Spatial-Temporal Variation and Tradeoffs/Synergies Analysis on Multiple Ecosystem Services: A Case Study in Fujian
Abstract
:1. Introduction
2. Materials and Methods
2.1. Study Area
2.2. Data Source
2.3. Technical Roadmap
2.4. Measurement of Ecosystem Services
2.4.1. Soil Conservation
2.4.2. Carbon Storage
2.4.3. Habitat Quality
2.4.4. Food Supply
2.5. Tradeoffs and Collaborative Relationship Research Methods
2.5.1. Correlation Analysis
2.5.2. Synergy of Ecosystem Services Tradeoff
2.5.3. Spatial Autocorrelation Analysis
3. Results
3.1. Temporal and Spatial Changes of Ecosystem Services in Fujian Province
3.1.1. Analysis of Land Cover/Use Change
3.1.2. Temporal Changes of Ecosystem Services
3.1.3. Spatial Agglomeration Characteristics of Ecosystem Services
3.2. Study on Tradeoffs/Synergies of Ecosystem Services at Multi-Scale
3.2.1. Analysis of Tradeoffs/Synergies of Ecosystem Services at the Provincial Scale
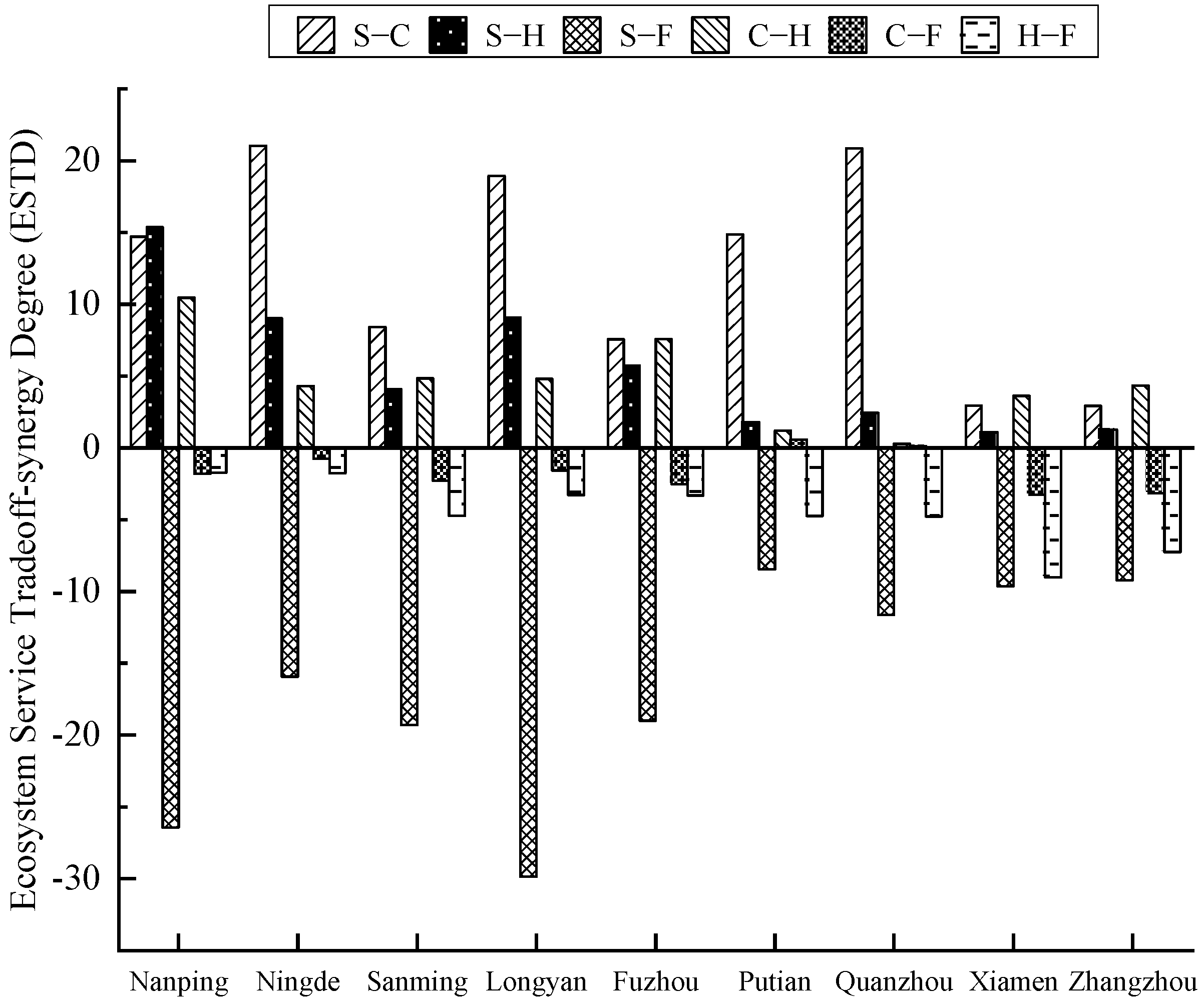
3.2.2. Analysis of Ecosystem Service Tradeoffs/Synergies at the City Scale
3.2.3. Analysis of Ecosystem Service Tradeoffs/Synergies at the County Scale
4. Discussion
4.1. Ecosystem Services Assessment
4.2. Ecosystem Services Tradeoff and Synergy
4.3. Research Deficiencies and Prospects
5. Conclusions
- (1)
- From 2000 to 2020, soil conservation services in Fujian Province first increased and then decreased, with an overall decrease of 137.89 t/hm2. Carbon storage services showed a decreasing trend, with the annual average reducing from 2362.24 kg/m2 in 2000 to 2324.60 kg/m2 in 2020. The habitat quality in Fujian Province was good. Food supply services are increasing, and the annual mean has increased from 56.95 in 2000 to 270.14 billion yuan/km2 in 2020. As can be seen from the polar coordinate rose chart, soil conservation services in Nanping and Ningde are the largest, while those in Xiamen are the smallest. Nanping city has the largest carbon storage service, while Xiamen city has the smallest carbon storage service. Nanping had the highest habitat quality, while Xiamen and Quanzhou had the lowest. Xiamen city has the largest food supply service, while Longyan city has the smallest food supply service.
- (2)
- The spatial distribution of the four typical ecosystem services in Fujian Province showed specific aggregation patterns. Positive correlation type cluster distribution is characterized by high-high aggregation and low-low aggregation. The negative correlation types, characterized by high-low aggregation and low-high aggregation, are dispersed and weakly concentrated.
