Prediction of Compressive Strength and Elastic Modulus for Recycled Aggregate Concrete Based on AutoGluon
Abstract
:1. Introduction
2. AutoGluon Technology
2.1. Introduction and Advantages of AutoGluon
2.2. AutoGluon-Based Model Training
3. Data Collection and Evaluation Indicators
3.1. Data Collection
3.2. Evaluation Criteria
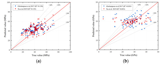
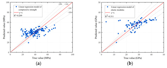
4. Results and Discussion
4.1. Predictions Based on AutoML Models of AG
4.2. Comparison with Existing Empirical Formulas
4.3. Comparison of Multiple Linear Regression Models Based on SPSS Software
4.4. The Compressive Strength and Elastic Modulus of Traditional Conversion Formulas
| Experience Formula | Statistical Parameter | |||
|---|---|---|---|---|
| R² | MAE | RMSE | MAPE | |
| GB 50010-2010 | 0.330 | 6.514 | 8.772 | 53.949 |
| Corindalesi (2010) [32] | 0.206 | 5.563 | 8.286 | 48.051 |
| Ravindrarajah (1978) [33] | 0.153 | 6.307 | 10.074 | 55.527 |
| WeightedEnsemble | 0.734 | 3.051 | 4.420 | 27.307 |
5. Conclusions
Author Contributions
Funding
Institutional Review Board Statement
Informed Consent Statement
Data Availability Statement
Acknowledgments
Conflicts of Interest
Abbreviations
| RAC | Recycled Aggregate Concrete |
| AG | AutoGluon |
| AutoML | Automatic Machine Learning |
Appendix A
| Number | Water [kg] | Cement [kg] | Natural Fine Aggregate [kg] | Natural Coarse Aggregate [kg] | Recycled Coarse Aggregate [kg] | Water Reducer [kg] | Silicon Ash [kg] | Fly Ash [kg] | Compressive Strength [MPa] |
|---|---|---|---|---|---|---|---|---|---|
| 1 | 184 | 340 | 656 | 1220 | 0 | 0 | 0 | 0 | 35.7 |
| 2 | 184 | 340 | 656 | 854 | 366 | 0 | 0 | 0 | 37.8 |
| 3 | 184 | 340 | 656 | 610 | 610 | 0 | 0 | 0 | 39.5 |
| 4 | 184 | 340 | 656 | 366 | 854 | 0 | 0 | 0 | 38.4 |
| 5 | 184 | 340 | 656 | 0 | 1220 | 0 | 0 | 0 | 39.1 |
| 6 | 184 | 340 | 656 | 610 | 610 | 0 | 0 | 0 | 39.8 |
| 7 | 184 | 306 | 656 | 610 | 610 | 0 | 0 | 0 | 39.1 |
| 8 | 184 | 272 | 656 | 610 | 610 | 0 | 0 | 0 | 36.9 |
| 9 | 184 | 238 | 656 | 610 | 610 | 0 | 0 | 0 | 33.7 |
| 10 | 184 | 340 | 656 | 1220 | 0 | 0 | 0 | 0 | 35.7 |
| 11 | 116 | 340 | 656 | 610 | 610 | 0 | 0 | 0 | 52.4 |
| 12 | 150 | 340 | 656 | 610 | 610 | 0 | 0 | 0 | 46.8 |
| 13 | 184 | 340 | 656 | 610 | 610 | 0 | 0 | 0 | 39.5 |
| 14 | 218 | 340 | 656 | 610 | 610 | 0 | 0 | 0 | 27.9 |
| 15 | 207 | 360 | 690 | 0 | 1140 | 0 | 0 | 0 | 38.2 |
| 16 | 198 | 360 | 700 | 0 | 1140 | 0 | 0 | 0 | 41.3 |
| 17 | 209 | 380 | 690 | 0 | 1120 | 0 | 0 | 0 | 41.8 |
| 18 | 199 | 380 | 690 | 0 | 1130 | 0 | 0 | 0 | 44.1 |
| 19 | 181 | 330 | 715 | 0 | 1175 | 0 | 0 | 0 | 33.5 |
| 20 | 185 | 430 | 555 | 1295 | 0 | 0 | 0 | 0 | 34.5 |
| 21 | 185 | 390 | 558 | 1301 | 0 | 0 | 0 | 0 | 31.3 |
| 22 | 214 | 667 | 362 | 1086 | 0 | 0 | 0 | 0 | 48.3 |
| 23 | 221 | 667 | 360 | 1080 | 0 | 0 | 0 | 0 | 40.2 |
| 24 | 209 | 666 | 364 | 1093 | 0 | 0 | 0 | 0 | 46 |
| 25 | 217 | 660 | 287 | 861 | 209 | 0 | 0 | 0 | 44.9 |
| 26 | 230 | 661 | 284 | 853 | 202 | 0 | 0 | 0 | 43.2 |
| 27 | 206 | 661 | 288 | 864 | 216 | 0 | 0 | 0 | 43 |
| 28 | 229 | 647 | 176 | 527 | 513 | 0 | 0 | 0 | 44.7 |
| 29 | 247 | 647 | 175 | 524 | 496 | 0 | 0 | 0 | 39.7 |
| 30 | 207 | 649 | 177 | 531 | 531 | 0 | 0 | 0 | 38.1 |
| 31 | 190 | 380 | 714 | 1004 | 0 | 0 | 0 | 0 | 45.25 |
| 32 | 190 | 380 | 744 | 757 | 189 | 0 | 0 | 0 | 47.4 |
| 33 | 190 | 380 | 710 | 471 | 471 | 0 | 0 | 0 | 47.3 |
| 34 | 190 | 380 | 715 | 0 | 874 | 0 | 0 | 0 | 54.8 |
| 35 | 190 | 380 | 714 | 1004 | 0 | 0 | 0 | 0 | 45.85 |
| 36 | 190 | 380 | 744 | 757 | 189 | 0 | 0 | 0 | 47.7 |
| 37 | 190 | 380 | 710 | 471 | 471 | 0 | 0 | 0 | 50.2 |
| 38 | 156 | 349 | 888 | 0 | 792 | 0 | 0 | 0 | 42 |
| 39 | 156 | 349 | 888 | 0 | 792 | 0 | 0 | 0 | 42.2 |
| 40 | 157 | 262 | 888 | 0 | 792 | 0 | 0 | 0 | 32.8 |
| 41 | 157 | 262 | 888 | 0 | 792 | 0 | 0 | 0 | 34.6 |
| 42 | 155 | 349 | 888 | 0 | 792 | 0 | 0 | 0 | 42 |
| 43 | 155 | 349 | 888 | 0 | 792 | 0 | 0 | 0 | 43 |
| 44 | 155 | 349 | 888 | 0 | 792 | 0 | 0 | 0 | 41 |
| 45 | 151 | 335 | 630 | 414 | 720 | 0 | 0 | 0 | 40.6 |
| 46 | 151 | 335 | 630 | 414 | 720 | 0 | 0 | 0 | 39.8 |
| 47 | 151 | 335 | 630 | 414 | 720 | 0 | 0 | 0 | 37.3 |
| 48 | 151 | 251 | 630 | 414 | 720 | 0 | 0 | 0 | 35.2 |
| 49 | 151 | 251 | 630 | 414 | 720 | 0 | 0 | 0 | 33.3 |
| 50 | 151 | 251 | 630 | 414 | 720 | 0 | 0 | 0 | 34.2 |
| 51 | 149 | 335 | 630 | 414 | 720 | 0 | 0 | 0 | 41.2 |
| 52 | 149 | 335 | 630 | 414 | 720 | 0 | 0 | 0 | 41.7 |
| 53 | 156 | 349 | 857 | 0 | 867 | 0 | 0 | 0 | 41.2 |
| 54 | 156 | 349 | 857 | 0 | 867 | 0 | 0 | 0 | 39.3 |
| 55 | 156 | 349 | 857 | 0 | 867 | 0 | 0 | 0 | 38.5 |
| 56 | 157 | 262 | 857 | 0 | 867 | 0 | 0 | 0 | 34.3 |
| 57 | 157 | 262 | 857 | 0 | 867 | 0 | 0 | 0 | 36.1 |
| 58 | 157 | 262 | 857 | 0 | 867 | 0 | 0 | 0 | 34.7 |
| 59 | 155 | 349 | 857 | 0 | 867 | 0 | 0 | 0 | 39.1 |
| 60 | 155 | 349 | 857 | 0 | 867 | 0 | 0 | 0 | 41.6 |
| 61 | 155 | 349 | 857 | 0 | 867 | 0 | 0 | 0 | 37.2 |
| 62 | 161 | 358 | 645 | 281 | 813 | 0 | 0 | 0 | 41 |
| 63 | 161 | 358 | 645 | 281 | 813 | 0 | 0 | 0 | 40.2 |
| 64 | 161 | 358 | 645 | 281 | 813 | 0 | 0 | 0 | 38.9 |
| 65 | 161 | 269 | 645 | 281 | 813 | 0 | 0 | 0 | 33 |
| 66 | 161 | 269 | 645 | 281 | 813 | 0 | 0 | 0 | 36.5 |
| 67 | 161 | 269 | 645 | 281 | 813 | 0 | 0 | 0 | 36.1 |
| 68 | 160 | 358 | 645 | 281 | 813 | 0 | 0 | 0 | 40.8 |
| 69 | 160 | 358 | 645 | 281 | 813 | 0 | 0 | 0 | 38.7 |
| 70 | 165 | 330 | 715 | 1084 | 0 | 0 | 0 | 0 | 51.2 |
| 71 | 176 | 320 | 708 | 1072 | 0 | 0 | 0 | 0 | 47.1 |
| 72 | 186 | 310 | 702 | 1064 | 0 | 0 | 0 | 0 | 43.9 |
| 73 | 140 | 350 | 732 | 553 | 523 | 0 | 0 | 0 | 46.1 |
| 74 | 153 | 340 | 715 | 547 | 517 | 0 | 0 | 0 | 45.8 |
| 75 | 165 | 330 | 708 | 541 | 511 | 0 | 0 | 0 | 39.9 |
| 76 | 176 | 320 | 702 | 535 | 506 | 0 | 0 | 0 | 36.3 |
| 77 | 186 | 310 | 892 | 531 | 501 | 0 | 0 | 0 | 34.7 |
| 78 | 225 | 450 | 892 | 1115 | 0 | 0 | 0 | 0 | 22 |
| 79 | 225 | 450 | 892 | 836 | 279 | 0 | 0 | 0 | 21.7 |
| 80 | 225 | 450 | 892 | 558 | 558 | 0 | 0 | 0 | 21.9 |
| 81 | 225 | 450 | 892 | 279 | 836 | 0 | 0 | 0 | 18.6 |
| 82 | 225 | 450 | 892 | 0 | 1115 | 0 | 0 | 0 | 18.9 |
| 83 | 225 | 432 | 892 | 1115 | 0 | 0 | 0 | 0 | 32.4 |
| 84 | 225 | 432 | 892 | 836 | 279 | 0 | 0 | 0 | 29.1 |
| 85 | 225 | 432 | 892 | 558 | 558 | 0 | 0 | 0 | 30.4 |
| 86 | 225 | 432 | 892 | 279 | 836 | 0 | 0 | 0 | 31.6 |
| 87 | 225 | 432 | 892 | 0 | 1115 | 0 | 0 | 0 | 30.5 |
| 88 | 225 | 414 | 892 | 1115 | 0 | 0 | 0 | 0 | 37.5 |
| 89 | 225 | 414 | 892 | 836 | 279 | 0 | 0 | 0 | 32.3 |
| 90 | 225 | 414 | 892 | 558 | 558 | 0 | 0 | 0 | 33.9 |
| 91 | 225 | 414 | 892 | 279 | 836 | 0 | 0 | 0 | 32 |
| 92 | 225 | 414 | 892 | 0 | 1115 | 0 | 0 | 0 | 31.7 |
| 93 | 225 | 396 | 892 | 1115 | 0 | 0 | 0 | 0 | 39 |
| 94 | 225 | 396 | 892 | 836 | 279 | 0 | 0 | 0 | 34.3 |
| 95 | 192 | 452 | 730 | 963 | 0 | 0 | 0 | 0 | 44.4 |
| 96 | 193 | 428 | 734 | 969 | 0 | 0 | 0 | 0 | 42.8 |
| 97 | 193 | 429 | 736 | 729 | 230 | 0 | 0 | 0 | 37.7 |
| 98 | 190 | 423 | 726 | 479 | 453 | 0 | 0 | 0 | 39.3 |
| 99 | 192 | 427 | 733 | 242 | 687 | 0 | 0 | 0 | 35.3 |
| 100 | 192 | 426 | 731 | 0 | 913 | 0 | 0 | 0 | 37.6 |
| 101 | 195 | 431 | 741 | 489 | 457 | 0 | 0 | 0 | 35.1 |
| 102 | 195 | 433 | 744 | 0 | 918 | 0 | 0 | 0 | 36.3 |
| 103 | 192 | 427 | 734 | 484 | 451 | 0 | 0 | 0 | 33.6 |
| 104 | 194 | 432 | 742 | 0 | 912 | 0 | 0 | 0 | 34.4 |
| 105 | 193 | 430 | 737 | 0 | 917 | 0 | 0 | 0 | 31.6 |
| 106 | 194 | 316 | 803 | 953 | 909 | 0 | 0 | 0 | 29.3 |
| 107 | 192 | 320 | 819 | 0 | 914 | 0 | 0 | 0 | 27.1 |
| 108 | 193 | 322 | 823 | 0 | 908 | 0 | 0 | 0 | 24.9 |
| 109 | 192 | 320 | 819 | 0 | 899 | 0 | 0 | 0 | 20.5 |
| 110 | 194 | 645 | 563 | 973 | 0 | 0 | 0 | 0 | 58.5 |
| 111 | 120 | 400 | 720 | 756 | 324 | 0 | 0 | 0 | 63.92 |
| 112 | 120 | 400 | 720 | 0 | 1080 | 0 | 0 | 0 | 49.19 |
| 113 | 140 | 400 | 720 | 1080 | 0 | 0 | 0 | 0 | 68.01 |
| 114 | 140 | 400 | 720 | 756 | 324 | 0 | 0 | 0 | 56.21 |
| 115 | 140 | 400 | 720 | 0 | 1080 | 0 | 0 | 0 | 46 |
| 116 | 180 | 400 | 720 | 1080 | 0 | 0 | 0 | 0 | 58.4 |
| 117 | 180 | 400 | 720 | 972 | 108 | 0 | 0 | 0 | 55.4 |
| 118 | 180 | 400 | 720 | 864 | 216 | 0 | 0 | 0 | 55.1 |
| 119 | 180 | 400 | 720 | 756 | 324 | 0 | 0 | 0 | 52.4 |
| 120 | 180 | 400 | 720 | 648 | 432 | 0 | 0 | 0 | 51.97 |
| 121 | 180 | 400 | 720 | 540 | 540 | 0 | 0 | 0 | 50 |
| 122 | 180 | 400 | 720 | 432 | 648 | 0 | 0 | 0 | 48 |
| 123 | 180 | 400 | 720 | 324 | 756 | 0 | 0 | 0 | 46.8 |
| 124 | 180 | 400 | 720 | 216 | 864 | 0 | 0 | 0 | 47.24 |
| 125 | 200 | 400 | 720 | 756 | 324 | 0 | 0 | 0 | 37.22 |
| 126 | 200 | 400 | 720 | 0 | 1080 | 0 | 0 | 0 | 32 |
| 127 | 220 | 400 | 720 | 1080 | 0 | 0 | 0 | 0 | 40 |
| 128 | 220 | 400 | 720 | 756 | 324 | 0 | 0 | 0 | 34.02 |
| 129 | 220 | 400 | 720 | 0 | 1080 | 0 | 0 | 0 | 29 |
| 130 | 240 | 400 | 720 | 1080 | 0 | 0 | 0 | 0 | 32.21 |
| 131 | 240 | 400 | 720 | 756 | 324 | 0 | 0 | 0 | 32.3 |
| 132 | 240 | 400 | 720 | 0 | 1080 | 0 | 0 | 0 | 25.26 |
| 133 | 180 | 600 | 720 | 1080 | 0 | 0 | 0 | 0 | 80.4 |
| 134 | 180 | 600 | 720 | 756 | 324 | 0 | 0 | 0 | 74.01 |
| 135 | 180 | 600 | 720 | 0 | 1080 | 0 | 0 | 0 | 55.46 |
| 136 | 180 | 514 | 720 | 1080 | 0 | 0 | 0 | 0 | 73.1 |
| 137 | 180 | 514 | 720 | 756 | 324 | 0 | 0 | 0 | 65.94 |
| 138 | 180 | 514 | 720 | 0 | 1080 | 0 | 0 | 0 | 51.82 |
| 139 | 180 | 450 | 720 | 1080 | 0 | 0 | 0 | 0 | 66.12 |
| 140 | 180 | 450 | 720 | 756 | 324 | 0 | 0 | 0 | 57.13 |
| 141 | 180 | 450 | 720 | 0 | 1080 | 0 | 0 | 0 | 45.62 |
| 142 | 180 | 360 | 720 | 1080 | 0 | 0 | 0 | 0 | 52.2 |
| 143 | 180 | 360 | 720 | 756 | 324 | 0 | 0 | 0 | 47.6 |
| 144 | 180 | 360 | 720 | 0 | 1080 | 0 | 0 | 0 | 34.35 |
| 145 | 180 | 327 | 720 | 1080 | 0 | 0 | 0 | 0 | 50.42 |
| 146 | 180 | 327 | 720 | 756 | 324 | 0 | 0 | 0 | 42.91 |
| 147 | 180 | 327 | 720 | 0 | 1080 | 0 | 0 | 0 | 32.3 |
| 148 | 180 | 300 | 720 | 1080 | 0 | 0 | 0 | 0 | 42.93 |
| 149 | 190 | 355 | 545 | 1270 | 0 | 0 | 0 | 0 | 29.58 |
| 150 | 190 | 355 | 545 | 826 | 445 | 0 | 0 | 0 | 27.27 |
| 151 | 190 | 355 | 545 | 635 | 635 | 0 | 0 | 0 | 25.27 |
| 152 | 230 | 430 | 535 | 806 | 806 | 0 | 0 | 0 | 26.9 |
| 153 | 230 | 430 | 535 | 620 | 620 | 0 | 0 | 0 | 24.2 |
| 154 | 230 | 430 | 535 | 434 | 806 | 0 | 0 | 0 | 22.5 |
| 155 | 225 | 410 | 642 | 1048 | 0 | 0 | 0 | 0 | 48.6 |
| 156 | 225 | 410 | 642 | 840 | 204 | 0 | 0 | 0 | 45.3 |
| 157 | 225 | 410 | 642 | 524 | 506 | 0 | 0 | 0 | 42.5 |
| 158 | 225 | 410 | 642 | 0 | 1017 | 0 | 0 | 0 | 38.1 |
| 159 | 225 | 308 | 611 | 1048 | 0 | 0 | 0 | 0 | 43.6 |
| 160 | 225 | 308 | 611 | 840 | 204 | 0 | 0 | 0 | 42.8 |
| 161 | 225 | 308 | 611 | 524 | 506 | 0 | 0 | 0 | 41.7 |
| 162 | 225 | 308 | 611 | 0 | 1017 | 0 | 0 | 0 | 36.8 |
| 163 | 225 | 267 | 598 | 1048 | 0 | 0 | 0 | 0 | 40.7 |
| 164 | 225 | 267 | 598 | 840 | 204 | 0 | 0 | 0 | 41 |
| 165 | 180 | 400 | 708 | 554 | 538 | 0 | 0 | 0 | 55.8 |
| 166 | 180 | 400 | 708 | 0 | 1075 | 0 | 0 | 0 | 42 |
| 167 | 180 | 300 | 688 | 1180 | 0 | 0 | 0 | 0 | 54.4 |
| 168 | 180 | 300 | 688 | 886 | 215 | 0 | 0 | 0 | 49.7 |
| 169 | 180 | 300 | 688 | 554 | 538 | 0 | 0 | 0 | 44.3 |
| 170 | 180 | 300 | 688 | 0 | 1075 | 0 | 0 | 0 | 39.5 |
| 171 | 180 | 260 | 688 | 1180 | 0 | 0 | 0 | 0 | 45.9 |
| 172 | 180 | 260 | 688 | 886 | 215 | 0 | 0 | 0 | 43.6 |
| 173 | 180 | 260 | 688 | 554 | 538 | 0 | 0 | 0 | 40.4 |
| 174 | 180 | 260 | 688 | 0 | 1075 | 0 | 0 | 0 | 38.3 |
| 175 | 225 | 410 | 642 | 1048 | 0 | 0 | 0 | 0 | 48.6 |
| 176 | 225 | 410 | 642 | 840 | 204 | 0 | 0 | 0 | 45.3 |
| 177 | 225 | 410 | 642 | 554 | 506 | 0 | 0 | 0 | 42.5 |
| 178 | 225 | 410 | 642 | 0 | 1017 | 0 | 0 | 0 | 38.1 |
| 179 | 225 | 384 | 582 | 992 | 0 | 0 | 0 | 0 | 52.9 |
| 180 | 225 | 384 | 582 | 794 | 193 | 0 | 0 | 0 | 50.1 |
| 181 | 225 | 384 | 582 | 496 | 482 | 0 | 0 | 0 | 48.1 |
| 182 | 225 | 384 | 582 | 0 | 963 | 0 | 0 | 0 | 45.3 |
| 183 | 225 | 360 | 598 | 1180 | 0 | 0 | 0 | 0 | 68.9 |
| 184 | 225 | 360 | 598 | 840 | 204 | 0 | 0 | 0 | 63 |
| 185 | 205 | 410 | 662 | 865 | 210 | 0 | 0 | 0 | 51.7 |
| 186 | 205 | 410 | 662 | 541 | 525 | 0 | 0 | 0 | 47.1 |
| 187 | 205 | 410 | 662 | 0 | 1049 | 0 | 0 | 0 | 43.4 |
| 188 | 205 | 384 | 618 | 1009 | 0 | 0 | 0 | 0 | 57.6 |
| 189 | 205 | 384 | 618 | 802 | 196 | 0 | 0 | 0 | 55.8 |
| 190 | 205 | 384 | 618 | 505 | 489 | 0 | 0 | 0 | 52.5 |
