Linking Green Infrastructure Deployment Needs and Agroecosystem Conditions for the Improvement of the Natura2000 Network: Preliminary Investigations in W Mediterranean Europe
Abstract
1. Introduction
2. Materials and Methods
2.1. Study Area
2.2. Research Design
2.3. Characterisation of N2K Network and Its Landscape Context at the NUTS3 Level (Step 1)
2.3.1. Selection and Quantification of Landscape-Ecological Variables (1a) and Respective Correlation (1b)
2.3.2. Identification of NUTS3 Typologies (1c)
2.4. Detection of N2K-Related GI Deployment Needs (Step 2)
2.4.1. Links—Assessment of Existing Structural Connections in Arable Lands and Respective Relationships with Detected NUTS3 Typologies (2a)
2.4.2. Nodes—Assessment of Gaps in Conservation Lands (2b)
2.4.3. Definition and Spatialisation of N2K-Related GI Deployment Needs (2c)
3. Results
3.1. Landscape-Ecological Features of W Mediterranean Europe NUTS3 (Step 1)
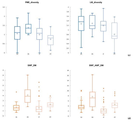
3.1.1. Variable Quantification (1a)
3.1.2. Correlation between Variables (1b)
3.1.3. Characteristic Features and Geographic Distribution of NUTS3 Clusters (1c)
- K1—a high number of N2K patches, although not with the highest density, interspersed in agricultural matrices with a medium-low SWF density;
- K2—a medium-high number of N2K patches, with the highest density of patches and edges, interspersed in natural matrices with the highest SWF density and the highest litho-morphological and phytoclimatic diversity;
- K3—a medium-low number of N2K patches, with a medium-low density, interspersed in agricultural matrices with the lowest SWF density;
- K4—a small number of N2K patches, which also have the lowest density, interspersed in natural matrices with a high SWF density but low environmental heterogeneity.
3.2. N2K-Related GI Deployment Needs in W Mediterranean Europe (Step 2)
3.2.1. Structural Conditions of Arable Lands and Respective Relationship with the Detected NUTS3 Typologies (2a)
3.2.2. Total Protected Area by NUTS3 (2b)
3.2.3. General N2K-Related GI Deployment Needs (2c)
- (a)
- Need for consolidating node and link conservation
- (b)
- Need for connection restoration
- (c)
- Need for the creation of new protected sites
- (d)
- Need for N2K site enlargement
4. Discussion
5. Conclusions
Author Contributions
Funding
Institutional Review Board Statement
Informed Consent Statement
Data Availability Statement
Conflicts of Interest
Abbreviations
Appendix A

Appendix B

Appendix C
| NUTS3 Code | Area (km2) | Cluster | GI Deployment Need |
|---|---|---|---|
| ES241 | 15,636 | 1 | Restoration |
| ES242 | 14,810 | 1 | Restoration |
| ES243 | 17,271 | 1 | Restoration |
| ES412 | 14,291 | 1 | Restoration |
| ES416 | 6924 | 1 | Restoration |
| ES418 | 8110 | 1 | Restoration |
| ES422 | 19,814 | 1 | Restoration |
| ES423 | 17,141 | 1 | Restoration |
| ES425 | 15,367 | 1 | Restoration |
| ES431 | 21,762 | 1 | Restoration |
| ES432 | 19,868 | 1 | Conservation |
| ES514 | 6297 | 1 | Restoration |
| ES620 | 11,305 | 1 | Restoration |
| FRK23 | 6559 | 1 | Restoration |
| FRL04 | 5224 | 1 | Conservation |
| FRM02 | 4693 | 1 | Conservation |
| ITF22 | 2912 | 1 | Restoration |
| ITF45 | 2752 | 1 | Site enlargement |
| ITI43 | 5351 | 1 | Restoration |
| ES220 | 10,391 | 2 | Restoration |
| ES230 | 5046 | 2 | Conservation |
| ES413 | 15,581 | 2 | Restoration |
| ES414 | 8051 | 2 | Restoration |
| ES417 | 10,306 | 2 | Restoration |
| ES419 | 10,559 | 2 | Restoration |
| ES421 | 14,923 | 2 | Restoration |
| ES511 | 7730 | 2 | Conservation |
| ES512 | 5909 | 2 | Conservation |
| ES521 | 5811 | 2 | Restoration |
| ES523 | 10,805 | 2 | Conservation |
| ES532 | 3625 | 2 | Restoration |
| ES612 | 7428 | 2 | Restoration |
| ES615 | 10,125 | 2 | Restoration |
| FRJ11 | 6344 | 2 | Conservation |
| FRJ12 | 5837 | 2 | Conservation |
| FRJ13 | 6231 | 2 | Conservation |
| FRJ15 | 4138 | 2 | Conservation |
| FRK22 | 5566 | 2 | Conservation |
| FRL01 | 6994 | 2 | Conservation |
| FRL03 | 4296 | 2 | Conservation |
| FRL06 | 3579 | 2 | Conservation |
| ITC34 | 879 | 2 | Conservation |
| ITF21 | 1521 | 2 | Restoration |
| ITF31 | 2640 | 2 | Conservation |
| ITF33 | 1168 | 2 | Conservation |
| ITF51 | 6542 | 2 | Restoration |
| ITF61 | 6647 | 2 | Conservation |
| ITG11 | 2454 | 2 | Restoration |
| ITG12 | 4989 | 2 | Restoration |
| ITG13 | 3236 | 2 | Conservation |
| ITG17 | 3550 | 2 | Restoration |
| ITG19 | 2103 | 2 | Restoration |
| ITG2H | 6536 | 2 | Conservation |
| ITI12 | 1775 | 2 | Conservation |
| ITI1A | 4500 | 2 | Conservation |
| ITI41 | 3612 | 2 | Restoration |
| ITI42 | 2745 | 2 | Conservation |
| ES300 | 8029 | 3 | Restoration |
| ES411 | 8050 | 3 | Restoration |
| ES415 | 12,350 | 3 | Restoration |
| ES522 | 6630 | 3 | Conservation |
| ES611 | 8770 | 3 | Restoration |
| ES614 | 12,646 | 3 | Restoration |
