The Impacts of Land Use Changes on Water Yield and Water Conservation Services in Zhangjiakou, Beijing’s Upstream Watershed, China
Abstract
1. Introduction
2. Study Area, Data, and Methods
2.1. Study Area
2.2. Data
2.3. Methods
2.3.1. Calculate Water Yield Based on the InVEST Model
2.3.2. Calculation of Water Conservation
2.3.3. Trend Analysis
2.3.4. Scenarios Settings
3. Results
3.1. Land Use Change Characteristics in ZJK
3.2. Spatiotemporal Changes in Water Yield and Water Conservation
3.2.1. Calibration and Validation of InVEST
3.2.2. Spatiotemporal Changes in Water Yield
3.2.3. Spatiotemporal Changes in Water Conservation
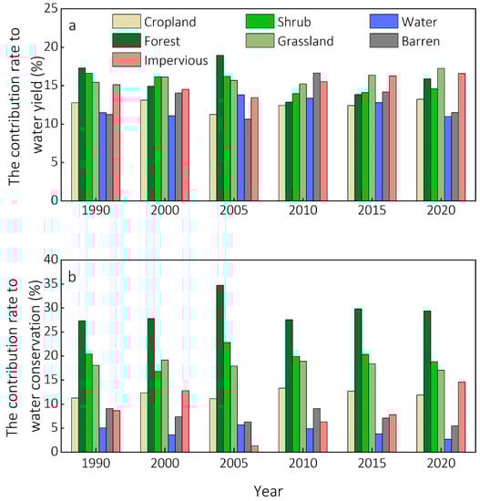
3.2.4. Response of Land Use Type in Annual Water Yield and Water Conservation
3.3. Projections of Water Yield and Water Conservation under Changes in Land Use Scenarios and Climate Scenarios
4. Discussion
4.1. Changes in Water Yield and Water Conservation over the Past 31 Years
4.2. Implications of Revegetation on Water Yield and Water Conservation
4.3. Limitations and Uncertainties
5. Conclusions
Author Contributions
Funding
Institutional Review Board Statement
Informed Consent Statement
Data Availability Statement
Acknowledgments
Conflicts of Interest
References
- Costanza, R.; d’Arge, R.; de Groot, R.; Farber, S.; Grasso, M.; Hannon, B.; Limburg, K.; Naeem, S.; O’Neill, R.V.; Paruelo, J.; et al. The value of the world’s ecosystem services and natural capital. Nature 1997, 387, 253–260. [Google Scholar] [CrossRef]
- Ram, Y.; Kay Smith, M. An assessment of visited landscapes using a Cultural Ecosystem Services framework. Tour. Geogr. 2019, 24, 523–548. [Google Scholar] [CrossRef]
- Fan, M.; Shibata, H.; Chen, L. Spatial conservation of water yield and sediment retention hydrological ecosystem services across Teshio watershed, northernmost of Japan. Ecol. Complex. 2018, 33, 1–10. [Google Scholar] [CrossRef]
- Sun, G.; Zhou, G.; Zhang, Z.; Wei, X.; McNulty, S.G.; Vose, J.M. Potential water yield reduction due to forestation across China. J. Hydrol. 2006, 328, 548–558. [Google Scholar] [CrossRef]
- Wang, Y.; Ye, A.; Qiao, F.; Li, Z.; Miao, C.; Di, Z. Review on connotation and estimation method of water conservation. South–North Water Transf. Water Sci. Technol. 2021, 19, 1041–1071. (In Chinese) [Google Scholar]
- Razzaq, A.; Qing, P.; Naseer, M.; Abid, M.; Anwar, M.; Javed, I. Can the informal groundwater markets improve water use efficiency and equity? Evidence from a semi-arid region of Pakistan. Sci. Total Environ. 2019, 666, 849–857. [Google Scholar] [CrossRef]
- Razzaq, A.; Liu, H.; Xiao, M.; Mehmood, K.; Shahzad, M.A.; Zhou, Y. Analyzing past and future trends in Pakistan’s groundwater irrigation development: Implications for environmental sustainability and food security. Environ. Sci. Pollut. Res. 2023, 30, 35413–35429. [Google Scholar] [CrossRef]
- Hu, W.; Li, G.; Gao, Z.; Jia, G.; Wang, Z.; Li, Y. Assessment of the impact of the Poplar Ecological Retreat Project on water conservation in the Dongting Lake wetland region using the InVEST model. Sci. Total Environ. 2020, 733, 139423. [Google Scholar] [CrossRef]
- Yang, D.; Liu, W.; Tang, L.; Chen, L.; Li, X.; Xu, X. Estimation of water provision service for monsoon catchments of South China: Applicability of the InVEST model. Landsc. Urban Plan. 2019, 182, 133–143. [Google Scholar] [CrossRef]
- Li, M.; Liang, D.; Xia, J.; Song, J.; Cheng, D.; Wu, J. Evaluation of water conservation function of Danjiang River Basin in Qinling Mountains, China based on InVEST model. J. Environ. Manag. 2021, 286, 112212. [Google Scholar] [CrossRef]
- Pan, T.; Zuo, L.; Zhang, Z.; Zhao, X.; Sun, F.; Zhu, Z.; Liu, Y. Impact of Land Use Change on Water Conservation: A Case Study of Zhangjiakou in Yongding River. Sustainability 2021, 13, 22. [Google Scholar] [CrossRef]