| 191 | 205 | 384 | 618 | 0 | 979 | 0 | 0 | 0 | 51.2 |
| 192 | 180 | 400 | 708 | 1108 | 0 | 0 | 0 | 0 | 66.8 |
| 193 | 180 | 400 | 708 | 886 | 215 | 0 | 0 | 0 | 62.4 |
| 194 | 180 | 400 | 708 | 554 | 538 | 0 | 0 | 0 | 56.8 |
| 195 | 180 | 400 | 708 | 0 | 1075 | 0 | 0 | 0 | 52.1 |
| 196 | 180 | 375 | 665 | 1040 | 0 | 0 | 0 | 0 | 70.1 |
| 197 | 180 | 375 | 665 | 802 | 202 | 0 | 0 | 0 | 67.3 |
| 198 | 160 | 400 | 729 | 570 | 554 | 0 | 0 | 0 | 65.3 |
| 199 | 160 | 400 | 729 | 0 | 1107 | 0 | 0 | 0 | 58.5 |
| 200 | 160 | 375 | 685 | 1071 | 0 | 0 | 0 | 0 | 76.7 |
| 201 | 160 | 375 | 685 | 214 | 208 | 0 | 0 | 0 | 73.9 |
| 202 | 160 | 375 | 685 | 536 | 520 | 0 | 0 | 0 | 70.1 |
| 203 | 160 | 375 | 685 | 0 | 1040 | 0 | 0 | 0 | 68.7 |
| 204 | 183 | 321 | 675 | 0 | 0 | 0 | 0 | 0 | 21 |
| 205 | 185 | 369 | 628 | 1218 | 0 | 0 | 0 | 0 | 29.7 |
| 206 | 185 | 369 | 628 | 914 | 305 | 0 | 0 | 0 | 29 |
| 207 | 185 | 369 | 628 | 609 | 609 | 0 | 0 | 0 | 28 |
| 208 | 180 | 419 | 586 | 1215 | 0 | 0 | 0 | 0 | 35 |
| 209 | 180 | 419 | 586 | 911 | 304 | 0 | 0 | 0 | 34.5 |
| 210 | 180 | 419 | 586 | 607 | 607 | 0 | 0 | 0 | 33.2 |
| 211 | 180 | 419 | 586 | 304 | 811 | 0 | 0 | 0 | 32.5 |
| 212 | 180 | 419 | 586 | 0 | 1215 | 0 | 0 | 0 | 31 |
| 213 | 214 | 353 | 667 | 1086 | 0 | 0 | 0 | 0 | 48.3 |
| 214 | 221 | 353 | 667 | 1080 | 0 | 0 | 0 | 0 | 40.2 |
| 215 | 209 | 353 | 666 | 1093 | 0 | 0 | 0 | 0 | 46 |
| 216 | 217 | 353 | 660 | 861 | 209 | 0 | 0 | 0 | 44.9 |
| 217 | 230 | 353 | 661 | 853 | 202 | 0 | 0 | 0 | 43.2 |
| 218 | 206 | 353 | 661 | 864 | 216 | 0 | 0 | 0 | 43 |
| 219 | 209 | 353 | 625 | 0 | 1026 | 0 | 0 | 0 | 39.1 |
| 220 | 173 | 432 | 714 | 1081 | 0 | 0 | 0 | 0 | 52.5 |
| 221 | 173 | 432 | 713 | 756 | 324 | 0 | 0 | 0 | 48.5 |
| 222 | 175 | 436 | 720 | 545 | 545 | 0 | 0 | 0 | 48.5 |
| 223 | 175 | 437 | 700 | 328 | 766 | 0 | 0 | 0 | 47 |
| 224 | 178 | 445 | 735 | 167 | 946 | 0 | 0 | 0 | 47.5 |
| 225 | 177 | 441 | 728 | 0 | 1104 | 0 | 0 | 0 | 47 |
| 226 | 189 | 474 | 523 | 1211 | 0 | 0 | 0 | 0 | 35.03 |
| 227 | 189 | 474 | 523 | 848 | 363 | 0 | 0 | 0 | 19.8 |
| 228 | 189 | 474 | 523 | 605 | 606 | 0 | 0 | 0 | 35.98 |
| 229 | 189 | 474 | 523 | 364 | 847 | 0 | 0 | 0 | 29.09 |
| 230 | 189 | 474 | 523 | 0 | 1211 | 0 | 0 | 0 | 21.48 |
| 231 | 189 | 420 | 523 | 1211 | 0 | 0 | 0 | 0 | 32.84 |
| 232 | 189 | 474 | 523 | 848 | 363 | 0 | 0 | 0 | 31.62 |
| 233 | 189 | 474 | 523 | 605 | 606 | 0 | 0 | 0 | 40.12 |
| 234 | 189 | 474 | 523 | 364 | 847 | 0 | 0 | 0 | 31.93 |
| 235 | 208 | 422 | 607 | 566 | 566 | 0 | 0 | 0 | 28 |
| 236 | 217 | 422 | 607 | 283 | 850 | 0 | 0 | 0 | 26.7 |
| 237 | 226 | 422 | 607 | 0 | 1129 | 0 | 0 | 0 | 25.6 |
| 238 | 180 | 327 | 683 | 1197 | 0 | 0 | 0 | 0 | 24.9 |
| 239 | 190 | 327 | 666 | 899 | 297 | 0 | 0 | 0 | 23.5 |
| 240 | 200 | 327 | 666 | 598 | 598 | 0 | 0 | 0 | 22.3 |
| 241 | 209 | 327 | 666 | 297 | 899 | 0 | 0 | 0 | 20.8 |
| 242 | 218 | 327 | 666 | 0 | 1197 | 0 | 0 | 0 | 20.3 |
| 243 | 155 | 390 | 890 | 950 | 0 | 0 | 0 | 0 | 44.09 |
| 244 | 155 | 390 | 890 | 240 | 660 | 0 | 0 | 0 | 41.05 |
| 245 | 155 | 390 | 890 | 925 | 0 | 0 | 0 | 0 | 36.08 |
| 246 | 155 | 390 | 890 | 230 | 650 | 0 | 0 | 0 | 38.02 |
| 247 | 155 | 390 | 890 | 890 | 0 | 0 | 0 | 0 | 44.5 |
| 248 | 155 | 390 | 890 | 220 | 620 | 0 | 0 | 0 | 42.43 |
| 249 | 167 | 235 | 1010 | 930 | 0 | 0 | 0 | 0 | 22.13 |
| 250 | 170 | 240 | 990 | 220 | 620 | 0 | 0 | 0 | 22.29 |
| 251 | 160 | 326 | 668 | 825 | 0 | 0 | 0 | 0 | 31.62 |
| 252 | 160 | 269 | 686 | 847 | 0 | 0 | 0 | 0 | 27.9 |
| 253 | 160 | 224 | 700 | 864 | 0 | 0 | 0 | 0 | 27.81 |
| 254 | 150 | 292 | 688 | 850 | 0 | 0 | 0 | 0 | 30.66 |
| 255 | 170 | 360 | 649 | 801 | 0 | 0 | 0 | 0 | 36.87 |
| 256 | 160 | 320 | 922 | 0 | 723 | 0 | 0 | 0 | 37.72 |
| 257 | 160 | 264 | 946 | 0 | 742 | 0 | 0 | 0 | 31.38 |
| 258 | 160 | 218 | 965 | 0 | 757 | 0 | 0 | 0 | 29.42 |
| 259 | 150 | 286 | 949 | 0 | 744 | 0 | 0 | 0 | 37.59 |
| 260 | 170 | 355 | 895 | 0 | 702 | 0 | 0 | 0 | 39.08 |
| 261 | 216.35 | 488.36 | 500 | 908 | 194 | 0 | 0 | 0 | 34.99 |
| 262 | 216.35 | 488.36 | 500 | 952 | 166 | 0 | 0 | 0 | 34.98 |
| 263 | 216.35 | 488.36 | 500 | 984 | 137 | 0 | 0 | 0 | 34.97 |
| 264 | 216.35 | 488.86 | 500 | 1003 | 120 | 0 | 0 | 0 | 34.97 |
| 265 | 216.35 | 488.86 | 500 | 1012 | 112 | 0 | 0 | 0 | 34.98 |
| 266 | 182.75 | 340.1 | 500 | 1166 | 184 | 0 | 0 | 0 | 31.87 |
| 267 | 182.75 | 340.1 | 500 | 1185 | 167 | 0 | 0 | 0 | 31.33 |
| 268 | 216.35 | 488.36 | 501 | 934 | 181 | 0 | 0 | 0 | 34.95 |
| 269 | 216.35 | 488.36 | 501 | 962 | 167 | 0 | 0 | 0 | 34.86 |
| 270 | 216.35 | 488.86 | 501 | 985 | 181 | 0 | 0 | 0 | 34.88 |
| 271 | 216.35 | 488.86 | 501 | 1013 | 156 | 0 | 0 | 0 | 34.89 |
| 272 | 216.35 | 489.35 | 501 | 1036 | 135 | 0 | 0 | 0 | 35 |
| 273 | 182.75 | 340.1 | 501 | 1167 | 110 | 0 | 0 | 0 | 31.83 |
| 274 | 182.75 | 340.1 | 501 | 1186 | 89 | 0 | 0 | 0 | 31.29 |
| 275 | 182.75 | 340.1 | 501 | 1195 | 182 | 0 | 0 | 0 | 31.06 |
| 276 | 216.35 | 488.36 | 502 | 916 | 165 | 0 | 0 | 0 | 34.94 |
| 277 | 216.35 | 488.36 | 502 | 935 | 157 | 0 | 0 | 0 | 34.85 |
| 278 | 216.35 | 488.36 | 502 | 963 | 196 | 0 | 0 | 0 | 34.76 |
| 279 | 216.35 | 488.86 | 502 | 986 | 179 | 0 | 0 | 0 | 34.79 |
| 280 | 216.35 | 488.86 | 502 | 995 | 154 | 0 | 0 | 0 | 34.79 |
| 281 | 216.35 | 488.86 | 502 | 1014 | 133 | 0 | 0 | 0 | 34.81 |
| 282 | 216.35 | 489.35 | 502 | 1046 | 125 | 0 | 0 | 0 | 34.95 |
| 283 | 182.75 | 340.1 | 502 | 1168 | 108 | 0 | 0 | 0 | 31.78 |
| 284 | 182.75 | 340.1 | 502 | 1196 | 155 | 0 | 0 | 0 | 31.03 |
| 285 | 216.35 | 488.36 | 503 | 917 | 194 | 0 | 0 | 0 | 34.84 |
| 286 | 216.35 | 488.36 | 503 | 945 | 169 | 0 | 0 | 0 | 34.71 |
| 287 | 216.35 | 488.36 | 503 | 964 | 152 | 0 | 0 | 0 | 34.66 |
| 288 | 216.35 | 488.86 | 503 | 996 | 123 | 0 | 0 | 0 | 34.7 |
| 289 | 216.35 | 488.86 | 503 | 1015 | 106 | 0 | 0 | 0 | 34.72 |
| 290 | 216.35 | 489.35 | 503 | 1028 | 94 | 0 | 0 | 0 | 34.81 |
| 291 | 216.35 | 489.35 | 503 | 1047 | 77 | 0 | 0 | 0 | 34.87 |
| 292 | 214.75 | 488.36 | 524 | 785 | 293 | 0 | 0 | 0 | 34.77 |
| 293 | 214.75 | 488.36 | 524 | 804 | 276 | 0 | 0 | 0 | 34.35 |
| 294 | 183.21 | 369.84 | 524 | 1161 | 136 | 0 | 0 | 0 | 31.67 |
| 295 | 183.21 | 369.84 | 524 | 1170 | 128 | 0 | 0 | 0 | 31.52 |
| 296 | 183.21 | 369.84 | 524 | 1189 | 111 | 0 | 0 | 0 | 31.24 |
| 297 | 183.21 | 369.84 | 524 | 1208 | 94 | 0 | 0 | 0 | 31.02 |
| 298 | 214.75 | 488.36 | 525 | 786 | 291 | 0 | 0 | 0 | 34.66 |
| 299 | 214.75 | 488.36 | 525 | 814 | 266 | 0 | 0 | 0 | 34.06 |
| 300 | 214.75 | 488.36 | 525 | 838 | 245 | 0 | 0 | 0 | 33.67 |
| 301 | 214.75 | 488.36 | 525 | 857 | 228 | 0 | 0 | 0 | 33.39 |
| 302 | 214.75 | 488.36 | 525 | 866 | 220 | 0 | 0 | 0 | 33.28 |
| 303 | 216.35 | 488.36 | 525 | 899 | 186 | 0 | 0 | 0 | 32.73 |
| 304 | 214.75 | 488.36 | 526 | 796 | 281 | 0 | 0 | 0 | 34.34 |
| 305 | 214.75 | 488.36 | 526 | 815 | 264 | 0 | 0 | 0 | 33.95 |
| 306 | 214.57 | 488.36 | 526 | 839 | 243 | 0 | 0 | 0 | 33.55 |
| 307 | 214.57 | 488.36 | 526 | 867 | 218 | 0 | 0 | 0 | 33.17 |
| 308 | 216.35 | 488.36 | 526 | 881 | 201 | 0 | 0 | 0 | 32.78 |
| 309 | 216.35 | 488.36 | 526 | 900 | 184 | 0 | 0 | 0 | 32.63 |
| 310 | 216.35 | 488.36 | 526 | 919 | 167 | 0 | 0 | 0 | 32.53 |
| 311 | 216.35 | 488.36 | 526 | 928 | 159 | 0 | 0 | 0 | 32.5 |
| 312 | 216.35 | 488.36 | 526 | 947 | 142 | 0 | 0 | 0 | 32.47 |
| 313 | 216.35 | 488.36 | 526 | 966 | 125 | 0 | 0 | 0 | 32.49 |
| 314 | 216.35 | 488.86 | 526 | 979 | 113 | 0 | 0 | 0 | 32.6 |
| 315 | 216.35 | 489.35 | 526 | 1002 | 92 | 0 | 0 | 0 | 32.78 |
| 316 | 216.35 | 489.35 | 526 | 1030 | 67 | 0 | 0 | 0 | 32.97 |
| 317 | 216.35 | 489.35 | 526 | 1049 | 50 | 0 | 0 | 0 | 33.14 |
| 318 | 210.42 | 489.35 | 526 | 1068 | 48 | 0 | 0 | 0 | 34.07 |
| 319 | 198.47 | 381.31 | 646 | 914 | 175 | 0 | 0 | 0 | 34.29 |
| 320 | 198.47 | 381.31 | 646 | 933 | 158 | 0 | 0 | 0 | 33.43 |
| 321 | 198.47 | 381.31 | 646 | 961 | 133 | 0 | 0 | 0 | 32.45 |
| 322 | 198.47 | 381.31 | 646 | 980 | 116 | 0 | 0 | 0 | 31.96 |
| 323 | 198.47 | 381.31 | 646 | 1008 | 91 | 0 | 0 | 0 | 31.46 |
| 324 | 198.47 | 381.31 | 646 | 1027 | 74 | 0 | 0 | 0 | 31.27 |
| 325 | 198.47 | 381.31 | 646 | 1055 | 49 | 0 | 0 | 0 | 31.14 |
| 326 | 192.54 | 381.31 | 646 | 1065 | 55 | 0 | 0 | 0 | 32.38 |
| 327 | 196.77 | 377.96 | 646 | 1073 | 40 | 0 | 0 | 0 | 31.43 |
| 328 | 196.77 | 375.41 | 646 | 1109 | 10 | 0 | 0 | 0 | 31.52 |
| 329 | 198.47 | 381.31 | 647 | 915 | 173 | 0 | 0 | 0 | 34.36 |
| 330 | 198.47 | 381.31 | 647 | 934 | 156 | 0 | 0 | 0 | 33.52 |
| 331 | 198.47 | 381.31 | 647 | 943 | 148 | 0 | 0 | 0 | 33.17 |
| 332 | 198.47 | 381.31 | 647 | 962 | 131 | 0 | 0 | 0 | 32.56 |
| 333 | 198.47 | 381.31 | 647 | 981 | 114 | 0 | 0 | 0 | 32.08 |
| 334 | 198.47 | 381.31 | 647 | 990 | 106 | 0 | 0 | 0 | 31.9 |
| 335 | 198.47 | 381.31 | 647 | 1009 | 89 | 0 | 0 | 0 | 31.61 |
| 336 | 198.47 | 381.31 | 647 | 1028 | 72 | 0 | 0 | 0 | 31.43 |
| 337 | 198.47 | 381.31 | 647 | 1037 | 64 | 0 | 0 | 0 | 31.37 |
| 338 | 198.47 | 381.31 | 647 | 1056 | 47 | 0 | 0 | 0 | 31.31 |
| 339 | 192.54 | 381.31 | 647 | 1066 | 53 | 0 | 0 | 0 | 32.55 |
| 340 | 196.77 | 377.96 | 647 | 1074 | 38 | 0 | 0 | 0 | 31.61 |
| 341 | 196.77 | 377.96 | 647 | 1083 | 30 | 0 | 0 | 0 | 31.6 |
| 342 | 196.77 | 375.41 | 647 | 1110 | 8 | 0 | 0 | 0 | 31.71 |
| 343 | 198.47 | 381.31 | 648 | 916 | 171 | 0 | 0 | 0 | 34.43 |
| 344 | 198.47 | 381.31 | 648 | 944 | 146 | 0 | 0 | 0 | 33.27 |
| 345 | 198.47 | 381.31 | 648 | 963 | 129 | 0 | 0 | 0 | 32.67 |
| 346 | 198.47 | 381.31 | 648 | 991 | 104 | 0 | 0 | 0 | 32.04 |
| 347 | 198.47 | 381.31 | 648 | 1010 | 87 | 0 | 0 | 0 | 31.76 |
| 348 | 198.47 | 381.31 | 648 | 1038 | 62 | 0 | 0 | 0 | 31.54 |
| 349 | 198.47 | 381.31 | 648 | 1057 | 45 | 0 | 0 | 0 | 31.49 |
| 350 | 192.54 | 381.31 | 648 | 1067 | 51 | 0 | 0 | 0 | 32.73 |
| 351 | 196.77 | 377.96 | 648 | 1084 | 28 | 0 | 0 | 0 | 31.78 |
| 352 | 196.77 | 375.41 | 648 | 1092 | 23 | 0 | 0 | 0 | 31.87 |
| 353 | 196.77 | 375.41 | 648 | 1111 | 6 | 0 | 0 | 0 | 31.9 |
| 354 | 198.47 | 381.31 | 649 | 917 | 169 | 0 | 0 | 0 | 34.5 |
| 355 | 198.47 | 381.31 | 649 | 926 | 161 | 0 | 0 | 0 | 34.1 |
| 356 | 198.47 | 381.31 | 649 | 945 | 144 | 0 | 0 | 0 | 33.37 |
| 357 | 195.83 | 374.66 | 646 | 790 | 327 | 0 | 0 | 0 | 45 |
| 358 | 195.83 | 374.66 | 646 | 807 | 293 | 0 | 0 | 0 | 43.58 |
| 359 | 178.19 | 337.22 | 650 | 859 | 317 | 0 | 0 | 0 | 44.94 |
| 360 | 178.19 | 337.22 | 650 | 868 | 309 | 0 | 0 | 0 | 44.55 |
| 361 | 178.19 | 337.22 | 650 | 877 | 301 | 0 | 0 | 0 | 44.16 |
| 362 | 178.19 | 337.22 | 650 | 887 | 292 | 0 | 0 | 0 | 43.71 |
| 363 | 178.19 | 337.22 | 650 | 896 | 284 | 0 | 0 | 0 | 43.3 |
| 364 | 178.19 | 337.22 | 650 | 906 | 275 | 0 | 0 | 0 | 42.85 |
| 365 | 178.19 | 337.22 | 650 | 915 | 267 | 0 | 0 | 0 | 42.43 |
| 366 | 178.19 | 337.22 | 650 | 924 | 259 | 0 | 0 | 0 | 42.02 |
| 367 | 178.19 | 337.22 | 650 | 934 | 250 | 0 | 0 | 0 | 41.55 |
| 368 | 178.19 | 337.22 | 650 | 943 | 242 | 0 | 0 | 0 | 41.14 |
| 369 | 178.19 | 337.22 | 650 | 953 | 233 | 0 | 0 | 0 | 40.68 |
| 370 | 208.81 | 428.6 | 500 | 502 | 649 | 0 | 0 | 0 | 41.82 |
| 371 | 208.81 | 428.6 | 500 | 512 | 640 | 0 | 0 | 0 | 41.81 |
| 372 | 208.81 | 428.6 | 500 | 521 | 632 | 0 | 0 | 0 | 41.79 |
| 373 | 208.81 | 428.6 | 500 | 531 | 623 | 0 | 0 | 0 | 41.75 |
| 374 | 208.81 | 428.6 | 500 | 540 | 615 | 0 | 0 | 0 | 41.7 |
| 375 | 209.4 | 484.75 | 500 | 541 | 567 | 0 | 0 | 0 | 41.4 |
| 376 | 211.49 | 428.6 | 500 | 547 | 602 | 0 | 0 | 0 | 41.64 |
| 377 | 208.81 | 428.6 | 500 | 549 | 607 | 0 | 0 | 0 | 41.65 |
| 378 | 209.4 | 484.75 | 500 | 551 | 558 | 0 | 0 | 0 | 41.33 |
| 379 | 211.49 | 428.6 | 500 | 556 | 594 | 0 | 0 | 0 | 41.56 |
| 380 | 209.4 | 484.75 | 500 | 560 | 550 | 0 | 0 | 0 | 41.25 |
| 381 | 211.49 | 428.6 | 500 | 566 | 585 | 0 | 0 | 0 | 41.46 |
| 382 | 211.49 | 428.6 | 500 | 575 | 577 | 0 | 0 | 0 | 41.36 |
| 383 | 215.33 | 484.75 | 500 | 578 | 519 | 0 | 0 | 0 | 40.71 |
| 384 | 215.2 | 359.75 | 601 | 1083 | 59 | 0 | 0 | 0 | 40.23 |
| 385 | 216.9 | 363.1 | 602 | 1037 | 92 | 0 | 0 | 0 | 40.13 |
| 386 | 216.9 | 363.1 | 602 | 1047 | 83 | 0 | 0 | 0 | 40.51 |
| 387 | 216.9 | 363.1 | 602 | 1056 | 75 | 0 | 0 | 0 | 40.82 |
| 388 | 215.2 | 359.75 | 602 | 1075 | 65 | 0 | 0 | 0 | 40.15 |
| 389 | 211.49 | 428.6 | 524 | 540 | 582 | 0 | 0 | 0 | 42.53 |
