Abstract
The scales of fluctuation of uncertain thermal parameters are the key to evaluating the spatial variability of artificially frozen soil, and it can directly affect the thermal engineering analysis of artificial frozen walls. In this study, the thermal conductivity, heat capacity, and thermal diffusivity at different temperatures (from −2.0 °C to 0 °C) are tested. Then the vertical and horizontal scales of fluctuation for the uncertain thermal parameters are estimated on the basis of the spatial recurrence method, curve fitting method, and correlation function method. A computational formula of the oblique fluctuation scale for the uncertain thermal parameters is proposed, and the oblique fluctuation scale for different angles is calculated and analyzed. The results show that the scales of fluctuation of uncertain thermal parameters calculated by the three methods are slightly different. The oblique fluctuation scale is larger than the vertical fluctuation scale, but is smaller than the horizontal fluctuation scale. The scales of fluctuation of uncertain thermal parameters are varied, and it is related to the temperature, water content, density, and depth. The results of the scale of fluctuation of uncertain thermal parameters in different directions reflect the spatial variability of artificially frozen soil, which has important reference significance for stochastic thermal analysis of artificial frozen engineering.
1. Introduction
Artificially frozen soil is a multiphase composite anisotropic medium composed of soil particles, pore water, soil gas, and ice. It is very important to analyze the temperature field of artificially frozen soil because the thermal characteristics of frozen soil can directly affect the mechanical parameters and mechanical properties [1,2,3]. Many studies had focused on the thermal properties of artificial frozen soils, and the analytic solutions and numerical solutions of the temperature field for artificially frozen soil around the freezing pipe had been developed [4,5,6,7,8,9,10]. However, the complex geological environment and physicochemical processes make the frozen soil show strong spatial variability and correlation characteristics [11,12,13]. On the macroscopic aspect, the distribution of soil particles and ice particles is stochastic; the transformation of unfrozen water and ice crystals is dynamic, and the air content in the pores is variable. On the microcosmic aspect, the composition, polarity, and direction of mineral molecules are random; and the distance between water molecules and the number of hydrogen bonds are variable. Therefore, the soil parameters of artificially frozen soil are random. Therefore, the thermal parameters (e.g., thermal conductivity, heat capacity, and thermal diffusivity) of frozen soil are uncertain [14,15,16,17]. In artificial freezing engineering, the uncertain thermal parameters of artificially frozen soil can cause the randomness of the thermal characteristic of the artificial frozen wall. Traditional deterministic thermal analysis of artificial frozen soils around the freezing pipe is difficult to clarify the stochastic characteristics.
Random field models can scientifically reflect the spatial characteristics of geotechnical parameter uncertainties, and it is recognized as a more effective method to describe the randomness of geotechnical parameters [18,19,20,21]. After describing the soil profile as a random field, the mean value and variation coefficient of sample points can be obtained by in-situ tests and laboratory tests. The local average method of random field can be used to transfer the characteristics of geotechnical medium test points to the spatial average characteristics. The key parameter of this process is the variance reduction function. The specific expression of the variance reduction function needs to be determined by correlation structure and fluctuation scale [22,23,24,25]. At present, a series of numerical studies reveal the statistical characteristics and dynamic development process of stochastic thermal characteristics for frozen soil. However, the spatial autocorrelation structure and fluctuation scale of uncertain thermal parameters made some assumptions because of the lack of actual statistical data in previous studies [26,27,28,29]. Previous studies have suggested that the correlation structure is insensitive to the variance reduction function after the geotechnical parameters are simulated as random fields [30,31,32]. Hence, the scales of fluctuation of uncertain thermal parameters are the key to evaluating the spatial variability of artificially frozen soil. More analysis is necessary to estimate the scale of fluctuation of uncertain thermal parameters in different directions for artificially frozen soil.
In this study, the soil samples are taken from Luyang District. It is located in Hefei city, Anhui province, China. A series of thermal parameters tests for the artificially frozen soil are carried out, and the thermal conductivity, heat capacity, and thermal diffusivity under different temperature conditions (0 °C, −0.4 °C, −0.8 °C, −1.2 °C, −1.6 °C, and −2.0 °C) are obtained. Then the vertical and horizontal scales of fluctuation for the uncertain thermal parameters are estimated on the basis of the spatial recurrence method, curve fitting method, and correlation function method. A computational formula of the oblique fluctuation scale for the uncertain thermal parameters is proposed, and the oblique fluctuation scale for different angles is calculated. Through the change rules of the vertical scale of fluctuation, horizontal scale of fluctuation, and oblique fluctuation scale, the variation characteristics of the uncertain thermal parameters for artificially frozen soil are analyzed in detail. This study can provide a theoretical basis and reference for the stochastic thermal analysis of artificial frozen engineering.
