Development and Analysis of Optimization Algorithm for Demand-Side Management Considering Optimal Generation Scheduling and Power Flow in Grid-Connected AC/DC Microgrid
Abstract
:1. Introduction
1.1. Literature Review
1.2. Research Gap and Scope
1.3. Contributions
- This paper provides the complete scheduling of the grid-connected AC/DC microgrid. The response has been evaluated after imposing DR on the system. This is to assess the potential of the generalized normal distribution optimization (GNDO) algorithm in the process of determining the optimal operating cost of AC/DC MG. The GNDO has been used for the first time for the chosen power system-related optimization problem, as it is the most recent optimization algorithm and does not require any tuning parameter. A comparative hourly cost analysis has been conducted for the test system between contemporary algorithms and GNDO. Generation and load demand balance and active power constraints have been maintained for the AC/DC MG test system. A reduction in the amount of CO2, SO2, and NOx emissions has been presented.
- Unlike the existing works, the proposed shared RES investment problem deals with the sharing of PV units. Further, the proposed shared investment problem also deals with the sharing of BESS units. The proposed problem optimally determines the virtual share of every residential consumer in the co-owned BESS units and PV units.
- This paper demonstrates a day-ahead DSM through the use of the load shifting technique and presents the novel GNDO algorithm, as an efficient tool for optimizing cost in the context of demand management on SG framework. The efficacy of the proposed GNDO algorithm is demonstrated in comparison to contemporaries for the present application.
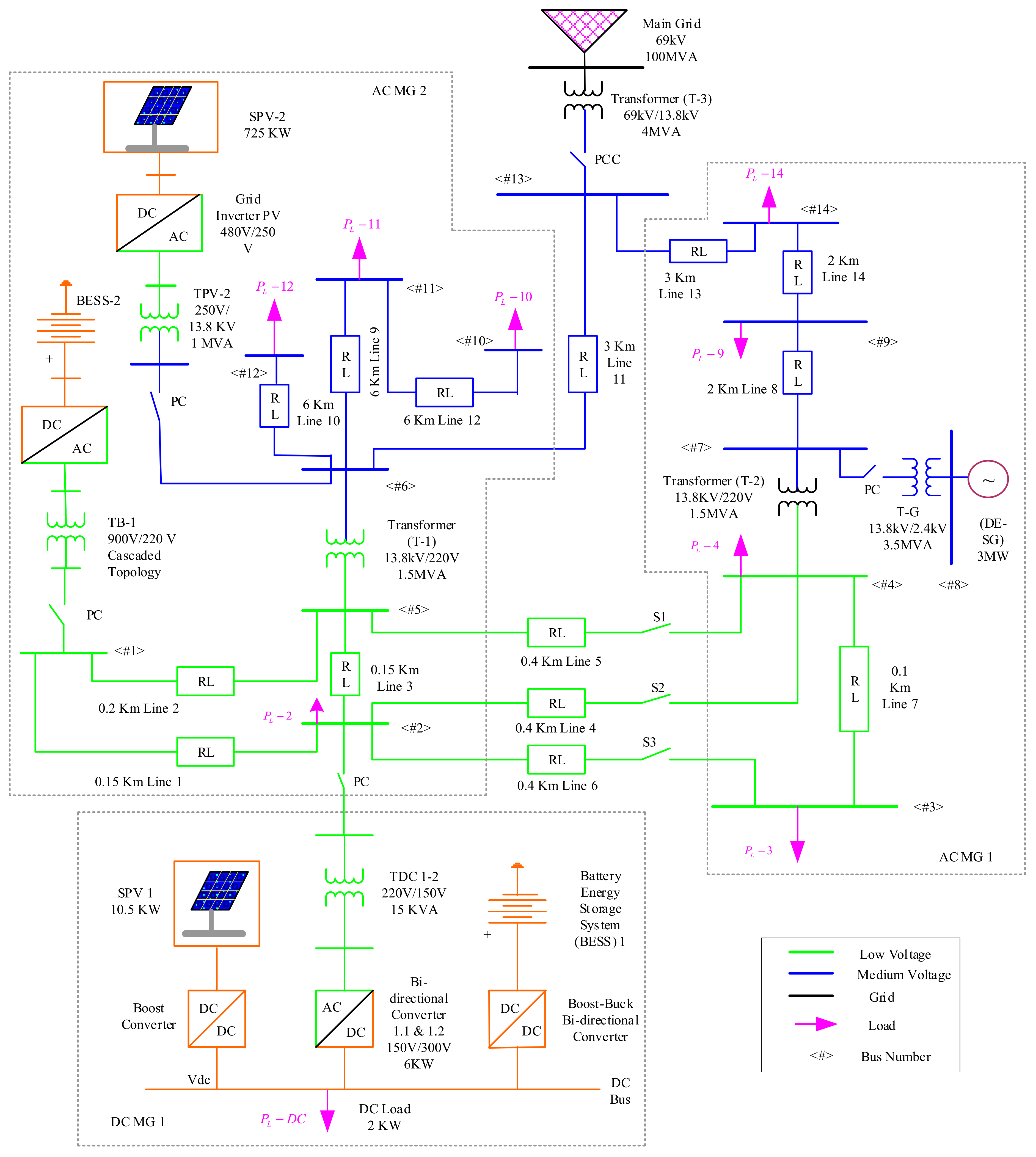
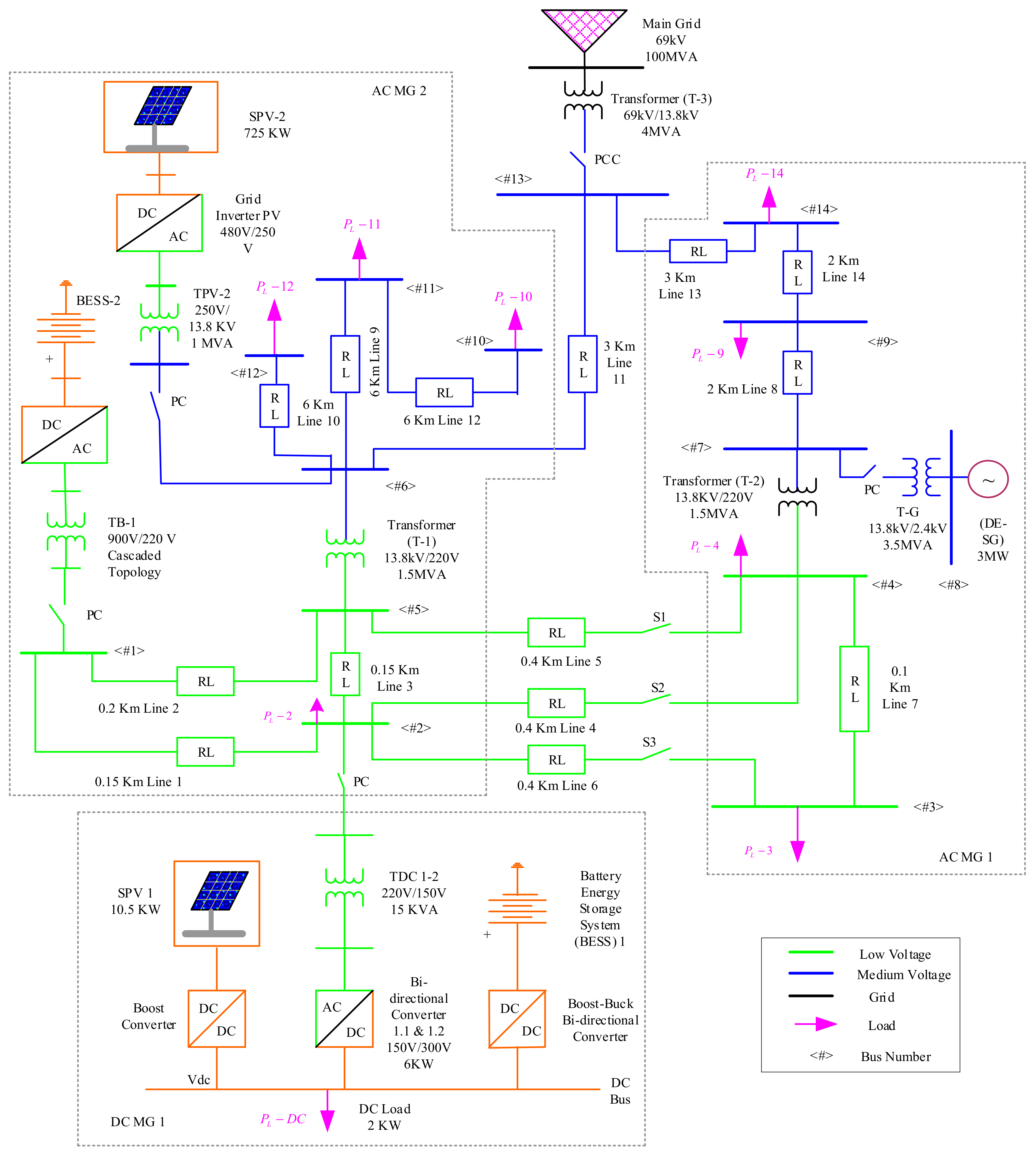
2. AC/DC Microgrid System
2.1. Battery Energy Storage System
2.2. Diesel Generator
2.3. Solar PV System
3. Demand-Side Management Modelling
4. Problem Formulation
4.1. Total Emission Minimization Model
4.2. Total Active Power Losses Minimization
4.3. Voltage Deviation Minimization
4.4. Security Constraints
- (a)
- Generators limits
- (b)
- Security limits
- (c)
- Constraints of DSM
- (d)
- Constraints of BESS