| 390 | 209.4 | 484.75 | 524 | 544 | 538 | 0 | 0 | 0 | 41.58 |
| 391 | 209.4 | 484.75 | 524 | 553 | 530 | 0 | 0 | 0 | 41.45 |
| 392 | 209.4 | 484.75 | 524 | 563 | 521 | 0 | 0 | 0 | 41.3 |
| 393 | 214.75 | 484.5 | 524 | 565 | 506 | 0 | 0 | 0 | 40.73 |
| 394 | 214.75 | 484.5 | 524 | 575 | 497 | 0 | 0 | 0 | 40.52 |
| 395 | 214.75 | 484.5 | 524 | 584 | 489 | 0 | 0 | 0 | 40.32 |
| 396 | 214.75 | 484.5 | 524 | 593 | 481 | 0 | 0 | 0 | 40.1 |
| 397 | 209.4 | 484.75 | 525 | 526 | 553 | 0 | 0 | 0 | 41.82 |
| 398 | 211.49 | 428.6 | 525 | 532 | 588 | 0 | 0 | 0 | 42.69 |
| 399 | 209.4 | 484.75 | 525 | 536 | 544 | 0 | 0 | 0 | 41.71 |
| 400 | 211.49 | 428.6 | 525 | 541 | 580 | 0 | 0 | 0 | 42.57 |
| 401 | 195.83 | 373.75 | 646 | 687 | 401 | 0 | 0 | 0 | 53.72 |
| 402 | 195.83 | 373.75 | 646 | 706 | 384 | 0 | 0 | 0 | 52.26 |
| 403 | 195.83 | 374.66 | 646 | 713 | 377 | 0 | 0 | 0 | 51.89 |
| 404 | 195.83 | 373.75 | 647 | 688 | 399 | 0 | 0 | 0 | 53.72 |
| 405 | 195.83 | 373.75 | 648 | 689 | 397 | 0 | 0 | 0 | 53.73 |
| 406 | 195.83 | 374.66 | 648 | 724 | 365 | 0 | 0 | 0 | 51.11 |
| 407 | 195.83 | 373.75 | 649 | 699 | 387 | 0 | 0 | 0 | 53.04 |
| 408 | 195.83 | 374.66 | 649 | 725 | 363 | 0 | 0 | 0 | 51.1 |
| 409 | 185.49 | 389.31 | 790 | 888 | 77 | 0 | 0 | 0 | 52.89 |
| 410 | 185.49 | 389.31 | 790 | 935 | 35 | 0 | 0 | 0 | 53.15 |
| 411 | 185.49 | 389.31 | 791 | 795 | 159 | 0 | 0 | 0 | 50.36 |
| 412 | 185.49 | 389.31 | 791 | 823 | 134 | 0 | 0 | 0 | 51.38 |
| 413 | 185.49 | 389.31 | 791 | 842 | 117 | 0 | 0 | 0 | 51.92 |
| 414 | 185.49 | 389.31 | 791 | 870 | 92 | 0 | 0 | 0 | 52.52 |
| 415 | 185.49 | 389.31 | 791 | 889 | 75 | 0 | 0 | 0 | 52.79 |
| 416 | 185.49 | 389.31 | 791 | 917 | 50 | 0 | 0 | 0 | 53.01 |
| 417 | 185.49 | 389.31 | 791 | 936 | 33 | 0 | 0 | 0 | 53.04 |
| 418 | 185.49 | 389.31 | 791 | 964 | 8 | 0 | 0 | 0 | 52.96 |
| 419 | 185.49 | 389.31 | 792 | 824 | 132 | 0 | 0 | 0 | 51.3 |
| 420 | 185.49 | 389.31 | 792 | 871 | 90 | 0 | 0 | 0 | 52.43 |
| 421 | 185.49 | 389.31 | 792 | 918 | 48 | 0 | 0 | 0 | 52.9 |
| 422 | 185.49 | 389.31 | 792 | 965 | 6 | 0 | 0 | 0 | 52.84 |
| 423 | 185.49 | 389.31 | 793 | 806 | 147 | 0 | 0 | 0 | 50.56 |
| 424 | 185.49 | 389.31 | 793 | 825 | 130 | 0 | 0 | 0 | 51.22 |
| 425 | 185.49 | 389.31 | 793 | 853 | 105 | 0 | 0 | 0 | 51.97 |
| 426 | 185.49 | 389.31 | 793 | 872 | 88 | 0 | 0 | 0 | 52.34 |
| 427 | 185.49 | 389.31 | 793 | 900 | 63 | 0 | 0 | 0 | 52.68 |
| 428 | 185.49 | 389.31 | 793 | 919 | 46 | 0 | 0 | 0 | 52.8 |
| 429 | 185.49 | 389.31 | 793 | 947 | 21 | 0 | 0 | 0 | 52.81 |
| 430 | 185.49 | 389.31 | 793 | 966 | 4 | 0 | 0 | 0 | 52.72 |
| 431 | 185.49 | 389.31 | 794 | 807 | 145 | 0 | 0 | 0 | 50.49 |
| 432 | 185.49 | 389.31 | 794 | 854 | 103 | 0 | 0 | 0 | 51.89 |
| 433 | 185.49 | 389.31 | 794 | 901 | 61 | 0 | 0 | 0 | 52.58 |
| 434 | 185.49 | 389.31 | 794 | 948 | 19 | 0 | 0 | 0 | 52.69 |
| 435 | 185.49 | 389.31 | 795 | 808 | 143 | 0 | 0 | 0 | 50.42 |
| 436 | 185.49 | 389.31 | 795 | 836 | 118 | 0 | 0 | 0 | 51.33 |
| 437 | 185.49 | 389.31 | 795 | 855 | 101 | 0 | 0 | 0 | 51.8 |
| 438 | 185.49 | 389.31 | 795 | 883 | 76 | 0 | 0 | 0 | 52.28 |
| 439 | 185.49 | 389.31 | 795 | 902 | 59 | 0 | 0 | 0 | 52.48 |
| 440 | 185.49 | 389.31 | 795 | 930 | 34 | 0 | 0 | 0 | 52.6 |
| 441 | 185.49 | 389.31 | 795 | 949 | 17 | 0 | 0 | 0 | 52.27 |
| 442 | 185.49 | 389.31 | 796 | 837 | 116 | 0 | 0 | 0 | 51.24 |
| 443 | 185.49 | 389.31 | 796 | 884 | 74 | 0 | 0 | 0 | 52.18 |
| 444 | 185.49 | 389.31 | 796 | 931 | 32 | 0 | 0 | 0 | 52.48 |
| 445 | 185.49 | 389.31 | 797 | 819 | 131 | 0 | 0 | 0 | 50.58 |
| 446 | 185.49 | 389.31 | 797 | 838 | 114 | 0 | 0 | 0 | 51.16 |
| 447 | 185.49 | 389.31 | 797 | 866 | 89 | 0 | 0 | 0 | 51.79 |
| 448 | 185.49 | 389.31 | 797 | 885 | 72 | 0 | 0 | 0 | 52.08 |
| 449 | 177.33 | 351.57 | 701 | 721 | 375 | 0 | 0 | 0 | 55.34 |
| 450 | 177.33 | 351.57 | 701 | 740 | 358 | 0 | 0 | 0 | 55.03 |
| 451 | 177.33 | 351.57 | 701 | 768 | 333 | 0 | 0 | 0 | 54.47 |
| 452 | 177.33 | 351.57 | 701 | 787 | 316 | 0 | 0 | 0 | 54.03 |
| 453 | 177.33 | 351.57 | 701 | 815 | 291 | 0 | 0 | 0 | 53.34 |
| 454 | 178.19 | 351.57 | 701 | 826 | 279 | 0 | 0 | 0 | 52.75 |
| 455 | 178.19 | 351.57 | 701 | 845 | 262 | 0 | 0 | 0 | 52.23 |
| 456 | 178.19 | 351.57 | 701 | 873 | 237 | 0 | 0 | 0 | 51.46 |
| 457 | 178.19 | 351.57 | 701 | 892 | 220 | 0 | 0 | 0 | 50.96 |
| 458 | 177.33 | 351.57 | 702 | 722 | 373 | 0 | 0 | 0 | 55.27 |
| 459 | 177.33 | 351.57 | 702 | 741 | 356 | 0 | 0 | 0 | 54.97 |
| 460 | 177.33 | 351.57 | 702 | 769 | 331 | 0 | 0 | 0 | 54.42 |
| 461 | 177.33 | 351.57 | 702 | 788 | 314 | 0 | 0 | 0 | 54 |
| 462 | 177.33 | 351.57 | 702 | 816 | 289 | 0 | 0 | 0 | 53.33 |
| 463 | 178.19 | 351.57 | 702 | 827 | 277 | 0 | 0 | 0 | 52.75 |
| 464 | 178.19 | 351.57 | 702 | 874 | 235 | 0 | 0 | 0 | 51.51 |
| 465 | 178.19 | 352.65 | 702 | 901 | 210 | 0 | 0 | 0 | 51.1 |
| 466 | 177.33 | 351.57 | 703 | 704 | 388 | 0 | 0 | 0 | 55.41 |
| 467 | 177.33 | 351.57 | 703 | 723 | 371 | 0 | 0 | 0 | 55.19 |
| 468 | 177.33 | 351.57 | 703 | 751 | 346 | 0 | 0 | 0 | 54.74 |
| 469 | 177.33 | 351.57 | 703 | 770 | 329 | 0 | 0 | 0 | 54.37 |
| 470 | 177.33 | 351.57 | 703 | 798 | 304 | 0 | 0 | 0 | 53.76 |
| 471 | 177.33 | 351.57 | 703 | 817 | 287 | 0 | 0 | 0 | 53.32 |
| 472 | 178.19 | 351.57 | 703 | 828 | 275 | 0 | 0 | 0 | 52.75 |
| 473 | 179.98 | 352.65 | 711 | 942 | 159 | 0 | 0 | 0 | 50.31 |
| 474 | 179.98 | 352.65 | 711 | 961 | 142 | 0 | 0 | 0 | 50.01 |
| 475 | 174.05 | 352.65 | 711 | 1065 | 64 | 0 | 0 | 0 | 50.83 |
| 476 | 179.98 | 352.65 | 713 | 925 | 172 | 0 | 0 | 0 | 50.81 |
| 477 | 179.98 | 352.65 | 713 | 944 | 155 | 0 | 0 | 0 | 50.53 |
| 478 | 179.98 | 352.65 | 713 | 972 | 130 | 0 | 0 | 0 | 50.14 |
| 479 | 177.33 | 351.57 | 714 | 714 | 367 | 0 | 0 | 0 | 54.3 |
| 480 | 177.33 | 351.57 | 714 | 733 | 350 | 0 | 0 | 0 | 54.2 |
| 481 | 177.33 | 351.57 | 714 | 761 | 325 | 0 | 0 | 0 | 53.99 |
| 482 | 177.33 | 351.57 | 714 | 780 | 308 | 0 | 0 | 0 | 53.8 |
| 483 | 177.33 | 351.57 | 714 | 808 | 283 | 0 | 0 | 0 | 53.48 |
| 484 | 178.19 | 351.57 | 714 | 866 | 229 | 0 | 0 | 0 | 52.38 |
| 485 | 179.98 | 352.65 | 714 | 926 | 170 | 0 | 0 | 0 | 50.91 |
| 486 | 179.98 | 352.65 | 717 | 891 | 198 | 0 | 0 | 0 | 51.66 |
| 487 | 179.98 | 352.65 | 717 | 910 | 181 | 0 | 0 | 0 | 51.43 |
| 488 | 156 | 273 | 710.7 | 1066 | 0 | 2.34 | 0 | 117 | 48.52 |
| 489 | 156 | 273 | 710.7 | 533 | 533 | 3.12 | 0 | 117 | 43.45 |
| 490 | 156 | 273 | 710.7 | 0 | 1066 | 3.9 | 0 | 117 | 45.65 |
| 491 | 195.06 | 325.1 | 622.6 | 1208.5 | 0 | 3.25 | 0 | 0 | 39.2 |
| 492 | 208.98 | 354.2 | 622.6 | 1179.4 | 0 | 3.25 | 0 | 0 | 37.8 |
| 493 | 167.2 | 440 | 656 | 1022 | 0 | 0.9 | 0 | 0 | 52.4 |
| 494 | 167.2 | 440 | 656 | 511 | 511 | 1.2 | 0 | 0 | 48.3 |
| 495 | 167.2 | 440 | 656 | 715 | 307 | 1.4 | 0 | 0 | 45.7 |
| 496 | 184.8 | 440 | 656 | 511 | 511 | 1.2 | 0 | 0 | 42.6 |
| 497 | 167.2 | 308 | 656 | 511 | 511 | 1.3 | 0 | 132 | 40.2 |
| 498 | 167.2 | 220 | 656 | 511 | 511 | 1.2 | 0 | 220 | 33.6 |
| 499 | 189.84 | 254 | 787 | 543 | 543 | 5.71 | 0 | 82 | 33.2 |
| 500 | 190.2 | 317 | 787 | 543 | 543 | 5.71 | 0 | 0 | 34.5 |
| 501 | 186.3 | 222 | 775 | 1070 | 0 | 7.4 | 0 | 192 | 31.2 |
| 502 | 161.12 | 320 | 769 | 1061 | 0 | 8.4 | 0 | 104 | 46.1 |
| 503 | 181.26 | 360 | 752 | 1038 | 0 | 9.9 | 0 | 117 | 49.3 |
| 504 | 185 | 370 | 775 | 1070 | 0 | 7.4 | 0 | 0 | 44.6 |
| 505 | 164.16 | 273.6 | 625 | 485.6 | 728.4 | 1.71 | 0 | 68.4 | 33.7 |
| 506 | 164.16 | 273.6 | 625 | 242.8 | 971.2 | 1.71 | 0 | 68.4 | 38.7 |
| 507 | 164.16 | 273.6 | 625 | 0 | 1214 | 1.71 | 0 | 68.4 | 39.1 |
| 508 | 163.02 | 334.4 | 588 | 952 | 238 | 2.09 | 0 | 83.6 | 42.4 |
| 509 | 163.02 | 334.4 | 588 | 714 | 476 | 2.09 | 0 | 83.6 | 41.4 |
| 510 | 163.02 | 334.4 | 588 | 476 | 714 | 2.09 | 0 | 83.6 | 45.9 |
| 511 | 163.02 | 334.4 | 588 | 238 | 952 | 2.09 | 0 | 83.6 | 46 |
| 512 | 163.02 | 334.4 | 588 | 0 | 1190 | 2.09 | 0 | 83.6 | 50 |
| 513 | 163.84 | 409.6 | 545 | 925.6 | 231.4 | 2.56 | 0 | 102.4 | 55.1 |
| 514 | 163.84 | 409.6 | 545 | 694.2 | 462.8 | 2.56 | 0 | 102.4 | 56.7 |
| 515 | 163.84 | 409.6 | 545 | 462.8 | 684.2 | 2.56 | 0 | 102.4 | 55.2 |
| 516 | 163.84 | 409.6 | 545 | 231.4 | 925.6 | 2.56 | 0 | 102.4 | 53.6 |
| 517 | 163.84 | 409.6 | 545 | 0 | 1157 | 2.56 | 0 | 102.4 | 51.4 |
| 518 | 174 | 300 | 650 | 1321 | 65 | 3.6 | 0 | 0 | 40.5 |
| 519 | 189 | 450 | 596 | 1210 | 45 | 4.8 | 0 | 0 | 55.6 |
| 520 | 160 | 280 | 677 | 1376 | 10 | 4.8 | 0 | 120 | 44.7 |
| 521 | 180 | 500 | 582 | 1183 | 95 | 6 | 0 | 0 | 61 |
| 522 | 180 | 393 | 692 | 847 | 283 | 0 | 0 | 0 | 23.9 |
| 523 | 187.059 | 393 | 692 | 565 | 565 | 0 | 0 | 0 | 28.3 |
| 524 | 208.237 | 393 | 692 | 0 | 1130 | 0 | 0 | 0 | 27.9 |
| 525 | 183.53 | 393 | 692 | 847 | 283 | 0 | 0 | 0 | 24.4 |
| 526 | 194.119 | 393 | 692 | 565 | 565 | 0 | 0 | 0 | 30.9 |
| 527 | 180 | 393 | 692 | 0 | 1130 | 0 | 0 | 0 | 30 |
| 528 | 187.059 | 393 | 692 | 847 | 283 | 0 | 0 | 0 | 28.7 |
| 529 | 180 | 393 | 692 | 565 | 565 | 0 | 0 | 0 | 31.3 |
| 530 | 194.119 | 393 | 692 | 0 | 1130 | 0 | 0 | 0 | 30.5 |
| 531 | 185 | 500 | 601 | 837 | 279 | 0 | 0 | 0 | 38.3 |
| 532 | 191.974 | 500 | 601 | 558 | 558 | 0 | 0 | 0 | 34.6 |
| 533 | 212.895 | 500 | 601 | 0 | 1116 | 0 | 0 | 0 | 33.4 |
| 534 | 185 | 349 | 641 | 953.6 | 238.4 | 0 | 0 | 0 | 20.82 |
| 535 | 185 | 349 | 641 | 715.2 | 476.8 | 0 | 0 | 0 | 20.29 |
| 536 | 185 | 349 | 641 | 476.8 | 715.2 | 0 | 0 | 0 | 20.71 |
| 537 | 189.86 | 349 | 641 | 238.4 | 953.6 | 0 | 0 | 0 | 19.04 |
| 538 | 205.91 | 349 | 641 | 0 | 1192 | 0 | 0 | 0 | 17.29 |
| 539 | 139 | 304 | 665 | 1292 | 0 | 0 | 0 | 0 | 40.8 |
| 540 | 139 | 304 | 665 | 1033 | 258 | 0 | 0 | 0 | 38.6 |
| 541 | 139 | 304 | 665 | 775 | 517 | 0 | 0 | 0 | 37.8 |
| 542 | 139 | 304 | 665 | 517 | 775 | 0 | 0 | 0 | 34.8 |
| 543 | 139 | 304 | 665 | 258 | 1033 | 0 | 0 | 0 | 34 |
| 544 | 145 | 389 | 635 | 986 | 246 | 0 | 0 | 0 | 49.8 |
| 545 | 145 | 389 | 635 | 739 | 493 | 0 | 0 | 0 | 46.5 |
| 546 | 145 | 389 | 635 | 493 | 739 | 0 | 0 | 0 | 43.4 |
| 547 | 145 | 389 | 635 | 246 | 986 | 0 | 0 | 0 | 42.3 |
| 548 | 145 | 389 | 635 | 0 | 1232 | 0 | 0 | 0 | 40.8 |
| 549 | 148 | 433 | 619 | 1201 | 0 | 0 | 0 | 0 | 56.5 |
| 550 | 148 | 433 | 619 | 961 | 240 | 0 | 0 | 0 | 53.2 |
| 551 | 148 | 433 | 619 | 721 | 480 | 0 | 0 | 0 | 51.9 |
| 552 | 148 | 433 | 619 | 480 | 721 | 0 | 0 | 0 | 48.7 |
| 553 | 148 | 433 | 619 | 240 | 961 | 0 | 0 | 0 | 46.8 |
| 554 | 148 | 433 | 619 | 0 | 1201 | 0 | 0 | 0 | 44.2 |
| 555 | 180 | 367 | 686 | 817 | 350 | 4.04 | 0 | 0 | 36.7 |
| 556 | 180 | 367 | 686 | 583 | 584 | 4.04 | 0 | 0 | 36.5 |
| 557 | 180 | 367 | 686 | 350 | 817 | 4.04 | 0 | 0 | 36.2 |
| 558 | 180 | 367 | 686 | 0 | 1167 | 4.04 | 0 | 0 | 33.6 |
| 559 | 180 | 367 | 686 | 817 | 350 | 4.04 | 0 | 0 | 36.26 |
| 560 | 180 | 367 | 686 | 583 | 584 | 4.04 | 0 | 0 | 34.71 |
| 561 | 190 | 475 | 607.25 | 1128 | 0 | 0 | 0 | 0 | 39 |
| 562 | 198.8 | 475 | 589.75 | 821 | 274 | 0 | 0 | 0 | 37.2 |
| 563 | 207.5 | 475 | 589.75 | 548 | 548 | 0 | 0 | 0 | 35.4 |
| 564 | 216.3 | 475 | 589.75 | 274 | 821 | 0 | 0 | 0 | 33.6 |
| 565 | 225.1 | 475 | 589.75 | 0 | 1095 | 0 | 0 | 0 | 30.4 |
| 566 | 190 | 422 | 625.72 | 1112 | 0 | 0 | 0 | 0 | 32.6 |
| 567 | 199 | 422 | 608.22 | 847 | 282 | 0 | 0 | 0 | 30.3 |
| 568 | 208.1 | 422 | 608.22 | 565 | 565 | 0 | 0 | 0 | 28.1 |
| 569 | 189.6 | 327 | 644.95 | 898 | 299 | 0 | 0 | 0 | 23.8 |
| 570 | 199.2 | 327 | 644.95 | 599 | 599 | 0 | 0 | 0 | 22.3 |
| 571 | 208.6 | 327 | 644.95 | 299 | 898 | 0 | 0 | 0 | 20.8 |
| 572 | 217.7 | 327 | 644.95 | 0 | 1198 | 0 | 0 | 0 | 20.6 |
| 573 | 170 | 283 | 681.33 | 1215 | 0 | 0 | 0 | 0 | 19.2 |
| 574 | 179.9 | 283 | 663.83 | 925 | 308 | 0 | 0 | 0 | 19 |
| 575 | 189.7 | 283 | 663.83 | 616 | 616 | 0 | 0 | 0 | 18.9 |
| 576 | 199.6 | 283 | 663.83 | 308 | 935 | 0 | 0 | 0 | 19.3 |
| 577 | 208.3 | 283 | 663.83 | 0 | 1233 | 0 | 0 | 0 | 19.7 |
| 578 | 164 | 342 | 625 | 1214 | 0 | 1.71 | 0 | 0 | 37.2 |
| 579 | 164 | 342 | 625 | 971.2 | 242.8 | 1.71 | 0 | 0 | 35.9 |
| 580 | 164 | 342 | 625 | 728.4 | 485.6 | 1.71 | 0 | 0 | 37 |
| 581 | 164 | 342 | 625 | 485.6 | 728.4 | 1.71 | 0 | 0 | 40.5 |
| 582 | 164 | 418 | 588 | 476 | 714 | 2.09 | 0 | 0 | 53.9 |
| 583 | 164 | 418 | 588 | 238 | 952 | 2.09 | 0 | 0 | 54.2 |
| 584 | 164 | 418 | 588 | 0 | 1190 | 2.09 | 0 | 0 | 43.6 |
