Research on Psychological Crisis Intervention Strategies under Emergencies: An Analysis Based on the Four-Party Evolutionary Game
Abstract
1. Introduction
2. Literature Review
3. Construction and Analysis of Multi-Subject Game Models for Psychological Crisis Intervention under Emergencies
3.1. Theoretical Foundation
3.2. Multi-Subject Analysis of Psychological Crisis Intervention
3.2.1. Government
3.2.2. Medical Institutions
3.2.3. Community
3.2.4. The Public
3.3. Multi-Subject Evolutionary Game Model Construction
3.3.1. Basic Assumptions
3.3.2. Benefit Matrix Construction and Parameter Description
3.4. Analysis of the Stability of Each Game Subject’s Strategy
3.4.1. Analysis of the Stability of Government Strategies
3.4.2. Analysis of the Stability of Medical Institutions Strategies
3.4.3. Analysis of the Stability of Community Strategies
3.4.4. Analysis of the Stability of the Public Strategies
3.5. Stability Analysis of Strategy Combination Evolution
3.5.1. Analysis of the Stability of the Strategy Combinations under Government
Strict Regulation
3.5.2. Analysis of the Stability of Strategy Combinations under Government
Loose Regulation
4. Analysis of Simulation Results
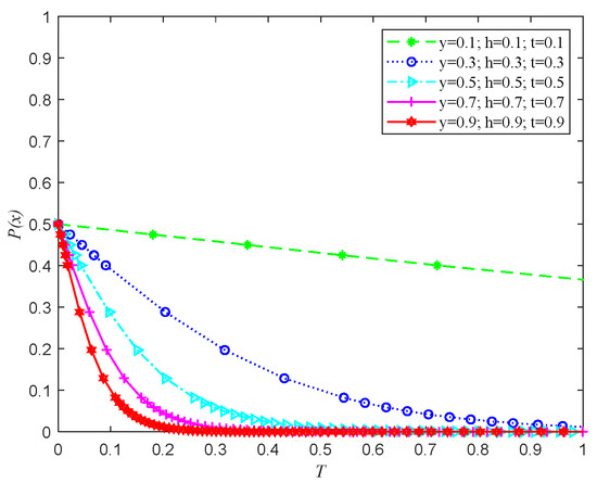
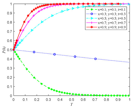
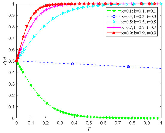
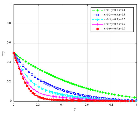
4.1. Numerical Simulation Analysis of Stable Equilibrium Point
4.2. Analysis of the Impact of Government Strict Regulation Costs
4.3. Analysis of the Impact of Being Penalized by Superiors Due to Unfavorable
Government Regulation
4.4. Analysis of the Impact of the Costs of Adopting Positive Behaviors in the Medical Institution and Community, and of Government Rewards and Penalties
4.5. Stability Point Simulation Analysis of Combined Strategies
5. Discussion
6. Conclusions
6.1. Main Findings
6.2. Policy Recommendations
6.3. Limitation and Future Direction
Author Contributions
Funding
Institutional Review Board Statement
Informed Consent Statement
Data Availability Statement
Conflicts of Interest
References
- Li, S.; Wang, Y.; Xue, J.; Zhao, N.; Zhu, T. The impact of COVID-19 epidemic declaration on psychological consequences: A study on active Weibo users. Int. J. Environ. Res. Public Health 2020, 17, 2032. [Google Scholar] [CrossRef]
- Pakpour, A.; Griffiths, M.; Lin, C. Assessing psychological response to the COVID-19: The fear of COVID-19 scale and the COVID stress scales. Int. J. Ment. Health Addict. 2021, 19, 2407–2410. [Google Scholar] [CrossRef] [PubMed]
- Garfin, D.; Silver, R.; Holman, E. The novel coronavirus (COVID-2019) outbreak: Amplification of public health consequences by media exposure. Health Psychol. 2020, 39, 355–357. [Google Scholar] [CrossRef]
- Munawar, K.; Choudhry, F. Exploring stress coping strategies of frontline emergency health workers dealing COVID-19 in Pakistan: A qualitative inquiry. Am. J. Infect. Control 2021, 49, 286–292. [Google Scholar] [CrossRef] [PubMed]
