Abstract
China is rich in oyster resources and has a long history of oyster aquaculture. Various forms of oyster aquaculture coexist in the coastal regions of China, which are dominated by raft aquaculture and long-line aquaculture. The objective of this study is to assess the environmental sustainability of the oyster aquaculture systems located in Jiantiao Bay, Zhejiang province, China. Emergy synthesis is used in the study to quantify the contributions of the natural and economic inputs to the oyster aquaculture systems, in order to better understand the sustainability. The results show that the raft oyster aquaculture system was high in emergy inputs and yield per unit area, whereas the long-line oyster aquaculture system was low in emergy inputs and yield per unit area. However, the transformities of the oysters from the raft oyster aquaculture system and the long-line aquaculture were similar, reflecting that both systems had a similar efficiency in using natural and economic resources. The oyster aquaculture systems had a different impact on the environment as inferred from the emergy indicators. The higher emergy yield ratio and low emergy loading ratio in the long-line oyster aquaculture system suggest that the system could gain more net benefit, and had a lower impact on the surrounding environment, than raft oyster aquaculture system, and can been considered to be more sustainable. Nevertheless, oyster aquaculture was a labor-intensive process and relied highly on purchased resources, such as labor and construction materials. If the construction materials could be used for a longer time, the oyster aquaculture systems might be more sustainable and environmentally friendly.
1. Introduction
Aquaculture is an important part of agriculture and has made great contributions to rural development, providing employment and increasing farmers’ income [1]. In recent years, the maricultural industry has been developing rapidly, and among the mariculture species, shellfish aquaculture has become the main economic source for fishers due to its low input cost and high yield. Oysters are filter-feeding bivalves and are widespread in coastal waters of temperate and subtropical seas and estuaries. Oysters have high nutritional, health and medicinal values and are farmed all over the world [2]. China is rich in oyster resources and has a long history of oyster aquaculture. Oyster production in China has increased steadily over the past few decades. In 2017, oyster production in China accounted for 83.3 percent of the world’s total [3]. In 2019, the export quantity of oysters in China was approximately 8.8 thousand tons [3].
Oyster aquaculture does not require any human input of food or medicines and has several positive effects on the marine environment, such as water filtration and shoreline stabilization [4,5]. Oysters can remove nutrients by filtering microbial particles or phytoplankton and increase the fluxes of nutrients and organic carbon to sediments [6]. In addition, oyster aquaculture can enhance phytoplankton diversity and effectively mitigate eutrophication and algal bloom in the farming areas [7]. The oyster reef restoration technique has been adopted as an effective ecological restoration tool to improve the water quality in the area of bay or estuary [8,9]. However, the explosive growth of the oyster culture has led to an increase in waste farming materials in coastal areas. This marine debris may threaten the marine wildlife and significantly reduce the aesthetics of the coastal line [10]. In the past, oyster aquaculture was a peaceful sight and the main aquaculture methods used were making racks or rafts in the intertidal zone. Nowadays, in order to maximize the utilization of sea areas and gain greater benefit, raft aquaculture and long-line aquaculture, which are set off-shore, are usually adopted by fishers. Oyster aquaculture in China is dominated by small-sized producers, which implies that there is difficulty in eliminating the competitive behavior of fishers [3]. The disordered development of oyster aquaculture has a negative impact on the surrounding environment, and the sustainability of aquaculture methods is increasingly of concern.
Sustainability means the sustainable use of natural and social resources [11]. Oyster aquaculture activity requires natural and economic inputs, and according to the sustainability concept, it is necessary to evaluate both qualities and compare in equivalent terms. Emergy synthesis, established by Odum, can be used to study the relationship between environment and economic system [12]. All input and output flows of the system evaluated, such as natural resources, services and economic inputs, are considered and transformed to the same units of measure, emergy, for comparison in the method. Then, a series of emergy indicators are calculated to reveal the efficiency and sustainability of the system [13]. Emergy synthesis has been successfully applied in crop production systems [14,15], fruit production systems [16] and aquaculture systems [17,18,19].
This study aims to quantify the contributions of the natural and economic inputs to the oyster aquaculture systems in Zhejiang provinces, China. Using emergy indicators, the sustainability of two oyster aquaculture systems are compared.
2. Materials and Methods
2.1. System Description
The study was carried out in Jiantiao Bay, which was located in the eastern Zhejiang Province, China (Figure 1). The bay is long, narrow, curved and is a suitable habitat for oysters. The oyster aquaculture is an important local industry in the bay and the aquaculture area has reached about 1.8 km2. Two species of oysters (Crassostrea hongkongensis and Crassostrea sikamea) are farmed commercially in the bay. Raft oyster aquaculture (ROA) and long-line oyster aquaculture (LLOA) are the main oyster aquaculture methods in the bay.
Figure 1.
Location of Jiantiao Bay.