| 585 | 164 | 512 | 545 | 1157 | 0 | 2.56 | 0 | 0 | 59.5 |
| 586 | 164 | 512 | 545 | 925.6 | 231.4 | 2.56 | 0 | 0 | 61.5 |
| 587 | 164 | 512 | 545 | 694.2 | 462.8 | 2.56 | 0 | 0 | 62.9 |
| 588 | 164 | 512 | 545 | 462.8 | 684.2 | 2.56 | 0 | 0 | 59.3 |
| 589 | 164 | 512 | 545 | 231.4 | 925.6 | 2.56 | 0 | 0 | 57.8 |
| 590 | 164 | 512 | 545 | 0 | 1157 | 2.56 | 0 | 0 | 56.2 |
| 591 | 164 | 273.6 | 625 | 1214 | 0 | 1.71 | 0 | 68.4 | 32.7 |
| 592 | 164 | 273.6 | 625 | 971.2 | 242.8 | 1.71 | 0 | 68.4 | 33.7 |
| 593 | 164 | 273.6 | 625 | 728.4 | 485.6 | 1.71 | 0 | 68.4 | 33.3 |
| 594 | 164 | 334.4 | 588 | 714 | 476 | 2.09 | 0 | 83.6 | 41.4 |
| 595 | 164 | 334.4 | 588 | 476 | 714 | 2.09 | 0 | 83.6 | 45.9 |
| 596 | 164 | 334.4 | 588 | 238 | 952 | 2.09 | 0 | 83.6 | 42.2 |
| 597 | 164 | 334.4 | 588 | 0 | 1190 | 2.09 | 0 | 83.6 | 50 |
| 598 | 164 | 409.6 | 545 | 1157 | 0 | 2.56 | 0 | 102.4 | 53.3 |
| 599 | 164 | 409.6 | 545 | 925.6 | 231.4 | 2.56 | 0 | 102.4 | 55.1 |
| 600 | 164 | 409.6 | 545 | 694.2 | 462.8 | 2.56 | 0 | 102.4 | 56.7 |
| 601 | 164 | 409.6 | 545 | 462.8 | 684 | 2.56 | 0 | 102.4 | 55.2 |
| 602 | 164 | 409.6 | 545 | 231.4 | 925.6 | 2.56 | 0 | 102.4 | 53.6 |
| 603 | 164 | 409.6 | 545 | 0 | 1157 | 2.56 | 0 | 102.4 | 51.4 |
| 604 | 184 | 340 | 460 | 1220 | 0 | 0 | 0 | 0 | 27.9 |
| 605 | 184 | 340 | 328 | 1220 | 0 | 0 | 0 | 0 | 26.4 |
| 606 | 184 | 340 | 196 | 1220 | 0 | 0 | 0 | 0 | 26.7 |
| 607 | 184 | 340 | 0 | 1220 | 0 | 0 | 0 | 0 | 25.8 |
| 608 | 189 | 380 | 690 | 0 | 1140 | 0 | 0 | 0 | 44.5 |
| 609 | 189 | 360 | 700 | 0 | 1150 | 0 | 0 | 0 | 36.8 |
| 610 | 200 | 500 | 561 | 0 | 1139 | 0 | 0 | 0 | 33.2 |
| 611 | 241 | 625 | 0 | 0 | 993 | 0 | 0 | 0 | 46.8 |
| 612 | 271 | 625 | 0 | 0 | 959 | 0 | 0 | 0 | 43.3 |
| 613 | 209 | 625 | 0 | 0 | 1026 | 0 | 0 | 0 | 39.1 |
| 614 | 190 | 380 | 715 | 0 | 874 | 0 | 0 | 0 | 54.1 |
| 615 | 156 | 349 | 888 | 0 | 792 | 0 | 0 | 0 | 41.3 |
| 616 | 157 | 262 | 888 | 0 | 792 | 0 | 0 | 0 | 34.5 |
| 617 | 149 | 335 | 630 | 414 | 720 | 0 | 0 | 0 | 42.6 |
| 618 | 160 | 358 | 645 | 281 | 813 | 0 | 0 | 0 | 40.4 |
| 619 | 140 | 350 | 732 | 1109 | 0 | 0 | 0 | 0 | 58.6 |
| 620 | 153 | 340 | 723 | 1096 | 0 | 0 | 0 | 0 | 56.1 |
| 621 | 225 | 396 | 892 | 558 | 558 | 0 | 0 | 0 | 36.1 |
| 622 | 225 | 396 | 892 | 279 | 836 | 0 | 0 | 0 | 33.9 |
| 623 | 225 | 396 | 892 | 0 | 1115 | 0 | 0 | 0 | 35.4 |
| 624 | 193 | 645 | 563 | 0 | 921 | 0 | 0 | 0 | 45.5 |
| 625 | 192 | 642 | 561 | 0 | 905 | 0 | 0 | 0 | 57.1 |
| 626 | 192 | 642 | 561 | 0 | 902 | 0 | 0 | 0 | 47.1 |
| 627 | 120 | 400 | 720 | 1080 | 0 | 0 | 0 | 0 | 70.99 |
| 628 | 180 | 400 | 720 | 108 | 972 | 0 | 0 | 0 | 44.2 |
| 629 | 180 | 400 | 720 | 0 | 1080 | 0 | 0 | 0 | 41.5 |
| 630 | 200 | 400 | 720 | 1080 | 0 | 0 | 0 | 0 | 46 |
| 631 | 180 | 300 | 720 | 756 | 324 | 0 | 0 | 0 | 34.92 |
| 632 | 180 | 300 | 720 | 0 | 1080 | 0 | 0 | 0 | 27.13 |
| 633 | 190 | 355 | 545 | 445 | 445 | 0 | 0 | 0 | 23.08 |
| 634 | 230 | 430 | 535 | 1240 | 1240 | 0 | 0 | 0 | 29.3 |
| 635 | 225 | 267 | 598 | 524 | 506 | 0 | 0 | 0 | 37.1 |
| 636 | 225 | 267 | 598 | 0 | 1017 | 0 | 0 | 0 | 25.2 |
| 637 | 180 | 400 | 708 | 1108 | 0 | 0 | 0 | 0 | 66.8 |
| 638 | 180 | 400 | 708 | 886 | 215 | 0 | 0 | 0 | 62.4 |
| 639 | 225 | 360 | 598 | 524 | 506 | 0 | 0 | 0 | 56.5 |
| 640 | 225 | 360 | 598 | 0 | 1017 | 0 | 0 | 0 | 54.5 |
| 641 | 205 | 410 | 662 | 1081 | 0 | 0 | 0 | 0 | 54.1 |
| 642 | 180 | 375 | 665 | 520 | 504 | 0 | 0 | 0 | 63.4 |
| 643 | 180 | 375 | 665 | 0 | 1009 | 0 | 0 | 0 | 61.1 |
| 644 | 160 | 400 | 729 | 1140 | 0 | 0 | 0 | 0 | 72.3 |
| 645 | 160 | 400 | 729 | 912 | 221 | 0 | 0 | 0 | 69.6 |
| 646 | 185 | 369 | 628 | 305 | 914 | 0 | 0 | 0 | 27 |
| 647 | 185 | 369 | 628 | 0 | 1218 | 0 | 0 | 0 | 25.7 |
| 648 | 229 | 353 | 647 | 527 | 513 | 0 | 0 | 0 | 44.7 |
| 649 | 247 | 353 | 647 | 524 | 496 | 0 | 0 | 0 | 39.7 |
| 650 | 207 | 353 | 649 | 531 | 531 | 0 | 0 | 0 | 38.1 |
| 651 | 241 | 353 | 625 | 0 | 993 | 0 | 0 | 0 | 46.8 |
| 652 | 271 | 353 | 625 | 0 | 959 | 0 | 0 | 0 | 43.3 |
| 653 | 189 | 420 | 523 | 0 | 1211 | 0 | 0 | 0 | 21 |
| 654 | 190 | 422 | 616 | 1113 | 0 | 0 | 0 | 0 | 32.5 |
| 655 | 199 | 422 | 607 | 850 | 283 | 0 | 0 | 0 | 30.1 |
| 656 | 167 | 235 | 1010 | 235 | 650 | 0 | 0 | 0 | 20.15 |
| 657 | 158 | 220 | 1020 | 920 | 0 | 0 | 0 | 0 | 18.25 |
| 658 | 158 | 220 | 1020 | 230 | 650 | 0 | 0 | 0 | 17.43 |
| 659 | 170 | 240 | 990 | 890 | 0 | 0 | 0 | 0 | 24.27 |
| 660 | 214.75 | 488.36 | 524 | 813 | 268 | 0 | 0 | 0 | 34.18 |
| 661 | 214.57 | 488.36 | 524 | 837 | 247 | 0 | 0 | 0 | 33.78 |
| 662 | 214.57 | 488.36 | 524 | 856 | 230 | 0 | 0 | 0 | 33.5 |
| 663 | 216.35 | 488.36 | 524 | 889 | 196 | 0 | 0 | 0 | 32.91 |
| 664 | 216.35 | 488.36 | 524 | 898 | 188 | 0 | 0 | 0 | 32.84 |
| 665 | 216.35 | 488.36 | 524 | 917 | 171 | 0 | 0 | 0 | 32.73 |
| 666 | 216.35 | 488.36 | 524 | 936 | 154 | 0 | 0 | 0 | 32.67 |
| 667 | 216.35 | 488.36 | 524 | 945 | 146 | 0 | 0 | 0 | 32.66 |
| 668 | 216.35 | 488.36 | 524 | 964 | 129 | 0 | 0 | 0 | 32.67 |
| 669 | 216.35 | 488.86 | 524 | 987 | 108 | 0 | 0 | 0 | 32.8 |
| 670 | 216.35 | 489.35 | 524 | 1000 | 96 | 0 | 0 | 0 | 32.93 |
| 671 | 216.35 | 489.35 | 524 | 1019 | 79 | 0 | 0 | 0 | 33.04 |
| 672 | 216.35 | 489.35 | 524 | 1047 | 54 | 0 | 0 | 0 | 33.26 |
| 673 | 214.65 | 489.35 | 524 | 1082 | 27 | 0 | 0 | 0 | 33.77 |
| 674 | 216.35 | 488.36 | 525 | 918 | 169 | 0 | 0 | 0 | 32.63 |
| 675 | 216.35 | 488.36 | 525 | 946 | 144 | 0 | 0 | 0 | 32.57 |
| 676 | 216.35 | 488.36 | 525 | 965 | 127 | 0 | 0 | 0 | 32.58 |
| 677 | 216.35 | 489.35 | 525 | 1001 | 94 | 0 | 0 | 0 | 32.86 |
| 678 | 216.35 | 489.35 | 525 | 1029 | 69 | 0 | 0 | 0 | 33.04 |
| 679 | 216.35 | 489.35 | 525 | 1048 | 52 | 0 | 0 | 0 | 33.2 |
| 680 | 214.65 | 489.35 | 525 | 1083 | 25 | 0 | 0 | 0 | 33.72 |
| 681 | 183.21 | 369.84 | 525 | 1171 | 126 | 0 | 0 | 0 | 31.46 |
| 682 | 183.21 | 369.84 | 525 | 1190 | 109 | 0 | 0 | 0 | 31.19 |
| 683 | 214.75 | 488.36 | 526 | 787 | 289 | 0 | 0 | 0 | 34.55 |
| 684 | 195.83 | 374.66 | 646 | 816 | 285 | 0 | 0 | 0 | 42.8 |
| 685 | 196.68 | 374.66 | 646 | 827 | 273 | 0 | 0 | 0 | 41.26 |
| 686 | 196.68 | 374.66 | 646 | 837 | 264 | 0 | 0 | 0 | 40.44 |
| 687 | 195.83 | 374.66 | 647 | 798 | 300 | 0 | 0 | 0 | 44.45 |
| 688 | 195.83 | 374.66 | 647 | 808 | 291 | 0 | 0 | 0 | 43.57 |
| 689 | 195.83 | 374.66 | 647 | 817 | 283 | 0 | 0 | 0 | 42.79 |
| 690 | 196.68 | 374.66 | 647 | 828 | 271 | 0 | 0 | 0 | 41.24 |
| 691 | 195.83 | 374.66 | 648 | 799 | 298 | 0 | 0 | 0 | 44.43 |
| 692 | 195.83 | 374.66 | 648 | 809 | 289 | 0 | 0 | 0 | 43.55 |
| 693 | 195.83 | 374.66 | 648 | 818 | 281 | 0 | 0 | 0 | 42.77 |
| 694 | 196.68 | 374.66 | 648 | 829 | 269 | 0 | 0 | 0 | 41.23 |
| 695 | 196.68 | 374.66 | 648 | 838 | 261 | 0 | 0 | 0 | 40.51 |
| 696 | 195.83 | 374.66 | 649 | 800 | 296 | 0 | 0 | 0 | 44.41 |
| 697 | 195.83 | 374.66 | 649 | 810 | 287 | 0 | 0 | 0 | 43.53 |
| 698 | 195.83 | 374.66 | 649 | 819 | 279 | 0 | 0 | 0 | 42.76 |
| 699 | 196.68 | 374.66 | 649 | 830 | 267 | 0 | 0 | 0 | 41.22 |
| 700 | 196.68 | 374.66 | 649 | 839 | 259 | 0 | 0 | 0 | 40.5 |
| 701 | 178.19 | 337.22 | 650 | 962 | 225 | 0 | 0 | 0 | 40.28 |
| 702 | 178.19 | 343.87 | 650 | 975 | 208 | 0 | 0 | 0 | 40.93 |
| 703 | 214.75 | 484.5 | 500 | 591 | 509 | 0 | 0 | 0 | 40.55 |
| 704 | 214.75 | 484.5 | 500 | 600 | 501 | 0 | 0 | 0 | 40.41 |
| 705 | 214.75 | 484.5 | 500 | 619 | 484 | 0 | 0 | 0 | 40.1 |
| 706 | 208.81 | 428.6 | 501 | 503 | 647 | 0 | 0 | 0 | 41.85 |
| 707 | 208.81 | 428.6 | 501 | 513 | 638 | 0 | 0 | 0 | 41.84 |
| 708 | 208.81 | 428.6 | 501 | 522 | 630 | 0 | 0 | 0 | 41.81 |
| 709 | 211.49 | 484.75 | 501 | 526 | 574 | 0 | 0 | 0 | 41.43 |
| 710 | 208.81 | 428.6 | 501 | 541 | 613 | 0 | 0 | 0 | 41.72 |
| 711 | 209.4 | 484.75 | 501 | 542 | 565 | 0 | 0 | 0 | 41.4 |
| 712 | 211.49 | 428.6 | 501 | 548 | 600 | 0 | 0 | 0 | 41.65 |
| 713 | 208.81 | 428.6 | 501 | 550 | 605 | 0 | 0 | 0 | 41.66 |
| 714 | 209.4 | 484.75 | 501 | 552 | 556 | 0 | 0 | 0 | 41.32 |
| 715 | 211.49 | 428.6 | 501 | 557 | 592 | 0 | 0 | 0 | 41.57 |
| 716 | 209.4 | 484.75 | 501 | 561 | 548 | 0 | 0 | 0 | 41.24 |
| 717 | 211.49 | 428.6 | 501 | 567 | 583 | 0 | 0 | 0 | 41.46 |
| 718 | 209.4 | 484.75 | 501 | 570 | 540 | 0 | 0 | 0 | 41.15 |
| 719 | 215.33 | 484.75 | 501 | 579 | 517 | 0 | 0 | 0 | 40.68 |
| 720 | 214.75 | 484.5 | 501 | 592 | 507 | 0 | 0 | 0 | 40.52 |
| 721 | 214.75 | 484.5 | 501 | 601 | 499 | 0 | 0 | 0 | 40.38 |
| 722 | 214.75 | 484.5 | 501 | 610 | 491 | 0 | 0 | 0 | 40.23 |
| 723 | 214.75 | 484.5 | 501 | 620 | 482 | 0 | 0 | 0 | 40.06 |
| 724 | 208.81 | 428.6 | 502 | 504 | 645 | 0 | 0 | 0 | 41.88 |
| 725 | 208.81 | 428.6 | 502 | 514 | 636 | 0 | 0 | 0 | 41.86 |
| 726 | 208.81 | 428.6 | 502 | 523 | 628 | 0 | 0 | 0 | 41.84 |
| 727 | 211.49 | 484.75 | 502 | 527 | 572 | 0 | 0 | 0 | 41.42 |
| 728 | 208.81 | 428.6 | 502 | 532 | 620 | 0 | 0 | 0 | 41.8 |
| 729 | 208.81 | 428.6 | 502 | 542 | 611 | 0 | 0 | 0 | 41.74 |
| 730 | 209.4 | 484.75 | 502 | 543 | 563 | 0 | 0 | 0 | 41.4 |
| 731 | 211.49 | 428.6 | 502 | 549 | 598 | 0 | 0 | 0 | 41.66 |
| 732 | 211.49 | 428.6 | 502 | 558 | 590 | 0 | 0 | 0 | 41.58 |
| 733 | 209.4 | 484.75 | 502 | 562 | 546 | 0 | 0 | 0 | 41.23 |
| 734 | 211.49 | 428.6 | 502 | 568 | 581 | 0 | 0 | 0 | 41.47 |
| 735 | 209.4 | 484.75 | 502 | 571 | 538 | 0 | 0 | 0 | 41.13 |
| 736 | 215.33 | 484.75 | 502 | 580 | 515 | 0 | 0 | 0 | 40.65 |
| 737 | 214.75 | 484.5 | 502 | 602 | 497 | 0 | 0 | 0 | 40.34 |
| 738 | 214.75 | 484.5 | 502 | 611 | 489 | 0 | 0 | 0 | 40.19 |
| 739 | 214.75 | 484.5 | 502 | 621 | 480 | 0 | 0 | 0 | 40.01 |
| 740 | 208.81 | 428.6 | 503 | 505 | 643 | 0 | 0 | 0 | 41.91 |
| 741 | 208.81 | 428.6 | 503 | 524 | 626 | 0 | 0 | 0 | 41.86 |
| 742 | 211.49 | 484.75 | 503 | 528 | 570 | 0 | 0 | 0 | 41.42 |
| 743 | 208.81 | 428.6 | 503 | 533 | 618 | 0 | 0 | 0 | 41.82 |
| 744 | 208.81 | 428.6 | 503 | 543 | 609 | 0 | 0 | 0 | 41.76 |
| 745 | 209.4 | 484.75 | 503 | 544 | 561 | 0 | 0 | 0 | 41.39 |
| 746 | 211.49 | 428.6 | 503 | 550 | 596 | 0 | 0 | 0 | 41.67 |
| 747 | 209.4 | 484.75 | 503 | 553 | 553 | 0 | 0 | 0 | 41.31 |
| 748 | 211.49 | 428.6 | 503 | 559 | 588 | 0 | 0 | 0 | 41.58 |
| 749 | 209.4 | 484.75 | 503 | 563 | 544 | 0 | 0 | 0 | 41.22 |
| 750 | 209.4 | 484.75 | 503 | 572 | 536 | 0 | 0 | 0 | 41.12 |
| 751 | 214.75 | 484.5 | 503 | 584 | 512 | 0 | 0 | 0 | 40.61 |
| 752 | 214.75 | 484.5 | 503 | 593 | 504 | 0 | 0 | 0 | 40.47 |
| 753 | 214.75 | 484.5 | 503 | 603 | 495 | 0 | 0 | 0 | 40.3 |
| 754 | 214.75 | 484.5 | 503 | 612 | 487 | 0 | 0 | 0 | 40.14 |
| 755 | 216.9 | 363.1 | 600 | 1045 | 87 | 0 | 0 | 0 | 40.15 |
| 756 | 216.9 | 363.1 | 600 | 1054 | 79 | 0 | 0 | 0 | 40.45 |
| 757 | 215.2 | 359.75 | 600 | 1082 | 61 | 0 | 0 | 0 | 40.06 |
| 758 | 216.9 | 363.1 | 601 | 1046 | 85 | 0 | 0 | 0 | 40.33 |
| 759 | 216.9 | 363.1 | 601 | 1055 | 77 | 0 | 0 | 0 | 40.63 |
| 760 | 185.49 | 389.31 | 797 | 913 | 47 | 0 | 0 | 0 | 52.32 |
| 761 | 185.49 | 389.31 | 797 | 932 | 30 | 0 | 0 | 0 | 52.36 |
| 762 | 185.49 | 389.31 | 797 | 960 | 5 | 0 | 0 | 0 | 52.29 |
| 763 | 185.49 | 389.31 | 798 | 820 | 129 | 0 | 0 | 0 | 50.5 |
| 764 | 185.49 | 389.31 | 798 | 867 | 87 | 0 | 0 | 0 | 51.7 |
| 765 | 185.49 | 389.31 | 798 | 914 | 45 | 0 | 0 | 0 | 52.21 |
| 766 | 185.49 | 389.31 | 798 | 961 | 3 | 0 | 0 | 0 | 52.17 |
| 767 | 185.49 | 389.31 | 799 | 821 | 127 | 0 | 0 | 0 | 50.42 |
| 768 | 185.49 | 389.31 | 799 | 849 | 102 | 0 | 0 | 0 | 51.21 |
| 769 | 185.49 | 389.31 | 799 | 868 | 85 | 0 | 0 | 0 | 51.6 |
| 770 | 185.49 | 389.31 | 799 | 896 | 60 | 0 | 0 | 0 | 51.97 |
| 771 | 185.49 | 389.31 | 799 | 915 | 43 | 0 | 0 | 0 | 52.09 |
| 772 | 185.49 | 389.31 | 799 | 943 | 18 | 0 | 0 | 0 | 52.12 |
| 773 | 185.49 | 389.31 | 799 | 962 | 1 | 0 | 0 | 0 | 52.04 |
| 774 | 185.49 | 389.31 | 800 | 850 | 100 | 0 | 0 | 0 | 51.12 |
| 775 | 185.49 | 389.31 | 800 | 897 | 58 | 0 | 0 | 0 | 51.86 |
| 776 | 185.49 | 389.31 | 800 | 944 | 16 | 0 | 0 | 0 | 51.99 |
| 777 | 177.33 | 351.57 | 712 | 731 | 354 | 0 | 0 | 0 | 54.4 |
| 778 | 177.33 | 351.57 | 712 | 750 | 337 | 0 | 0 | 0 | 54.23 |
| 779 | 177.33 | 351.57 | 712 | 778 | 312 | 0 | 0 | 0 | 53.91 |
| 780 | 177.33 | 351.57 | 712 | 797 | 295 | 0 | 0 | 0 | 53.66 |
| 781 | 178.19 | 351.57 | 712 | 836 | 258 | 0 | 0 | 0 | 52.77 |
| 782 | 178.19 | 351.57 | 712 | 883 | 216 | 0 | 0 | 0 | 52 |