- Lee, S.; Yeo, I.Y.; Lang, M.W.; Sadeghi, A.M.; McCarty, G.W.; Moglen, G.E.; Evenson, G.R. Assessing the cumulative impacts of geographically isolated wetlands on watershed hydrology using the SWAT model coupled with improved wetland modules. J. Environ. Manag. 2018, 223, 37–48. [Google Scholar] [CrossRef]
- Malagò, A.; Bouraoui, F.; De Roo, A. Diagnosis and Treatment of the SWAT Hydrological Response Using the Budyko Framework. Sustainability 2018, 10, 1373. [Google Scholar] [CrossRef]
- Sharp, R.; Tallis, H.T.; Ricketts, T. InVEST 3.2.0 User’s Guide; The Natural Capital Project, Stanford University, University of Minnesota, The Nature Conservancy, and World Wildlife Fund: Bogota, Colombia, 2015. [Google Scholar]
- Benra, F.; De Frutos, A.; Gaglio, M.; Álvarez-Garretón, C.; Felipe-Lucia, M.; Bonn, A. Mapping water ecosystem services: Evaluating InVEST model predictions in data scarce regions. Environ. Model. Softw. 2021, 138, 104982. [Google Scholar] [CrossRef]
- Bagstad, K.J.; Semmens, D.J.; Winthrop, R. Comparing approaches to spatially explicit ecosystem service modeling: A case study from the San Pedro River, Arizona. Ecosyst. Serv. 2013, 5, 40–50. [Google Scholar] [CrossRef]
- Martinez-Lopez, J.; Bagstad, K.J.; Balbi, S.; Magrach, A.; Voigt, B.; Athanasiadis, I.; Villa, F. Towards globally customizable ecosystem service models. Sci. Total Environ. 2019, 650, 2325–2336. [Google Scholar] [CrossRef]
- Zhang, Y.; Zhang, B.; Ma, B.; Yao, R.; Wang, L. Evaluation of the water conservation capacity of the Weihe River Basin based on the Integrated Valuation of Ecosystem Services and Tradeoffs model. Ecohydrology 2022, 15, e2465. [Google Scholar] [CrossRef]
- Rhatyn, S.; Rotenberg, E.; Ramati, E.; Tatarinov, F.; Tas, E.; Yakir, D. Differential impacts of land use and precipitation on “ecosystem water yield”. Water Resour. Res. 2018, 54, 5457–5470. [Google Scholar] [CrossRef]
- Li, X.; Yu, X.; Wu, K.; Feng, Z.; Liu, Y.; Li, X. Land-use zoning management to protecting the Regional Key Ecosystem Services: A case study in the city belt along the Chaobai River, China. Sci. Total Environ. 2021, 762, 143167. [Google Scholar] [CrossRef]
- Li, L.; Xu, E. Scenario analysis and relative importance indicators for combined impact of climate and land-use change on annual ecosystem services in the Karst mountainous region. Ecol. Indic. 2023, 147, 109991. [Google Scholar] [CrossRef]
- Measho, S.; Chen, B.; Pellikka, P.; Trisurat, Y.; Guo, L.; Sun, S.; Zhang, H. Land use/land cover changes and associated impacts on water yield availability and variations in the Mereb-Gash river basin in the horn of Africa. J. Geophys. Res. Biogeosciences 2020, 125, e2020JG005632. [Google Scholar] [CrossRef]
- Sun, L.; Yu, H.; Sun, M.; Wang, Y. Coupled impacts of climate and land use changes on regional ecosystem services. J. Environ. Manag. 2023, 326, 116753. [Google Scholar] [CrossRef] [PubMed]
- Duan, X.; Chen, Y.; Wang, L.; Zheng, G.; Liang, T. The impact of land use and land cover changes on the landscape pattern and ecosystem service value in Sanjiangyuan region of the Qinghai-Tibet Plateau. J. Environ. Manag. 2023, 325, 116539. [Google Scholar] [CrossRef] [PubMed]
- Liu, M.; Min, L.; Zhao, J.; Shen, Y.; Pei, H.; Zhang, H.; Li, Y. The Impact of Land Use Change on Water-Related Ecosystem Services in the Bashang Area of Hebei Province, China. Sustainability 2021, 13, 716. [Google Scholar] [CrossRef]
- Pei, H.; Liu, M.; Shen, Y.; Xu, K.; Zhang, H.; Li, Y.; Luo, J. Quantifying impacts of climate dynamics and land-use changes on water yield service in the agro-pastoral ecotone of northern China. Sci. Total Environ. 2022, 809, 151153. [Google Scholar] [CrossRef]
