Selection of Superior Senna macranthera Seeds, Carbon Stock, and Seedling Survival, and Costs for Habitat Restoration
Abstract
1. Introduction
2. Materials and Methods
2.1. Study Area and Plant Seeds
2.2. Acquisition and Processing of Radiographic Images
2.3. Visual Analysis of Radiographs
2.4. Seed Physiological Quality
2.5. Experimental Design and Statistical Analysis
2.6. Estimation of Biomass, Carbon Stocks, and Survival Rate
- Vj = volume of the jth section in m3;
- As1 = initial sectional area (m2);
- As2 = final sectional area (m2);
- L = longitudinal section length (m).
- DGL = diameter at ground level (mm);
- H = height (m).
2.7. Estimation of Seedling Survival Rate, Replanting Costs, and Seed Selection
3. Results
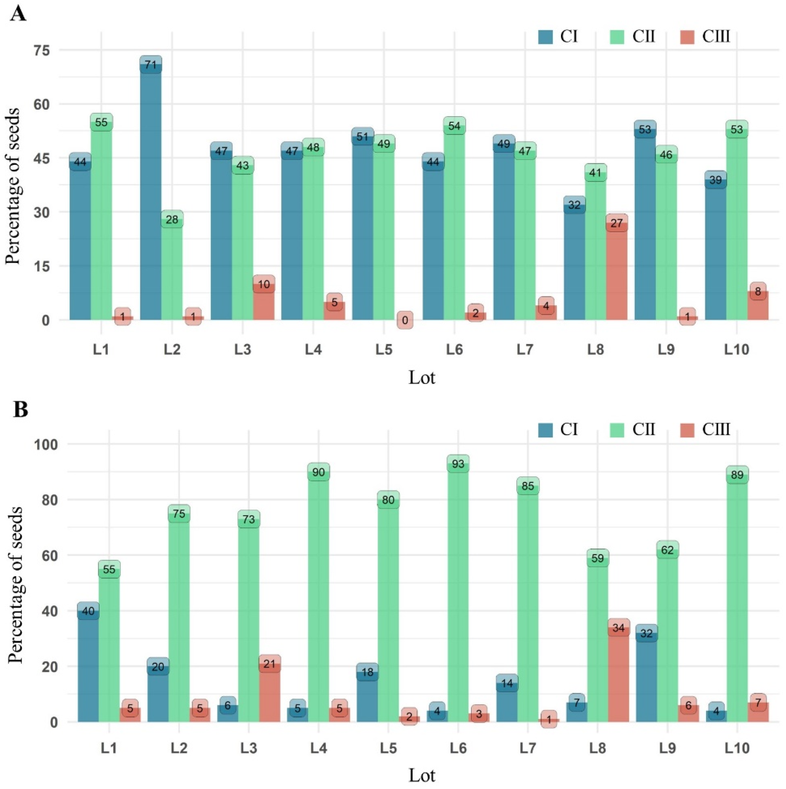
3.1. Radiography Analyses
3.2. Reforested Biomass Estimation and Carbon Stock
3.3. Survival Rate and Replanting Cost Estimate
3.4. Cost Estimate for Selecting Higher Quality Seed
4. Discussion
4.1. Implications for Seed Viability
4.2. Carbon Offset Implications Planting in Degraded Areas and Survival Rate
5. Conclusions
Author Contributions
Funding
Institutional Review Board Statement
Informed Consent Statement
Data Availability Statement
Acknowledgments
Conflicts of Interest
References
- Oliveira, L.G.R.; Garcia, F.C.P. Senna (Leguminosae-Caesalpinioideae) in Minas Gerais state, Brazil. Rodriguésia 2021, 72, e01482019. [Google Scholar] [CrossRef]
- Lorenzi, H. Árvores Brasileiras: Manual de Identificação e Cultivo de Plantas Arbóreas Nativas do Brasil, 5th ed.; Instituto Plantarum: Nova Odessa, Brazil, 2008; Volume 1, pp. 1–384. [Google Scholar]
- Silva, A.L.; Dias, D.C.F.S.; Borges, E.E.L.; Ribeiro, D.M.; Silva, L.J. Effect of sodium nitroprusside (SNP) on the germination of Senna macranthera seeds (DC. ex Collad.) H. S. Irwin & Baneby under salt stress. J. Seed Sci. 2015, 37, 236–243. [Google Scholar] [CrossRef]
- Silva, L.A.; Sales, J.F.; Neves, J.M.G.; Santos, H.O.; Silva, G.P. Radiographic image analysis of Anacardium othonianum Rizz (anacardiaceae) achenes subjected to desiccation. Acta Sci. Agron. 2017, 39, 235–244. [Google Scholar] [CrossRef]
- Medeiros, A.D.; Pereira, M.D. SAPL®: A free software for determining the physiological potential in soybean seeds. Pesqui. Agropecu. Trop. 2018, 48, 222–228. [Google Scholar] [CrossRef]
- Ministério da Agricultura, Pecuária e Abastecimento (MAPA). Regras Para Análise de Sementes. Ministério da Agricultura, Pecuária e Abastecimento. Secretaria de Defesa Agropecuária. Brasília: MAPA/ACS, pp. 1–395. 2009. Available online: https://www.gov.br/agricultura/pt-br/assuntos/insumos-agropecuarios/arquivos-publicacoes-insumos/2946_regras_analise__sementes.pdf (accessed on 17 April 2022).