| 783 | 179.98 | 352.65 | 712 | 896 | 199 | 0 | 0 | 0 | 51.19 |
| 784 | 179.98 | 352.65 | 712 | 943 | 157 | 0 | 0 | 0 | 50.42 |
| 785 | 177.33 | 351.57 | 713 | 713 | 369 | 0 | 0 | 0 | 54.41 |
| 786 | 177.33 | 351.57 | 713 | 732 | 352 | 0 | 0 | 0 | 54.3 |
| 787 | 177.33 | 351.57 | 713 | 760 | 327 | 0 | 0 | 0 | 54.06 |
| 788 | 177.33 | 351.57 | 713 | 779 | 310 | 0 | 0 | 0 | 53.85 |
| 789 | 177.33 | 351.57 | 713 | 807 | 285 | 0 | 0 | 0 | 53.51 |
| 790 | 178.19 | 351.57 | 713 | 837 | 256 | 0 | 0 | 0 | 52.77 |
| 791 | 178.19 | 351.57 | 713 | 865 | 231 | 0 | 0 | 0 | 52.35 |
| 792 | 179.98 | 352.65 | 713 | 897 | 197 | 0 | 0 | 0 | 51.26 |
| 793 | 180 | 450 | 752 | 519 | 519 | 9.9 | 0 | 0 | 43.8 |
| 794 | 184.8 | 336 | 785 | 542 | 542 | 6.38 | 0 | 0 | 35.1 |
| 795 | 180 | 450 | 752 | 1038 | 0 | 9.9 | 0 | 0 | 51.9 |
| 796 | 185.12 | 269 | 785 | 542 | 542 | 6.38 | 0 | 87 | 34.4 |
| 797 | 184.73 | 202 | 785 | 542 | 542 | 6.38 | 0 | 175 | 28.5 |
| 798 | 185.38 | 259 | 775 | 535 | 535 | 7.4 | 0 | 144 | 31.9 |
| 799 | 179.2 | 240 | 769 | 1061 | 0 | 8.4 | 0 | 208 | 39 |
| 800 | 184.79 | 333 | 775 | 1070 | 0 | 7.4 | 0 | 48 | 41.2 |
| 801 | 189.93 | 190 | 787 | 1086 | 0 | 5.71 | 0 | 165 | 28.1 |
| 802 | 181.26 | 360 | 752 | 519 | 519 | 9.9 | 0 | 117 | 40.1 |
| 803 | 181.44 | 270 | 752 | 519 | 519 | 9.9 | 0 | 234 | 36.8 |
| 804 | 180 | 400 | 769 | 1061 | 0 | 8.4 | 0 | 0 | 49.5 |
| 805 | 184.24 | 296 | 775 | 535 | 535 | 7.4 | 0 | 96 | 36 |
| 806 | 164.16 | 273.6 | 625 | 1214 | 0 | 1.71 | 0 | 68.4 | 32.7 |
| 807 | 164.16 | 273.6 | 625 | 971.2 | 242.8 | 1.71 | 0 | 68.4 | 33.7 |
| 808 | 188.487 | 500 | 601 | 837 | 279 | 0 | 0 | 0 | 33.6 |
| 809 | 198.948 | 500 | 601 | 558 | 558 | 0 | 0 | 0 | 32.9 |
| 810 | 185 | 500 | 601 | 0 | 1116 | 0 | 0 | 0 | 35.3 |
| 811 | 191.974 | 500 | 601 | 837 | 279 | 0 | 0 | 0 | 38.4 |
| 812 | 185 | 500 | 601 | 558 | 558 | 0 | 0 | 0 | 37.9 |
| 813 | 198.948 | 500 | 601 | 0 | 1116 | 0 | 0 | 0 | 37.2 |
| 814 | 185 | 349 | 641 | 1192 | 0 | 0 | 0 | 0 | 20.1 |
| 815 | 139 | 304 | 665 | 0 | 1292 | 0 | 0 | 0 | 32.4 |
| 816 | 142 | 346 | 650 | 1262 | 0 | 0 | 0 | 0 | 46.2 |
| 817 | 142 | 346 | 650 | 1010 | 252 | 0 | 0 | 0 | 44.8 |
| 818 | 142 | 346 | 650 | 757 | 505 | 0 | 0 | 0 | 43 |
| 819 | 142 | 346 | 650 | 505 | 757 | 0 | 0 | 0 | 42 |
| 820 | 142 | 346 | 650 | 252 | 1010 | 0 | 0 | 0 | 40.2 |
| 821 | 142 | 346 | 650 | 0 | 1262 | 0 | 0 | 0 | 39.3 |
| 822 | 145 | 389 | 635 | 1232 | 0 | 0 | 0 | 0 | 51.2 |
| 823 | 180 | 367 | 686 | 350 | 817 | 4.04 | 0 | 0 | 32.09 |
| 824 | 180 | 367 | 686 | 0 | 1167 | 4.04 | 0 | 0 | 30.25 |
| 825 | 217.1 | 422 | 608.22 | 282 | 847 | 0 | 0 | 0 | 26.6 |
| 826 | 226.2 | 422 | 608.22 | 0 | 1130 | 0 | 0 | 0 | 25.3 |
| 827 | 180 | 360 | 651 | 1159 | 0 | 0 | 0 | 0 | 26.4 |
| 828 | 189.4 | 360 | 633.5 | 882 | 294 | 0 | 0 | 0 | 24.1 |
| 829 | 198.8 | 360 | 633.5 | 588 | 588 | 0 | 0 | 0 | 24.2 |
| 830 | 208.2 | 360 | 633.5 | 294 | 882 | 0 | 0 | 0 | 21.6 |
| 831 | 217 | 360 | 633.5 | 0 | 1177 | 0 | 0 | 0 | 18.9 |
| 832 | 180 | 327 | 662.45 | 1180 | 0 | 0 | 0 | 0 | 24.7 |
| 833 | 164 | 342 | 625 | 242.8 | 971.2 | 1.71 | 0 | 0 | 40.7 |
| 834 | 164 | 342 | 625 | 0 | 1214 | 1.71 | 0 | 0 | 42.3 |
| 835 | 164 | 418 | 588 | 1190 | 0 | 2.09 | 0 | 0 | 47.7 |
| 836 | 164 | 418 | 588 | 952 | 238 | 2.09 | 0 | 0 | 52.5 |
| 837 | 164 | 418 | 588 | 714 | 476 | 2.09 | 0 | 0 | 49.8 |
| 838 | 164 | 273.6 | 625 | 485.6 | 728.4 | 1.71 | 0 | 68.4 | 33.7 |
| 839 | 164 | 273.6 | 625 | 242.8 | 971.2 | 1.71 | 0 | 68.4 | 38.7 |
| 840 | 164 | 273.6 | 625 | 0 | 1214 | 1.71 | 0 | 68.4 | 39.1 |
| 841 | 164 | 334.4 | 588 | 1190 | 0 | 2.09 | 0 | 83.6 | 44.1 |
| 842 | 164 | 334.4 | 588 | 952 | 238 | 2.09 | 0 | 83.6 | 42.2 |
| 843 | 271 | 667 | 1020 | 1376 | 1292 | 9.9 | 0 | 234 | 80.4 |
| 844 | 116 | 218 | 175 | 0 | 0 | 0 | 0 | 0 | 17.29 |
Appendix B
| Number | Water [kg] | Cement [kg] | Natural Fine Aggregate [kg] | Natural Coarse Aggregate [kg] | Recycled Coarse Aggregate [kg] | Water Reducer [kg] | Silicon Ash [kg] | Fly Ash [kg] | Elastic Modulus [GPa] |
|---|---|---|---|---|---|---|---|---|---|
| 1 | 185 | 349 | 641 | 1192 | 0 | 0 | 0 | 0 | 32.7 |
| 2 | 185 | 349 | 641 | 953.6 | 238.4 | 0 | 0 | 0 | 22.8 |
| 3 | 185 | 349 | 641 | 476.8 | 715.2 | 0 | 0 | 0 | 28.5 |
| 4 | 189.86 | 349 | 641 | 238.4 | 953.6 | 0 | 0 | 0 | 24.5 |
| 5 | 205.91 | 349 | 641 | 0 | 1192 | 0 | 0 | 0 | 26.3 |
| 6 | 180 | 367 | 686 | 817 | 350 | 4.04 | 0 | 0 | 39.9 |
| 7 | 180 | 367 | 686 | 583 | 584 | 4.04 | 0 | 0 | 38.2 |
| 8 | 180 | 367 | 686 | 350 | 817 | 4.04 | 0 | 0 | 32.2 |
| 9 | 180 | 367 | 686 | 0 | 1167 | 4.04 | 0 | 0 | 30.8 |
| 10 | 180 | 367 | 686 | 817 | 350 | 4.04 | 0 | 0 | 33.7 |
| 11 | 180 | 367 | 686 | 583 | 584 | 4.04 | 0 | 0 | 31.8 |
| 12 | 180 | 367 | 686 | 350 | 817 | 4.04 | 0 | 0 | 30.5 |
| 13 | 180 | 367 | 686 | 0 | 1167 | 4.04 | 0 | 0 | 28.4 |
| 14 | 200 | 454 | 595 | 576 | 576 | 0 | 0 | 0 | 34.6 |
| 15 | 200 | 454 | 595 | 0 | 1152 | 0 | 0 | 0 | 33.1 |
| 16 | 200 | 318 | 595 | 576 | 576 | 0 | 0 | 136 | 37.3 |
| 17 | 200 | 318 | 595 | 0 | 1152 | 0 | 0 | 136 | 34.4 |
| 18 | 200 | 449 | 595 | 576 | 576 | 4.54 | 0 | 0 | 39.2 |
| 19 | 200 | 449 | 595 | 0 | 1152 | 4.54 | 0 | 0 | 37.3 |
| 20 | 200 | 315 | 595 | 576 | 576 | 4.54 | 0 | 136 | 39.8 |
| 21 | 200 | 315 | 595 | 0 | 1152 | 4.54 | 0 | 136 | 38.8 |
| 22 | 200 | 500 | 545 | 578 | 578 | 0 | 0 | 0 | 39.8 |
| 23 | 200 | 500 | 545 | 0 | 1156 | 0 | 0 | 0 | 38.5 |
| 24 | 200 | 350 | 545 | 578 | 578 | 0 | 0 | 150 | 41 |
| 25 | 200 | 350 | 545 | 0 | 1156 | 0 | 0 | 150 | 39.8 |
| 26 | 200 | 495 | 545 | 578 | 578 | 5 | 0 | 0 | 39.5 |
| 27 | 200 | 495 | 545 | 0 | 1156 | 5 | 0 | 0 | 38.5 |
| 28 | 200 | 347 | 545 | 1156 | 0 | 5 | 0 | 148 | 44.9 |
| 29 | 200 | 347 | 545 | 578 | 578 | 5 | 0 | 148 | 42 |
| 30 | 200 | 347 | 545 | 0 | 1156 | 5 | 0 | 148 | 39.3 |
| 31 | 185 | 349 | 641 | 1192 | 0 | 0 | 0 | 0 | 29.2 |
| 32 | 185 | 349 | 641 | 953.6 | 238.4 | 0 | 0 | 0 | 28.6 |
| 33 | 185 | 349 | 641 | 715.2 | 476.8 | 0 | 0 | 0 | 27.2 |
| 34 | 185 | 349 | 641 | 476.8 | 715.2 | 0 | 0 | 0 | 26.6 |
| 35 | 185 | 379 | 588 | 998.2 | 249.8 | 0 | 0 | 0 | 38.3 |
| 36 | 185 | 379 | 588 | 748.4 | 499.6 | 0 | 0 | 0 | 40.1 |
| 37 | 185 | 379 | 588 | 499.6 | 748.4 | 0 | 0 | 0 | 38.6 |
| 38 | 185 | 379 | 588 | 249.8 | 998.2 | 0 | 0 | 0 | 38.2 |
| 39 | 109 | 191 | 908 | 1096 | 0 | 4.5 | 0 | 56 | 25.91 |
| 40 | 113.29 | 191 | 908 | 986 | 110 | 4.5 | 0 | 56 | 24.15 |
| 41 | 117.54 | 191 | 908 | 877 | 219 | 4.5 | 0 | 56 | 23.75 |
| 42 | 121.83 | 191 | 908 | 768 | 329 | 4.5 | 0 | 56 | 21.27 |
| 43 | 126.08 | 191 | 908 | 658 | 438 | 4.5 | 0 | 56 | 20.65 |
| 44 | 130.37 | 191 | 908 | 548 | 548 | 4.5 | 0 | 56 | 10 |
| 45 | 134.66 | 191 | 908 | 438 | 658 | 4.5 | 0 | 56 | 18.51 |
| 46 | 104.2 | 213 | 897.8 | 1077 | 0 | 5.1 | 0 | 63 | 28.85 |
| 47 | 108.412 | 213 | 897.8 | 969 | 108 | 5.1 | 0 | 63 | 27.57 |
| 48 | 112.585 | 213 | 897.8 | 862 | 215 | 5.1 | 0 | 63 | 25.34 |
| 49 | 116.797 | 213 | 897.8 | 754 | 323 | 5.1 | 0 | 63 | 23.73 |
| 50 | 121.009 | 213 | 897.8 | 646 | 431 | 5.1 | 0 | 63 | 22.59 |
| 51 | 115 | 268 | 832 | 1051 | 0 | 6.4 | 0 | 79 | 31.69 |
| 52 | 119.095 | 268 | 832 | 946 | 105 | 6.4 | 0 | 79 | 30.41 |
| 53 | 123.19 | 268 | 832 | 841 | 210 | 6.4 | 0 | 79 | 29.22 |
| 54 | 128.207 | 275 | 827 | 731 | 313 | 6.5 | 0 | 82 | 27.44 |
| 55 | 132.302 | 275 | 827 | 626 | 418 | 6.5 | 0 | 82 | 26.79 |
| 56 | 136.358 | 275 | 827 | 522 | 522 | 6.5 | 0 | 82 | 25.47 |
| 57 | 140.414 | 275 | 827 | 418 | 626 | 6.5 | 0 | 82 | 24.46 |
| 58 | 126 | 291 | 789 | 1049 | 0 | 6.9 | 0 | 86 | 33.11 |
| 59 | 130.095 | 291 | 789 | 944 | 105 | 6.9 | 0 | 86 | 32.28 |
| 60 | 134.19 | 291 | 789 | 839 | 210 | 6.9 | 0 | 86 | 30.36 |
| 61 | 138.207 | 299 | 784 | 729 | 313 | 7.1 | 0 | 89 | 29.61 |
| 62 | 142.263 | 299 | 784 | 625 | 417 | 7.1 | 0 | 89 | 28.81 |
| 63 | 146.319 | 299 | 784 | 521 | 521 | 7.1 | 0 | 89 | 27.72 |
| 64 | 150.375 | 299 | 784 | 417 | 625 | 7.1 | 0 | 89 | 24.76 |
| 65 | 165 | 310 | 680 | 1010 | 0 | 4.6 | 0 | 65 | 33.2 |
| 66 | 165 | 310 | 680 | 758 | 252 | 4.6 | 0 | 65 | 27.8 |
| 67 | 165 | 310 | 680 | 0 | 1010 | 4.6 | 0 | 65 | 21.1 |
| 68 | 215 | 500 | 465 | 1199 | 0 | 0 | 0 | 0 | 30.1 |
| 69 | 219 | 500 | 465 | 839 | 360 | 0 | 0 | 0 | 29.6 |
| 70 | 222 | 500 | 465 | 600 | 600 | 0 | 0 | 0 | 28.3 |
| 71 | 223 | 500 | 465 | 839 | 360 | 0 | 0 | 0 | 27.6 |
| 72 | 230 | 500 | 465 | 600 | 600 | 0 | 0 | 0 | 23.6 |
| 73 | 237 | 500 | 465 | 360 | 839 | 0 | 0 | 0 | 21.1 |
| 74 | 246 | 500 | 465 | 0 | 1199 | 0 | 0 | 0 | 20.3 |
| 75 | 220 | 500 | 465 | 839 | 360 | 0 | 0 | 0 | 22.4 |
| 76 | 223 | 500 | 465 | 600 | 600 | 0 | 0 | 0 | 19.3 |
| 77 | 226 | 500 | 465 | 360 | 839 | 0 | 0 | 0 | 17 |
| 78 | 231 | 500 | 465 | 0 | 1199 | 0 | 0 | 0 | 15.6 |
| 79 | 175.6 | 390 | 572 | 1268 | 0 | 0.95 | 0 | 0 | 32.4 |
| 80 | 175.6 | 390 | 572 | 918 | 306 | 0.95 | 0 | 0 | 26.5 |
| 81 | 175.6 | 390 | 572 | 0 | 1112 | 0.95 | 0 | 0 | 20.8 |
| 82 | 185 | 349 | 641 | 1192 | 0 | 0 | 0 | 0 | 32.7 |
| 83 | 185 | 349 | 641 | 953.6 | 238.4 | 0 | 0 | 0 | 22.8 |
| 84 | 185 | 349 | 641 | 715.2 | 476.8 | 0 | 0 | 0 | 26.7 |
| 85 | 189.86 | 349 | 641 | 238.4 | 953.6 | 0 | 0 | 0 | 24.5 |
| 86 | 205.91 | 349 | 641 | 0 | 1192 | 0 | 0 | 0 | 26.3 |
| 87 | 180 | 400 | 708 | 1108 | 0 | 0 | 0 | 0 | 38.7 |
| 88 | 180 | 300 | 688 | 1108 | 0 | 0 | 0 | 100 | 36.3 |
| 89 | 180 | 300 | 688 | 886 | 215 | 0 | 0 | 100 | 29.3 |
| 90 | 180 | 300 | 688 | 554 | 538 | 0 | 0 | 100 | 27.1 |
| 91 | 180 | 300 | 688 | 0 | 1075 | 0 | 0 | 100 | 23.2 |
| 92 | 186 | 373 | 737 | 0 | 1020 | 0 | 0 | 0 | 26.6 |
| 93 | 186 | 280 | 737 | 1098 | 0 | 0 | 0 | 93 | 30.55 |
| 94 | 186 | 242 | 737 | 1098 | 0 | 0 | 0 | 131 | 28.5 |
| 95 | 186 | 280 | 737 | 0 | 1020 | 0 | 0 | 93 | 25.47 |
| 96 | 186 | 242 | 737 | 0 | 1020 | 0 | 0 | 131 | 24.32 |
| 97 | 175.6 | 390 | 572 | 1268 | 0 | 0.95 | 0 | 0 | 32.4 |
| 98 | 175.6 | 390 | 572 | 918 | 306 | 0.95 | 0 | 0 | 26.5 |
| 99 | 175.6 | 390 | 572 | 588 | 588 | 0.95 | 0 | 0 | 23.2 |
| 100 | 188 | 250.7 | 750 | 611.5 | 611.5 | 0 | 0 | 0 | 32.9 |
| 101 | 190.6 | 254.7 | 750 | 306 | 917 | 0 | 0 | 0 | 29.4 |
| 102 | 193.5 | 258 | 750 | 0 | 1223 | 0 | 0 | 0 | 28.4 |
| 103 | 187 | 334 | 601 | 1278 | 0 | 0 | 0 | 0 | 39.1 |
| 104 | 191.6 | 342.2 | 601 | 895 | 383 | 0 | 0 | 0 | 36.5 |
| 105 | 194.7 | 347.8 | 601 | 639 | 639 | 0 | 0 | 0 | 33.7 |
| 106 | 198.7 | 354.9 | 601 | 320 | 958 | 0 | 0 | 0 | 31.1 |
| 107 | 203.1 | 362.8 | 601 | 0 | 1278 | 0 | 0 | 0 | 28.5 |
| 108 | 205 | 477 | 498 | 1220 | 0 | 0 | 0 | 0 | 39.3 |
| 109 | 210.2 | 489.1 | 498 | 854 | 366 | 0 | 0 | 0 | 36.3 |
| 110 | 213.5 | 496.7 | 498 | 610 | 610 | 0 | 0 | 0 | 33.3 |
| 111 | 218.1 | 507.5 | 498 | 305 | 915 | 0 | 0 | 0 | 31.4 |
| 112 | 175 | 356 | 658 | 855 | 317 | 0 | 0 | 0 | 30.2 |
| 113 | 175 | 285 | 580 | 822 | 305 | 0 | 0 | 71 | 27.3 |
| 114 | 175 | 214 | 548 | 840 | 311 | 0 | 0 | 142 | 24.7 |
| 115 | 181 | 303 | 648 | 838 | 309 | 0 | 0 | 65 | 26.3 |
| 116 | 175 | 356 | 552 | 855 | 317 | 0 | 0 | 107 | 36 |
| 117 | 225 | 325 | 880 | 925 | 0 | 0 | 0 | 0 | 27 |
| 118 | 225 | 325 | 765 | 890 | 0 | 0 | 0 | 0 | 24 |
| 119 | 225 | 325 | 725 | 840 | 0 | 0 | 0 | 0 | 18.5 |
| 120 | 158 | 450 | 685 | 873 | 0 | 0 | 0 | 0 | 31.3 |
| 121 | 158 | 450 | 673 | 707 | 0 | 0 | 0 | 0 | 21.7 |
| 122 | 158 | 450 | 673 | 707 | 0 | 0 | 0 | 0 | 24.2 |
| 123 | 158 | 450 | 657 | 493 | 0 | 0 | 0 | 0 | 16.8 |
| 124 | 158 | 450 | 657 | 493 | 0 | 0 | 0 | 0 | 15.5 |
| 125 | 198 | 395 | 664 | 1083 | 0 | 0 | 0 | 0 | 29.6 |
| 126 | 198 | 395 | 653 | 906 | 0 | 0 | 0 | 0 | 21.2 |
| 127 | 198 | 395 | 643 | 735 | 0 | 0 | 0 | 0 | 18.4 |
| 128 | 198 | 395 | 643 | 735 | 0 | 0 | 0 | 0 | 20 |
| 129 | 198 | 395 | 622 | 508 | 0 | 0 | 0 | 0 | 9.7 |
| 130 | 198 | 395 | 622 | 508 | 0 | 0 | 0 | 0 | 12 |
| 131 | 209 | 380 | 670 | 570 | 570 | 0 | 0 | 0 | 33 |
| 132 | 209 | 380 | 670 | 0 | 1140 | 0 | 0 | 0 | 26 |
| 133 | 209 | 380 | 670 | 570 | 570 | 0 | 0 | 0 | 35 |
| 134 | 213 | 350 | 720 | 540 | 480 | 0 | 0 | 0 | 29.1 |
| 135 | 153 | 437 | 730 | 1095 | 0 | 0 | 38 | 0 | 41.3 |
| 136 | 193 | 437 | 730 | 0 | 910 | 0 | 38 | 0 | 31.9 |
| 137 | 180 | 437 | 730 | 0 | 973 | 0 | 38 | 0 | 41.5 |
| 138 | 227.5 | 325 | 955 | 1010 | 0 | 0 | 0 | 0 | 28 |
