, X.; Forsberg, K. Hierarchical porous zeolitic imidazolate frame-works nanoparticles for efficient adsorption of rare-earth elements. Microporous Mesoporous Mater. 2019, 278, 175–184. [Google Scholar] [CrossRef]
- Xu, M.; Guo, L.; Wang, Y.; Wang, Q.; Hao, L.; Wang, C.; Wu, Q.; Wang, Z. Heterocyclic frameworks as efficient sorbents for solid phase extraction-high performance liquid chromatography analysis of nitroimidazoles in chicken meat. Microchem. J. 2021, 165, 106096. [Google Scholar] [CrossRef]
- Duarte, M.; Jagadeesan, K.K.; Billing, J.; Yilmaz, E.; Laurell, T.; Ekström, S. Solid-phase extraction of the alcohol abuse biomarker phosphatidylethanol using newly synthesized polymeric sorbent materials containing quaternary heterocyclic groups. J. Chromatogr. A 2017, 1519, 1–8. [Google Scholar] [CrossRef] [PubMed]
- Nachimuthu, S.; Thangavel, S.; Kannan, K. Green synthesized nano-functionalized material. In Industrial Applications of Nanocrystals; Elsevier: Amsterdam, The Netherlands, 2022; pp. 53–69. [Google Scholar]
- Gamzazade, A.; Sklyar, A.; Nasibov, S.; Sushkov, I.; Shashkov, A.; Knirel, Y. Structural features of sulfated chitosans. Carbohydr. Polym. 1997, 34, 113–116. [Google Scholar] [CrossRef]
- Varma, A.J.; Deshpande, S.V.; Kennedy, J.F. Metal complexation by chitosan and its derivatives: A review. Carbohydr. Polym. 2004, 55, 77–93. [Google Scholar] [CrossRef]
- Fu, J.; Yang, F.; Guo, Z. The chitosan hydrogels: From structure to function. New J. Chem. 2018, 42, 17162–17180. [Google Scholar] [CrossRef]
- Nagahama, H.; Maeda, H.; Kashiki, T.; Jayakumar, R.; Furuike, T.; Tamura, H. Preparation and characterization of novel chitosan/gelatin membranes using chitosan hydrogel. Carbohydr. Polym. 2009, 76, 255–260. [Google Scholar] [CrossRef]
- Juang, R.S.; Ju, C.Y. Equilibrium sorption of copper(II)-ethylenediaminetetraacetic acid chelates onto cross-linked, polyaminated chitosan beads. Ind. Eng. Chem. Res. 1997, 36, 5403–5409. [Google Scholar] [CrossRef]
- Dragan, E.S.; Humelnicu, D.; Dinu, M.V. Development of chitosan-poly(ethyleneimine) based double network cryogels and their application as superadsorbents for phosphate. Carbohydr. Polym. 2019, 210, 17–25. [Google Scholar] [CrossRef] [PubMed]
- Kyzas, G.Z.; Siafaka, P.I.; Pavlidou, E.G.; Chrissafis, K.J.; Bikiaris, D.N. Synthesis and adsorption application of succinyl-grafted chitosan for the simultaneous removal of zinc and cationic dye from binary hazardous mixtures. Chem. Eng. J. 2015, 259, 438–448. [Google Scholar] [CrossRef]
- Borsagli, F.; Mansur, A.A.P.; Chagas, P.; Oliveira, L.C.A.; Mansur, H.S. O-carboxymethyl functionalization of chitosan: Complexation and adsorption of Cd (II) and Cr (VI) as heavy metal pollutant ions. React. Funct. Polym. 2015, 97, 37–47. [Google Scholar] [CrossRef]
- Ramos, V.M.; Rodriguez, N.M.; Diaz, M.F.; Rodriguez, M.S.; Heras, A.; Agullo, E. N-methylene phosphonic chitosan. Eff. Prep. Methods Its Properties. Carbohydr. Polym. 2003, 52, 39–46. [Google Scholar] [CrossRef]
- Zhao, Z.; Zhang, X.; Ruan, D.; Xu, H.; Wang, F.; Lei, W.; Xia, M. Efficient removal of heavy metal ions by diethylenetri-aminepenta (methylene phosphonic) acid-doped hydroxyapatite. Sci. Total Environ. 2022, 849, 157557. [Google Scholar] [CrossRef] [PubMed]