- (3)
- The tradeoffs/synergies analysis showed that there was a synergistic relationship between soil conservation services, carbon storage services and habitat quality at the provincial scale. There are tradeoffs between food supply services and soil conservation services, carbon storage services, and habitat quality. The synergetic relationship is the dominant relationship among ecosystem services in Fujian Province. At the prefecture-level scale, the tradeoffs/synergies among ecosystem services vary among prefecture-level cities. The Moran’s I index of bivariate spatial autocorrelation at the county scale is consistent with the correlation coefficient. The tradeoffs/synergies among ecosystem services are spatially heterogeneous.
- (4)
- This study used the correlation analysis method, tradeoff synergy model and bivariate spatial autocorrelation analysis to study the tradeoffs/synergies relationship of ecosystem services in Fujian Province at diverse scales. The results demonstrate that the three methods can clearly show the relationship between various ecosystem services, and the research results are highly consistent. These results indicate that the synergetic relationship is the dominant relationship among ecosystem services in Fujian Province. Tradeoffs between food supply and soil conservation, carbon storage, and habitat quality are most common.
- (5)
- This paper measured four ecosystem services, soil conservation, carbon storage, habitat quality, and food supply, analyzed the temporal and spatial evolution of ecosystem services, and analyzed their trade-offs and synergies. More efforts are needed in the future to explore the use of biomass to measure food supply services. In addition, the influencing factors of trade-offs and synergies between ecosystem services have great research significance, and attention to this issue needs to be enhanced and deepened in the following research. The balance of supply and demand for ecosystem services is key to whether ecosystems can support human well-being. We will also explore this question in future research. It is hoped that this study can provide more comprehensive and specific regional development and ecological protection strategies for Fujian Province.
