Security Risk Assessment Framework for the Healthcare Industry 5.0
Abstract
:1. Introduction
- The identification of the basic functionality and risk factors in the healthcare system based on Industry 5.0, considering security standardization and systematic evaluation process.
- Assessment requires possible standard threats to quantitatively assess to measure the impact and future possibilities for healthcare systems.
- Mitigation is the remedy of risk by comparing the proper scaling of impact. It allows for the establishment of a proper correlation between various attributes of Industry 5.0 with healthcare security factors.
- Prevention promotes proper countermeasures and preventive techniques for identifying and mitigating risks with respect to healthcare Industry 5.0.
2. Contextual Findings and Research Gap
- Information security risk assessment;
- Fuzzy comprehensive evaluation method;
- Analytic hierarchy process;
- Bayesian network;
- Decision-making trial and evaluation laboratory method
- Precision healthcare, intelligence-based infrastructure and artificial-enabled medical equipment enhance human accuracy in the healthcare business and enable patients to receive highly effective, individualized treatment methods. Industry 5.0 journeys in the healthcare industry are just getting started. Computer-generated care, isolated patient intensive care, and AI-integrated medical devices are just the beginning [13,14].
- A feasibility study is a way to determine if a health service is possible, whether it is an expansion of an already-running business or a new project. This study is a crucial step in the process of strategic planning. The hacker may access private patient information. Additionally, the attacker may change patient data mistakenly or intentionally, which could negatively impact the patient’s health [15].
- Quantification is an unavoidable feature of our current technological environment. The GPSs, satellites, computers, and networks that enable us to live are all connected via a sophisticated technical infrastructure. Healthcare is not achieved d by completing a different set of activities within the margins of a known space (the clinic or the ambulant) but rather as a dataset combined into an organization that treats and manages all features of life (health, law, relaxation, work, and social relations) [16].
- Industry 5.0 is the culmination of the best possible integration of big data, AI, the IoT, cloud computing, COBOTS, innovation, and creativity. Industry 5.0 is predicted to generate higher-value employment with greater latitude for design thinking and innovation. It aids in raising labor productivity and provides more scope for customer customization [17,18].
- Human–machine interactions are essential to the success of the industrial revolution because it makes personalized services possible and moves us towards a more advanced awareness of Industry 5.0. Industry 5.0 is being implemented more extensively to accommodate highly personal requirements and build a virtual environment with cutting-edge computers and information technologies [19,20,21,22].
- From the literature review, a COVID-19 case study is being used to compare the healthcare system to Industry 5.0. In the case of highly contagious diseases such as COVID-19, risk assessment was valuable for devices designed for automated operations. It was helpful in tracking infected patients and providing life support, such as through online counseling and revealing the availability of beds, drugs, vaccines, and other amenities. Personalized patient body screening, online reporting of medical tests, online data collection, and secure storage and tracking are highly advanced concepts related to the healthcare industry with optimized security requirements and security solutions. Creating more cognitive technology to provide better instruction for automated technology is highly required [23,24,25].
- Industry 5.0, which is capable of rejuvenating human creativity and craftsmanship in production while embracing automation and robotic collaboration to assist employees, is likely to upend this. Applying a human-centric approach as a key aspect of Industry 5.0 focuses on healthcare security with reduced threats and security risk, advocating a security-by-design approach in Industry 5.0 [26,27].
3. Why Industry 5.0?
Need of Migration from Industry 4.0 to Industry 5.0
4. Industry 5.0 for Healthcare Systems
4.1. Data Breaches in Healthcare Industry
4.2. Breaches of Healthcare Data by Year
4.3. Exposure of Healthcare Records by Year
4.4. Top 10 Healthcare Data Breaches Reported by Office for Civil Rights (OCR)
5. Healthcare Related Threats, Security Risk and Symmetrical Solutions
5.1. Healthcare Security Risk
- Tracking of COVID-19;
- Transparency in treatment;
- Tracking of crowded places;
- Performing automated treatment;
- Intelligent use of medicinal apparatus;
- Process and execution of digital treatment;
- Hospital management;
- Personalized and inspired treatment;
- Identification of high-risk patients.
- Corporate compliance, laws, rules, and standards;
- Eligibility requirements for Medicare;
- Confidentiality and privacy (data breach) identification;
- Anomaly detection on medical records;
- Personnel, qualifications, and staffing;
- Patient’s rights;
- Managing medications;
- Controlling and preventing rate of infections;
- Reporting abuses;
- Environmental safety and protection.
- Cross-site scripting;
- SQL injection;
- Assaults involving protocol manipulation;
- Remote code execution or remote file inclusion.
- Utilizing cutting-edge medical technology;
- Cyber security;
- Changes in healthcare regulation and services;
- Issues regarding payment and invoice processing;
- Drug price optimization issues;
- Issues for integrated healthcare services;
- Lacking of healthcare staffs;
- Global business upheaval;
- Drug outbreak.
- Possibility of harming reputation;
- Identity crisis issues;
- Consumer loss issues;
- Issues of trust failure.