- Yan, Y.; Chu, Y.; Khan, M.A.; Xia, M.; Shi, M.; Zhu, S.; Lei, W.; Wang, F. Facile immobilization of ethylenediamine tetrameth-ylene-phosphonic acid into UiO-66 for toxic divalent heavy metal ions removal: An experimental and theoretical exploration. Sci. Total Environ. 2022, 806, 150652. [Google Scholar] [CrossRef] [PubMed]
- Maranescu, B.; Popa, A.; Lupa, L.; Maranescu, V.; Visa, A. Use of chitosan complex with aminophosphonic groups and cobalt for the removal of Sr2+ ions. Sep. Sci. Technol. 2018, 53, 1058–1064. [Google Scholar] [CrossRef]
- Lopez-Ramon, M.V.; Stoeckli, F.; Moreno-Castilla, C.; Carrasco-Marin, F. On the characterization of acidic and basic surface sites on carbons by various techniques. Carbon 1999, 37, 1215–1221. [Google Scholar] [CrossRef]
- Burns, G.R. Metal complexes of thiocarbohydrazide. Inorg. Chem. 1968, 7, 277–283. [Google Scholar] [CrossRef]
- Lin-Vien, D.; Colthup, N.B.; Fateley, W.G.; Grasselli, J.G. APPENDIX 3—A Summary of Characteristic Raman and Infrared Frequencies. In The Handbook of Infrared and Raman Characteristic Frequencies of Organic Molecules; Lin-Vien, D., Colthup, N.B., Fateley, W.G., Grasselli, J.G., Eds.; Academic Press: San Diego, CA, USA, 1991; pp. 477–490. [Google Scholar]
- Sánchez-Cid, P.; Alonso-González, M.; Jiménez-Rosado, M.; Benhnia, M.R.-E.-I.; Ruiz-Mateos, E.; Ostos, F.J.; Romero, A.; Perez-Puyana, V.M. Effect of different crosslinking agents on hybrid chitosan/collagen hydrogels for potential tissue engineering applications. Int. J. Biol. Macromol. 2024, 263, 129858. [Google Scholar] [CrossRef] [PubMed]
- Sarnaghi, S.P.; Ayazi, Z. Synthesis of a molecularly imprinted polymer-based thin film as a smart sorbent for microextraction by packed syringe of n-propyl gallate in vegetable edible oils followed by its colorimetric detection applying a smartphone. Microchem. J. 2024, 203, 110772. [Google Scholar] [CrossRef]
- Regina, S.; Poerio, T.; Mazzei, R.; Sabia, C.; Iseppi, R.; Giorno, L. Pectin as a non-toxic crosslinker for durable and water-resistant biopolymer-based membranes with improved mechanical and functional properties. Eur. Polym. J. 2022, 172, 111193. [Google Scholar] [CrossRef]
- Sulejmanović, J.; Memić, M.; Šehović, E.; Omanović, R.; Begić, S.; Pazalja, M.; Ajanović, A.; Azhar, O.; Sher, F. Synthesis of green nano sorbents for simultaneous preconcentration and recovery of heavy metals from water. Chemosphere 2022, 296, 133971. [Google Scholar] [CrossRef]
- Muddin, N.A.I.; Badsha, M.M.; Arafath, M.A.; Merican, Z.M.A.; Hossain, M.S. Magnetic Chitosan Nanoparticles as a Potential Bio-sorbent for the Removal of Cr (VI) from Wastewater: Synthesis, environmental impact and challenges. Desalination Water Treat. 2024, 319, 100449. [Google Scholar] [CrossRef]
- Hamza, M.F.; Abdel-Rahman, A.A.-H.; Negm, A.S.; Hamad, D.M.; Khalafalla, M.S.; Fouda, A.; Wei, Y.; Amer, H.H.; Alotaibi, S.H.; Goda, A.E.-S. Grafting of Thiazole Derivative on Chitosan Magnetite Nanoparticles for Cadmium Remov-al—Application for Groundwater Treatment. Polymers 2022, 14, 1240. [Google Scholar] [CrossRef] [PubMed]
- Nie, J.; Wang, Z.; Hu, Q. Chitosan hydrogel structure modulated by metal ions. Sci. Rep. 2016, 6, 36005. [Google Scholar] [CrossRef] [PubMed]
- Kaya, F.; Özer, A. Selective sulfate sorption from boric acid factory process liquor: Chitosan-bentonite biocomposite film synthesis as sorbent. Miner. Eng. 2022, 187, 107777. [Google Scholar] [CrossRef]