- Li, Y.; Fan, J.; Liao, Y. Analysis of spatial and temporal differences in water conservation function in Zhangjiakou based on the InVEST model. Pratacultural Sci. 2020, 37, 1313–1324. (In Chinese) [Google Scholar]
- Huang, J.; Fan, J.; He, X. InVEST-model based Evaluation of Water Conservation Function in Zhangjiakou Area, China. Mt. Res. 2021, 39, 327–337. (In Chinese) [Google Scholar]
- Yang, J.; Huang, X. The 30 m annual land cover datasets and its dynamics in China from 1990 to 2021. Earth Syst. Sci. Data 2022, 13, 3907–3925. [Google Scholar] [CrossRef]
- Budyko, M.I. Climate and Life; Academic Press: New York, NY, USA, 1974. [Google Scholar]
- Hamel, P.; Guswa, A.J. Uncertainty analysis of a spatially explicit annual water-balance model: Case study of the Cape Fear basin, North Carolina. Hydrol. Earth Syst. Sci. 2015, 19, 839–853. [Google Scholar] [CrossRef]
- Zhang, L.; Fu, B.; Lü, Y. Balancing multiple ecosystem services in conservation priority setting. Landsc. Ecol. 2014, 30, 535–546. [Google Scholar] [CrossRef]
- Zhang, H.; Pang, Q.; Hua, Y.; Li, X.; Liu, K. Linking ecological red lines and public perceptions of ecosystem services to manage the ecological environment: A case study in the Fenghe River watershed of Xi’an. Ecol. Indic. 2020, 113, 106218. [Google Scholar] [CrossRef]
- Zhang, L.; Hickel, K.; Dawes, W.R.; Chiew, F.; Western, A.W.; Briggs, P. A rational function approach for estimating mean annual evapotranspiration. Water Resour. Res. 2004, 40, W02502. [Google Scholar] [CrossRef]
- Jia, G.; Hu, W.; Zhang, B.; Li, G.; Shen, S.; Gao, Z.; Li, Y. Assessing impacts of the Ecological Retreat project on water conservation in the Yellow River Basin. Sci. Total Environ. 2022, 828, 154483. [Google Scholar] [CrossRef]
- Xu, H.; Zhao, C.; Wang, X.; Chen, S.; Shan, S.; Chen, T.; Qi, X. Spatial differentiation of determinants for water conservation dynamics in a dryland mountain. J. Clean. Prod. 2022, 362, 132574. [Google Scholar] [CrossRef]
- Wang, Y.; Ye, A.; Peng, D.; Miao, C.; Di, Z.; Gong, W. Spatiotemporal variations in water conservation function of the Tibetan Plateau under climate change based on InVEST model. J. Hydrol. Reg. Stud. 2022, 41, 101064. [Google Scholar] [CrossRef]
- Chen, Y.; Gong, A.; Zeng, T.; Yang, Y. Evaluation of water conservation function in the Xiongan New Area based on the comprehensive index method. PLoS ONE 2020, 15, e0238768. [Google Scholar] [CrossRef]
- Yang, J.; Xie, B.; Zhang, D. Climate and land use change impacts on water yield ecosystem service in the Yellow River Basin, China. Environ. Earth Sci. 2021, 80, 72. [Google Scholar] [CrossRef]
- Pei, H.; Liu, M.; Jia, Y.; Zhang, H.; Li, Y.; Xiao, Y. The trend of vegetation greening and its drivers in the Agro-pastoral ecotone of northern China, 2000–2020. Ecol. Indic. 2021, 129, 108004. [Google Scholar] [CrossRef]
- Wang, Y.; Wang, H.; Liu, G.; Zhang, J.; Fang, Z. Factors driving water yield ecosystem services in the Yellow River Economic Belt, China: Spatial heterogeneity and spatial spillover perspectives. J. Environ. Manag. 2022, 317, 115477. [Google Scholar] [CrossRef]
- Liu, M.; Jia, Y.; Zhao, J.; Shen, Y.; Pei, H.; Zhang, H.; Li, Y. Revegetation projects significantly improved ecosystem service values in the agro-pastoral ecotone of northern China in recent 20 years. Sci. Total Environ. 2021, 788, 147756. [Google Scholar] [CrossRef]
- Wang, T.; Gong, Z. Evaluation and analysis of water conservation function of ecosystem in Shaanxi Province in China based on “Grain for Green” Projects. Environ. Sci. Pollut. Res. 2022, 29, 83878–83896. [Google Scholar] [CrossRef] [PubMed]
- Lian, X.; Qi, Y.; Wang, H.; Zhang, J.; Yang, R. Assessing Changes of Water Yield in Qinghai Lake Watershed of China. Water 2020, 12, 11. [Google Scholar] [CrossRef]