5.2. Symmetrical Solutions
6. Development of Security Risk Assessment Framework for Healthcare Industry 5.0 (SRVFHI5.0)
- Identification and Conceptualization: The primary phase of any problem-solving activity is directly related to conceptualization, which identifies the significant problems, optimized solutions and the process for implementation. It is also responsible for recognizing the significant healthcare security issues with Industry 5.0. It will help to uncover the most appropriate components and attributes through a retrospective review of the available best practices, consolidated rules, and architectures to develop their technological aspects;
- Security issues based on healthcare: The primary responsibility of this phase is to investigate various components of healthcare. Recognition of security-related problems based on healthcare services is a crucial phase activity. Some of the prominent security issues related to healthcare and industry 5.0 have been reviewed in the literature, and a commonly accepted set is mentioned here. The common security issues related to healthcare are data breaches, ransomware attacks, phishing, insider threats, regulatory compliances, data encryption and physical security.
- Security issues based on Industry 5.0: The steps recognize security-related issues based on Industry 5.0. This phase is responsible for discovering security issues associated with industrial IoT components, which are directly involved in facilitating services related to personalization. Security issues based on Industry 5.0 are also identified in the initial stage of research, including data privacy, unauthorized access and data collection, data theft, operation disruption, insecure communication channel, cyber security, resilience, standards and human factors. Addressing these issues early means that a more meaningful attempt can be made to discover security issues involved with the rapid growth of applications based on Industry 5.0.
- Factor Identification: Factor identification is one of the most important activities for developing a roadmap to derive a commonly accepted set of security risk factors encompassing healthcare with Industry 5.0. An effort will be undertaken to determine connected factors that may be essential for security risk assessment.
- Correlative Analysis: This step refers to examining the nature of the dependence of security-related issues based on healthcare and Industry 5.0, finding correlations among them, and establishing connections between them following their anticipated influence and importance;
- Security Risk Assessment: With security risk assessment, safety mechanisms and security technologies can be analyzed and evaluated. Assessing security risk will help trade off security goals and costs;
- Validation: The fundamental purpose of validation is to ensure that the established models and metrics accurately measure what they are designed to measure. The validation process involves various processes to ensure the proper product is being built. The metrics’ values are valid measurements to investigate in the context of an empirical investigation;
- Suggestive Measures: As a result of the developed model, a generic guideline in the form of a developer’s manual could be made for making an effective assessment mechanism for a safe healthcare environment based on Industry 5.0. It is highly desirable to provide some suggestive measures to the development teams to revisit the model to achieve the security indexes with justified evaluation and description;