| ES617 | 7306 | 3 | Restoration |
| ITC31 | 1154 | 3 | Conservation |
| ITC32 | 1548 | 3 | Conservation |
| ITC33 | 1835 | 3 | Conservation |
| ITF11 | 3183 | 3 | Restoration |
| ITF32 | 2069 | 3 | Restoration |
| ITF34 | 2791 | 3 | Restoration |
| ITF35 | 4920 | 3 | Restoration |
| ITF44 | 1836 | 3 | Site enlargement |
| ITF46 | 6956 | 3 | Restoration |
| ITF47 | 3823 | 3 | Restoration |
| ITF52 | 3443 | 3 | Site enlargement |
| ITF63 | 2389 | 3 | Site enlargement |
| ITG14 | 3036 | 3 | Site enlargement |
| ITG15 | 2131 | 3 | Restoration |
| ITG16 | 2562 | 3 | Restoration |
| ITG18 | 1613 | 3 | Site enlargement |
| ITG2D | 7692 | 3 | Conservation |
| ITG2E | 5643 | 3 | Conservation |
| ITG2G | 2992 | 3 | Conservation |
| ITI14 | 3513 | 3 | Site enlargement |
| ITI16 | 1207 | 3 | Restoration |
| ITI17 | 2444 | 3 | Restoration |
| ITI19 | 3819 | 3 | Restoration |
| ITI22 | 2124 | 3 | Restoration |
| ITI44 | 2246 | 3 | Restoration |
| ITI45 | 3066 | 3 | Restoration |
| PT150 | 4961 | 3 | Conservation |
| PT16E | 4329 | 3 | New site creation |
| PT170 | 2816 | 3 | Restoration |
| PT187 | 7396 | 3 | Restoration |
| ES113 | 7272 | 4 | Conservation |
| ES531 | 646 | 4 | Conservation |
| ES533 | 686 | 4 | Conservation |
| ES616 | 13,496 | 4 | Conservation |
| ITF43 | 2434 | 4 | Restoration |
| ITF48 | 1529 | 4 | Restoration |
| ITF62 | 1714 | 4 | Restoration |
| ITF64 | 1139 | 4 | Conservation |
| ITG2F | 1248 | 4 | Conservation |
| ITI11 | 1155 | 4 | Conservation |
| ITI13 | 964 | 4 | New site creation |
| ITI15 | 366 | 4 | Conservation |
| PT119 | 1452 | 4 | New site creation |
| PT11B | 2922 | 4 | Conservation |
| PT11C | 1828 | 4 | Conservation |
| PT11D | 4030 | 4 | Conservation |
| PT11E | 5542 | 4 | Conservation |
| PT16B | 2213 | 4 | New site creation |
| PT16D | 1637 | 4 | New site creation |
| PT16F | 2447 | 4 | Conservation |
| PT16G | 3237 | 4 | Conservation |
| PT16H | 4610 | 4 | Conservation |
| PT16I | 3345 | 4 | New site creation |
| PT16J | 6302 | 4 | Conservation |
| PT181 | 5207 | 4 | Conservation |
| PT184 | 8540 | 4 | Restoration |
| PT185 | 4267 | 4 | New site creation |
| PT186 | 6085 | 4 | Restoration |
| ES424 | 12,210 | 1 (clustering outlier) | Restoration |
| ES513 | 12,171 | 1 (clustering outlier) | Restoration |
| ES618 | 14,035 | 1 (clustering outlier) | Restoration |
| FRL05 | 6023 | 1 (clustering outlier) | Conservation |
| FRM01 | 4004 | 1 (clustering outlier) | Conservation |
| ITF65 | 3176 | 1 (clustering outlier) | Restoration |
| ES613 | 13,772 | 2 (clustering outlier) | Conservation |
References
- Mézard, N.; Sundseth, K.; Wegefelt, S. Natura 2000: Protecting Europe’s Biodiversity; EC (European Commission), Directorate General for the Environment, Publications Office. 2008. Available online: https://data.europa.eu/doi/10.2779/23868 (accessed on 29 March 2023).
- EC (European Commission). Natura 2000—Environment. 2022. Available online: https://ec.europa.eu/environment/nature/natura2000/index_en.htm#:~:text=Stretching%20over%2018%25%20of%20the,and%20threatened%20species%20and%20habitats (accessed on 29 March 2023).
- EC (European Commission). Directive 2009/147/EC of the European Parliament and of the Council of 30 November 2009 on the Conservation of Wild Birds; Official Journal L 20, 26/01/2010, 7–25; European Commission: Brussels, Belgium, 2010. [Google Scholar]
- EC (European Commission). Council Directive 92/43/EEC of 21 May 1992 on the Conservation of Natural Habitats and of Wild Fauna and Flora; Official Journal L 206, 22/07/1992, 7–50; European Commission: Brussels, Belgium, 1992. [Google Scholar]
- Estreguil, C.; Caudullo, G.; de Rigo, D.; San-Miguel-Ayanz, J. Forest Landscape in Europe: Pattern, Fragmentation and Connectivity. Eur. Sci. Tech. Res. 2013, 25717, 18. [Google Scholar]
- EEA (European Environment Agency). Contributions to Building a Coherent Trans-European Nature Network. 2020. Available online: https://www.eea.europa.eu/themes/biodiversity/green-infrastructure/building-a-coherent-trans-european/contributions-to-building-a-coherent/view (accessed on 29 March 2023).
- Falcucci, A.; Maiorano, L.; Boitani, L. Changes in land-use/land-cover patterns in Italy and their implications for biodiversity conservation. Landsc. Ecol. 2007, 22, 617–631. [Google Scholar] [CrossRef]
- EEA (European Environment Agency). Building a coherent Trans-European Nature Network. 2020. Available online: https://www.eea.europa.eu/publications/building-a-coherent-trans-european (accessed on 29 March 2023).
- EC (European Commission). Criteria and Guidance for Protected Areas Designations—Staff Working Document. 2022. Available online: https://environment.ec.europa.eu/publications/criteria-and-guidance-protected-areas-designations-staff-working-document_en (accessed on 29 March 2023).