From our survey, the ROA system was used for farming Hong Kong oysters (Crassostrea hongkongensis). The ROA system usually consists of 6 floating rafts, which were stringed together by nylon ropes. Then, the rafts were tied to anchors at the bottom of the sea in order to hold them in place. Each raft was made of 22 bamboo poles. In order to keep the raft afloat, approximately 26 floating balls, which were made by polystyrene foam, were set under the raft. Approximately 3000 concrete slabs attached with juvenile oysters, which were purchased from out of town, were hung on each raft. Oysters generally needed to be farmed in the aquaculture system for a year before they are ready for market. The aquaculture area of the ROA system was approximately 500 m2 and the annual yield of oysters was approximately 1.80 × 107 g.
The LLOA system was used for farming Kumamoto oysters (Crassostrea sikamea). The LLOA system consists of ropes and floating strips. The floating long-line was 60 m long, and approximately 360 tires attached with juvenile oysters, which were collected from the local intertidal zone, were hung on the long-line. The aquaculture system evaluated consisted of 22 long-lines. The end of each long-line was tied to wooden stakes at the bottom of the sea in order to keep them in place. The aquaculture area of the LLOA system was approximately 4200 m2 and the annual yield of oysters was approximately 3.96 × 107 g.
The intertidal zone was contracted out to local farmers. In addition to aquaculture, local farmers harvested wild oysters from the intertidal zone by hand when the tide went out. From our survey, the yield of oysters from the intertidal zone was approximately 5.0 × 106 g every 700 m2 per year.
Boats were needed in both oyster aquaculture systems for harvesting oysters or removing floating rubbish, which might influence the aquaculture systems as the systems were placed off-shore.
2.2. Emergy Analysis
Emergy analysis, which is based on the principles of general system theory, systems ecology and thermodynamics, was proposed as a new method for evaluating environment, resources and the eco-economic system by Odum [20]. The quantities, emergy and solar transformity, are defined in the theory in order to convert the different kinds of energy in the system being evaluated to the same basis. Emergy is defined as the amount of available energy needed in goods or services production, directly or indirectly. Solar transformity is defined as the solar emergy content per joule of goods or services.
After years of research, most of the goods have their appropriate solar transformities. However, as the science of the emergy synthesis matures, there are several geobiosphere emergy baselines (GEB) suggested by various researchers [12,21,22,23,24]. Different GEB may generate different solar transformities. In this research, a revised GEB of 12.0 × 1024 sej/y, suggested by Brown et al. [23], is adopted and all the solar transformities cited in the paper are converted to the updated and comparable values based on the GEB of 12.0 × 1024 sej/y.
2.3. Emergy Indicators
According to the emergy methodology [12], the input and output resources of the system can be classified as local renewable resources (R), local non-renewable resources (N), purchased resources (F) and yield (Y). Emergy indicators are suggested by emergy analysts to quantify and interpret the efficiency of different systems. The most frequently used indicators include percent renewable (%R), emergy yield ratio (EYR) and environmental loading ratio (ELR) [25,26,27,28].
The calculation formula is as follows:
Y = R + N + F
%R = 100 × R/Y
EYR = Y/F
ELR = (N + F)/R
%R is defined as the ratio of the renewable emergy inputs divided by the total emergy inputs required for generating a product or service. It is an indicator of sustainability. A higher value of %R means that the system being evaluated relies more on local renewable emergy and, usually, can last longer. EYR is defined as the ratio of the total emergy outputs divided by the imported emergy from economy. EYR provides an indication of the emergy benefit to society. A higher EYR value means that more free, local renewable and non-renewable emergy are needed in the system being evaluated, while a low EYR value means that the system relies more on imported emergy from the economy. ELR is defined as the ratio of local non-renewable emergy and imported emergy from the economy divided by the local renewable emergy required in the system being evaluated. ELR provides an indication of the potential stress that the system may have on the local ecological environment. A lower ELR value may be found in the system, which can maximize the utilization of local renewable emergy.
2.4. Data Collection
The data of the study was collected by household surveys from the local farmers in February 2022.