- Review and Revision: Review and revision is an informal phase, positioned at the end, with free entry to all other related phases and recommendations for adequate exposures and return for a more comprehensive assessment based on the preceding phases. It will provide a free assistance mechanism through informal review and revisions at any stage of the perspective framework [46].
7. Validation of Security Risk Assessment Framework for Healthcare Industry 5.0 (SRVFHI5.0)
7.1. Methodology
7.1.1. Domain Identification and Item Generation
7.1.2. Content Validation
7.1.3. Items Administration at Development Stage
7.2. Analysis and Results
Validation of the Items
7.3. Analyzing Exploratory Factor Analysis and Reliability of the Opinionnaire
7.3.1. Item Analysis
7.3.2. Final Form of the Tool
7.3.3. Scoring
- 1—Very Low
- 2—Low
- 3—Moderate
- 4—High
- 5—Very High.
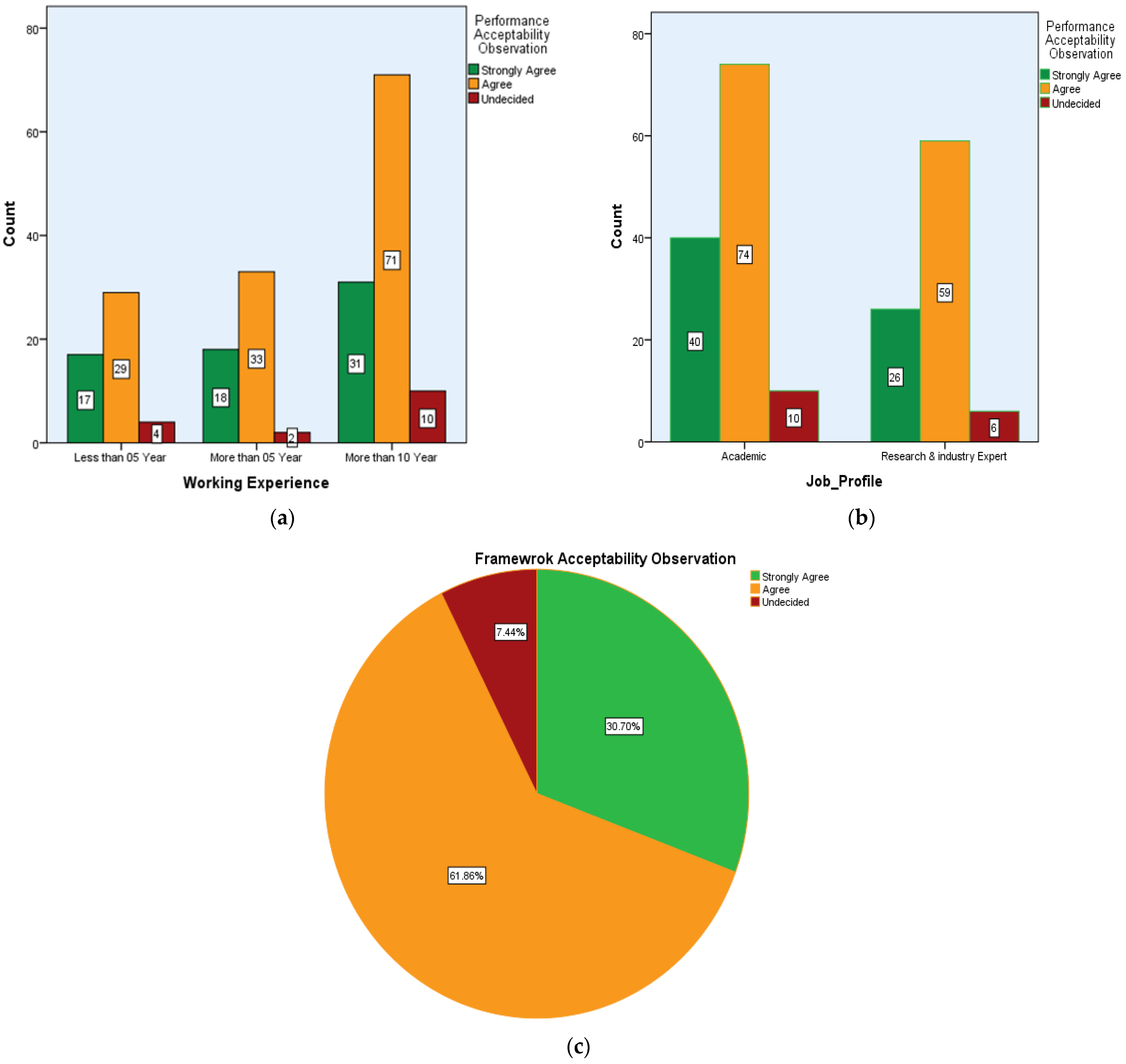
7.3.4. Interpretation
8. Summary and Conclusions
Author Contributions
Funding
Institutional Review Board Statement
Informed Consent Statement
Data Availability Statement
Acknowledgments
Conflicts of Interest
References
- He, Y.; Aliyu, A.; Evans, M.; Luo, C.; Park, W. Health Care Cybersecurity Challenges and Solutions Under the Climate of COVID-19: Scoping Review. J. Med. Internet Res. 2021, 23, e21747. [Google Scholar] [CrossRef] [PubMed]
- System, H.; Almalawi, A.; Khan, A.I.; Alsolami, F.; Abushark, Y.B. Managing Security of Healthcare Data for a Modern. Sensors 2023, 23, 3612. [Google Scholar]
- Alves, J.; Lima, T.M.; Gaspar, P.D. Is Industry 5.0 a Human-Centred Approach? A Systematic Review. Processes 2023, 11, 193. [Google Scholar] [CrossRef]
- Traore, T.; Shanks, S.; Haider, N.; Ahmed, K.; Jain, V.; Rüegg, S.R.; Razavi, A.; Kock, R.; Erondu, N.; Rahman-Shepherd, A.; et al. How prepared is the world? Identifying weaknesses in existing assessment frameworks for global health security through a One Health approach. Lancet 2023, 401, 673–687. [Google Scholar] [CrossRef] [PubMed]
- Ahmad, M.; Nadeem, M.; Seh, A.H.; Khan, R.A. Cyber Security Quantification of Healthcare Medical Devices through Soft Cyber Security Quantification of Healthcare Medical Devices through Soft computing technique. Int. J. Adv. Technol. Eng. Sci. 2021, 9, 21–27. [Google Scholar]
- Radanliev, P.; De Roure, D.; Nicolescu, R.; Huth, M.; Santos, O. Artificial Intelligence and the Internet of Things in Industry 4.0. CCF Trans. Pervasive Comput. Interact. 2021, 3, 329–338. [Google Scholar] [CrossRef]
- Alojaiman, B. Technological Modernizations in the Industry 5.0 Era: A Descriptive Analysis and Future Research Directions. Processes 2023, 11, 1318. [Google Scholar] [CrossRef]
- Attaallah, A.; Al-Sulbi, K.; Alasiry, A.; Marzougui, M.; Ansar, S.A.; Agrawal, A.; Ansari, T.J.; Khan, R.A. Fuzzy-Based Unified Decision-Making Technique to Evaluate Security Risks: A Healthcare Perspective. Mathematics 2023, 11, 2554. [Google Scholar] [CrossRef]
- Kaur, J.; Khan, A.I.; Abushark, Y.B.; Alam, M.; Khan, S.A.; Agrawal, A.; Kumar, R.; Khan, R.A. Security risk assessment of healthcare web application through adaptive neuro-fuzzy inference system: A design perspective. Risk Manag. Healthc. Policy 2020, 13, 355–371. [Google Scholar] [CrossRef]
- Almulihi, A.H.; Alassery, F.; Khan, A.I.; Shukla, S.; Gupta, B.K.; Kumar, R. Analyzing the Implications of Healthcare Data Breaches through Computational Technique. Intell. Autom. Soft Comput. 2022, 32, 1763–1779. [Google Scholar] [CrossRef]
- 5 Biggest Healthcare Security Threats for 2021|CSO Online. Available online: https://www.csoonline.com/article/3262187/biggest-healthcare-security-threats.html (accessed on 24 January 2023).