- EC (European Commission). EU Biodiversity Strategy for 2030-Bringing Nature Back into Our Lives; Communication from the Commission to the European Parliament, the Council, the European Economic and Social Committee and the Committee of the Regions COM. 2020. Available online: https://eur-lex.europa.eu/legal-content/EN/TXT/?qid=1590574123338&uri=CELEX:52020DC0380 (accessed on 29 March 2023).
- EC (European Commission). Communication from the Commission to the European Parliament, the Council, the European Economic and Social Committee and the Committee of the Regions. Green Infrastructure (GI)—Enhancing Europe’s Natural Capital. 2013. Available online: https://eur-lex.europa.eu/legal-content/EN/TXT/?uri=celex%3A52013DC0249 (accessed on 2 June 2023).
- Honeck, E.; Moilanen, A.; Guinaudeau, B.; Wyler, N.; Schlaepfer, M.A.; Martin, P.; Sanguet, A.; Urbina, L.; von Arx, B.; Massy, J.; et al. Implementing Green Infrastructure for the Spatial Planning of Peri-Urban Areas in Geneva, Switzerland. Sustainability 2020, 12, 1387. [Google Scholar] [CrossRef]
- Xia, H.; Ge, S.; Zhang, X.; Lei, Y.; Liu, Y. Spatiotemporal Dynamics of Green Infrastructure in an Agricultural Peri-Urban Area: A Case Study of Baisha District in Zhengzhou, China. Land 2021, 10, 801. [Google Scholar] [CrossRef]
- Gómez-Villarino, M.T.; Gómez-Villarino, M.; Ruiz-Garcia, L. Implementation of Urban Green Infrastructures in Peri-Urban Areas: A Case Study of Climate Change Mitigation in Madrid. Agronomy 2021, 11, 31. [Google Scholar] [CrossRef]
- Hanna, E.; Comín, F.A. Urban Green Infrastructure and Sustainable Development: A Review. Sustainability 2021, 13, 11498. [Google Scholar] [CrossRef]
- Valeri, S.; Zavattero, L.; Capotorti, G. Ecological connectivity in agricultural green infrastructure: Suggested criteria for fine scale assessment and planning. Land 2021, 10, 807. [Google Scholar] [CrossRef]
- Capotorti, G.; Alós Ortí, M.M.; Copiz, R.; Fusaro, L.; Mollo, B.; Salvatori, E.; Zavattero, L. Biodiversity and ecosystem services in urban green infrastructure planning: A case study from the metropolitan area of Rome (Italy). Urban For. Urban Green. 2019, 37, 87–96. [Google Scholar] [CrossRef]
- Capotorti, G.; Valeri, S.; Giannini, A.; Minorenti, V.; Piarulli, M.; Audisio, P. On the Role of Natural and Induced Landscape Heterogeneity for the Support of Pollinators: A Green Infrastructure Perspective Applied in a Peri-Urban System. Land 2023, 12, 387. [Google Scholar] [CrossRef]
- Yacamán Ochoa, C.; Ferrer Jiménez, D.; Mata Olmo, R. Green Infrastructure Planning in Metropolitan Regions to Improve the Connectivity of Agricultural Landscapes and Food Security. Land 2020, 9, 414. [Google Scholar] [CrossRef]
- Chatzimentor, A.; Apostolopoulou, E.; Mazaris, A.D. A review of green infrastructure research in Europe: Challenges and opportunities. Landsc. Urban Plan. 2020, 198, 103775. [Google Scholar] [CrossRef]
- Eurostat. Farm Indicators by Legal Status of the Holding, Utilised Agricultural Area, Type and Economic Size of the Farm and NUTS2 Region. 2023. Available online: https://ec.europa.eu/eurostat/databrowser/view/ef_m_farmleg/default/table?lang=en (accessed on 29 March 2023).
- Caraveli, H. A comparative analysis on intensification and extensification in Mediterranean agriculture: Dilemmas for LFAs policy. J. Rural Stud. 2000, 16, 231–242. [Google Scholar] [CrossRef]
- MacDonald, D.; Crabtree, J.R.; Wiesinger, G.; Dax, T.; Stamou, N.; Fleury, P.; Gutierrez Lazpita, J.; Gibon, A. Agricultural abandonment in mountain areas of Europe: Environmental consequences and policy response. J. Environ. Manag. 2000, 59, 47–69. [Google Scholar] [CrossRef]
- Levers, C.; Schneider, M.; Prishchepov, A.V.; Estel, S.; Kuemmerle, T. Spatial variation in determinants of agricultural land abandonment in Europe. Sci. Total Environ. 2018, 644, 95–111. [Google Scholar] [CrossRef]
- Overmars, K.P.; Schulp, C.J.; Alkemade, R.; Verburg, P.H.; Temme, A.J.; Omtzigt, N.; Schaminée, J.H. Developing a methodology for a species-based and spatially explicit indicator for biodiversity on agricultural land in the EU. Ecol. Indic. 2014, 37, 186–198. [Google Scholar] [CrossRef]
- Sjödin, N.E.; Bengtsson, J.; Ekbom, B. The influence of grazing intensity and landscape composition on the diversity and abundance of flower-visiting insects. J. Appl. Ecol. 2008, 45, 763–772. [Google Scholar] [CrossRef]
- Donald, P.F.; Green, R.E.; Heath, M.F. Agricultural intensification and the collapse of Europe’s farmland bird populations. Proc. R. Soc. Lond. 2001, 268, 25–29. [Google Scholar] [CrossRef]
- Firbank, L.G.; Petit, S.; Smart, S.; Blain, A.; Fuller, R.J. Assessing the impacts of agricultural intensification on biodiversity: A British perspective. Philos. Trans. R. Soc. B 2008, 363, 777–787. [Google Scholar] [CrossRef]
- Zavattero, L.; Frondoni, R.; Capotorti, G.; Copiz, R.; Blasi, C. Towards the identification and mapping of traditional agricultural landscapes at the national scale: An inventory approach from Italy. Landsc. Res. 2021, 46, 945–958. [Google Scholar] [CrossRef]
- Skokanová, H.; Netopil, P.; Havlíček, M.; Šarapatka, B. The role of traditional agricultural landscape structures in changes to green infrastructure connectivity. Agric. Ecosyst. Environ. 2020, 302, 107071. [Google Scholar] [CrossRef]
- Uroy, L.; Mony, C.; Ernoult, A.; Alignier, A. Increasing habitat connectivity in agricultural landscapes as a weed management strategy reconciling ecology and agronomy. Basic Appl. Ecol. 2022, 61, 116–130. [Google Scholar] [CrossRef]
- Meeus, J.H.A. The Transformation of Agricultural Landscapes in Western Europe. Sci. Total Environ. 1993, 129, 171–190. [Google Scholar] [CrossRef]
- Sánchez, I.A.; Lassaletta, L.; McCollin, D.; Bunce, R.G.H. The effect of hedgerow loss on microclimate in the Mediterranean region: An investigation in Central Spain. Agroforest. Syst. 2010, 78, 13–25. [Google Scholar] [CrossRef]
- Arnaiz-Schmitz, C.; Herrero-Jáuregui, C.; Schmitz, M.F. Losing a heritage hedgerow landscape. Biocultural diversity conservation in a changing social-ecological Mediterranean system. Sci. Total Environ. 2018, 637, 374–384. [Google Scholar] [CrossRef]
- EC (European Commission). Guidelines on Biodiversity-Friendly Afforestation, Reforestation and Tree Planting—Staff Working Document. 2023. Available online: https://environment.ec.europa.eu/publications/guidelines-biodiversity-friendly-afforestation-reforestation-and-tree-planting_en (accessed on 29 March 2023).