- Jiang, W.; Yang, Y.; Miao, S.; Wan, D. Fabrication of a novel chitosan/polyaspartic acid composite: A pH-tunable sorbent for efficient adsorption of heavy metal ions and dyes from water. J. Water Process Eng. 2023, 56, 104554. [Google Scholar] [CrossRef]
- Siddiqi, K.S.; Khan, S.; Nami, S.A.A.; El-ajaily, M.M. Polynuclear transition metal complexes with thiocarbohydrazide and dithiocarbamates. Spectrochim. Acta Part A 2007, 67, 995–1002. [Google Scholar] [CrossRef] [PubMed]
- Tien, C. Adsorption Calculations and Modeling; Butterworth-Heinemann: Newton, MA, USA, 1994; p. 243. [Google Scholar]
- Hubbe, M.A.; Azizian, S.; Douven, S. Implications of apparent pseudo-second-order adsorption kinetics onto cellulosic materials: A review. BioResources 2019, 14, 7582–7626. [Google Scholar] [CrossRef]
- Simonin, J.-P. On the comparison of pseudo-first order and pseudo-second order rate laws in the modeling of adsorption kinetics. Chem. Eng. J. 2016, 300, 254–263. [Google Scholar] [CrossRef]
- Wang, J.; Zhang, W.; Kang, X.; Zhang, C. Rapid and efficient recovery of silver with nanoscale zerovalent iron supported on high performance activated carbon derived from straw biomass. Environ. Pollut. 2019, 255, 113043. [Google Scholar] [CrossRef]
- Biswas, F.B.; Rahman, I.M.M.; Nakakubo, K.; Yunoshita, K.; Endo, M.; Nagai, K.; Mashio, A.S.; Taniguchi, T.; Nishimura, T.; Maeda, K.; et al. Selective recovery of silver and palladium from acidic waste solutions using dithiocarbamate-functionalized cellulose. Chem. Eng. J. 2021, 407, 127225. [Google Scholar] [CrossRef]
- Mahlangu, T.; Das, R.; Abia, L.K.; Onyango, M.; Ray, S.S.; Maity, A. Thiol-modified magnetic polypyrrole nanocomposite: An effective adsorbent for the adsorption of silver ions from aqueous solution and subsequent water disinfection by silver-laden nanocomposite. Chem. Eng. J. 2019, 360, 423–434. [Google Scholar] [CrossRef]
- Tran Thu, H.; Okabe, H.; Hidaka, Y.; Hara, K. Equilibrium and kinetic studies for silver removal from aqueous solution by hybrid hydrogels. J. Hazard. Mater. 2019, 365, 237–244. [Google Scholar] [CrossRef] [PubMed]
- Shehzad, H.; Ahmed, E.; Sharif, A.; Din, M.I.; Farooqi, Z.H.; Nawaz, I.; Bano, R.; Iftikhar, M. Amino-carbamate moiety grafted calcium alginate hydrogel beads for effective biosorption of Ag(I) from aqueous solution: Economically-competitive recovery. Int. J. Biol. Macromol. 2020, 144, 362–372. [Google Scholar] [CrossRef] [PubMed]
- Zhang, B.; Wang, S.; Fu, L.; Zhao, J.; Zhang, L.; Peng, J. Selective adsorption of silver ions from highly acidic aqueous solutions by polymers containing multiple sulfur groups. Water Air Soil Pollut. 2018, 229, 199. [Google Scholar] [CrossRef]
- Wu, F.; Zhao, T.; Yao, Y.; Jiang, T.; Wang, B.; Wang, M. Recycling supercapacitor activated carbons for adsorption of silver (I) and chromium (VI) ions from aqueous solutions. Chemosphere 2020, 238, 124638. [Google Scholar] [CrossRef] [PubMed]
- Babu, A.N.; Reddy, D.S.; Mohan, G.V.K.; Kumar, G.S.; Dora, T.K. Mathematical investigation into the sequential adsorption of silver ions and brilliant green dye using biochar derived from Gracilaria rhodophyta algae. Biomass Convers. Biorefin. 2021, 13, 10065–10084. [Google Scholar] [CrossRef]