Author Contributions
Funding
Institutional Review Board Statement
Informed Consent Statement
Acknowledgments
Conflicts of Interest
References
- Shoyama, K.; Kamiyama, C.; Morimoto, J.; Ooba, M.; Okuro, T. A review of modeling approaches for ecosystem services assessment in the Asian region. Ecosyst. Serv. 2017, 26, 316–328. [Google Scholar] [CrossRef]
- Daily, G.C. Nature’s Services: Societal Dependence on Natural Ecosystems; Island Press: Washington, DC, USA, 1997. [Google Scholar]
- Wong, C.P.; Jiang, B.; Kinzig, A.P.; Lee, K.N.; Ouyang, Z. Linking ecosystem characteristics to final ecosystem services for public policy. Ecol. Lett. 2015, 18, 108–118. [Google Scholar] [CrossRef] [PubMed] [Green Version]
- Liu, D.; Chang, Q. Ecological security research progress in China. Acta Ecol. Sin. 2015, 35, 111–121. [Google Scholar] [CrossRef]
- Millennium, E.A. Ecosystems and Human Well-Being, Encyclopedia of the Anthropocene; Island Press: Washington, DC, USA, 2005. [Google Scholar]
- Wang, B.; Tang, H.; Xu, Y. Integrating ecosystem services and human well-being into management practices: Insights from a mountain-basin area, China. Ecosyst. Serv. 2017, 27, 58–69. [Google Scholar] [CrossRef]
- Hao, R.; Yu, D.; Sun, Y.; Shi, M. The features and influential factors of interactions among ecosystem services. Ecol. Indic. 2019, 101, 770–779. [Google Scholar] [CrossRef]
- Spyra, M.; La Rosa, D.; Zasada, I.; Sylla, M.; Shkaruba, A. Governance of ecosystem services trade-offs in peri-urban landscapes. Land Use Policy 2020, 95, 104617. [Google Scholar] [CrossRef]
- Zhang, Z.; Liu, Y.; Wang, Y.; Liu, Y.; Zhang, Y.; Zhang, Y. What factors affect the synergy and tradeoff between ecosystem services, and how, from a geospatial perspective? J. Clean. Prod. 2020, 257, 120454. [Google Scholar] [CrossRef]
- Meng, M.; Yun, Z.; Junjun, Z.; Yue, D.; Aifang, W.; Hao, S. Spatial-temporal Evolution of Ecosystem Service Value Under Rapid Urbanization—A Case Study of Nanjing City. Bull. Soil Water Conserv. 2021, 41, 296–304. [Google Scholar]
- Grasso, M. Ecological—Economic model for optimal mangrove trade off between forestry and fishery production: Comparing a dynamic optimization and a simulation model. Ecol. Model. 1998, 112, 131–150. [Google Scholar] [CrossRef]
- Rodríguez, J.P.; Beard, T.D., Jr.; Bennett, E.M.; Cumming, G.S.; Cork, S.J.; Agard, J.; Dobson, A.P.; Peterson, G.D. Trade-offs across Space, Time, and Ecosystem Services. Ecol. Soc. 2006, 11, 709–723. [Google Scholar] [CrossRef] [Green Version]
- Bennett, E.M.; Peterson, G.D.; Gordon, L.J. Understanding relationships among multiple ecosystem services. Ecol. Lett. 2009, 12, 1394–1404. [Google Scholar] [CrossRef] [PubMed]
- Carreño, L.; Frank, F.C.; Viglizzo, E.F. Tradeoffs between economic and ecosystem services in Argentina during 50 years of land-use change. Agric. Ecosyst. Environ. 2012, 154, 68–77. [Google Scholar] [CrossRef]
- Martín-López, B.; Gómez-Baggethun, E.; García-Llorente, M.; Montes, C. Trade-offs across value-domains in ecosystem services assessment. Ecol. Indic. 2014, 37, 220–228. [Google Scholar] [CrossRef]