- Faucqueur, L.; Morin, N.; Masse, A.; Remy, P.-Y.; Hugé, J.; Kenner, C.; Dazin, F.; Desclée, B.; Sannier, C. A new Copernicus high resolution layer at pan-European scale: Small woody features. In Proceedings of the Remote Sensing for Agriculture, Ecosystems, and Hydrology XXI, Strasbourg, France, 9–11 September 2019; Neale, C.M.U., Maltese, A., Eds.; SPIE: Philadelphia, PA, USA, 2019; Volume 11149, pp. 268–278. [Google Scholar]
- Eurostat. GISCO Statistical Unit Dataset. 2021. Available online: https://ec.europa.eu/eurostat/web/gisco/geodata/reference-data/administrative-units-statistical-units/nuts (accessed on 29 March 2023).
- EEA (European Environment Agency). Biogeographical Regions. 2016. Available online: https://www.eea.europa.eu/data-and-maps/data/biogeographical-regions-europe-3 (accessed on 29 March 2023).
- Rivas-Martinez, S.; Penas, A.; Diaz, T.E. Biogeographic Map of Europe; Cartographic Service, University of Léon: Léon, Spain, 2001. [Google Scholar]
- EEA (European Environment Agency). Natura 2000 Data—The European Network of Protected Sites. 2021. Available online: https://www.eea.europa.eu/data-and-maps/data/natura-14 (accessed on 29 March 2023).
- Mücher, C.A.; Klijn, J.A.; Wascher, D.M.; Schaminée, J.H. A new European Landscape Classification (LANMAP): A transparent, flexible and user-oriented methodology to distinguish landscapes. Ecol. Indic. 2010, 10, 87–103. [Google Scholar] [CrossRef]
- Cuttelod, A.; García, N.; Malak, D.A.; Templeand, H.; Vineet, K. The Mediterranean: A Biodiversity Hotspot under Threat. In The 2008 Review of the IUCN Red List of Threatened Species; Vié, J.-C., Hilton-Taylor, C., Stuart, S.N., Eds.; IUCN: Gland, Switzerland, 2019. [Google Scholar]
- Buira, A.; Fernández-Mazuecos, M.; Aedo, C.; Molina-Venegas, R. The contribution of the edaphic factor as a driver of recent plant diversification in a Mediterranean biodiversity hotspot. J. Ecol. 2020, 109, 987–999. [Google Scholar] [CrossRef]
- EC (European Commission). Commission Implementing Decision (EU) 2022/234 of 16 February 2022 Adopting the 15th Update of the List of Sites of Community Importance for the Mediterranean Biogeographical Region. 2022. Available online: https://eur-lex.europa.eu/legal-content/EN/TXT/?uri=CELEX%3A32022D0234&qid=1680190670579 (accessed on 29 March 2023).
- EEA (European Environment Agency). Land Cover and Change Accounts 2000–2018. 2019. Available online: https://www.eea.europa.eu/sv/data-and-maps/dashboards/land-cover-and-change-statistics (accessed on 29 March 2023).
- Botti, D. A Phytoclimatic Map of Europe. Cybergeo Eur. J. Geogr. 2018, 867, 2022. [Google Scholar] [CrossRef]
- High Resolution Layers—Copernicus Land Monitoring Service. Small Woody Features. 2015. Available online: https://land.copernicus.eu/news/small-woody-features-march-2020-update#:~:text=Small%20Woody%20Features%20is%20a,5000m%C2%B2)%20across%20the%20EEA39%20countries (accessed on 29 March 2023).
- Elkie, P.C.; Rempel, R.S.; Carr, A.P. Patch Analyst User’s Manual. A Tool for Quantifying Landscape Structure; Ontario Ministry of Natural Resources, Boreal Science, Northwest Science & Technology: Toronto, ON, Canada, 1999; pp. 4–12.