2. Materials and Methods
2.1. Background Description and Collection
The soil samples were collected from the artificial frozen wall. It is near Mengcheng Road Station of Hefei Metro Line 5, North Mengcheng Road Station, Luyang District, Hefei City, Anhui Province. Mengcheng road is an important traffic corridor in Hefei city. The surrounding environmental conditions are complex and the soil around Mengcheng Road Station is quite complicated. The geological conditions are poor, and the complex geology of special rock and soil includes fracture, seepage deformation, filling, expansive soil, weathered rock, and residual soil. The mechanical properties and structural characteristics of soil are unstable. Hence, the artificial freezing method is used to protect soil stability and reduce soil permeability.
The method of drilling and sampling is adopted to obtain the initial soil samples. Firstly, cover each sample with preservative film after obtaining the undisturbed samples by the hole-drilling method. After that, these samples with the preservative film were quickly put into the foam box; also, some ice bags were necessary for every foam box. Secondly, these foam boxes took a car from Hefei City to Xuzhou City. Thirdly, all the samples were taken out of the foam box after getting to our laboratory. After that, these samples with the preservative film were quickly put into the freezer. According to the properties of samples, the overall properties should be inferred, and the obtained sample characteristics should have the same distribution and independence. That is to say, the components in the sample should have the same distribution as the whole, and they should be independent of each other. In the vertical direction, sampling intervals are 1 m. In the horizontal direction, considering the engineering site conditions and sample distribution, the sample spacing is 2 m. On the other hand, XY-1 rotary drilling method is used to drill holes, and the Φ108 mm drilling tool is equipped to drill cores. Small angle edge angle, reasonable drilling structure, and dynamic energy effect are selected to reduce penetration resistance, so as to improve the accuracy of data.
2.2. Measurement and Extraction of Parameters
In the process of engineering construction, the variety of soil properties can be observed by the change of sample data. The thermal conductivity, thermal diffusivity, and volumetric heat capacity of samples at different temperatures and depths are different. The spatial variability of soil parameters is the inherent property of soil. The measurement and calculation of basic thermal parameters are the basis of thermal engineering analysis. Therefore, the thermal parameters at temperatures of 0 °C, −0.4 °C, −0.8 °C, −1.2 °C, −1.6 °C, and −2 °C are used in this paper to specifically describe the related properties of artificially frozen soil. The specific steps are as follows:
The first step is test preparation. The soil sample was made into a standard soil sample of 61.8 × 40 mm. After the sample is made, a thermistor connected to the collector is installed on the surface of the sample, which is used to monitor the temperature change. The thermal conductivity was measured by the thermal probe method, and the thermal capacity was measured by the QL-30 thermal analyzer.
The second step is the temperature setting. After the preparation of standard samples, the samples were put into an incubator and adjusted to 0 °C, −0.4 °C, −0.8 °C, −1.2 °C, −1.6 °C, and −2 °C, respectively. In the process of adjustment, the thermistors can effectively reflect the temperature changes. After adjusting the temperature in the insulation box to the set temperature and keeping it stable, the thermal conductivity and volumetric heat capacity are measured, respectively.
The third step is data processing. After obtaining the measured results of thermal conductivity and thermal capacity, the thermal diffusivity was calculated. The basic parameters of soil samples such as density, moisture content, and dry density were obtained by basic geotechnical tests. The basic physical parameters of frozen soil in vertical and horizontal directions are listed in Table 1, and the vertical and horizontal thermal parameters of frozen soil are listed in Table 2, Table 3 and Table 4.
Table 1.
Basic physical parameters of frozen soil in vertical and horizontal directions.
Table 2.
Vertical and horizontal thermal conductivity of frozen soil.
Table 3.
Vertical and horizontal heat capacity of frozen soil.
Table 4.
Vertical and horizontal thermal diffusivity of frozen soil.
2.3. Calculating Method of Fluctuation Scales
The basic parameter for describing spatial variability of uncertain thermal parameters is the scale of fluctuation. The definition of fluctuation scale can be interpreted as a distance. The soil property index in this scale is basically related, whereas the soil property index outside this scale is basically unrelated. At present, the research on the scale of fluctuation is mainly based on the spatial recursive method and correlation function method. The model of soil profile successfully completes the transition from point characteristic to spatial average characteristic. In this paper, the fluctuation scale of sample data is calculated by the correlation function method, spatial recursive method, and curve fitting method. At the same time, elliptic correlation structures are proposed to describe spatial variability at different angles.
(1) Horizontal and vertical directions
Based on the random field theory, the fluctuation scale is defined as follows:
In Equation (1), is a constant, which is called the fluctuation scale. It is used to describe the degree of correlation between two spacing soil parameters. Equation (1) shows that the specific value of the fluctuation scale can be calculated by the integral method when the type of standard correlation function is known. Based on this idea, the correlation function method fits the original data with several types of correlation functions to obtain the fluctuation scales, namely . The standard correlation function and corresponding fluctuation scale are shown in Table 5. The calculation steps of the correlation function method are as follows:
Table 5.
