Transformation, Fluxes and Impacts of Dissolved Metals from Shallow Water Hydrothermal Vents on Nearby Ecosystem Offshore of Kueishantao (NE Taiwan)
Abstract
:1. Introduction
2. Materials and Methods
2.1. Geological Setting of the Study Area
2.2. Sampling Sites
2.3. Water Sample Collection
2.4. Measurement and Analytical Method
2.5. Statistical Analysis
3. Results and Discussion
3.1. Hydro-Chemical Characteristics in the Kueishantao Field
3.2. Siderophile Metal Characterization of Hydrothermal Vents
3.3. Plume Fluxes of Dissolved Metals from the Hydrothermal Vents
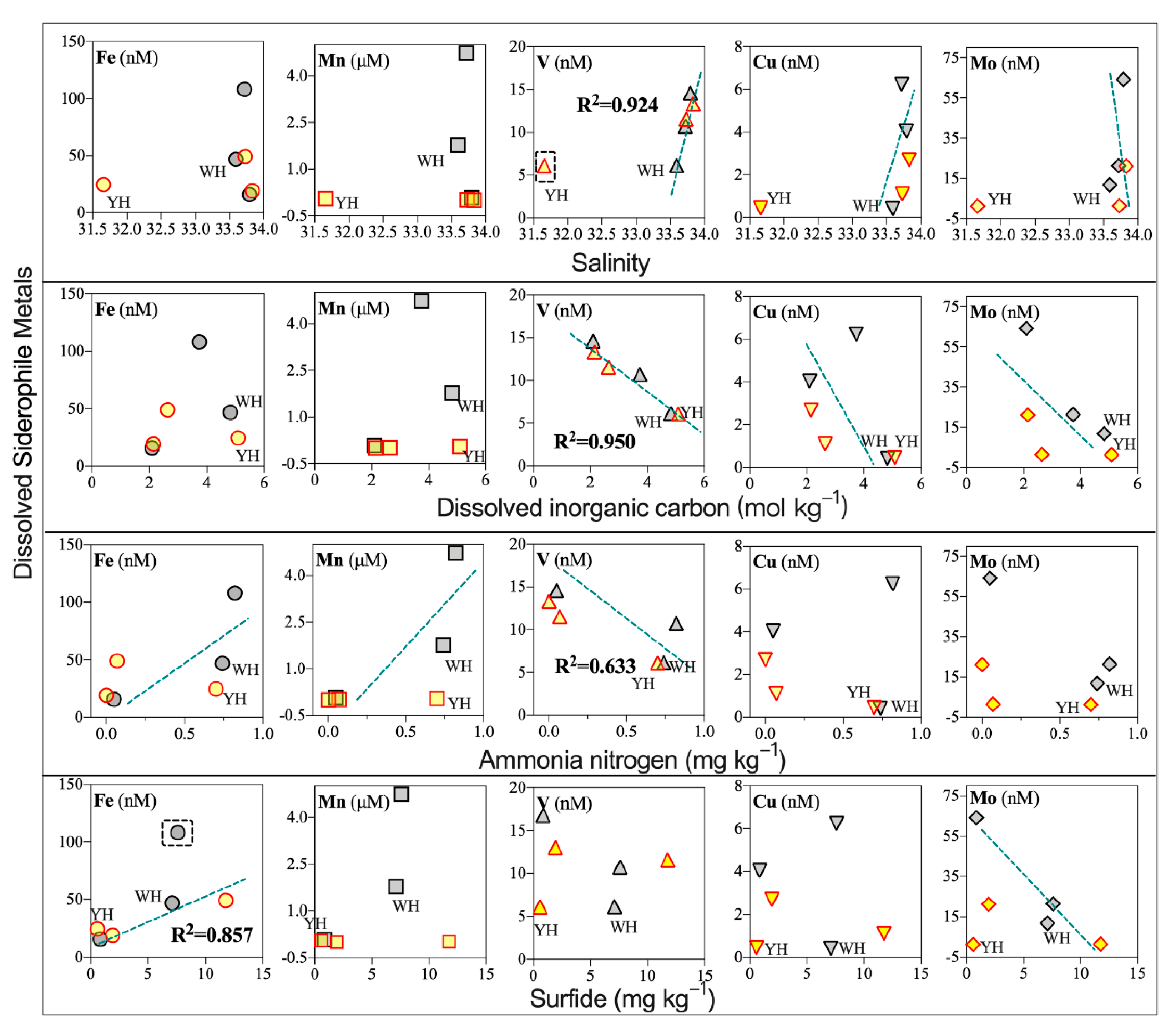
3.4. Geochemical Implications and Possible Processes Dictating Dissolved Metals
4. Conclusions
Author Contributions
Funding
Acknowledgments
Conflicts of Interest
References
- Chen, C.T.A.; Zeng, Z.G.; Kuo, F.W.; Yang, T.Y.F.; Wang, B.J.; Tu, Y.Y. Tide-influenced acidic hydrothermal system offshore NE Taiwan. Chem. Geol. 2005, 224, 69–81. [Google Scholar] [CrossRef]
- Koschinsky, A.; Garbe-Schonberg, D.; Sander, S.; Schmidt, K.; Gennerich, H.H.; Strauss, H. Hydrothermal venting at pressure-temperature conditions above the critical point of seawater, 5° S on the Mid-Atlantic Ridge. Geology 2008, 36, 615–618. [Google Scholar] [CrossRef]
- Price, R.E.; Savov, I.; Planer-Friedrich, B.; Buhring, S.I.; Amend, J.; Pichler, T. Processes influencing extreme As enrichment in shallow-sea hydrothermal fluids of Milos Island, Greece. Chem. Geol. 2013, 348, 15–26. [Google Scholar] [CrossRef]
- Chen, X.G.; Lyu, S.S.; Garbe-Schonberg, D.; Lebrato, M.; Li, X.H.; Zhang, H.Y.; Zhang, P.P.; Chen, C.T.A.; Ye, Y. Heavy metals from Kueishantao shallow-sea hydrothermal vents, offshore northeast Taiwan. J. Mar. Syst. 2018, 180, 211–219. [Google Scholar] [CrossRef]
- Hung, J.J.; Yeh, H.Y.; Peng, S.H.; Chen, C.T.A. Influence of submarine hydrothermalism on sulfur and metal accumulation in surface sediments in the Kueishantao venting field off northeastern Taiwan. Mar. Chem. 2018, 198, 88–96. [Google Scholar] [CrossRef]
- Tang, K.; Zhang, Y.; Lin, D.; Han, Y.; Chen, C.T.A.; Wang, D.; Lin, Y.S.; Sun, J.; Zheng, Q.; Jiao, N.Z. Cultivation-Independent and Cultivation-Dependent Analysis of Microbes in the Shallow-Sea Hydrothermal System Off Kueishantao Island, Taiwan: Unmasking Heterotrophic Bacterial Diversity and Functional Capacity. Front. Microbiol. 2018, 9, 279. [Google Scholar] [CrossRef]