- Tomczyk, A.; Sokolowska, Z.; Boguta, P. Biomass type effect on biochar surface characteristic and adsorption capacity relative to silver and copper. Fuel 2020, 278, 118168. [Google Scholar] [CrossRef]
- Zhang, Z.; Kuang, Y.; Lin, Y.; Wu, D. A closed-loop sustainable scheme for silver recovery from water by reusable thiol-grafted graphene oxide. J. Clean. Prod. 2021, 305, 127146. [Google Scholar] [CrossRef]
- Liu, Y.; Pei, R.; Lv, Y.; Lin, C.; Huang, J.; Liu, M. Removal behavior and mechanism of silver from low concentration wastewater using cellulose aerogel modified by thiosemicarbazide. J. Appl. Polym. Sci. 2021, 138, 51226. [Google Scholar] [CrossRef]
- Pham Thi, N.; Dinh Thi Mai, T.; Nguyen Thu, P.; Nguyen Thi Thu, T.; Cao Thi, H.; Vo Thi Kieu, A.; Tran Dai, L.; Nguyen Thi, T. Adsorption of Ag+ ions using hydroxyapatite powder and recovery silver by electrodeposition. Vietnam J. Chem. 2021, 59, 179–186. [Google Scholar] [CrossRef]
- Lima, É.C.; Dehghani, M.H.; Guleria, A.; Sher, F.; Karri, R.R.; Dotto, G.L.; Tran, H.N. CHAPTER 3—Adsorption: Fundamental aspects and applications of adsorption for effluent treatment. In Green Technologies for the Defluoridation of Water; Hadi Dehghani, M., Karri, R., Lima, E., Eds.; Elsevier: Amsterdam, The Netherlands, 2021; pp. 41–88. [Google Scholar]
- Buema, G.; Lupu, N.; Chiriac, H.; Ciobanu, G.; Bucur, R.D.; Bucur, D.; Favier, L.; Harja, M. Performance assessment of five adsorbents based on fly ash for removal of cadmium ions. J. Mol. Liq. 2021, 333, 115932. [Google Scholar] [CrossRef]
- Crank, J. The Mathematics of Diffusion, 2nd ed.; Oxford University Press: Oxford, UK, 1975; p. 414.w. [Google Scholar]
- Ho, Y.S.; McKay, G. Pseudo-second order model for sorption processes. Process Biochem. 1999, 34, 451–465. [Google Scholar] [CrossRef]
- Zhang, Z.; Cao, Y.; Chen, L.; Huang, Z. Preparation of thiol-functionalized cellulose and its application to the removal of Hg (II) from water environment. Cellul. Chem. Technol. 2017, 51, 559–567. [Google Scholar]
- Katowah, D.F. Poly O-toluidine-coated acetic acid modified eggshell-chitosan with ZnFe2O4 nanoparticles as a new and promising sorbent nanocomposite for rapid removal of toxic dyes such as Brilliant Green and Acid Red from the aquatic environment. J. Saudi Chem. Soc. 2024, 28, 101828. [Google Scholar] [CrossRef]
- Wang, T.; Gunasekaran, S. State of water in chitosan–PVA hydrogel. J. Appl. Polym. Sci. 2006, 101, 3227–3232. [Google Scholar] [CrossRef]
- Mirzaei, B.E.; Ramazani SA, A.; Shafiee, M.; Danaei, M. Studies on glutaraldehyde crosslinked chitosan hydrogel properties for drug delivery systems. Int. J. Polym. Mater. Polym. Biomater. 2013, 62, 605–611. [Google Scholar] [CrossRef]
- Deng, C.; Zhang, P.; Vulesevic, B.; Kuraitis, D.; Li, F.; Yang, A.F.; Griffith, M.; Ruel, M.; Suuronen, E.J. A collagen–chitosan hydrogel for endothelial differentiation and angiogenesis. Tissue Eng. Part A 2010, 16, 3099–3109. [Google Scholar] [CrossRef] [PubMed]
- Hamza, M.F.; Abdel-Rahman, A.A.-H. Extraction studies of some hazardous metal ions using magnetic peptide resins. J. Dispers. Sci. Technol. 2015, 36, 411–422. [Google Scholar] [CrossRef]
- Niu, Y.; Wu, J.; Kang, Y.; Sun, P.; Xiao, Z.; Zhao, D. Recent advances of magnetic chitosan hydrogel: Preparation, properties and applications. Int. J. Biol. Macromol. 2023, 247, 125722. [Google Scholar] [CrossRef] [PubMed]