- Ávila-Gutiérrez, M.J.; de Miranda, S.S.-F.; Aguayo-González, F. Occupational Safety and Health 5.0—A Model for Multilevel Strategic Deployment Aligned with the Sustainable Development Goals of Agenda 2030. Sustainability 2022, 14, 6741. [Google Scholar] [CrossRef]
- Islam, M.S.; Hasan, M.M.; Wang, X.; Germack, H.D.; Noor-E-alam, M. A systematic review on healthcare analytics: Application and theoretical perspective of data mining. Healthcare 2018, 6, 54. [Google Scholar] [CrossRef] [PubMed]
- Yin, Y. The internet of things in healthcare: An overview. J. Ind. Inf. Integr. 2016, 1, 3–13. [Google Scholar] [CrossRef]
- Javaid, M.; Haleem, A. Critical components of industry 5.0 towards a successful adoption in the field of manufacturing. J. Ind. Integr. Manag. 2020, 5, 327–348. [Google Scholar] [CrossRef]
- Bajic, B.; Suzic, N.; Moraca, S.; Stefanović, M.; Jovicic, M.; Rikalovic, A. Edge Computing Data Optimization for Smart Quality Management: Industry 5.0 Perspective. Sustainability 2023, 15, 6032. [Google Scholar] [CrossRef]
- Espina-Romero, L.; Guerrero-Alcedo, J.; Avila, N.G.; Sánchez, J.G.N.; Hurtado, H.G.; Li, A.Q. Industry 5.0: Tracking Scientific Activity on the Most Influential Industries, Associated Topics, and Future Research Agenda. Sustainability 2023, 15, 5554. [Google Scholar] [CrossRef]
- Skobelev, P.O.; Borovik, S.Y. On the Way from Industry 4.0 To Industry 5.0: From Digital Manufacturing to Digital Society. Industry 4.0 2017, 2, 307–311. [Google Scholar]
- Longo, F.; Padovano, A.; Umbrello, S. Value-oriented and ethical technology engineering in industry 5.0: A human-centric perspective for the design of the factory of the future. Appl. Sci. 2020, 10, 4182. [Google Scholar] [CrossRef]
- Haleem, A.; Javaid, M. Industry 5.0 and its expected applications in medical field. Curr. Med. Res. Pract. 2019, 9, 167–169. [Google Scholar] [CrossRef]
- Zhang, Q.; Chen, Y.; Lin, W.; Chen, Y. Optimizing Medical Enterprise’s Operations Industry 5.0. Discret. Dyn. Nat. Soc. 2021, 2021, 9298166. [Google Scholar] [CrossRef]
- Pereira, A.G.; Santos, F.C.; Lima, T.M. Industry 4.0 and Society 5.0: Opportunities and Threats. Int. J. Recent Technol. Eng. 2020, 8, 3305–3308. [Google Scholar] [CrossRef]
- Islam, A.; Islam, M.; Uzir, M.U.H.; Wahab, S.A.; Latiff, A.S.A. The panorama between COVID-19 pandemic and Artificial Intelligence (AI): Can it be the catalyst for Society 5.0? Int. J. Sci. Res. Manag. 2020, 8, 2011–2025. [Google Scholar] [CrossRef]
- Lepore, D.; Micozzi, A.; Spigarelli, F. Industry 4.0 accelerating sustainable manufacturing in the COVID-19 era: Assessing the readiness and responsiveness of italian regions. Sustainability 2021, 13, 2670. [Google Scholar] [CrossRef]
- Raje, S.; Reddy, N.; Jerbi, H.; Randhawa, P.; Tsaramirsis, G.; Shrivas, N.V.; Pavlopoulou, A.; Stojmenović, M.; Piromalis, D. Applications of Healthcare Robots in Combating the COVID-19 Pandemic. Appl. Bionics Biomech. 2021, 2021, 7099510. [Google Scholar] [CrossRef] [PubMed]
- Rojas, C.N.; Peñafiel, G.A.A.; Buitrago, D.F.L.; Romero, C.A.T. Society 5.0: A Japanese concept for a superintelligent society. Sustainability 2021, 13, 6567. [Google Scholar] [CrossRef]
- O’brien, R.; Bair, E.F.; Venkataramani, A.S. Death by Robots? Automation and Working-Age Mortality in the United States. Demography 2022, 59, 607–628. [Google Scholar] [CrossRef]
- Adel, A. Future of industry 5.0 in society: Human-centric solutions, challenges and prospective research areas. J. Cloud Compup. 2022, 11, 40. [Google Scholar] [CrossRef]
- Report: Nearly 400 Crashes by ‘Self-Driving’ Cars in the US|Automotive Industry News|Al Jazeera. Available online: https://www.aljazeera.com/economy/2022/6/15/report-nearly-400-crashes-by-self-driving-cars-in-the-us (accessed on 20 August 2023).