Standard correlation function and corresponding fluctuation scale.
Firstly, the collected data is standardized. See if the raw data has trend weight. If so, the trend component can be obtained by linear regression, and then standardized by the following Equation (2).
where is the trend component of the original data , and is the standard deviation of . The standardized , namely , can be regarded as the statistical mean. Taking as a multiple of sample spacing , namely , taking different constant and substituting it into Equation (3), the calculated values of a series of standard correlation functions can be obtained.
(3) Observe the calculated value of the standard correlation function, draw Figure with the calculated value points, and then observe the fitting standard correlation function formula according to the broken line diagram of the Figure . Regression of the equation is carried out to obtain the specific values of the parameters in the correlation function. Finally, the values of the fluctuation scale can be obtained by looking up Table 5.
The spatial recursive method is a method for calculating the fluctuation scale of soil parameters based on the variance reduction function . From the definition of fluctuation scale, when large enough, there are
In the process of calculating the scale of fluctuation, is taken as the multiple of sampling interval and substituted into Equation (4). can be rewritten as:
Then the variance reduction function is defined as:
where is the spatial mean variance and is the determined variance. The value of the fluctuation scale can be obtained by scatter plot.
The calculation steps of the spatial recursive method are as follows: Firstly, the expected value and standard deviation of the parameters at the initial point are calculated. Take , that is to say, take the mean of two adjacent sample points, and construct a new set of data to calculate the mean and standard deviation of the set of data. Where the mean value is unchanged and the standard deviation is recorded as , then the standard deviation reduction coefficient at can be obtained. The scatter plot with as abscissa and as ordinate is drawn, and the point is depicted on the plot. In accordance with the above steps, is used to determine the corresponding value of x, and scatter plots are drawn in turn. In the scatter plot, the fluctuation scales can be obtained by finding the stable point of and substituting the value into Equation (5).
Curve fitting method is a method for calculating the fluctuation scales based on the spatial recursive method. The calculating steps of the curve fitting method are as follows: The first step is as same as the spatial recursive method. The graph is drawn to find the maximum value , and the corresponding h is used as a stationary point to calculate the fluctuation scale . Then the fluctuation scales are determined by the array . A function is used to fit and optimize. When , the value of the function is . Fitting functions are shown in Table 6.
Table 6.
Curve fitting method function.
(2) Oblique direction
The thermal properties of artificial frozen soils have their own spatial variability in a different engineering environment. According to the classification of the fluctuation scale for the soils, isotropy, transverse anisotropy, rotational anisotropy, general anisotropy, and general rotational anisotropy were proposed [33]. According to the classification of the fluctuation scale of the soil sample, the sample soil sample belongs to transverse anisotropy. That is, the main direction (longer line) shows the smoothest change in soil structure and the smaller main direction (shorter line) shows the rapid change in soil structure. The fluctuation scale of an anisotropic random field is considered an ellipse, and the general formula is:
When θx is the fluctuation scales in the horizontal direction; θy is the fluctuation scales in the vertical direction; is the fluctuation scales in the oblique direction. Let and , Equation (7) can be rewritten as:
When and represent the major and minor fluctuation scale, respectively.
According to Equation (8), the oblique fluctuation scale can be written as
The oblique fluctuation scale can be calculated by Equation (9), and the schematic diagram of the oblique fluctuation scale is shown in Figure 1.
Figure 1.
Schematic diagram of the oblique fluctuation scale.
3. Results and Analyses
3.1. Vertical Fluctuation Scale
Figure 2 shows the vertical scale of fluctuation of different thermal parameters for the same calculation method. It can be seen that the fluctuation scale of the three coefficients calculated by the spatial recursion method is between 0.5 m and 1.1 m. The fluctuation scale calculated by volumetric heat capacity is obviously lower than that obtained by the other two parameters. However, the fluctuation scale obtained by the correlation function method is generally between 0.35 m and 0.8 m, and the curve fitting method is between 1.3 m and 1.75 m. It can be seen that there are errors between the fluctuation ranges calculated by different methods. The spatial recurrence method has the smallest fluctuation scale, followed by the correlation function method and the curve fitting method. The fluctuation scale is constantly changing in the process of temperature change. There is no obvious upward or downward trend, but a constant fluctuation within a fixed scale. Figure 3 shows the vertical scale of fluctuation of the same thermal parameters for different calculation methods. It can be seen that the scale of fluctuation calculated by the curve fitting method is larger than that calculated value by the other two methods. The results obtained by the correlation function method and spatial recursive method are similar. The fluctuation scale of thermal conductivity fluctuates greatly and it generally meets the requirement of the distance of the vertical fluctuation scale. The fluctuation scale of volumetric heat capacity and the thermal conductivity calculated by the correlation function method and spatial recursive method is similar. The curve fitting method is larger than the two methods mentioned above. From the calculation results of thermal diffusivity, we can see that the fluctuation scale calculated by the three methods is fluctuating. That is, the curve fitting method is greater than the correlation function method and the spatial recursive method. The vertical scale of fluctuation of the same thermal parameters calculated by the same methods for artificially frozen soil is different. It is related to the temperature, water content, density, depth, and freezing process.
