Abstract
This paper takes the two subsystems of inland ports and industries along the Yangtze River as a composite system as a research object, providing insight into the influence of the development efficiency of inland ports along the Yangtze River and the coupling and synergy degree of industry. Firstly, the coupling synergy effect of the inland port industry is qualitatively expounded, and secondly, the entropy weight TOPSIS method is used to construct a coupling coordination model to analyze the measurement of the development efficiency and industrial coupling synergy relationship between inland ports along the Yangtze River. Twelve cities along the Yangtze River were selected as examples, the coupling synergy degree of their ports was evaluated by referring to the comprehensive port development synergy index from 2010 to 2019, and the development levels and evolution processes of the different cities were compared and analyzed. The coupling synergy development of the inland port industry along the Yangtze River can provide a basis for the problems and countermeasures faced by the integrated development of the inland port industry along the Yangtze River.
1. Introduction
As stipulated in the Inland Shipping Development Outline issued by the Ministry of Transport of the People’s Republic of China in May 2020, it is necessary to strengthen the effective connections between ports and urban and rural construction, along with the industrial development layout, and to promote the coupling synergy development of ports, industries, and cities. At the same time, with the continuous deepening of the integration of cities clustered along the Yangtze River Economic Belt into the “Belt and Road” Initiative, ports, as an important gateway for the opening up of the region, are exerting a more and more far-reaching impact on the inland industrial cluster [1]. From the above, we can see that the coupling synergy development of ports and industries has been an important means of supporting balanced regional development. Therefore, based on the entropy weight TOPSIS method, this paper evaluates the degree of coupling cooperation between inland ports and industries along the Yangtze River. Firstly, this paper is intended to objectively reflect the evolution and development direction of the ports and industries from the perspective of the port–industry system, and to establish a comprehensive competitiveness evaluation model and a coupling synergy model of the port using the entropy weight TOPSIS method. Then, the degrees of coupling synergy of inland ports and industries along the Yangtze River will be evaluated. Finally, corresponding conclusions will be drawn from the perspectives of port cities and industries.
This paper broadens the research on inland ports and industries, using scientific models to reveal the mechanisms of the integrated development of ports and industries in the Yangtze River Economic Belt in the past 10 years. Through in-depth understanding of the interaction between ports and industries, we can better optimize the allocation of resources and promote economic development. In addition, this study also provides a theoretical reference for the integrated development of the port industry in the Yangtze River Economic Belt, which can provide a scientific basis for relevant decision-making.
2. Literature Review
Various approaches and perspectives have been proposed by scholars for the purpose of evaluating the coupling synergy in the development of ports and industries. Firstly, many scholars use multi-objective evaluation methods to establish port development evaluation models. Among them, the entropy weight TOPSIS method, which combines the information entropy method with the traditional TOPSIS method, not only reflects the advantages of the entropy method in revealing the relative weights of the real and objective determination of the index, but also effectively employs the comprehensiveness, interpretability, and flexibility of the TOPSIS method. Therefore, it is a scientific and reliable comprehensive evaluation method [2] and an ideal evaluation method for various scholars to discuss and analyze port development. Zhang Xinfang et al. studied the evolution characteristics of ports’ economic development from 2000 to 2018 using a dynamic entropy weight TOPSIS method and a geographic information system (GIS) method, so as to reveal the economic development process of coastal ports in China [3]. Liu Tianshou et al. conducted a case analysis of the 2015 data of nine free-trade-zone (FTZ) ports in China, including Dalian, based on the construction of a port security management maturity evaluation model using the interval number entropy weight TOPSIS method [4]. Zhang Jing et al. assessed the military transport capacity of 27 ports of different sizes in different regions of China based on the entropy weight TOPSIS method [5]. The study of Che Chengyi et al. showed that the comprehensive evaluation model combined with the entropy TOPSIS method can effectively improve the objectivity and reliability of the evaluation results, thus helping port operators to identify safety hazards in time, find out the direction of improvement, and reduce the accident rate [6]. Based on the construction of an index system for the comprehensive competitiveness of ports—which covered four aspects, including port throughput and port operation capability—and a model for evaluating the comprehensive competitiveness of ports based on entropy TOPSIS, Kuang Haibo et al. revealed the major factors affecting the competitiveness of ports [7]. Jin analyzed the uncertainty of virtual team member selection by combining FMEA with TOPSIS [8]. Gayathri et al. studied the interdependent factors of port performance and proposed a comprehensive fuzzy DEMATEL TOPSIS method, aiming at analyzing ports’ operation capability and financial performance [9]. By introducing a data-driven Bayesian network (BN) into the TOPSIS method, Yang et al. examined the factors affecting the ship detention [10]. Ren constructed a model for the evaluation of the product quality of port operators using the TOPSIS method, thus improving the accuracy of the evaluation of port enterprises’ product quality [11]. However, the TOPSIS-based evaluation methods were only applied to the research of ports; they have not yet been used in the discussion and analysis of the synergistic development of port–industry coupling.
