A Critical Literature Review on Blockchain Technology Adoption in Supply Chains
Abstract
1. Introduction
1.1. Significance of This Study
1.2. Research Aims and Questions
- What are the research methods used in the literature?
- What are the theories or models adopted in the literature?
- What are the findings in the literature?
- What are the insights or implications in terms of research design and blockchain adoption theories or models obtained from research questions 1 to 3?
1.3. Related Research Work
1.4. Commonly Used Theoretical Models
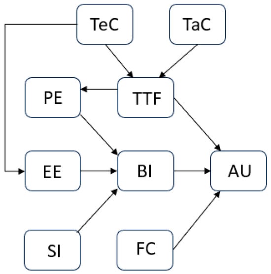
1.4.1. Technology–Organization–Environment Framework
1.4.2. Technology Acceptance Model
1.4.3. Unified Theory of Acceptance and Use of Technology
2. Research Methodology
2.1. Literature Search
- Studies published in books, journals, and conference proceedings from 2013 (the year in which the publications about blockchain adoption in the supply chain began [28]) to 2023 (the year when this literature search was conducted) in English
- Studies about blockchain adoption, acceptance, or use for supply chain management
- Studies related to theories, models, or frameworks for blockchain adoption, acceptance, or use
2.2. Search Results
2.3. Critical Review
3. Discussions and Implications
4. Concluding Remarks and Future Work
Author Contributions
Funding
Institutional Review Board Statement
Informed Consent Statement
Data Availability Statement
Conflicts of Interest
Abbreviations
| AHP | Analytical Hierarchy Process |
| AU | Actual Usage |
| BI | Behavioral Intention |
| BRT | Behavioral Reasoning Theory |
| CPT | Cumulative Prospect Theory |
| DEMATEL | Decision-Making Trial and Evaluation Laboratory |
| DOI | Diffusion of Innovation |
| EE | Effort Expectancy |
| FC | Facilitating Conditions |
| HFS | Hesitant Fuzzy Set |
| IDT | Innovation Diffusion Theory |
| IF | Institutional Framework |
| IT | Institutional Theory |
| IRT | Innovation Resistance Theory |
| ISM | Interpretive Structural Modeling |
| ISS | Information Systems Success |
| MICMAC | Cross-Impact Matrix Multiplication Applied to Classification |
| MM | Motivational Model |
| MPCU | Model of Personal Computer Utilization |
| NT | Network Theory |
| PAT | Principal Agent Theory |
| PE | Performance Expectancy |
| PEEST | Political, Economic, Environmental, Social, and Technological |
| PEOU | Perceived Ease of Use |
| PFS | Pythagorean Fuzzy Sets |
| PLS-SEM | Partial Least Squares-Structural Equation Modeling |
| PU | Perceived Usefulness |
| RBV | Resource-Based View |
| RDT | Resource Dependency Theory |
| SCT | Social Cognitive Theory |
| SI | Social Influence |
| SNT | Social Network Theory |
| TaC | Task Characteristics |
| TAM | Technology Acceptance Model |
| TeC | Technology Characteristics |
| TOE | Technology–Organization–Environment |
| TPB | Theory of Planned Behavior |
| TRA | Theory of Reasoned Action |
| TRI | Technology Readiness Index |
| TTF | Task–Technology Fit |
| VIKOR | VlseKriterijumska Optimizcija I Kaompromisno Resenje |
| UTAUT | Unified Theory of Acceptance and Use of Technology |
| UTAUT2 | Extended UTAUT |
| WASPA | Weighted Aggregated Sum Product Assessment |
References
- Mou, W.M.; Wong, W.K.; McAleer, M. Financial credit risk evaluation based on core enterprise supply chains. Sustainability 2018, 10, 17. [Google Scholar] [CrossRef]
- Nakamoto, S. Bitcoin: A Peer-to-Peer Electronic Cash System. Bitcoin.org. 2008. Available online: https://bitcoin.org/bitcoin.pdf (accessed on 12 July 2016).
- Javaid, M.; Haleem, A.; Singh, R.P.; Khan, S.; Suman, R. Blockchain technology applications for Industry 4.0: A literature-based review. Blockchain Res. Appl. 2021, 2, 100027. [Google Scholar] [CrossRef]
- Charles, V.; Emrouznejad, A.; Gherman, T. A critical analysis of the integration of blockchain and artificial intelligence for supply chain. Ann. Oper. Res. 2023, 327, 7–47. [Google Scholar] [CrossRef] [PubMed]
- Park, A.; Li, H. The effect of blockchain technology on supply chain sustainability performances. Sustainability 2021, 13, 1726. [Google Scholar] [CrossRef]
- Ullah, A.; Ayat, M.; He, Y.; Lev, B. An analysis of strategies for adopting blockchain technology in the after-sales service supply chain. Comput. Ind. Eng. 2023, 179, 109194. [Google Scholar] [CrossRef]
- Potnis, T.; Lau, Y.-Y.; Yip, T.L. Roles of Blockchain Technology in Supply Chain Capability and Flexibility. Sustainability 2023, 15, 7460. [Google Scholar] [CrossRef]
- Madhani, P.M. Enhancing supply chain capabilities with blockchain deployment: An RBV perspective. IUP J. Bus. Strategy 2021, 18, 7–31. [Google Scholar]
- Wernerfelt, B. A resource-based view of the firm. Strateg. Manag. J. 1984, 5, 171–180. [Google Scholar] [CrossRef]
- Patil, K.; Ojha, D.; Struckell, E.M.; Patel, P.C. Behavioral drivers of blockchain assimilation in supply chains—A social network theory perspective. Technol. Forecast. Soc. Chang. 2023, 192, 122578. [Google Scholar] [CrossRef]
- Meier, O.; Gruchmann, T.; Ivanov, D. Circular supply chain management with blockchain technology: A dynamic capabilities view. Transp. Res. Part E Logist. Transp. Rev. 2023, 176, 103177. [Google Scholar] [CrossRef]
- Teece, D.J.; Pisani, G.; Shuen, A. Dynamic capabilities and strategic management. Strateg. Manag. J. 1997, 18, 509–533. [Google Scholar] [CrossRef]
- Treiblmaier, H. The impact of the blockchain on the supply chain: A theory-based research framework and a call for action. Supply Chain Manag. 2018, 23, 545–559. [Google Scholar] [CrossRef]
- Wong, S.; Yeung, J.K.W.; Lau, Y.-Y.; Kawasaki, T. A case study of how Maersk adopts cloud-based blockchain integrated with machine learning for sustainable practices. Sustainability 2023, 15, 7305. [Google Scholar] [CrossRef]
- Wong, S.; Yeung, J.K.W.; Lau, Y.-Y.; So, J. Technical sustainability of cloud-based blockchain integrated with machine learning for supply chain management. Sustainability 2021, 13, 8270. [Google Scholar] [CrossRef]
- AlShamsi, M.; Al-Emran, M.; Shaalan, K. A systematic review on blockchain adoption. Appl. Sci. 2022, 12, 4245. [Google Scholar] [CrossRef]
- Taherdoost, H. A critical review of blockchain acceptance models—Blockchain technology adoption frameworks and applications. Computers 2022, 11, 24. [Google Scholar] [CrossRef]
- Xie, X.; Parry, G.; Altrichter, B. Factors influencing the implementation success of blockchain technology: A systematic literature review. In Proceedings of the International Conference on AI and the Digital Economy, Venice, Italy, 26–28 June 2023; pp. 49–52. [Google Scholar]
- Happy, A.; Chowdhury, M.M.H.; Scerri, M.; Hossain, M.A.; Barua, Z. Antecedents and consequences of blockchain adoption in supply chains: A systematic literature review. J. Enterp. Inf. Manag. 2023, 36, 629–654. [Google Scholar] [CrossRef]
- Mohammed, A.; Potdar, V.; Quaddus, M.; Hui, W. Blockchain adoption in food supply chains: A systematic literature review on enablers, benefits, and barriers. IEEE Access 2023, 11, 14236–14255. [Google Scholar] [CrossRef]
- Shin, S.; Wang, Y.; Pettit, S.; Abouarghoub, W. Blockchain application in maritime supply chain: A systematic literature review and conceptual framework. Marit. Policy Manag. 2023, 1–34. [Google Scholar] [CrossRef]
- Vu, N.; Ghadge, A.; Bourlakis, M. Blockchain adoption in food supply chains: A review and implementation framework. Prod. Plan. Control 2023, 34, 506–523. [Google Scholar] [CrossRef]
- Kafeel, H.; Kumar, V.; Duong, L. Blockchain in supply chain management: A synthesis of barriers and enablers for managers. Int. J. Math. Eng. Manag. Sci. 2023, 8, 15–42. [Google Scholar] [CrossRef]
- Agi, M.A.; Jha, A.K. Blockchain technology in the supply chain: An integrated theoretical perspective of organizational adoption. Int. J. Prod. Econ. 2022, 247, 108458. [Google Scholar] [CrossRef]
- Dujak, D.; Sajter, D. Blockchain Applications in Supply Chain; Springer: Berlin/Heidelberg, Germany, 2021. [Google Scholar]
- Paliwal, A.; Chandra, S.; Sharma, S. Blockchain technology for sustainable supply chain management: A systematic literature review and a classification framework. Sustainability 2020, 12, 7638. [Google Scholar] [CrossRef]
- Wamba, S.F.; Kamdjoug, J.R.K.; Bawack, R.E.; Keogh, J.G. Bitcoin, blockchain, and FinTech: A systematic review and case studies in the supply chain. Prod. Plan. Control 2018, 31, 115–142. [Google Scholar] [CrossRef]
- Wang, Y.; Han, J.H.; Beynon-Davies, P. Understanding blockchain technology for future supply chains: A systematic literature review and research agenda. Supply Chain Manag. 2018, 24, 62–84. [Google Scholar] [CrossRef]
- Tornatzky, L.G.; Fleischer, M.; Chakrabarti, A.K. The Processes of Technological Innovation; Lexington Books: Lexington, MA, USA, 1990. [Google Scholar]
- Davis, F.D. Perceived usefulness, perceived ease of use, and user acceptance of information technology. MIS Q. 1989, 13, 319–339. [Google Scholar] [CrossRef]
- Venkatesh, V.; Morris, M.G.; Davis, G.B.; Davis, F.D. User acceptance of information technology: Toward a unified view. MIS Q. 2003, 27, 425–478. [Google Scholar] [CrossRef]
- Venkatesh, V.; Thong, J.Y.; Xu, X. Consumer acceptance and use of information technology: Extending the unified theory of acceptance and use of technology. MIS Q. 2012, 36, 157–178. [Google Scholar] [CrossRef]
- Parasuraman, A. Technology readiness index (TRI): A multiple-item scale to measure readiness to embrace new technologies. J. Serv. Res. 2000, 2, 307–320. [Google Scholar] [CrossRef]
- Goodhue, D.L.; Thompson, R.L. Task-technology fit and individual performance. MIS Q. 1995, 19, 213–236. [Google Scholar] [CrossRef]