- (e)
- Constraints of Operating Reserve
5. GNDO Algorithm
6. Simulation Results Case Studies
- Case 1:
- Minimization optimum total operational cost without DSM.
- Case 2:
- Minimization emissions without DSM.
- Case 3:
- Minimization active power loss without DSM.
- Case 4:
- Minimization of voltage deviation (VD) without DSM.
- Case 5:
- Minimization optimum total operational cost with DSM.
- Case 6:
- Minimization emissions with DSM.
- Case 7:
- Minimization active power loss with DSM.
- Case 8:
- Minimization of voltage deviation (VD) with DSM.
6.1. Implementation of GNDO Algorithm for DSM of Grid-Connected AC/DC MGs
- Step 1
- All the essential input data (viz., power demand, upper and lower limits of power from DE-SG, SPV, BESS and utility, hourly output power of DE-SG, SPV and BESS, forecasted market price for an entire day, hourly bid for utility, and bids for SPV, BESS, and DE-SG) have been defined. Set the initial parameters of solution algorithm.
- Step 2
- The initial population (i.e., power generated by each element), adhering with (50)–(55) and (62)–(68) has been initialized.
- Step 3
- Generated power has been scheduled such that all security constraints are satisfied.
- Step 4
- The cost of the generated power of utility and each DE-SG, SPV, and BESS unit has been calculated using (22)–(37); emission is calculated using (46); total active power loss is calculated using (47); and voltage deviation is calculated using (48).
- Step 5
- Establish and set the iteration .
- Step 6
- The best solutions from the population for each element have been selected. Obtained new results utilizing (77)–(79) and rectify the results.
- Step 7
- Check whether the updated values of the specific problem are within the operating limits or not. The independent variable is considered as the least value, if it less with respect to the minimum value, and make it equivalent to the highest value if it is more than the most significant value.
- Step 8
- The best solution is found after updating of each solution for maximum number of iterations.
- Step 9
- The total cost and emission values are calculated using the final power output values. Stop the algorithm if . The final optimal solution will be reached.