| The Name of the Data | Sourcing and Processing | Type | Resolution |
|---|---|---|---|
| Land cover | (https://www.zenodo.org/record/4417810#.YSpGFI4zaUn) [29] | Raster | 30 m |
| DEM | The Geospatial Data Cloud (http://www.gscloud.cn) | Raster | 90 m |
| Precipitation | The National Earth System Science Data Center (http://www.geodata.cn) | Raster | 1000 m |
| Reference crop evapotranspiration | The National Earth System Science Data Center (http://www.geodata.cn) | Raster | 1000 m |
| World soil dataset | The National Glacier and Permafrost Desert Science Data Center (https://www.crensed.ac.cn/portal/) | Raster | 1000 m |
| Sub-watershed boundaries | Produced by the Hydrological Analysis Tool in the ArcMap software | Vector | — |
| Scene | Description | Variation |
|---|---|---|
| S Base scenario | Land use in 2020 | — |
| S1 Water source buffer belt scenario | A buffer zone is set up 100 m near the water, the buffer land type is set to forest land, and the type of impervious near the water area remains unchanged. It can control soil erosion, reduce pollution, purify water quality, and protect water sources. | The area of forest land increased by 560 km2; |
| S2 Returning farmland to forests scenario | Cropland with slopes greater than 6° is not easy to cultivate and is not suitable for the use of agricultural machinery, and in the 2020 land-use raster data, barren and cropland with slopes above 6° were converted to forest land. | The area of forest land increased by 969 km2; |
| S3 Returning farmland to grassland scenario | Forest land has the function of conserving water sources, but its own transpiration effect is large, while grass has less water demand and less evaporation, so it is necessary to compare the impact of returning farmland to forest and grassland on water yield. Cropland with slopes greater than 6° is not easy to cultivate and is not suitable for the use of agricultural machinery, and in the 2020 land-use raster data, unused land and cropland with slopes above 6° were converted to grassland. | The area of grassland increased by 969 km2. |
Disclaimer/Publisher’s Note: The statements, opinions and data contained in all publications are solely those of the individual author(s) and contributor(s) and not of MDPI and/or the editor(s). MDPI and/or the editor(s) disclaim responsibility for any injury to people or property resulting from any ideas, methods, instructions or products referred to in the content. |
© 2023 by the authors. Licensee MDPI, Basel, Switzerland. This article is an open access article distributed under the terms and conditions of the Creative Commons Attribution (CC BY) license (https://creativecommons.org/licenses/by/4.0/).
Share and Cite
Zhao, L.; Shen, Y.-J.; Liu, M.; Wang, Y.; Li, Y.; Pei, H. The Impacts of Land Use Changes on Water Yield and Water Conservation Services in Zhangjiakou, Beijing’s Upstream Watershed, China. Sustainability 2023, 15, 11077. https://doi.org/10.3390/su151411077
Zhao L, Shen Y-J, Liu M, Wang Y, Li Y, Pei H. The Impacts of Land Use Changes on Water Yield and Water Conservation Services in Zhangjiakou, Beijing’s Upstream Watershed, China. Sustainability. 2023; 15(14):11077. https://doi.org/10.3390/su151411077
Chicago/Turabian StyleZhao, Lili, Yan-Jun Shen, Mengzhu Liu, Yixuan Wang, Yali Li, and Hongwei Pei. 2023. "The Impacts of Land Use Changes on Water Yield and Water Conservation Services in Zhangjiakou, Beijing’s Upstream Watershed, China" Sustainability 15, no. 14: 11077. https://doi.org/10.3390/su151411077
APA StyleZhao, L., Shen, Y.-J., Liu, M., Wang, Y., Li, Y., & Pei, H. (2023). The Impacts of Land Use Changes on Water Yield and Water Conservation Services in Zhangjiakou, Beijing’s Upstream Watershed, China. Sustainability, 15(14), 11077. https://doi.org/10.3390/su151411077