3. Results
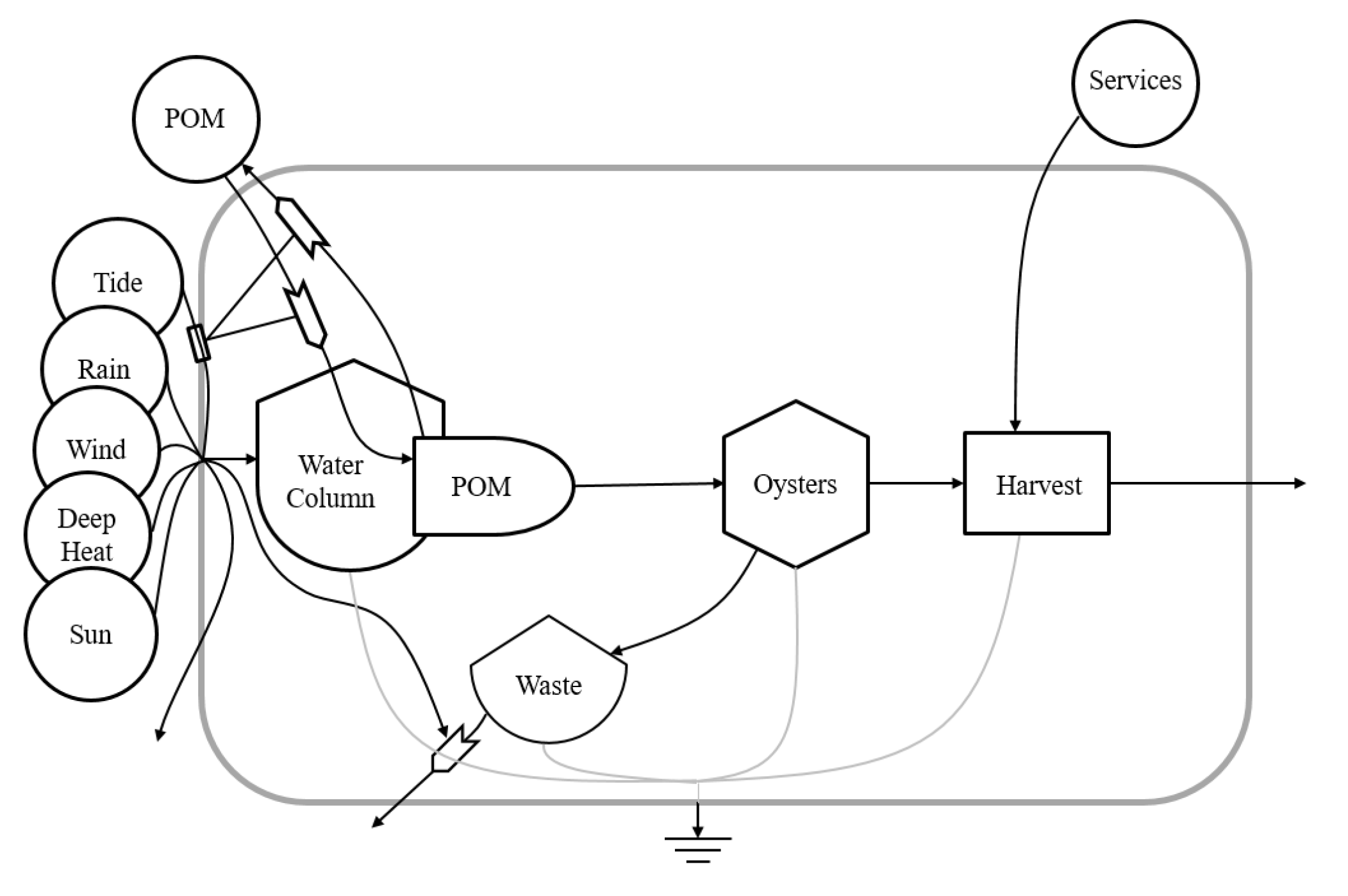
3.1. Energy System Diagram and Emergy Accounting
The energy system diagram of the wild oysters harvested from the intertidal zone is shown in Figure 2, while the diagrams of the ROA system and LLOA system are shown in Figure 3 and Figure 4. The energy system diagrams show the boundaries, driving sources, interactions of main components and the pathways of the energy flow of the systems. As the juvenile oysters were bought from out of town in the ROA system, they were defined as a purchased resource and were placed outside the system boundary; whereas in the LLOA system, the juvenile oysters were collected from the local intertidal zone and were defined as renewable resource. Therefore, the renewable flows in the natural system and the ROA system contained sunlight, tide, earth cycle, rain, wind and particulate organic matter (POM, as food for oysters), while in the LLOA system, juvenile oysters need to be included. The purchased inputs included boats, steel, fuels, labor and aquaculture facility construction materials, such as bamboo poles, PVC and concrete slabs in the ROA system or bamboo poles, PVC and rubber in the LLOA system.
Figure 2.
Energy system diagram of the oysters harvested from the intertidal zone.
Figure 3.
Energy system diagram of the raft oyster aquaculture system.
Figure 4.
Energy system diagram of the long-line oyster aquaculture system.
The emergy accounting tables corresponding to the energy system diagrams are shown in Table 1, Table 2 and Table 3. Different units for the components in the systems were multiplied by the appropriate solar transformities, derived from previous studies, to convert them to comparable solar emergy. The input flows of the aquaculture systems evaluated only contained renewable resources and purchased resources; no local non-renewable resources were required. The summary emergy synthesis results are shown in Figure 5.
Table 1.
Emergy accounting table of the wild oysters harvested from natural system.
Table 2.
Emergy accounting table of the raft oyster aquaculture system.
Table 3.
Emergy accounting table of the long-line oyster aquaculture system.
Figure 5.
Summary emergy synthesis results.
3.2. Renewable Emergy Flows
According to the emergy synthesis method, the geobiosphere tripartite (sunlight, earth cycle and tide emergy) were independent and separate sources, and could be added together, while rain and wind emergy were co-products of the geobiosphere tripartite, and only the largest emergy should be considered in order to avoid double accounting [29]. As the sum of the geobiosphere tripartite emergy was higher than rain or wind emergy, only the geobiosphere tripartite, together with POM and juvenile oysters (in the LLOA system), were taken as renewable driving emergy of the systems.