- Bai, Y.; Chen, Y.; Alatalo, J.M.; Yang, Z.; Jiang, B. Scale effects on the relationships between land characteristics and ecosystem services—A case study in Taihu Lake Basin, China. Sci. Total Environ. 2020, 716, 137083. [Google Scholar] [CrossRef]
- Qi, Y.; Lian, X.; Wang, H.; Zhang, J.; Yang, R. Dynamic mechanism between human activities and ecosystem services: A case study of Qinghai lake watershed, China. Ecol. Indic. 2020, 117, 106528. [Google Scholar] [CrossRef]
- Turner, K.G.; Odgaard, M.V.; Bøcher, P.K.; Dalgaard, T.; Svenning, J. Bundling ecosystem services in Denmark: Trade-offs and synergies in a cultural landscape. Landscape Urban. Plan. 2014, 125, 89–104. [Google Scholar] [CrossRef]
- Caiyun, Q.; Jie, G.; Jinxi, Z. Change and tradeoffs-synergies analysis on watershed ecosystem services: A case study of Bailongjiang Watershed, Gansu. Acta Geogr. Sin. 2018, 73, 868–879. [Google Scholar]
- Xie, W.; Huang, Q.; He, C.; Zhao, X. Projecting the impacts of urban expansion on simultaneous losses of ecosystem services: A case study in Beijing, China. Ecol. Indic. 2018, 84, 183–193. [Google Scholar] [CrossRef]
- ZiCheng, L.; Lan, J.; Yu, C. The ecosystem services evaluation and trade-off synergy in Min River Basin. Acta Ecol. Sin. 2020, 40, 3909–3920. [Google Scholar]
- Armatas, C.A.; Campbell, R.M.; Watson, A.E.; Borrie, W.T.; Christensen, N.; Venn, T.J. An integrated approach to valuation and tradeoff analysis of ecosystem services for national forest decision-making. Ecosyst. Serv. 2018, 33, 1–18. [Google Scholar] [CrossRef]
- Mengya, H.; Zhiyuan, R.; Yijie, S.; Shengnan, Z. The dynamic analysis of trade-off and synergy of ecosystem services in the Guanzhong Basin. Geogr. Res. Aust. 2017, 36, 592–602. [Google Scholar]
- Zheng, Z.; Fu, B.; Feng, X. GIS-based analysis for hotspot identification of tradeoff between ecosystem services: A case study in Yanhe Basin, China. Chin. Geogr. Sci. 2016, 26, 466–477. [Google Scholar] [CrossRef] [Green Version]
- Cao, Y.; Li, G.; Tian, Y.; Fang, X.; Li, Y.; Tan, Y. Linking ecosystem services trade-offs, bundles and hotspot identification with cropland management in the coastal Hangzhou Bay area of China. Land Use Policy 2020, 97, 104689. [Google Scholar] [CrossRef]
- Zhong, L.; Wang, J.; Zhang, X.; Ying, L. Effects of agricultural land consolidation on ecosystem services: Trade-offs and synergies. J. Clean. Prod. 2020, 264, 121412. [Google Scholar] [CrossRef]
- Jing, L.H.L.L. Ecosystem service trade-offs in the Guanzhong-Tianshui economic region of China. Acta Ecol. Sin. 2016, 36, 3053–3062. [Google Scholar]
- Egoh, B.; Reyers, B.; Rouget, M.; Richardson, D.M.; Le Maitre, D.C.; van Jaarsveld, A.S. Mapping ecosystem services for planning and management. Agric. Ecosyst. Environ. 2008, 127, 135–140. [Google Scholar] [CrossRef]
- Carter Berry, Z.; Jones, K.W.; Gomez Aguilar, L.R.; Congalton, R.G.; Holwerda, F.; Kolka, R.; Looker, N.; Lopez Ramirez, S.M.; Manson, R.; Mayer, A.; et al. Evaluating ecosystem service trade-offs along a land-use intensification gradient in central Veracruz, Mexico. Ecosyst. Serv. 2020, 45, 101181. [Google Scholar] [CrossRef]