- Delone, W.H.; McLean, E.R. The DeLone and McLean model of information systems success: A ten-year update. J. Manag. Inf. Syst. 2003, 19, 9–30. [Google Scholar]
- DiMaggio, P.J.; Powell, W.W. The iron cage revisited: Institutional isomorphism and collective rationality in organizational fields. Am. Soc. Rev. 1983, 48, 147–160. [Google Scholar] [CrossRef]
- Powell, W.W.; DiMaggio, P.J. New Institutionalism in Organizational Analysis; University of Chicago Press: Chicago, IL, USA, 1991. [Google Scholar]
- Westaby, J.D. Behavioral reasoning theory: Identifying new linkages underlying intentions and behavior. Organ. Behav. Hum. Decis. Process. 2005, 98, 97–120. [Google Scholar] [CrossRef]
- Koppenjan, J.; Groenewegen, J. Institutional design for complex technological systems. Int. J. Technol. Policy Manag. 2005, 5, 240–257. [Google Scholar] [CrossRef]
- Pfeffer, J.; Salancik, G.R. The External Control of Organizations: A Resource Dependence Perspective, 2nd ed.; Stanford University Press: Stanford, CA, USA, 2003. [Google Scholar]
- Torra, V.; Narukawa, Y. On hesitant fuzzy sets and decision. In Proceedings of the 2009 IEEE International Conference on Fuzzy Systems, Jeju Island, Republic of Korea, 20–24 August 2009; pp. 1378–1382. [Google Scholar]
- Zhu, B.; Xu, Z.; Xia, M. Dual hesitant fuzzy sets. J. Appl. Math. 2012, 2012, 879629. [Google Scholar] [CrossRef]
- Borgatti, S.P.; Li, X.U.N. On social network analysis in a supply chain context. J. Supply Chain Manag. 2009, 45, 5–22. [Google Scholar] [CrossRef]
- Ram, S.; Sheth, J.N. Consumer resistance to innovation: The marketing problem and its solution. J. Consum. Mark. 1989, 6, 5–14. [Google Scholar] [CrossRef]
- Awa, H.; Ojiabo, O. A model of adoption determinants of ERP within T-O-E framework. Inf. Technol. People 2016, 29, 901–930. [Google Scholar] [CrossRef]
- Gangwar, H.; Date, H.; Ramaswamy, R. Understanding determinants of cloud computing adoption using an integrated TAM-TOE model. J. Enterp. Inf. Manag. 2015, 28, 107–130. [Google Scholar] [CrossRef]
- Kuan, K.K.Y.; Chau, P.Y.K. A perception-based model for EDI adoption in small businesses using a technology-organization-environment framework. Inf. Manag. 2001, 38, 507–521. [Google Scholar] [CrossRef]
- Martins, M.; Oliveira, T. Determinants of e-commerce adoption by small firms in Portugal. In Proceedings of the 3rd European Conference on Information Management and Evaluation, Gothenburg, Sweden, 17–18 September 2009; pp. 328–338. [Google Scholar]
- Fishbein, M.; Ajzen, I. Belief, Attitude, Intention and Behavior: An Introduction to Theory and Research; Addison-Wesley: Reading, MA, USA, 1975. [Google Scholar]
- Davis, F.D.; Bagozzi, R.P.; Warshaw, P.R. Extrinsic and intrinsic motivation to use computers in the workplace. J. Appl. Soc. Psychol. 1992, 22, 1111–1132. [Google Scholar] [CrossRef]
- Vallerand, R.J. Toward a hierarchical model of intrinsic and extrinsic motivation. In Advances in Experimental Social Psychology; Zanna, M., Ed.; Academic Press: New York, NY, USA, 1997; Volume 29, pp. 271–360. [Google Scholar]
- Ajzen, I. From intentions to actions: A theory of planned behavior. In Action Control: From Cognition to Behavior; Kuhl, I.J., Beckmann, J., Eds.; Springer: Heidelberg, Germany, 1985; pp. 11–39. [Google Scholar]
- Ajzen, I. The theory of planned behavior. Organ. Behav. Hum. Decis. Process. 1991, 50, 179–211. [Google Scholar] [CrossRef]
- Taylor, S.; Todd, P.A. Assessing IT usage: The role of prior experience. MIS Q. 1995, 19, 561–570. [Google Scholar] [CrossRef]
- Thompson, R.L.; Higgins, C.A.; Howell, J.M. Personal computing: Toward a conceptual model of utilization. MIS Q. 1991, 15, 124–143. [Google Scholar] [CrossRef]
- Rogers, E.M. Diffusion of Innovations, 4th ed.; The Free Press: New York, NY, USA, 1995. [Google Scholar]
- Bandura, A. Social Foundations of Thought and Action: A Social Cognitive Theory; Prentice Hall: Englewood Cliffs, NJ, USA, 1986. [Google Scholar]
- Compeau, D.R.; Higgins, C.A. Computer self-efficacy: Development of a measure and initial test. MIS Q. 1995, 19, 189–211. [Google Scholar] [CrossRef]
- Jesson, J.; Lacey, F. How to do (or not to do) a critical literature review. Pharm. Educ. 2006, 6, 139–148. [Google Scholar] [CrossRef]
- Martín-Martín, A.; Orduna-Malea, E.; Thelwall, M.; Delgado López-Cózar, E. Google scholar, web of science, and Scopus: A systematic comparison of citations in 252 subject categories. J. Informetr. 2018, 12, 1160–1177. [Google Scholar] [CrossRef]
- Supranee, S.; Rotchanakitumnuai, S. The acceptance of the application of blockchain technology in the supply chain process of the Thai automotive industry. In Proceedings of the International Conference on Electronic Business, Dubai, United Arab Emirates, 4–9 December 2017; pp. 252–257. [Google Scholar]
- Bala, H.; Venkatesh, V. Assimilation of interorganizational business process standards. Inf. Syst. Res. 2007, 18, 340–362. [Google Scholar] [CrossRef]
- Chae, S.; Choi, T.Y.; Hur, D. Buyer power and supplier relationship commitment: A cognitive evaluation theory perspective. J. Supply Chain Manag. 2017, 53, 39–60. [Google Scholar] [CrossRef]
- Ke, W.; Liu, H.; Wei, K.K.; Gu, J.; Chen, H. How do mediated and non-mediated power affect electronic supply chain management system adoption? The mediating effects of trust and institutional pressures. Decis. Support Syst. 2009, 46, 839–851. [Google Scholar] [CrossRef]
- Liu, H.; Ke, W.; Wei, K.K.; Hua, Z. Influence of power and trust on the intention to adopt electronic supply chain management in China. Int. J. Prod. Res. 2015, 53, 70–87. [Google Scholar] [CrossRef]
- Singh, A.; Teng, J.T. Enhancing supply chain outcomes through information technology and trust. Comput. Hum. Behav. 2016, 54, 290–300. [Google Scholar] [CrossRef]
- Francisco, K.; Swanson, D. The supply chain has no clothes: Technology adoption of blockchain for supply chain transparency. Logistics 2018, 2, 2. [Google Scholar] [CrossRef]
- Kamble, S.; Gunasekaran, A.; Arha, H. Understanding the blockchain technology adoption in supply chains—Indian context. Int. J. Prod. Res. 2018, 57, 2009–2033. [Google Scholar] [CrossRef]
- Queiroz, M.M.; Wamba, S.F. Blockchain adoption challenges in supply chain: An empirical investigation of the main drivers in India and the USA. Int. J. Inf. Manag. 2019, 46, 70–82. [Google Scholar] [CrossRef]
- Wamba, S.F.; Queiroz, M.M. The role of social influence in blockchain adoption: The Brazilian supply chain case. IFAC-PapersOnLine 2019, 52, 1715–1720. [Google Scholar] [CrossRef]
- Yang, C. Maritime shipping digitalization: Blockchain-based technology applications, future improvements, and intention to use. Transport. Res. Part E Logist. Transport. Rev. 2019, 131, 108–117. [Google Scholar] [CrossRef]
- Farooque, M.; Jain, V.; Zhang, A.; Li, Z. Fuzzy DEMATEL analysis of barriers to blockchain-based life cycle assessment in China. Comput. Ind. Eng. 2000, 147, 106684. [Google Scholar] [CrossRef]
- Fontela, E.; Gabus, A. DEMATEL, Innovative Methods, Report No. 2, Structural Analysis of the World Problematique; Battelle Geneva Research Institute: Geneva, Switzerland, 1974. [Google Scholar]
- Karamchandani, A.; Srivastava, S.K.; Srivastava, R.K. Perception-based model for analyzing the impact of enterprise blockchain adoption on SCM in the Indian service industry. Int. J. Inf. Manag. 2020, 52, 102019. [Google Scholar] [CrossRef]
- Malik, S.; Chadhar, M.; Chetty, M.; Vatanasakdakul, S. An exploratory study of the adoption of blockchain technology among Australian organizations: A theoretical model. In Information Systems, EMCIS 2020; Lecture Notes in Business Information Processing; Themistocleous, M., Papadaki, M., Kamal, M.M., Eds.; Springer: Cham, Switzerland, 2020; Volume 402, pp. 205–220. [Google Scholar]
- Orji, I.J.; Kusi-Sarpong, S.; Huang, S.; Vazquez-Brust, D. Evaluating the factors that influence blockchain adoption in the freight logistics industry. Transp. Res. Part E Logist. Transp. Rev. 2020, 141, 102025. [Google Scholar] [CrossRef]
- Park, K.O. A study on sustainable usage intention of blockchain in the big data era: Logistics and supply chain management companies. Sustainability 2020, 12, 10670. [Google Scholar] [CrossRef]
- Sahebi, I.G.; Masoomi, B.; Ghorbani, S. Expert oriented approach for analyzing the blockchain adoption barriers in humanitarian supply chain. Technol. Soc. 2020, 63, 101427. [Google Scholar] [CrossRef]
- Ishikawa, A.; Amagasa, M.; Shiga, T.; Tomizawa, G.; Tatsuta, R.; Mieno, H. The max-min Delphi method and fuzzy Delphi method via fuzzy integration. Fuzzy Set. Syst. 1993, 55, 241–253. [Google Scholar] [CrossRef]
- Saurabh, S.; Dey, K. Blockchain technology adoption, architecture, and sustainable agri-food supply chains. J. Clean. Prod. 2020, 284, 124731. [Google Scholar] [CrossRef]
- Ullah, N. Integrating TAM/TRI/TPB frameworks and expanding their characteristic constructs for DLT adoption by service and manufacturing industries—Pakistan context. In Proceedings of the 2020 International Conference on Technology and Entrepreneurship, Bologna, Italy, 21–23 September 2020; pp. 1–5. [Google Scholar]
- Wahab, S.N.; Loo, Y.M.; Say, C.S. Antecedents of blockchain technology application among Malaysian warehouse industry. Int. J. Logist. Syst. Manag. 2020, 27, 427–444. [Google Scholar] [CrossRef]
- Wamba, S.F.; Queiroz, M.M.; Trinchera, L. Dynamics between blockchain adoption determinants and supply chain performance: An empirical investigation. Int. J. Prod. Econ. 2020, 229, 107791. [Google Scholar] [CrossRef]
- Wong, L.W.; Leong, L.Y.; Hew, J.J.; Tan, G.W.H.; Ooi, K.B. Time to seize the digital evolution: Adoption of blockchain in operations and supply chain management among Malaysian SMEs. Int. J. Inf. Manag. 2020, 52, 101997. [Google Scholar] [CrossRef]