Secondly, the scholars have studied and discussed the linked development of ports, industries, and cities from the perspective of systems. Starting from the issues of spatial scale, core elements, and land-use coordination in terms of the integrated development of the port, industries, and the city, Wu Xiaolei et al. specifically analyzed the dependence of ports on different urban development stages and the appropriate industrial system [12]. Under the background of the new “Dual Circulation” development paradigm in China, where the key to planning China’s inland ports lies in deep embedding of the local industrial chain and supply chain, Liu Xiaobin et al. proposed new international inland port planning for transportation, logistics, ports, commerce, industry, and cities [13]. Sun et al. studied the interaction between ports and port cities during the industrial transformation and analyzed the nonlinear relationship between port enterprises and port cities’ economic development [14]. Attardi et al. assessed the sustainability and democracy of the urban development of industrial ports based on a case study of Italy [15]. Fu Linrong et al. constructed an evaluation index system for the integrated development of “Port-Industry-City“, so as to measure the development status of the port, industries, and city from the perspectives of the interaction degree and development level, and proposed that the comprehensive index of the overall development system continued to rise and that the comprehensive development level steadily improved [16]. Monios et al. studied the role of logistics in port–city relations, so as to analyze the challenges in distribution posed by port cities and the leadership roles that managers and decision-makers play in this respect [17]. Zhan Zhaolei et al. explored the linkage development model of the port, industries, and city during coastal development, and they analyzed the existing problems, promotion paths, and internal motivation [18]. It can be seen that current research mainly focuses on the linkage development of ports and cities in coastal areas and elaborates the interaction between the aforementioned three areas from the theoretical perspective. However, there have been relatively few studies on the synergy degree of composite systems between ports and industries along the Yangtze River.
Thirdly, the scholars evaluate the degree of collaboration of the port–industry complex system based on the collaborative model of the complex system. Composite system synergy refers to the synergistic effects of various factors inside and outside of a system, and to the harmonious coexistence of various subsystems in the system, which can achieve the overall effect of the system [19]. At present, research on composite synergy mainly focuses on ports, port cities, industries and cities, regional development and economy, industry and environment, urban agglomerations, etc. For example, Hao Yuzhu et al. took the ports in the Beijing–Tianjin–Hebei region as the research object and analyzed the coupling synergy degree of the development of those ports by establishing an index system and constructing a calculation model [20]. Deng Ping et al. analyzed the synergy development degree and influencing factors of ports in the upper reaches of the Yangtze River by constructing a synergy model of the port composite system for the upper reaches of the Yangtze River [21]. Yin Xiangyu et al. took the relationship between coastal ports and cities in China as the research object and studied the synergy degree of coastal ports and urban composite systems by constructing a port–city composite system synergy model [22]. Lin et al. analyzed the synergy degree of the port–city composite system by establishing a synergy model of the port–city composite system for nine port cities in the Pearl River Delta [14]. Jiang Liupeng analyzed the degree of port–industry–city synergy in Lianyungang by constructing a port–industry–city composite system synergy model [23]. She et al. carried out an empirical study on the synergy level between Shanghai’s regional development and the low-carbon economic composite system based on a composite system synergy model. [24] Regarding the cross-border e-commerce logistics industry and ecological environment as a composite system, Jiang et al. built a composite collaboration model and analyzed the degree of composite collaboration in the cross-border e-commerce logistics industry [25]. Based on a composite system synergy model, Chen Yizhang et al. analyzed the evolution features of the economic–social–ecological collaborative development level of the Changsha–Zhuzhou–Xiangtan urban agglomeration [26]. Research on the synergy of composite systems mainly focuses on ports, port cities, and port–industry–city integration, and there has been less research on the synergy of composite systems between inland ports and industries along the Yangtze River. This paper takes the inland ports and industries along the Yangtze River Economic Belt as the research object, constructs the coupling cooperation degree model of the composite system, and analyzes the influence of the development efficiency of inland ports and the coupling cooperation degree of industries through the evaluation of the degree of coupling cooperation.
3. Data and Methods
The Yangtze River system is divided into inland ports and coastal ports. In this study, we mainly selected inland ports in 12 cities, including Nanjing, Suzhou, and Nantong [27]. At the same time, the port is also an important production and processing place for the industrial sector and related enterprises, which can provide the necessary raw materials and equipment for the industry. Ports and industries are inseparable factors that promote one another and jointly promote the economic development of a region or country [28]. Coupling, as a basic concept in physics, refers to the phenomenon in which two or more systems or modes of motion influence one another and even unite together through various interactions. The essence of the interactive coupling relationship between ports and industries lies in the sum of the nonlinear relationship between two subsystems—namely, ports and industries—that influence and interact with one another through their constituent elements. Synergy reflects the state of coordination and synchronization between the elements within a system in the process of its development, where the degree of such coordination or synchronization reflects the degree of order. At the macro level, the coupling and synergy between ports and industries can be regarded as a composite system, which refers to a virtuous cycle composed of ports and their surrounding industries that connect, cooperate, coordinate, and promote one another. From the perspective of system testing, the measurement of port–industry composite systems includes the measurement of the degree of coupling and the system synergy, where the coupling degree reflects the degree of mutual influence between the port and the industry, while the synergy degree is used to objectively reflect the degree of benign coupling in the interaction of the port–industry composite system. The composite system of synergy development demonstrates the features of overall linkage, morphological diversity, stage change, open interaction, flexibility, and efficiency [29]. Through this measurement, information can be obtained on various aspects of the port composite system, and guidance can be provided for the improvement and optimization of the system, which helps in understanding and evaluating the efficiency, sustainability, and performance of the port–industry composite system. The coupling synergy degree between ports and industries referred to in this paper means the measurement results of the degree of harmony and consistency between the two subsystems of inland port development and industrial development along the Yangtze River, calculated based on the comprehensive development synergy index of the order degree using a comprehensive port competitiveness evaluation model and a coupling synergy model based on the entropy weight TOPSIS method [30].
