Improvement of Printability Properties of High-Protein Food from Mealworm (Tenebrio molitor) Using Guar Gum for Sustainable Future Food Manufacturing
Abstract
:1. Introduction
2. Materials and Methods
2.1. Material and Preparation
2.2. MP Preparation
2.3. 3D Printing
2.4. Proximate Analysis
2.5. Rheological Properties
2.5.1. Yield Stress
2.5.2. Shear Thinning Behavior
2.5.3. Frequency Sweep
2.6. Stability
2.7. Texture Profile Analysis (TPA)
2.8. Statistical Analysis
3. Results and Discussion
3.1. Proximate Analysis and Feasibility for Sustainable Future Food
3.2. Rheological Properties
3.2.1. Yield Stress
3.2.2. Shear Thinning Behavior
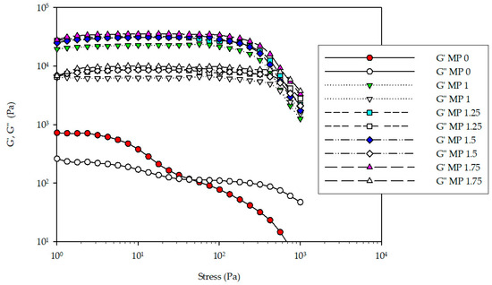
3.2.3. Frequency Sweep
3.3. Stability
3.4. Texture Analysis Profile (TAP)
4. Conclusions
Author Contributions
Funding
Institutional Review Board Statement
Informed Consent Statement
Data Availability Statement
Acknowledgments
Conflicts of Interest
References
- Van Huis, A.; Oonincx, D.G.A.B. The environmental sustainability of insects as food and feed. A review. Agron. Sustain. Dev. 2017, 37, 43. [Google Scholar] [CrossRef]
- Rumpold, B.A.; Schlüter, O.K. Nutritional composition and safety aspects of edible insects. Mol. Nutr. Food Res. 2013, 57, 802–823. [Google Scholar] [CrossRef] [PubMed]
- Chewaka, L.S.; Park, C.S.; Cha, Y.-S.; Desta, K.T.; Park, B.-R. Enzymatic Hydrolysis of Tenebrio molitor (Mealworm) Using Nuruk Extract Concentrate and an Evaluation of Its Nutritional, Functional, and Sensory Properties. Foods 2023, 12, 2188. [Google Scholar] [CrossRef] [PubMed]
- Khanal, P.; Pandey, D.; Næss, G.; Cabrita, A.R.; Fonseca, A.J.; Maia, M.R.; Timilsina, B.; Veldkamp, T.; Sapkota, R.; Overrein, H. Yellow mealworms (Tenebrio molitor) as an alternative animal feed source: A comprehensive characterization of nutritional values and the larval gut microbiome. J. Clean. Prod. 2023, 389, 136104. [Google Scholar] [CrossRef]
- Ravzanaadii, N.; Kim, S.-H.; Choi, W.-H.; Hong, S.-J.; Kim, N.-J. Nutritional Value of Mealworm, Tenebrio molitor as Food Source. Int. J. Ind. Entomol. 2012, 25, 93–98. [Google Scholar] [CrossRef]
- Toviho, O.A.; Bársony, P. Nutrient Composition and Growth of Yellow Mealworm (Tenebrio molitor) at Different Ages and Stages of the Life Cycle. Agriculture 2022, 12, 11. [Google Scholar] [CrossRef]
- Gantner, M.; Król, K.; Piotrowska, A.; Sionek, B.; Sadowska, A.; Kulik, K.; Wiącek, M. Adding Mealworm (Tenebrio molitor L.) Powder to Wheat Bread: Effects on Physicochemical, Sensory and Microbiological Qualities of the End-Product. Molecules 2022, 27, 6155. [Google Scholar] [CrossRef]
- Wendin, K.; Olsson, V.; Langton, M. Mealworms as Food Ingredient—Sensory Investigation of a Model System. Foods 2019, 8, 8. [Google Scholar] [CrossRef]
- Djouadi, A.; Sales, J.R.; Carvalho, M.O.; Raymundo, A. Development of Healthy Protein-Rich Crackers Using Tenebrio molitor Flour. Foods 2022, 11, 5. [Google Scholar] [CrossRef]
- Li, L.; Zhao, Z.; Liu, H. Feasibility of feeding yellow mealworm (Tenebrio molitor L.) in bioregenerative life support systems as a source of animal protein for humans. Acta Astronaut. 2013, 92, 103–109. [Google Scholar] [CrossRef]
- Heckmann, L.-H.; Andersen, J.L.; Gianotten, N.; Calis, M.; Fischer, C.H.; Calis, H. Sustainable Mealworm Production for Feed and Food. In Edible Insects in Sustainable Food Systems; Halloran, A., Flore, R., Vantomme, P., Roos, N., Eds.; Springer International Publishing: Cham, Switzerland, 2018; pp. 321–328. [Google Scholar] [CrossRef]
