The Coupling Coordination and Interaction Mechanism of Land Ecological Security and High-Quality Economic Development in the Beijing–Tianjin–Hebei Region
Abstract
:1. Introduction
2. Materials and Methods
2.1. Study Area
2.2. Data Sources
2.3. Methods
2.3.1. Construction of the Evaluation Index System
2.3.2. Entropy-Weighted TOPSIS Model
- (1)
- Entropy-Weighted Method
- (2)
- TOPSIS
2.3.3. CCD Model
2.3.4. PVAR Model
2.3.5. Model of the Degree of Relative Development
3. Results
3.1. Characteristics of Coupling Coordination
3.1.1. Degree of Coupling
3.1.2. Coupling Coordination Degree
3.2. Results of the PVAR Model
3.2.1. Unit Root Test
3.2.2. Selection of the Optimal Lag Order
3.2.3. Cointegration Tests
3.2.4. Granger Causality Tests
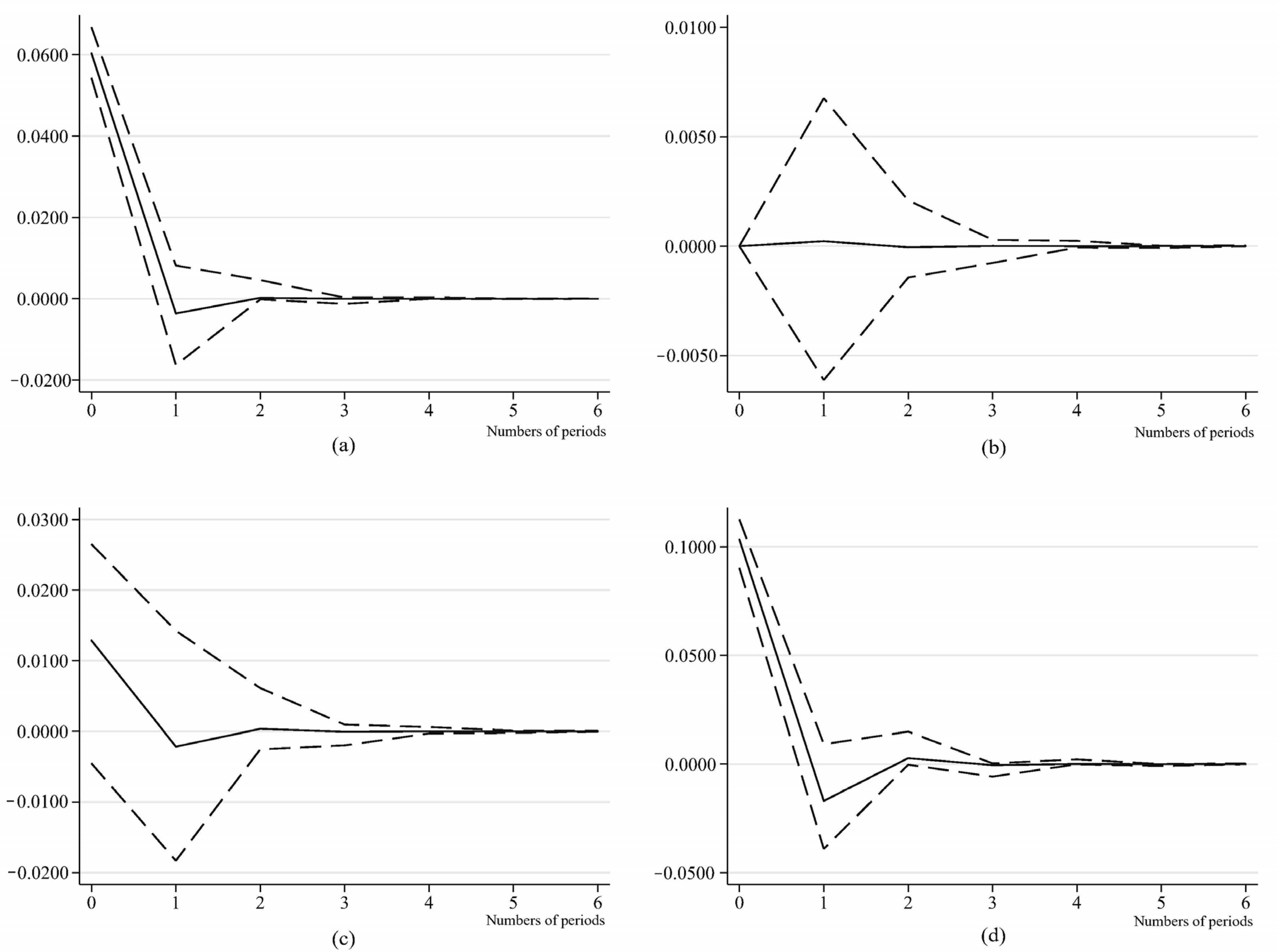
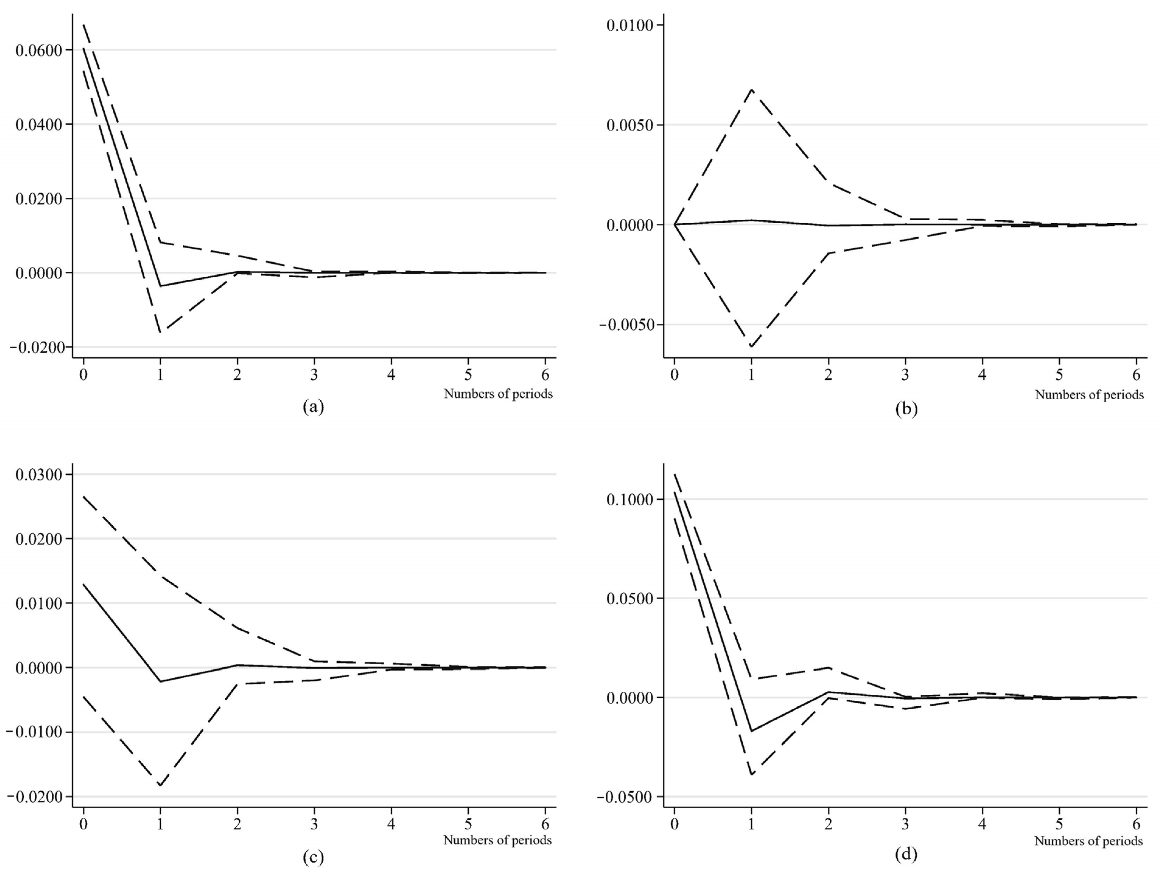
3.2.5. Analysis of the Interaction Mechanism
3.3. Types of Development
4. Discussion
5. Conclusions
- (1)
- The BTH region is in a stage of high coupling, and the degree of coupling showed a trend of gradual enhancement.