- Wong, L.-W.; Tan, G.W.-H.; Lee, V.-H.; Ooi, K.-B.; Sohal, A. Unearthing the determinants of blockchain adoption in supply chain management. Int. J. Prod. Res. 2020, 58, 2100–2123. [Google Scholar] [CrossRef]
- Yadav, V.S.; Singh, A.R.; Raut, R.D.; Govindarajan, U.H. Blockchain technology adoption barriers in the Indian agricultural supply chain: An integrated approach. Resour. Conserv. Recycl. 2020, 161, 104877. [Google Scholar] [CrossRef]
- Warfield, J.N. Structuring Complex Systems: Battelle Monograph, Number 4; Battelle Memorial Institute: Columbus, OH, USA, 1974. [Google Scholar]
- Godet, M. Scenarios and Strategic Management; Butterworths Scientific Ltd.: London, UK, 1987. [Google Scholar]
- Alazab, M.; Alhyari, S.; Awajan, A.; Abdallah, A.B. Blockchain technology in supply chain management: An empirical study of the factors affecting user adoption/acceptance. Clust. Comput. 2001, 24, 83–101. [Google Scholar] [CrossRef]
- Aslam, J.; Saleem, A.; Khan, N.T.; Kim, Y.B. Factors influencing blockchain adoption in supply chain management practices: A study based on the oil industry. J. Innov. Knowl. 2021, 6, 124–134. [Google Scholar] [CrossRef]
- Balci, G.; Surucu-Balci, E. Blockchain adoption in the maritime supply chain: Examining barriers and salient stakeholders in containerized international trade. Transp. Res. Part E Logist. Transp. Rev. 2021, 156, 102539. [Google Scholar] [CrossRef]
- Jardim, L.; Pranto, S.; Ruivo, P.; Oliveira, T. What are the main drivers of blockchain adoption within supply chain?—An exploratory research. Procedia Comput. Sci. 2021, 181, 495–502. [Google Scholar] [CrossRef]
- Gregor, S.; Jones, D. The anatomy of a design theory. J. Assoc. Inf. Syst. 2007, 8, 312–335. [Google Scholar]
- Kamble, S.S.; Gunasekaran, A.; Kumar, V.; Belhadi, A.; Foropon, C. A machine learning based approach for predicting blockchain adoption in supply chain. Technol. Forecast. Soc. Chang. 2021, 163, 120465. [Google Scholar] [CrossRef]
- Kouhizadeh, M.; Saberi, S.; Sarkis, J. Blockchain technology and the sustainable supply chain: Theoretically exploring adoption barriers. Int. J. Prod. Econ. 2021, 231, 107831. [Google Scholar] [CrossRef]
- Kumar Bhardwaj, A.; Garg, A.; Gajpal, Y. Determinants of blockchain technology adoption in supply chains by small and medium enterprises (SMEs) in India. Math. Probl. Eng. 2021, 2021, 5537395. [Google Scholar] [CrossRef]
- Lanzini, F.; Ubacht, J.; De Greeff, J. Blockchain adoption factors for SMEs in supply chain management. J. Supply Chain Manag. Sci. 2021, 2, 47–68. [Google Scholar] [CrossRef]
- Maden, A.; Alptekin, E. Understanding the blockchain technology adoption from procurement professionals’ perspective—An analysis of the technology acceptance model using intuitionistic fuzzy cognitive maps. In Advances in Intelligent Systems and Computing; Kahraman, C., Onar, S.C., Oztaysi, B., Sari, I.U., Cebi, S., Tolga, A.C., Eds.; Springer: Cham, Switzerland, 2021; Volume 1197, pp. 347–354. [Google Scholar]
- Queiroz, M.M.; Wamba, S.F.; De Bourmont, M.; Telles, R. Blockchain adoption in operations and supply chain management: Empirical evidence from an emerging economy. Int. J. Prod. Res. 2021, 59, 6087–6103. [Google Scholar] [CrossRef]
- Sunmola, F.T.; Burgess, P.; Tan, A. Building blocks for blockchain adoption in digital transformation of sustainable supply chains. Procedia Manuf. 2021, 55, 513–520. [Google Scholar] [CrossRef]
- Suwanposri, C.; Bhatiasevi, V.; Thanakijsombat, T. Drivers of blockchain adoption in financial and supply chain enterprises. Glob. Bus. Rev. 2021, 09721509211046170. [Google Scholar] [CrossRef]
- Tan, W.K.A.; Sundarakani, B. Assessing blockchain technology application for freight booking business: A case study from technology acceptance model perspective. J. Glob. Oper. Strateg. Sourc. 2021, 14, 202–223. [Google Scholar] [CrossRef]
- Iacovou, C.L.; Benbasat, I.; Dexter, A.S. Electronic data interchange and small organizations: Adoption and impact of technology. MIS Q. 1995, 19, 465–485. [Google Scholar] [CrossRef]
- Agrawal, A.; Sharma, A.; Srivastava, P.K. Blockchain adoption in Indian manufacturing supply chain using T-O-E framework. In Proceedings of the 2022 9th International Conference on Computing for Sustainable Global Development, New Delhi, India, 23–25 March 2022; pp. 737–742. [Google Scholar]
- Chittipaka, V.; Kumar, S.; Sivarajah, U.; Bowden, J.L.-H.; Baral, M.M. Blockchain technology for supply chains operating in emerging markets: An empirical examination of technology-organization-environment (TOE) framework. Ann. Oper. Res. 2022, 327, 465–492. [Google Scholar] [CrossRef]
- Chowdhury, S.; Rodriguez-Espindola, O.; Dey, P.; Budhwar, P. Blockchain technology adoption for managing risks in operations and supply chain management: Evidence from the UK. Ann. Oper. Res. 2022, 327, 539–574. [Google Scholar] [CrossRef] [PubMed]
- Deng, N.; Shi, Y.; Wang, J.; Gaur, J. Testing the adoption of blockchain technology in supply chain management among MSMEs in China. Ann. Oper. Res. 2022. [Google Scholar] [CrossRef]
- Ganguly, K.K. Understanding the challenges of the adoption of blockchain technology in the logistics sector: The TOE framework. Technol. Anal. Strateg. Manag. 2022, 36, 457–471. [Google Scholar] [CrossRef]
- Gökalp, E.; Gökalp, M.O.; Çoban, S. Blockchain-based supply chain management: Understanding the determinants of adoption in the context of organizations. Inf. Syst. Manag. 2022, 39, 100–121. [Google Scholar] [CrossRef]
- Hartley, J.L.; Saway, W.; Dobrzykowski, D. Exploring blockchain adoption intentions in the supply chain: Perspectives from innovation diffusion and institutional theory. Int. J. Phys. Distrib. Logist. Manag. 2022, 52, 190–211. [Google Scholar] [CrossRef]
- Jain, G.; Kamble, S.S.; Ndubisi, N.O.; Shrivastava, A.; Belhadi, A.; Venkatesh, M. Antecedents of blockchain-enabled e-commerce platforms (BEEP) adoption by customers—A study of second-hand small and medium apparel retailers. J. Bus. Res. 2022, 149, 576–588. [Google Scholar] [CrossRef]
- Kapnissis, G.; Vaggelas, G.K.; Leligou, H.C.; Panos, A.; Doumi, M. Blockchain adoption from the Shipping industry: An empirical study. Marit. Transp. Res. 2022, 3, 100058. [Google Scholar] [CrossRef]
- Kumar, N.; Upreti, K.; Mohan, D. Blockchain adoption for provenance and traceability in the retail food supply chain: A consumer perspective. Int. J. E-Bus. Res. 2022, 18, 1–17. [Google Scholar] [CrossRef]
- Li, X.; Zhou, Y.; Yuen, K.F. Blockchain implementation in the maritime industry: Critical success factors and strategy formulation. Marit. Policy Manag. 2022, 51, 304–322. [Google Scholar] [CrossRef]
- Mthimkhulu, A.; Jokonya, O. Exploring the factors affecting the adoption of blockchain technology in the supply chain and logistic industry. J. Transp. Supply Chain Manag. 2022, 16, a750. [Google Scholar] [CrossRef]
- Nath, S.D.; Khayer, A.; Majumder, J.; Barua, S. Factors affecting blockchain adoption in apparel supply chains: Does sustainability-oriented supplier development play a moderating role? Ind. Manag. Data Syst. 2022, 122, 1183–1214. [Google Scholar] [CrossRef]
- Oguntegbe, K.F.; Di Paola, N.; Vona, R. Behavioural antecedents to blockchain implementation in agrifood supply chain management: A thematic analysis. Technol. Soc. 2022, 68, 101927. [Google Scholar] [CrossRef]
- Saputra, U.W.E.; Darma, G.S. The intention to use blockchain in Indonesia using extended approach technology acceptance model (TAM). CommIT J. 2022, 16, 27–35. [Google Scholar] [CrossRef]
- Yadlapalli, A.; Rahman, S.; Gopal, P. Blockchain technology implementation challenges in supply chains—Evidence from the case studies of multi-stakeholders. Int. J. Logist. Manag. 2022, 33, 278–305. [Google Scholar] [CrossRef]
- Adel, H.M.; Younis, R.A.A. Interplay among blockchain technology adoption strategy, e-supply chain management diffusion, entrepreneurial orientation and human resources information system in banking. Int. J. Emerg. Mark. 2023, 18, 3588–3615. [Google Scholar] [CrossRef]
- Ahmed, W.; Islam, N.; Qureshi, H.N. Understanding the Acceptability of Block-Chain Technology in the Supply Chain: Case of a Developing Country; Emerald Publishing Limited: Bingley, UK, 2023. [Google Scholar] [CrossRef]
- Ali, M.H.; Chung, L.; Tan, K.H.; Makhbul, Z.M.; Zhan, Y.; Tseng, M.-L. Investigating blockchain technology adoption intention model in halal food small and medium enterprises: Moderating role of supply chain integration. Int. J. Logist. Res. Appl. 2023, 1–25. [Google Scholar] [CrossRef]
- Baral, M.M.; Chittipaka, V.; Pal, S.K.; Mukherjee, S.; Shyam, H.S. Investigating the factors of blockchain technology influencing food retail supply chain management: A study using TOE framework. Stat. Transit. 2023, 24, 129–146. [Google Scholar] [CrossRef]
- Bhat, I.H.; Amin, I.U. Chapter 15—Adoption and acceptability of blockchain technology in supply chain management: A study on horticulture industry of Jammu and Kashmir. In Green Blockchain Technology for Sustainable Smart Cities; Krishnan, S., Kumar, R., Balas, V.E., Eds.; Elsevier: Amsterdam, The Netherlands, 2023; pp. 325–342. [Google Scholar]
- Boakye, E.A.; Zhao, H.; Coffie, K.C.P.; Asare-Kyire, L. Seizing technological advancement: Determinants of blockchain supply chain finance adoption in Ghanaian SMEs. Technol. Anal. Strateg. Manag. 2023, 1–17. [Google Scholar] [CrossRef]
- Cai, C.; Hao, X.; Wang, K.; Dong, X. The impact of perceived benefits on blockchain adoption in supply chain management. Sustainability 2023, 15, 6634. [Google Scholar] [CrossRef]