- Teslas Running Autopilot Involved in 273 Crashes Reported since Last Year—The Washington Post. Available online: https://www.washingtonpost.com/technology/2022/06/15/tesla-autopilot-crashes/ (accessed on 20 August 2023).
- Javaid, M.; Haleem, A.; Vaishya, R.; Bahl, S.; Suman, R.; Vaish, A. Industry 4.0 technologies and their applications in fighting COVID-19 pandemic. Diabetes Metab. Syndr. Clin. Res. Rev. 2020, 14, 419–422. [Google Scholar] [CrossRef]
- Rehman, A.; Abbas, S.; Khan, M.A.; Ghazal, T.M.; Adnan, K.M.; Mosavi, A. A secure healthcare 5.0 system based on blockchain technology entangled with federated learning technique. Comput. Biol. Med. 2022, 150, 106019. [Google Scholar] [CrossRef]
- Khalil, R.A.; Saeed, N.; Fard, Y.M.; Al-Naffouri, T.Y.; Alouini, M.-S. Deep Learning in Industrial Internet of Things: Potentials, Challenges, and Emerging Applications. arXiv 2020, arXiv:2008.06701. [Google Scholar]
- Barata, J.; Kayser, I. Industry 5.0—Past, Present, and Near Future. Procedia Comput. Sci. 2023, 219, 778–788. [Google Scholar] [CrossRef]
- The Top Healthcare Data Breach Statistics of 2023|Persona. Available online: https://withpersona.com/blog/top-healthcare-data-breach-statistics-2023 (accessed on 13 August 2023).
- Available online: https://ocrportal.hhs.gov/ocr/breach/breach_report.jsf (accessed on 24 July 2023).
- Raghupathi, W.; Raghupathi, V.; Saharia, A. Analyzing Health Data Breaches: A Visual Analytics Approach. AppliedMath 2023, 3, 175–199. [Google Scholar] [CrossRef]
- Khan, S.A.; Khan, R.A. Security assessment framework: A complexity perspective. Comput. Fraud Secur. 2014, 2014, 13–17. [Google Scholar] [CrossRef]
- Khan, S.A.; Kumar, R.; Khan, R.A. Software Security: Concepts and Practices; CRC Press: Chapman & Hall, FL, USA, 2023. [Google Scholar]
- Alvarez-aros, E.L.; Bernal-torres, C.A. Technological competitiveness and emerging technologies in industry 4.0 and industry 5.0. An. Acad. Bras. Ciênc. 2021, 93, e20191290. [Google Scholar] [CrossRef]
- Ksibi, S.; Jaidi, F.; Bouhoula, A. A Comprehensive Study of Security and Cyber-Security Risk Management within e-Health Systems: Synthesis, Analysis and a Novel Quantified Approach. Mob. Netw. Appl. 2022, 28, 107–127. [Google Scholar] [CrossRef]
- Eich, A.; Klichowicz, A.; Bocklisch, F. How automation level influences moral decisions of humans collaborating with industrial robots in different scenarios. Front. Psychol. 2023, 14, 1107306. [Google Scholar] [CrossRef]
- Thomasian, N.M.; Adashi, E.Y. Cybersecurity in the Internet of Medical Things. Health Policy Technol. 2021, 10, 100549. [Google Scholar] [CrossRef]
- Akundi, A.; Euresti, D.; Luna, S.; Ankobiah, W.; Lopes, A.; Edinbarough, I. State of Industry 5.0—Analysis and Identification of Current Research Trends. Appl. Syst. Innov. 2022, 5, 27. [Google Scholar] [CrossRef]
- Seh, A.H.; Ahmad, M.; Nadeem, M.; Pandey, A.K.; Agrawal, A.; Kumar, R.; Khan, R.A. Usable-Security Assessment of Healthcare Software System Through Fuzzy ANP-TOPSIS Method. Int. J. Syst. Dyn. Appl. (IJSDA) 2021, 10, 1–24. [Google Scholar] [CrossRef]
- Agrawal, A.; Alenezi, M.; Khan, S.A.; Kumar, R.; Khan, R.A. Multi-level Fuzzy system for usable-security assessment. J. King Saud Univ. Comput. Inf. Sci. 2022, 34, 657–665. [Google Scholar] [CrossRef]
- Kim, J.; Lee, C.; Chang, H. The Development of a Security Evaluation Model Focused on Information Leakage Protection for Sustainable Growth. Sustainability 2020, 12, 10639. [Google Scholar] [CrossRef]
- Robert, F. Devellis, Scale Development: Theory and Applications, 3rd ed.; SAGE Publications Inc.: New York, NY, USA, 2011. [Google Scholar]
- Ayre, C.; Scally, A. Critical Values for Lawshe’s Content Validity Ratio. Meas. Eval. Couns. Dev. 2014, 47, 79–86. [Google Scholar] [CrossRef]
- Mishra, S.; Sharma, M.; Sharma, R.C.; Singh, A.; Thakur, A. Development of a Scale to Measure Faculty Attitude Towards Open Educational Resources. Open Prax. 2016, 8, 55. [Google Scholar] [CrossRef]
- Victor, S.R.; Srinivasan, V. Development of A Scale to Identify Teaching Practices Among Pre- University Teachers. J. Educ. Lit. 2015, 3, 13–18. [Google Scholar]
- Samson, R.V.; Swamy, S. Development of an Attitude Scale to Measure Computer Application of Secondary School Teachers; All India Association for Educational Research (AIAER): Pondicherry, India, 2011. [Google Scholar]