- International Seed Testing Association (ISTA). International Rules for Seed Testing; Zurichstr International Seed Testing Association: Wallisellen, Switzerland, 2023; Volume 2023, Number 1; pp. 1–180. ISBN 2310-3655. [Google Scholar]
- Silva, P.P.; Freitas, R.A.; Cícero, S.M.; Marcos-Filho, J.; Nascimento, W.M. Análise de imagens no estudo morfológico e fisiológico de sementes de abóbora. Hortic. Bras. 2014, 32, 210–214. [Google Scholar] [CrossRef]
- Terry, J.; Probert, R.J.; Linington, S.H. Processing and Maintenance of the Millenium Seed Bank Collections. In Seed Conservation Turning Science into Practice; Smith, R.D., Dickie, J.B., Simon, H., Pritchard, H.W., Probert, R.J., Eds.; Royal Botanic Gardens, Kew: London, UK, 2003; pp. 307–325. [Google Scholar]
- Abud, H.F.; Cicero, S.M.; Gomes-Junio, F.G. Radiographic images and relationship of the internal morphology and physiological potential of broccoli seeds. Acta Sci. Agron. 2018, 40, 1–9. [Google Scholar] [CrossRef]
- Medeiros, A.D.; Zavala-León, M.J.; Araújo, J.O.; Pereira, M.D.; Dias, D.C.F.S.; Silva, L.J. Relationship between internal morphology and physiological quality of Leucaena leucocephala seeds using image analysis. Rev. Árvore 2019, 43, 1–9. [Google Scholar] [CrossRef]
- Schindelin, J.; Rueden, C.T.; Hiner, M.C.; Eliceiri, K.W. The ImageJ ecosystem: An open platform for biomedical image analysis. Mol. Reprod. Dev. 2015, 82, 518–529. [Google Scholar] [CrossRef]
- Medeiros, A.D.; Martins, M.S.; Silva, L.J.; Pereira, M.D.; León, M.J.Z.; Dias, D.C.F.S. X-ray imaging and digital processing application in non-destructive assessing of melon seed quality. J. Seed Sci. 2020, 42, e202042005. [Google Scholar] [CrossRef]
- Ribeiro, A.S.; Neri, T.F.S.; Medeiros, A.D.; Milagres, C.C.; Silva, L.J. Use of radiographic images for rapid and non-destructive assessment of crambe seed quality. J. Seed Sci. 2021, 43, 1–12. [Google Scholar] [CrossRef]
- Silva, J.A.; Medeiros, A.D.; Pereira, M.D.; Ramos, A.K.F.; Silva, L.J.D. Seed quality analysis of Senna siamea Lam. using image analysis techniques. J. Seed Sci. 2020, 42, 1–10. [Google Scholar] [CrossRef]
- Pinheiro, D.T.; Capobiango, N.P.; Medeiros, A.D.; Caiafa, K.F.; Dias, D.C.F.S.; Pinheiro, A.L. Assessment of the physical and physiological quality of Piptadenia gonoacantha seeds (Mart.) JF Macbr. using image analysis. Rev. Árvore 2020, 44, e4426. [Google Scholar] [CrossRef]
- Ministry of Foreign Affairs, Brazil. Pretendida Contribuição Nacionalmente Determinada Para Consecução do Objetivo da CONVENÇÃO-Quadro Das Nações Unidas Sobre Mudança do Clima. Federal Republic of Brazil. pp. 1–6. 2015. Available online: https://www.gov.br/mre/pt-br/arquivos/documentos/clima/brasil-indc-portugues.pdf (accessed on 11 February 2023).