6.2. Results Discussions
7. Concluding Remarks
Funding
Institutional Review Board Statement
Informed Consent Statement
Data Availability Statement
Acknowledgments
Conflicts of Interest
Abbreviation
| AC | Alternating current | MG | Microgrid |
| BESS | Battery energy storage systems | MW | Mega watt |
| CO2 | Carbon dioxide | OCF | Overestimation cost function |
| DC | Direct current | Probability density function | |
| DCF | Direct cost function | PSO | Particle swarm optimization |
| DE | Diesel generator | RES | Renewable energy sources |
| DG | Distributed generation | SoS | State of charge |
| DoD | Depth of discharge | SPV | Solar photovoltaic |
| DR | Demand response | TLBO | Teaching–learning-based optimization |
| DSM | Demand-side management | UCF | Underestimation cost function |
| GA | Genetic algorithm | VD | Voltage deviation |
| GNDO | Generalized normal distribution optimization | WOA | Whale optimization algorithm |
| GWO | Grey wolf optimization |
References
- Kanakadhurga, D.; Prabaharan, N. Demand side management in microgrid: A critical review of key issues and recent trends. Renew. Sustain. Energy Rev. 2021, 156, 111915. [Google Scholar] [CrossRef]
- Jirdehi, M.A.; Tabar, V.S.; Ghassemzadeh, S.; Tohidi, S. Different aspects of microgrid management: A comprehensive review. J. Energy Storage 2020, 30, 101457. [Google Scholar] [CrossRef]
- Roslan, M.; Hannan, M.; Ker, P.J.; Uddin, M. Microgrid control methods toward achieving sustainable energy management. Appl. Energy 2019, 240, 583–607. [Google Scholar] [CrossRef]
- Nosratabadi, S.M.; Hooshmand, R.A.; Gholipour, E. A comprehensive review on microgrid and virtual power plant concepts employed for distributed energy resources scheduling in power systems. Renew. Sustain. Energy Rev. 2017, 67, 341–363. [Google Scholar] [CrossRef]
- Emmanuel, M.; Rayudu, R. Evolution of dispatchable photovoltaic system integration with the electric power network for smart grid applications: A review. Renew. Sustain. Energy Rev. 2017, 67, 207–224. [Google Scholar] [CrossRef]
- Kumar, K.P.; Saravanan, B. Recent techniques to model uncertainties in power generation from renewable energy sources and loads in microgrids–A review. Renew. Sustain. Energy Rev. 2017, 71, 348–358. [Google Scholar] [CrossRef]
- Adefarati, T.; Bansal, R. Reliability, economic and environmental analysis of a microgrid system in the presence of renewable energy resources. Appl. Energy 2019, 236, 1089–1114. [Google Scholar] [CrossRef]
- Harsh, P.; Das, D. Optimal coordination strategy of demand response and electric vehicle aggregators for the energy management of reconfigured grid-connected microgrid. Renew. Sustain. Energy Rev. 2022, 160, 112251. [Google Scholar] [CrossRef]
- Ahmad, S.; Alhaisoni, M.M.; Naeem, M.; Ahmad, A.; Altaf, M. Joint energy management and energy trading in residential microgrid system. IEEE Access 2020, 8, 123334–123346. [Google Scholar] [CrossRef]
- Choudhury, S. Review of energy storage system technologies integration to microgrid: Types, control strategies, issues, and future prospects. J. Energy Storage 2022, 48, 103966. [Google Scholar] [CrossRef]
- Taha, H.A.; Alham, M.H.; Youssef, H.K. Multi-objective optimization for optimal allocation and coordination of wind and solar DGs, BESSs and capacitors in presence of demand response. IEEE Access 2022, 10, 16225–16241. [Google Scholar] [CrossRef]
- Eseye, A.T.; Lehtonen, M.; Tukia, T.; Uimonen, S.; Millar, R.J. Optimal energy trading for renewable energy integrated building microgrids containing electric vehicles and energy storage batteries. IEEE Access 2019, 7, 106092–106101. [Google Scholar] [CrossRef]
- Contreras-Ocana, J.E.; Singh, A.; Bésanger, Y.; Wurtz, F. Integrated planning of a solar/storage collective. IEEE Trans. Smart Grid 2020, 12, 215–226. [Google Scholar] [CrossRef]
- Aghamohamadi, M.; Mahmoudi, A.; Haque, M.H. Two-stage robust sizing and operation co-optimization for residential pv–battery systems considering the uncertainty of pv generation and load. IEEE Trans. Ind. Inform. 2020, 17, 1005–1017. [Google Scholar] [CrossRef]