- Willemen, L.; Hein, L.; van Mensvoort, M.E.F.; Verburg, P.H. Space for people, plants, and livestock? Quantifying interactions among multiple landscape functions in a Dutch rural region. Ecol. Indic. 2010, 10, 62–73. [Google Scholar] [CrossRef]
- Renard, D.; Rhemtulla, J.M.; Bennett, E.M. Historical dynamics in ecosystem service bundles. Proc. Natl. Acad. Sci. USA 2015, 112, 13411–13416. [Google Scholar] [CrossRef] [Green Version]
- Jinghu, P.; Zhen, L. Analysis on trade-offs and synergies of ecosystem services in arid inland river basin. Trans. Chin. Soc. Agric. Eng. 2017, 33, 280–289. [Google Scholar]
- Shui, W.; Sun, X.R.; Yang, H.F.; Zheng, J.Y. Scenario simulation of ecosystem service trade-offs in bay cities: A case study in Quanzhou, Fujian Province, China. Acta Ecol. Sin. 2019, 30, 4293–4302. [Google Scholar]
- Liu, Z.F.; Tang, L.N.; Qiu, Q.Y.; Xiao, L.; Xu, T.; Yang, L. Temporal and spatial changes in habitat quality based on land-use change in Fujian Province. Acta Ecol. Sin. 2017, 37, 4538–4548. [Google Scholar]
- Fu, G.; Chen, S.; McCool, D.K. Modeling the impacts of no-till practice on soil erosion and sediment yield with RUSLE, SEDD, and ArcView GIS. Soil Tillage Res. 2006, 85, 38–49. [Google Scholar] [CrossRef]
- Onori, F.; De Bonis, P.; Grauso, S. Soil erosion prediction at the basin scale using the revised universal soil loss equation (RUSLE) in a catchment of Sicily (southern Italy). Environ. Geol. 2006, 50, 1129–1140. [Google Scholar] [CrossRef]
- Nie, X.; Lu, B.; Chen, Z.; Yang, Y.; Chen, S.; Chen, Z.; Wang, H. Increase or decrease? Integrating the CLUMondo and InVEST models to assess the impact of the implementation of the Major Function Oriented Zone planning on carbon storage. Ecol. Indic. 2020, 118, 106708. [Google Scholar] [CrossRef]
- Lyu, R.; Mi, L.; Zhang, J.; Xu, M.; Li, J. Modeling the effects of urban expansion on regional carbon storage by coupling SLEUTH-3r model and InVEST model. Ecol. Res. 2019, 34, 380–393. [Google Scholar] [CrossRef]
- Peng, J.; Pan, Y.; Liu, Y.; Zhao, H.; Wang, Y. Linking ecological degradation risk to identify ecological security patterns in a rapidly urbanizing landscape. Habitat Int. 2018, 71, 110–124. [Google Scholar] [CrossRef]
- Caro, C.; Marques, J.C.; Cunha, P.P.; Teixeira, Z. Ecosystem services as a resilience descriptor in habitat risk assessment using the InVEST model. Ecol. Indic. 2020, 115, 106426. [Google Scholar] [CrossRef]
- Ding, Q.; Chen, Y.; Bu, L.; Ye, Y. Multi-Scenario Analysis of Habitat Quality in the Yellow River Delta by Coupling FLUS with InVEST Model. Int. J. Environ. Res. Public Health 2021, 18, 2389. [Google Scholar] [CrossRef]
- Wang, Z.; Mao, D.; Li, L.; Jia, M.; Dong, Z.; Miao, Z.; Ren, C.; Song, C. Quantifying changes in multiple ecosystem services during 1992–2012 in the Sanjiang Plain of China. Sci. Total Environ. 2015, 514, 119–130. [Google Scholar] [CrossRef]
- Liu, H.; Wu, J.; Chen, X.L. Study on spatial-temporal change andtrade-off/synergy relationships of ecosystem services in the Danjiangkou water source area. Acta Ecol. Sin. 2018, 38, 4609–4624. [Google Scholar]