- (2)
- During the study period, with a slow increase in CCD (from 0.47 to 0.58), the coordination relationship changed from near dissonance to slight coordination in the BTH region. The CCD rose from 0.3499–0.4422 (2007) to 0.4141–0.8402 (2018) and evolved from mild dissonance to good coordination over time within the research area’s cities. The spatial distribution was characterized as being low in the central area and high in the peripheral area. The CCD showed a clear wave-like curve of evolution over time.
- (3)
- A long-term and stable equilibrium relationship existed in the LES–HED subsystems. The two systems of LES and HED showed characteristics of self-improvement. HED had a positive driving effect on LES, but the effect was not obvious. LES had an obvious supporting effect on HED, but the effect gradually decreased over time.
- (4)
- The patterns of development within the cities of the study area included three types of development. The cities with slightly lagging HED were scattered in the middle of the region; the proportion of these cities was the highest. Cities with slightly lagging LES were scattered throughout the north of the region. Cities with significantly lagging HED were mostly concentrated in the south. According to the coordination relationship and type of development, the research was divided into six functional zones, namely, the leading development zones of HED, the key development zones of HED, the key development zone of LES, the steady development zones of LES, the steady development zones of HED, and the sustainable development zones of HED.
Author Contributions
Funding
Institutional Review Board Statement
Informed Consent Statement
Data Availability Statement
Acknowledgments
Conflicts of Interest
References
- United Nations (UN). Transforming Our World: The 2030 Agenda for Sustainable Development. Working Papers 2015. Available online: https://ideas.repec.org/p/ess/wpaper/id7559.html (accessed on 1 January 2020).
- Managi, S.; Kaneko, S. Environmental performance and returns to pollution abatement in China. Ecol. Econ. 2009, 68, 1643–1651. [Google Scholar] [CrossRef]
- Wang, H.Y.; Qin, F.; Zhang, X.C. A spatial exploring model for urban land ecological security based on a modified artificial bee colony algorithm. Ecol. Inform. 2019, 50, 51–61. [Google Scholar] [CrossRef]
- Wessels, K.J.; Prince, S.D.; Frost, P.E.; Zyl, D.V. Assessing the effects of human-induced land degradation in the former homelands of northern South Africa with a 1 km AVHRR NDVI time-series. Remote Sens. Environ. 2004, 91, 47–67. [Google Scholar] [CrossRef]
- Schrad, M.L. Threat level green: Conceding ecology for security in eastern Europe and the former Soviet Union. Glob. Environ. Chang. 2006, 16, 400–422. [Google Scholar] [CrossRef]
- Honson, M.; Marvin, S. Urban Ecological Security: A new urban paradigm? Int. J. Urban Reg. Res. 2009, 33, 193–215. [Google Scholar] [CrossRef]
- Salvati, L.; Bajocco, S. Land sensitivity to desertification across Italy: Past, present, and future. Appl. Geogr. 2011, 31, 223–231. [Google Scholar] [CrossRef]
- Liang, W.; Bian, Z.F.; Chen, H.Q. Land ecological security assessment for Yancheng city based on catastrophe theory. Earth Sci. Res. J. 2014, 18, 181–187. [Google Scholar] [CrossRef]
- Pörtner, H.O.; Roberts, D.C.; Tignor, M.M.B.; Poloczanska, E.; Mintenbeck, K.; Alegría, A.; Craig, M.; Langsdorf, S.; Löschkef, S.; Möller, V.; et al. Climate Change 2022: Impacts, Adaptation and Vulnerability; IPCC: Geneva, Switzerland, 2022. Available online: https://www.ipcc.ch/report/ar6/wg2/resources/press/press-release/ (accessed on 15 April 2023).