Figure 2.
Vertical fluctuation scales of different thermal parameters for the same calculation method. (a) space recurrence method; (b) curve fitting method; (c) correlation function method.
Figure 3.
Vertical fluctuation scales of the same thermal parameters for different calculation methods. (a) thermal conductivity; (b) thermal diffusivity; (c) volumetric heat capacity.
3.2. Horizontal Fluctuation Scale
In general, the vertical fluctuation scale of a soil is smaller than the horizontal fluctuation scale of the soil. That is, the spatial variability of the soil is different in the vertical and horizontal directions. Vertical spatial variability is much greater than horizontal variability, which is determined by the formation process and history of artificial frozen soil. The computational process of horizontal fluctuation scale is the same as vertical fluctuation scale. The horizontal scales of fluctuation of different thermal parameters for same calculation method are shown in Figure 4. The horizontal fluctuation scale of spatial recurrence method are 1.2~2 m, the horizontal fluctuation scale of correlation function method is 0.95~2.05 m, and the horizontal fluctuation scale of curve fitting method is 2.0~2.85 m. Among the calculation results of the horizontal fluctuation scale of thermal conductivity, three different methods are close to each other. The fluctuation scale of the thermal conductivity is slightly larger than the other two parameters. It can be seen that the fluctuation scale calculated by each parameter fluctuates in a very small range as the temperature decreases. The horizontal fluctuation scale is obviously larger than the vertical fluctuation scale. Figure 5 shows the comparison of fluctuation scale obtained by different methods with the same parameter in the horizontal direction. Similar to the vertical fluctuation scale, the results calculated by the curve fitting method are larger, and the results calculated by the other two methods are similar or even coincide with each other. The horizontal fluctuation scale is generally larger than the vertical fluctuation scale, which is caused by the formation of the soil layer. The calculation results of the thermal diffusivity and volumetric heat capacity by the spatial recursive method have an obvious fluctuation trend, while the other two fluctuation trends are not obvious.
Figure 4.
Horizontal fluctuation scales of different thermal parameters for the same calculation method. (a) space recurrence method; (b) curve fitting method; (c) correlation function method.