- Trujillo-Miranda, A.L.; Toledo-Aceves, T.; López-Barrera, F.; Gerez-Fernández, P. Active versus passive restoration: Recovery of cloud forest structure, diversity and soil condition in abandoned pastures. Ecol. Eng. 2018, 117, 50–61. [Google Scholar] [CrossRef]
- Meli, P.; Martínez-Ramos, M.; Rey-Benayas, J.M.; Carabias, J. Combining ecological, social and technical criteria to select species for forest restoration. Appl. Veg. Sci. 2014, 17, 744–753. [Google Scholar] [CrossRef]
- Atkinson, R.J.; Thomas, E.; Roscioli, F.; Cornelius, J.P.; Zamora-Cristales, R.; Franco Chuaire, M.; Alcázar, C.; Mesén, F.; Lopez, H.; Ipinza, R.; et al. Seeding Resilient Restoration: An Indicator System for the Analysis of Tree Seed Systems. Diversity 2021, 13, 367. [Google Scholar] [CrossRef]
- International Plant Names Index (IPNI). Available online: https://www.ipni.org/?q=Senna%20macranthera (accessed on 15 May 2023).
- Peruzzi, L. Using scientific names guarantees universality of communication in science… but are plant biologists aware of it? Plant Biosyst. 2020, 154, 1000–1002. [Google Scholar] [CrossRef]
- Silva, L.J.; Medeiros, A.D.; Oliveira, A.M.S. SeedCalc, a new automated R software tool for germination and seedling length data processing. J. Seed Sci. 2019, 41, 250–257. [Google Scholar] [CrossRef]
- Krzyzanowski, F.C.; França-Neto, J.B.; Gomes-Junior, F.G.; Nakagawa, J. Testes de vigor baseados em desempenho de plântulas. In Vigor de Sementes: Conceitos e Testes; Krzyzanowski, F.C., Vieira, R.D., França-Neto, J.B., Marcos-Filho, J., Eds.; Associação Brasileira de Tecnologia de Sementes (ABRATES): Londrina, Brazil, 2020; pp. 79–140. [Google Scholar]
- Castan, D.O.C.; Gomes-Junior, F.G.; Marcos-Filho, J. Vigor-S, a new system for evaluating the physiological potential of maize seeds. Sci. Agric. 2018, 75, 167–172. [Google Scholar] [CrossRef]
- Morais Júnior, V.T.M.; Jacovine, L.A.G.; Torres, C.M.M.E.; Alves, E.B.B.M.; Paiva, H.N.; Alcántara-de la Cruz, R.; Zanuncio, J.C. Early assessment of tree species with potential for carbon offset plantations in degraded area from the southeastern Brazil. Ecol. Indic. 2019, 98, 854–860. [Google Scholar] [CrossRef]
- Britez, R.M.; Borgo, M.; Tiepolo, G.; Ferretti, A.; Calmon, M.; Higa, R. Estoque e Incremento de Carbono em Florestas e Povoamentos de Espécies Arbóreas Com Ênfase Na Floresta Atlântica Do Sul Do Brasil, 1st ed.; Embrapa: Colombo, Brazil, 2006; pp. 1–165. ISBN 85-89281-07-8. [Google Scholar]
- Higuchi, N.; Santos, J.; Ribeiro, R.J.; Minette, L.; Biot, Y. Biomassa da parte aérea da vegetação da floresta tropical úmida de terra-firme da Amazônia brasileira. Acta Amazôn. 1998, 28, 153–166. [Google Scholar] [CrossRef]
- Schumacher, F.X.; Hall, F.S. Logarithmic expression of timber-tree volume. J. Agric. Res. 1933, 47, 719–734. [Google Scholar]
- Simak, M. Testing of forest tree and shrub seeds by X-radiography. In Tree and Shrub Seed Handbook; Gordon, A.G., Gosling, P., Wang, B.S.P., Eds.; ISTA: Zürich, Switzerland, 1991; pp. 14–28. [Google Scholar]