The comparison of the renewable emergy flows in the ROA and LLOA systems is shown in Figure 6. Tide emergy played an important role in both aquaculture systems because the oyster aquaculture systems were placed off-shore, and because of the high tidal range in the bay. A higher value of renewable emergy inputs was observed in the ROA system. The variation was mainly due to the higher POM emergy in the ROA system, which was regarded as food for oysters.
Figure 6.
Renewable emergy flows in the raft oyster aquaculture and long-line oyster aquaculture systems.
3.3. Purchased Emergy Flows
The comparison of the purchased emergy flows in the ROA and LLOA systems is shown in Figure 7. Purchased emergy flows had obvious differences in composition and intensity between the oyster aquaculture systems. The higher value of purchased emergy in the ROA system meant the higher intensity input of resources. In the ROA system, the top three purchased emergy were concrete slabs, labor and bamboo poles, while in the LLOA system, the top three purchased emergy were labor, PVC and rubber. Human work and the system construction materials were the main purchased emergy flows in both aquaculture systems.
Figure 7.
Purchased emergy flows in the raft oyster aquaculture and long-line oyster aquaculture systems.
3.4. Emergy Indicators
The transformity of wild oysters was 1.32 × 106 sej/J, which was close to the transformity of mollusks, with a value of 1.39 × 106 sej/J [30], while the transformity of harvested wild oyster was 1.58 × 106 sej/J. The transformities of oysters harvested from ROA and LLOA systems were 4.28 × 106 sej/J and 4.10 × 106 sej/J, respectively, and were approximately three times higher than the transformity of wild oysters, meaning there was a high intensity input of resources in the artificial aquaculure systems.
The transformities of the farmed oysters evaluated in the study were similar, but the emergy indicators were significantly different in both oyster aquaculture systems. The renewable emergy accounted for 10.61% and 30.07% of the total emergy, respectively, in the ROA system and LLOA system. Although the renewable emergy inputs were higher in the ROA system, a lower %R value was observed as compared with the LLOA system. This was mainly due to more human work and purchased resources being needed to operate the ROA system. The intensive purchased inputs also led to a lower EYR value and a higher ELR value observed in the ROA system (Table 4). The EYR of the ROA system and LLOA system were 2.31 and 1.53, respectively, while the ELR of the ROA system and LLOA system were 8.43 and 2.33, respectively.
Table 4.
Emergy indicators for natural system, raft oyster aquaculture system and long-line aquaculture system.
4. Discussions
The variation observed in the renewable emergy inputs was mainly due to the different amounts of POM that were needed, as the oysters were farmed at different densities in the ROA and LLOA systems. The ROA system had higher renewable emergy inputs, as the oysters in the system were more intensive and more POM resource was filtered. However, compared with the purchased emergy, the variation in renewable emergy inputs in both aquaculture systems was less conspicuous. The purchased emergy accounted for 89.39% and 69.93% of the total emergy in the ROA system and LLOA system, respectively, meaning both oyster aquaculture systems were highly dependent on external resources.
Unlike other aquaculture systems, oyster aquaculture depended heavily on human work [36,37]. The human work accounted for 30.79% and 34.70% of the total emergy inputs in the ROA system and LLOA system, respectively, which showed that oyster aquaculture was labor-intensive. Almost all of the work in the aquaculture process, such as constructing the aquaculture facilities, harvesting, or hanging the juvenile oysters to the facilities, was completed by hand. The level was significantly higher than the value of 7.4% to 16.8%, which was observed in marine shrimp farming systems [36], and the value of 0.01%, which was observed in tilapia cage farming systems [37], but was comparable to the results found in the oyster aquaculture systems in Chesapeake Bay, which had a level of 31.6% to 37.5% [38].
The construction materials were another important purchased emergy in both aquaculture systems. In the ROA system, the sum of bamboo poles, PVC and concrete slabs accounted for 45.24% of the total emergy inputs, while in LLOA system, the construction materials (bamboo poles, PVC and rubber) accounted for 27.34% of the total emergy inputs. It was a relatively high value compared to other aquaculture systems [36,37]. David et al. [37] reported that the infrastructure emergy only accounted for 2.95% to 7.52% of the total emergy inputs in tilapia cage farming systems, while the value of the shrimp farming system was 0.4% to 0.5% [36].
The transformities of oysters from previous literature are given in Table 5. Transformity measures how much emergy is needed to generate one unit of product or service. The transformities observed in the ROA and LLOA systems were comparable to the transformity of 4.45 × 106 sej/J obtained from the raft oysters system, but significantly lower than the transformity of 13.12 × 106 sej/J obtained from the button cage oysters system in Chesapeake Bay of USA, as reported by Williamson et al. [38]. The different transformities implied different ecological and commercial support were needed for the differing aquaculture methods [39]. Usually, a lower transformity means fewer resources were needed to produce the same products and could be seen as a measure of greater efficiency [40]. Insight from the transformities suggests that the ROA and LLOA systems had a similar efficiency, although the ROA system had a higher output of oysters per unit area.
Table 5.
Transformities of oysters from previous literatures.