- Hamza, M.F. Uranium recovery from concentrated chloride solution produced from direct acid leaching of calcareous shale, Allouga ore materials, southwestern Sinai, Egypt. J. Radioanal. Nucl. Chem. 2018, 315, 613–626. [Google Scholar] [CrossRef]
- Fan, L.; Yang, J.; Wu, H.; Hu, Z.; Yi, J.; Tong, J.; Zhu, X. Preparation and characterization of quaternary ammonium chitosan hydrogel with significant antibacterial activity. Int. J. Biol. Macromol. 2015, 79, 830–836. [Google Scholar] [CrossRef] [PubMed]
- Liu, H.; Wang, B.; Liu, H.; Zheng, Y.; Li, M.; Tang, K.; Pan, B.; Liu, C.; Luo, J.; Pang, X. Multi-crosslinked robust alginate/polyethyleneimine modified graphene aerogel for efficient organic dye removal. Colloids Surf. A Physicochem. Eng. Asp. 2024, 683, 133034. [Google Scholar] [CrossRef]
- Coates, J. Interpretation of Infrared Spectra, A Practical Approach. In Encyclopedia of Analytical Chemistry; John Wiley & Sons, Ltd.: Hoboken, NJ, USA, 2006; pp. 1–23. [Google Scholar]
- Jin, W.; Shen, D.; Liu, Q.; Xiao, R. Evaluation of the co-pyrolysis of lignin with plastic polymers by TG-FTIR and Py-GC/MS. Polym. Degrad. Stab. 2016, 133, 65–74. [Google Scholar] [CrossRef]
- Fouda, A.; Hassan, S.E.-D.; Eid, A.M.; Awad, M.A.; Althumayri, K.; Badr, N.F.; Hamza, M.F. Endophytic bacterial strain, Brevibacillus brevis-mediated green synthesis of copper oxide nanoparticles, characterization, antifungal, in vitro cytotoxicity, and larvicidal activity. Green Process. Synth. 2022, 11, 931–950. [Google Scholar] [CrossRef]
- Hamza, M.F.; Guibal, E.; Wei, Y.; Fouda, A. Magnetic amino-sulfonic dual sorbent for uranyl sorption from aqueous solutions–Influence of light irradiation on sorption properties. Chem. Eng. J. 2023, 456, 141099. [Google Scholar] [CrossRef]
- Amin, M.A.; Ismail, M.A.; Badawy, A.A.; Awad, M.A.; Hamza, M.F.; Awad, M.F.; Fouda, A. The Potency of fungal-fabricated selenium nanoparticles to improve the growth performance of Helianthus annuus L. and control of cutworm Agrotis ipsilon. Catalysts 2021, 11, 1551. [Google Scholar] [CrossRef]
- Saraji, M.; Tarami, M.; Mehrafza, N. Preparation of a nano-biocomposite film based on halloysite-chitosan as the sorbent for thin film microextraction. Microchem. J. 2019, 150, 104171. [Google Scholar] [CrossRef]
- Hamza, M.F. Removal of uranium (VI) from liquid waste of calcareous shale, Allouga, southwestern Sinai, Egypt. Desalination Water Treat. 2015, 54, 2530–2540. [Google Scholar] [CrossRef]
- Ali, N.; Khan, A.; Malik, S.; Badshah, S.; Bilal, M.; Iqbal, H.M. Chitosan-based green sorbent material for cations removal from an aqueous environment. J. Environ. Chem. Eng. 2020, 8, 104064. [Google Scholar] [CrossRef]
- Do, N.H.; Truong, Q.T.; Le, P.K.; Ha, A.C. Recent developments in chitosan hydrogels carrying natural bioactive compounds. Carbohydr. Polym. 2022, 294, 119726. [Google Scholar] [CrossRef] [PubMed]
- Fouda, A.; Hassan, S.E.-D.; Saied, E.; Hamza, M.F. Photocatalytic degradation of real textile and tannery effluent using biosynthesized magnesium oxide nanoparticles (MgO-NPs), heavy metal adsorption, phytotoxicity, and antimicrobial activity. J. Environ. Chem. Eng. 2021, 9, 105346. [Google Scholar] [CrossRef]