3.1. Selection of Coupling Synergy Index and Data Source
The coupled synergy theory is used to explain the coordination and cooperation within and among organizations. It holds that each department or individual within an organization is interdependent and interactive, and that the coordination and cooperation between them is crucial to achieve the goals of the organization. The coupling refers to the interdependence between departments or individuals within and between organizations, while the synergy refers to the coordination of actions between departments or individuals so that they can effectively cooperate to achieve the goals of the organization. The coupled synergy theory is of guiding significance for organization management and organization design, and it provides a theoretical framework to help organization managers understand and solve the coordination and cooperation problems within and between organizations.
The index of the coordination of the port–industry composite system is the key parameter to accurately measure the degree of synergy. The indices selected should fully reflect the degree of synergy in the development of inland ports and industries along the Yangtze River, while avoiding information redundancy as much as possible. Previous studies evaluating the level of collaborative development of port–industry coupling synergy used different evaluation indicators due to differences in the perspectives of the researchers and the availability of specific data. However, a summary of the research of existing scholars shows that the selection of indicators in previous studies has been concentrated in the following aspects: from the perspective of port development, cargo throughput, productive berths, and container cargo throughput have been the most important; from the perspective of industrial development, regional GDP, the level of industrial agglomeration near ports, the proportion of the secondary industry in GDP, and the proportion of the tertiary industry in GDP have been the most important.
This paper takes the degree of synergy in the port–industry composite system of inland ports as the research object, while considering the completeness of data from all types of statistical yearbook from the time period 2010–2019. Based on analyzing and comparing the above evaluation index scores of the coupling synergy development research of port groups, three sequence parameter components were finally selected to represent the development level of inland ports along the Yangtze River, and six sequence parameter components were selected to represent the industrial level, as shown in Table 1. Among them, container throughput, port throughput, and productive berth capacity were selected to measure the scale of port logistics and port infrastructure, while the level of industrial agglomeration in the port, regional GDP, number of employees in the secondary industry, number of employees in the tertiary industry, proportion of secondary industry to GDP, and proportion of tertiary industry to GDP were selected to measure industrial economic conditions. The data were obtained from authoritative statistical materials such as the Statistical Yearbook of the Yangtze River Economic Belt, the Port Yearbook of China, the Statistical Yearbook of Chinese Cities, the Statistical Yearbook of Provinces and Cities, and the Bulletin of National Economic and Social Development. The research structure diagram of this paper is shown in Figure 1.
Table 1.
Evaluation index system for ports’ coupling synergy degree.
Figure 1.
Research structure diagram.
3.2. Establishment of the Coupling Synergy Model
The composite coupling synergy system of port–industry development is defined as System S, and the subsystem as . Indicators that can represent the development degree of port and industrial subsystems are selected as sequence parameters. Let the indicators in the subsystem be , where , while and are the lower and upper limits of (the component of the indicator at the critical point of system stability), respectively, and let be the component of the jth indicator of the ith system. If are positive indicators, then the higher their values, the higher the degree of order of the system. If are inverse indicators, then the higher their values, the less ordered the system. The degree of order determines the level of coordination within the subsystem: the larger the values, the higher the degree of collaboration; the smaller the values, the lower the degree of collaboration. The order degree of for the components of the subsystem indicator is calculated based on the following formula:
The above formula reveals the order degree of the system . The value of reflects the comprehensive development index of inland ports and industrial subsystems along the Yangtze River. A larger value of indicates a higher comprehensive development level, and vice versa. Since the importance of each index to the system’s synergy degree varies, on the whole, the total contribution of the component of each indicator to the degree of order of the system is usually calculated by the linear weighted sum or geometric average method, and the weight reflects the status and role of the corresponding index in the process of system operation. In this paper, the linear weighted summation method is used for calculation:
Among them, the weights can be determined by the entropy method. Let the component of each indicator have m samples, and let the value of the tth sample be . The data are standardized as follows: Evaluation indicators generally have different dimensions and dimensional units, which can be divided into positive indicators and negative indicators. When an indicator is positively related to the valuation results, it is called a positive indicator, and vice versa. Therefore, it is necessary to perform dimensionless processing on the indicator data before calculation to eliminate the influence caused by different dimensions. The calculation formula is as follows:
Positive indicators:
where refers to the result of non-dimensionalization of the jth indicator of the ith port, and are the maximum and minimum values of the indicator j, respectively, and the value of a can only be set between 0 and 1 (0.1 is taken in this study).
Secondly, the weight value is determined based on the entropy weight method, which judges and evaluates the validity of information with disordered procedures. It processes historical data or information using the method of mathematical modeling, and it assigns weights according to the ranking of data or information of each evaluation index after processing in the overall comprehensive evaluation, which can reduce the influence of subjective factors and help to obtain more objective and true judgments. After putting the dimensionless index data into the following formula, the normalized information entropy, index weight, and weight can be calculated. The calculation formula is as follows:
TOPSIS is a multi-objective decision-making method that is characterized by intuitive analysis of principles, simple calculations, and small requirements for sample size. Using this method, data loss during the calculation process can be essentially avoided, and with a relatively intuitive geometric meaning, the results will not be affected by the selection of the reference sequence. Therefore, the entropy weight TOPSIS method can be adopted to establish the comprehensive competitiveness evaluation model of ports. Compared with traditional methods, the entropy weight TOPSIS method combines information entropy with traditional TOPSIS methods. It can not only reflect the advantage of entropy methods in determining the relative weights of indicators in a real and objective way, but also effectively give full play to the comprehensiveness, interpretability, and flexibility of the TOPSIS method, which not only reduces the influence of subjective factors but also obtains more objective and true judgments. Moreover, the calculation is simple, and data loss rarely occurs during the calculation process, which is a scientific and reliable comprehensive evaluation method [5].