EYR and ELR are designed to evaluate the sustainability of the system [41]. EYR provides a measure of the additional benefits to the environment, gained by investing resources. EYR is calculated as the ratio of the sum of free and purchased emergy (total emergy outputs) to the purchased emergy. Thus, if a system could use more free local resource, more net emergy could be gained, and a higher EYR value would be observed [42]. A lower EYR value (close to 1) found in the ROA system reflected that the system had a higher dependency on the purchased emergy and could not exploit the local resources efficiently compared with the LLOA system. ELR provides a measure of the disturbance of the investing activity to the local environmental. An ELR value that is less than or around two means low environmental impacts. An ELR value between three and ten means moderate environmental impacts, while an ELR value greater than ten means higher environmental impacts [41]. Based on the above categorization, it can be inferred that the LLOA system had a low impact on the surrounding environment, while the ROA system had a moderate impact on the surrounding environment. The environmental impacts of the oyster aquaculture systems were close to the inshore marine fish farming system with a EYR value of 5.0 [43], but significantly lower than the intensive shrimp farming system with a EYR value of 58.58 [36].
5. Conclusions
Different oyster aquaculture systems coexist in Jiantiao Bay. Oyster aquaculture is highly dependent on the ecological environment. In order to access the environmental sustainability of the oyster aquaculture systems, emergy synthesis was employed in the study as it allows both natural and economic contributions to be considered in the systems evaluated.
The ROA system had high emergy inputs and a higher yield of oysters per unit area than the LLOA system. However, the oyster aquaculture systems had similar efficiency in using natural and economic resources, as the transformity of oysters from the ROA system was similar to that of oysters from the LLOA system. Compared with other aquaculture systems, such as shrimp farming systems or fish farming systems, oyster aquaculture relied more on human work and was labor-intensive. The emergy of labor accounted for 30.79% and 34.70% of the total emergy inputs in the ROA and LLOA systems, respectively. Construction materials, such as bamboo poles, PVC, concrete slab and rubber, were another important purchased emergy and accounted for 45.24% and 27.34% of the total emergy inputs in the ROA and LLOA systems, respectively. Thus, if the system construction materials, especially concrete slab and rubber, could be used for a longer time, the oyster aquaculture systems might be more sustainable and environmentally friendly.
The emergy indicators showed that the oyster aquaculture systems had different environmental impacts. The LLOA system had a higher EYR value than the ROA system, suggesting that the LLOA system could exploit the local resources more efficiency and gain more net emergy from the environment than the ROA system. The ELR values suggested that the LLOA system had a low impact on the surrounding environment, while the ROA system had a moderate impact on the surrounding environment. The higher ELR value in the ROA system demonstrated that the ROA system had a relevant pressure on the surrounding environment and strongly depended on external resources supply compared to the LLOA system.
Author Contributions
Conceptualization, D.L.; Data curation, D.L.; Investigation, D.L. and Z.F.; Resources, Z.F. and L.S.; Software, W.M. and D.W.; Writing—original draft, D.L.; Writing—review and editing, J.C. All authors have read and agreed to the published version of the manuscript.
Funding
This research was funded by Scientific Research Fund of the Second Institute of Oceanography, MNR, grant number JG2110 and JG2217; National Natural Science Foundation of China, grant number 41706119.
Institutional Review Board Statement
Not applicable.
Informed Consent Statement
Not applicable.
Data Availability Statement
All data generated or analyzed during this study are included in this published article.
Acknowledgments
The authors would like to thank Xiaojian Huang for all the help.