- Derler, H.; Lienhard, A.; Berner, S.; Grasser, M.; Posch, A.; Rehorska, R. Use Them for What They Are Good at: Mealworms in Circular Food Systems. Insects 2021, 12, 40. [Google Scholar] [CrossRef] [PubMed]
- Riaz, K.; Iqbal, T.; Khan, S.; Usman, A.; Al-Ghamdi, M.S.; Shami, A.; Mohamed, R.A.E.H.; Almadiy, A.A.; Al Galil, F.M.A.; Alfuhaid, N.A.; et al. Growth Optimization and Rearing of Mealworm (Tenebrio molitor L.) as a Sustainable Food Source. Foods 2023, 12, 9. [Google Scholar] [CrossRef] [PubMed]
- Benavides-Piccione, R.; Medina, F.J.; Roldán, E.S.; Von Kobbe, C.; Rodríguez-Lorenzo, L.M.; Revilla Temiño, P.; Martínez Fernández, B.; Sentandreu, M.A.; González-Pastor, J.E.; González Grau, J.M.; et al. Sustaining Human Life in Space. Consejo Superior de Investigaciones Científicas (España). 2021. Available online: https://digital.csic.es/handle/10261/230795 (accessed on 23 September 2023).
- Jones, R.S. Space diet: Daily mealworm (Tenebrio molitor) harvest on a multigenerational spaceship. J. Interdiscip. Sci. Top. 2015, 4, 28–29. [Google Scholar]
- Kok, R.; Van Huis, A. Insect food in space. J. Insects Food Feed 2021, 7, 1–4. [Google Scholar] [CrossRef]
- Terfansky, M.L.; Thangavelu, M. 3D Printing of Food for Space Missions. In AIAA SPACE 2013 Conference and Exposition; American Institute of Aeronautics and Astronautics: San Diego, CA, USA, 2013. [Google Scholar] [CrossRef]
- Godoi, F.C.; Prakash, S.; Bhandari, B.R. 3d printing technologies applied for food design: Status and prospects. J. Food Eng. 2016, 179, 44–54. [Google Scholar] [CrossRef]
- Rogers, H.; Srivastava, M. Emerging Sustainable Supply Chain Models for 3D Food Printing. Sustainability 2021, 13, 12085. [Google Scholar] [CrossRef]
- Dick, A.; Dong, X.; Bhandari, B.; Prakash, S. The role of hydrocolloids on the 3D printability of meat products. Food Hydrocoll. 2021, 119, 106879. [Google Scholar] [CrossRef]
- Feng, C.; Zhang, M.; Bhandari, B. Materials Properties of Printable Edible Inks and Printing Parameters Optimization during 3D Printing: A review. Crit. Rev. Food Sci. Nutr. 2019, 59, 3074–3081. [Google Scholar] [CrossRef]
- Liu, Y.; Yu, Y.; Liu, C.; Regenstein, J.M.; Liu, X.; Zhou, P. Rheological and mechanical behavior of milk protein composite gel for extrusion-based 3D food printing. LWT 2019, 102, 338–346. [Google Scholar] [CrossRef]
- Gholamipour-Shirazi, A.; Norton, I.T.; Mills, T. Designing hydrocolloid based food-ink formulations for extrusion 3D printing. Food Hydrocoll. 2019, 95, 161–167. [Google Scholar] [CrossRef]
- Whistler, R.L.; Hymowitz, T. Guar: Agronomy, Production, Industrial Use, and Nutrition; Lafayette, W., Ed.; Purdue University Press: West Lafayette, IN, USA, 1979. [Google Scholar]
- Wu, M. Shear-thinning and viscosity synergism in mixed solution of guar gum and its etherified derivatives. Polym. Bull. 2009, 63, 853–863. [Google Scholar] [CrossRef]
- Kim, H.W.; Bae, H.; Park, H.J. Classification of the printability of selected food for 3D printing: Development of an assessment method using hydrocolloids as reference material. J. Food Eng. 2017, 215, 23–32. [Google Scholar] [CrossRef]
- Dick, A.; Bhandari, B.; Dong, X.; Prakash, S. Feasibility study of hydrocolloid incorporated 3D printed pork as dysphagia food. Food Hydrocoll. 2020, 107, 105940. [Google Scholar] [CrossRef]
- Cuniff, P. Official Methods of Analysis of AOAC International; AOAC International: Rockville, MA, USA, 1997. [Google Scholar]