- Medeiros, A.D.; Araújo, J.O.; León, M.J.Z.; Silva, L.J.; Dias, D.C.F.S. Parameters based on X-ray images to assess the physical and physiological quality of Leucaena leucocephala seeds. Ciênc. Agrotecnologia 2018, 42, 643–652. [Google Scholar] [CrossRef]
- Marcos-Filho, J. Seed Physiology of Cultivated Plants, 2nd ed.; Associação Brasileira de Tecnologia de Sementes (ABRATES): Londrina, Brazil, 2016; pp. 1–616, IBSN 978-85-64895-05-8. [Google Scholar]
- Machado, T.P.M.; Medeiros, A.D.; Pinheiro, D.T.; Silva, L.J.; Dias, D.C.F.S. Non-destructive identification of physical damage in mung bean (Vigna radiata L.) seeds by x-ray image analysis. Biosci. J. 2020, 36, 932–941. [Google Scholar] [CrossRef]
- Faria, J.C.T.; Melo, L.A.; Assumpção, C.R.M.; Brondani, G.E.; Breier, T.B.; Faria, J.M.R. Physical quality of seeds of Moquiniastrum polymorphum. Braz. J. Biol. 2019, 79, 63–69. [Google Scholar] [CrossRef] [PubMed]
- Nunes, V.V.; Silva-Mann, R.; Vasconcelos, M.C.; Rodrigues, A.M.B.; Souza, J.L. Physical and physiological quality of mangaba seeds obtained by different processing methods. Rev. Bras. Eng. Agrícola Ambient. 2021, 25, 429–435. [Google Scholar] [CrossRef]
- Ohto, M.; Stone, S.L.; Harada, J.J. Genetic control of seed development and seed mass. In Seed Development, Dormancy and Germination. Annual Plant Reviews; Bradford, K.J., Nonogaki, H., Eds.; Wiley-Blackwell: Oxford, UK, 2007; Volume 27, pp. 1–24. [Google Scholar] [CrossRef]
- Doll, N.M.; Royek, S.; Fujita, S.; Okuda, S.; Chamot, S.; Stintzi, A.; Widiez, T.; Hothorn, M.; Schaller, A.; Geldner, N.; et al. A two-way molecular dialogue between embryo and endosperm is required for seed development. Science 2020, 367, 431–435. [Google Scholar] [CrossRef] [PubMed]
- Burg, W.J.; Aartese, J.W.; Zwol, R.A.; Jalink, H.; Bino, R.J. Predicting tomato seedling morphology by X-ray analysis of seeds. J. Am. Soc. Hortic. Sci. 1994, 119, 258–263. [Google Scholar] [CrossRef]
- Rosa, T.L.M.; Araujo, C.P.; Kamke, C.; Ferreira, A.; Ferreira, M.F.S.; Oliveira, J.P.B.; Schmildt, E.R.; Lopes, J.C.; Mengarda, L.H.G.; Otoni, W.C.; et al. Sapucaia nut: Morphophysiology, minerals content, methodological validation in image analysis, phenotypic and molecular diversity in Lecythis pisonis Cambess. Food Res. Int. 2020, 137, 109383. [Google Scholar] [CrossRef]
- Koh, L.P.; Zeng, Y.; Sarira, T.V.; Siman, K. Carbon prospecting in tropical forests for climate change mitigation. Nat. Commun. 2021, 12, 1271. [Google Scholar] [CrossRef]
- Verly, O.M.; Leite, R.V.; Tavares-Junior, I.S.; Rocha, S.J.S.S.; Leite, H.G.; Gleriani, J.M.; Rufino, M.P.M.X.; Silva, V.F.; Torres, C.M.M.E.; Plata-Rueda, A.; et al. Atlantic Forest woody carbon stock estimation for different successional stages using Sentinel-2 data. Ecol. Indic. 2023, 146, 109870. [Google Scholar] [CrossRef]
- MapBiomas (Projeto MapBiomas Alerta 5.0). Sistema de Validação e Refinamento de Alertas de Desmatamento com Imagens de Alta Resolução. 2020. Available online: http://mapbiomas.org (accessed on 15 January 2023).