Conflicts of Interest
The authors declare no conflict of interest.
Appendix A. Footnotes to Table 1
| Note | Item | Calculation | Units | Reference |
| 1 | Sunlight | |||
| Area | =7.00 × 102 | m2 | Local investigation | |
| Insolation | =5.41 × 109 | J/m2/yr | [44] | |
| Albedo(seawater) | =0.06 | [45] | ||
| Annual energy | =(area)(avg. insolation)(1-albedo) = 3.56 × 1012 | J/yr | ||
| Energy per unit area | =5.08 × 109 | J/m2/yr | ||
| 2 | Tide | |||
| Area | =7.00 × 102 | m2 | Local investigation | |
| Tides | =7.05 × 102 | tides/yr | [46] | |
| Tide range | =4.17 | m | [46] | |
| Density of seawater | =1.03 × 103 | kg/m3 | ||
| Gravity | =9.8 | m/s2 | ||
| Annual energy | =(area)(0.5)(tides/yr)(avg. tide range)2(density)(gravity) = 4.33 × 1010 | J/yr | ||
| Energy per unit area | =6.19 × 107 | J/m2/yr | ||
| 3 | Earth cycle | |||
| Area | =7.00 × 102 | m2 | Local investigation | |
| Heat flow | =2.00 × 106 | J/m2/yr | [29] | |
| Carnot efficiency | =9.50% | |||
| Annual energy | =(area)(heat flow)(carnot efficiency) = 1.33 × 108 | J/yr | ||
| Energy per unit area | =1.90 × 105 | J/m2/yr | ||
| 4 | Rain, chemical potential | |||
| Area | =7.00 × 102 | m2 | Local investigation | |
| Rainfall | =1.30 | m/yr | [44] | |
| Gibbs energy | =4.74 × 103 | J/kg | ||
| Annual energy | =(area)(rainfall)(1000 kg/m3)(gibbs energy of rain) = 4.31 × 109 | J/yr | ||
| Energy per unit area | =6.16 × 106 | J/m2/yr | ||
| 5 | Wind | |||
| Area | =7.00 × 102 | m2 | Local investigation | |
| Air density | =1.23 | kg/m3 | ||
| Drag coefficient | =1.64 × 10−3 | [47] | ||
| Geostrophic wind velocity | =10.4 | m/s | [29] | |
| Land wind velocity | =5.10 | m/s | [46] | |
| Annual energy | =(area)(air density)(drag coefficient)(wind velocity absorbed)3(31,500,000 s/yr) = 6.62 × 109 | J/yr | ||
| Energy per unit area | =9.46 × 106 | J/m2/yr | ||
| 6 | Particulate organic matter | |||
| Area | =7.00 × 102 | m2 | Local investigation | |
| Harvested oyster weight | =5.00 × 106 | g/yr | Local investigation | |
| Oyster meat weight (wet) | =5.00 × 105 | g/yr | Estimated as one over ten of the oyster weight | |
| Avg. oyster meat weight in growing season | =2.50 × 105 | g/yr | Estimated as half of the total weight | |
| Moisture content of oyster meat | =86% | USDA. Taken from https://fdc.nal.usda.gov/fdc-app.html#/food-details/175172/nutrients (accessed on 28 September 2022) | ||
| Water filtration rate | =0.17 | m3/g/d | [48] | |
| POC concentration | =0.3 | g/m3 | [49] | |
| Filtered water volume | =(avg. oyster meat weight in growing season)(1-moisture content)(water filtration rate) × 365 = 2.17 × 106 | m3/yr | ||
| Annual energy | =(1.724)(avg. POC concentration)(filtered water volume)(4.5 kcal/g)(4186 J/kcal) = 2.12 × 1010 | J/yr | ||
| Energy per unit area | =3.02 × 107 | J/m2/yr | ||
| 7 | Labor | |||
| Area | =7.00 × 102 | m2 | Local investigation | |
| Person hours | =48 | h/yr | Local investigation | |
| Annual energy | =(pers-hours)(2500 kcal/day)(4186 J/kcal)/(8 pers-hours/day) = 6.28 × 107 | J/yr | ||
| Energy per unit area | =8.97 × 104 | J/m2/yr | ||
| 8 | Wild Oysters | |||
| Area | =7.00 × 102 | m2 | Local investigation | |
| Harvested oyster weight | =5.00 × 106 | g/yr | Local investigation | |
| Oyster meat weight (wet) | =5.00 × 105 | g/yr | Estimated as one over ten of the oyster weight | |
| Energy content | =0.59 | kcal/g | USDA. Taken from https://fdc.nal.usda.gov/fdc-app.html#/food-details/175172/nutrients (accessed on 28 September 2022) | |
| Annual energy | =(meat weight)(energy content)(4186 J/kcal) = 1.23 × 109 | J/yr | ||
| Energy per unit area | =1.76 × 106 | J/m2/yr |
Appendix B. Footnotes to Table 2
| Note | Item | Calculation | Units | Reference |
| 1 | Sunlight | |||
| Area | =5.00 × 102 | m2 | Local investigation | |
| Insolation | =5.41 × 109 | J/m2/yr | [44] | |
| Albedo(seawater) | =0.06 | [45] | ||
| Annual energy | =(area)(avg. insolation)(1-albedo) = 2.54 × 1012 | J/yr | ||
| Energy per unit area | =5.08 × 109 | J/m2/yr | ||
| 2 | Tide | |||
| Area | =5.00 × 102 | m2 | Local investigation | |
| Tides | =7.05 × 102 | tides/yr | [46] | |
| Tide range | =4.17 | m | [46] | |
| Density of seawater | =1.03 × 103 | kg/m3 | ||
| Gravity | =9.8 | m/s2 | ||