- Wartenberg, D. Multivariate Spatial Correlation: A Method for Exploratory Geographical Analysis. Geogr. Anal. 1985, 17, 263–283. [Google Scholar] [CrossRef]
- Martínez Batlle, J.R.; van der Hoek, Y. Clusters of high abundance of plants detected from local indicators of spatial association (LISA) in a semi-deciduous tropical forest. PLoS ONE 2018, 13, e208780. [Google Scholar] [CrossRef] [Green Version]
- Anselin, L. Local Indicators of Spatial Association-LISA. Geogr. Anal. 1995, 27, 93–115. [Google Scholar] [CrossRef]
- Zheng, D.; Wang, Y.; Hao, S.; Xu, W.; Lv, L.; Yu, S. Spatial-temporal variation and tradeoffs/synergies analysis on multiple ecosystem services: A case study in the Three-River Headwaters region of China. Ecol. Indic. 2020, 116, 106494. [Google Scholar] [CrossRef]
- Xu, S.; Liu, Y.; Wang, X.; Zhang, G. Scale effect on spatial patterns of ecosystem services and associations among them in semi-arid area: A case study in Ningxia Hui Autonomous Region, China. Sci. Total Environ. 2017, 598, 297–306. [Google Scholar] [CrossRef]
- Zhang, Y.; Liu, Y.; Zhang, Y.; Liu, Y.; Zhang, G.; Chen, Y. On the spatial relationship between ecosystem services and urbanization: A case study in Wuhan, China. Sci. Total Environ. 2018, 637–638, 780–790. [Google Scholar] [CrossRef]
- Zhu, W.; Pan, Y.; He, H.; Yu, D.; Hu, H. Simulation of maximum light use efficiency for some typical vegetation types in China. Chin. Sci. Bull. 2006, 51, 457–463. [Google Scholar] [CrossRef]
- Zhao, M.; Zhou, G. Carbon Storage of Forest Vegetation in China and its Relationship with Climatic Factors. Clim. Chang. 2006, 74, 175–189. [Google Scholar] [CrossRef]
- Shui, W.; Du, Y.; Wang, Y.; Yang, H.; Fu, Y.; Fang, B.; Huang, M. Spatio-temporal dynamics and scenarios simulation of trade-offs between ecosystem services in Min Delta urban agglomeration. Acta Ecol. Sin. 2019, 39, 5188–5197. [Google Scholar]
- Yang, G.; Ge, Y.; Xue, H.; Yang, W.; Shi, Y.; Peng, C.; Du, Y.; Fan, X.; Ren, Y.; Chang, J. Using ecosystem service bundles to detect trade-offs and synergies across urban–rural complexes. Landsc. Urban Plan. 2015, 136, 110–121. [Google Scholar] [CrossRef]
- Zhang, Y.; Long, H.; Tu, S.; Ge, D.; Ma, L.; Wang, L. Spatial identification of land use functions and their tradeoffs/synergies in China: Implications for sustainable land management. Ecol. Indic. 2019, 107, 105550. [Google Scholar] [CrossRef]
- Ricketts, T.H.; Regetz, J.; Steffan-Dewenter, I.; Cunningham, S.A.; Kremen, C.; Bogdanski, A.; Gemmill-Herren, B.; Greenleaf, S.S.; Klein, A.M.; Mayfield, M.M.; et al. Landscape effects on crop pollination services: Are there general patterns? Ecol. Lett. 2008, 11, 499–515. [Google Scholar] [CrossRef] [PubMed]
- Morandin, L.A.; Winston, M.L. Pollinators provide economic incentive to preserve natural land in agroecosystems. Agric. Ecosyst. Environ. 2006, 116, 289–292. [Google Scholar] [CrossRef]