- Fleischhacker, A.; Auer, H.; Lettner, G.; Botterud, A. Sharing solar pv and energy storage in apartment buildings: Resource allocation and pricing. IEEE Trans. Smart Grid 2018, 10, 3963–3973. [Google Scholar] [CrossRef]
- Alhaider, M.; Fan, L. Planning energy storage and photovoltaic panels for demand response with heating ventilation and air conditioning systems. IEEE Trans. Ind. Inform. 2018, 14, 5029–5037. [Google Scholar] [CrossRef]
- Wang, H.; Huang, J. Cooperative planning of renewable generations for interconnected microgrids. IEEE Trans. Smart Grid 2016, 7, 2486–2496. [Google Scholar] [CrossRef]
- Chakraborty, P.; Baeyens, E.; Poolla, K.; Khargonekar, P.P.; Varaiya, P. Sharing storage in a smart grid: A coalitional game approach. IEEE Trans. Smart Grid 2018, 10, 4379–4390. [Google Scholar] [CrossRef]
- Alharbi, H.; Bhattacharya, K. Stochastic optimal planning of battery energy storage systems for isolated Microgrids. IEEE Trans. Sustain. Energy 2017, 9, 211–227. [Google Scholar] [CrossRef]
- Huang, W.; Zhang, N.; Yang, J.; Wang, Y.; Kang, C. Optimal configuration planning of multi energy systems considering distributed renewable energy. IEEE Trans. Smart Grid 2019, 10, 1452–1464. [Google Scholar] [CrossRef]
- Wang, H.; Huang, J. Joint investment and operation of microgrid. IEEE Trans. Smart Grid 2015, 8, 833–845. [Google Scholar] [CrossRef]
- Yang, X.; Zhang, Y.; He, H.; Ren, S.; Weng, G. Real-time demand side management for a microgrid considering uncertainties. IEEE Trans. Smart Grid 2018, 10, 3401–3414. [Google Scholar] [CrossRef]
- Wang, S.; Gangammanavar, H.; Ekşioğlu, S.D.; Mason, S.J. Stochastic optimization for energy management in power systems with multiple microgrids. IEEE Trans. Smart Grid 2017, 10, 1068–1079. [Google Scholar] [CrossRef]
- Leithon, J.; Sun, S.; Lim, T.J. Demand response and renewable energy management using continuous-time optimization. IEEE Trans. Sustain. Energy 2017, 9, 991–1000. [Google Scholar] [CrossRef]
- Zhang, C.; Xu, Y.; Dong, Z.Y.; Wong, K.P. Robust coordination of distributed generation and price-based demand response in microgrids. IEEE Trans. Smart Grid 2017, 9, 4236–4247. [Google Scholar] [CrossRef]
- Hosseini, S.M.; Carli, R.; Dotoli, M. Robust optimal energy management of a residential microgrid under uncertainties on demand and renewable power generation. IEEE Trans. Autom. Sci. Eng. 2020, 18, 618–637. [Google Scholar] [CrossRef]
- Patterson, M.; Macia, N.F.; Kannan, A.M. Hybrid microgrid model based on solar photovoltaic battery fuel cell system for intermittent load applications. IEEE Trans. Energy Convers. 2014, 30, 359–366. [Google Scholar] [CrossRef]
- Morsali, R.; Kowalczyk, R. Demand response based day-ahead scheduling and battery sizing in microgrid management in rural areas. IET Renew. Power Gener. 2018, 12, 1651–1658. [Google Scholar] [CrossRef]
- Atia, R.; Yamada, N. Sizing and Analysis of Renewable Energy and Battery Systems in Residential Microgrids. IEEE Trans. Smart Grid 2016, 7, 1204–1213. [Google Scholar] [CrossRef]
- Kinhekar, N.; Padhy, N.P.; Li, F.; Gupta, H.O. Utility oriented demand side management using smart AC and micro DC grid cooperative. IEEE Trans. Power Syst. 2015, 31, 1151–1160. [Google Scholar] [CrossRef]
- Gangatharan, S.; Rengasamy, M.; Elavarasan, R.M.; Das, N.; Hossain, E.; Sundaram, V.M. A Novel Battery Supported Energy Management System for the Effective Handling of Feeble Power in Hybrid Microgrid Environment. IEEE Access 2020, 8, 217391–217415. [Google Scholar] [CrossRef]
- Hannan, M.A.; Abdolrasol, M.G.; Faisal, M.; Ker, P.J.; Begum, R.A.; Hussain, A. Binary Particle Swarm Optimization for Scheduling MG Integrated Virtual Power Plant Toward Energy Saving. IEEE Access 2019, 7, 107937–107951. [Google Scholar] [CrossRef]
- Imran, A.; Hafeez, G.; Khan, I.; Usman, M.; Shafiq, Z.; Qazi, A.B.; Thoben, K.D. Heuristic-Based Programable Controller for Efficient Energy Management under Renewable Energy Sources and Energy Storage System in Smart Grid. IEEE Access 2020, 8, 139587–139608. [Google Scholar] [CrossRef]
- Rehman, A.U.; Wadud, Z.; Elavarasan, R.M.; Hafeez, G.; Khan, I.; Shafiq, Z.; Alhelou, H.H. An Optimal Power Usage Scheduling in Smart Grid Integrated with Renewable Energy Sources for Energy Management. IEEE Access 2021, 9, 84619–84638. [Google Scholar] [CrossRef]