- Çaldağ, M.T.; Gökalp, E. Organizational adoption of blockchain based medical supply chain management. In Current and Future Trends on Intelligent Technology Adoption, Studies in Computational Intelligence; Al-Sharafi, M.A., Al-Emran, M., Tan, G.W.-H., Ooi, K.-B., Eds.; Springer: Cham, Switzerland, 2023; Volume 1128, pp. 321–343. [Google Scholar]
- Çolak, H.; Kağnıcıoğlu, C.H. Predicting the blockchain technology acceptance in supply chains with inter-firm perspective: An integrated DEMATEL and PLS-SEM approach. J. Bus. Bus. Mark. 2023, 30, 125–148. [Google Scholar] [CrossRef]
- Chen, Z.-S.; Zhu, Z.; Wang, Z.-J.; Tsang, Y. Fairness-aware large-scale collective opinion generation paradigm: A case study of evaluating blockchain adoption barriers in medical supply chain. Inf. Sci. 2023, 635, 257–278. [Google Scholar] [CrossRef]
- Ganeshkumar, C.; Rajalaksmi, M.; David, A. Exploring the challenges and adoption hurdles of blockchain technology in agri-food supply chain. In Handbook of Research on AI-Equipped IoT Applications in High-Tech Agriculture; Khang, A., Ed.; IGI Global: Hershey, PA, USA, 2023; pp. 257–270. [Google Scholar]
- Giri, G.; Manohar, H.L. Factors influencing the acceptance of private and public blockchain-based collaboration among supply chain practitioners: A parallel mediation model. Supply Chain Manag. 2023, 28, 1–24. [Google Scholar] [CrossRef]
- Guan, W.; Ding, W.; Zhang, B.; Verny, J. The role of supply chain alignment in coping with resource dependency in blockchain adoption: Empirical evidence from China. J. Enterp. Inf. Manag. 2023, 36, 605–628. [Google Scholar] [CrossRef]
- Guan, W.; Ding, W.; Zhang, B.; Verny, J.; Hao, R. Do supply chain related factors enhance the prediction accuracy of blockchain adoption? A machine learning approach. Technol. Forecast. Soc. Chang. 2023, 192, 122552. [Google Scholar] [CrossRef]
- Iranmanesh, M.; Maroufkhani, P.; Asadi, S.; Ghobakhloo, M.; Dwivedi, Y.K.; Tseng, M.-L. Effects of supply chain transparency, alignment, adaptability, and agility on blockchain adoption in supply chain among SMEs. Comput. Ind. Eng. 2023, 176, 108931. [Google Scholar] [CrossRef]
- Karuppiah, K.; Sankaranarayanan, B.; Ali, S.M. A decision-aid model for evaluating challenges to blockchain adoption in supply chains. Int. J. Logist. Res. Appl. 2023, 26, 257–278. [Google Scholar] [CrossRef]
- Ju-Long, D. Control problems of grey systems. Syst. Control Lett. 1982, 1, 288–294. [Google Scholar] [CrossRef]
- Zavadskas, E.K.; Turskis, Z.; Antucheviciene, J.; Zakarevicius, A. Optimization of weighted aggregated sum product assessment. Electron. Electr. Eng. 2012, 122, 3–6. [Google Scholar] [CrossRef]
- Kuei, S.-C.; Chen, M.-C. Enablers of blockchain adoption on supply chain with dynamic capability perspectives with ISM-MICMAC analysis. Ann. Oper. Res. 2023, 1–36. [Google Scholar] [CrossRef]
- Kumar, S.; Barua, M.K. Exploring the hyperledger blockchain technology disruption and barriers of blockchain adoption in petroleum supply chain. Resour. Policy 2023, 81, 103366. [Google Scholar] [CrossRef]
- Lin, H.-F. Blockchain adoption in the maritime industry: Empirical evidence from the technological-organizational-environmental framework. Marit. Policy Manag. 2023, 1–23. [Google Scholar] [CrossRef]
- Mohammed, A.; Potdar, V.; Quaddus, M. Exploring factors and impact of blockchain technology in the food supply chains: An exploratory study. Foods 2023, 12, 2052. [Google Scholar] [CrossRef] [PubMed]
- Mukherjee, S.; Baral, M.M.; Lavanya, B.L.; Nagariya, R.; Patel, B.S.; Chittipaka, V. Intentions to adopt the blockchain: Investigation of the retail supply chain. Manag. Decis. 2023, 61, 1320–1351. [Google Scholar] [CrossRef]
- Samad, T.A.; Sharma, R.; Ganguly, K.K.; Wamba, S.F.; Jain, G. Enablers to the adoption of blockchain technology in logistics supply chains: Evidence from an emerging economy. Ann. Oper. Res. 2023, 327, 251–291. [Google Scholar] [CrossRef]
- Shahzad, K.; Zhang, Q.; Khan, M.K.; Ashfaq, M.; Hafeez, M. The acceptance and continued use of blockchain technology in supply chain management: A unified model from supply chain professional’s stance. Int. J. Emerg. Mark. 2023, 18, 6300–6321. [Google Scholar] [CrossRef]
- Shahzad, K.; Zhang, Q.; Zafa, A.U.; Ashfaq, M.; Rehman, S.U. The role of blockchain-enabled traceability, task technology fit, and user self-efficacy in mobile food delivery applications. J. Retail. Consum. Serv. 2023, 73, 103331. [Google Scholar] [CrossRef]
- Sharma, M.; Patidar, A.; Anchliya, N.; Prabhu, N.; Asok, A.; Jhajhriya, A. Blockchain adoption in food supply chain for new business opportunities: An integrated approach. Oper. Manag. Res. 2023, 16, 1949–1967. [Google Scholar] [CrossRef]
- Sharma, A.; Sharma, A.; Singh, R.K.; Bhatia, T. Blockchain adoption in agri-food supply chain management: An empirical study of the main drivers using extended UTAUT. Bus. Process Manag. J. 2023, 29, 737–756. [Google Scholar] [CrossRef]
- Sumarliah, E.; Li, T.; Wang, B.; Khan, S.U.; Khan, S.Z. Blockchain Technology Adoption in Halal Traceability Scheme of the Food Supply Chain: Evidence from Indonesian Firms; Emerald Publishing Limited: Bingley, UK, 2023. [Google Scholar] [CrossRef]
- Tasnim, Z.; Shareef, M.A.; Baabdullah, A.M.; Hamid, A.B.A.; Dwivedi, Y.K. An empirical study on factors impacting the adoption of digital technologies in supply chain management and what blockchain technology could do for the manufacturing sector of Bangladesh. Inf. Syst. Manag. 2023, 40, 371–393. [Google Scholar] [CrossRef]
- Thompson, B.S.; Rust, S. Blocking blockchain: Examining the social, cultural, and institutional factors causing innovation resistance to digital technology in seafood supply chains. Technol. Soc. 2023, 72, 102235. [Google Scholar] [CrossRef]
- Vafadarnikjoo, A.; Badri Ahmadi, H.; Liou, J.J.H.; Botelho, T.; Chalvatzis, K. Analyzing blockchain adoption barriers in manufacturing supply chains by the neutrosophic analytic hierarchy process. Ann. Oper. Res. 2023, 327, 129–156. [Google Scholar] [CrossRef]
- Wang, Z.-J.; Chen, Z.-S.; Xiao, L.; Su, Q.; Govindan, K.; Skibniewskic, M.J. Blockchain adoption in sustainable supply chains for Industry 5.0: A multistakeholder perspective. J. Innov. Knowl. 2023, 8, 100425. [Google Scholar] [CrossRef]
- Wang, L.; Zhang, J.; Li, J.; Yu, H.; Li, J. An ISM-DEMATEL analysis of blockchain adoption decision in the circular supply chain finance context. Manag. Decis. 2023; ahead-of-print. [Google Scholar] [CrossRef]
- Yadav, A.K.; Kumar, D. Blockchain technology and vaccine supply chain: Exploration and analysis of the adoption barriers in the Indian context. Int. J. Prod. Econ. 2023, 255, 108716. [Google Scholar] [CrossRef]
- Zhang, Q.; Khan, S.; Khan, S.U.; Khan, I.U. Understanding blockchain technology adoption in operation and supply chain management of Pakistan: Extending UTAUT model with technology readiness, technology affinity and trust. SAGE Open 2023, 13, 21582440231199320. [Google Scholar] [CrossRef]
- Zkik, K.; Belhadi, A.; Khan, S.A.R.; Kamble, S.S.; Oudani, M.; Touriki, F.E. Exploration of barriers and enablers of blockchain adoption for sustainable performance: Implications for e-enabled agriculture supply chains. Int. J. Logist. Res. Appl. 2023, 26, 1498–1535. [Google Scholar] [CrossRef]
- Linton, J.D. Diffusion of innovations. Circuits Assem. 1998, 9, 24–28. [Google Scholar]
- Kamble, S.S.; Gunasekaran, A.; Sharma, R. Modeling the blockchain-enabled traceability in the agriculture supply chain. Int. J. Inf. Manag. 2020, 52, 101967. [Google Scholar] [CrossRef]
- Grant, R.M. Chapter 1—The resource-based theory of competitive advantage: Implications for Strategy Formulation. In Knowledge and Strategy; Zack, M.H., Ed.; Butterworth-Heinemann: Oxford, UK, 1999; pp. 3–23. [Google Scholar]
- Cohen, W.M.; Levinthal, D.A. Absorptive capacity: A new perspective on learning and innovation. Adm. Sci. Q. 1990, 35, 128–152. [Google Scholar] [CrossRef]
- Senyo, P.K.; Effah, J.; Addae, E. Preliminary insight into cloud computing adoption in a developing country. J. Enterp. Inf. Manag. 2016, 29, 505–524. [Google Scholar] [CrossRef]
- Mendling, J.; Weber, I.; Van Der Aalst, W.; Vom Brocke, J.; Cabanillas, C.; Daniel, F.; Debois, S.; Di Ciccio, C.; Dumas, M.; Dustdar, S.; et al. Blockchains for business process management—Challenges and opportunities. ACM Trans. Manag. Inf. Syst. 2018, 9, 1–16. [Google Scholar] [CrossRef]
- Zhu, K.; Kraemer, K.L.; Xu, S. The process of innovation assimilation by firms in different countries: A technology diffusion perspective on e-business. Manag. Sci. 2006, 52, 1557–1576. [Google Scholar] [CrossRef]
- Oliveira, T.; Martins, M.F. Literature review of information technology adoption models at firm level. Electron. J. Inf. Syst. Eval. 2011, 14, 110–121. [Google Scholar]
- Marikyan, D.; Papagiannidis, S. Task-technology fit: A review. In TheoryHub Book; Papagiannidis, S., Ed.; TheoryHub Book, Creative Commons: Mountain View, CA, USA, 2023; Available online: https://open.ncl.ac.uk/theory-library/task-technology-fit.pdf (accessed on 12 December 2023).
- Creswell, J.W.; Gutterman, T.C. Educational Research: Planning, Conducting, and Evaluating Quantitative and Qualitative Research, 6th ed.; Pearson: Essex, UK, 2021. [Google Scholar]








| (a) | |||||
|---|---|---|---|---|---|
| Study | Reference Model/Theory | Data Collection Method | Analysis Type | Major Finding(s) | Major Contribution |
| Supranee and Rotchanakitumnuai [61] | Authors’ own model based on previous studies (i.e., Refs. [62,63,64,65,66]) | Survey | Quantitative | Perceived benefits and inter-organizational trust influence blockchain adoption. | A new model is proposed. |
| (b) | |||||
| Study | Reference Model/Theory | Data Collection | Analysis Type | Major Finding(s) | Major Contribution |