- Kitadai, N.; Nakamura, R.; Yamamoto, M.; Takai, K.; Yoshida, N.; Oono, Y. Metals likely promoted protometabolism in early ocean alkaline hydrothermal systems. Sci. Adv. 2019, 5, eaav7848. [Google Scholar] [CrossRef] [Green Version]
- Aquilina, A.; Connelly, D.P.; Copley, J.T.; Green, D.R.H.; Hawkes, J.A.; Hepburn, L.E.; Huvenne, V.A.I.; Marsh, L.; Mills, R.A.; Tyler, P.A. Geochemical and Visual Indicators of Hydrothermal Fluid Flow through a Sediment-Hosted Volcanic Ridge in the Central Bransfield Basin (Antarctica). PLoS ONE 2013, 8, e54686. [Google Scholar] [CrossRef] [Green Version]
- Morowitz, H.J.; Srinivasan, V.; Smith, E. Ligand Field Theory and the Origin of Life as an Emergent Feature of the Periodic Table of Elements. Biol. Bull. 2010, 219, 1–6. [Google Scholar] [CrossRef] [Green Version]
- He, D.T.; Liu, Y.S.; Moynier, F.; Foley, S.F.; Chen, C.F. Platinum group element mobilization in the mantle enhanced by recycled sedimentary carbonate. Earth Planet Sci. Lett. 2020, 541, 116262. [Google Scholar] [CrossRef]
- Cai, R.H.; Liu, J.G.; Pearson, D.G.; Li, D.X.; Xu, Y.; Liu, S.A.; Chu, Z.Y.; Chen, L.H.; Li, S.G. Oxidation of the deep big mantle wedge by recycled carbonates: Constraints from highly siderophile elements and osmium isotopes. Geochim. Cosmochim. Acta 2021, 295, 207–223. [Google Scholar] [CrossRef]
- Li, Y.F.; Tang, K.; Zhang, L.B.; Zhao, Z.H.; Xie, X.B.; Chen, C.T.A.; Wang, D.; Jiao, N.Z.; Zhang, Y. Coupled Carbon, Sulfur, and Nitrogen Cycles Mediated by Microorganisms in the Water Column of a Shallow-Water Hydrothermal Ecosystem. Front. Microbiol. 2018, 9, 2718. [Google Scholar] [CrossRef] [Green Version]
- Lin, Y.S.; Lin, H.T.; Wang, B.S.; Huang, W.J.; Lin, L.H.; Tsai, A.Y. Intense but variable autotrophic activity in a rapidly flushed shallow-water hydrothermal plume (Kueishantao Islet, Taiwan). Geobiology 2021, 19, 87–101. [Google Scholar] [CrossRef] [PubMed]
- Leal-Acosta, M.L.; Shumilin, E.; Mirlean, N.; Delgadillo-Hinojosa, F.; Sanchez-Rodriguez, I. The impact of marine shallow-water hydrothermal venting on arsenic and mercury accumulation by seaweed Sargassum sinicola in Concepcion Bay, Gulf of California. Environ. Sci. Process. Impacts 2013, 15, 470–477. [Google Scholar] [CrossRef]
- Villanueva-Estrada, R.E.; Prol-Ledesma, R.M.; Rodriguez-Diaz, A.A.; Canet, C.; Armienta, M.A. Arsenic in hot springs of Bahia Concepcion, Baja California Peninsula, Mexico. Chem. Geol. 2013, 348, 27–36. [Google Scholar] [CrossRef]
- Yu, M.Z.; Chen, X.G.; Garbe-Schonberg, D.; Ye, Y.; Chen, C.T.A. Volatile Chalcophile Elements in Native Sulfur from a Submarine Hydrothermal System at Kueishantao, Offshore NE Taiwan. Minerals 2019, 9, 245. [Google Scholar] [CrossRef] [Green Version]