The coupling synergy degree of the port–industry system is calculated as follows:
On this basis, the synergy model of the port–industry composite system is established as follows:
where F is the comprehensive synergy index of the subsystems of port development and industrial development, reflecting the overall synergy effect or contribution of the port–industry system. F is calculated using the following formula:
In this model, the development of the two subsystems of the port and industries is taken into consideration. If the order of one subsystem increases by a large margin, while the order of the other increases by a small margin or decreases, then the whole system will not be synergistic. In addition, the model reflects the dynamic change process of the system, and it can be used to analyze the changes in the synergy degree and development trend of the port–industry composite synergy system.
4. Results and Discussion
4.1. Index Weight Coefficient of Inland Ports and Industrial Development along the Yangtze River
At the micro level, the degree of port–industry cooperation can be measured by calculating the synergistic index of comprehensive development of two subsystems, as shown in Table 2, i.e., the inland port development and the industrial development along the Yangtze River. Weight coefficients of the system indicators of inland ports and industrial development along the Yangtze River are calculated using Formulas (5) and (6), as shown in Table 3 and Table 4, respectively. As shown in Table 3, the weights of the three indicators of port development () are 0.55, 0.27, and 0.18, respectively; specifically, container throughput accounts for 55%, port throughput accounts for 27%, and productive berths takes up 18%. The weights of the six indicators of industrial development () are 0.24, 0.32, 0.38, 0.01, 0.02, and 0.04, respectively; that is, the regional gross domestic product, the number of employees in the secondary industry, the number of employees in the tertiary industry, the proportion of the secondary industry in GDP, the proportion of the tertiary industry in GDP, and the level of port industry agglomeration account for 24%, 32%, 38%, 1%, 2%, and 4%, respectively.
Table 2.
The index for inland ports and industrial systems.
Table 3.
The weights of the inland port subsystem.
Table 4.
The weights of the industrial subsystem.
4.2. The Index of Inland Ports and Industrial Development along the Yangtze River
The comprehensive development index of the port development and industrial development subsystems of the 12 inland ports from 2010 to 2019 was calculated based on Formula (2). The results are shown in Figure 2, Figure 3, Figure 4 and Figure 5.
Figure 2.
Comprehensive development index of inland ports along the Yangtze River.
Figure 3.
Average comparison of the comprehensive development index of inland ports along the Yangtze River.
Figure 4.
Comprehensive development index of inland industry along the Yangtze River.
Figure 5.
An average comparison of the comprehensive development index of inland industry along the Yangtze River.
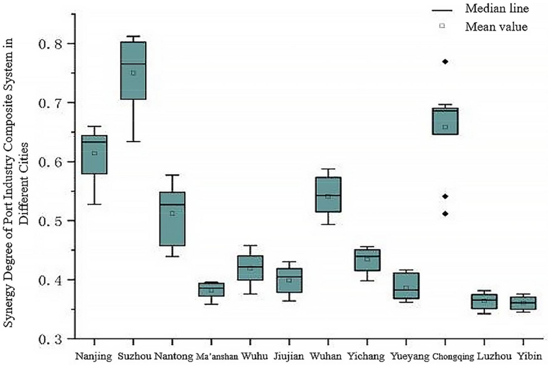
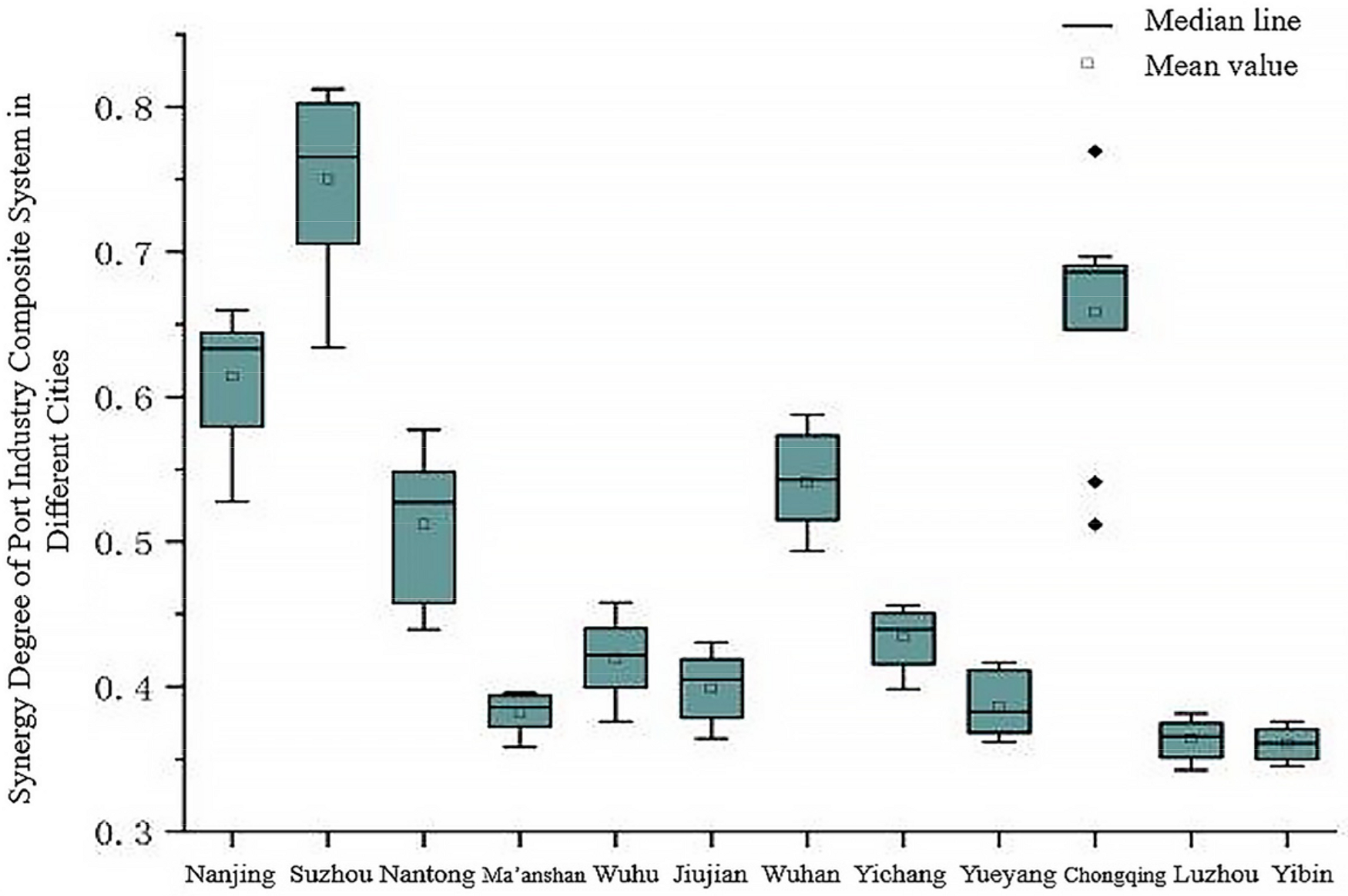
In terms of port development, the comprehensive development index of ports in Suzhou, Nanjing, and Chongqing from 2010 to 2019 was relatively high, among which that of Suzhou was the highest (see Figure 3). Suzhou Port has excellent Yangtze River port line resources, smooth and fast land and water collection and distribution channels, unique geographical advantages, and an economically developed port hinterland. It is the largest inland port in the world in terms of cargo throughput and container throughput, and it is one of the nine main trunk ports in mainland China. Its comprehensive development strength far surpasses that of other inland ports in the Yangtze River Economic Belt. The Port of Nanjing is a hub port of land and water transport and river–sea transit in the Yangtze River Basin. It is an international, multifunctional, and comprehensive river–sea transport main hub port with strong comprehensive development strength. With the passage of time, the comprehensive development index of Suzhou has fluctuated dramatically (see Figure 