- Dick, A.; Bhandari, B.; Prakash, S. Printability and textural assessment of modified-texture cooked beef pastes for dysphagia patients. Future Foods 2021, 3, 100006. [Google Scholar] [CrossRef]
- Xu, J.; Fan, Y.; Liu, H.; Liu, Q.; Zhamsaranova, S.; Kong, B.; Chen, Q. Improvement of rheological properties and 3D printability of pork pastes by the addition of xanthan gum. LWT 2023, 173, 114325. [Google Scholar] [CrossRef]
- Rezende, R.A.; Bártolo, P.J.; Mendes, A.; Filho, R.M. Rheological behavior of alginate solutions for biomanufacturing. J. Appl. Polym. Sci. 2009, 113, 3866–3871. [Google Scholar] [CrossRef]
- Cao, C.; Wang, C.; Yuan, D.; Kong, B.; Sun, F.; Liu, Q. Effects of acetylated cassava starch on the physical and rheological properties of multicomponent protein emulsions. Int. J. Biol. Macromol. 2021, 183, 1459–1474. [Google Scholar] [CrossRef]
- Leelapunnawut, S.; Ngamwonglumlert, L.; Devahastin, S.; Derossi, A.; Caporizzi, R.; Chiewchan, N. Effects of Texture Modifiers on Physicochemical Properties of 3D-Printed Meat Mimics from Pea Protein Isolate-Alginate Gel Mixture. Foods 2022, 11, 3947. [Google Scholar] [CrossRef]
- Medicine, I.O. Dietary Reference Intakes for Energy, Carbohydrate, Fiber, Fat, Fatty Acids, Cholesterol, Protein, and Amino Acids; The National Academies Press: Washington, DC, USA, 2005. [Google Scholar] [CrossRef]
- NASA Begins Final Phase of $3 Million Deep Space Food Challenge|NASA. Available online: https://www.nasa.gov/directorates/spacetech/centennial_challenges/press-release/nasa-begins-final-phase-of-3-million-deep-space-food-challenge (accessed on 26 September 2023).
- Mauer, L. PROTEIN|Heat Treatment for Food Proteins. In Encyclopedia of Food Sciences and Nutrition; Elsevier: Amsterdam, The Netherlands, 2003; pp. 4868–4872. [Google Scholar] [CrossRef]
- Sánchez, V.E.; Bartholomai, G.B.; Pilosof, A.M.R. Rheological properties of food gums as related to their water binding capacity and to soy protein interaction. LWT-Food Sci. Technol. 1995, 28, 380–385. [Google Scholar] [CrossRef]
- Paxton, N.; Smolan, W.; Böck, T.; Melchels, F.; Groll, J.; Jungst, T. Proposal to assess printability of bioinks for extrusion-based bioprinting and evaluation of rheological properties governing bioprintability. Biofabrication 2017, 9, 044107. [Google Scholar] [CrossRef]
- Lee, Y.; Chang, Y.H. Influence of guar gum addition on physicochemical, microbial, rheological and sensory properties of stirred yoghurt. Int. J. Dairy Technol. 2016, 69, 356–363. [Google Scholar] [CrossRef]
- Lille, M.; Nurmela, A.; Nordlund, E.; Metsä-Kortelainen, S.; Sozer, N. Applicability of protein and fiber-rich food materials in extrusion-based 3D printing. J. Food Eng. 2018, 220, 20–27. [Google Scholar] [CrossRef]
- Prabhanjan, H.; Gharia, M.M.; Srivastava, H.C. Guar gum derivatives. Part I: Preparation and properties. Carbohydr. Polym. 1989, 11, 279–292. [Google Scholar] [CrossRef]
- Glicksman, M. Gum Technology in the Food Industry; Academic Press: Cambridge, MA, USA, 1969. [Google Scholar]
- Wu, M.; Xiong, Y.L.; Chen, J.; Tang, X.; Zhou, G. Rheological and Microstructural Properties of Porcine Myofibrillar Protein-Lipid Emulsion Composite Gels. J. Food Sci. 2009, 74, E207–E217. [Google Scholar] [CrossRef]
- Tavares, C.; Monteiro, S.R.; Moreno, N.; Da Silva, J.A.L. Does the branching degree of galactomannans influence their effect on whey protein gelation? Colloids Surf. Physicochem. Eng. Asp. 2005, 270–271, 213–219. [Google Scholar] [CrossRef]