| Annual energy | =(area)(0.5)(tides/yr)(avg. tide range)2(density)(gravity) = 3.09 × 1010 | J/yr | ||
| Energy per unit area | =6.19 × 107 | J/m2/yr | ||
| 3 | Earth cycle | |||
| Area | =5.00 × 102 | m2 | Local investigation | |
| Heat flow | =2.00 × 106 | J/m2/yr | [29] | |
| Carnot efficiency | =9.50% | |||
| Annual energy | =(area)(heat flow)(carnot efficiency) = 9.50 × 107 | J/yr | ||
| Energy per unit area | =1.90 × 105 | J/m2/yr | ||
| 4 | Rain, chemical potential | |||
| Area | =5.00 × 102 | m2 | Local investigation | |
| Rainfall | =1.30 | m/yr | [44] | |
| Gibbs energy | =4.74 × 103 | J/kg | ||
| Annual energy | =(area)(rainfall)(1000 kg/m3)(gibbs energy of rain) = 3.08 × 109 | J/yr | ||
| Energy per unit area | =6.16 × 106 | J/m2/yr | ||
| 5 | Wind | |||
| Area | =5.00 × 102 | m2 | Local investigation | |
| Air density | =1.23 | kg/m3 | ||
| Drag coefficient | =1.64 × 10−3 | [47] | ||
| Geostrophic wind velocity | =10.4 | m/s | [29] | |
| Land wind velocity | =5.10 | m/s | [29] | |
| Annual energy | =(area)(air density)(drag coefficient)(wind velocity absorbed)3(31,500,000 s/yr) = 4.73 × 109 | J/yr | ||
| Energy per unit area | =9.46 × 106 | J/m2/yr | ||
| 6 | Particulate organic matter | |||
| Area | =5.00 × 102 | m2 | Local investigation | |
| Harvested oyster weight | =1.80 × 107 | g/yr | Local investigation | |
| Oyster meat weight (wet) | =1.80 × 106 | g/yr | Estimated as one over ten of the oyster weight | |
| Avg. oyster meat weight in growing season | =9.00 × 105 | g/yr | Estimated as half of the total weight | |
| Moisture content of oyster meat | =86% | USDA. Taken from https://fdc.nal.usda.gov/fdc-app.html#/food-details/175172/nutrients (accessed on 28 September 2022) | ||
| Water filtration rate | =0.17 | m3/g/d | [48] | |
| POC concentration | =0.3 | g/m3 | [49] | |
| Filtered water volume | =(avg. oyster meat weight in growing season)(1-moisture content)(water filtration rate)(365 d/yr) = 7.82 × 106 | m3/yr | ||
| Annual energy | =(1.724)(avg. POC concentration)(filtered water volume)(4.5 kcal/g)(4186 J/kcal) = 7.62 × 1010 | J/yr | ||
| Energy per unit area | =1.52 × 108 | J/m2/yr | ||
| 7 | Bamboo poles | |||
| Area | =5.00 × 102 | m2 | Local investigation | |
| Total weight | =3.30 × 103 | kg | Local investigation | |
| Replacement period | =1 | yr | Local investigation | |
| Annual bamboo poles weight | (total weight)/(replacement period) = 3.30 × 103 | kg/yr | ||
| Weight per unit area | =6.60 | kg/m2/yr | ||
| 8 | PVC | |||
| Area | =5.00 × 102 | m2 | Local investigation | |
| Rope weight | =1.20 × 105 | g | Local investigation | |
| Rope replacement period | =1 | yr | Local investigation | |
| Folating ball weight | =1.40 × 105 | g | Local investigation | |
| Folating ball replacement period | =6 | yr | Local investigation | |
| Annual PVC weight | =(rope weight)/(rope replacement period) + (folating ball weight)/(folating ball replacement period) = 1.43 × 105 | g/yr | ||
| Weight per unit area | =2.87 × 102 | g/m2/yr | ||
| 9 | Concrete slabs | |||
| Area | =5.00 × 102 | m2 | Local investigation | |
| Total weight | =4.32 × 106 | g | Local investigation | |
| Replacement period | =1 | yr | Local investigation | |
| Annual concrete slabs weight | =(total weight)/(replacement period) = 4.32 × 106 | g/yr | ||
| Weight per unit area | =8.64 × 103 | g/m2/yr | ||
| 10 | Wood | |||
| Area | =5.00 × 102 | m2 | Local investigation | |
| Total wooden boat weight | =3.75 × 105 | g | Local investigation | |
| Replacement period | =10 | yr | Local investigation | |
| Annual energy | =(total weight)(4.5 kcal/g)(4186 J/kcal)/(replacement period) = 7.06 × 108 | J/yr | ||
| Energy per unit area | =1.41 × 106 | J/m2/yr | ||
| 11 | Steel | |||
| Area | =5.00 × 102 | m2 | Local investigation | |
| Anchors weight | =4.80 × 105 | g | Local investigation | |
| Anchors replacement period | =6.00 | yr | Local investigation | |
| Machinery weight | =1.00 × 105 | g | Local investigation | |
| Machinery replacement period | =15 | yr | Local investigation | |
| Annual steel weight | =(anchors weight)/(anchors replacement period) + (machinery weight)/(machinery replacement period) = 8.67 × 104 | g/yr | ||
| Weight per unit area | 1.73 × 102 | g/m2/yr | ||
| 12 | Fuels, gasoline | |||
| Area | =5.00 × 102 | m2 | Local investigation | |