4), and it is followed by Nanjing, with that of Yibin showing the minimum fluctuation. After 2016, the same index declined, while the comprehensive development index of ports in other provinces and cities fluctuated slowly and remained relatively stable. This is because Suzhou Port, an international port, is greatly affected by the international situation. In 2013, the slow recovery of foreign demand, domestic overcapacity, and prominent structural contradictions brought about the pressure of economic slowdown that affected Suzhou Port. In 2015, Suzhou took the initiative to adapt to the new normal of economic development by focusing on the general requirements of “five steps to a new level” and “strong, rich, beautiful and high”. With the focus on improving the quality and efficiency of economic development, the city’s economy has been stable on the whole, and the comprehensive strength of the port has reached a new level by coordinating various works, such as stabilizing growth, promoting reform, adjusting structure, strengthening ecology, benefiting people’s livelihoods, and preventing risks.
In terms of industrial development, Suzhou and Chongqing enjoyed the highest comprehensive industrial development index from 2010 to 2019. However, a dramatic fluctuation was observed in the industrial system of Chongqing. Before 2016, the industrial index of Chongqing was relatively unstable, with a significant decrease in 2016. However, the industrial system of Chongqing still remained at a relatively high level, followed by Nanjing. At the same time, the comprehensive industrial development index of Luzhou and Yibin was relatively low, while that of other cities remained stable.
As per the changing trend of each region over time, the comprehensive development index of port development in Yibin and Luzhou showed an overall upward trend from 2010 to 2016. Even though both of them declined after 2016, the comprehensive industrial development index of the two cities exhibited a steady growth. Compared with that of other cities, the comprehensive development index of the port industry in these two cities was the lowest. In contrast, Suzhou, Chongqing, and Nanjing enjoyed a relatively high comprehensive development index. The port development degree of Suzhou was better than its industrial development degree, while the opposite was true for Chongqing.
The comprehensive development index of each system was studied from the perspective of the upper, middle, and lower reaches along the Yangtze River (see Figure 6 and Figure 7). Firstly, as a whole (see Figure 6), the development of inland ports is jointly affected by port scale and infrastructure. A pattern can be observed in that the port development level of the lower reaches of the Yangtze River is the highest, followed by that of the middle reaches, and then by that of the upper reaches, while the industrial development is jointly affected by industrial scale and industrial structure, with the industrial scale contributing a relatively large proportion, showing another pattern wherein the industrial development level of the lower reaches of the Yangtze River is higher than that of the upper and middle reaches. In contrast, the port industry in the lower reaches of the Yangtze River demonstrated a higher degree of overall development, followed by that in the upper reaches, and then by that in the middle reaches. In terms of different indices (see Figure 7), except for the fact that a comparison of the comprehensive development index of employment in the secondary industry and tertiary industry showed a pattern wherein the aforementioned index of the lower reaches of the Yangtze River performed best, followed by that of the upper reaches, and then by that of the middle reaches, the other indices all showed the same pattern, where various other indices of the lower reaches of the Yangtze River performed best, followed by those of the middle reaches, and then by those of the upper reaches, among which the container throughput and port throughput demonstrated a relatively obvious significant impact on inland ports, and the employment of the secondary and tertiary industries demonstrated a greater impact on industrial development.