- Lawshe, C.H. A Quantitative Approach to Content Validity. Pers. Psychol. 1975, 28, 563–575. [Google Scholar] [CrossRef]









| S. No | Security Analysis for Healthcare | Industry 4.0 | Industry 5.0 |
|---|---|---|---|
| 1 | Focused on smart manufacturing systems, mass production, working, and smart supply chain | √ | X |
| 2 | Focused on the sustainability, human centric, environmental responsibility, and social benefits | X | √ |
| 3 | Working on real-time monitoring and integrated chain | √ | |
| 4 | Focusing on utilization of ethical technology for human value | X | √ |
| 5 | Human reliability, human–computer interaction, and repetitive environments | √ | |
| 6 | Utilization of Automation Technology | X | √ |
| 7 | Automation, information | √ | |
| 8 | Digital transformation | X | √ |
| S. No | Year Wise | Number of Incidents | Company Name | Cases Reported by | Case Regarding | Security Threats | Reported to |
|---|---|---|---|---|---|---|---|
| 1 | 2022 | 48.6 million | HHS | 590 Healthcare organizations | Healthcare information breach | Hacking/IT incident | OCR |
| 2 | 2022 | 423,624 | One Touch Point (OTP) | 35 different healthcare organization | Patient metadata | By third mailing party | OCR |
| 3 | March 2022 | 360,000 | TTUHSC | Numerous organizations have reported | ECL | Google meta data | OCR |
| 4 | Oct. 2022 | 3 million | AAH | Arora healthcare organization | Company used tracking pixels from Google | Metadata | OCR |
| 5 | 2022 | 2,000,000 | Shield Healthcare Group | Massachusetts-based healthcare organization disclosed to HHS | Patient personal data | Unauthorized access | HHS |
| 6 | 2021 | 1,918,941 | PCF | Professional Finance Company | Metadata | Hacking/IT incident | OCR |
| 7 | 2021 | 1,608,549 | Baptist Medical Centre | Baptist Health System. | Patient Metadata | Unauthorized access/disclosure | OCR |
| 8 | 2022 | 1,500,000 | CHN | Community Health Network | Metadata | Using third-party tracking technology | OCR |
| 9 | 2021 | 10,362,296 | Novant Health | Novant Health Organization | EHR | Unauthorized access | OCR |
| Stage I | Stage II | Stage III | ITEMS | CVRE+NE(Draft–I) | CVRE+NE (Draft–II) | CVRE (Draft–III) |
|---|---|---|---|---|---|---|
| 1 | 1 | 1 | Is it highly productive to identify requirements and systematic conceptualization as building blocks for the development of proposed framework on the basis of existing/theoretical work? | 0.3 | 1.0 | 1.0 |
| 2 ** | Does the primary phase of problem-solving activities directly related to conceptualization to identify the significant problem? | 0.4 | - | - | ||
| 2 | 2 | 3 | Whether the ongoing step is responsible for delivering the adequate and appropriate knowledge, qualified to represent perspective of all risk. | 0.2 | 0.5 | 1.0 |
| 3 | 3 | 4 | Is this step in the proposed framework important? | 0.4 | 1.0 | 0.8 |
| 4 | 4 | 5 | Role of recognizing security issues based on healthcare system is a more progressive step for determining various security issues. | 0.3 | 0.8 | 0.8 |
| 5 | 5 | 6 | Whether this thread will ensure to fetch all relevant security threats and risk related to healthcare system through proper research and analysis. | 0.4 | 0.8 | 1.0 |
| 6 * | 7 | Is the recognition of security-related problems based on healthcare services the only crucial phase activity? | 0.3 | −0.1 | - | |
| 6 | 7 | 8 | Is it the mandatory step to ensure daily risk management related to healthcare issues? | 0.3 | 0.5 | 1.0 |
| 7 | 8 | 9 | Is the relation of this step to the proposed framework important?/is this step relevant to the proposed framework? | 0.2 | 1.0 | 0.8 |
| 8 | 9 | 10 | Role of recognizing security issues based on Industry 5.0 is the more progressive step to determine various security issues. | 0.3 | 0.8 | 0.7 |
| 10 * | 11 | Does the recognition of security-related problems based on healthcare Industry 5.0 is the only crucial phase activity? | 0.1 | −0.3 | - | |
| 9 | 11 | 12 | Whether this thread will ensure the discovery of all relevant security threats and risk related to Industry 5.0 through proper research and analysis facilitating services related to personalization. | 0.5 | 0.4 | 0.8 |
| 10 | 12 | 13 | Is it the mandatory step to ensure daily risk management related to Industry 5.0 issues? | 0.0 | 0.8 | 0.8 |
| 14 ** | Will this step determine the connected factors that may be essential for security risk assessment? | 0.3 | - | - | ||
| 11 | 13 | 15 | Is the relation of this step to the proposed framework important? | 0.2 | 1.0 | 0.7 |