Figure 5.
Horizontal fluctuation scales of the same thermal parameters for different calculation methods. (a) thermal conductivity; (b) thermal diffusivity; (c) volumetric heat capacity.
3.3. Oblique Fluctuation Scale
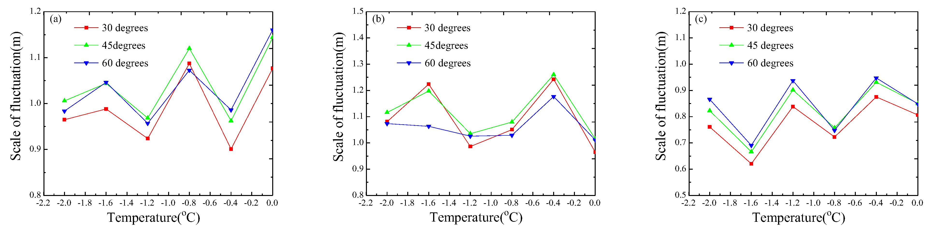
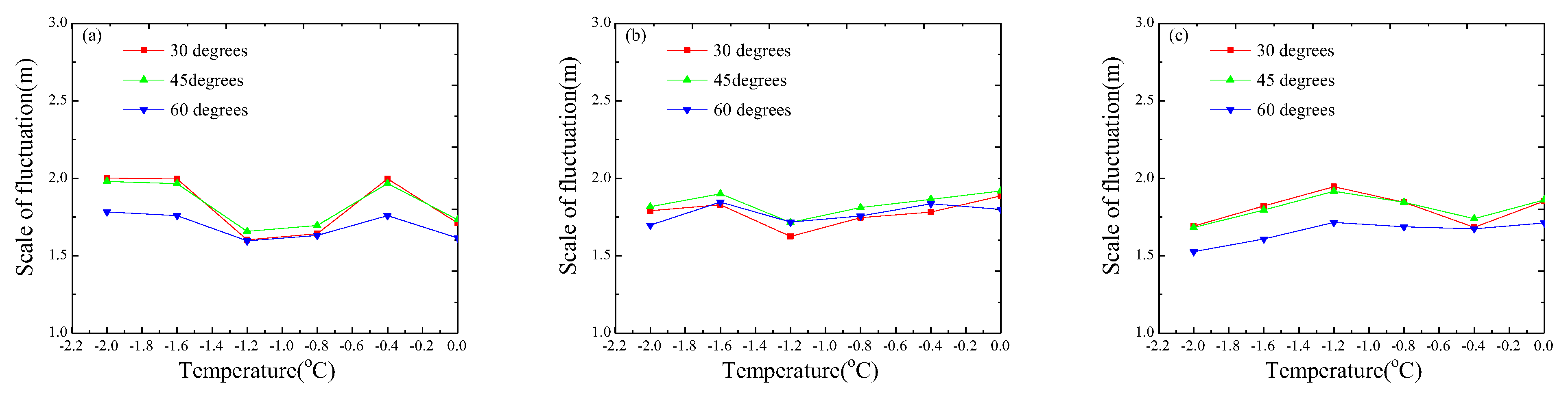
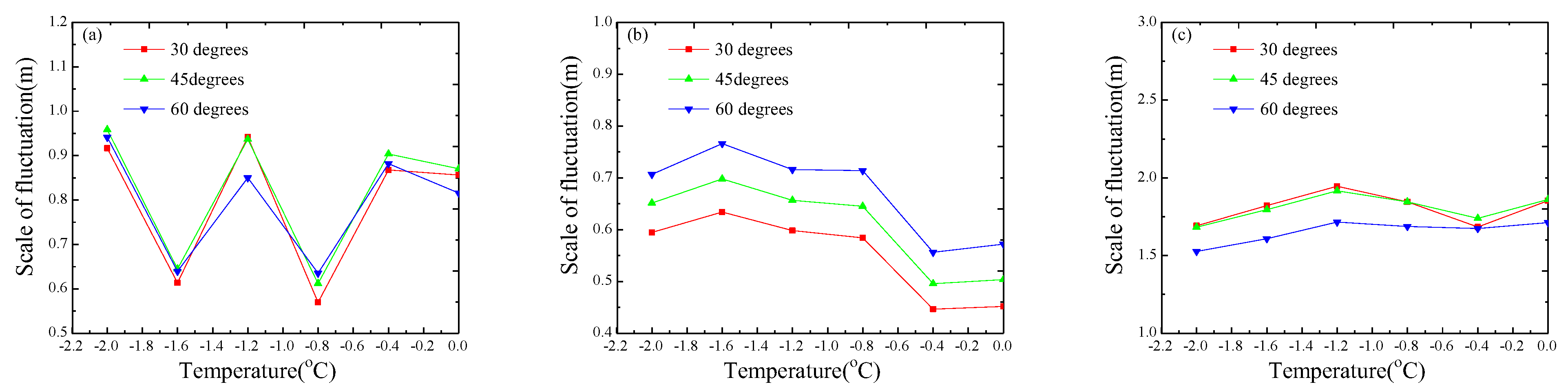
Based on the vertical and horizontal fluctuation scale of uncertain thermal parameters, the oblique fluctuation scale has great reference and application significance for the heat transfer process of artificially frozen soil around the oblique freezing pipe. It can be seen from Equation (9) that the calculation process of the oblique fluctuation scale is based on vertical and horizontal fluctuation scales. With the basic formula of the ellipse and the transformation of the trigonometric function, the oblique fluctuation scale can be obtained. Figure 6, Figure 7 and Figure 8 show the oblique fluctuation scale of thermal conductivity, thermal diffusivity, and volumetric heat capacity for the spatial recurrence method, curve fitting method, and correlation function method. It can be seen that the fluctuation range of uncertain thermal parameters for 30, 45, and 60 degrees is not invariable. The oblique fluctuation scale is between the horizontal and vertical scale of fluctuation, which accords with the actual situation of the soil. The oblique fluctuation scale of thermal conductivity calculated by the correlation function method is smaller than that calculated by the spatial recursion method and curve fitting method. The oblique fluctuation scale of thermal diffusivity calculated by the spatial recursion method is in the middle of the curve fitting method and correlation function method. The oblique fluctuation scale of volumetric heat capacity by the spatial recursion method is smaller than that calculated by the curve fitting method and correlation function method. At different temperatures, the scale of fluctuation of thermal conductivity, thermal diffusivity, and volumetric heat capacity has a consistent trend. In the case of three angles, the fluctuation scale of the dip angle always fluctuates between horizontal and vertical fluctuation ranges, which do not exceed its limit value. It fits well with the characteristics of the elliptic model.
Figure 6.
Oblique fluctuation scale of different thermal parameters for spatial recursion method. (a) thermal conductivity; (b) thermal diffusivity; (c) volumetric heat capacity.
Figure 7.