| Francisco and Swanson [67] | UTAUT | Review | Qualitative | The findings contain the influence of performance expectancy, effort expectancy, social influence, and facilitating conditions on behavior intention to use blockchain technology which in turn influences blockchain technology use behavior. | A new application of UTAUT is proposed. |
| Kamble et al. [68] | TAM, TPB, and TRI | Survey | Quantitative | Perceived usefulness, attitude, and perceived behavioral control affect the behavioral intention to adopt blockchain technology. Subjective norm has a negligible impact on behavioral intention to adopt blockchain technology. | A new integration of TAM, TPB, and TRI is proposed. |
| (c) | |||||
| Study | Reference Model/Theory | Data Collection Method | Analysis Type | Major Finding(s) | Major Contribution |
| Queiroz and Wamba [69] | TAM and UTAUT | Survey | Quantitative | Performance expectancy is an important predictor of behavioral intention, and behavioral intention is a significant predictor of behavioral expectation in both the USA and India. Trust among supply chain stakeholders is an important predictor of behavioral expectation in India only. Facilitating conditions influence behavioral intention and expectation in the USA. | A new exploration and comparison of impacts in different countries (i.e., USA and India) is proposed. |
| Wamba and Queiroz [70] | UTAUT | Survey | Quantitative | In the Brazilian supply chain case, there is a positive effect of social influence on facilitating conditions, performance expectancy, and effort expectancy. Facilitating conditions have a positive effect on behavioral intention to adopt blockchain. Effort expectancy has a positive effect on behavioral intention to adopt blockchain. | New impacts are identified. |
| Yang [71] | TAM | Survey | Quantitative | Customs clearance and management, digitalizing and easing paperwork, standardization, and platform development dimensions positively affect the intention to use blockchain technology in the maritime shipping supply chain. | New factors are identified. |
| (d) | |||||
| Study | Reference Model/Theory | Data Collection Method | Analysis Type | Major Finding(s) | Major Contribution |
| Farooque et al. [72] | Fontela and Gabus’ [73] Fuzzy decision-making trial and evaluation laboratory (DEMATEL) | Survey | Quantitative | The immaturity of the technology, technical challenges for collecting supply chain data in real-time, a lack of new organizational policies for using technology, and a lack of government policy/regulation guidance and support are the blockchain adoption barriers. | A new model is proposed. |
| Karamchandani et al. [74] | TAM, DOI/IDT, and TOE | Survey | Quantitative | The results of this study indicate that “Perceived enterprise blockchain benefits” positively affect the perceived usefulness of enterprise blockchain for all supply chain management dimensions. The perceived usefulness of enterprise blockchain for the service supply chain management dimensions has a positive effect on perceived incremental profitability due to enterprise blockchain adoption. | Some new factors and new impacts are identified. |
| Malik et al. [75] | TOE | Interview | Qualitative | Perceived benefits, compatibility, complexity, organization innovativeness, organizational learning capability, competitive intensity, government support, trading partner readiness, and standards uncertainty influence organizational adoption of blockchain. | Some new factors are identified. |
| Orji et al. [76] | TOE | Review, interview, and survey | Quantitative | The availability of specific blockchain tools, infrastructural facilities, and government policy and support is the topmost ranked significant factor that influences the adoption of blockchain in the freight logistics industry. | Some new factors are identified. |
| Park [77] | UTAUT and TOE | Review and survey | Quantitative | The UTAUT constructs (i.e., performance expectancy, effort expectancy, social influence, and facilitating conditions) have significant effects on the attitude and sustainable usage intention of blockchain. The TOE constructs also have a significant influence on attitude and the sustainable usage intention of blockchain. | A new integration of UTAUT and TOE is proposed. |
| Sahebi et al. [78] | Ishikawa et al.‘s [79] fuzzy Delphi technique and best–worst method | Review | Mixed-quantitative analyses on qualitative data | Regulatory uncertainty, a lack of knowledge/employee training, and high sustainability costs are important blockchain adoption barriers. | A new model is proposed. |
| Saurabh and Dey [80] | Rating-based conjoint analysis to explore the blockchain adoption drivers | Survey | Quantitative | Disintermediation, traceability, price, trust, compliance, coordination and control, and utilities can influence the supply chain actors’ adoption-intention decision processes. | A new model is proposed. |
| Ullah [81] | TAM, TPB, and TRI | Survey | Quantitative | In TRI, optimism and innovativeness have a significant impact on perceived ease of use. The TAM constructs (i.e., perceived ease of use, perceived usefulness, and attitude) and the TPB construct (i.e., perceived behavioral control) affect the behavioral intention to use blockchain technology. | New impacts are identified. |
| Wahab et al. [82] | UTAUT | Review | Qualitative | For the Malaysian warehouse industry, a new conceptual research framework has been developed. In this framework, performance expectancy, effort expectancy, social influence, facilitating conditions, and price value are the independent variables, and perceived intention of blockchain technology adoption is the dependent variable. | A new model is proposed, and a new sector is considered. |
| Wamba et al. [83] | TOE, authors’ own designed model showing the relationship between blockchain adoption and supply chain performance | Survey | Quantitative | Knowledge sharing and trading partner pressure play an important role in blockchain adoption, and supply chain performance is significantly influenced by supply chain transparency and blockchain transparency. | A new model is proposed. |
| Wong et al. [84] | TOE | Survey | Quantitative | Competitive pressure, complexity, cost, and relative advantage have significant effects on the behavioral intention of Malaysian small- and medium-sized enterprises to adopt blockchain technology in supply chain management. | Some new factors are identified. |
| Wong et al. [85] | UTAUT | Survey | Quantitative | Facilitating conditions, technology affinity, and technology readiness have a positive influence on the intention to use blockchain for supply chain management and regulatory support moderates the effect of facilitating conditions. | Some new factors and a new impact are identified. |
| Yadav et al. [86] | A model based on the integration of Warfield’s [87] interpretive structural modeling (ISM) and DEMATEL together with Godet’s [88] fuzzy cross-impact matrix multiplication applied to classification (MICMAC) | Survey | Quantitative | “Lack of government regulation and lack of trust among agro-stakeholder to use blockchain” are significant adoption barriers of blockchain in the Indian agriculture supply chain. | A new model is proposed, and a new sector is considered. |
| (e) | |||||
| Study | Reference Model/Theory | Data Collection Method | Analysis Type | Major Finding(s) | Major Contribution |
| Alazab et al. [89] | UTAUT, TTF, and ISS | Survey | Quantitative | ISS, TTF, and UTAUT models positively influence the key factors affecting supply chain employees’ willingness to adopt blockchain while inter-organizational trust has a significant effect on the relationship between the UTAUT dimension and intention to adopt blockchain. | New impacts are identified. |
| Aslam et al. [90] | Authors’ own designed model based on supply chain practices of the oil industry in Pakistan | Survey | Quantitative | Supply chain management practices positively impact operational performance. | A new model is proposed. |
| Balci and Surucu-Balci [91] | A model formed by ISM | Interview | Qualitative | Lack of support from influential stakeholders, lack of understanding regarding blockchain, and lack of government regulations are the blockchain adoption barriers. | A new model is proposed. |
| Jardim et al. [92] | Gregor and Jones’ [93] design science research to develop adoption drivers | Survey | Quantitative | Dependence of other players’ acceptance and adoption, the support and assistance given by the technology provider, the trust level in the technology itself, automation and inefficiency reduction, traceability, information tracking, and the transparency guaranteed by smart contracts are identified blockchain adoption drivers. | A new model is proposed. |
| Kamble et al. [94] | TAM and TOE | Survey | Quantitative | Partner readiness, perceived ease of use, competitor pressure, and perceived usefulness are factors. | Some new factors are identified. |
| Kouhizadeh et al. [95] | TOE | Survey | Quantitative | Supply chain and technological barriers are the most critical barriers among both academics and industry experts. | Some new limitations are identified. |
| Kumar Bhardwaj et al. [96] | TAM, DOI/IDT, and TOE | Interview and survey | Quantitative | Relative advantage, technology compatibility, technology readiness, top management support, perceived usefulness, and vendor support have a positive influence on the intention of Indian small- and medium-sized enterprises to adopt blockchain technology in their supply chains. The complexity of technology and cost concerns are barriers to technology adoption by small- and medium-sized enterprises. | Some new factors, new impacts, and new limitations are identified. |