- Ortiz, L.; Orizondo, R.; Águila, A.; González, J.W.; López, G.J.; Isaac, I. Hybrid AC/DC microgrid test system simulation: Grid-connected mode. Heliyon 2019, 5, e02862. [Google Scholar] [CrossRef]
- 2030.7-2017; IEEE Standard for the Specification of Microgrid Controllers. IEEE Standards Association: Piscataway, NJ, USA, 2017; pp. 1–43. [CrossRef]
- Baca, M.J. Microgrid Preliminary Design Specification; Sandia National Laboratories: Albuquerque, NM, USA; Livermore, CA, USA, 2018. [Google Scholar]
- Wang, D.; Zhang, D.; Meng, Y.; Yang, M.; Meng, C.; Han, X.; Li, Q. AK-HRn: An efficient adaptive Kriging-based n-hypersphere rings method for structural reliability analysis. Comput. Methods Appl. Mech. Eng. 2023, 414, 116146. [Google Scholar] [CrossRef]
- Tang, J.; Li, X.; Fu, C.; Liu, H.; Cao, L.; Mi, C.; Yao, Q. A possibility-based solution framework for interval uncertainty-based design optimization. Appl. Math. Model. 2024, 125, 649–667. [Google Scholar] [CrossRef]
- Tang, J.; Fu, C.; Mi, C.; Liu, H. An interval sequential linear programming for nonlinear robust optimization problems. Appl. Math. Model. 2022, 107, 256–274. [Google Scholar] [CrossRef]
- Koutroulis, E.; Kolokotsa, D.; Potirakis, A.; Kalaitzakis, K. Methodology for optimal sizing of stand-alone photovoltaic/wind-generator systems using genetic algorithms. Sol. Energy 2006, 80, 1072–1088. [Google Scholar] [CrossRef]
- Rohani, G.; Nour, M. Techno-economical analysis of stand-alone hybrid renewable power system for Ras Musherib in United Arab Emirates. Energy 2014, 64, 828–841. [Google Scholar] [CrossRef]
- Das, B.K.; Hoque, N.; Mandal, S.; Pal, T.K.; Raihan, M.A. A techno-economic feasibility of a stand-alone hybrid power generation for remote area application in Bangladesh. Energy 2017, 134, 775–788. [Google Scholar] [CrossRef]
- Sikder, P.S.; Pal, N. Modeling of an intelligent battery controller for standalone solar-wind hybrid distributed generation system. J. King Saud Univ. Eng. Sci. 2020, 32, 368–377. [Google Scholar] [CrossRef]
- Tremblay, O.; Dessaint, L.A. Experimental validation of a battery dynamic model for EV applications. World Electr. Veh. J. 2009, 3, 289–298. [Google Scholar] [CrossRef]
- Abdelaziz Mohamed, M.; Eltamaly, A.M.; Abdelaziz Mohamed, M.; Eltamaly, A.M. A PSO-based smart grid application for optimum sizing of hybrid renewable energy systems. Model. Simul. Smart Grid Integr. Hybrid Renew. Energy Syst. 2018, 121, 53–60. [Google Scholar]
- Thimmapuram, P.R.; Kim, J.; Botterud, A.; Nam, Y. Modeling and simulation of price elasticity of demand using an agent-based model. In Proceedings of the 2010 Innovative Smart Grid Technologies (ISGT), Gaithersburg, MD, USA, 19–21 January 2010; pp. 1–8. [Google Scholar]
- Drouilhet, S.; Johnson, B.L. Battery Life Prediction Method for Hybrid Power Applications. In Proceedings of the 35th Aerospace Sciences Meeting and Exhibit, Reno, NV, USA, 6–10 January 1997. [Google Scholar]
- Duman, S.; Li, J.; Wu, L. AC optimal power flow with thermal–wind–solar–tidal systems using the symbiotic organisms search algorithm. IET Renew. Power Gener. 2021, 15, 278–296. [Google Scholar] [CrossRef]
- Ida Evangeline, S.; Rathika, P. Real-time optimal power flow solution for wind farm integrated power system using evolutionary programming algorithm. Int. J. Environ. Sci. Technol. 2021, 18, 1893–1910. [Google Scholar] [CrossRef]
- Seguro, J.V.; Lambert, T.W. Modern estimation of the parameters of the Weibull wind speed distribution for wind energy analysis. J. Wind Eng. Ind. Aerodyn. 2000, 85, 75–84. [Google Scholar] [CrossRef]
- Hsu, H.P. Schaum’s Outline of Probability, Random Variables, and Random Processes, 4th ed.; McGraw-Hill Education: New York, NY, USA, 2020. [Google Scholar]
- Zhang, Y.; Jin, Z.; Mirjalili, S. Generalized normal distribution optimization and its applications in parameter extraction of photovoltaic models. Energy Convers. Manag. 2020, 224, 113301. [Google Scholar] [CrossRef]
- Vega-Forero, J.A.; Ramos-Castellanos, J.S.; Montoya, O.D. Application of the Generalized Normal Distribution Optimization Algorithm to the Optimal Selection of Conductors in Three-Phase Asymmetric Distribution Networks. Energies 2023, 16, 1311. [Google Scholar] [CrossRef]