- Lei, Y.; Zhao, X.; Li, D.; Wang, L.; Wang, Y. Effects of κ-Carrageenan and Guar Gum on the Rheological Properties and Microstructure of Phycocyanin Gel. Foods 2022, 11, 734. [Google Scholar] [CrossRef]
- Mudgil, D.; Barak, S.; Khatkar, B.S. Guar gum: Processing, properties and food applications—A Review. J. Food Sci. Technol. 2014, 51, 409–418. [Google Scholar] [CrossRef]





| Parameter | Result |
|---|---|
| Moisture (% wet basis) | 6.07 ± 0.04 |
| Crude protein (g/100 g) | 47.70 ± 0.38 |
| Crude fat (g/100 g) | 30.50 ± 0.39 |
| Crude fiber (g/100 g) | 6.02 ± 0.07 |
| Ash (g/100 g) | 3.47 ± 0.09 |
| Carbohydrate (g/100 g) | 6.24 ± 0.26 |
| Parameter | Printed Sample | Guar Gum Conc. (%) | Nozzle Size (mm) | Infill Percentage (%) |
|---|---|---|---|---|
| Guar gum | ![]() | 0 (a), 1 (b), 1.25 (c), 1.5 (d), and 1.75 (e) | 1.0 | 50 |
| Nozzle size | ![]() | 1 | 1.0 (a), 1.3 (b) and 1.6 (c) | 50 |
| Infill percentage | ![]() | 1 | 1.0 | 20% (a), 30% (b), 40% (c), and 50% (d) |
| Condition | Hardness (N) | Adhesiveness (N.s) | Springiness | Cohesiveness | Gumminess (N) |
|---|---|---|---|---|---|
| MP 1 | 0.880 ± 0.070 a | −0.0869 ± 0.010 a | 0.079 ± 0.006 a | 0.141 ± 0.016 a | 0.123 ± 0.005 a |
| MP 1.25 | 0.966 ± 0.040 ab | −0.1081 ± 0.001 b | 0.078 ± 0.007 a | 0.142 ± 0.005 a | 0.137 ± 0.003 ab |
| MP 1.5 | 0.979 ± 0.020 ab | −0.1302 ± 0.003 c | 0.076 ± 0.009 a | 0.173 ± 0.010 ab | 0.170 ± 0.009 bc |
| MP 1.75 | 1.116 ± 0.100 b | −0.1377 ± 0.004 c | 0.079 ± 0.007 a | 0.183 ± 0.015 b | 0.205 ± 0.034 c |
Disclaimer/Publisher’s Note: The statements, opinions and data contained in all publications are solely those of the individual author(s) and contributor(s) and not of MDPI and/or the editor(s). MDPI and/or the editor(s) disclaim responsibility for any injury to people or property resulting from any ideas, methods, instructions or products referred to in the content. |
© 2023 by the authors. Licensee MDPI, Basel, Switzerland. This article is an open access article distributed under the terms and conditions of the Creative Commons Attribution (CC BY) license (https://creativecommons.org/licenses/by/4.0/).
Share and Cite
Chancharoen, W.; Kaewkumpha, Y.; Chansataporn, W.; Ngamkajornwiwat, P.; Wannakee, J. Improvement of Printability Properties of High-Protein Food from Mealworm (Tenebrio molitor) Using Guar Gum for Sustainable Future Food Manufacturing. Sustainability 2023, 15, 16937. https://doi.org/10.3390/su152416937
Chancharoen W, Kaewkumpha Y, Chansataporn W, Ngamkajornwiwat P, Wannakee J. Improvement of Printability Properties of High-Protein Food from Mealworm (Tenebrio molitor) Using Guar Gum for Sustainable Future Food Manufacturing. Sustainability. 2023; 15(24):16937. https://doi.org/10.3390/su152416937
Chicago/Turabian StyleChancharoen, Wares, Yossaphol Kaewkumpha, Wanassanan Chansataporn, Potiwat Ngamkajornwiwat, and Jirapat Wannakee. 2023. "Improvement of Printability Properties of High-Protein Food from Mealworm (Tenebrio molitor) Using Guar Gum for Sustainable Future Food Manufacturing" Sustainability 15, no. 24: 16937. https://doi.org/10.3390/su152416937
APA StyleChancharoen, W., Kaewkumpha, Y., Chansataporn, W., Ngamkajornwiwat, P., & Wannakee, J. (2023). Improvement of Printability Properties of High-Protein Food from Mealworm (Tenebrio molitor) Using Guar Gum for Sustainable Future Food Manufacturing. Sustainability, 15(24), 16937. https://doi.org/10.3390/su152416937