| 12 | 14 | 16 | Is this step the most vital part in discovering unknown/known factors for healthcare security based on Industry 5.0? | 0.2 | 0.4 | 0.8 |
| 13 | 15 | 17 | Are the discovered factors responsible for risk assessment based on above scenario? | −0.4 | 0.8 | 0.7 |
| 14 | 16 | 18 | Is the relation of this factorization of attributes to proposed framework important? | 0.4 | 1.0 | 0.7 |
| 15 | 17 | 19 | Does establishing correlation among healthcare security factors with Industry 5.0 an acceptable technique for analysis on the basis of anticipated influence and importance? | 0.0 | 0.8 | 0.8 |
| 16 | 18 | 20 | Is the relation of this step to proposed framework important? | 0.4 | 0.8 | 0.7 |
| 17 | 19 | 21 | Does the security risk assessment have an immediate impact on security goals and costs? | 0.3 | −0.2 | - |
| 22 ** | Should the safety mechanisms, and security technologies be analyzed to trade off security and budget? | 0.0 | - | |||
| 18 | 20 | 23 | Does the quantitative/qualitative security risk assessment proficient to establish impact analysis? | 0.0 | 0.7 | 0.7 |
| 19 | 21 | 24 | Does impact analysis rating have profound significance for security evaluation and performance analysis? | 0.2 | 0.6 | 0.8 |
| 20 | 22 | 25 | Is this step responsible for enlightening the researchers to fill their research gap through these best practices? | 0.2 | −0.6 | - |
| 26 ** | Does it provide a pathway to protect healthcare system from various threats in the application? | 0.2 | - | |||
| 21 | 23 | 27 | Does establishment of risk evaluation and risk acceptability criteria help to trade off security goals and cost? | 0.3 | 0.8 | 0.8 |
| 22 | 24 | 28 | Is the relation of this step to proposed framework important? | 0.0 | 0.8 | 0.8 |
| 23 | 25 | 29 | Does the identification of security risk offer significant reason as the one of the best preventive steps? | 0.2 | −0.1 | - |
| 24 | 26 | 30 | Is this step helpful for ensuring that the established models and metrics accurately measure what they are designed to measure? | −0.1 | 0.4 | 1.0 |
| 25 | 27 | 31 | How important is the relation of this step to the proposed framework. | 0.3 | 0.8 | 0.8 |
| 32 ** | Could the generic guideline in the form of a developer’s manual be made for making an effective assessment mechanism? | 0.2 | - | |||
| 26 | 28 | 33 | Does generic guidelines developed from the above process an effective assessment mechanism for a safe healthcare environment based on Industry 5.0? | 0.3 | 0.8 | 1.0 |
| 27 | 29 | 34 | Is the relation of this step to proposed framework important? | 0.1 | 0.4 | 0.8 |
| 28 | 30 | 35 | Is it highly desirable to provide some suggestive measures to the development teams to revisit the model? | 0.2 | - | |
| 29 | 31 | 36 | Is this step required for recommendations of adequate exposures and return for a more comprehensive assessment based on the preceding phases? | 1.0 | 0.7 | |
| 37 ** | Is it mandatory to revisit to verify its adherence to the set forth objectives to cater to the security needs? | - | 0.0 | |||
| 30 | 32 | 38 ** | Is it fruitful to develop any benchmarking to plan for review? | −0.1 | - | |
| 31 | 33 | 39 | Is it helpful for free assistance mechanism through informal review and revisions at any stage of the perspective framework? | 1.0 | 0.8 | |
| 32 | 34 | 40 | Is the relation of this step to proposed framework important? | 0.8 | 0.8 | |
| 33 | 35 | 41 | Is this integrated framework suitable for healthcare security? | 0.4 | 0.8 | |
| 34 | 36 | 42 | Does the phase of framework accomplish the security risk assessment? | 0.4 | 1.0 | |
| Average CVR Value | 0.26 | 0.60 | 0.89 | |||
| ‘Kaiser-Meyer-Olkin Measure of Sampling Adequacy’ | 0.709 | |
| ‘Bartlett’s Test of Sphericity’ | ‘Approx. Chi-Square’ | 3510.472 |
| ‘Df’ | 210 | |
| ‘Significance’ | 0.000 | |
| Job Profile | N | Percent |
|---|---|---|
| Academics | 69 | 61.1 |
| Research and Industry Expert | 44 | 38.9 |
| Total | 113 | 100 |
| Working Experience | N | Percent |
|---|---|---|
| Less than 05 Years | 25 | 22.1 |
| More than 05 Years | 32 | 28.3 |
| More than 10 Years | 56 | 49.6 |
| Total | 113 | 100 |
| Communalities | |||
|---|---|---|---|
| Items Code | Items | Initial | Extraction |
| P1_a | Is it highly productive to identify requirements and systematic conceptualization | 1.000 | 0.881 |