| Line No. | Length (km) | ||
|---|---|---|---|
| @1 | 0.0297 | 0.016335 | 0.15 |
| @2 | 0.0396 | 0.02178 | 0.2 |
| @3 | 0.0297 | 0.016335 | 0.15 |
| @4 | 0.0792 | 0.04356 | 0.4 |
| @5 | 0.0792 | 0.04356 | 0.4 |
| @6 | 0.0792 | 0.04356 | 0.4 |
| @7 | 0.0198 | 0.01089 | 0.1 |
| @8 | 0.788 | 0.2336 | 2 |
| @9 | 2.364 | 0.7008 | 6 |
| @10 | 2.364 | 0.7008 | 6 |
| @11 | 1.182 | 0.3504 | 3 |
| @12 | 2.364 | 0.7008 | 6 |
| @13 | 1.182 | 0.3504 | 3 |
| @14 | 0.788 | 0.2336 | 2 |
| Bus No. | Load | High Load (kVA) | Low Load (kVA) | Power Factor |
|---|---|---|---|---|
| <#2> | 40 | 12 | 0.9 | |
| <#3> | 30 | 9 | 0.85 | |
| <#4> | 50 | 15 | 0.9 | |
| <#10> | 320 | 96 | 1 | |
| <#11> | 800 | 240 | 0.8 | |
| <#12> | 400 | 120 | 0.8 | |
| <#13> | 800 | 240 | 0.8 | |
| <#15> | 1600 | 480 | 0.8 | |
| <DC> | 2 | 0.6 | 0.9 |
| Unit | No. of Battery | Initial SOC (%) | Rated Capacity (Ah) | Nominal Voltage (V) |
|---|---|---|---|---|
| BESS-1 | 1 | 80 | 800 | 120 |
| BESS-2 | 3 | 80 | 1.5 | 650 |
| Array of Solar Unit | Current at MPPT (Amp) | Maximum Power (W) | Open Circuit Voltage (V) | Short- Circuit Current (Amp) | Voltage at MPPT (V) | (KW) | (KW) | Log-Normal PDF | Cost Coefficients | |||||
|---|---|---|---|---|---|---|---|---|---|---|---|---|---|---|
| SPV-1 (42 modules) | 8.59 | 251 | 37.6 | 8.59 | 30.6 | 180 | 800 | 10.5 | 0 | 5.2 | 0.6 | 1.70 | 1.65 | 3 |
| SPV-2 (1750 modules) | 5.59 | 414.9 | 85.4 | 6.11 | 71.9 | 185 | 1000 | 725 | 0 | 5.1 | 0.6 | 1.70 | 1.65 | 3 |
| AC/DC MG Units | Power (KW) | Cost | ||||||
|---|---|---|---|---|---|---|---|---|
| Bidding (USD/kW h) | O&M (USD/kW h) | Start-Up/ Shut-Down (USD) | CO2 | SO2 | NOX | |||
| SPV-1 | 0 | 10.5 | 2.584 | 0.2082 | 0 | - | - | - |
| SPV-2 | 0 | 725 | 2.584 | 0.2082 | 0 | - | - | - |
| DE-SG | 500 | 3000 | 0.457 | 0.04476 | 0.96 | 1.96211 | 0.0397 | 0.89 |
| BESS-1 | −96 | 96 | 0.380 | - | - | 0.02204 | 0.0002 | 0.001 |
| BESS-2 | −30 | 30 | 0.380 | - | - | 0.03114 | 0.0012 | 0.002 |
| Utility | −1000 | 2000 | - | - | - | 2.09 | 0.0011 | 0.0046 |
| Control Variables | Bus | Before DSM | After DSM | ||||||||
|---|---|---|---|---|---|---|---|---|---|---|---|
| Case 1 | Case 2 | Case 3 | Case 4 | Case 5 | Case 6 | Case 7 | Case 8 | ||||
| 8 | 500 | 3000 | 2645.42 | 2580.82 | 2610.24 | 2652.05 | 2701.64 | 2684.32 | 2692.45 | 2678.25 | |
| DC | 0 | 10.5 | 9.24 | 8.94 | 9.54 | 9.34 | 9.81 | 9.48 | 9.56 | 9.89 | |
| 6 | 0 | 725 | 650.64 | 700.04 | 715.36 | 718.64 | 718.6 | 705.14 | 703.54 | 719.36 | |
| DC | −96 | 96 | 15.65 | 55.44 | 38.61 | 75.55 | 82.45 | 78.36 | 56.97 | 82.64 | |
| 1 | −30 | 30 | 6.55 | 23.65 | 18.22 | 19.37 | 23.56 | 26.55 | 19.83 | 17.54 | |
| 1 | 0.95 | 1.05 | 1.0447 | 1.0324 | 1.0314 | 1.0435 | 1.0475 | 1.0415 | 1.0428 | 1.0463 | |
| 6 | 0.95 | 1.05 | 1.0436 | 1.0385 | 1.0345 | 1.0448 | 1.0414 | 1.0409 | 1.0415 | 1.0405 | |
| 8 | 0.95 | 1.05 | 1.0406 | 1.0345 | 1.0322 | 1.0478 | 1.0399 | 1.0313 | 1.0325 | 1.0301 | |
| DC | 0.95 | 1.05 | 1.0305 | 1.0309 | 1.0455 | 1.0495 | 1.0301 | 1.0358 | 1.0472 | 1.0436 | |
| 2 | 0.95 | 1.05 | 1.0128 | 1.0192 | 1.0167 | 1.0255 | 1.0474 | 1.0333 | 1.0092 | 1.0082 | |
| 3 | 0.95 | 1.05 | 1.0299 | 1.0204 | 1.0205 | 1.0289 | 1.0487 | 1.0404 | 1.0244 | 1.0285 | |
| 4 | 0.95 | 1.05 | 0.9884 | 0.9814 | 0.9875 | 0.9836 | 0.9873 | 0.9873 | 0.9814 | 0.9802 | |
| 5 | 0.95 | 1.05 | 0.9954 | 0.9968 | 0.9974 | 0.9901 | 0.9934 | 0.9992 | 0.9954 | 0.9983 | |
| 7 | 0.95 | 1.05 | 0.9721 | 0.9745 | 0.9772 | 0.9705 | 0.9701 | 0.9707 | 0.9788 | 0.9795 | |
| 9 | 0.95 | 1.05 | 0.9635 | 0.9602 | 0.9604 | 0.9677 | 0.9641 | 0.9685 | 0.9625 | 0.9678 | |
| 10 | 0.95 | 1.05 | 1.0145 | 1.0148 | 1.0104 | 1.0165 | 1.0136 | 1.0193 | 1.01464 | 1.0147 | |
| 11 | 0.95 | 1.05 | 1.0254 | 1.0258 | 1.0251 | 1.0277 | 1.0285 | 1.0252 | 1.0278 | 1.0274 | |
| 12 | 0.95 | 1.05 | 0.9656 | 0.9647 | 0.9679 | 0.9693 | 0.9656 | 0.9654 | 0.9673 | 0.9637 | |
| 13 | 0.95 | 1.05 | 0.9861 | 0.9817 | 0.9813 | 0.9838 | 0.9833 | 0.9846 | 0.9871 | 0.9818 | |
| 14 | 0.95 | 1.05 | 0.9733 | 0.9746 | 0.9777 | 0.9748 | 0.9768 | 0.9722 | 0.9741 | 0.9711 | |
| − | 0.9 | 1.1 | 1.0586 | 1.0187 | 1.098 | 1.0662 | 1.0164 | 1.0494 | 1.0999 | 1.0568 | |