- Pastório, F.F.; Gasper, A.L.; Vibrans, A.C.B. Successional stages of Santa Catarina atlantic subtropical evergreen rainforest: A classification method proposal. Cerne 2020, 26, 162–171. [Google Scholar] [CrossRef]
- Janishevski, L.; Santamaria, C.; Gidda, S.B.; Cooper, H.D.; Brancalion, P.H.S. Ecosystem restoration, protected areas and biodiversity conservation. Unasylva 2015, 245, 19–28. [Google Scholar]
- Jaramillo-Botero, C.; Santos, R.H.S.; Fardim, M.P.; Pontes, T.M.; Sarmiento, F. Produção de serapilheira e aporte de nutrientes de espécies arbóreas nativas em um sistema agroflorestal na zona da mata de minas gerais. Rev. Árvore 2008, 32, 869–877. [Google Scholar] [CrossRef]
- Frischie, S.; Miller, A.L.; Pedrini, S.; Kildisheva, O.A. Ensuring seed quality in ecological restoration: Native seed cleaning and testing. Restor. Ecol. 2020, 28, S239–S248. [Google Scholar] [CrossRef]
- Freire, J.M.; Urzedo, D.I.; Piña-Rodrigues, F.C.M. A realidade da sementes nativas no Brasil: Desafios e oportunidades para a produção em larga escala. Seed News 2017, 21, 24–28. [Google Scholar]
- Smith, S.L.; Sher, A.A.; Grant, T.A. Genetic diversity in restoration materials and the impacts of seed collection in Colorado’s restoration plant production industry. Restor. Ecol. 2007, 15, 369–374. [Google Scholar] [CrossRef]
- Ribeiro-Oliveira, J.P.; Ranal, M.A. O caminhar da ciência em sementes florestais brasileiras: Retrospectiva histórica e políticas do setor. In Sementes Florestais Tropicais: Da Ecologia à Produção, 1st ed.; Pinã-Rodrigues, F.C.M., Figliolia, M.B., Silva, A., Eds.; Associação Brasileira de Tecnologia de Sementes (ABRATES): Londrina, Brazil, 2015; pp. 25–43. ISBN 978-85-64895-04-1. [Google Scholar]







| Lot | Changes in Tissue Physical Integrity | ||
|---|---|---|---|
| Severe | Mild | Absent | |
| ----------------------- (%) ----------------------- | |||
| 1 | 2 d | 2 b | 96 a |
| 2 | 3 d | 4 b | 93 a |
| 3 | 22 b | 15 a | 63 c |
| 4 | 15 c | 18 a | 67 c |
| 5 | 1 d | 9 b | 90 a |
| 6 | 7 d | 5 b | 88 a |
| 7 | 6 d | 8 b | 86 a |
| 8 | 34 a | 17 a | 49 d |
| 9 | 5 d | 6 b | 89 a |
| 10 | 13 c | 14 a | 73 b |
| F | 36.73 * | 9.25 * | 37.29 * |
| CV (%) | 32.08 | 38.72 | 6.41 |
| Lot | Germination(%) | Root Protrusion Speed Index | Seedling Length (mm/Seedling) | Uniformity Index | Corrected Vigor Index | Seedling Dry Matter (mg/Seedling) |
|---|---|---|---|---|---|---|
| 1 | 95 a | 7.65 a | 140.74 a | 874.60 | 717.21 a | 71.84 a |
| 2 | 94 a | 7.83 a | 109.17 b | 842.19 | 596.67 b | 71.70 a |
| 3 | 69 c | 5.71 c | 88.94 d | 764.43 | 373.04 d | 31.20 b |
| 4 | 71 c | 5.69 c | 81.20 d | 728.19 | 356.91 d | 68.09 a |
| 5 | 88 b | 6.93 b | 93.63 c | 774.26 | 492.78 c | 71.55 a |
| 6 | 87 b | 7.05 b | 92.13 c | 778.99 | 483.83 c | 71.46 a |
| 7 | 87 b | 6.80 b | 87.13 d | 718.61 | 452.88 c | 71.14 a |
| 8 | 46 d | 3.60 d | 71.16 d | 646.52 | 204.60 e | 20.54 c |
| 9 | 92 a | 7.11 b | 96.33 c | 768.55 | 522.29 c | 71.16 a |
| 10 | 74 c | 5.85 c | 85.99 d | 707.08 | 379.68 d | 70.73 a |
| F | 43.37 * | 21.59 * | 18.41 * | 1.94 ns | 38.44 * | 214.19 * |
| CV (%) | 5.81 | 8.39 | 9.31 | 12.42 | 9.97 | 4.24 |
| Age (Years) | Age (Months) | Plant Survival (%) | Dead Plants (%) | Plants per Hectare (ha) | Cost of Seedlings | Cost of Planted and Replanted Seedlings | ||
|---|---|---|---|---|---|---|---|---|
| USD/seedling | BRL/seedling | (USD/ha) | (BRL/ha) | |||||
| 0.25 | 3 | n/a | n/a | 2500 | 3.10 | 15.965 | 7750.00 | 39,912.50 |
| 3.5 | 42 | 18.75 | 81.25 | 2031 | 3.10 | 15.965 | 6296.10 | 32,424.92 |