- Staszkiewicz, P.; Chomiak-Orsa, I.; Staszkiewicz, I. Dynamics of the COVID-19 Contagion and Mortality: Country Factors, Social Media, and Market Response Evidence From a Global Panel Analysis. IEEE Access 2020, 8, 106009–106022. [Google Scholar] [CrossRef]
- Cheng, J.; Tan, X.; Zhang, L.; Zhu, S.; Yao, H.; Liu, B. Research on the psychological status and influencing factors of novel coronavirus pneumonia patients and people under medical observation. J. Nurs. Adm. 2020, 20, 247–251. [Google Scholar]
- Xi, J. Winning the decisive victory in building a moderately prosperous society in all respects and achieving the great victory of socialism with Chinese characteristics in the new era—Report to the 19th National Congress of the Communist Party of China. Theory Study 2017, 12, 4–25. [Google Scholar]
- Ministry of Emergency Management of the People’s Republic of China. General Emergency Response Plan for National Public Emergencies. Available online: https://www.mem.gov.cn/xw/jyll/200602/t20060220_230269.shtml (accessed on 25 June 2023).
- The National People’s Congress. Law of the People’s Republic of China on Emergency Response. Available online: http://www.npc.gov.cn/npc/c198/200708/91cd75de0e74484bb912f9b6c96af839.shtml (accessed on 25 June 2023).
- Yip, P.; Cheung, Y.; Chau, P.; Law, Y. The Impact of Epidemic Outbreak: The Case of Severe Acute Respiratory Syndrome (SARS) and Suicide Among Older Adults in Hong Kong. Crisis 2010, 31, 86–92. [Google Scholar] [CrossRef] [PubMed]
- Chan, A.; Huak, C. Psychological impact of the 2003 severe acute respiratory syndrome outbreak on health care workers in a medium size regional general hospital in Singapore. Occup. Med. 2004, 54, 190–196. [Google Scholar] [CrossRef]
- Xiang, Y.; Chi, X.; Jiang, Y.; Wang, R.; Mo, L. Psychosomatic Status, Personality Traits, and Coping Styles of Bereaved and Non-Bereaved Survivors of the 2008 Wenchuan Earthquake, China. Front. Psychiatry 2016, 7, 17. [Google Scholar] [CrossRef] [PubMed]
- Goulia, P.; Mantas, C.; Dimitroula, D.; Mantis, D.; Hyphantis, T. General hospital staff worries, perceived sufficiency of information and associated psychological distress during the A/H1N1 influenza pandemic. BMC Infect. Dis. 2010, 10, 322. [Google Scholar] [CrossRef]
- Rabani, S.; Khanday, A.; Khan, Q.; Hajam, U.; Imran, A.; Kastrati, Z. Detecting suicidality on social media: Machine learning at rescue. Egypt. Inform. J. 2023, 24, 291–302. [Google Scholar] [CrossRef]
- Shultz, J.; Cooper, J.; Baingana, F.; Oquendo, M.; Espinel, Z.; Althouse, B.; Marcelin, L.; Towers, S.; Espinola, M.; McCoy, C.; et al. The Role of Fear-Related Behaviors in the 2013–2016 West Africa Ebola Virus Disease Outbreak. Curr. Psychiatry Rep. 2016, 18, 104. [Google Scholar] [CrossRef]
- Ornell, F.; Schuch, J.; Sordi, A.; Kessler, F. “Pandemic fear” and COVID-19: Mental health burden and strategies. Braz. J. Psychiatr. 2020, 42, 232–235. [Google Scholar] [CrossRef]
- Torales, J.; Higgins, M.; Castaldelli-Maia, J.; Ventriglio, A. The outbreak of COVID-19 coronavirus and its impact on global mental health. Int. J. Soc. Psychiatry 2020, 66, 317–320. [Google Scholar] [CrossRef]