| Lanzini et al. [97] | TOE | Review and survey | Quantitative | The small- and medium-sized enterprises’ intention to adopt blockchain-based applications in supply chain management is primarily influenced by organizational rather than technological and environmental factors. | A new exploration in different enterprise sizes. |
| Maden and Alptekin [98] | TAM | Not specified | Not specified | Intention, job relevance, and output quality are more important factors influencing blockchain adoption. | Some new factors are identified. |
| Queiroz et al. [99] | UTAUT | Survey | Quantitative | Facilitating conditions, trust, social influence, and effort expectancy are the most critical constructs that directly affect blockchain technology adoption in the Brazilian operations and supply chain management context. | Some new factors are identified. |
| Sunmola et al. [100] | Building block model in three phases—pre-adoption, adoption, and post-adoption | Interview | Qualitative | Blockchain technology platform offerings, strategic responses, and adoption readiness are factors in the preadoption phase. Supply chain networks, blockchain costs, firm resources, law and government, and blockchain compatibility are factors for blockchain adoption. | A new model is proposed and a new concept is provided (i.e., pre-adoption, adoption, and post-adoption). |
| Suwanposri et al. [101] | TOE | Interview | Qualitative | Operational efficiency, suitable application, supportive government policies and regulations, and stakeholders’ cooperation are TOE factors, and each of the focused sectors weighs environmental factors differently due to different goals. | Some new factors are identified. |
| Tan and Sundarakani [102] | TAM | Interview | Qualitative | Smart contracts can be set up at critical points along the shipment route to ensure greater security and transparency. | A new application is considered. |
| (f) | |||||
| Study | Reference Model/Theory | Data Collection Method | Analysis Type | Major Finding(s) | Major Contribution |
| Agi and Jha [20] | DOI/IDT, Iacovou et al.’s [103] model | Survey | Quantitative | The relative advantage of the technology and external pressure influence blockchain adoption in the supply chain. | A new model is proposed. |
| Agrawal et al. [104] | TOE | Review and survey | Quantitative | Technological barriers (e.g., lack of blockchain standardization), organizational barriers (e.g., lack of financial resources), and environmental barriers (e.g., lack of government regulation) affect blockchain adoption in Indian manufacturing supply chains. | New limitations are identified. |
| Chittipaka et al. [105] | TOE | Survey | Quantitative | Relative advantage, trust, compatibility, security, firm’s IT resources, higher authority support, firm size, monetary resources, rivalry pressure, business partner pressure, and regulatory pressure influence blockchain technology adoption in Indian supply chains. | Some new factors are identified. |
| Chowdhury et al. [106] | TAM | Survey | Quantitative | Involvement in resilient organizational practices and the user-friendly implementation of blockchain technology has a significant and positive influence on the intention to adopt blockchain for risk management in the operations and supply chain context. | New impacts are identified. |
| Deng et al. [107] | TOE | Survey | Quantitative | Cost saving, complexity, relative advantage, top management support, supply chain cooperation, and government support influence blockchain adoption in the supply chain. | Some new factors are identified. |
| Ganguly [108] | TOE | Interview | Qualitative | Forty elements related to technical challenges, organizational challenges, and environmental challenges were identified. | Some new factors are identified. |
| Gökalp et al. [109] | TOE | Interview | Qualitative | Environment-related determinants are more critical than technology-related or organization-related determinants. | Some new factors are identified. |
| Hartley et al. [110] | DOI/IDT and IT | Interview | Qualitative | Government regulations regarding product origin, organizations using updated cloud-based information systems, and organizations working with third-party consultants affect the intention to adopt blockchain. Also, organizations that face normative pressures to adopt blockchain supply chain applications and recognize blockchain’s relative advantage, compatibility, and complexity are more likely to adopt blockchain supply chain applications. | New impacts are identified. |
| Jain et al. [111] | UTAUT | Survey | Quantitative | Buying motives (i.e., economic motives, hedonic motives, and critical motives) and some UTAUT constructs (i.e., performance expectancy, facilitating conditions, and attitude) explain blockchain acceptance. The risk of contamination enhances blockchain adoption intention and mediates fashion motives and intention. | Some new factors and a new impact are identified. |
| Kapnissis et al. [112] | UTAUT | Survey | Quantitative | Performance expectancy, social influence, trust, and blockchain functional benefits significantly positively influence the Greek shipping industry’s behavioral intention to adopt blockchain technology. Behavioral intention has a significant positive influence on the industry’s behavioral expectations. | Some new factors are identified. |
| Kumar et al. [113] | TAM | Survey | Quantitative | Perceived security and privacy in developing the trust, ease of use, and usefulness of blockchain-enabled systems are significant factors influencing blockchain adoption. The relationship between perceived ease of use and attitude is mediated by perceived usefulness. The strong influence of attitude on adoption intention represents the consumer interest in blockchain to understand product provenance. | Some new factors and new impacts are identified. |
| Li et al. [114] | TOE | Survey | Quantitative | Relative advantage, internal leadership, human resources capability, scalability, and ease of use are critical success factors for blockchain implementation. | Some new factors are identified. |
| Mthimkhulu and Jokonya [115] | TOE | Review | Quantitative | Technical factors (i.e., security, complexity, and cost), organizational factors (i.e., management support), and environmental factors (i.e., competition, IT policy and regulations, and support) affect the adoption of blockchain technology in the supply chain and logistics industry. | Some new factors are identified. |
| Nath et al. [116] | TOE and DOI/IDT | Survey | Quantitative | Relative advantage, compatibility, perceived trust, top management considerations, absorptive capacity, information sharing and collaborative culture, and trading partners’ influence affect supplier firms’ intention to adopt blockchain in supply chains. Supplier development for sustainability significantly moderates the several drivers’ (e.g., relative advantage, compatibility, top management considerations, and trading partners’ influence) effects on blockchain adoption. | Some new factors and new impacts are identified. |
| Oguntegbe et al. [117] | BRT and TOE | Review | Qualitative | Managers who consider the technological benefits associated with blockchain capacity are able to provide stakeholders with new opportunities and embrace adoption strategies such as product launch and partnership formation while also considering barriers such as market fragmentation, scarcity of research, and regulatory restrictions. | New impacts and new limitations are identified. |
| Saputra and Darma [118] | TAM | Survey | Quantitative | Public influence affects the perceived usefulness of the blockchain-based My-T Wallet application. The user interface in My-T Wallet affects the perceived ease of use. The users’ positive behavior affects their intention to use the My-T Wallet application. | New factors are identified, and a new application is considered. |
| Yadlapalli et al. [119] | TOE | Interview and review | Qualitative | Complexity challenges associated with the technology, organizational structure, external environment, and issues of compatibility with existing systems, software, and business practices are concerns about blockchain technology implementation. | Some new factors are identified. |
| (g) | |||||
| Study | Reference Model/Theory | Data Collection Method | Analysis Type | Major Finding(s) | Major Contribution |
| Adel and Younis [120] | Authors’ own designed model explored through mixed methods | Review, interview, and survey | Mixed | Entrepreneurial orientation positively and significantly affects the blockchain technology adoption strategy in Egyptian banks. Blockchain technology adoption strategy positively and affects significantly electronic supply chain management diffusion. | A new model is proposed. |
| Ahmed et al. [121] | TPB and TRI | Survey | Quantitative | Perceived ease of use influences perceived usefulness and attitude toward blockchain acceptability. Perceived usefulness has a significant impact on the attitude to use. Trust in blockchain has a significant impact on building up the attitude to use blockchain technology. | A new integration of TRI and TPB is proposed. |
| Ali et al. [122] | TOE and DOI/IDT | Survey | Quantitative | Top management support, trialability, external support, and competitive pressure influence the intention to adopt blockchain. | Some new factors are identified. |