Figure 6.
Comprehensive development index of inland ports and industries along the Yangtze River.
Figure 7.
Comprehensive development index of the inland river subsystem along the Yangtze River.
To summarize, the port development level of the middle reaches of the Yangtze River was higher than that that of the upper reaches, while the industrial development level of the upper reaches of the Yangtze River was higher than that of the middle reaches, and the port development level of the lower reaches of the Yangtze River performed the best.
4.3. Analysis of the Coupling Synergy between Ports and Industries along the Yangtze River
At the macro level, the port industry’s coupling synergy degree is used to measure the synergy degree of the port–industry composite system in this paper. The coupling synergy degree reflects the degree of interaction between the port and industry, which can be divided into different coupling synergy levels, as shown in Table 5.
Table 5.
The criterion of coupling degree.
From 2012 to 2014, although the port industry in Chongqing played a smaller role than that in other cities, showing a disorderly development, it still remained over 85%. After 2016, the figure increased steadily. The coupling degree of 12 inland ports and industries along the Yangtze River was relatively high, indicating a relatively sound synergy of inland ports and industries (see Figure 8 and Figure 9).
Figure 8.
Coupling degree of the inland port–industry system along the Yangtze River.
Figure 9.
A comparison of the fluctuation of the coupling synergy degree of inland rivers along the Yangtze River.
According to the judgment criteria of the degree of synergy (see Table 5), the level of collaborative development between inland ports and industries along the Yangtze River can be determined, as can be seen in Table 6. From 2010 to 2019, the synergy degree of Suzhou, Chongqing, Nanjing, and Wuhan was higher, all exceeding 0.5, while the Hong-Kong-produced systems promoted one another at a high level. From 2010 to 2019, most of the synergistic development between Hong Kong and industry in Suzhou was at a moderate level, and it reached a high-quality level in 2018, because Suzhou has continuously promoted the construction of industrial innovation clusters in recent years, and the output value of the four major industrial innovation clusters in the city—namely, electronic information, equipment manufacturing, biomedicine, and advanced materials—has been rising. At the same time, headquarters and R&D foreign investment projects continue to settle in Suzhou, the foreign economic level continues to improve, and the level of coordinated development of Hong Kong and industry continues to improve. The degree of port–industry coordination in other cities is low, and most of them are at a good level or below, indicating that there is a lot of room for improving the level of coordinated development of inland ports and industries along the Yangtze River. With the exceptions of Luzhou and Yibin, which showed a downward trend in 2016, the degree of synergy between ports and industries in other cities has increased year by year. This is because the development of inland ports provides the basis for the efficient operation of the industry, and the continuous upgrading and adjustment of the industry will, in turn, affect the development of inland ports. Industrial development not only provides supplies for the operation of inland ports but also meets their development needs. It also puts forward new requirements for the development of inland ports to further promote their high-quality development [31]. With the continuous economic development of inland port cities along the Yangtze River in the past 10 years, the mutual influence between inland ports and industries has gradually deepened, and the level of collaborative development has also steadily improved. Maanshan in the lower reaches of the Yangtze River was mildly disordered from 2010 to 2019, Wuhu was mildly disordered from 2010 to 2012, and the level of coordination between Hong Kong and industry showed good coordination after 2012. Jiujiang in the middle reaches of the Yangtze River was mildly disordered from 2010 to 2013, after which it gradually formed good coordination. In the upper reaches of the Yangtze River, except for the cities of Chongqing, Yibin, and Luzhou, the degree of coordination between Hong Kong and production was mildly disordered from 2010 to 2019. This shows that the development cooperation between these inland ports and industries is not perfect, and that inland ports and industries need to develop together, influence one another, cooperate with one another, and deeply integrate to achieve common development. The first step should be to increase foreign exchanges and communication, promote the flow of technology, information, and economy between regions, promote the development of an export-oriented economy, and then enhance the industry’s dependence on inland ports, bring sufficient supply of goods to inland ports, put forward new requirements for inland ports, and further promote the high-quality development of inland ports. The second step should be to continuously improve the collection and distribution capacity of inland ports, expand the market scope, enhance regional industrial competitiveness, expand the regional industrial scale, drive the development of related modern service industries, optimize the industrial structure, and promote the transformation and upgrading of relevant enterprises. The third step should be to promote the development of industries related to inland ports, promote the development of high-tech industries, intensify the industrial agglomeration of ports, and drive the development of related modern service industries. The above three points can enhance the dependence between inland ports and industries, and they can improve the level of coordinated development of inland ports and industries along the Yangtze River (see Figure 10 and Figure 11).
Table 6.
Synergy evaluation results of the inland port–industry composite system along the Yangtze River.
Figure 10.
Synergy degree of the inland port–industry composite system along the Yangtze River.
Figure 11.
A comparison of the synergy fluctuation of the inland port–industry system and composite system along the Yangtze River.