- Peng, S.H.; Hung, J.J.; Hwang, J.S. Bioaccumulation of trace metals in the submarine hydrothermal vent crab Xenograpsus testudinatus off Kueishan Island, Taiwan. Mar. Pollut. Bull. 2011, 63, 396–401. [Google Scholar] [CrossRef] [PubMed]
- Zeng, Z.G.; Ma, Y.; Wang, X.Y.; Chen, C.T.A.; Yin, X.B.; Zhang, S.P.; Zhang, J.L.; Jiang, W. Elemental compositions of crab and snail shells from the Kueishantao hydrothermal field in the southwestern Okinawa Trough. J. Mar. Syst. 2018, 180, 90–101. [Google Scholar] [CrossRef]
- Dahms, H.U.; Hwang, J.S. Mortality in the Ocean—With Lessons from Hydrothermal Vents Off Kueishan Tao, Ne-Taiwan. J. Mar. Sci. Tech. 2013, 21, 711–715. [Google Scholar]
- Chan, B.K.K.; Wang, T.W.; Chen, P.C.; Lin, C.W.; Chan, T.Y.; Tsang, L.M. Community Structure of Macrobiota and Environmental Parameters in Shallow Water Hydrothermal Vents off Kueishan Island, Taiwan. PLoS ONE 2016, 11, e0148675. [Google Scholar] [CrossRef] [Green Version]
- Mantha, G.; Awasthi, A.K.; Al-Aidaroos, A.M.; Hwang, J.S. Diversity and abnormalities of cyclopoid copepods around hydrothermal vent fluids, Kueishantao Island, north-eastern Taiwan. J. Nat. Hist. 2013, 47, 685–697. [Google Scholar] [CrossRef]
- Hsiao, S.H.; Fang, T.H. Hg bioaccumulation in marine copepods around hydrothermal vents and the adjacent marine environment in northeastern Taiwan. Mar. Pollut. Bull. 2013, 74, 175–182. [Google Scholar] [CrossRef]
- Franco, P.; Dahms, H.U.; Hwang, J.S. Pelagic tunicates at shallow hydrothermal vents of Kueishantao. PLoS ONE 2019, 14, e0225387. [Google Scholar] [CrossRef] [Green Version]
- Gartman, A.; Findlay, A.J. Impacts of hydrothermal plume processes on oceanic metal cycles and transport. Nat. Geosci. 2020, 13, 396–402. [Google Scholar] [CrossRef]
- Chiu, C.L.; Song, S.R.; Hsieh, Y.C.; Chen, C.X. Volcanic Characteristics of Kueishantao in Northeast Taiwan and Their Implications. Terr. Atmos. Ocean. Sci. 2010, 21, 575–585. [Google Scholar] [CrossRef] [Green Version]
- Chen, Y.G.; Wu, W.S.; Chen, C.H.; Liu, T.K. A date for volcanic eruption inferred from a siltstone xenolith. Quat. Sci. Rev. 2001, 20, 869–873. [Google Scholar] [CrossRef]
- Zeng, Z.G.; Liu, C.H.; Chen, C.T.A.; Yin, X.B.; Chen, D.G.; Wang, X.Y.; Wang, X.M.; Zhang, G.L. Origin of a native sulfur chimney in the Kueishantao hydrothermal field, offshore northeast Taiwan. Sci. China Ser. D 2007, 50, 1746–1753. [Google Scholar] [CrossRef]