- Tian, F.; Li, H.; Tian, S.; Yang, J.; Shao, J.; Tian, C. Psychological symptoms of ordinary Chinese citizens based on SCL-90 during the level I emergency response to COVID-19. Psychiatry Res. 2020, 288, 112992. [Google Scholar] [CrossRef] [PubMed]
- Chen, B.; Wang, L.; Li, B.; Liu, W. Work stress, mental health, and employee performance. Front. Psychol. 2022, 13, 1006580. [Google Scholar] [CrossRef] [PubMed]
- Yuan, L.; Yang, Q. A Study on Collaboration and Linkage Mechanism for Quick Response Intelligence System in Major Disasters Emergency Decision. J. Sichuan Univ. (Philos. Soc. Sci. Ed.) 2014, 3, 116–124. [Google Scholar]
- Li, F.; Pang, S. Analysis of Community Emergency Management Construction Model in China Based on the Perspective of Governance Theory. Manag. Rev. 2015, 27, 197–208. [Google Scholar]
- Li, C.; Zhang, F.; Cao, C.; Liu, Y.; Qu, T. Organizational coordination in sustainable humanitarian supply chain: An evolutionary game approach. J. Clean. Prod. 2019, 219, 291–303. [Google Scholar] [CrossRef]
- Zheng, L. Evolutionary Game Analysis of Information Quality Based on Participatory Governance Theory. Inf. Sci. 2020, 38, 154–160. [Google Scholar]
- Zhu, H.; Wu, D. Evolutionary Game Analysis on Sustainable Collaboration between Government and NGO in Emergency Management. J. Risk Disaster Crisis Res. 2020, 2, 112–133. [Google Scholar]
- Zhang, L.; Wang, H.; Tong, J. Behavioral Game Research of Emergency Management Cooperation for Unexpected Water Disaster. Chin. J. Manag. Sci. 2014, 22, 92–97. [Google Scholar]
- Wang, Z.; Xu, W.; Yang, J.; Peng, J. A Game Theoretic Approach for Resource Allocation Based on Ant Colony Optimization in Emergency Management. In Proceedings of the 2009 International Conference on Information Engineering and Computer Science, Wuhan, China, 19–20 December 2009; pp. 1–4. [Google Scholar]
- Luo, J.; Li, C. Capacity Reserve Strategy of Emergency Materials Based on Evolutionary Game. Ind. Eng. J. 2015, 18, 15–19. [Google Scholar]
- Yang, J.; Xu, C. Emergency Decision Engineering Model Based on Sequential Games. Syst. Eng. Procedia 2012, 5, 276–282. [Google Scholar] [CrossRef]
- Wen, H. Research on the Evolution of University Network Public Opinion Based on Four-participant Evolutionary Game. Manag. Rev. 2022, 34, 158–169. [Google Scholar]
- Yang, L.; Ren, Y. Moral obligation, public leadership, and collective action for epidemic prevention and control: Evidence from the corona virus disease 2019 (COVID-19) emergency. Int. J. Environ. Res. Public Health 2020, 17, 2731. [Google Scholar] [CrossRef] [PubMed]
- Mitchell, R.; Agle, B.; Wood, D. Toward a theory of stakeholder identification and salience: Defining the principle of who and what really counts. Acad. Manag. Rev. 1997, 22, 853–886. [Google Scholar] [CrossRef]
- Chavoshlou, A.; Khamseh, A.; Naderi, B. An optimization model of three-player payoff based on fuzzy game theory in green supply chain. Comput. Ind. Eng. 2019, 128, 782–794. [Google Scholar] [CrossRef]