5. Concluding Remarks
5.1. Conclusions
Firstly, the comprehensive development index of port and industrial systems and the degree of coupling synergy in the development of ports and industries along the Yangtze River were calculated by using the composite system synergy degree model. Next, the results of the synergy degree of the port–industry composite system were evaluated. Then, the coupling synergy development of ports and industries along the Yangtze River was analyzed from the perspectives of port development, industrial development, and overall development. Our research draws the following conclusions:
(1) The comprehensive development index of ports in Suzhou, Nanjing, and Chongqing demonstrated a relatively high level from 2010 to 2019. However, with the passage of time, the comprehensive development index in the above cities fluctuated greatly, while the same index of other provinces and cities remained relatively stable. From the perspective of industrial development, Suzhou and Chongqing demonstrated the highest comprehensive industrial development index between 2010 and 2019, with that of Chongqing showing the most obvious fluctuation in its industrial system, that of Luzhou and Yibin remaining at the lowest level, and that of other cities remaining relatively stable.
(2) From 2010 to 2019, the synergy degree of Suzhou, Chongqing, Nanjing, and Wuhan was relatively high, all exceeding 0.5. With the exceptions of Luzhou and Yibin, which showed a downward trend in 2016 in terms of the degree of port–industry synergy, that of other cities increased annually. In the lower reaches of the Yangtze River, the degree of port–industry synergy of Ma’anshan was mildly maladjusted, while that of Wuhu developed from mildly maladjusted to sound synergy. In the middle reaches of the Yangtze River, the degree of port–industry synergy of Jiujiang gradually developed from a good synergy pattern to a mildly maladjusted one, while that of Yueyang developed from mildly maladjusted to sound synergy. In the upper reaches of the Yangtze River, except for Chongqing, other cities (including Yibin and Luzhou) all demonstrated a mildly maladjusted pattern over the 10 years. Therefore, it is necessary to continuously improve the gathering and distribution capacity of inland ports, expand the harbor hinterland, strengthen connectivity between ports and logistics parks, promote the development of inland-port-related industries, and intensify the industrial agglomeration in ports.
5.2. Future Research Directions
Although this paper provides some meaningful insights into the complex synergy of the inland port industry in the Yangtze River Economic Belt, it has several limitations that need to be further explored. First of all, we used two subsystems to evaluate port development and industrial development, but the evaluation indicators of the two systems can be improved. Therefore, it would be an interesting and valuable discussion to empirically examine the influencing factors of port–industry synergy. Second, the analysis of interactive development mechanisms between ports and industries is of great significance to the sustainable development of the port industry. This issue was not considered in this study and deserves further discussion in the future.
Author Contributions
Y.W. contributed to the main idea of the manuscript and wrote the manuscript. C.H. contributed to the instruction of the manuscripts. W.Z. performed the data analyses. M.L. helped perform the analysis and contributed with constructive discussions. All authors have read and agreed to the published version of the manuscript.
Funding
This research received no external funding.
Institutional Review Board Statement
Not applicable.
Informed Consent Statement
Not applicable.
Data Availability Statement
Data are contained within the present article.
Conflicts of Interest
The authors declare no conflict of interest.
References
- Meng, K.; Zhang, C. Research on The Coupling and Synergy Development of Logistics and Regional Industries in Inland Ports—Taking Wuhan Port as An Example. Price Mon. 2021, 1, 80–87. [Google Scholar]
- Sun, Z.Q.; Chen, W.Q.; Lan, Z.R. Research on Regional Green Innovation Capability Based on Entropy Weight TOPSIS Method. Enterp. Econ. 2019, 38, 20–26. [Google Scholar]
- Zhang, X.F.; Lu, J. Evolution Characteristics and Spatial Hierarchy of China’s Coastal Port Economy. J. Shanghai Marit. Univ. 2020, 41, 70–77. [Google Scholar]
- Liu, T.S.; Kuang, H.B.; Liu, J.G.; Li, X.D.; Wang, C.P. Maturity Evaluation of Port Security Management Based on TOPSIS with Entropy Weight of Interval Number. J. Harbin Eng. Univ. 2019, 40, 1024–1030. [Google Scholar]
- Zhang, J.; Zhang, Z.H.; Li XD Sun, Q.; Qiao, W. Evaluation of Port Military Transportation Capacity Based on Entropy Weight TOPSIS Method. J. Tsinghua Univ. (Nat. Sci. Ed.) 2018, 58, 494–499. [Google Scholar]
- Che, C.Y.; Liu, J.G.; Li, J. Port Safety Evaluation Based on Entropy Weight TOPSIS. J. Dalian Marit. Univ. 2016, 42, 47–54. [Google Scholar]
- Kuang, H.B.; Chen, S.W. Research and Demonstration of Port Comprehensive Competitiveness Evaluation Model Based on Entropy Weight TOPSIS. Sci. Manag. Sci. Technol. 2007, 10, 157–162. [Google Scholar]
- Jin, G. Selection of virtual team members for smart port development projects through the application of the direct and indirect uncertain TOPSIS method. Expert Syst. Appl. 2023, 217, 119555. [Google Scholar] [CrossRef]