- Smart, S.M.; Marrs, R.H.; Le Duc, M.G.; Thompson, K.E.N.; Bunce, R.G.H.; Firbank, L.G.; Rossall, M.J. Spatial relationships between intensive land cover and residual plant species diversity in temperate farmed landscapes. J. Appl. Ecol. 2006, 43, 1128–1137. [Google Scholar] [CrossRef]
- Kleijn, D.; Kohler, F.; Báldi, A.; Batáry, P.; Concepción, E.D.; Clough, Y.; Díaz, M.; Gabriel, D.; Holzschuh, A.; Knop, E.; et al. On the relationship between farmland biodiversity and land-use intensity in Europe. Proc. R. Soc. B Biol. Sci. 2008, 276, 903–909. [Google Scholar] [CrossRef]
- Kuemmerle, T.; Levers, C.; Erb, K.; Estel, S.; Jepsen, M.; Müller, D.; Plutzar, C.; Stürck, J.; Verkerk, P.J.; Verburg, P.H.; et al. Hotspots of land use change in Europe. Environ. Res. Lett. 2016, 11, 1–14. [Google Scholar] [CrossRef]
- Shannon, C.E. A mathematical theory of communication. Bell Syst. Tech. J. 1948, 27, 623–656. [Google Scholar] [CrossRef]
- Velázquez, J.; Gutiérrez, J.; García-Abril, A.; Hernando, A.; Aparicio, M.; Sánchez, B. Structural connectivity as an indicator of species richness and landscape diversity in Castilla y León (Spain). For. Ecol. Manag. 2019, 432, 286–297. [Google Scholar] [CrossRef]
- Cadavid-Florez, L.; Laborde, J.; McLean, D.J. Isolated trees and small woody patches greatly contribute to connectivity in highly fragmented tropical landscapes. Landsc. Urban Plan. 2020, 196, 103745. [Google Scholar] [CrossRef]
- Tiang, D.C.F.; Morris, A.; Bell, M.; Gibbins, C.N.; Azhar, B.; Lechner, A.M. Ecological connectivity in fragmented agricultural landscapes and the importance of scattered trees and small patches. Ecol. Process. 2021, 10, 20. [Google Scholar] [CrossRef]
- EEA (European Environment Agency). Copernicus Land Monitoring Service—High. Resolution Layer Small Woody Features—2015 Reference Year. 2019. Available online: https://land.copernicus.eu/pan-european/high-resolution-layers/small-woody-features (accessed on 29 March 2023).
- Kendall, M.G. A New Measure of Rank Correlation. Biometrika 1938, 30, 81–93. [Google Scholar] [CrossRef]
- Midi, H.; Sarkar, S.K.; Rana, S. Collinearity diagnostics of binary logistic regression model. J. Interdiscip. Math. 2010, 13, 253–267. [Google Scholar] [CrossRef]
- Riitters, K.H.; O’Neill, R.V.; Hunsaker, C.T.; Wickham, J.D.; Yankee, D.H.; Timmins, S.P.; Jones, K.B.; Jackson, B.L. A factor analysis of landscape pattern and structure metrics. Landsc. Ecol. 1995, 10, 23–39. [Google Scholar] [CrossRef]
- Ketchen, D.J.; Shook, C.L. The application of cluster analysis in strategic management research: An analysis and critique. Strateg. Manag. J. 1996, 17, 441–458. [Google Scholar] [CrossRef]
- Halkidi, M.; Batistakis, Y.; Vazirgiannis, M. On clustering validation techniques. J. Intell. Inf. Syst. 2001, 17, 107–145. [Google Scholar] [CrossRef]
- Arima, C.; Hakamada, K.; Okamoto, M.; Hanai, T. Modified fuzzy gap statistic for estimating preferable number of clusters in fuzzy k-means clustering. J. Biosci. Bioeng. 2008, 105, 273–281. [Google Scholar] [CrossRef]
- Rousseeuw, P.J. Silhouettes: A graphical aid to the interpretation and validation of cluster analysis. J. Comput. Appl. Math. 1987, 20, 53–65. [Google Scholar] [CrossRef]
- Rousseeuw, P.J.; Kaufman, L. Clustering by means of medoids. In Statistical Data Analysis Based on the L1 Norm and Related Methods; Dodge, Y., Ed.; North-Holland/Elsevier: Amsterdam, The Netherlands, 1987; pp. 405–416. [Google Scholar]
- Chen, G.X.; Jaradat, S.A.; Banerjee, N.; Tanaka, T.S.; Ko, M.S.H.; Zhang, M.Q. Evaluation and comparison of clustering algorithms in analyzing ES cell gene expression data. Stat. Sin. 2002, 12, 241–262. [Google Scholar]
- Caliński, T.; Harabasz, J. A dendrite method for cluster analysis. Commun. Stat. Theory Methods 1974, 3, 1–27. [Google Scholar] [CrossRef]
- Dudoit, S.; Fridlyand, J. A prediction-based resampling method for estimating the number of clusters in a dataset. Genome Biol. 2002, 3, research0036.1–research0036.21. [Google Scholar] [CrossRef]
- Lodhi, P.; Mishra, O.; Rajpoot, D.S. Sorted Outlier Detection Approach Based on Silhouette Coefficient. In Lecture Notes in Electrical Engineering, Advances in Signal Processing and Communication; Rawat, B., Trivedi, A., Manhas, S., Karwal, V., Eds.; Springer: Singapore, 2019; Volume 526, pp. 187–198. [Google Scholar]
- Vallecillo, S.; Maes, J.; Teller, A.; Babí Almenar, J.; Barredo, J.I.; Trombetti, M.; Abdul Malak, D.; Paracchini, M.L.; Carré, A.; Addamo, A.M.; et al. EU-Wide Methodology to Map and Assess Ecosystem Condition: Towards a Common Approach Consistent with a Global Statistical Standard; Publications Office of the European Union: Rue Mercier, Luxembourg, 2022. [Google Scholar]
- High Resolution Layers—Copernicus Land Monitoring Service. CLC 2018. 2018. Available online: https://land.copernicus.eu/pan-european/corine-land-cover/clc2018?tab=mapview (accessed on 29 March 2023).
- Spearman, C. The proof and measurement of association between two things. Am. J. Psychol. 1904, 15, 72–101. [Google Scholar] [CrossRef]
- Pearson, K.X. On the criterion that a given system of deviations from the probable in the case of a correlated system of variables is such that it can be reasonably supposed to have arisen from random sampling. Lond. Edinb. Dublin Philos. Mag. J. Sci. 1900, 50, 157–175. [Google Scholar] [CrossRef]
- Fisher, R.A. Statistical methods for research workers. In Breakthroughs in Statistics; Springer, Oliver & Boyd: New York, NY, USA, 1992; pp. 66–70. [Google Scholar]
- Cramer, H. Mathematical Methods of Statistics; Princeton University Press: Princeton, NJ, USA, 1946; ISBN 0-691-08004-6. [Google Scholar]
- ICNF (Instituto da Conservação da Natureza e das Florestas). Limites das Áreas Protegidas—RNAP. 2022. Available online: https://geocatalogo.icnf.pt/catalogo_tema1.html (accessed on 29 March 2023).