| − | 0.9 | 1.1 | 0.9378 | 0.9926 | 0.9111 | 0.9308 | 0.9 | 0.9844 | 0.9608 | 0.9354 | |
| − | 0.9 | 1.1 | 0.9725 | 0.9752 | 0.9905 | 0.9713 | 0.9626 | 0.9983 | 0.9409 | 0.9715 | |
| − | 0.9 | 1.1 | 0.9682 | 0.9667 | 0.9693 | 0.9661 | 0.9538 | 0.9515 | 0.977 | 0.9803 | |
| − | 0.9 | 1.1 | 1.0124 | 1.0177 | 1.0145 | 1.0154 | 1.0172 | 1.0112 | 1.0135 | 1.0182 | |
| − | 0.9 | 1.1 | 0.9836 | 0.9854 | 0.9874 | 0.9814 | 0.9811 | 0.9898 | 0.9856 | 0.9871 | |
| 8 | −50 | 125 | 35.3254 | −11.8425 | −4.3058 | −8.3256 | −9.5428 | −18.2546 | 10.5145 | −2.5425 | |
| DC | −12 | 18 | 4.6365 | 9.6548 | 5.2564 | 0.4582 | 14.2563 | −15.5236 | −5.2545 | 1.3656 | |
| 6 | −20 | 20 | 11.0563 | 19.3659 | 14.6956 | 11.6392 | 10.6523 | 16.3568 | 2.2598 | 4.3258 | |
| DC | −18 | 24 | 14.5689 | 21.2568 | 21.8936 | 21.0509 | 19.5306 | 20.2563 | 20.4562 | 21.8065 | |
| 1 | −16 | 22 | 14.2583 | 14.3705 | 14.3659 | 14.8023 | 14.7361 | 14.9836 | 14.9208 | 14.7308 | |
| 3.5654 | 4.3645 | 5.6542 | 4.3329 | 2.0441 | 3.6658 | 2.3699 | 2.1148 | ||||
| 4.6354 | 2.2254 | 3.3648 | 3.3114 | 1.6654 | 1.2544 | 1.6664 | 1.3532 | ||||
| 0.3255 | 0.3625 | 0.3121 | 0.3623 | 0.2154 | 0.2021 | 0.1454 | 0.1935 | ||||
| 0.4285 | 0.4255 | 0.4275 | 0.2145 | 0.3524 | 0.2458 | 0.3588 | 0.1214 | ||||
| Hour | Generation (KW) | Load (KW) | Operating Cost | Power Loss | Emission | |||||
|---|---|---|---|---|---|---|---|---|---|---|
| 1 | 2590.02 | 0 | 0 | −25.79 | −5.57 | 291.34 | 2850 | 5.25 | 0.51 | 3.64 |
| 2 | 2610.84 | 0 | 0 | 5.44 | −10.52 | 294.24 | 2900 | 5.34 | 0.53 | 4.86 |
| 3 | 2680.17 | 0 | 0 | 7.52 | −12.61 | 444.92 | 3120 | 7.62 | 0.45 | 3.51 |
| 4 | 2800.48 | 0 | 0 | 12.62 | 2.11 | 384.79 | 3200 | 5.32 | 0.57 | 4.36 |
| 5 | 2750.61 | 0 | 0 | 18.48 | 1.51 | 569.4 | 3340 | 5.31 | 0.52 | 3.22 |
| 6 | 2610.08 | 0 | 0 | 30.75 | 2.35 | 856.82 | 3500 | 5.39 | 0.66 | 2.55 |
| 7 | 2540.64 | 2.54 | 510.19 | −45.58 | 5.31 | 686.9 | 3700 | 5.07 | 0.58 | 2.69 |
| 8 | 2645.49 | 4.58 | 570.55 | −48.05 | 7.24 | 680.19 | 3860 | 5.49 | 0.53 | 2.69 |
| 9 | 2645.82 | 8.94 | 700.04 | 15.44 | 3.65 | 516.11 | 3890 | 5.67 | 0.54 | 2.46 |
| 10 | 2645.07 | 9.54 | 709.68 | 10.53 | −15.37 | 560.55 | 3920 | 4.65 | 0.42 | 2.38 |
| 11 | 2645.31 | 9.51 | 710.48 | 12.85 | 10.12 | 611.73 | 4000 | 4.38 | 0.33 | 2.68 |
| 12 | 2645.08 | 10.09 | 712.64 | 17.54 | −20.39 | 485.04 | 3850 | 4.69 | 0.57 | 2.36 |
| 13 | 2645.82 | 9.64 | 720.48 | 30.25 | 12.34 | 331.47 | 3750 | 4.31 | 0.64 | 2.44 |
| 14 | 2645.74 | 9.52 | 680.68 | −50.24 | −21.58 | 555.88 | 3820 | 4.58 | 0.69 | 2.65 |
| 15 | 2645.04 | 9.38 | 610.5 | −20.43 | 1.46 | 654.05 | 3900 | 4.36 | 0.86 | 2.77 |
| 16 | 2645.42 | 9.24 | 650.64 | 15.65 | 6.55 | 672.5 | 4000 | 4.85 | 0.45 | 2.97 |
| 17 | 2645.36 | 8.52 | 680.45 | 18.75 | 7.27 | 689.65 | 4050 | 4.39 | 0.57 | 2.02 |
| 18 | 2645.71 | 5.36 | 540.85 | 22.51 | 11.42 | 774.15 | 4000 | 5.36 | 0.54 | 2.07 |
| 19 | 2645.64 | 3.24 | 520.22 | 25.05 | 1.25 | 904.6 | 4100 | 5.77 | 0.55 | 2.33 |
| 20 | 2645.47 | 0 | 0 | 1.82 | 2.51 | 1500.2 | 4150 | 8.96 | 0.31 | 2.78 |
| 21 | 2645.58 | 0 | 0 | 0.57 | −1.53 | 1555.38 | 4200 | 9.87 | 0.68 | 3.22 |
| 22 | 2645.87 | 0 | 0 | 20.58 | −2.51 | 1446.06 | 4110 | 6.08 | 0.33 | 3.36 |
| 23 | 2645.32 | 0 | 0 | −30.54 | 6.05 | 879.17 | 3500 | 5.12 | 0.45 | 3.35 |
| 24 | 2645.67 | 0 | 0 | −45.72 | 8.94 | 641.11 | 3250 | 5.33 | 0.55 | 3.08 |
| Total Operating Cost | 133.16 | |||||||||
| Total Power Loss | 12.83 | |||||||||
| Emission | 70.44 | |||||||||
| Hour | Generation (KW) | Load (KW) | Operating Cost | Power Loss | Emission | |||||
|---|---|---|---|---|---|---|---|---|---|---|
| 1 | 2000.34 | 0 | 0 | 4.25 | −2.64 | −201.95 | 1800 | 2.36 | 0.35 | 1.33 |
| 2 | 2012.45 | 0 | 0 | 8.24 | −6.47 | −164.22 | 1850 | 2.35 | 0.15 | 1.82 |
| 3 | 2014.25 | 0 | 0 | 10.31 | 0.58 | −125.14 | 1900 | 2.65 | 0.42 | 1.79 |
| 4 | 2001.21 | 0 | 0 | 11.2 | 1.25 | −43.66 | 1970 | 3.36 | 0.35 | 1.33 |
| 5 | 1940.36 | 0 | 0 | −32.55 | 2.14 | 90.05 | 2000 | 3.25 | 0.14 | 1.44 |
| 6 | 1972.31 | 0 | 0 | −41.36 | 3.24 | 105.81 | 2040 | 3.38 | 0.42 | 1.39 |
| 7 | 1835.64 | 2.67 | 505.64 | 0.58 | 4.01 | −248.54 | 2100 | 2.81 | 0.15 | 1.32 |
| 8 | 1844.67 | 5.11 | 610.47 | 8.24 | 2.35 | −390.84 | 2080 | 2.65 | 0.21 | 1.77 |