- Gayathri, C.; Kamala, V.; Gajanand, M.S.; Yamini, S. Analysis of operational and financial performance of ports: An integrated fuzzy DEMATEL-TOPSIS approach. Benchmarking Int. J. 2022, 29, 1046–1066. [Google Scholar] [CrossRef]
- Yang, Z.; Wan, C.; Yang, Z.; Yu, Q. Using Bayesian network-based TOPSIS to aid dynamic port state control detention risk control decision. Reliab. Eng. Syst. Saf. 2021, 213, 107784. [Google Scholar] [CrossRef]
- Ren, Z. Evaluation Method of Port Enterprise Product Quality Based on Entropy Weight TOPSIS. J. Coast. Res. 2020, 103, 766–769. [Google Scholar] [CrossRef]
- Wu, X.L.; Liu, J.; Wang, J.Q. Research on Key Issues of Port-industry Integration Development. Water Transp. Eng. 2022, 2, 70–75, 111. [Google Scholar]
- Liu, X.B.; Li, B.F.; Yang, B.; Zhang, Z.X.; Guo, Y. Key Points of International Dry Port Planning under The New Development Pattern of “Double Circulation”. Water Transp. Eng. 2021, 10, 37–43. [Google Scholar]
- Lin, B.; Tang, J. Impact of Port-City Coordination Upon Hinterland Economy in Pearl River Delta. Int. J. Innov. Comput. Inf. Control 2023, 19, 289–297. [Google Scholar] [CrossRef]
- Attardi, R.; Bonifazi, A.; Torre, C.M. Evaluating Sustainability and Democracy in the Development of Industrial Port Cities: Some Italian Cases. Sustainability 2012, 4, 3042–3065. [Google Scholar] [CrossRef]
- Fu, L.R.; Ren, Y.S.; Lu, L.; Zhang, H.Z. Research on The Integration Development and Evolution Characteristics of “Port Industry City” in Nantong. Mod. Urban Res. 2021, 6, 60–66. [Google Scholar]
- Monios, J.; Bergqvist, R.; Woxenius, J. Port-centric cities: The role of freight distribution in defining the port-city relationship. J. Transp. Geogr. 2018, 66, 53–64. [Google Scholar] [CrossRef]
- Zhan, J.L.; Li, Y. Port Industry City Interaction in Jiangsu Coastal Development: Causes, Problems and Paths. Sci. Technol. Prog. Strateg. 2014, 8, 47–52. [Google Scholar]
- Meng, Q.S.; Han, W.X. Research on Synergy Degree Model of Composite System. J. Tianjin Univ. 2000, 4, 444–446. [Google Scholar]
- Hao, Y.Z.; Chu, T.T. Research on The Development Synergy of Beijing, Tianjin, and Hebei ports. Econ. Rev. 2017, 12, 107–116. [Google Scholar]
- Deng, P.; Ke, Q. Measurement and Analysis of Influencing Factors of Synergic Development of Ports in The Upper Reaches of The Yangtze River. J. Shanghai Marit. Univ. 2021, 4, 68–73. [Google Scholar]
- Yin, X.Y.; Zhu, H.L.; Qu, M.H. The Development of China’s Coastal Port City Relationship and Its Role in Urban Economic Growth. Geoscience 2022, 42, 984–992. [Google Scholar]
- Jiang, L.P.; Feng, X.J.; Wang, W. Synergy Degree Model of “Port Industry City” Composite System. Water Econ. 2011, 1, 11–14, 18, 73. [Google Scholar]
- She, J.; Du, P. Research on The Coordinated Development of Shanghai’s Regional Development and Low-Carbon Economy Based on the Coordination Degree Model of Composite Systems. Fresenius Environ. Bull. 2021, 30, 12439–12445. [Google Scholar]
- Jiang, Y.; Guo, X.; Ni, H. Research on The Ecological Environment Synergy of Cross-Border E-Commerce Logistics Industry Based on the Compound Synergy Model. Fresenius Environ. Bull. 2021, 30, 13118–13125. [Google Scholar]
- Chen, Y.; Zhou, G.; Wang, H.; Cui, S.; Bi, F.; Yu, X. The Evolution Characteristics and Enhancement Paths of the Economy-Society-Ecology Coordinated Development Level of Changsha-Zhuzhou-Xiangtan Urban Agglomeration. Trop. Geogr. 2023, 43, 519–531. [Google Scholar] [CrossRef]
- Zhan, B.; Zhang, Y.Q.; Su, J.; Hu, X.Y. Efficiency Evaluation of Major Inland Ports along The Yangtze River Based on DEA Model. China Navig. 2022, 3, 39–46. [Google Scholar]
- Zhao, Y.L. The Mechanism and Empirical Study of the Mutual Influence between the Employment Flow of College Graduates and the Upgrading of Industrial Structure in China; University of Science and Technology Beijing: Beijing, China, 2023. [Google Scholar]
- Fu, B.Z.; Zhou, J. The Connotation and Characteristics of the Industrial System for Collaborative Development: A Collaborative Mechanism Based on Real Economy, Technological Innovation, Modern Finance, and Human Resources. Econ. Rev. 2018, 12, 23–33, 2. [Google Scholar]
- Fang, M.Q. The Complexity of Socio-Economic Systems–Concepts, Roots, and Strategies. J. Cap. Norm. Univ. (Soc. Sci. Ed.) 2003, 1, 101–105. [Google Scholar]
- Garg, C.P.; Kashav, V.; Wang, X. Evaluating sustainability factors of green ports in China under fuzzy environment. In Environment, Development and Sustainability: A Multidisciplinary Approach to the Theory and Practice of Sustainable Development; Springer: Berlin/Heidelberg, Germany, 2023; Volume 25, pp. 7795–7821. [Google Scholar] [CrossRef]
Disclaimer/Publisher’s Note: The statements, opinions and data contained in all publications are solely those of the individual author(s) and contributor(s) and not of MDPI and/or the editor(s). MDPI and/or the editor(s) disclaim responsibility for any injury to people or property resulting from any ideas, methods, instructions or products referred to in the content. |
© 2023 by the authors. Licensee MDPI, Basel, Switzerland. This article is an open access article distributed under the terms and conditions of the Creative Commons Attribution (CC BY) license (https://creativecommons.org/licenses/by/4.0/).