- Wang, D.; Lin, W.F.; Yang, X.Q.; Zhai, W.D.; Dai, M.H.; Chen, C.T.A. Occurrences of dissolved trace metals (Cu, Cd, and Mn) in the Pearl River Estuary (China), a large river-groundwater-estuary system. Cont. Shelf Res. 2012, 50–51, 54–63. [Google Scholar] [CrossRef]
- Pai, S.-C.; Whung, P.-Y.; Lai, R.-L. Pre-concentration efficiency of chelex-100 resin for heavy metals in seawater: Part 1. Effects of pH and Salts on the Distribution Ratios of Heavy Metals. Anal. Chim. Acta 1988, 211, 257–270. [Google Scholar] [CrossRef]
- Lee, H.F.; Yang, T.F.; Lan, T.F.; Song, S.R.; Tsao, S. Fumarolic gas composition of the Tatun Volcano Group, northern Taiwan. Terr. Atmos. Ocean Sci. 2005, 16, 843–864. [Google Scholar] [CrossRef] [Green Version]
- Parsons, T.R. Determination of chlorophylls and total carotenoids: Spectrophotometric method. In A Manual of Chemical & Biological Methods for Seawater Analysis; Pergamon Press: Oxford, UK, 1984; pp. 101–104. [Google Scholar]
- Findlay, A.J.; Gartman, A.; Shaw, T.J.; Luther, G.W. Trace metal concentration and partitioning in the first 1.5 m of hydrothermal vent plumes along the Mid-Atlantic Ridge: TAG, Snakepit, and Rainbow. Chem. Geol. 2015, 412, 117–131. [Google Scholar] [CrossRef] [Green Version]
- Mottl, M.J. Metabasalts, axial hot springs, and the structure of hydrothermal systems at mid-ocean ridges. Geol. Soc. Am. Bull. 1983, 94, 161–180. [Google Scholar] [CrossRef]
- Rudnicki, M.D.; Elderfield, H. A Chemical-Model of the Buoyant and Neutrally Buoyant Plume above the Tag Vent Field, 26 Degrees-N, Mid-Atlantic Ridge. Geochim. Cosmochim. Acta 1993, 57, 2939–2957. [Google Scholar] [CrossRef]
- Konstantinou, K.I.; Pan, C.Y.; Lin, C.H. Microearthquake activity around Kueishantao island, offshore northeastern Taiwan: Insights into the volcano-tectonic interactions at the tip of the southern Okinawa Trough. Tectonophysics 2013, 593, 20–32. [Google Scholar] [CrossRef]
- Lin, Y.S.; Lee, J.; Lin, L.H.; Fu, K.H.; Chen, C.T.A.; Wang, Y.H.; Lee, I.H. Biogeochemistry and dynamics of particulate organic matter in a shallow-water hydrothermal field (Kueishantao Islet, NE Taiwan). Mar. Geol. 2020, 422, 106121. [Google Scholar] [CrossRef]







| Study Area | Sampling Site | Type | Fe | Mn | V | Cu | Mo | Ca | Mg |
|---|---|---|---|---|---|---|---|---|---|
| Kueishantao | hot T (°C) plumes | seawater in total | 22.3 ± 32.8 μM | 1.31 ± 2.43 μM | - | 218 ± 862 μM | - | 9.43 ± 0.50 mM | 48.7 ± 2.25 mM |