- Tallis, H.; Kareiva, P.; Marvier, M.; Chang, A. An ecosystem services framework to support both practical conservation and economic development. Proc. Natl. Acad. Sci. USA 2008, 105, 9457–9464. [Google Scholar] [CrossRef] [Green Version]
- Bitian, Z.; Qingwen, M.; Wenjun, J.; Siyuan, H.; Moucheng, L.; Lun, Y. Research progress and perspective on ecosystem services trade-offs. Acta Ecol. Sin. 2021, 41, 5517–5532. [Google Scholar]
- Hao, R.; Yu, D.; Wu, J. Relationship between paired ecosystem services in the grassland and agro-pastoral transitional zone of China using the constraint line method. Agric. Ecosyst. Environ. 2017, 240, 171–181. [Google Scholar] [CrossRef]
- Feng, Q.; Zhao, W.; Fu, B.; Ding, J.; Wang, S. Ecosystem service trade-offs and their influencing factors: A case study in the Loess Plateau of China. Sci. Total Environ. 2017, 607–608, 1250–1263. [Google Scholar] [CrossRef]
- Qiu, J.; Turner, M.G. Spatial interactions among ecosystem services in an urbanizing agricultural watershed. Proc. Natl. Acad. Sci. USA 2013, 110, 12149–12154. [Google Scholar] [CrossRef] [Green Version]
- Seto, K.C.; Guneralp, B.; Hutyra, L.R. Global forecasts of urban expansion to 2030 and direct impacts on biodiversity and carbon pools. Proc. Natl. Acad. Sci. USA 2012, 109, 16083–16088. [Google Scholar] [CrossRef] [Green Version]












| Land Use Type | Carbon Density (kg/m2) | Research Scope | Study Time |
|---|---|---|---|
| Cultivated land | 0.57 | across China | 2003 |
| Forestland | 4.24 | across China | 2004 |
| Grassland | 3.53 | across China | 2004 |
| Water | 0.37 | across China | 2003 |
| Construction land | 0.00 | ||
| Unused land | 0.00 |
| Land Use Type | Carbon Density (kg/m2) | Research Scope | Study Time |
|---|---|---|---|
| Cultivated land | 8.07 | across China | 2004 |
| Forestland | 11.59 | across China | 2004 |
| Grassland | 8.65 | across China | 2004 |
| Water | 0.65 | across China | 1999 |
| Construction land | 0.00 | ||
| Unused land | 0.00 |
| Land Use Type | Carbon Density (kg/m2) | Research Scope | Study Time |
|---|---|---|---|
| Cultivated land | 10.84 | across China | 2003 |
| Forestland | 23.69 | across China | 2002 |
| Grassland | 9.99 | across China | 2003 |
| Water | 0.65 | across China | 2003 |
| Construction land | 0.00 | ||
| Unused land | 0.00 |
| Land-Use Type | 2000/km2 | 2010/km2 | 2020/km2 | 2000–2010/% | 2010–2020/% |
|---|---|---|---|---|---|
| Cultivated land | 25,008.99 | 24,513.04 | 23,772.27 | −1.98 | −3.02 |
| Forestland | 82,919.71 | 82,761.22 | 81,947.62 | −0.19 | −0.98 |
| Grassland | 9241.99 | 9341.42 | 8720.36 | 1.08 | −6.65 |
| Water | 1776.40 | 1790.98 | 2068.40 | 0.82 | 15.49 |
| Construction land | 3254.28 | 3802.65 | 5725.25 | 16.85 | 50.56 |
| Unused land | 140.04 | 131.37 | 107.28 | −6.19 | −18.11 |
| Ecosystem Service Types | Minimum | Maximum | Average | |
|---|---|---|---|---|
| Soil conservation (t/hm2) | 2000 | 0 | 5529.33 | 557.17 |
| 2010 | 0 | 6468.65 | 653.66 | |
| 2020 | 0 | 4199.04 | 419.28 | |
| Carbon storage (kg/m2) | 2000 | 0.21 | 2782.84 | 2362.24 |
| 2010 | 0.21 | 2782.84 | 2353.14 | |
| 2020 | 0.21 | 2782.84 | 2324.60 | |
| Habitat quality | 2000 | 0 | 1 | 0.83 |
| 2010 | 0 | 1 | 0.82 | |