- Lv, R.; Li, H.; Sun, Q.; Li, B. Research on panic spread and decision behaviour in a delayed SEIR evolutionary game model under an emergency. Sci. Rep. 2023, 13, 17360. [Google Scholar] [CrossRef]
- Wang, Y.; Meng, W. Evolutionary Game Analysis on Co-competition Mechanism of Supply Chain. J. Ind. Eng. Eng. Manag. 2004, 20, 96–98. [Google Scholar]
- Xi, J. Speech on the investigation of COVID-19 prevention and control in Hubei Province. Seek. Knowl. 2020, 4, 4–7. [Google Scholar]
- Zhou, Y.; Liu, A.; Pu, Z.; Zhou, M.; Ding, H.; Zhou, J. An investigation of the psychological stress of medical staff in Shanghai shelter hospital during COVID-19. Front. Psychol. 2023, 14, 1083793. [Google Scholar] [CrossRef]
- Mukherjee, D.; Saxon, V. “Psychological Boarding” and community-based behavioral health crisis stabilization. Community Ment. Health J. 2019, 55, 375–384. [Google Scholar] [CrossRef]
- Thelwall, M.; Stuart, D. RUOK? Blogging communication technologies during crises. J. Comput. Mediat. Comm. 2007, 12, 523–548. [Google Scholar] [CrossRef]
- Jiang, Z.; Li, W.; Ma, C.; Ma, L.; Zhang, B.; Lu, K.; Li, W. Joint Operation of Renewable Energy and Battery Switch Station Considering the Benefits of Different Subjects. Appl. Sci. 2019, 9, 1679. [Google Scholar] [CrossRef]
- Xing, H.; Li, Y.; Li, H. Renegotiation Strategy of Public-Private Partnership Projects with Asymmetric Information—An Evolutionary Game Approach. Sustainability 2020, 12, 2646. [Google Scholar] [CrossRef]
- Caldwell, D.; Welton, N. Approaches for synthesising complex mental health interventions in meta-analysis. BMJ Ment. Health 2016, 19, 16–21. [Google Scholar] [CrossRef] [PubMed]
- Ritzberger, B.; Weibull, J. Evolutionary Selection in Normal-Form Games. Econometrica 1995, 63, 1371–1399. [Google Scholar] [CrossRef]
- Selten, R. A Note on Evolutionarily Stable Strategies in Asymmetric Animal Conflicts. J. Theor. Biol. 1980, 84, 93–101. [Google Scholar] [CrossRef]
- Hafezalkotob, A.; Borhani, S.; Zamani, S. Development of a Cournot-Oligopoly Model for Competition of Multi-Product Supply Chains under Government Supervision. Sci. Iran. 2016, 24, 1519–1532. [Google Scholar] [CrossRef]
- Zhu, Q.; Liu, C. The Application of MATLAB Simulation Technology on Evolutionary Game Analysis. Appl. Mech. Mater. 2014, 687–691, 1619–1621. [Google Scholar]
- Zhang, Z.; Yu, J. Game simulation analysis of radical innovation processes of high-tech enterprises based on WoO-EGT model. Teh. Vjesn. 2019, 26, 518–526. [Google Scholar]
- Sun, S.; Su, Q. Four-Party Evolutionary Game Analysis of Quality Supervision of Medical Research Reports in Major Epidemic Period. Chin. J. Manag. 2020, 17, 1391–1401. [Google Scholar]
- Heard, D. Crisis intervention guided by attachment concepts-a case study. J. Child Psychol. Psychiatry 1974, 15, 111–122. [Google Scholar] [CrossRef]
- Huang, Y.; Zhao, N. Mental health burden for the public affected by the COVID-19 outbreak in China: Who will be the high-risk group? Psychol. Health Med. 2020, 26, 23–24. [Google Scholar] [CrossRef] [PubMed]