- MASE (Ministero dell’Ambiente e della Sicurezza Energetica). Elenco Ufficiale Aree Protette—EUAP. 2010. Available online: https://geodati.gov.it/geoportale/visualizzazione-metadati/scheda-metadati/?uuid=m_amte:299FN3:06c67978-18c8-4da7-ff26-443d4f700c2d (accessed on 29 March 2023).
- MITECO (Ministerio para la Transición Ecológica y el Reto Demográfico). Espacios Naturales Protegidos—ENP. 2021. Available online: https://www.miteco.gob.es/es/cartografia-y-sig/ide/descargas/biodiversidad/enp.aspx (accessed on 29 March 2023).
- INPN (Inventaire National du Patrimoine Naturel). Espaces Protégés—EP. 2022. Available online: https://www.data.gouv.fr/fr/datasets/inpn-donnees-du-programme-espaces-proteges/ (accessed on 29 March 2023).
- Rosati, L.; Marignani, M.; Blasi, C. A gap analysis comparing Natura2000 vs. National Protected Area network with potential natural vegetation. Community Ecol. 2008, 9, 147–154. [Google Scholar] [CrossRef]
- Capotorti, G.; Guida, D.; Siervo, V.; Smiraglia, D.; Blasi, C. Ecological classification of land and conservation of biodiversity at the national level: The case of Italy. Biol. Conserv. 2012, 147, 174–183. [Google Scholar] [CrossRef]
- Cohen, J. Statistical Power Analysis for the Behavioral Sciences; Routledge Academic: New York, NY, USA, 1988. [Google Scholar]
- Capotorti, G.; De Lazzari, V.; Ortí, M.A. Local scale prioritisation of green infrastructure for enhancing biodiversity in Peri-Urban agroecosystems: A multi-step process applied in the Metropolitan City of Rome (Italy). Sustainability 2019, 11, 3322. [Google Scholar] [CrossRef]
- Wang, Y.; Chang, Q.; Fan, P. A Framework to Integrate Multifunctionality Analyses into Green Infrastructure Planning. Landsc. Ecol. 2021, 36, 1951–1969. [Google Scholar] [CrossRef]
- Zheng, W.; Barker, A. Green infrastructure and urbanisation in Suburban Beijing: An improved neighbourhood assessment framework. Habitat. Int. 2021, 117, 102423. [Google Scholar] [CrossRef]
- Müller, A.; Schneider, U.A.; Jantke, K. Is large good enough? Evaluating and improving representation of ecoregions and habitat types in the European Union’s protected area network Natura 2000. Biol. Conserv. 2018, 227, 292–300. [Google Scholar] [CrossRef]
- Jongman, R.H.G.; Bouwma, I.M.; Griffioen, A.; Jones-Walters, L.; Van Doorn, A.M. The Pan European Ecological Network: PEEN. Landsc. Ecol. 2011, 26, 311–326. [Google Scholar] [CrossRef]
- Rossi, M.; Bardin, P.; Cateau, E.; Vallauri, D. Aperçu sur les forêts anciennes et matures de Méditerranée française et des montagnes limitrophes: Enjeux pour la conservation de la nature. Forêt Méditerranéenne. 2014, 35, 409–422. [Google Scholar]
- Sabatini, F.M.; Burrascano, S.; Keeton, W.S.; Levers, C.; Lindner, M.; Pötschner, F.; Verkerk, P.J.; Bauhus, J.; Buchwald, E.; Chaskovsky, O.; et al. Where are Europe’s last primary forests? Divers. Distrib. 2018, 24, 1426–1439. [Google Scholar] [CrossRef]
- Niquil, N.; Chaumillon, E.; Johnson, G.A.; Bertin, X.; Grami, B.; David, V.; Bacher, C.; Asmus, H.; Baird, D.; Asmus, R. The effect of physical drivers on ecosystem indices derived from ecological network analysis: Comparison across estuarine ecosystems. Estuar. Coast. Shelf Sci. 2012, 108, 132–143. [Google Scholar] [CrossRef]
- Di Pirro, E.; Sallustio, L.; Capotorti, G.; Marchetti, M.; Lasserre, B. A scenario-based approach to tackle trade-offs between biodiversity conservation and land use pressure in Central Italy. Ecol. Modell. 2021, 448, 109533. [Google Scholar] [CrossRef]
- Liu, J.; Jin, X.B.; Xu, W.Y.; Zhou, Y.K. Evolution of cultivated land fragmentation and its driving mechanism in rural development: A case study of Jiangsu Province. J. Rural Stud. 2022, 91, 58–72. [Google Scholar] [CrossRef]
- Zannini, P.; Frascaroli, F.; Nascimbene, J.; Halley, J.M.; Stara, K.; Cervellini, M.; Di Musciano, M.; De Vigili, F.; Rocchini, D.; Piovesan, G. Investigating sacred natural sites and protected areas for forest area changes in Italy. Conserv. Sci. Pract. 2022, 4, e12695. [Google Scholar]
- Sallustio, L.; De Toni, A.; Strollo, A.; Di Febbraro, M.; Gissi, E.; Casella, L.; Geneletti, D.; Munafo, M.; Vizzarri, M.; Marchetti, M. Assessing habitat quality in relation to the spatial distribution of protected areas in Italy. J. Environ. Manag. 2017, 201, 129–137. [Google Scholar] [CrossRef]