| 139 | 227.5 | 325 | 880 | 925 | 0 | 0 | 0 | 0 | 27 |
| 140 | 227.5 | 325 | 765 | 890 | 0 | 0 | 0 | 0 | 24 |
| 141 | 227.5 | 325 | 725 | 840 | 0 | 0 | 0 | 0 | 18.5 |
| 142 | 157.5 | 450 | 685 | 873 | 0 | 0 | 0 | 0 | 31.3 |
| 143 | 157.5 | 450 | 673 | 707 | 0 | 0 | 0 | 0 | 21.7 |
| 144 | 157.5 | 450 | 673 | 707 | 0 | 0 | 0 | 0 | 24.2 |
| 145 | 157.5 | 450 | 657 | 493 | 0 | 0 | 0 | 0 | 16.8 |
| 146 | 157.5 | 450 | 657 | 493 | 0 | 0 | 0 | 0 | 15.5 |
| 147 | 197.5 | 395 | 664 | 1083 | 0 | 0 | 0 | 0 | 29.6 |
| 148 | 197.5 | 395 | 653 | 906 | 0 | 0 | 0 | 0 | 21.2 |
| 149 | 197.5 | 395 | 643 | 735 | 0 | 0 | 0 | 0 | 18.4 |
| 150 | 197.5 | 395 | 643 | 735 | 0 | 0 | 0 | 0 | 20 |
| 151 | 197.5 | 395 | 622 | 508 | 0 | 0 | 0 | 0 | 9.7 |
| 152 | 225 | 410 | 642 | 1048 | 0 | 0 | 0 | 0 | 30.1 |
| 153 | 225 | 410 | 642 | 524 | 506 | 0 | 0 | 0 | 26.3 |
| 154 | 225 | 307.5 | 611 | 524 | 506 | 0 | 0 | 102.5 | 27.7 |
| 155 | 225 | 307.5 | 611 | 0 | 1017 | 0 | 0 | 102.5 | 23.9 |
| 156 | 225 | 266.5 | 598 | 1048 | 0 | 0 | 0 | 143.5 | 28.5 |
| 157 | 225 | 266.5 | 598 | 524 | 506 | 0 | 0 | 143.5 | 24.8 |
| 158 | 225 | 266.5 | 598 | 0 | 1017 | 0 | 0 | 143.5 | 21.6 |
| 159 | 225 | 184.5 | 530 | 1048 | 0 | 0 | 0 | 225.5 | 26.4 |
| 160 | 225 | 184.5 | 530 | 524 | 506 | 0 | 0 | 225.5 | 22.1 |
| 161 | 225 | 184.5 | 530 | 0 | 1017 | 0 | 0 | 225.5 | 20.4 |
| 162 | 192.75 | 388.95 | 845.86 | 0 | 770 | 2.029 | 0 | 118.3 | 23.4 |
| 163 | 198.96 | 401.47 | 836.46 | 192.13 | 576.37 | 2.094 | 0 | 122.11 | 20.4 |
| 164 | 198.96 | 401.47 | 836.46 | 768.5 | 0 | 2.094 | 0 | 122.11 | 18.5 |
| 165 | 214 | 523 | 531 | 902 | 225 | 0 | 0 | 0 | 14.03 |
| 166 | 214 | 523 | 531 | 791 | 338 | 0 | 0 | 0 | 13.16 |
| 167 | 214 | 523 | 531 | 676 | 451 | 0 | 0 | 0 | 13.05 |
| 168 | 214 | 523 | 531 | 565 | 565 | 0 | 0 | 0 | 13.69 |
| 169 | 214 | 523 | 531 | 451 | 676 | 0 | 0 | 0 | 14.12 |
| 170 | 214 | 523 | 531 | 338 | 791 | 0 | 0 | 0 | 13.88 |
| 171 | 214 | 523 | 531 | 225 | 902 | 0 | 0 | 0 | 14.05 |
| 172 | 214 | 523 | 531 | 112 | 1017 | 0 | 0 | 0 | 13.51 |
| 173 | 214 | 523 | 531 | 0 | 1128 | 0 | 0 | 0 | 13.22 |
| 174 | 195.5 | 325.1 | 622.6 | 1208.5 | 0 | 3.25 | 0 | 0 | 28 |
| 175 | 201.5 | 354.2 | 622.6 | 604.3 | 604.3 | 3.25 | 0 | 0 | 24.3 |
| 176 | 207.6 | 354.2 | 622.6 | 0 | 1208.5 | 3.25 | 0 | 0 | 19.52 |
| 177 | 195.5 | 330.1 | 607.6 | 1179.4 | 0 | 3.57 | 0 | 53.5 | 28.91 |
| 178 | 201.4 | 330.1 | 607.6 | 589.7 | 589.7 | 3.57 | 0 | 53.5 | 23.46 |
| 179 | 222 | 366 | 581 | 563.9 | 563.9 | 4.2 | 0 | 126.1 | 27.99 |
| 180 | 227.7 | 366 | 581 | 0 | 1127.9 | 4.2 | 0 | 126.1 | 23.5 |
| 181 | 204.8 | 435.7 | 564.3 | 780.6 | 334.6 | 0 | 0 | 0 | 3.84 |
| 182 | 204.8 | 435.7 | 564.3 | 334.6 | 780.6 | 0 | 0 | 0 | 3.89 |
| 183 | 204.8 | 435.7 | 564.3 | 0 | 1115.2 | 0 | 0 | 0 | 3.67 |
| 184 | 208.42 | 404 | 614 | 1228 | 0 | 0 | 0 | 0 | 44.4 |
| 185 | 208.85 | 404 | 614 | 1105 | 123 | 0 | 0 | 0 | 39.3 |
| 186 | 209.26 | 404 | 614 | 982 | 245 | 0 | 0 | 0 | 39.4 |
| 187 | 209.71 | 404 | 614 | 860 | 368 | 0 | 0 | 0 | 39.6 |
| 188 | 210.14 | 404 | 614 | 737 | 491 | 0 | 0 | 0 | 36.5 |
| 189 | 210.57 | 404 | 614 | 614 | 614 | 0 | 0 | 0 | 41 |
| 190 | 211 | 404 | 614 | 491 | 737 | 0 | 0 | 0 | 35.8 |
| 191 | 211.43 | 404 | 614 | 368 | 860 | 0 | 0 | 0 | 36.5 |
| 192 | 211.84 | 404 | 614 | 245 | 982 | 0 | 0 | 0 | 38.2 |
| 193 | 195 | 400 | 582 | 1200 | 0 | 0 | 0 | 0 | 29.4 |
| 194 | 195 | 400 | 582 | 0 | 1060 | 0 | 0 | 0 | 30.6 |
| 195 | 195 | 400 | 582 | 0 | 960 | 0 | 0 | 0 | 26.1 |
| 196 | 195 | 360 | 582 | 0 | 960 | 0 | 0 | 0 | 27.3 |
| 197 | 195 | 280 | 582 | 0 | 960 | 0 | 0 | 0 | 24.9 |
| 198 | 202 | 367 | 697 | 0 | 972 | 0 | 0 | 61 | 23.126 |
| 199 | 207 | 367 | 713 | 972 | 0 | 0 | 0 | 61 | 31.372 |
| 200 | 180 | 546 | 677 | 0 | 918 | 0 | 0 | 77 | 29.014 |
| 201 | 180 | 546 | 677 | 918 | 0 | 0 | 0 | 77 | 36.888 |
| 202 | 202 | 308 | 697 | 0 | 972 | 0 | 0 | 120 | 22.581 |
| 203 | 202 | 308 | 697 | 972 | 0 | 0 | 0 | 120 | 28.959 |
| 204 | 202 | 367 | 697 | 0 | 972 | 0 | 0 | 61 | 21.719 |
| 205 | 190 | 380 | 750.12 | 562.07 | 473.81 | 0 | 0 | 0 | 27.4833 |
| 206 | 190 | 380 | 752.514 | 894.247 | 188.639 | 0 | 0 | 0 | 29.415 |
| 207 | 190 | 380 | 745.712 | 0 | 949.088 | 0 | 0 | 0 | 24.8 |
| 208 | 190 | 380 | 749.36 | 1124.04 | 0 | 0 | 0 | 0 | 31.58 |
| 209 | 157.5 | 450 | 677.16 | 0 | 1104.84 | 0 | 0 | 0 | 29.26 |
| 210 | 157.5 | 450 | 682.29 | 0 | 1113.21 | 0 | 0 | 0 | 28.85 |
| 211 | 157.5 | 450 | 684 | 0 | 1116 | 0 | 0 | 0 | 28.8 |
| 212 | 174 | 300 | 665.76 | 560.5 | 525.74 | 0 | 0 | 0 | 22.27 |
| 213 | 190 | 380 | 761.292 | 555.406 | 495.902 | 0 | 0 | 0 | 27.5 |
| 214 | 174 | 300 | 653.22 | 0 | 1065.78 | 0 | 0 | 0 | 22.1 |
| 215 | 178.5 | 350 | 657.86 | 578.216 | 541.924 | 0 | 0 | 0 | 25.57 |
| 216 | 178.5 | 350 | 661.01 | 0 | 1078.49 | 0 | 0 | 0 | 24.64 |
| 217 | 190 | 380 | 750.12 | 0 | 1035.88 | 0 | 0 | 0 | 26.91 |
| 218 | 190 | 380 | 745.712 | 0 | 949.088 | 0 | 0 | 0 | 25.34 |
| 219 | 190 | 380 | 750.12 | 562.068 | 473.812 | 0 | 0 | 0 | 27.307 |
| 220 | 190 | 380 | 752.514 | 894.247 | 188.639 | 0 | 0 | 0 | 29.32 |
| 221 | 157.5 | 450 | 680.58 | 0 | 1110.42 | 0 | 0 | 0 | 29.05 |
| 222 | 191.25 | 375 | 815.063 | 996.188 | 0 | 0 | 0 | 0 | 31.5 |
| 223 | 205 | 410 | 835.744 | 0 | 869.856 | 0 | 0 | 0 | 26.167 |
| 224 | 189 | 315 | 895.104 | 969.696 | 0 | 0 | 0 | 0 | 36.5 |
| 225 | 204 | 340 | 962.064 | 0 | 819.536 | 0 | 0 | 0 | 24 |
| 226 | 189.8 | 260 | 1038.96 | 885.04 | 0 | 0 | 0 | 0 | 28.5 |
| 227 | 206.25 | 275 | 1073.435 | 0 | 777.315 | 0 | 0 | 0 | 22 |
| 228 | 220 | 367 | 725 | 1088 | 0 | 0 | 0 | 0 | 31.967 |
| 229 | 200 | 500 | 578 | 1122 | 0 | 0 | 0 | 0 | 38.067 |
| 230 | 220 | 367 | 725 | 870.4 | 217.6 | 0 | 0 | 0 | 29.4 |
| 231 | 220 | 367 | 725 | 652.8 | 435.2 | 0 | 0 | 0 | 28.967 |
| 232 | 220 | 367 | 725 | 435.2 | 652.8 | 0 | 0 | 0 | 29.4 |
| 233 | 220 | 367 | 725 | 217.6 | 870.4 | 0 | 0 | 0 | 28.367 |
| 234 | 220 | 440 | 644 | 438.4 | 657.6 | 0 | 0 | 0 | 31.167 |
| 235 | 220 | 440 | 644 | 657.6 | 438.4 | 0 | 0 | 0 | 30.967 |
| 236 | 220 | 440 | 644 | 219.2 | 348.16 | 0 | 0 | 0 | 31.067 |
| 237 | 200 | 500 | 578 | 673.2 | 448.8 | 0 | 0 | 0 | 34.633 |
| 238 | 200 | 500 | 578 | 448.8 | 673.2 | 0 | 0 | 0 | 34.067 |
| 239 | 200 | 500 | 578 | 224.4 | 897.6 | 0 | 0 | 0 | 33.6 |
| 240 | 200 | 500 | 578 | 0 | 1122 | 0 | 0 | 0 | 33.467 |
| 241 | 220 | 367 | 725 | 870.4 | 217.6 | 0 | 0 | 0 | 28.8 |
| 242 | 220 | 367 | 725 | 652.8 | 435.2 | 0 | 0 | 0 | 29 |
| 243 | 220 | 367 | 725 | 435.2 | 652.8 | 0 | 0 | 0 | 27.733 |
| 244 | 220 | 367 | 725 | 217.6 | 870.4 | 0 | 0 | 0 | 28.4 |
| 245 | 220 | 440 | 644 | 438.4 | 657.6 | 0 | 0 | 0 | 31.1 |
| 246 | 220 | 440 | 644 | 657.6 | 438.4 | 0 | 0 | 0 | 31.133 |
| 247 | 220 | 440 | 644 | 219.2 | 348.16 | 0 | 0 | 0 | 30.633 |
| 248 | 220 | 440 | 644 | 0 | 1096 | 0 | 0 | 0 | 29.333 |
| 249 | 200 | 500 | 578 | 897.6 | 224.4 | 0 | 0 | 0 | 34.833 |
| 250 | 200 | 500 | 578 | 673.2 | 448.8 | 0 | 0 | 0 | 34.8 |
| 251 | 200 | 500 | 578 | 448.8 | 673.2 | 0 | 0 | 0 | 34.2 |
| 252 | 200 | 500 | 578 | 224.4 | 897.6 | 0 | 0 | 0 | 33.667 |
| 253 | 220 | 367 | 725 | 652.8 | 435.2 | 0 | 0 | 0 | 27.4 |
| 254 | 220 | 367 | 725 | 435.2 | 652.8 | 0 | 0 | 0 | 24.767 |
| 255 | 220 | 367 | 725 | 217.6 | 870.4 | 0 | 0 | 0 | 23.7 |
| 256 | 220 | 367 | 725 | 0 | 1088 | 0 | 0 | 0 | 23.333 |
| 257 | 220 | 440 | 644 | 876.8 | 219.2 | 0 | 0 | 0 | 31.4 |
| 258 | 220 | 440 | 644 | 438.4 | 657.6 | 0 | 0 | 0 | 29.9 |
| 259 | 220 | 440 | 644 | 657.6 | 438.4 | 0 | 0 | 0 | 27.167 |
| 260 | 220 | 440 | 644 | 219.2 | 348.16 | 0 | 0 | 0 | 26.467 |
| 261 | 200 | 500 | 578 | 673.2 | 448.8 | 0 | 0 | 0 | 33.3 |
| 262 | 200 | 500 | 578 | 448.8 | 673.2 | 0 | 0 | 0 | 30.433 |
| 263 | 200 | 500 | 578 | 224.4 | 897.6 | 0 | 0 | 0 | 29.067 |
| 264 | 200 | 500 | 578 | 0 | 1122 | 0 | 0 | 0 | 27.233 |
| 265 | 220 | 367 | 725 | 870.4 | 217.6 | 0 | 0 | 0 | 27.233 |
| 266 | 220 | 367 | 725 | 652.8 | 435.2 | 0 | 0 | 0 | 27.133 |
| 267 | 220 | 367 | 725 | 435.2 | 652.8 | 0 | 0 | 0 | 23.967 |
| 268 | 220 | 367 | 725 | 217.6 | 870.4 | 0 | 0 | 0 | 23.467 |
| 269 | 220 | 440 | 644 | 438.4 | 657.6 | 0 | 0 | 0 | 29.233 |
| 270 | 220 | 440 | 644 | 657.6 | 438.4 | 0 | 0 | 0 | 25.8 |
| 271 | 220 | 440 | 644 | 219.2 | 348.16 | 0 | 0 | 0 | 25.933 |
| 272 | 220 | 440 | 644 | 0 | 1096 | 0 | 0 | 0 | 23.133 |
| 273 | 200 | 500 | 578 | 897.6 | 224.4 | 0 | 0 | 0 | 31.967 |
| 274 | 200 | 500 | 578 | 673.2 | 448.8 | 0 | 0 | 0 | 31.5 |
| 275 | 200 | 500 | 578 | 448.8 | 673.2 | 0 | 0 | 0 | 28.433 |
| 276 | 200 | 500 | 578 | 224.4 | 897.6 | 0 | 0 | 0 | 27.4 |
| 277 | 185 | 349 | 641 | 715.2 | 476.8 | 0 | 0 | 0 | 26.7 |
| 278 | 180 | 367 | 686 | 350 | 817 | 4.04 | 0 | 0 | 32.2 |
| 279 | 200 | 454 | 595 | 1152 | 0 | 0 | 0 | 0 | 35.5 |
| 280 | 200 | 318 | 595 | 1152 | 0 | 0 | 0 | 136 | 39.2 |
| 281 | 200 | 449 | 595 | 1152 | 0 | 4.54 | 0 | 0 | 39.9 |
| 282 | 200 | 315 | 595 | 1152 | 0 | 4.54 | 0 | 136 | 40.4 |
| 283 | 200 | 500 | 545 | 1156 | 0 | 0 | 0 | 0 | 41.2 |
| 284 | 200 | 350 | 545 | 1156 | 0 | 0 | 0 | 150 | 43.9 |
| 285 | 200 | 495 | 545 | 1156 | 0 | 5 | 0 | 0 | 42 |
| 286 | 185 | 349 | 641 | 238.4 | 953.6 | 0 | 0 | 0 | 25.2 |
| 287 | 185 | 379 | 588 | 1249 | 0 | 0 | 0 | 0 | 43.2 |
| 288 | 125.221 | 213 | 897.8 | 538 | 539 | 5.1 | 0 | 63 | 21.8 |
| 289 | 129.394 | 213 | 897.8 | 431 | 646 | 5.1 | 0 | 63 | 19.74 |
| 290 | 94 | 238 | 873 | 1076 | 0 | 5.6 | 0 | 70 | 30.68 |
| 291 | 98.212 | 238 | 873 | 968 | 108 | 5.6 | 0 | 70 | 28.93 |
| 292 | 102.385 | 238 | 873 | 861 | 215 | 5.6 | 0 | 70 | 27.74 |
| 293 | 107.48 | 249 | 865 | 746 | 320 | 5.9 | 0 | 74 | 26.3 |
| 294 | 111.614 | 249 | 865 | 640 | 426 | 5.9 | 0 | 74 | 25.31 |
| 295 | 115.787 | 249 | 865 | 533 | 533 | 5.9 | 0 | 74 | 24.11 |
| 296 | 119.96 | 249 | 865 | 426 | 640 | 5.9 | 0 | 74 | 22.25 |
| 297 | 165 | 310 | 680 | 505 | 505 | 4.6 | 0 | 65 | 24.3 |
| 298 | 225 | 500 | 465 | 360 | 839 | 0 | 0 | 0 | 26.4 |
| 299 | 229 | 500 | 465 | 0 | 1199 | 0 | 0 | 0 | 23.8 |
| 300 | 175.6 | 390 | 572 | 588 | 588 | 0.95 | 0 | 0 | 23.2 |
| 301 | 185 | 349 | 641 | 476.8 | 715.2 | 0 | 0 | 0 | 28.5 |
| 302 | 180 | 260 | 688 | 1108 | 0 | 0 | 0 | 140 | 31.3 |
| 303 | 186 | 373 | 737 | 1098 | 0 | 0 | 0 | 0 | 30.45 |
| 304 | 175.6 | 390 | 572 | 0 | 1112 | 0.95 | 0 | 0 | 20.8 |
| 305 | 163 | 283 | 631 | 0 | 978 | 3.77 | 0 | 31.39 | 23.375 |
| 306 | 158 | 320 | 658 | 0 | 929 | 4.27 | 0 | 35.58 | 24.194 |
| 307 | 163 | 350 | 569 | 0 | 967 | 4.66 | 0 | 38.87 | 27.095 |
| 308 | 183 | 244 | 750 | 1223 | 0 | 0 | 0 | 0 | 38.6 |
| 309 | 185 | 246.7 | 750 | 856 | 367 | 0 | 0 | 0 | 36.3 |
| 310 | 223.2 | 519.3 | 498 | 0 | 1220 | 0 | 0 | 0 | 28.8 |
| 311 | 175 | 356 | 658 | 1221 | 0 | 0 | 0 | 0 | 31.5 |
| 312 | 175 | 356 | 498 | 855 | 317 | 0 | 0 | 178 | 21.6 |
| 313 | 225 | 325 | 955 | 1010 | 0 | 0 | 0 | 0 | 28 |
| 314 | 225 | 325 | 545 | 825 | 0 | 0 | 0 | 0 | 13.5 |
| 315 | 158 | 450 | 697 | 1046 | 0 | 0 | 0 | 0 | 35.8 |
| 316 | 209 | 380 | 670 | 0 | 1140 | 0 | 0 | 0 | 28 |
| 317 | 199 | 350 | 720 | 1080 | 0 | 0 | 0 | 0 | 30 |
| 318 | 216 | 350 | 720 | 540 | 465 | 0 | 0 | 0 | 26.7 |
| 319 | 227.5 | 325 | 545 | 825 | 0 | 0 | 0 | 0 | 13.5 |
| 320 | 157.5 | 450 | 697 | 1046 | 0 | 0 | 0 | 0 | 35.8 |
| 321 | 197.5 | 395 | 622 | 508 | 0 | 0 | 0 | 0 | 12 |
| 322 | 225 | 410 | 642 | 0 | 1017 | 0 | 0 | 0 | 22.5 |
| 323 | 225 | 307.5 | 611 | 1048 | 0 | 0 | 0 | 102.5 | 29.1 |
| 324 | 198.96 | 401.47 | 836.46 | 384.25 | 384.25 | 2.094 | 0 | 122.11 | 18.8 |
| 325 | 214 | 523 | 531 | 1128 | 0 | 0 | 0 | 0 | 14.93 |
| 326 | 214 | 523 | 531 | 1017 | 112 | 0 | 0 | 0 | 13.77 |
| 327 | 207.3 | 330.1 | 607.6 | 0 | 1179.4 | 3.57 | 0 | 53.5 | 20.45 |
| 328 | 216.3 | 366 | 581 | 1127.9 | 0 | 4.2 | 0 | 126.1 | 30 |
| 329 | 204.8 | 435.7 | 564.3 | 1115.2 | 0 | 0 | 0 | 0 | 3.72 |
| 330 | 212.29 | 404 | 614 | 123 | 1105 | 0 | 0 | 0 | 34.2 |
| 331 | 212.72 | 404 | 614 | 0 | 1228 | 0 | 0 | 0 | 36.3 |
| 332 | 195 | 320 | 582 | 0 | 960 | 0 | 0 | 0 | 26.6 |
| 333 | 202 | 367 | 697 | 972 | 0 | 0 | 0 | 61 | 27.759 |
| 334 | 190 | 380 | 753.274 | 0 | 998.526 | 0 | 0 | 0 | 26.78 |
| 335 | 157.5 | 450 | 673.74 | 0 | 1099.26 | 0 | 0 | 0 | 28.18 |
| 336 | 187 | 425 | 653.055 | 0 | 1021.445 | 0 | 0 | 0 | 28.73 |
| 337 | 164.9 | 485 | 652.5675 | 0 | 1020.683 | 0 | 0 | 0 | 30.22 |