- Duan, L.; Zhu, G. Psychological interventions for people affected by the COVID-19 epidemic. Lancet Psychiat. 2020, 7, 300–302. [Google Scholar] [CrossRef] [PubMed]
- O’Donoghue, B.; O’Connor, K.; Thompson, A.; McGorry, P. The need for early intervention for psychosis to persist throughout the COVID-19 pandemic and beyond. Ir. J. Psychol. Med. 2020, 38, 214–219. [Google Scholar] [CrossRef] [PubMed]
- Gálvez-Herrer, M.; Via-Clavero, G.; Ángel-Sesmero, J.; Heras-La Calle, G. Psychological crisis and emergency intervention for frontline critical care workers during the COVID-19 pandemic. J. Clin. Nurs. 2022, 31, 2309–2323. [Google Scholar] [CrossRef]
- Yang, Y.; Sun, S.; Hu, S.; Tang, C.; Zhang, Y.; Lin, H. Comparative Effectiveness of Multiple Psychological Interventions for Psychological Crisis in People Affected by Coronavirus Disease 2019: A Bayesian Network Meta-Analysis. Front. Psychol. 2021, 12, 577187. [Google Scholar] [CrossRef]
- Schauer, M.; Schauer, E. Trauma-Focused Public Mental-Health Interventions: A Paradigm Shift in Humanitarian Assistance and Aid Work. In Trauma Rehabilitation after War and Conflict; Springer: New York, NY, USA, 2010; pp. 389–428. [Google Scholar]
- Guo, D.; Habich-Sobiegalla, S.; Kostka, G. Emotions, crisis, and institutions: Explaining compliance with COVID-19 regulations. In Regulation Governance; Wiley: Hoboken, NJ, USA, 2023; pp. 1–26. [Google Scholar]
- Cheng, W.; Zhang, F.; Liu, Z.; Zhang, H.; Lyu, Y.; Xu, H.; Hua, Y.; Gu, J.; Yang, Z.; Liu, J. A psychological health support scheme for medical teams in COVID-19 outbreak and its effectiveness. Gen. Psychiatry 2020, 33, e100288. [Google Scholar] [CrossRef] [PubMed]
- Cheng, W.; Zhang, F.; Liu, Z.; Zhang, H.; Lyu, Y.; Xu, H.; Hua, Y.; Gu, J.; Yang, Z.; Liu, J. ICT-Enabled Community Empowerment in Crisis Response: Social ICT-Enabled Community Empowerment in Crisis Response: Social Media in Thailand Flooding. J. Assoc. Inf. Syst. 2015, 16, 174–212. [Google Scholar]



















| Strategy | Community | ||||||
|---|---|---|---|---|---|---|---|
| The Public | The Public | ||||||
| Government | Medical institution | ||||||
| Medical institution | |||||||
| Strategy | Community | ||||||
|---|---|---|---|---|---|---|---|
| The Public | The Public | ||||||
| Government | Medical institution | ||||||
| Medical institution | |||||||
| Equilibrium Point | Eigenvalue λ1, λ2, λ3, λ4 | Positivity and Negativity | Stability |
|---|---|---|---|
| (1,0,0,0) | − C2 − B4 − C3 − B5 + R2, C1 − L1 − L2 − R1 − R2, R1 + C4 + R2 + θR1 + θR2 | (U, U, U, +) | instability |
| (1,0,0,1) | − C2 − B4 − C3 − B5 + R2, C4 + R1 + R2 + θR1 + θR2, C1 − L1 − L2 − L3 − θR1 − θR2 | (U, U, +, U) | instability |
| (1,0,1,0) | R1 + C4 + θR1, B5 + C3 − − R2, C1 − L1 − L2 − R1, B2 − B4 − C2 + L1 + R1 | (+, U, U, U) | instability |
| (1,0,1,1) | C4 + R1 + θR1, B5 + C3 − − R2, C1 − L1 − L2 − L3 − θR1, B2 − B4 − C2 + L1 + R1 | (+, U, U, U) | instability |