- Grossman, G.M.; Krueger, A.B. Economic growth and the environment. Q. J. Econ. 1995, 110, 353–377. [Google Scholar] [CrossRef]
- Li, H.; Nan, L.; Li, S.P. Evaluation of land ecological security based on panel data cluster analysis: A case study in Shanxi province. Areal Res. Dev. 2017, 36, 136–141. [Google Scholar]
- Yang, K.; Li, R.K.; Zhang, H.X. Assessment and research of economic growth in ecological zones and urban land ecological safety. Acta Agric. Jiangxi 2016, 28, 109–113. [Google Scholar]
- Wang, P.; Zeng, H. The relationship between economic growth and urban land ecological security based on the model of the EKC. Ecol. Environ. Sci. 2013, 22, 351–356. [Google Scholar]
- Müller-Fürstenberger, G.; Wagner, M. Exploring the environmental Kuznets hypothesis: Theoretical and econometric problems. Ecol. Econ. 2007, 62, 648–660. [Google Scholar] [CrossRef]
- Srinivasan, V.; Seto, K.C.; Emerson, R.; Gorelick, S.M. The impact of urbanization on water vulnerability: A coupled human–environment system approach for Chennai, India. Glob. Environ. Chang. 2013, 23, 229–239. [Google Scholar] [CrossRef]
- Dai, J. Analysis on the coupling and coordination of land ecological security and economic development in hunan province. Rural Econ. Sci.-Technol. 2019, 30, 42–45. [Google Scholar]
- Xiong, J.H.; Tang, J.W. On the coupling harmonic coordination between the land ecological security and the social economic development—A case sampling study of Guangzhou. J. Saf. Environ. 2019, 19, 615–620. [Google Scholar]
- Yao, F.; Ma, L. Coupling and coordination analysis of land ecological security and green economy in Henan province. S. China Rural Area 2019, 35, 28–32. [Google Scholar]
- He, R.H.; Rao, Q.; Yang, H.Y.; Zhang, X.L. Evaluation of the relationship between land ecological security and economic development in anhui province based on the coupling eoordination model. J. Heilongjiang Bayi Agric. Univ. 2020, 32, 119–124+132. [Google Scholar]
- Hou, X.F.; Jiang, Y.Z. Evaluation of the relationship between land ecological security and economic development based on the coupling coordination degree in Jieyang City, China. J. Hainan Norm. Univ. (Nat. Sci.) 2020, 33, 446–452. [Google Scholar]
- Xiao, H.Y.; Ren, H.L. Coupling coordination relationship and obstacle factor analysis of land ecological security and social economic development in Bijie, Guizhou. Shanghai Land Resour. 2021, 42, 33–38. [Google Scholar]
- Zhang, K.; Li, H.; Zhou, J.C.; Guo, Z.L.; Liu, J. Coupling and coordination analysis on land eco-security and economic development of counties in the Changsha-Zhuzhou-Xiangtan Region. Sci. Technol. Manag. Land Resour. 2021, 38, 1–17. [Google Scholar]
- Love, I.; Zicchino, L. Financial development and dynamic investment behavior: Evidence from panel VAR. Q. Rev. Econ. Financ. 2006, 46, 190–210. [Google Scholar] [CrossRef]
- Sun, Y.; Chen, Q. Effect of green finance on technological progress and economic growth: Empirical analysis based on PVAR approach. J. Financ. Econ. 2019, 5, 28–33. [Google Scholar]
- Shao, Q.L.; Guo, J.J.; Kang, P. Environmental response to growth in the marine economy and urbanization: A heterogeneity analysis of 11 Chinese coastal regions using a panel vector autoregressive model. Mar. Policy 2021, 124, 104350. [Google Scholar] [CrossRef]
- Guo, D.Y.; Wang, D.Y.; Zhong, X.Y.; Yang, Y.Y.; Jiang, L.X. Spatiotemporal changes of land ecological security and its obstacle indicators diagnosis in the Beijing–Tianjin–Hebei region. Land 2021, 10, 706. [Google Scholar] [CrossRef]
- Xue, X.D.; Ma, L. Analysis on the coupling and coordination of land ecological and food security in main grain producing areas. Chin. J. Agric. Resour. Reg. Plan. 2022, 43, 1–11. [Google Scholar]
- Liu, L.K.; Liang, L.T.; Gao, P.; Fan, C.S.; Wang, H.H.; Wang, H. Coupling relationship and Interaction Relationship between ecological protection and high-quality development in the Yellow River Basin. J. Nat. Resour. 2021, 36, 176–195. [Google Scholar]