| P1_b | This step is responsible for delivering adequate and appropriate knowledge about risk | 1.000 | 0.806 |
| P1_c | Is the relation of this step to the proposed framework important? | 1.000 | 0.896 |
| P2_a | The role of recognizing security issues based on healthcare system is the more progressive step for security issues. | 1.000 | 0.906 |
| P2_b | This thread will ensure the fetching of all relevant security threats and risk related to healthcare system. | 1.000 | 0.904 |
| P2_c | Is it the mandatory step to ensure daily risk management related to healthcare issues? | 1.000 | 0.910 |
| P2_d | Is the relation of this step to the proposed framework important? | 1.000 | 0.751 |
| P3_a | Role of recognizing security issues based on Industry 5.0 is a more progressive step | 1.000 | 0.881 |
| P3_b | This thread will ensure to discover all relevant security threats and risk related to Industry 5.0. | 1.000 | 0.925 |
| P3_c | Is it the mandatory step to ensure daily risk management related to Industry 5.0 issues? | 1.000 | 0.875 |
| P3_d | Is the relation of this step to proposed framework important? | 1.000 | 0.961 |
| P4_a | The vital part of discovering unknown/known factors for healthcare security based on Industry 5.0? | 1.000 | 0.921 |
| P4_b | Are the discovered factors responsible for risk assessment based on above scenario? | 1.000 | 0.897 |
| P4_c | Is the relation of this factorization of attributes to proposed framework important? | 1.000 | 0.936 |
| P5_a | Establishing correlation among healthcare security factors with Industry 5.0 | 1.000 | 0.947 |
| P5_b | Is the relation of this step to the proposed framework important? | 1.000 | 0.886 |
| P6_a | Does the quantitative/qualitative security risk assessment proficient for establishing impact analysis? | 1.000 | 0.943 |
| P6_b | Does impact analysis rating have profound significance for security evaluation | 1.000 | 0.912 |
| P6_c | Does establishment of risk evaluation and risk acceptability criteria help to trade off security goals? | 1.000 | 0.941 |
| P6_d | Is the relation of this step to proposed framework important? | 1.000 | 0.836 |
| P7_a | Is this step helpful for ensuring that the established models and metrics are accurately measured? | 1.000 | 0.711 |
| P7_b | How important is the relation of this step to the proposed framework? | 1.000 | 0.491 |
| P8_a | Do generic guidelines developed from above process make for an effective assessment mechanism for Industry 5.0? | 1.000 | 0.961 |
| P8_b | Is the relation of this step to proposed framework important? | 1.000 | 0.900 |
| P9_a | Is this step required for recommendations of adequate exposures? | 1.000 | 0.697 |
| P9_b | Is it helpful for free assistance mechanism through informal review and revisions? | 1.000 | 0.565 |
| P9_c | Is the relation of this step to the proposed framework important? | 1.000 | 0.525 |
| P10_a | Is this integrated framework suitable for healthcare security? | 1.000 | 0.941 |
| P10_b | Does the phase of framework accomplish the security risk assessment? | 1.000 | 0.888 |
Disclaimer/Publisher’s Note: The statements, opinions and data contained in all publications are solely those of the individual author(s) and contributor(s) and not of MDPI and/or the editor(s). MDPI and/or the editor(s) disclaim responsibility for any injury to people or property resulting from any ideas, methods, instructions or products referred to in the content. |
© 2023 by the authors. Licensee MDPI, Basel, Switzerland. This article is an open access article distributed under the terms and conditions of the Creative Commons Attribution (CC BY) license (https://creativecommons.org/licenses/by/4.0/).
Share and Cite
Baz, A.; Ahmed, R.; Khan, S.A.; Kumar, S. Security Risk Assessment Framework for the Healthcare Industry 5.0. Sustainability 2023, 15, 16519. https://doi.org/10.3390/su152316519
Baz A, Ahmed R, Khan SA, Kumar S. Security Risk Assessment Framework for the Healthcare Industry 5.0. Sustainability. 2023; 15(23):16519. https://doi.org/10.3390/su152316519
Chicago/Turabian StyleBaz, Abdullah, Riaz Ahmed, Suhel Ahmad Khan, and Sudesh Kumar. 2023. "Security Risk Assessment Framework for the Healthcare Industry 5.0" Sustainability 15, no. 23: 16519. https://doi.org/10.3390/su152316519
APA StyleBaz, A., Ahmed, R., Khan, S. A., & Kumar, S. (2023). Security Risk Assessment Framework for the Healthcare Industry 5.0. Sustainability, 15(23), 16519. https://doi.org/10.3390/su152316519