| 5.5 | 66 | 45 | 55 | 1375 | 3.10 | 15.965 | 4262.50 | 21,951.88 |
| 7.5 | 90 | 100 | 0 | 0 | 3.10 | 15.965 | - | - |
| 8.5 | 102 | 75 | 25 | 625 | 3.10 | 15.965 | 1937.50 | 9978.13 |
| Total | Per Seed | Per Worker | |
|---|---|---|---|
| Seeds Processed/Year | 2,088,000 | 2,088,000 | 1,000,020 |
| Viable Seeds Produced/Year (81%) | 1,691,280 | 1,691,280 | 810,016 |
| Full-Time Worker Equivalents | 2.09 | - | - |
| Price (USD/seed) | 0.013 | - | - |
| Annual Revenue | 22,252 | 0.0132 | 10,657.30 |
| Annual Operating Expenses | |||
| Labor at USD 4.50/hour | |||
| X-ray & Camera for Image | 9396 | 0.0056 | 4500.09 |
| Analyze & Separate Viable Seed | 9396 | 0.0056 | 4500.09 |
| Total Operating Expenses | 18,792 | 0.0111 | 9000.18 |
| Annual Ownership Expenses | |||
| Depreciation and Interest | |||
| Processing Equipment | |||
| X-Ray (USD 25,000 at 15-year useful life) | 1667 | 0.0010 | 798.23 |
| Camera (USD 700 at 15-year useful life) | 47 | 0.00003 | 22.35 |
| Computer (USD 1000 at 15-year useful life) | 67 | 0.00004 | 31.93 |
| Lab Rent (12 months at USD 700/month) | 1680 | 0.0010 | 804.61 |
| Total Ownership Expenses | 3460 | 0.0020 | 1657.12 |
| Total Annual Cost | 22,252 | 0.0132 | 10,657.30 |
| Net Firm Income (NFI) | 0 | 0 | 0 |
| Return over Variable Cost (ROVC) | 3460 | 0.0020 | 1657.12 |
| Performance Measures | |||
| Breakeven Revenue | USD/seed | USD/worker | |
| Long-run to Cover All Costs | 0.0132 | 10,657.30 | |
| Short-run to Cover Operating Costs | 0.0111 | 9000.18 |
Disclaimer/Publisher’s Note: The statements, opinions and data contained in all publications are solely those of the individual author(s) and contributor(s) and not of MDPI and/or the editor(s). MDPI and/or the editor(s) disclaim responsibility for any injury to people or property resulting from any ideas, methods, instructions or products referred to in the content. |
© 2023 by the authors. Licensee MDPI, Basel, Switzerland. This article is an open access article distributed under the terms and conditions of the Creative Commons Attribution (CC BY) license (https://creativecommons.org/licenses/by/4.0/).
Share and Cite
Araújo, J.d.O.; Pinheiro, D.T.; Queiroz, G.B.; Soares, J.M.; Hoshide, A.K.; Morais Junior, V.T.M.d.; Rocha, S.J.S.S.d.; Santos Dias, D.C.F.d. Selection of Superior Senna macranthera Seeds, Carbon Stock, and Seedling Survival, and Costs for Habitat Restoration. Sustainability 2023, 15, 9875. https://doi.org/10.3390/su15139875
Araújo JdO, Pinheiro DT, Queiroz GB, Soares JM, Hoshide AK, Morais Junior VTMd, Rocha SJSSd, Santos Dias DCFd. Selection of Superior Senna macranthera Seeds, Carbon Stock, and Seedling Survival, and Costs for Habitat Restoration. Sustainability. 2023; 15(13):9875. https://doi.org/10.3390/su15139875
Chicago/Turabian StyleAraújo, Joyce de Oliveira, Daniel Teixeira Pinheiro, Geovana Brito Queiroz, Júlia Martins Soares, Aaron Kinyu Hoshide, Vicente Toledo Machado de Morais Junior, Samuel José Silva Soares da Rocha, and Denise Cunha Fernandes dos Santos Dias. 2023. "Selection of Superior Senna macranthera Seeds, Carbon Stock, and Seedling Survival, and Costs for Habitat Restoration" Sustainability 15, no. 13: 9875. https://doi.org/10.3390/su15139875
APA StyleAraújo, J. d. O., Pinheiro, D. T., Queiroz, G. B., Soares, J. M., Hoshide, A. K., Morais Junior, V. T. M. d., Rocha, S. J. S. S. d., & Santos Dias, D. C. F. d. (2023). Selection of Superior Senna macranthera Seeds, Carbon Stock, and Seedling Survival, and Costs for Habitat Restoration. Sustainability, 15(13), 9875. https://doi.org/10.3390/su15139875