- Zhou, Y.; He, R.H. Research on the coupling relationship between economic development and land ecological security in the Yangtze River Delta. J. Shandong Agric. Univ. (Soc. Sci. Ed.) 2021, 23, 80–89+186. [Google Scholar]
- Guo, D.Y.; Wang, D.Y.; Zhong, X.Y.; Yang, Y.Y. Spatiotemporal changes of high quality development and its obstacle indicators diagnosis in the Beijing–Tianjin–Hebei region. Stat. Decis. 2022, 38, 122–126. [Google Scholar]
- Li, J.S.; Sun, W.; Li, M.Y.; Meng, L.L. Coupling coordination degree of production, living and ecological spaces and its influencing factors in the Yellow River Basin. J. Clean. Prod. 2021, 298, 126803. [Google Scholar] [CrossRef]
- Liu, B.T. Research on Coordination Development of New Urbanization and Land Health Utilization in Jilin Province; Jilin University: Changchun, China, 2017. [Google Scholar]
- Shi, T.; Yang, S.; Zhang, W.; Zhou, Q. Coupling coordination degree measurement and spatiotemporal heterogeneity between economic development and ecological environment–Empirical evidence from tropical and subtropical regions of China. J. Clean. Prod. 2020, 244, 118739. [Google Scholar] [CrossRef]
- Shen, L.Y.; Huang, Y.L.; Huang, Z.H.; Lou, Y.L.; Ye, G.; Wong, S.W. Improved coupling analysis on the coordination between socio-economy and carbon emission. Ecol. Ind. 2018, 94, 357–366. [Google Scholar] [CrossRef]









| Target Layer | Criterion Layer | Factor Layer | Index Layer | Direction * |
|---|---|---|---|---|
| Land ecological security | Pressure | Population | D1 Population density (person/km2) | − |
| Industry | D2 Proportion of secondary industries (%) | − | ||
| Traffic | D3 Highway passenger traffic per unit of land area (10 thousand/km2) | − | ||
| D4 Road freight per unit of land area (10 thousand ton/km2) | − | |||
| Environment | D5 The usage of fertilizer per unit of cultivated area (ton/km2) | − | ||
| D6 Industrial dust emissions per unit of land area (ton/km2) | − | |||
| D7 Industrial wastewater discharge per unit of land area (10 thousand ton/km2) | − | |||
| State | Land structure | D8 Proportion of cultivated land (%) | + | |
| D9 Green coverage of urban built-up areas (%) | + | |||
| Land function | D10 Food production per unit of land area (ton/km2) | + | ||
| D11 Economic density of the land (10 thousand CNY/km2) | + | |||
| Response | Population | D12 Population growth rate (%) | + | |
| Industry | D13 Per capita GDP (10 thousand CNY/person) | + | ||
| D14 Proportion of tertiary industries (%) | + | |||
| Traffic | D15 Transportation, warehousing, and postal investment per unit of land area (10 thousand CNY/km2) | + | ||
| Environment | D16 Comprehensive utilization rate of industrial solid waste (%) | + |
| Primary Index | Secondary Index | Level III Index | Direction * |
|---|---|---|---|
| High-quality economics development | Innovative development | C1 Number of patents authorized per 10,000 persons | + |
| C2 Intensity of investment into R & D (%) | + | ||
| Coordinated development | C3 Demand structure (%) | + | |
| C4 Urban–rural structure (%) | − | ||
| C5 Regional structure (%) | + | ||
| Green development | C6 Energy consumption per unit of GDP (%) | − | |
| C7 Sewage treatment rate (%) | + | ||
| C8 Rate of harmless treatment of domestic waste (%) | + | ||
| Open development | C9 Proportion of foreign investment (%) | + | |
| C10 Degree of financial development (%) | + | ||
| Shared development | C11 Proportion of workers’ remuneration (%) | + | |
| C12 Elasticity of income growth (%) | + | ||
| C13 Engel coefficient (%) | − |
| Degree of Coupling | Stages of Coupling |
|---|---|
| 0–0.30 | Low coupling |
| 0.30–0.50 | Antagonism |
| 0.50–0.80 | Running-in |
| 0.80–1.00 | High coupling |
| Coupling Coordination Degree | Coupling Coordination Relationship |
|---|---|