| Baral et al. [123] | TOE | Review and survey | Quantitative | Perceived benefits, cost, relative advantage, and security, top management support, organizational readiness, and blockchain knowledge, competitive pressure, regulatory environment, government support, and intention to adopt the technology all contribute to blockchain adoption by keeping the intention to adopt the technology as a mediating variable. | Some new factors are identified. |
| Bhat and Amin [124] | IF | Interview | Qualitative | Transparency, business model, trust, organizational readiness, and auditing issues under institutional group, diffusion of technology, lack of clarity, efficiency, openness, automation, and decentralization under market group, and efficiency, authenticity, fault tolerance, immutability, reliability, and process integrity under technical group are identified factors for the acceptability of blockchain in horticulture for supply chain management. | A new application of IF is proposed. |
| Boakye et al. [125] | TOE | Survey | Quantitative | Relative advantage, cost, and compatibility significantly influence blockchain adoption in supply chain finance in small and medium enterprises. | New sectors are considered. |
| Cai et al. [126] | TAM | Survey | Quantitative | The traceability, transparency, information sharing, and decentralization of blockchain enhance the perceived usefulness of blockchain in supply chain resilience and responsiveness and the ability to withstand disruption risks and supply and demand coordination risks encountered in the supply chain. | New impacts are identified. |
| Çaldağ and Gökalp [127] | TOE | Review and survey | Quantitative | Top management support, government support, competitive pressure, inter-organizational trust, and organizational culture are the five most essential sub-factors of blockchain-based medical supply chain management system adoption while complexity, standardization, information technology infrastructure, perceived benefit, and financial resources are the five least significant factors for blockchain-based medical supply chain management system adoption. | Some new factors and new impacts are identified. |
| Çolak and Kağnıcıoğlu [128] | A model formulated using DEMATEL and partial Least-squares structural equation modeling (PLS-SEM) | Survey | Quantitative | There is a strong association between inter-firm technology acceptance characteristics in explaining behavioral intention while other variables mainly influence dependency. Trust has the most significant impact on those variables with cooperation. Cooperation is the most influential variable affecting behavioral intention, followed by dependency and knowledge sharing. Dependency fully mediates the effects of the variables on behavioral intention. The relationship between trading partner trust and behavioral intention is fully mediated by knowledge sharing, while it also partially mediates the influence of cooperation. | A new model is proposed. |
| Chen et al. [129] | TOE | Review | Quantitative | This study adopted bi-objective optimization-based fairness-aware large-scale collective opinion generation framework to examine the technological, organizational and environmental dimensions in TOE. The findings reveal that the organizational context exhibits the most severity, the environmental context is the next one, and the technological context comes last. | A new model and new impacts are identified. |
| Ganeshkumar et al. [130] | A model formulated using the analytical hierarchy process (AHP) | Review and interview | Qualitative | The five barriers that emerged as the most frequently mentioned are knowledge, cost, time, digitalization, and demand. Also, the challenge of implementing the blockchain lies in balancing the need for transparency with concerns over open-source information being accessed by competitors. | A new model and new limitations are identified. |
| Giri and Manohar [131] | TAM and MM | Survey | Quantitative | For perceived usefulness, there is a stronger mediating effect between private blockchain-based collaboration and behavioral intention to use. For perceived ease of use, there is a stronger mediating effect between public blockchain-based collaboration and behavioral intention to use. | A new exploration of the impacts of private and public blockchain-based collaboration is proposed. |
| Guan et al. [132] | RDT and TOE | Survey | Quantitative | Interpersonal connections that facilitate a mutual exchange of favors, relative advantage, technology complexity, organizational readiness, and cost affect supply chain alignment, which in turn positively affects blockchain adoption. | Some new factors and new impacts are identified. |
| Guan et al. [133] | TOE | Survey | Quantitative | Only TOE factors (i.e., technological, organizational, and environmental factors) are insufficient to predict blockchain adoption; supply chain factors (i.e., supply chain collaboration, information sharing, trust in trading partners, trading partners’ power, and interpersonal connections) are also needed to predict blockchain adoption. | Some new factors are identified. |
| Iranmanesh et al. [134] | Contingency theory | Survey | Quantitative | Intention to adopt blockchain is influenced by the contributions of blockchain to supply chain transparency and agility. Supply chain transparency, alignment, adaptability, and agility are interrelated. Market turbulence moderates the association between agility and the intention to adopt blockchain. | A new application of contingency theory is proposed. |
| Karuppiah et al. [135] | Decision-aid model using the fuzzy Delphi technique, Ju-Long’s [136] grey theory, DEMATEL, and Zavadskas et al.’s [137] weighted aggregated sum product assessment (WASPA) | Review | Quantitative | Lack of knowledge about blockchain technology, the non-existence of universal regulatory binding, new organizational policies, reputation-based attacks, and vulnerability to cyber-attack are the top five challenges faced by leather garment manufacturing in adopting blockchain technology in supply chain management. | A new model is proposed. |
| Kuei and Chen [138] | A model based on ISM and MICMAC | Review | Quantitative | Risk management facilitation was found to be one of the major enable groups and is also one of the critical major enable groups of blockchain adoption in a supply chain. | A new model is proposed. |
| Kumar and Barua [139] | HFS | Review | Mixed | The prominent barriers to blockchain adoption are a lack of general standards, a lack of trust among partners, and a lack of understanding. | A new application of HFS is proposed. |
| Lin [140] | TOE | Survey | Quantitative | Knowledge absorption capability is the most important enabler of blockchain adoption in the organizational context, followed by perceived relative advantage in the technological context, and trading partner influence in the environmental context. | Some new factors are identified. |
| Mohammed et al. [141] | TOE | Interview | Qualitative | Complexity, compatibility, cost in the technology context, organization size and knowledge in the organization context, and government support, competitive pressure, standardization, and compliance in the environment context are the most significant factors driving blockchain adoption in the food supply chain. The cost of implementation remains a significant barrier. | Some new factors and a new limitation are identified. |
| Mukherjee et al. [142] | TAM, UTAUT, and TPB | Survey | Quantitative | The employees of the retail stores surveyed have a positive intention and attitude toward adopting blockchain. However, the perceived behavioral control and effort expectancy do not influence blockchain adoption in the retail sector. | New impacts and new limitations are identified. |
| Patil et al. [10] | SNT | Survey | Quantitative | Supply chain learning of an organization will positively influence its supply chain collaboration, supply chain collaboration of an organization will positively influence its blockchain assimilation, supply chain learning of an organization positively influences its blockchain assimilation, and perceived network prominence of an organization will moderate the influence of supply chain learning on its blockchain assimilation. | A new application of SNT is proposed. |
| Samad et al. [143] | A model identified by a three-phase research framework and analyzed using ISM-DEMATEL | Interview | Qualitative | Real-time connectivity and information flow were identified as the most influencing enablers, whereas traceability was found to be the most prominent and resulting enabler. | A new model is proposed. |
| Shahzad et al. [144] | UTAUT2 | Survey | Quantitative | Performance expectancy, facilitating conditions, price value, hedonic motivation, user self-efficacy, and personal innovativeness positively influence user satisfaction which has a substantial progressive effect on habit. Furthermore, facilitating conditions, price value, habit, user self-efficacy, personal innovativeness, and user satisfaction have a progressive impact on continued intention to use blockchain technology in supply chain management. | Some new factors are identified. |
| Shahzad et al. [145] | TTF | Survey | Quantitative | Customer rating, ordering review, food tracking, navigational design, and user self-efficacy positively impact TTF. Self-efficacy positively moderates visual design and TTF, navigational design and TTF, and food tracking and TTF. TTF positively influences attitude and continued intention to use blockchain technology, and in turn, attitude positively influences continued intention to use blockchain technology. | A new application of TTF and new impacts are identified. |