- Corazzari, I.; Nistico, R.; Turci, F.; Faga, M.G.; Franzoso, F.; Tabasso, S.; Magnacca, G. Advanced physico-chemical characterization of chitosan by means of TGA coupled on-line with FTIR and GCMS: Thermal degradation and water adsorption capacity. Polym. Degrad. Stabil. 2015, 112, 1–9. [Google Scholar] [CrossRef]
- Lawrie, G.; Keen, I.; Drew, B.; Chandler-Temple, A.; Rintoul, L.; Fredericks, P.; Grondahl, L. Interactions between alginate and chitosan biopolymers characterized using FTIR and XPS. Biomacromolecules 2007, 8, 2533–2541. [Google Scholar] [CrossRef] [PubMed]
- Hamza, M.F. Grafting of quaternary ammonium groups for uranium (VI) recovery: Application on natural acidic leaching liquor. J. Radioanal. Nucl. Chem. 2019, 322, 519–532. [Google Scholar] [CrossRef]
- Hamza, M.F.; Hamad, N.A.; Hamad, D.M.; Khalafalla, M.S.; Abdel-Rahman, A.A.-H.; Zeid, I.F.; Wei, Y.; Hessien, M.M.; Fouda, A.; Salem, W.M. Synthesis of eco-friendly biopolymer, alginate-chitosan composite to adsorb the heavy metals, Cd (II) and Pb (II) from contaminated effluents. Materials 2021, 14, 2189. [Google Scholar] [CrossRef] [PubMed]
- Hamza, M.F.; Wei, Y.; Althumayri, K.; Fouda, A.; Hamad, N.A. Synthesis and Characterization of Functionalized Chitosan Nanoparticles with Pyrimidine Derivative for Enhancing Ion Sorption and Application for Removal of Contaminants. Materials 2022, 15, 4676. [Google Scholar] [CrossRef] [PubMed]
- Hamza, M.F.; Mira, H.; Ning, S.; Yin, X.; Wang, J.; Wei, Y.; Guibal, E. Synthesis and characterization of phosphonic acid functionalized maleic anhydride co-polymer for recovering scandium: Acidic red mud leachate as a case study. Colloids Surf. A Physicochem. Eng. Asp. 2024, 692, 133875. [Google Scholar] [CrossRef]
- Yao, Z.; Zhang, C.; Ping, Q.; Yu, L.L. A series of novel chitosan derivatives: Synthesis, characterization and micellar solubilization of paclitaxel. Carbohydr. Polym. 2007, 68, 781–792. [Google Scholar] [CrossRef]
- Wang, S.; Yu, D. Adsorption of Cd(II), Pb(II), and Ag(I) in aqueous solution on hollow chitosan microspheres. J. Appl. Polym. Sci. 2010, 118, 733–739. [Google Scholar] [CrossRef]
- Hamza, M.F.; Wei, Y.; Khalafalla, M.S.; Abed, N.S.; Fouda, A.; Elwakeel, K.Z.; Guibal, E.; Hamad, N.A. U (VI) and Th (IV) recovery using silica beads functionalized with urea-or thiourea-based polymers–Application to ore leachate. Sci. Total Environ. 2022, 821, 153184. [Google Scholar] [CrossRef] [PubMed]
- Tsai, H.S.; Wang, Y.Z.; Lin, J.J.; Lien, W.F. Preparation and properties of sulfopropyl chitosan derivatives with various sulfonation degree. J. Appl. Polym. Sci. 2010, 116, 1686–1693. [Google Scholar] [CrossRef]
- Chang, S.-H.; Huang, J.-J. Biodegradability and anticoagulant properties of chitosan and sulfonated chitosan films coated on TiNi alloys. Surf. Coat. Technol. 2012, 206, 4959–4963. [Google Scholar] [CrossRef]
- Hamza, M.F.; Salih, K.A.; Zhou, K.; Wei, Y.; Khoziem, H.A.A.; Alotaibi, S.H.; Guibal, E. Effect of bi-functionalization of algal/polyethyleneimine composite beads on the enhancement of tungstate sorption: Application to metal recovery from ore leachate. Sep. Purif. Technol. 2022, 290, 120893. [Google Scholar] [CrossRef]