| [1] | low T (°C) plumes | seawater in total | 7.92 ± 6.55 μM | 0.58 ± 0.51 μM | - | 5.25 ± 8.52 μM | - | 9.64 ± 0.36 mM | 49.8 ± 1.52 mM |
| Kueishantao | Xenograpsus testudinatus (crab in D.W.) | gill (μg g−1 D.W.) | 159 ± 71.0 | 3.31 ± 1.31 | - | 290 ± 91.41 | - | - | - |
| [17] | hepatopancreas (μg g−1) | 175 ± 99.2 | 3.95 ± 2.35 | - | 53.4 ± 37.6 | - | - | - | |
| muscle (μg g−1 D.W.) | 37.04 ± 21.72 | 0.69 ± 0.5 | - | 74.6 ± 27.1 | - | - | - | ||
| Kueishantao | surface seawater | total (unfiltered) | 1.96–7.74 μM | 0.78–1.19 μM | - | - | - | 10.6–12.5 mM | 51.1–55.5 mM |
| [4] | yellow vent fluids | total (unfiltered) | 7.13–7.86 μM | 1.14–1.15 μM | - | - | - | 10.0–10.3 mM | 50.1–50.9 mM |
| yellow vent plume | total (unfiltered) | 9.13–13.6 μM | 1.37–1.43 μM | - | - | - | 10.3–10.5 mM | 50.5–50.6 mM | |
| white vent fluids | total (unfiltered) | 35.7 μM | 2.01 μM | - | - | - | 9.2 mM | 48.4 mM | |
| white vent plume | total (unfiltered) | 4.19–6.54 μM | 0.96-1.42 μM | - | - | - | 10-10.2 mM | 50.2–52.4 mM | |
| Kueishantao | Xenograpsus testudinatus | male crab’s back | 32.1–55.9 μg g−1 | 4.77–14.6 μg g−1 | - | 1.53–3.21 μg g−1 | - | 30.1–31.7% | 1.72–2.02% |
| [18] | female crab’s back | 35.0–67.4 μg g−1 | 3.60–6.0 μg g−1 | - | 2.21–4.25 μg g−1 | - | 30.9–31.8% | 1.52–1.94% | |
| male crab’s claw | 14.0–73.0 μg g−1 | 3.60–7.55 μg g−1 | - | 1.61–2.33 μg g−1 | - | 30.4–31.5% | 1.50–1.96% | ||
| female crab’s claw | 47.0–55.9 μg g−1 | 4.06–4.62 μg g−1 | - | 3.52–4.02 μg g−1 | - | 30.2–30.6% | 1.84–1.94% | ||
| snail (Anachis sp.) | shell (mg g−1) | 53.7–108 μg g−1 | 4.72–8.89 μg g−1 | - | 4.05–4.40 μg g−1 | - | 39.2–40.6% | 146–330 μg g−1 | |
| this study (2017) | fluid | dissolved (nM)/Flux | 24.6/0.62 kg | 45.4/1.13 kg | 6.07/139 g | 0.45/12.9 g | 1.25/54.3 g | - | 0.99 mM/4.28 × 104 kg |
| yellow vent | plume | dissolved (nM)/Flux | 49.0/1.24 kg | 14.7/0.36 kg | 11.5/266 g | 1.10/31.7 g | 1.42/61.6 g | - | 1.29 mM/5.59 × 104 kg |
| seawater | dissolved (nM)/Flux | 19.2/0.49 kg | 3.14/0.08 kg | 13.3/306 g | 2.69/77.7 g | 21.1/915 g | - | 1.62 mM/7.02 × 104 kg | |
| fluid | dissolved (nM)/Flux | 46.8/0.28 kg | 1770/10.5 kg | 6.13/33.7 g | 0.42/2.89 g | 11.8/122 g | - | 1.09 mM/1.13 × 104 kg | |
| white vent | plume | dissolved (nM)/Flux | 108/0.65 kg | 4730/28.0 kg | 10.7/59.0 g | 6.24/43.1 g | 21.3/221 g | - | 2.33 mM/2.41 × 104 kg |
| seawater | dissolved (nM)/Flux | 15.8/0.1 kg | 80.5/0.48 kg | 14.6/80.2 g | 4.04/27.9 g | 64.2/664 g | - | 1.34 mM/1.39 × 104 kg |