| 2020 | 0 | 1 | 0.81 | |
| Food supply (billion yuan) | 2000 | 0 | 86.06 | 56.95 |
| 2010 | 0 | 180.21 | 126.29 | |
| 2020 | 0 | 368.65 | 270.14 |
| Soil Conservation | Carbon Storage | Habitat Quality | Food Supply | ||
|---|---|---|---|---|---|
| 2000 | Moran’s I | 0.544 | 0.618 | 0.656 | 0.547 |
| Z score | 5.99 | 7.33 | 7.76 | 6.43 | |
| p value | 0.001 | 0.001 | 0.001 | 0.001 | |
| 2010 | Moran’s I | 0.542 | 0.641 | 0.674 | 0.517 |
| Z score | 5.97 | 7.70 | 8.30 | 6.10 | |
| p value | 0.001 | 0.001 | 0.001 | 0.001 | |
| 2020 | Moran’s I | 0.535 | 0.624 | 0.662 | 0.526 |
| Z score | 5.83 | 7.52 | 8.13 | 6.26 | |
| p value | 0.001 | 0.001 | 0.001 | 0.001 |
| S-C | S-H | S-F | C-H | C-F | H-F | |
|---|---|---|---|---|---|---|
| 2000 | 0.298 ** | 0.290 ** | −0.234 ** | 0.926 ** | −0.652 ** | −0.717 ** |
| 2010 | 0.300 ** | 0.292 ** | −0.227 ** | 0.926 ** | −0.621 ** | −0.690 ** |
| 2020 | 0.227 ** | 0.209 ** | −0.134 ** | 0.917 ** | −0.540 ** | −0.622 ** |
| S-C | S-H | S-F | C-H | C-F | H-F | |
|---|---|---|---|---|---|---|
| Nanping | 14.70 | 15.36 | −26.43 | 10.45 | −1.80 | −1.72 |
| Ningde | 21.02 | 9.04 | −15.94 | 4.30 | −0.76 | −1.76 |
| Sanming | 8.43 | 4.08 | −19.28 | 4.84 | −2.29 | −4.73. |
| Longyan | 18.93 | 9.09 | −29.85 | 4.80 | −1.58 | −3.29 |
| Fuzhou | 7.55 | 5.72 | −19.00 | 7.57 | −2.52 | −3.32 |
| Putian | 14.87 | 1.79 | −8.47 | 1.20 | 0.57 | −4.74 |
| Quanzhou | 20.86 | 2.44 | −11.63 | 0.27 | 0.13 | −4.78 |
| Xiamen | 2.95 | 1.07 | −9.64 | 3.63 | −3.27 | −9.01 |
| Zhangzhou | 2.93 | 1.27 | −9.23 | 4.33 | −3.15 | −7.26 |
| S-C | S-H | S-F | C-H | C-F | H-F | |
|---|---|---|---|---|---|---|
| 2000 | 0.528 | 0.544 | −0.475 | 0.635 | −0.559 | −0.549 |
| 2010 | 0.535 | 0.549 | −0.435 | 0.652 | −0.501 | −0.479 |
| 2020 | 0.523 | 0.541 | −0.418 | 0.641 | −0.502 | −0.481 |
Publisher’s Note: MDPI stays neutral with regard to jurisdictional claims in published maps and institutional affiliations. |
© 2022 by the authors. Licensee MDPI, Basel, Switzerland. This article is an open access article distributed under the terms and conditions of the Creative Commons Attribution (CC BY) license (https://creativecommons.org/licenses/by/4.0/).
Share and Cite
Li, M.; Zheng, P.; Pan, W. Spatial-Temporal Variation and Tradeoffs/Synergies Analysis on Multiple Ecosystem Services: A Case Study in Fujian. Sustainability 2022, 14, 3086. https://doi.org/10.3390/su14053086
Li M, Zheng P, Pan W. Spatial-Temporal Variation and Tradeoffs/Synergies Analysis on Multiple Ecosystem Services: A Case Study in Fujian. Sustainability. 2022; 14(5):3086. https://doi.org/10.3390/su14053086
Chicago/Turabian StyleLi, Min, Peng Zheng, and Wenbin Pan. 2022. "Spatial-Temporal Variation and Tradeoffs/Synergies Analysis on Multiple Ecosystem Services: A Case Study in Fujian" Sustainability 14, no. 5: 3086. https://doi.org/10.3390/su14053086
APA StyleLi, M., Zheng, P., & Pan, W. (2022). Spatial-Temporal Variation and Tradeoffs/Synergies Analysis on Multiple Ecosystem Services: A Case Study in Fujian. Sustainability, 14(5), 3086. https://doi.org/10.3390/su14053086