- Hamza, M.F.; Khalafalla, M.S.; Wei, Y.; Hamad, N.A. Effect of bi-functionalization silica micro beads on uranium adsorption from synthetic and washing pregnant uranyl solutions. J. Radioanal. Nucl. Chem. 2021, 330, 191–206. [Google Scholar] [CrossRef]
- Atta, A.M.; Abdel-Rahman, A.A.-H.; Hamza, M.F.; El Aassy, I.E.; Ahmed, F.Y. Effect of crosslinker chemical structure and monomer compositions on adsorption of uranium (VI) ions based on reactive crosslinked acrylamidoxime acrylic acid resins. J. Dispers. Sci. Technol. 2012, 33, 490–496. [Google Scholar] [CrossRef]
- Duarte, M.L.; Ferreira, M.C.; Marvao, M.R.; Rocha, J. An optimised method to determine the degree of acetylation of chitin and chitosan by FTIR spectroscopy. Int. J. Biol. Macromol. 2002, 31, 1–8. [Google Scholar] [CrossRef] [PubMed]
- Metecan, A.; Cihanoğlu, A.; Altinkaya, S.A. A positively charged loose nanofiltration membrane fabricated through complexing of alginate and polyethyleneimine with metal ions on the polyamideimide support for dye desalination. Chem. Eng. J. 2021, 416, 128946. [Google Scholar] [CrossRef]
- Hamza, M.F.; Wei, Y.; Guibal, E. Quaternization of algal/PEI beads (a new sorbent): Characterization and application to scandium sorption from aqueous solutions. Chem. Eng. J. 2020, 383, 123210. [Google Scholar] [CrossRef]
- Eivazzadeh-Keihan, R.; Noruzi, E.B.; Mehrban, S.F.; Aliabadi, H.A.M.; Karimi, M.; Mohammadi, A.; Maleki, A.; Mahdavi, M.; Larijani, B.; Shalan, A.E. The latest advances in biomedical applications of chitosan hydrogel as a powerful natural structure with eye-catching biological properties. J. Mater. Sci. 2022, 57, 3855–3891. [Google Scholar] [CrossRef]
- Xiang, Y.; Yang, M.; Guo, Z.; Cui, Z. Alternatively chitosan sulfate blending membrane as methanol-blocking polymer electrolyte membrane for direct methanol fuel cell. J. Membr. Sci. 2009, 337, 318–323. [Google Scholar] [CrossRef]
- Caetano, C.S.; Caiado, M.; Farinha, J.; Fonseca, I.M.; Ramos, A.M.; Vital, J.; Castanheiro, J.E. Esterification of free fatty acids over chitosan with sulfonic acid groups. Chem. Eng. J. 2013, 230, 567–572. [Google Scholar] [CrossRef]
- Hamza, M.F.; Salih, K.A.M.; Abdel-Rahman, A.A.H.; Zayed, Y.E.; Wei, Y.; Liang, J.; Guibal, E. Sulfonic-functionalized algal/PEI beads for scandium, cerium and holmium sorption from aqueous solutions (synthetic and industrial samples). Chem. Eng. J. 2021, 403, 126399. [Google Scholar] [CrossRef]
- Fouda, A.; Eid, A.M.; Abdel-Rahman, M.A.; El-Belely, E.F.; Awad, M.A.; Hassan, S.E.-D.; Al-Faifi, Z.E.; Hamza, M.F. Enhanced antimicrobial, cytotoxicity, larvicidal, and repellence activities of brown algae, cystoseira crinita-mediated green synthesis of magnesium oxide nanoparticles. Front. Bioeng. Biotechnol. 2022, 10, 849921. [Google Scholar] [CrossRef] [PubMed]
Disclaimer/Publisher’s Note: The statements, opinions and data contained in all publications are solely those of the individual author(s) and contributor(s) and not of MDPI and/or the editor(s). MDPI and/or the editor(s) disclaim responsibility for any injury to people or property resulting from any ideas, methods, instructions or products referred to in the content. |
© 2024 by the authors. Licensee MDPI, Basel, Switzerland. This article is an open access article distributed under the terms and conditions of the Creative Commons Attribution (CC BY) license (https://creativecommons.org/licenses/by/4.0/).