- Capotorti, G.; Mollo, B.; Zavattero, L.; Anzellotti, I.; Celesti-Grapow, L. Setting Priorities for Urban Forest Planning. A Comprehensive Response to Ecological and Social Needs for the Metropolitan Area of Rome (Italy). Sustainability 2015, 7, 3958–3976. [Google Scholar] [CrossRef]
- Estreguil, C.; Caudullo, G.; Rega, C.; Paracchini, M.L. Enhancing Connectivity, Improving Green Infrastructure. Cost-Benefit Solutions for Forest and Agri-Environment; A Pilot Study in Lombardy; Office for Official Publications of the European Union: Luxembourg, 2016. [Google Scholar]
- Mikkonen, N.; Moilanen, A. Identification of top priority areas and management landscapes from a national natura 2000 network. Environ. Sci. Policy 2013, 27, 11–20. [Google Scholar] [CrossRef]
- Louette, G.; Adriaens, D.; Adriaens, P.; Anselin, A.; Devos, K.; Sannen, K.; Van Landuyt, W.; Paelinckx, D.; Hoffman, M. Bridging the gap between the Natura 2000 regional conservation status and local conservation objectives. J. Nat. Conserv. 2011, 19, 224–235. [Google Scholar] [CrossRef]
- Blasi, C.; Marignani, M.; Copiz, R.; Fipaldini, M.; Bonacquisti, S.; Del Vico, E.; Rosati, L.; Zavattero, L. Important plant areas in Italy: From data to mapping. Biol. Conserv. 2011, 144, 220–226. [Google Scholar] [CrossRef]
- Marignani, M.; Blasi, C. Looking for important plant areas: Selection based on criteria, complementarity, or both? Biodivers. Conserv. 2012, 21, 1853–1864. [Google Scholar] [CrossRef]
- Rincón, V.; Velázquez, J.; Gutiérrez, J.; Hernando, A.; Khoroshev, A.; Gómez, I.; Herráez, F.; Sánchez, B.; Pablo Luque, J.; García-abril, A.; et al. Proposal of new Natura 2000 network boundaries in Spain based on the value of importance for biodiversity and connectivity analysis for its improvement. Ecol. Indic. 2021, 129, 108024. [Google Scholar] [CrossRef]
- Concepcion, E.D. Urban sprawl into Natura 2000 network over Europe. Conserv. Biol. 2021, 35, 1063–1072. [Google Scholar] [CrossRef]
- de la Fuente, B.; Mateo-Sánchez, M.C.; Rodríguez, G.; Gastón, A.; Pérez de Ayala, R.; Colomina-Pérez, D.; Melero, M.; Saura, S. Natura 2000 sites, public forests and riparian corridors: The connectivity backbone of forest green infrastructure. Land Use Policy 2018, 75, 429–441. [Google Scholar] [CrossRef]
- Lawrence, A.; Friedrich, F.; Beierkuhnlein, C. Landscape fragmentation of the Natura 2000 network and its surrounding areas. PLoS ONE 2021, 16, e0258615. [Google Scholar] [CrossRef]
- Baguette, M.; Blanchet, S.; Legrand, D.; Stevens, V.M.; Turlure, C. Individual dispersal, landscape connectivity and ecological networks. Biol. Rev. Camb. Philos. Soc. 2013, 88, 310–326. [Google Scholar] [CrossRef]
- United Nations (UN). Convention on Biological Diversity; 1760 UNTS 79; 31 ILM 818 (1992); United Nations: New York, NY, USA, 1992. [Google Scholar]
- Biodiversity Information System for Europe. Available online: https://biodiversity.europa.eu/countries/portugal (accessed on 29 March 2023).
- Pereira, P.; Misiūnė, I.; Depellegrin, D. Urban land use in Natura 2000 surrounding areas in Vilnius Region, Lithuania. In Proceedings of the EGU General Assembly Conference Abstracts. EGU General Assembly 2015, Vienna, Austria, 12–17 April 2015. [Google Scholar]
- Kizos, T.; Plieninger, T.; Schaich, H.; Petit, C. HNV permanent crops: Olives, oaks, vineyards and fruit trees. In High Nature Value Farming in Europe; Oppermann, R., Beaufoy, G., Jones, G., Eds.; Verlag Regionalkultur: Ubstadt-Weiher, Germany, 2012; pp. 70–84. [Google Scholar]
- Golicz, K.; Ghazaryan, G.; Niether, W.; Wartenberg, A.C.; Breuer, L.; Gattinger, A.; Jacobs, S.R.; Kleinebecker, T.; Weckenbrock, P.; Große-Stoltenberg, A. The role of small woody landscape features and agroforestry systems for national carbon budgeting in Germany. Land 2021, 10, 1028. [Google Scholar] [CrossRef]
- JRC (Joint Research Centre). Lucas—The Eu’s Land Use and Land Cover Survey. 2017. Available online: https://ec.europa.eu/eurostat/documents/4031688/8503684/KS-01-17-069-EN-N.pdf/91e45d7a-ee8c-47ea-a666-f49600d1ee6c?t=1520237929000 (accessed on 29 March 2023).
- INCC (Italian Natural Capital Committee). Natural Capital Inheritance. Fourth Report on the State of Natural Capital in Italy. Policy Brief. 2021. Available online: https://www.minambiente.it/pagina/il-rapporto-sullo-stato-del-capitale-naturale-italia (accessed on 29 March 2023).