Oblique fluctuation scale of different thermal parameters for curve fitting method. (a) thermal conductivity; (b) thermal diffusivity; (c) volumetric heat capacity.
Figure 8.
Oblique fluctuation scale of different thermal parameters for correlation function method. (a) thermal conductivity; (b) thermal diffusivity; (c) volumetric heat capacity.
4. Discussion
In engineering construction, especially in artificial freezing engineering, the study of frozen soil properties plays a decisive role in the smooth progress of engineering construction. In this paper, the spatial variability of frozen soil in the Luyang District of Hefei City was studied in detail by using the spatial recurrence method, curve fitting method, and correlation function method. By the elliptical model, the variation trend of the oblique fluctuation scale at different temperatures (0 °C, −0.4 °C, −0.8 °C, −1.2 °C, −1.6 °C, and −2.0 °C) described in detail. At the same time, the fluctuation scale of three parameters such as thermal conductivity, thermal conductivity, and heat capacity at different temperatures is analyzed. It not only has high engineering significance, but also promotes research on the spatial variability of artificially frozen soil. However, in the process of studying the spatial variability of uncertain thermal parameters in different directions for artificially frozen soil, some issues remain to be discussed. Firstly, although the spatial variability of artificially frozen soil is an inherent property, it is found that the scales of fluctuation of uncertain thermal parameters are varied and the calculated value by the three methods is slightly different. Secondly, the fluctuation scale is used to describe the spatial variability of artificially frozen soil at present. With the deepening of research, the parameters describing the soil properties should be comprehensive and specific. Thirdly, when calculating the fluctuation scale, considering the insufficient data, the average value of the data is selected. Notwithstanding these limitations, through the substitution of a trigonometric function, the formula for calculating the range of oblique fluctuation scale is deduced, and the difference of fluctuation scale calculated by spatial recurrence method, the curve fitting method and the correlation function method is compared. It can provide an important reference for the stochastic thermal analysis of artificial freezing engineering.
5. Conclusions
The uncertain thermal parameters can directly affect the thermal engineering analysis of artificial frozen soil. This is very disadvantageous to the safety design and construction of the artificial freezing method. This paper focused on the scale of fluctuation of uncertain thermal parameters in different directions for artificially frozen soil. Through the change rules of the vertical scale of fluctuation, horizontal scale of fluctuation, and oblique fluctuation scale, the spatial variability of the uncertain thermal parameters for artificially frozen soil is obtained. The frozen soil samples are collected from Luyang District of Hefei and the thermal conductivity, thermal diffusivity and heat capacity for the different temperature (from −2.0 °C to 0 °C) are tested. The vertical fluctuation scale, oblique fluctuation scale and horizontal scale of fluctuation for the uncertain thermal parameters are estimated on the basis of the spatial recurrence method, curve fitting method and correlation function method. The vertical fluctuation scale is 0.5~1.1 m and the horizontal fluctuation scale is 1.2~2 m by spatial recurrence method. The vertical fluctuation scale is 0.35~0.8 m and the horizontal fluctuation scale is 0.95~2.05 m by curve fitting method. The vertical fluctuation scale is 1.3~1.75 m and the horizontal fluctuation scale 2.0~2.85 m by correlation function method. The vertical fluctuation scale is smaller than the horizontal fluctuation scale. The oblique fluctuation scale of uncertain thermal parameters can be computed by the horizontal and vertical fluctuation scale and the elliptic model theory. The oblique fluctuation scale is larger than the vertical fluctuation scale, but it smaller than the horizontal fluctuation scale, which means that the oblique spatial variability of uncertain thermal parameters is larger than that of horizontal spatial variability, but smaller than that of vertical spatial variability. Vertical and horizontal fluctuation scales are slightly different according to the spatial recurrence method, the curve fitting method and the method of correlation function method. Therefore, all three methods can be used to evaluate scale of fluctuation of uncertain thermal parameters in different directions for artificial frozen soil. They are reasonable. The results of spatial scale of fluctuation are sufficient for the study of spatial variability of artificial frozen soil. The scale of fluctuation of uncertain thermal parameters in different directions of artificially frozen soil can provide the key calculation parameters for random field calculation of frozen engineering.
Author Contributions
Software, J.C.; Formal analysis, T.W.; Investigation, X.P. and Z.H.; Resources, Z.H.; Data curation, T.W., Y.L. and G.Z.; Supervision, J.C.; Project administration, X.P. and Y.L.; Funding acquisition, T.W. and G.Z. All authors have read and agreed to the published version of the manuscript.
Funding
This research was supported by Supported by the Opening Fund of State Key Laboratory of Geohazard Prevention and Geoenvironment Protection (Chengdu University of Technology) (Grant No. SKLGP2021K021).
Acknowledgments
The authors thank the four anonymous reviewers for their comments and advice.