| (1,1,0,0) | R2 + C4 + θR2, B4 + C2 − − R1, C1 − L1 − L2 − R2, B3 − B5 − C3 + L2 + R2 | (+, U, U, U) | instability |
| (1,1,0,1) | C4 + R2 + θR2, B4 + C2 − − R1, C1 − L1 − L2 − L3 − θR2, B3 − B5 − C3 + L2 + R2 | (+, U, U, U) | instability |
| (1,1,1,0) | −C4 − L1 − R1, B5 − B3 + C3 − − L2 − R2 | (−, U, U, U) | ESS (condition 1) |
| (1,1,1,1) | C4, B2 + B3 + C1−L3, B4−B2 + C2 − − L1 − R1, B5 − B3 − L2 − R2 | (+, U, U, U) | instability |
| Equilibrium Point | Eigenvalue λ1, λ2, λ3, λ4 | Positivity and Negativity | Stability |
|---|---|---|---|
| (0,0,0,0) | −B4 − C2, −B5 − C3, R1 − C4 + R2, L1 + C1 + L2 + R1 + R2 | (−, −, U, +) | instability |
| (0,0,0,1) | C4 − R1 − R2 − C2 − B4 + − C3 − B5 + R2, L1 + C1 + L2 + L3 + θR1 + θR2 | (U, U, U, +) | instability |
| (0,0,1,0) | R1 − C4, −B4 − C2, B5 + C3, L1 − C1 + L2 + R1 | (U, −, +, U) | instability |
| (0,0,1,1) | C4 + − C2 − B4 + R1, B5 + C3 − − R2, L1 − C1 + L2 + L3 + θR1 | (+, U, U, U) | instability |
| (0,1,0,0) | R2 − C4, −B5 − C3, B4 + C2, L1 − C1 + L2 + R2 | (U, −, +, U) | instability |
| (0,1,0,1) | C4 + R2, B4 + C2 − − R1 − C3 − B5 + R2, L1 − C1 + L2 + L3 + θR2 | (+, U, U, U) | instability |
| (0,1,1,0) | −C4, B4 − C2, B5 − C3, −B2 − B3 − C1 | (−, U, U, −) | ESS (condition 2) |
| (0,1,1,1) | C4, B4 + C2 − − R1, B5 + C3 − − R2, L3 − B3 − C1 − B2 | (+, U, U, U) | instability |
Disclaimer/Publisher’s Note: The statements, opinions and data contained in all publications are solely those of the individual author(s) and contributor(s) and not of MDPI and/or the editor(s). MDPI and/or the editor(s) disclaim responsibility for any injury to people or property resulting from any ideas, methods, instructions or products referred to in the content. |
© 2023 by the authors. Licensee MDPI, Basel, Switzerland. This article is an open access article distributed under the terms and conditions of the Creative Commons Attribution (CC BY) license (https://creativecommons.org/licenses/by/4.0/).
Share and Cite
Chen, L.; Li, H.; Tian, F.; Xie, C.; Zhao, L. Research on Psychological Crisis Intervention Strategies under Emergencies: An Analysis Based on the Four-Party Evolutionary Game. Sustainability 2023, 15, 15226. https://doi.org/10.3390/su152115226
Chen L, Li H, Tian F, Xie C, Zhao L. Research on Psychological Crisis Intervention Strategies under Emergencies: An Analysis Based on the Four-Party Evolutionary Game. Sustainability. 2023; 15(21):15226. https://doi.org/10.3390/su152115226
Chicago/Turabian StyleChen, Lei, Hongxia Li, Fangyuan Tian, Can Xie, and Lin Zhao. 2023. "Research on Psychological Crisis Intervention Strategies under Emergencies: An Analysis Based on the Four-Party Evolutionary Game" Sustainability 15, no. 21: 15226. https://doi.org/10.3390/su152115226
APA StyleChen, L., Li, H., Tian, F., Xie, C., & Zhao, L. (2023). Research on Psychological Crisis Intervention Strategies under Emergencies: An Analysis Based on the Four-Party Evolutionary Game. Sustainability, 15(21), 15226. https://doi.org/10.3390/su152115226