| Salinity | S | NH4+ | pH | TA | DIC | Chl-a | Fe | Mn | V | Cu | |
|---|---|---|---|---|---|---|---|---|---|---|---|
| salinity | 1 | ||||||||||
| S | 0.143 | 1 | |||||||||
| NH4+ | −0.771 | 0.314 | 1 | ||||||||
| pH | 0.943 b | 0.086 | −0.714 | 1 | |||||||
| TA | 0.657 | 0.371 | −0.086 | 0.600 | 1 | ||||||
| DIC | −0.943 b | −0.086 | 0.714 | −1.00 b | −0.60 | 1 | |||||
| Chl-a | 0.812 a | 0.174 | −0.638 | 0.928 b | 0.464 | −0.928 b | 1 | ||||
| Fe | −0.429 | 0.771 | 0.771 | −0.486 | 0.143 | 0.486 | −0.348 | 1 | |||
| Mn | −0.486 | 0.143 | 0.829 a | −0.314 | 0.143 | 0.314 | −0.319 | 0.429 | 1 | ||
| V | 0.943 b | 0.086 | −0.714 | 1.00 b | 0.600 | −1.00 b | 0.928 b | −0.486 | −0.314 | 1 | |
| Cu | 0.543 | 0.143 | −0.086 | 0.600 | 0.886 a | −0.600 | 0.580 | 0.029 | 0.200 | 0.600 | 1 |
| Mo | 0.600 | 0.029 | −0.143 | 0.714 | 0.771 | −0.714 | 0.551 | −0.257 | 0.371 | 0.714 | 0.771 |
Publisher’s Note: MDPI stays neutral with regard to jurisdictional claims in published maps and institutional affiliations. |
© 2022 by the authors. Licensee MDPI, Basel, Switzerland. This article is an open access article distributed under the terms and conditions of the Creative Commons Attribution (CC BY) license (https://creativecommons.org/licenses/by/4.0/).
Share and Cite
Mei, K.; Wang, D.; Jiang, Y.; Shi, M.; Chen, C.-T.A.; Zhang, Y.; Tang, K. Transformation, Fluxes and Impacts of Dissolved Metals from Shallow Water Hydrothermal Vents on Nearby Ecosystem Offshore of Kueishantao (NE Taiwan). Sustainability 2022, 14, 1754. https://doi.org/10.3390/su14031754
Mei K, Wang D, Jiang Y, Shi M, Chen C-TA, Zhang Y, Tang K. Transformation, Fluxes and Impacts of Dissolved Metals from Shallow Water Hydrothermal Vents on Nearby Ecosystem Offshore of Kueishantao (NE Taiwan). Sustainability. 2022; 14(3):1754. https://doi.org/10.3390/su14031754
Chicago/Turabian StyleMei, Kang, Deli Wang, Yan Jiang, Mengqiu Shi, Chen-Tung Arthur Chen, Yao Zhang, and Kai Tang. 2022. "Transformation, Fluxes and Impacts of Dissolved Metals from Shallow Water Hydrothermal Vents on Nearby Ecosystem Offshore of Kueishantao (NE Taiwan)" Sustainability 14, no. 3: 1754. https://doi.org/10.3390/su14031754
APA StyleMei, K., Wang, D., Jiang, Y., Shi, M., Chen, C.-T. A., Zhang, Y., & Tang, K. (2022). Transformation, Fluxes and Impacts of Dissolved Metals from Shallow Water Hydrothermal Vents on Nearby Ecosystem Offshore of Kueishantao (NE Taiwan). Sustainability, 14(3), 1754. https://doi.org/10.3390/su14031754