Conflicts of Interest
The authors declare no conflict of interest.
References
- Fan, W.H.; Yang, P. Ground temperature characteristics during artificial freezing around a subway cross passage. Transp. Geotech. 2019, 20, 100250. [Google Scholar] [CrossRef]
- Ma, D.D.; Ma, Q.Y.; Yao, Z.M.; Huang, K. Static-dynamic coupling mechanical properties and constitutive model of artificial frozen silty clay under triaxial compression. Cold Reg. Sci. Technol. 2019, 167, 102858. [Google Scholar] [CrossRef]
- Cai, H.B.; Li, S.; Liang, Y.; Yao, Z.S.; Cheng, H. Model test and numerical simulation of frost heave during twin-tunnel construction using artificial ground-freezing technique. Comput. Geotech. 2019, 115, 103155. [Google Scholar] [CrossRef]
- Hu, X.D.; Han, L.; Han, Y.G. Analytical solution to temperature distribution of frozen soil wall by multi-row-piped freezing with the boundary separation method. Appl. Therm. Eng. 2019, 149, 702–711. [Google Scholar] [CrossRef]
- Alzoubi, M.A.; Madiseh, A.; Hassani, F.P.; Sasmito, A.P. Heat transfer analysis in artificial ground freezing under high seepage: Validation and heatlines visualization. Int. J. Therm. Sci. 2019, 139, 232–245. [Google Scholar] [CrossRef]
- Tu, S.; Yang, X.; Zhou, X.; Luo, M.; Zhang, X. Experimenting and Modeling Thermal Performance of Ground Heat Exchanger Under Freezing Soil Conditions. Sustainability 2019, 11, 5738. [Google Scholar] [CrossRef]
- Cai, H.B.; Liu, Z.; Li, S.; Zheng, T.L. Improved analytical prediction of ground frost heave during tunnel construction using artificial ground freezing technique. Tunn. Undergr. Space Technol. 2019, 92, 103050. [Google Scholar] [CrossRef]
- Huang, S.B.; Guo, Y.L.; Liu, Y.Z.; Ke, L.H.; Liu, G.F.; Chen, C. Study on the influence of water flow on temperature around freeze pipes and its distribution optimization during artificial ground freezing. Appl. Therm. Eng. 2018, 135, 435–445. [Google Scholar] [CrossRef]
- Shan, W.; Zhang, C.; Guo, Y.; Qiu, L.; Xu, Z.; Wang, Y. Spatial Distribution and Variation Characteristics of Permafrost Temperature in Northeast China. Sustainability 2022, 14, 8178. [Google Scholar] [CrossRef]
- Rouabhi, A.; Jahangir, E.; Tounsi, H. Modeling heat and mass transfer during ground freezing taking into account the salinity of the saturating fluid. Int. J. Heat Mass Transf. 2018, 120, 523–533. [Google Scholar] [CrossRef]
- Li, T.; Zhou, Y.; Shi, X.Y.; Hu, X.X.; Zhou, G.Q. Analytical solution for the soil freezing process induced by an infinite line sink. Int. J. Therm. Sci. 2018, 127, 232–241. [Google Scholar] [CrossRef]
- Meng, F.; Hou, R.; Li, T.; Fu, Q. Variability of Soil Water Heat and Energy Transfer Under Different Cover Conditions in a Seasonally Frozen Soil Area. Sustainability 2020, 12, 1782. [Google Scholar] [CrossRef]
- Hu, X.D.; Yu, J.Z.; Ren, H.; Wang, Y.; Wang, J.T. Analytical solution to steady-state temperature field for straight-row-piped freezing based on superposition of thermal potential. Appl. Therm. Eng. 2017, 111, 223–231. [Google Scholar] [CrossRef]
- Li, S.Y.; Wang, C.; Shi, L.H.; Yin, N. Statistical characteristics of the thermal conductivity of frozen clay at different water contents. Results Phys. 2019, 13, 102179. [Google Scholar] [CrossRef]
- Li, S.Y.; Wang, C.; Xu, X.T.; Shi, L.H.; Yin, N. Experimental and statistical studies on the thermal properties of frozen clay in Qinghai-Tibet Plateau. Appl. Clay Sci. 2019, 177, 1–11. [Google Scholar] [CrossRef]
- Wang, T.; Zhou, G.Q.; Jiang, X.; Wang, J.Z. Assessment for the spatial variation characteristics of uncertain thermal parameters for warm frozen soil. Appl. Therm. Eng. 2018, 134, 484–489. [Google Scholar] [CrossRef]
- Shen, Y.J.; Wang, Y.Z.; Zhao, X.D.; Yang, G.S.; Jia, H.L.; Rong, T.L. The influence of temperature and moisture content on sandstone thermal conductivity from a case using the artificial ground freezing(AGF) method. Cold Reg. Sci. Technol. 2018, 155, 149–160. [Google Scholar] [CrossRef]