| 0.00–0.10 | Extreme dissonance |
| 0.10–0.20 | Severe dissonance |
| 0.20–0.30 | Moderate dissonance |
| 0.30–0.40 | Mild dissonance |
| 0.40–0.50 | Near dissonance |
| 0.50–0.60 | Slight coordination |
| 0.60–0.70 | Primary coordination |
| 0.70–0.80 | Intermediate coordination |
| 0.80–0.90 | Good coordination |
| 0.90–1.00 | Quality coordination |
| Contrasting Relationship | Degree of Relative Development | Type of Development |
|---|---|---|
| Slightly lagging HED | ||
| Significantly lagging HED | ||
| Severely lagging HED | ||
| Slightly lagging LES | ||
| Significantly lagging LES | ||
| Severely lagging LES | ||
| Synchronous development |
| Variable | Results | IPS | HT | Conclusion |
|---|---|---|---|---|
| Statistic measurement | 0.4596 | 0.3335 | Unstable data | |
| p-value | 0.6771 | 0.0596 | ||
| Statistic measurement | 0.3526 | 0.4320 | Unstable data | |
| p-value | 0.6378 | 0.3502 | ||
| Statistic measurement | −7.0049 | −0.1701 | Stable data | |
| p-value | 0.0000 | 0.0000 | ||
| Statistic measurement | −5.0849 | −0.2352 | Stable data | |
| p-value | 0.0000 | 0.0000 |
| Lag Period | AIC | BIC | HQIC |
|---|---|---|---|
| 1 | −3.96962 | −3.24929 | −3.67697 |
| 2 | −3.94210 | −3.06829 | −3.58757 |
| 3 | −3.69766 | −2.64257 | −3.27090 |
| 4 | −3.56758 | −2.2943 | −3.05573 |
| 5 | −2.54992 | −1.00809 | −1.93748 |
| Test | Presupposition | Statistical Results | Statistical Measurement | p-Value |
|---|---|---|---|---|
| Kao test | No cointegration relationship | Modified Dickey–Fuller | 0.0550 | 0.4781 |
| Dickey–Fuller | −2.3908 | 0.0084 | ||
| Augmented Dickey-Fuller | 1.2966 | 0.0974 | ||
| Unadjusted modified Dickey–Fuller | −1.4904 | 0.0681 | ||
| Unadjusted Dickey–Fuller | −3.3951 | 0.0003 | ||
| Pedroni test | Modified Phillips–Perron | 0.9357 | 0.1747 | |
| Phillips–Perron | −4.0997 | 0.0000 | ||
| Augmented Dickey–Fuller | −5.5907 | 0.0000 |
| Presupposition | F-Statistic | p-Value | Yes or No |
|---|---|---|---|
| HED is not the Granger reason for LES | −0.8153 | 0.4149 | Yes |
| LES is not the Granger reason for HED | 2.4768 | 0.0133 | No |
Disclaimer/Publisher’s Note: The statements, opinions and data contained in all publications are solely those of the individual author(s) and contributor(s) and not of MDPI and/or the editor(s). MDPI and/or the editor(s) disclaim responsibility for any injury to people or property resulting from any ideas, methods, instructions or products referred to in the content. |
© 2023 by the authors. Licensee MDPI, Basel, Switzerland. This article is an open access article distributed under the terms and conditions of the Creative Commons Attribution (CC BY) license (https://creativecommons.org/licenses/by/4.0/).
Share and Cite
Guo, D.; Wang, D.; Zhong, X.; Yang, F.; Yang, Y.; Jia, H. The Coupling Coordination and Interaction Mechanism of Land Ecological Security and High-Quality Economic Development in the Beijing–Tianjin–Hebei Region. Sustainability 2023, 15, 15670. https://doi.org/10.3390/su152115670
Guo D, Wang D, Zhong X, Yang F, Yang Y, Jia H. The Coupling Coordination and Interaction Mechanism of Land Ecological Security and High-Quality Economic Development in the Beijing–Tianjin–Hebei Region. Sustainability. 2023; 15(21):15670. https://doi.org/10.3390/su152115670
Chicago/Turabian StyleGuo, Dongyan, Dongyan Wang, Xiaoyong Zhong, Fan Yang, Yuanyuan Yang, and Hansen Jia. 2023. "The Coupling Coordination and Interaction Mechanism of Land Ecological Security and High-Quality Economic Development in the Beijing–Tianjin–Hebei Region" Sustainability 15, no. 21: 15670. https://doi.org/10.3390/su152115670
APA StyleGuo, D., Wang, D., Zhong, X., Yang, F., Yang, Y., & Jia, H. (2023). The Coupling Coordination and Interaction Mechanism of Land Ecological Security and High-Quality Economic Development in the Beijing–Tianjin–Hebei Region. Sustainability, 15(21), 15670. https://doi.org/10.3390/su152115670