- Closset-Kopp, D.; Wasof, S.; Decocq, G. Using process-based indicator species to evaluate ecological corridors in fragmented landscapes. Biol. Conserv. 2016, 201, 152–159. [Google Scholar] [CrossRef]
- Phillips, B.B.; Bullock, J.M.; Osborne, J.L.; Gaston, K.J.; Manning, P. Ecosystem service provision by road verges. J. Appl. Ecol. 2020, 7, 488–501. [Google Scholar] [CrossRef]
- Blasi, C.; Capotorti, G.; Alós Ortí, M.M.; Anzellotti, I.; Attorre, F.; Azzella, M.M.; Carli, E.; Copiz, R.; Garfì, V.; Manes, F.; et al. Ecosystem mapping for the implementation of the European Biodiversity Strategy at the national level: The case of Italy. Environ. Sci. Policy 2017, 78, 173–184. [Google Scholar] [CrossRef]
- Capotorti, G.; Alós Ortí, M.M.; Anzellotti, I.; Azzella, M.M.; Copiz, R.; Mollo, B.; Zavattero, L. The MAES process in Italy: Contribution of vegetation science to implementation of European Biodiversity Strategy to 2020. Plant. Biosyst. 2015, 149, 949–953. [Google Scholar] [CrossRef]
- Czúcz, B.; Baruth, B.; Terres, J.M.; Gallego, J.; Hagyo, A.; Angileri, V.; Nocita, M.; Soba, M.P.; Koeble, R.; Paracchini, M.L. Classification and Quantification of Landscape Features in Agricultural Land across the EU.; European Commission: Brussels, Belgium, 2022. [Google Scholar]

















| Variable | Description | Source |
|---|---|---|
| Natura2000 network | ||
| Number of patches | Number of N2K patches | Natura2000 network vector layer [40] |
| Mean area | Total N2K area divided by the number of patches in km2 | |
| Patch density | Number of N2K patches with respect to the total area of NUTS3 in km2 | |
| Area density | Total N2K area with respect to the total area of NUTS3 in % | |
| Edge density | Total edge area of N2K patches divided by the total area of NUTS3 (km/km2) | |
| Land Cover | ||
| Artificial surfaces (CLC_art) | Percentage of artificial surfaces (map code 1, CLC 1st level) with respect to the total area of NUTS3 in % | Corine Land Cover (CLC) (land cover statistics from the “Land cover and change accounts 2000–2018” dataset) [45] |
| Agricultural surfaces (CLC_agr) | Percentage of agricultural surfaces (map code 2, CLC 1st level) with respect to the total area of NUTS3 in % | |
| Natural surfaces (CLC_nat) | Percentage of natural surfaces (map code 3, CLC 1st level) with respect to the total area of NUTS3 in % | |
| Arable land surfaces (21-Arable land) | Percentage of arable land surfaces (map code 21, CLC 2nd level) with respect to the total area of NUTS3 in % | |
| Potential natural heterogeneity of the environment | ||
| Litho-morphological diversity (LM_diversity) | Shannon diversity index of litho-morphologic types | LANMAP3 [41] |
| Phytoclimatic diversity (PME_diversity) | Shannon diversity index of phytoclimatic types | Phytoclimatic map of Europe [46] |
| Small Woody Features (SWF) | ||
| Small woody feature cover density (SWF_D) | Cover density of linear and patchy SWF in the overall NUTS3 in % | “Small Woody Features” High-Resolution Layer [47] |
| Additional woody feature cover density (AWF_D) | Cover density of AWF, woody features connected to a valid SWF and isolated features larger than 1500 m2 (or wider than 30 m, if linear and out of specific patches) in the overall NUTS3 in % | “Small woody features” High-Resolution Layer [47] |
| NC | Average Silhouette Score | Average Calinski–Harabasz Score |
|---|---|---|
| 3 | 0.439 | 148.833 |
| 4 | 0.494 | 234.285 |
| 5 | 0.458 | 233.141 |
| 6 | 0.416 | 217.662 |
| K | NP | PD | CLC_art | CLC_agr | SWF_D | ED | LM_Diversity | PME_Diversity | 21-Arable Land |
|---|---|---|---|---|---|---|---|---|---|
| 1 | 51.800 2.700 | 0.630 0.100 | 0.037 0.001 | 0.540 0.040 | 1.930 0.400 | 0.230 0.020 | 1.270 0.080 | 0.940 0.100 | 0.290 0.040 |
| 2 | 28.280 0.600 | 0.730 0.100 | 0.052 0.009 | 0.440 0.030 | 2.210 0.250 | 0.250 0.020 | 1.340 0.050 | 1.240 0.070 | 0.190 0.020 |
| 3 | 15.650 0.500 | 0.510 0.050 | 0.046 0.007 | 0.520 0.030 | 1.780 0.200 | 0.190 0.015 | 1.160 0.060 | 0.950 0.070 | 0.220 0.026 |
| 4 | 5.860 0.500 | 0.330 0.060 | 0.048 0.007 | 0.450 0.030 | 2.050 0.220 | 0.150 0.020 | 0.850 0.100 | 0.800 0.070 | 0.110 0.017 |
| Quantile Class | Range (%) | SAWF Density Categorical Class | Arable Land Structural Condition |
|---|---|---|---|
| 1st and 2nd | 0–3 | Low (L) | Unfavourable |
| 3rd and 4th | 3.1–6.5 | Medium (M) | Adequate |
| 5th | 6.6–18.7 | High (H) | Favourable |
| GI Needs | |||||
|---|---|---|---|---|---|
| Consolidating Node and Link Conservation | Connection Restoration | N2K Site Enlargement | New Protected Site Creation | ||
| Cluster | K1 | 5 | 19 | 1 | 0 |
| K2 | 22 | 17 | 0 | 0 | |
| K3 | 8 | 22 | 6 | 1 | |
| K4 | 17 | 5 | 0 | 6 | |
| Total | 52 | 63 | 7 | 7 | |
Disclaimer/Publisher’s Note: The statements, opinions and data contained in all publications are solely those of the individual author(s) and contributor(s) and not of MDPI and/or the editor(s). MDPI and/or the editor(s) disclaim responsibility for any injury to people or property resulting from any ideas, methods, instructions or products referred to in the content. |
© 2023 by the authors. Licensee MDPI, Basel, Switzerland. This article is an open access article distributed under the terms and conditions of the Creative Commons Attribution (CC BY) license (https://creativecommons.org/licenses/by/4.0/).
Share and Cite
Valeri, S.; Capotorti, G. Linking Green Infrastructure Deployment Needs and Agroecosystem Conditions for the Improvement of the Natura2000 Network: Preliminary Investigations in W Mediterranean Europe. Sustainability 2023, 15, 10191. https://doi.org/10.3390/su151310191
Valeri S, Capotorti G. Linking Green Infrastructure Deployment Needs and Agroecosystem Conditions for the Improvement of the Natura2000 Network: Preliminary Investigations in W Mediterranean Europe. Sustainability. 2023; 15(13):10191. https://doi.org/10.3390/su151310191
Chicago/Turabian StyleValeri, Simone, and Giulia Capotorti. 2023. "Linking Green Infrastructure Deployment Needs and Agroecosystem Conditions for the Improvement of the Natura2000 Network: Preliminary Investigations in W Mediterranean Europe" Sustainability 15, no. 13: 10191. https://doi.org/10.3390/su151310191
APA StyleValeri, S., & Capotorti, G. (2023). Linking Green Infrastructure Deployment Needs and Agroecosystem Conditions for the Improvement of the Natura2000 Network: Preliminary Investigations in W Mediterranean Europe. Sustainability, 15(13), 10191. https://doi.org/10.3390/su151310191