| 9 | 1842.31 | 9.45 | 712.64 | 7.31 | 6.89 | −438.6 | 2140 | 2.65 | 0.28 | 1.96 |
| 10 | 1874.36 | 10.44 | 714.68 | 9.15 | 4.55 | −553.18 | 2060 | 2.31 | 0.29 | 1.89 |
| 11 | 1842.31 | 10.15 | 718.08 | 1.34 | −10.35 | −461.53 | 2100 | 2.45 | 0.31 | 1.05 |
| 12 | 1842.05 | 10.22 | 720.34 | 9.68 | −11.36 | −540.93 | 2030 | 2.15 | 0.33 | 1.33 |
| 13 | 1873.31 | 9.89 | 721.15 | 8.36 | 5.02 | −507.73 | 2110 | 2.14 | 0.35 | 1.56 |
| 14 | 1745.68 | 9.78 | 702.99 | 15.64 | 6.41 | −330.5 | 2150 | 2.46 | 0.13 | 1.46 |
| 15 | 1764.69 | 9.75 | 641.07 | −7.36 | 5.67 | −333.82 | 2080 | 2.44 | 0.12 | 1.42 |
| 16 | 1758.77 | 9.67 | 603.54 | 14.69 | 2.33 | −249 | 2140 | 2.18 | 0.45 | 1.65 |
| 17 | 1712.08 | 8.47 | 601.55 | 17.69 | 3.45 | −163.24 | 2180 | 2.67 | 0.16 | 1.01 |
| 18 | 1783.49 | 5.68 | 580.33 | 8.9 | −8.6 | −219.8 | 2150 | 3.16 | 0.42 | 1.39 |
| 19 | 1794.28 | 4.08 | 512.34 | 2.84 | 1.25 | −194.79 | 2120 | 3.11 | 0.16 | 1.25 |
| 20 | 1800.25 | 0 | 0 | 3.06 | 2.51 | 374.18 | 2180 | 3.08 | 0.14 | 1.36 |
| 21 | 1802.45 | 0 | 0 | 4.61 | 2.55 | 400.39 | 2210 | 4.13 | 0.34 | 1.13 |
| 22 | 1842.36 | 0 | 0 | 5.87 | 2.08 | 299.69 | 2150 | 3.55 | 0.38 | 1.22 |
| 23 | 1945.33 | 0 | 0 | −28.58 | −6.54 | 189.79 | 2100 | 4.09 | 0.47 | 1.65 |
| 24 | 1901.09 | 0 | 0 | −42.11 | −10.32 | 161.34 | 2010 | 4.25 | 0.42 | 1.46 |
| Total Operating Cost | 39.63 | |||||||||
| Total Power Loss | 6.94 | |||||||||
| Emission | 34.98 | |||||||||
| Algorithm | Total Operating | Solar Cost | BESS Cost | Simulation Time | Emission | ||||||
|---|---|---|---|---|---|---|---|---|---|---|---|
| Best | Average | Worst | |||||||||
| GNDO | Without DSM | Case 1 | 3.5654 | 4.3628 | 5.1647 | 0.3654 | 0.0478 | 0.3255 | 0.4285 | 78.5 | 4.6354 |
| Case 2 | 4.3645 | 5.6514 | 6.5514 | 0.5678 | 0.0495 | 0.3625 | 0.4255 | 76.48 | 2.2254 | ||
| Case 3 | 5.6542 | 6.3318 | 7.9689 | 0.4938 | 0.0547 | 0.3121 | 0.4275 | 77.32 | 3.3648 | ||
| Case 4 | 4.3329 | 5.4145 | 6.3362 | 0.5547 | 0.0492 | 0.3623 | 0.2145 | 78 | 3.3114 | ||
| With DSM | Case 5 | 2.0441 | 3.2015 | 4.2289 | 0.1047 | 0.0154 | 0.2154 | 0.3524 | 78.4 | 1.6654 | |
| Case 6 | 3.6658 | 4.0125 | 4.9652 | 0.2144 | 0.0274 | 0.2021 | 0.2458 | 77.8 | 1.2544 | ||
| Case 7 | 2.3699 | 2.9894 | 3.9617 | 0.2018 | 0.0377 | 0.1454 | 0.3588 | 76.2 | 1.6664 | ||
| Case 8 | 2.1148 | 3.6214 | 4.5157 | 0.2388 | 0.0215 | 0.1935 | 0.1214 | 76.4 | 1.3532 | ||
| Reduction (%) | 74.4240 | 248.9971 | 210.3896 | 114.6492 | 76.6886 | 77.4075 | |||||
Disclaimer/Publisher’s Note: The statements, opinions and data contained in all publications are solely those of the individual author(s) and contributor(s) and not of MDPI and/or the editor(s). MDPI and/or the editor(s) disclaim responsibility for any injury to people or property resulting from any ideas, methods, instructions or products referred to in the content. |
© 2023 by the author. Licensee MDPI, Basel, Switzerland. This article is an open access article distributed under the terms and conditions of the Creative Commons Attribution (CC BY) license (https://creativecommons.org/licenses/by/4.0/).
Share and Cite
Barnawi, A.B. Development and Analysis of Optimization Algorithm for Demand-Side Management Considering Optimal Generation Scheduling and Power Flow in Grid-Connected AC/DC Microgrid. Sustainability 2023, 15, 15671. https://doi.org/10.3390/su152115671
Barnawi AB. Development and Analysis of Optimization Algorithm for Demand-Side Management Considering Optimal Generation Scheduling and Power Flow in Grid-Connected AC/DC Microgrid. Sustainability. 2023; 15(21):15671. https://doi.org/10.3390/su152115671
Chicago/Turabian StyleBarnawi, Abdulwasa Bakr. 2023. "Development and Analysis of Optimization Algorithm for Demand-Side Management Considering Optimal Generation Scheduling and Power Flow in Grid-Connected AC/DC Microgrid" Sustainability 15, no. 21: 15671. https://doi.org/10.3390/su152115671
APA StyleBarnawi, A. B. (2023). Development and Analysis of Optimization Algorithm for Demand-Side Management Considering Optimal Generation Scheduling and Power Flow in Grid-Connected AC/DC Microgrid. Sustainability, 15(21), 15671. https://doi.org/10.3390/su152115671