| 338 | 190 | 380 | 745.712 | 0 | 949.088 | 0 | 0 | 0 | 25.25 |
| 339 | 157.5 | 450 | 673.92 | 1198.08 | 0 | 0 | 0 | 0 | 32.3 |
| 340 | 220 | 440 | 644 | 1096 | 0 | 0 | 0 | 0 | 35.1 |
| 341 | 220 | 367 | 725 | 0 | 1088 | 0 | 0 | 0 | 28.033 |
| 342 | 220 | 440 | 644 | 876.8 | 219.2 | 0 | 0 | 0 | 32.333 |
| 343 | 220 | 440 | 644 | 0 | 1096 | 0 | 0 | 0 | 30.6 |
| 344 | 200 | 500 | 578 | 897.6 | 224.4 | 0 | 0 | 0 | 35.533 |
| 345 | 220 | 367 | 725 | 0 | 1088 | 0 | 0 | 0 | 25.633 |
| 346 | 220 | 440 | 644 | 876.8 | 219.2 | 0 | 0 | 0 | 31.3 |
| 347 | 200 | 500 | 578 | 0 | 1122 | 0 | 0 | 0 | 31.9 |
| 348 | 220 | 367 | 725 | 870.4 | 217.6 | 0 | 0 | 0 | 28.567 |
| 349 | 220 | 440 | 644 | 0 | 1096 | 0 | 0 | 0 | 24.5 |
| 350 | 200 | 500 | 578 | 897.6 | 224.4 | 0 | 0 | 0 | 34.467 |
| 351 | 220 | 367 | 725 | 0 | 1088 | 0 | 0 | 0 | 20.567 |
| 352 | 220 | 440 | 644 | 876.8 | 219.2 | 0 | 0 | 0 | 28.9 |
| 353 | 200 | 500 | 578 | 0 | 1122 | 0 | 0 | 0 | 24.533 |
| 354 | 185 | 349 | 641 | 715.2 | 476.8 | 0 | 0 | 0 | 26.7 |
| 355 | 180 | 367 | 686 | 350 | 817 | 4.04 | 0 | 0 | 32.2 |
| 356 | 200 | 454 | 595 | 1152 | 0 | 0 | 0 | 0 | 35.5 |
| 357 | 200 | 318 | 595 | 1152 | 0 | 0 | 0 | 136 | 39.2 |
| 358 | 200 | 449 | 595 | 1152 | 0 | 4.54 | 0 | 0 | 39.9 |
| 359 | 200 | 315 | 595 | 1152 | 0 | 4.54 | 0 | 136 | 40.4 |
| 360 | 200 | 500 | 545 | 1156 | 0 | 0 | 0 | 0 | 41.2 |
| 361 | 200 | 350 | 545 | 1156 | 0 | 0 | 0 | 150 | 43.9 |
| 362 | 200 | 495 | 545 | 1156 | 0 | 5 | 0 | 0 | 42 |
| 363 | 185 | 349 | 641 | 238.4 | 953.6 | 0 | 0 | 0 | 25.2 |
| 364 | 185 | 379 | 588 | 1249 | 0 | 0 | 0 | 0 | 43.2 |
| 365 | 125.221 | 213 | 897.8 | 538 | 539 | 5.1 | 0 | 63 | 21.8 |
| 366 | 129.394 | 213 | 897.8 | 431 | 646 | 5.1 | 0 | 63 | 19.74 |
| 367 | 94 | 238 | 873 | 1076 | 0 | 5.6 | 0 | 70 | 30.68 |
| 368 | 98.212 | 238 | 873 | 968 | 108 | 5.6 | 0 | 70 | 28.93 |
| 369 | 102.385 | 238 | 873 | 861 | 215 | 5.6 | 0 | 70 | 27.74 |
| 370 | 107.48 | 249 | 865 | 746 | 320 | 5.9 | 0 | 74 | 26.3 |
| 371 | 111.614 | 249 | 865 | 640 | 426 | 5.9 | 0 | 74 | 25.31 |
| 372 | 115.787 | 249 | 865 | 533 | 533 | 5.9 | 0 | 74 | 24.11 |
| 373 | 119.96 | 249 | 865 | 426 | 640 | 5.9 | 0 | 74 | 22.25 |
| 374 | 165 | 310 | 680 | 505 | 505 | 4.6 | 0 | 65 | 24.3 |
| 375 | 225 | 500 | 465 | 360 | 839 | 0 | 0 | 0 | 26.4 |
| 376 | 229 | 500 | 465 | 0 | 1199 | 0 | 0 | 0 | 23.8 |
| 377 | 175.6 | 390 | 572 | 588 | 588 | 0.95 | 0 | 0 | 23.2 |
| 378 | 185 | 349 | 641 | 476.8 | 715.2 | 0 | 0 | 0 | 28.5 |
| 379 | 180 | 260 | 688 | 1108 | 0 | 0 | 0 | 140 | 31.3 |
| 380 | 186 | 373 | 737 | 1098 | 0 | 0 | 0 | 0 | 30.45 |
| 381 | 175.6 | 390 | 572 | 0 | 1112 | 0.95 | 0 | 0 | 20.8 |
| 382 | 163 | 283 | 631 | 0 | 978 | 3.77 | 0 | 31.39 | 23.375 |
| 383 | 158 | 320 | 658 | 0 | 929 | 4.27 | 0 | 35.58 | 24.194 |
| 384 | 163 | 350 | 569 | 0 | 967 | 4.66 | 0 | 38.87 | 27.095 |
| 385 | 183 | 244 | 750 | 1223 | 0 | 0 | 0 | 0 | 38.6 |
| 386 | 185 | 246.7 | 750 | 856 | 367 | 0 | 0 | 0 | 36.3 |
| 387 | 223.2 | 519.3 | 498 | 0 | 1220 | 0 | 0 | 0 | 28.8 |
| 388 | 175 | 356 | 658 | 1221 | 0 | 0 | 0 | 0 | 31.5 |
| 389 | 175 | 356 | 498 | 855 | 317 | 0 | 0 | 178 | 21.6 |
| 390 | 225 | 325 | 955 | 1010 | 0 | 0 | 0 | 0 | 28 |
| 391 | 225 | 325 | 545 | 825 | 0 | 0 | 0 | 0 | 13.5 |
| 392 | 158 | 450 | 697 | 1046 | 0 | 0 | 0 | 0 | 35.8 |
| 393 | 209 | 380 | 670 | 0 | 1140 | 0 | 0 | 0 | 28 |
| 394 | 199 | 350 | 720 | 1080 | 0 | 0 | 0 | 0 | 30 |
| 395 | 216 | 350 | 720 | 540 | 465 | 0 | 0 | 0 | 26.7 |
| 396 | 227.5 | 325 | 545 | 825 | 0 | 0 | 0 | 0 | 13.5 |
| 397 | 157.5 | 450 | 697 | 1046 | 0 | 0 | 0 | 0 | 35.8 |
| 398 | 197.5 | 395 | 622 | 508 | 0 | 0 | 0 | 0 | 12 |
| 399 | 225 | 410 | 642 | 0 | 1017 | 0 | 0 | 0 | 22.5 |
| 400 | 225 | 307.5 | 611 | 1048 | 0 | 0 | 0 | 102.5 | 29.1 |
| 401 | 198.96 | 401.47 | 836.46 | 384.25 | 384.25 | 2.094 | 0 | 122.11 | 18.8 |
| 402 | 214 | 523 | 531 | 1128 | 0 | 0 | 0 | 0 | 14.93 |
| 403 | 214 | 523 | 531 | 1017 | 112 | 0 | 0 | 0 | 13.77 |
| 404 | 207.3 | 330.1 | 607.6 | 0 | 1179.4 | 3.57 | 0 | 53.5 | 20.45 |
| 405 | 216.3 | 366 | 581 | 1127.9 | 0 | 4.2 | 0 | 126.1 | 30 |
| 406 | 204.8 | 435.7 | 564.3 | 1115.2 | 0 | 0 | 0 | 0 | 3.72 |
| 407 | 212.29 | 404 | 614 | 123 | 1105 | 0 | 0 | 0 | 34.2 |
| 408 | 212.72 | 404 | 614 | 0 | 1228 | 0 | 0 | 0 | 36.3 |
| 409 | 195 | 320 | 582 | 0 | 960 | 0 | 0 | 0 | 26.6 |
| 410 | 202 | 367 | 697 | 972 | 0 | 0 | 0 | 61 | 27.759 |
| 411 | 190 | 380 | 753.274 | 0 | 998.526 | 0 | 0 | 0 | 26.78 |
| 412 | 157.5 | 450 | 673.74 | 0 | 1099.26 | 0 | 0 | 0 | 28.18 |
| 413 | 187 | 425 | 653.055 | 0 | 1021.445 | 0 | 0 | 0 | 28.73 |
| 414 | 164.9 | 485 | 652.567 | 0 | 1020.683 | 0 | 0 | 0 | 30.22 |
| 415 | 190 | 380 | 745.712 | 0 | 949.088 | 0 | 0 | 0 | 25.25 |
| 416 | 157.5 | 450 | 673.92 | 1198.08 | 0 | 0 | 0 | 0 | 32.3 |
| 417 | 220 | 440 | 644 | 1096 | 0 | 0 | 0 | 0 | 35.1 |
| 418 | 220 | 367 | 725 | 0 | 1088 | 0 | 0 | 0 | 28.033 |
| 419 | 220 | 440 | 644 | 876.8 | 219.2 | 0 | 0 | 0 | 32.333 |
| 420 | 220 | 440 | 644 | 0 | 1096 | 0 | 0 | 0 | 30.6 |
| 421 | 200 | 500 | 578 | 897.6 | 224.4 | 0 | 0 | 0 | 35.533 |
| 422 | 220 | 367 | 725 | 0 | 1088 | 0 | 0 | 0 | 25.633 |
| 423 | 220 | 440 | 644 | 876.8 | 219.2 | 0 | 0 | 0 | 31.3 |
| 424 | 200 | 500 | 578 | 0 | 1122 | 0 | 0 | 0 | 31.9 |
| 425 | 220 | 367 | 725 | 870.4 | 217.6 | 0 | 0 | 0 | 28.567 |
| 426 | 220 | 440 | 644 | 0 | 1096 | 0 | 0 | 0 | 24.5 |
| 427 | 200 | 500 | 578 | 897.6 | 224.4 | 0 | 0 | 0 | 34.467 |
| 428 | 220 | 367 | 725 | 0 | 1088 | 0 | 0 | 0 | 20.567 |
| 429 | 220 | 440 | 644 | 876.8 | 219.2 | 0 | 0 | 0 | 28.9 |
| 430 | 200 | 500 | 578 | 0 | 1122 | 0 | 0 | 0 | 24.533 |
References
- Yin, D.; Du, Z. Review of Research Status and Application Prospect of Recycled Aggregate Concrete. Ju She 2022, 10, 39–41. (In Chinese) [Google Scholar]
- Wang, J.; Fang, Z.; Deng, S.; Xiong, Z.; Zhu, J.; Zou, X. Research Status of Mechanical Properties of Recycled Aggregate Concret. In Proceedings of the 21st National Academic Symposium on Structural Engineering, Shijiazhuang, China, 23 July 2021; Volume 12. (In Chinese). [Google Scholar]
- Hashmi, A.F.; Khan, M.S.; Bilal, M.; Shariq, M.; Baqi, A. Green Concrete: An Eco-friendly Alternative to the OPC Concrete. Construction 2022, 2, 93–103. [Google Scholar] [CrossRef]
- Omar, A.; Muthusamy, K. Concrete Industry, Environment Issue, and Green Concrete: A Review. Construction 2022, 1, 1–9. [Google Scholar]
- Liew, S.I.N.; Ng, C.M.; Hasan, M.; Jaya, R.P.; Masri, K.A.; Shaffie, E.; Mashros, N.; Mahmud, M.Z.H. Performance of Permeable Concrete Pavement Containing Recycled Aggregate. AIP Conf. Proc. 2023, 2688, 040010. [Google Scholar]
- Wang, A.; Li, T. Brief Discussion on the Development Status of Recycled Agggregate Concrete. Sichuan Cem. 2018, 260, 300. (In Chinese) [Google Scholar]
- Kazmi, S.M.S.; Munir, M.J.; Wu, Y.-F.; Patnaikuni, I.; Zhou, Y.; Xing, F. Influence of Different Treatment Methods on the Mechanical Behavior of Recycled Aggregate Concrete: A Comparative Study. Cem. Concr. Compos. 2019, 104, 103398. [Google Scholar] [CrossRef]
- Hu, Y.; Ye, G. Regression Analysis for the Strength Prediction of the Fly-ash Regenerated Concrete. Build. Technol. Dev. 2009, 36, 13–14. (In Chinese) [Google Scholar]
- Erickson, N.; Mueller, J.; Shirkov, A.; Zhang, H.; Larroy, P.; Li, M.; Smola, A. AutoGluon-Tabular: Robust and Accurate AutoML for Structured Data. arXiv 2020. [Google Scholar] [CrossRef]
- Hou, C.; Zhou, X. Eccentric Compression Capacity Prediction of Rectangular CFST Columns Based on Machine Learning. J. Build. Struct. 2022, 43, 155–166. (In Chinese) [Google Scholar]
- Liu, D. The Prediction of 28 d Compressive Strength of Concrete Based on Machine Learning Algorithms. China Concr. Cem. Prod. 2022, 317, 20–24. (In Chinese) [Google Scholar]
- Chen, L.; Chen, S. Study on Prediction of Compressive Strength of Rubber-modified Recycled Aggregate Concrete Based on Machine Learning. Highw. Eng. 2022, 47, 169–175. (In Chinese) [Google Scholar]
- Luo, W.; Wang, H.; Gan, K.; Tan, J.; Wen, Y. Research on Forecast Method about the Compressive Strength of Recycled Aggregate Concrete. Shanxi Archit. 2021, 47, 128–130. (In Chinese) [Google Scholar]
- Zhang, Y.; Kuang, H.; Zeng, J. Relevance Vector Machine Model for Predicting Compressive Strength of Recycled Thermal Insulation Concrete. Concrete 2020, 9, 10–14. (In Chinese) [Google Scholar]
- Ohemeng, E.A.; Ekolu, S.O.; Quainoo, H. Models for Predicting Strength Properties of Recycled Concretes Made with Non-treated CRCAs: Empirical Approach. Constr. Build. Mater. 2021, 307, 124585. [Google Scholar] [CrossRef]
- Chen, Y. Decrease the threshold of AI Application of Automatic Machine Learning Technology. Artif. Intell. View 2018, 6, 48–55. (In Chinese) [Google Scholar]
- Wu, B.; Yuan, S.; Li, P.; Jing, Z.; Huang, S.; Zhao, Y. Radar Emitter Signal Recognition Based on One-dimensional Convolutional Neural Network with Attention Mechanism. Sensors 2020, 20, 6350. [Google Scholar] [CrossRef] [PubMed]
- Deng, S.; Zhang, J.; Zhang, C.; Luo, M.; Ni, M.; Li, Y.; Zeng, T. Prediction and Optimization of Gas Distribution Quality for High-temperature PEMFC Based on Data-driven Surrogate Model. Appl. Energy 2022, 327, 120000. [Google Scholar] [CrossRef]
- Bezrukavnikov, O.; Linder, R. A Neophyte with Automl: Evaluating the Promises of Automatic Machine Learning Tools. arXiv 2021, arXiv:2101.05840. [Google Scholar] [CrossRef]
- Qi, W.; Xu, C.; Xu, X. AutoGluon: A Revolutionary Framework for Landslide Hazard Analysis. Nat. Hazards Res. 2021, 1, 103–108. [Google Scholar] [CrossRef]
- Mangalath Ravindran, S.; Kumar, M.; Ambat, S.; Balakrishnan, K.; Manoj, M.G. An Automated Machine Learning Methodology for the Improved Prediction of Reference Evapotranspiration Using Minimal Input Parameters. Hydrol. Process. 2022, 36, 1–21. [Google Scholar] [CrossRef]
- Liang, J.; Yan, L.; Hu, P.; Yang, Y. Application of BP Neural Network in Forecast to Recycled Aggregate Concrete Strength. Concrete 2017, 6, 9–12. (In Chinese) [Google Scholar]
- Meng, H. Prediction of the Recycled Aggregate Concrete Strength Based on BP Neural Network. Master’s Thesis, Qingdao Technological University, Qingdao, China, 2012. (In Chinese). [Google Scholar]
- Gholampour, A.; Gandomi, A.H.; Ozbakkaloglu, T. New Formulations for Mechanical Properties of Recycled Aggregate Concrete Using Gene Expression Programming. Constr. Build. Mater. 2017, 130, 122–145. [Google Scholar] [CrossRef]
- Xu, J.; Zhao, X.; Yu, Y.; Xie, T.; Yang, G.; Xue, J. Parametric Sensitivity Analysis and Modelling of Mechanical Properties of Normal and High-strength Recycled Aggregate Concrete Using Grey Theory, Multiple Nonlinear Regression and Artificial Neural Networks. Constr. Build. Mater. 2019, 211, 479–491. [Google Scholar] [CrossRef]
- Dhir, R.K.; Ghataora, G.S.; Lynn, C.J. 5—Concrete-Related Applications. In Sustainable Construction Materials; Dhir, R.K., Ghataora, G.S., Lynn, C.J., Eds.; Woodhead Publishing: Sawston, UK, 2017; pp. 111–158. [Google Scholar]
- Marković, D.; Ćetenović, B.; Vuković, A.; Jokanović, V.; Marković, T. Nanosynthesized calcium-silicate-based biomaterials in endodontic treatment of young permanent teeth. In Nanobiomaterials in Dentistry; Grumezescu, A.M., Ed.; William Andrew Publishing: Norwich, NY, USA, 2016; pp. 269–307, Chapter 11. [Google Scholar]
- Cabral, A.E.B.; Schalch, V.; Molin, D.C.C.D.; Ribeiro, J.L.D. Mechanical Properties Modeling of Recycled Aggregate Concrete. Constr. Build. Mater. 2010, 24, 421–430. [Google Scholar] [CrossRef]
- Silva, R.V.; de Brito, J.; Dhir, R.K. Establishing a Relationship between Modulus of Elasticity and Compressive Strength of Recycled Aggregate Concrete. J. Clean. Prod. 2016, 112, 2171–2186. [Google Scholar] [CrossRef]
- Xiao, J.Z.; Li, J.B.; Zhang, C. On Relationships between the Mechanical Properties of Recycled Aggregate Concrete: An Overview. Mater. Struct. 2006, 39, 655–664. [Google Scholar] [CrossRef]
- GB 50010-2010; Code for Design of Concrete Structure. National Standard of the People’s Republic of China; General Administration of Quality Supervision, Inspection and Quarantine of the People’s Republic of China: Beijing, China, 2010.