- Vessia, G.; Russo, S. Random field theory to interpret the spatial variability of lacustrine soils. Biosyst. Eng. 2018, 168, 4–13. [Google Scholar] [CrossRef]
- Liu, H.X.; Qi, X.H. Random field characterization of uniaxial compressive strength and elastic modulus for intact rocks. Geosci. Front. 2018, 9, 1609–1618. [Google Scholar] [CrossRef]
- Chen, D.F.; Xu, D.P.; Ren, G.F.; Jiang, Q.; Liu, G.F.; Wan, L.P.; Li, N. Simulation of cross-correlated non-Gaussian random fields for layered rock mass mechanical parameters. Comput. Geotech. 2019, 112, 104–119. [Google Scholar] [CrossRef]
- Masoudian, M.S.; Afrapoli, M.A.; Tasalloti, A.; Marshall, A.M. A general framework for coupled hydro-mechanical modelling of rainfall-induced instability in unsaturated slopes with multivariate random fields. Comput. Geotech. 2019, 115, 103162. [Google Scholar] [CrossRef]
- Dyson, A.P.; Tolooiyan, A. Prediction and classification for finite element slope stability analysis by random field comparison. Comput. Geotech. 2019, 109, 117–129. [Google Scholar] [CrossRef]
- Li, D.Q.; Xiao, T.; Zhang, L.M.; Cao, Z.J. Stepwise covariance matrix decomposition for efficient simulation of multivariate large-scale three-dimensional random fields. Appl. Math. Model. 2019, 68, 169–181. [Google Scholar] [CrossRef]
- Jiang, S.H.; Huang, J.S.; Huang, F.M.; Yang, J.H.; Chi, Y.; Zhou, C.B. Modelling of spatial variability of soil undrained shear strength by conditional random fields for slope reliability analysis. Appl. Math. Model. 2018, 63, 374–389. [Google Scholar] [CrossRef]
- Gong, W.; Juang, C.H.; Martin, I.I.J.R.; Tang, H.; Wang, Q.; Huang, H. Probabilistic analysis of tunnel longitudinal performance based upon conditional random field simulation of soil properties. Tunn. Undergr. Space Technol. 2018, 73, 1–14. [Google Scholar] [CrossRef]
- Liu, Z.Q.; Yang, W.H.; Wei, J. Analysis of random temperature field for freeway with wide subgrade in cold regions. Cold Reg. Sci. Technol. 2014, 106, 22–27. [Google Scholar] [CrossRef]
- Wang, T.; Zhou, G.Q.; Wang, J.Z.; Zhou, L. Stochastic analysis of uncertain thermal parameters for random thermal regime of frozen soil around a single freezing pipe. Heat Mass Transf. 2018, 54, 2845–2852. [Google Scholar] [CrossRef]
- Wang, T.; Zhou, G.Q.; Chao, D.Y.; Yin, L.J. Influence of hydration heat on stochastic thermal regime of frozen soil foundation considering spatial variability of thermal parameters. Appl. Therm. Eng. 2018, 142, 1–9. [Google Scholar] [CrossRef]
- Wang, T.; Zhou, G.Q.; Wang, J.Z.; Zhou, Y.; Chen, T. Stochastic coupling analysis of uncertain hydro-thermal properties for embankment in cold regions. Transp. Geotech. 2019, 21, 100275. [Google Scholar] [CrossRef]
- Liu, L.L.; Cheng, Y.M.; Jiang, S.H.; Zhang, S.H.; Wang, X.M.; Wu, Z.H. Effects of spatial autocorrelation structure of permeability on seepage through an embankment on a soil foundation. Comput. Geotech. 2017, 87, 62–75. [Google Scholar] [CrossRef]
- Zhu, H.; Zhang, L.M.; Xiao, T.; Li, X.Y. Generation of multivariate cross-correlated geotechnical random fields. Comput. Geotech. 2017, 86, 95–107. [Google Scholar] [CrossRef]
- Zhao, T.Y.; Wang, Y. Simulation of cross-correlated random field samples from sparse measurements using Bayesian compressive sensing. Mech. Syst. Signal Process. 2018, 112, 384–400. [Google Scholar] [CrossRef]
- Zhu, H.; Zhang, L.M. Characterizing geotechnical anisotropic spatial variations using random field theory. Can. Geotech. J. 2013, 50, 723–773. [Google Scholar] [CrossRef]
Publisher’s Note: MDPI stays neutral with regard to jurisdictional claims in published maps and institutional affiliations. |
© 2022 by the authors. Licensee MDPI, Basel, Switzerland. This article is an open access article distributed under the terms and conditions of the Creative Commons Attribution (CC BY) license (https://creativecommons.org/licenses/by/4.0/).