| Sharma et al. [146] | A model based on fuzzy ISM, fuzzy MICMAC, and fuzzy DEMATEL | Review | Quantitative | Decentralization, data sovereignty, interoperability in the independent region, and two factors (infrastructure and smart systems in the linkage region) represent causes, and data management, operation responsiveness, data documentation, third-party involvement, and cost in the independent region represent effects. Further sensitivity in the inputs revealed very little change in outputs, thereby representing the robustness of the results. | A new model is proposed. |
| Sharma et al. [147] | UTAUT | Survey | Quantitative | Performance expectancy, effort expectancy, social influence, facilitating conditions, interfirm trust, and transparency influence stakeholders’ intention to adopt blockchain. | Some new factors are identified. |
| Sumarliah et al. [148] | Halal-focused attitude, DOI/IDT, and IT | Survey | Quantitative | The intention to adopt a blockchain-facilitated Halal traceability (BFHT) scheme in Indonesian firms’ Halal food supply chain is affected by perceived attractiveness, as perceived attractiveness is considerably affected by institutional forces, which are significantly influenced by Halal-focused attitude. Firms that follow a completely Halal-focused attitude show higher awareness regarding institutional forces that motivate them to adopt a BFHT. | A new sector is considered. |
| Tasnim et al. [149] | TAM and TOE | Survey | Quantitative | Perceived usefulness, trading partners’ pressure, and competitive pressure are the most important determinants of behavioral intention to adopt blockchain technology. | Some new factors are identified. |
| Thompson and Rust [150] | IRT, PAT, and TPB | Interview | Qualitative | Supply chain actors are hesitant to adopt blockchain technology as they fear jeopardizing relationships with the wholesalers who are reluctant to use blockchain as it threatens the competitive advantage of wholesalers by reversing existing asymmetries around trade, price, and provenance information. | A new integration of IRT, PAT, and TPB is proposed. |
| Vafadarnikjoo et al. [151] | A model based on neutrosophic AHP | Review and evaluation | Quantitative | Transaction-level uncertainties comprise the most critical barrier, followed by usage in the underground economy, managerial commitment, challenges in scalability, and privacy risks. | A new model is proposed. |
| Wang et al. [152] | Political, economic, environmental, social, and technological (PEEST) framework | Review and survey | Quantitative | The five most intense barriers are storage constraints, insufficient economic incentives, high integration costs, a lack of functional appeal, and ambiguity regarding data disclosure and public data management regulations. | A new model is proposed. |
| Wang et al. [153] | TOE | Review, interview, and survey | Mixed | Government policy and technological comparative advantage influence blockchain adoption; management commitment and financial expectations are the critical drivers of blockchain adoption decisions. | Some new factors are identified. |
| Yadav et al. [154] | TOE | Review, interview, and survey | Mixed | The requirement for change in organizational structure and policies is the most prominent barrier to blockchain adoption. The requirement for Internet of Things infrastructure and lack of technical expertise are the most impactful barriers to blockchain adoption. | Some new limitations are identified. |
| Zhang et al. [155] | UTAUT | Survey | Quantitative | Facilitating conditions, social influence, effort expectancy, technology readiness, and technology affinity positively influence blockchain adoption while performance expectancy and trust negatively influence blockchain adoption. | Some new factors and new impacts are identified. |
| Zkik et al. [156] | Pythagorean fuzzy sets (PFS), cumulative prospect theory (CPT), and VlseKriterijumska Optimizcija I Kaompromisno Resenje (VIKOR) | Review and survey | Quantitative | The findings recommend developing transparency readiness in sustainability, collaboration among supply chain partners, upgrading data access control, management commitment, and collaboration with governments for implementing a blockchain for sustainable supply chain performance in e-agriculture supply chains. | A new model is proposed. |
| Model/Theory/Method | Year | Total | ||||||
|---|---|---|---|---|---|---|---|---|
| 2017 | 2018 | 2019 | 2020 | 2021 | 2022 | 2023 | ||
| TOE | 6 | 5 | 10 | 12 | 33 | |||
| TAM | 1 | 2 | 2 | 4 | 3 | 4 | 16 | |
| UTAUT/UTAUT2 | 1 | 2 | 3 | 2 | 2 | 4 | 14 | |
| DOI/IDT | 1 | 1 | 3 | 2 | 7 | |||
| DEMATEL/Fuzzy DEMATEL | 2 | 4 | 6 | |||||
| TPB | 1 | 1 | 3 | 5 | ||||
| ISM/Fuzzy ISM | 1 | 1 | 3 | 5 | ||||
| Authors’ Own Design | 1 | 1 | 1 | 1 | 4 | |||
| TRI | 1 | 1 | 1 | 3 | ||||
| MICMAC | 1 | 2 | 3 | |||||
| TTF | 1 | 1 | 2 | |||||
| IT | 1 | 1 | 2 | |||||
| Fuzzy Delphi | 1 | 1 | 2 | |||||
| ISS | 1 | 1 | ||||||
| Iacovou et al.’s Model | 1 | 1 | ||||||
| BRT | 1 | 1 | ||||||
| MM | 1 | 1 | ||||||
| RDT | 1 | 1 | ||||||
| IRT | 1 | 1 | ||||||
| PAT | 1 | 1 | ||||||
| AHP/Neutrosophic AHP | 1 | 1 | ||||||
| Fuzzy Fontela | 1 | 1 | ||||||
| Rating-based Conjoint | 1 | 1 | ||||||
| PFS | 1 | 1 | ||||||
| CPT | 1 | 1 | ||||||
| VIKOR | 1 | 1 | ||||||
| Best–Worst | 1 | 1 | ||||||
| Contingency Theory | 1 | 1 | ||||||
| PEEST | 1 | 1 | ||||||
| Design Science | 1 | 1 | ||||||
| Building Block | 1 | 1 | ||||||
| IF | 1 | 1 | ||||||
| PLS-SEM | 1 | 1 | ||||||
| SNT | 1 | 1 | ||||||
| Halal-focused Attitude | 1 | 1 | ||||||
| HFS | 1 | 1 | ||||||
| WASPA | 1 | 1 | ||||||
| Grey Theory | 1 | 1 | ||||||
| Data Collection | Year | Total | ||||||
|---|---|---|---|---|---|---|---|---|
| 2017 | 2018 | 2019 | 2020 | 2021 | 2022 | 2023 | ||
| Survey | 1 | 1 | 3 | 11 | 8 | 11 | 25 | 60 |
| Interview | 2 | 5 | 4 | 8 | 19 | |||
| Review | 1 | 4 | 1 | 4 | 14 | 24 | ||
| Not specified | 1 | 1 | ||||||
| Analysis Type | Year | Total | ||||||
|---|---|---|---|---|---|---|---|---|
| 2017 | 2018 | 2019 | 2020 | 2021 | 2022 | 2023 | ||
| Quantitative | 1 | 1 | 3 | 10 | 8 | 12 | 27 | 62 |
| Qualitative | 1 | 2 | 4 | 5 | 5 | 17 | ||
| Mixed | 1 | 4 | 5 | |||||
| Not specified | 1 | 1 | ||||||
| Identified Construct | Source | |
|---|---|---|
| Compatibility (or technology compatibility, standards uncertainty, and interoperability) | [75,96,104,105,116,119,125,127,141,153] | |
| Complexity | [75,84,96,107,115,119,132,141,153] | |
| Relative advantage (or technology perceived benefits) including operational efficiency, security, scalability, ease of use, cost saving, trust, and trialability | [74,75,84,96,101,105,107,109,114,115,116,122,123,125,127,132,133,140,141,153] | |
| Management Support (or higher authority/management support and internal leadership) | [96,105,107,109,114,115,116,122,123,127,153] | |
| Organizational readiness (or organizational innovativeness) including organizational structure, culture, finance, flexibility, and technology readiness (or, information technology resources) including infrastructure facility and suitable application | [75,76,96,101,105,109,119,129,132,133,153,154] | |
| Absorptive capability (or organizational learning capability and knowledge absorption capability) | [75,114,116,123,140,141,153] | |
| Financial Resources (or cost of obtaining and implementing blockchain and cost/monetary concerns/resources) | [84,96,104,105,107,109,114,116,127,132,133,153] | |
| Firm size | [105,133,141] | |
| Competitive pressure (or competitive intensity, competition, competitor pressure, and rivalry pressure) | [75,84,94,105,115,122,123,127,141,149] | |
| Trading partners’ pressure (or trading partners’ readiness, partner readiness, and partner pressure) | [75,94,105,109,116,140,149,153] | |
| Government policy and support including information technology policy and regulations (or regulatory pressure and regulatory environment) | [75,76,101,104,105,107,115,123,127,141,153] | |
| Stakeholders’ cooperation (or supply chain cooperation, interpersonal connections, trust, external support, environmental support, and knowledge sharing) | [83,101,107,115,116,122,127,132,133] | |
| Vendor support | [96,153] | |
Disclaimer/Publisher’s Note: The statements, opinions and data contained in all publications are solely those of the individual author(s) and contributor(s) and not of MDPI and/or the editor(s). MDPI and/or the editor(s) disclaim responsibility for any injury to people or property resulting from any ideas, methods, instructions or products referred to in the content. |
© 2024 by the authors. Licensee MDPI, Basel, Switzerland. This article is an open access article distributed under the terms and conditions of the Creative Commons Attribution (CC BY) license (https://creativecommons.org/licenses/by/4.0/).
Share and Cite
Wong, S.; Yeung, J.K.W.; Lau, Y.-Y.; Kawasaki, T.; Kwong, R. A Critical Literature Review on Blockchain Technology Adoption in Supply Chains. Sustainability 2024, 16, 5174. https://doi.org/10.3390/su16125174
Wong S, Yeung JKW, Lau Y-Y, Kawasaki T, Kwong R. A Critical Literature Review on Blockchain Technology Adoption in Supply Chains. Sustainability. 2024; 16(12):5174. https://doi.org/10.3390/su16125174
Chicago/Turabian StyleWong, Simon, John Kun Woon Yeung, Yui-Yip Lau, Tomoya Kawasaki, and Raymond Kwong. 2024. "A Critical Literature Review on Blockchain Technology Adoption in Supply Chains" Sustainability 16, no. 12: 5174. https://doi.org/10.3390/su16125174
APA StyleWong, S., Yeung, J. K. W., Lau, Y.-Y., Kawasaki, T., & Kwong, R. (2024). A Critical Literature Review on Blockchain Technology Adoption in Supply Chains. Sustainability, 16(12), 5174. https://doi.org/10.3390/su16125174