- Corinaldesi, V. Mechanical and Elastic Behaviour of Concretes Made of Recycled-concrete Coarse Aggregates. Constr. Build. Mater. 2010, 24, 1616–1620. [Google Scholar] [CrossRef]
- Loo, Y.; Tam, C.-T.; Rasiah, S. Recycled Concrete as Fine and Coarse Aggregate in Concrete. Mag. Concr. Res. Mag. Concr. Res. 1987, 39, 214–220. [Google Scholar]
- Ali, R.; Hamid, R. Workability and Compressive Strength of Recycled Concrete Waste Aggregate Concrete. Appl. Mech. Mater. 2015, 754, 417–420. [Google Scholar] [CrossRef]
- Chen, D.; Lv, S.; Liu, H.; Lu, Z. Effects of Minerial Admixture on the Strength and Durability of Recycled Concrete. Fly Ash Compr. Util. 2009, 6, 8–10. (In Chinese) [Google Scholar]
- Chen, J.; Zhou, Y.; Yin, F. A Practical Equation for the Elastic Modulus of Recycled Aggregate Concrete. Buildings 2022, 12, 187. [Google Scholar] [CrossRef]
- Chen, M.; Bi, S. Mix Design and Early Compressive Strength Experiment of Waste Brick Aggregate Recyciea Concrete. China Concr. Cem. Prod. 2014, 4, 87–89. (In Chinese) [Google Scholar]
- Chen, M.; Ning, Y.; Feng, G. Strength Index Conversion of Coarse Aggregate Recycled Concrete for Crushed Clay Brick. Railw. Eng. 2015, 499, 118–120. (In Chinese) [Google Scholar]
- Chen, Y.; Li, H.; Ye, P.; CHen, Z.; Xu, H. Experimental Study on Mechanical Behavior of Steel Fiber Recycled Concrete under Cyclic Compression. Acta Mater. Compos. Sin. 2022, 39, 5574–5585. (In Chinese) [Google Scholar]
- Chen, Y.; Yan, F.; Zhang, S.; Ye, P.; Xu, H. Direct Shear Mechanical Properties Test and Constitutive Relations of Recycled Aggregate Concrete. J. Exp. Mech. 2022, 37, 341–350. (In Chinese) [Google Scholar]
- Chen, Z.; Zhou, C.; Chen, Y.; Huang, j.; Xue, J. Mechanical Properties of Recycled Pebble Aggregate Concrete. J. Build. Mater. 2014, 17, 465–469. (In Chinese) [Google Scholar]
- Choong, W.K.; Lau, T.; Sin, C.; Goh, B.H. Elastic Modulus of Concrete Cast with Recycled Aggregates. Appl. Mech. Mater. 2013, 423, 1006–1009. [Google Scholar] [CrossRef]
- Cui, J.; Liu, C.; Li, A.; Deng, J.; Li, Z. Experimental Study on Strength of Recycled Aggregate Concrete with Different Proportions of Fly Ash and Silica Fume. Shanxi Archit. 2017, 43, 106–108. (In Chinese) [Google Scholar]
- Cui, Z.; Lu, S.; Wang, Z. Influence of Recycled Aggregate on Strength and Anti-carbonation Properties of Recycled Aggregate Concrete. J. Build. Mater. 2012, 15, 264–267. (In Chinese) [Google Scholar]
- Deng, X. Test Results and Analysis of Compressive Strength of Recycled Coarse aggregate concrete. Sci. Technol. Inf. 2015, 13, 59–60. (In Chinese) [Google Scholar]
- Duan, Z.; Kou, S.; Pan, Z. In Modeling the Properties of Fly Ash Recycled Aggregate Concrete by Artifical Neural Networks. In Proceedings of the 3rd National Recycled Concrete Academic Communication Meeting, Qingdao, China, 6–8 September 2012; Volume 10. (In Chinese). [Google Scholar]
- Duan, Z.H.; Kou, S.C.; Poon, C.S. Using Artificial Neural Networks for Predicting the Elastic Modulus of Recycled Aggregate Concrete. Constr. Build. Mater. 2013, 44, 524–532. [Google Scholar] [CrossRef]
- Feng, L. Research on Frost Resistance and Acid Rain Resistance of Recycled Aggregate Pervious Concrete. Master’s Thesis, China University of Mining and Technology, Beijing, China, 2020. (In Chinese). [Google Scholar]
- Gholampour, A.; Ozbakkaloglu, T. Time-dependent and Long-term Mechanical Properties of Concretes Incorporating Different Grades of Coarse Recycled Concrete Aggregates. Eng. Struct. 2018, 157, 224–234. [Google Scholar] [CrossRef]
- Golafshani, E.M.; Behnood, A. Automatic Regression Methods for Formulation of Elastic Modulus of Recycled Aggregate Concrete. Appl. Soft Comput. 2018, 64, 377–400. [Google Scholar] [CrossRef]
- Hao, J. Study on the Effect of Recycled Aggregate Cyclic Utilization on the Strength and Durability of Recycled Concrete. Master’ Thesis, Liaoning Technical University, Liaoning, China, 2016. (In Chinese). [Google Scholar]
- Huang, C. Experimental Study on Influence of Fly Ash Recycled Concrete on Mechanical Properties. Brick-Tile 2023, 3, 30–33. (In Chinese) [Google Scholar]
- Huang, J.; Liu, Y.; Gao, Y.; Wang, Z. Study on Influence of Recycled Coarse Aggregate Replacement Rate on Creep of Recycled Thermal Insulation Concrete. J. Zhengzhou Univ. 2021, 42, 68–73. (In Chinese) [Google Scholar]
- Huang, S. Effect of Fly Ash on Mechanical Properties and Damage Mechanism of Recycled Concrete. Master’s Thesis, North China University of Water Resources and Electric Power, Zhengzhou, China, 2020. (In Chinese). [Google Scholar]
- Huang, Y.; Bao, Y.; Tao, X. Experimental Study on the Effect of Active Admixture on the Strength of Recycled Aggregate Planted Concrete. Jiangxi Build. Mater. 2018, 4, 17–19. (In Chinese) [Google Scholar]
- Jia, Y.; Wang, Y.; Sun, Z.; Zhao, X.; Wu, D. Mix Design and Experimental Research on Mechanical Properties of Self-compacting Recycled Concrete. Sichuan Build. Sci. 2014, 40, 241–244. (In Chinese) [Google Scholar]
- Jiang, J.; Xu, H. Experimental Research on Compression Resistance of Recycled Concrete Under Different Modification. Concrete 2014, 11, 87–89. (In Chinese) [Google Scholar]
- Jin, C. Experimental Research on Mechanical Performance Indexes of Recycled Concrete. Master’s Thesis, Wuhan University of Technology, Wuhan, China, 2008. (In Chinese). [Google Scholar]
- Kashyap, R.; Saxena, M.; Gautam, A.; Chauhan, S.; Mourya, A.; Verma, P. A Study on Recycled Lightweight Aggregate Concrete. J. Build. Pathol. Rehabil. 2022, 7, 28. [Google Scholar] [CrossRef]
- Kou, S.-C.; Poon, C.-S. Long-term Mechanical and Durability Properties of Recycled Aggregate Concrete Prepared with the Incorporation of Fly Ash. Cem. Concr. Compos. 2013, 37, 12–19. [Google Scholar] [CrossRef]
- Kou, S.-C.; Zhan, B.-J.; Poon, C.-S. Feasibility Study of Using Recycled Fresh Concrete Waste as Coarse Aggregates in Concrete. Constr. Build. Mater. 2012, 28, 549–556. [Google Scholar] [CrossRef]
- Kuang, W.; Yang, J. Experimental Study on Mix Ratio and Compressive Strength of Recycled Concrete Hollow Block of Construction Waste. Buliding Mater. Constr. Decor. 2021, 17, 3–4. (In Chinese) [Google Scholar]
- Li, J. Experimental Study on Concrete Strength and Durability Performances of Recycled Aggregate Concrete. Shanxi Archit. 2015, 41, 105–106. (In Chinese) [Google Scholar]
- Li, J.; Xie, Y.; Yang, H.; Wu, M.; Luo, D.; He, l. The Experimental Research of Compressive Strength and Elastic Modulus of Waste Contained Recycled Aggregate Concrete. J. Foshan Univ. 2017, 35, 76–80. [Google Scholar]
- Liang, J.; Jia, Y. Mix Design and Mechanical Properties of Hybrid Recycled Aggregate Self Compacting Recycled Concrete. Shanxi Archit. 2021, 47, 87–88. (In Chinese) [Google Scholar]
- Liu, B. Recycled Aggregate Concrete Strength Prediction and Eco-efficiency Evaluation of LCA-LCC Based on Machine Learning. Master’s Thesis, Beijing Jiaotong University, Beijing, China, 2021. (In Chinese). [Google Scholar]
- Liu, C. Study on the Mechanical Properties of Recycled Concrete Based on the Pavement Flexural Tensile Strength. Sichuan Build. Mater. 2019, 45, 1–3. (In Chinese) [Google Scholar]
- Liu, K.; Wang, S.; Peng, X.; Zhang, S.; Zhang, M. Experimental Study on Basic Mechanical Properties of Recycled Aggregate Concrete Modified with Mineral Materials. Concrete 2018, 6, 93–96. (In Chinese) [Google Scholar]
- Liu, L. Experimental Study on Compressive Strength and Elastic Modulus of Recycled Concrete. Value Eng. 2020, 39, 138–139. [Google Scholar]
- Liu, Q. Ultrasonic Rebound Method for Testing the Strength of Recycled Concrete. Master’s Thesis, Hebei Agricultural University, Hebei, China, 2018. (In Chinese). [Google Scholar]
- Liu, T. Study on Recycled Concrete Strength by Ultrasonic Rebound Testing. Master’s Thesis, Hebei Agricultural University, Hebei, China, 2019. (In Chinese). [Google Scholar]
- Liu, W.; Ping, L.; Yang, H.; Luo, D.; Wu, M. Experomental Analysis on Elastic Modulus Law of Recycled Coarse Aggregate Concrete. Spec. Struct. 2018, 35, 119–124. [Google Scholar]
- Ma, J. Research on the Performance and Mix Proportion Design of Recycled Aggregate Permeable Concrete. Master’s Thesis, Nanchang University, Nanchang, China, 2020. (In Chinese). [Google Scholar]
- Meng, Y. Recycled Coarse Aggregate Content on the Mech-anical Properties of Concrete Physical Regeneration. Sichuan Build. Mater. 2016, 42, 12–13. [Google Scholar]
- Pang, J. Experimental Study on Mechanical Properties of Recycled Aggregate Concrete. Master’s Thesis, Chang’an University, Xi’An, China, 2010. (In Chinese). [Google Scholar]
- Peng, Y.; Gong, A.; Sun, H.; Li, L. Experimental Study on the Variation Law of Elastic Modulus of Recycled Aggregate Concrete. Water Conserv. Sci. Technol. Econ. 2011, 17, 8–12. [Google Scholar]
- Qiao, S. Effect of Fly Ash on Mechanical Properties of Recycled Concrete. Master’s Thesis, Zhejiang University of Technology, Zhejiang, China, 2017. (In Chinese). [Google Scholar]
- Rais, M.; Khan, R. Strength and durability characteristics of binary blended recycled coarse aggregate concrete containing microsilica and metakaolin. Innov. Infrastruct. Solut. 2020, 5, 114. [Google Scholar] [CrossRef]
- Rizvon, S.; Jayakumar, K. Machine learning techniques for recycled aggregate concrete strength prediction and its characteristics between the hardened features of concrete. Arab. J. Geosci. 2021, 14, 2390. [Google Scholar] [CrossRef]
- Rizvon, S.; Jayakumar, K. Strength prediction models for recycled aggregate concrete using Random Forests, ANN and LASSO. J. Build. Pathol. Rehabil. 2021, 7, 5. [Google Scholar] [CrossRef]
- Shen, Y.; Wang, G.; Pei, Q.; Zhu, M.; Qu, F. Research on Compressive Strength and Elastic Modulus of C30 Waste Ceramic Recycled Aggregate Concrete. Bull. Chin. Ceram. Soc. 2018, 37, 3795–3801. [Google Scholar]
- Song, B.; Sun, H.; Pan, L.; Wang, C. Mechanical Properties of Vitrified Micro Bubbles Recycled Concrete Mixed with Calcined Diatomite. J. Jilin Inst. Chem. Technol. 2022, 39, 80–85. [Google Scholar]
- Sun, X. Performance Research and Analysis of Recycled Aggregate Concrete for Construction Waste. Master’s Thesis, Xi’an University of Architecture and Technology, Xi’an, China, 2018. (In Chinese). [Google Scholar]
- Tong, H. Study on Mix Proportion Design and Mechanical Properties of Middle-High Strength Recycled Concrete. Master’s Thesis, Liaoning Technical University, Liaoning, China, 2015. (In Chinese). [Google Scholar]
- Wang, A. Experimental Study on Properties of Recycled Concrete with Extra Fine Sand. Master’s Thesis, Hebei University of Engineering, Hebei, China, 2013. (In Chinese). [Google Scholar]
- Wang, G.; Qi, S.; Li, J.; Wang, K. Experimental Investigation on Mechanical Properties of Recycled Aggregate Concrete. Concrete 2020, 365, 168–171. [Google Scholar]
- Wang, H. Study on Elastic Modulus of Recycled Aggregate Concrete. J. Dalian Univ. 2013, 34, 45–49. (In Chinese) [Google Scholar]
- Wang, J.; Chen, N.; Pu, Q. Experimental Study of Behavior of Strength and Durability of Recycled Aggregate Concrete. Concrete 2007, 12, 53–56. (In Chinese) [Google Scholar] [CrossRef]
- Wang, Q.; Zhang, Y.; Fang, Y.; Zhang, Y.; Wu, F. Prediction of the mechanical behavior of recycled concrete with fresh concrete waste aggregate. Struct. Concr. 2019, 21, 761–771. [Google Scholar] [CrossRef]
- Wang, S.; Zhao, K.; Zhang, B.; Yu, Y. Experimental Analysis the Influence of Elastic Modulus Based on Different Eras Recycled Coarse Aggregates of Recycled Aggregate Concrete. Concrete 2011, 10, 43–45. (In Chinese) [Google Scholar]
- Wang, Y.; Zhang, Y.; Chen, Y. Research on Optimization Scheme of Recycled Concrete Mix Design Based on Neural Network. Sichuan Cem. 2021, 6, 73–74. (In Chinese) [Google Scholar]
- Wang, Z. Study on Mechanical Properties of Recycled Concrete. Master’s Thesis, Ningxia University, Ningxia, China, 2008. (In Chinese). [Google Scholar]
- Wu, K.; Chen, F.; Xu, C.; Lin, S.Q.; Nan, Y. Internal Curing Effect on Strength of Recycled Aggregate Concrete and Its Enhancement in Concrete-filled Thin-wall Steel Tube. Constr. Build. Mater. 2017, 153, 824–834. [Google Scholar] [CrossRef]
- Wu, P. Mechanical Properties and Permeability of Recycled Brick-Concrete Aggregate Pervious Concrete. Master’s Thesis, Zhejiang University, Zhejiang, China, 2020. (In Chinese). [Google Scholar]
- Xiao, B. Experimental Study on the Basic Mechanical Properties of Recycled Aggregate Concrete. Master’s Thesis, Wuhan University, Wuhan, China, 2019. (In Chinese). [Google Scholar]
- Xiao, X. Research on the Basic Strength Features of Recycled Concrete. Master’s Thesis, Shandong University of Science and Technology, Shandong, China, 2008. (In Chinese). [Google Scholar]
- Xie, J.; Zhang, H.; Duan, L.; Yang, Y.; Yan, J.; Shan, D.; Liu, X.; Pang, J.; Chen, Y.; Li, X.; et al. Effect of Nano Metakaolin on Compressive Strength of Recycled Concrete. Constr. Build. Mater. 2020, 256, 119393. [Google Scholar] [CrossRef]
- Xie, Y. Study on the Mechanical Properties of Recycled Concrete and Numerical Simulation. Master’s Thesis, Foshan University, Foshan, China, 2018. [Google Scholar]
- Xu, E.; Ding, X. The Experimental Studies on the Relationship between Mix Proportion and Compressive Strength of Recycled Concrete. Shanxi Archit. 2018, 44, 114–117. [Google Scholar]
- Xu, J.; Chen, Z.; Yu, X.; Chen, Y.; Ye, P. Experimental Study of Elastic Modulus and Poisson’s Ratios of Long Age Recycled Aggregate Concrete. Concrete 2012, 267, 15–17. [Google Scholar]
- Xu, X. Research on Mixture Ratio Design and Physical and Mechanical Properties of Recycled Concrete. Master’s Thesis, Guangxi University of Science and Technology, Liuzhou, China, 2015. (In Chinese). [Google Scholar]
- Xu, Y. Research on Detection Method of Elastic Modulus of Recycled Concrete. Build Technol. 2016, 28, 30–32. [Google Scholar]
- Yang, H.; Tian, S. Research on High-strength Recycled Aggregate Concrete Preparation and Performance. J. Funct. Mater. 2013, 44, 2524–2527. [Google Scholar]
- Yu, B.; Xiong, J.; Fu, M.; Song, G. Basic Behaviors of Recycled Coarse Aggregate Concrete with Fly Ash. Concrete 2008, 9, 67–69. (In Chinese) [Google Scholar]
- Yu, K. Experimental Study on Mechanical Properties of Recycled Coarse Aggregate Concrete Strengthened with HCL. Master’s Thesis, Qingdao University of Technology, Qingdao, China, 2018. (In Chinese). [Google Scholar]
- Yuan, C. Experimental Study on Modification of Recycled Aggregate and Recycled Concrete Properties. Master’s Thesis, Hubei University of Technology, Hubei, China, 2021. (In Chinese). [Google Scholar]
- Yuan, J.; Wang, W.; Lu, Y. Study on Impacts of Water Cement Ratio and RCA Replacement Ratio on Recycled Concrete Strength. Chongqing Archit. 2014, 13, 53–55. [Google Scholar]
- Zhang, M. Study on Preparation Method and Performance of Recycled Concrete. Master’s Thesis, Anhui Jianzhu University, Anhui, China, 2022. (In Chinese). [Google Scholar]
- Zhang, S.; Wang, S.; Zhang, B.; Zhang, M. Experimental Study on Basic Mechanical Properties of Recycled Concrete. Concrete 2017, 336, 100–103. [Google Scholar]
- Zhang, X.; Chen, Z.; Xue, J. Physical and Mechanical Performance of Recycled Aggregate Concrete. Bull. Chin. Ceram. Soc. 2015, 34, 1684–1689. [Google Scholar]
- Zhang, X.; Tian, S.; Dai, H.; Lin, W.; Yao, Z.; Wang, Y.; Kong, Q.; Zhu, J. Study Strength of Recycled Concrete Mix Design. Appl. Mech. Mater. 2013, 423, 1072–1075. [Google Scholar] [CrossRef]
- Zhang, Y.; An, X.; Niu, W.; Zhang, B. Experimental Study on Elastic Modulus of Recycled Concrete Based on Detection Method. J. Hebei Univ. Eng. 2019, 36, 41–45. (In Chinese) [Google Scholar]
- Zhang, Y.; Qin, H.; Sun, W.; Hao, D.; Ning, Z. Preliminary Study on the Proportion Design of Recycled aggregate Concrete. China Concr. Cem. Prod. 2002, 1, 7–9. (In Chinese) [Google Scholar]
- Zhao, B.; Wang, Y.; Xiao, L.; Li, T.; Jiang, C.; Yang, G.; Li, M.; Tang, X.; Chen, H.; Hu, X. Mix Design on C40 Self-compacting Recycled Concrete. China Build. Mater. Sci. Technol. 2020, 29, 50–54. [Google Scholar]
- Zhao, J.; Deng, Z.; Lin, J. Experimental Study on Mixture Ratio Design of Recycled Aggregate Concrete. J. Guangxi Univ. Sci. Technol. 2007, 8, 80–84. (In Chinese) [Google Scholar]
- Zhou, X. Experimental and Numerical Investigation on Elastic Modulus of Recycled Coarse Aggregate Concrete. Master’s Thesis, Huazhong University of Science and Technology, Huazhong, China, 2017. (In Chinese). [Google Scholar]
- Zuo, Y. Experimental Study on Performance of Recycled Concrete with Different Fly Ash Content. J. Highw. Transp. 2018, 14, 97–98. [Google Scholar]






| Type | Variable | Max | Min | Median | Mean | Standard Deviation |
|---|---|---|---|---|---|---|
| Input Value | water [kg] | 271.00 | 116.00 | 185.49 | 189.90 | 23.25 |
| cement [kg] | 667.00 | 190.00 | 386.50 | 393.36 | 74.48 | |
| natural fine aggregate [kg] | 1020.00 | 0.00 | 648.00 | 647.35 | 126.76 | |
| natural coarse aggregate [kg] | 1376.00 | 0.00 | 787.50 | 679.37 | 363.74 | |
| recycled coarse aggregate [kg] | 1292.00 | 0.00 | 313.00 | 417.09 | 354.19 | |
| water reducer [kg] | 9.90 | 0.00 | 0.00 | 0.40 | 1.41 | |
| silicon ash [kg] | 0.00 | 0.00 | 0.00 | 0.00 | 0.00 | |
| fly ash [kg] | 234.00 | 0.00 | 0.00 | 6.66 | 27.96 | |
| Output value | compressive strength [MPa] | 80.40 | 17.29 | 40.80 | 41.19 | 10.56 |
| Type | Variable | Max | Min | Median | Mean | Standard Deviation |
|---|---|---|---|---|---|---|
| Input Value | water [kg] | 246.00 | 94.00 | 200.00 | 190.79 | 30.61 |
| cement [kg] | 546.00 | 184.50 | 373.00 | 378.62 | 83.71 | |
| natural fine aggregate [kg] | 1073.43 | 465.00 | 644.00 | 663.06 | 110.08 | |
| natural coarse aggregate [kg] | 1278.00 | 0.00 | 588.00 | 572.92 | 411.40 | |
| recycled coarse aggregate [kg] | 1278.00 | 0.00 | 469.41 | 501.23 | 419.42 | |
| water reducer [kg] | 7.10 | 0.00 | 0.00 | 1.10 | 2.08 | |
| silicon ash [kg] | 38.00 | 0.00 | 0.00 | 0.27 | 3.16 | |
| fly ash [kg] | 225.50 | 0.00 | 0.00 | 26.11 | 47.47 | |
| Output value | elastic modulus [GPa] | 44.90 | 3.67 | 28.11 | 27.92 | 7.30 |
| Model | Evaluation Parameter | |||||||
|---|---|---|---|---|---|---|---|---|
| R² | MAE | RMSE | MAPE | |||||
| Training Results | Testing Results | Training Results | Testing Results | Training Results | Testing Results | Training Results | Testing Results | |
| CatBoost | 0.875 | 0.847 | 2.104 | 2.064 | 3.768 | 3.738 | 5.800 | 6.291 |
| XGBoost | 0.844 | 0.802 | 2.440 | 2.425 | 4.222 | 4.253 | 6.572 | 7.210 |
| WeightedEnsemble | 0.877 | 0.845 | 2.090 | 2.100 | 3.736 | 3.757 | 5.748 | 6.402 |
| LightGBMLarge | 0.845 | 0.786 | 2.374 | 2.463 | 4.193 | 4.420 | 6.365 | 7.511 |
| RandomForestMSE | 0.799 | 0.735 | 2.715 | 2.795 | 4.782 | 4.921 | 7.400 | 8.181 |
| LightGBM | 0.855 | 0.822 | 2.403 | 2.428 | 4.040 | 4.008 | 6.568 | 7.290 |
| ExtraTreeMSE | 0.815 | 0.821 | 2.576 | 2.148 | 4.597 | 4.043 | 7.283 | 6.372 |
| LightGBMXT | 0.835 | 0.829 | 2.590 | 2.417 | 4.329 | 3.951 | 7.348 | 7.174 |
| NeuralNetTorch | 0.574 | 0.661 | 4.262 | 3.253 | 6.970 | 5.572 | 11.903 | 8.956 |
| NeuralNetFastAI | 0.560 | 0.631 | 4.677 | 3.736 | 7.083 | 5.816 | 14.216 | 11.266 |
| Model | Evaluation Parameter | |||||||
|---|---|---|---|---|---|---|---|---|
| R² | MAE | RMSE | MAPE | |||||
| Training Results | Testing Results | Training Results | Testing results | Training Results | Testing Results | Training Results | Testing Results | |
| CatBoost | 0.816 | 0.962 | 2.153 | 0.889 | 3.114 | 1.454 | 9.833 | 4.958 |
| XGBoost | 0.768 | 0.958 | 2.276 | 0.967 | 3.496 | 1.533 | 11.964 | 5.618 |
| WeightedEnsemble | 0.818 | 0.957 | 2.150 | 0.900 | 3.101 | 1.546 | 9.817 | 5.073 |
| LightGBMLarge | 0.765 | 0.947 | 2.417 | 1.082 | 3.509 | 1.716 | 11.210 | 6.759 |
| RandomForestMSE | 0.706 | 0.912 | 2.685 | 1.381 | 3.935 | 2.219 | 14.173 | 9.184 |
| LightGBM | 0.771 | 0.911 | 2.397 | 1.156 | 3.467 | 2.270 | 10.959 | 6.846 |
| ExtraTreeMSE | 0.634 | 0.910 | 2.940 | 1.420 | 4.395 | 2.247 | 17.016 | 9.316 |
| LightGBMXT | 0.740 | 0.858 | 2.533 | 1.556 | 3.631 | 2.359 | 12.614 | 9.402 |
| NeuralNetTorch | 0.506 | 0.540 | 3.191 | 2.576 | 5.107 | 5.070 | 20.875 | 20.106 |
| NeuralNetFastAI | 0.204 | 0.507 | 3.682 | 3.315 | 5.407 | 5.210 | 21.691 | 21.181 |
| Model | Evaluation Indicator | |||
|---|---|---|---|---|
| R² | MAE | RMSE | MAPE | |
| Gholampour et al. (2017) [24] | 0.103 | 7.819 | 9.919 | 21.759 |
| Xu et al. (2019) [25] | 0.135 | 7.807 | 9.689 | 22.174 |
| Linear regression model | 0.209 | 6.320 | 8.489 | 17.809 |
| WeightedEnsemble | 0.845 | 2.100 | 3.757 | 6.402 |
| Model | Evaluation Indicator | |||
|---|---|---|---|---|
| R² | MAE | RMSE | MAPE | |
| Gholampour et al. (2017) [24] | 0.030 | 6.212 | 8.497 | 35.546 |
| Xu et al. (2019) [25] | 0.053 | 5.374 | 7.597 | 32.359 |
| Linear regression model | 0.311 | 4.473 | 6.164 | 25.843 |
| WeightedEnsemble | 0.957 | 0.899 | 1.546 | 5.073 |
Disclaimer/Publisher’s Note: The statements, opinions and data contained in all publications are solely those of the individual author(s) and contributor(s) and not of MDPI and/or the editor(s). MDPI and/or the editor(s) disclaim responsibility for any injury to people or property resulting from any ideas, methods, instructions or products referred to in the content. |
© 2023 by the authors. Licensee MDPI, Basel, Switzerland. This article is an open access article distributed under the terms and conditions of the Creative Commons Attribution (CC BY) license (https://creativecommons.org/licenses/by/4.0/).
Share and Cite
Lin, C.; Sun, Y.; Jiao, W.; Zheng, J.; Li, Z.; Zhang, S. Prediction of Compressive Strength and Elastic Modulus for Recycled Aggregate Concrete Based on AutoGluon. Sustainability 2023, 15, 12345. https://doi.org/10.3390/su151612345
Lin C, Sun Y, Jiao W, Zheng J, Li Z, Zhang S. Prediction of Compressive Strength and Elastic Modulus for Recycled Aggregate Concrete Based on AutoGluon. Sustainability. 2023; 15(16):12345. https://doi.org/10.3390/su151612345
Chicago/Turabian StyleLin, Chenxi, Yidan Sun, Wenxiu Jiao, Jiajie Zheng, Zhijuan Li, and Shujun Zhang. 2023. "Prediction of Compressive Strength and Elastic Modulus for Recycled Aggregate Concrete Based on AutoGluon" Sustainability 15, no. 16: 12345. https://doi.org/10.3390/su151612345
APA StyleLin, C., Sun, Y., Jiao, W., Zheng, J., Li, Z., & Zhang, S. (2023). Prediction of Compressive Strength and Elastic Modulus for Recycled Aggregate Concrete Based on AutoGluon. Sustainability, 15(16), 12345. https://doi.org/10.3390/su151612345