| Total volume | =2.60 × 102 | L/yr | Local investigation | |
| Density | =0.73 | kg/L | ||
| Energy content | =4.60 × 107 | J/kg | ||
| Total energy | =(volume)(density)(energy content) = 8.73 × 109 | J/yr | ||
| Energy per unit area | =1.75 × 107 | J/m2/yr | ||
| 13 | Juvenile Oysters | |||
| Area | =5.00 × 102 | m2 | Local investigation | |
| Juvenile oyster meat weight (wet) | =2.34 × 105 | g/yr | Local investigation | |
| Energy content | =0.59 | kcal/g | USDA. Taken from https://fdc.nal.usda.gov/fdc-app.html#/food-details/175172/nutrients (accessed on 28 September 2022) | |
| Annual energy | =(weight)(energy content)(4186 J/kcal) = 5.78 × 108 | J/yr | ||
| Energy per unit area | =1.16 × 106 | J/m2/yr | ||
| 14 | Labor | |||
| Area | =5.00 × 102 | m2 | Local investigation | |
| Person hours | =8.54 × 102 | h/yr | Local investigation | |
| Annual energy | =(pers-hours)(2500 kcal/day)(4186 J/kcal)/(8 pers-hours/day) = 1.12 × 109 | J/yr | ||
| Energy per unit area | 2.23 × 106 | J/m2/yr | ||
| 15 | Oysters | |||
| Area | =5.00 × 102 | m2 | Local investigation | |
| Harvested oyster weight | =1.80 × 107 | g/yr | Local investigation | |
| Oyster meat weight (wet) | =1.80 × 106 | g/yr | Estimated as one over ten of the oyster weight | |
| Energy content | =0.59 | kcal/g | USDA. Taken from https://fdc.nal.usda.gov/fdc-app.html#/food-details/175172/nutrients (accessed on 28 September 2022) | |
| Annual energy | =(meat weight)(energy content)(4186 J/kcal) = 4.45 × 109 | J/yr | ||
| Energy per unit area | = 8.89 × 106 | J/m2/yr |
Appendix C. Footnotes to Table 3
| Note | Item | Calculation | Units | Reference |
| 1 | Sunlight | |||
| Area | =4.20 × 103 | m2 | Local investigation | |
| Insolation | =5.41 × 109 | J/m2/yr | [44] | |
| Albedo(seawater) | =0.06 | [45] | ||
| Annual energy | =(area)(avg. insolation)(1-albedo) = 2.13 × 1013 | J/yr | ||
| Energy per unit area | =5.08 × 109 | J/m2/yr | ||
| 2 | Tide | |||
| Area | =4.20 × 103 | m2 | Local investigation | |
| Tides | =7.05 × 102 | tides/yr | [46] | |
| Tide range | =4.17 | m | [46] | |
| Density of seawater | =1.03 × 103 | kg/m3 | ||
| Gravity | =9.8 | m/s2 | ||
| Annual energy | =(area)(0.5)(tides/yr)(avg. tide range)2(density)(gravity) = 2.60 × 1011 | J/yr | ||
| Energy per unit area | =6.19 × 107 | J/m2/yr | ||
| 3 | Earth cycle | |||
| Area | =4.20 × 103 | m2 | Local investigation | |
| Heat flow | =2.00 × 106 | J/m2/yr | [29] | |
| Carnot efficiency | =9.50% | |||
| Annual energy | =(area)(heat flow)(carnot efficiency) = 7.98 × 108 | J/yr | ||
| Energy per unit area | =1.90 × 105 | J/m2/yr | ||
| 4 | Rain, chemical potential | |||
| Area | =4.20 × 103 | m2 | Local investigation | |
| Rainfall | =1.30 | m/yr | [44] | |
| Gibbs energy | =4.74 × 103 | J/kg | ||
| Annual energy | =(area)(rainfall)(1000 kg/m3)(gibbs energy of rain) = 2.59 × 1010 | J/yr | ||
| Energy per unit area | =6.16 × 106 | J/m2/yr | ||
| 5 | Wind | |||
| Area | =4.20 × 103 | m2 | Local investigation | |
| Air density | =1.23 | kg/m3 | ||
| Drag coefficient | =1.64 × 10−3 | [47] | ||
| Geostrophic wind velocity | =10.4 | m/s | [29] | |
| Land wind velocity | =5.10 | m/s | [46] | |
| Annual energy = | =(area)(air density)(drag coefficient)(wind velocity absorbed)3(31,500,000 s/yr) = 3.97 × 1010 | J/yr | ||
| Energy per unit area | =9.46 × 106 | J/m2/yr | ||
| 6 | Particulate organic matter | |||
| Area | =4.20 × 103 | m2 | Local investigation | |
| Harvested oyster weight | =3.96 × 107 | g/yr | Local investigation | |
| Oyster meat weight (wet) | =3.96 × 106 | g/yr | Estimated as one over ten of the oyster weight | |
| Avg. oyster meat weight in growing season | =1.98 × 106 | g/yr | Estimated as half of the total weight | |
| Moisture content | =86% | USDA. Taken from https://fdc.nal.usda.gov/fdc-app.html#/food-details/175172/nutrients (accessed on 28 September 2022) | ||
| Water filtration rate | =0.17 | m3/g/d | [48] | |
| POC concentration | 0.3 | g/m3 | [49] | |
| Filtered water volume | =(avg. oyster meat weight in growing season)(1-moisture content)(water filtration rate)(365 d/yr) = 1.72 × 107 | m3/yr | ||
| Annual energy | =(1.724)(avg. POC concentration)(filtered water volume)(4.5 kcal/g)(4186 J/kcal) = 1.68 × 1011 | J/yr | ||
| Energy per unit area | =3.99 × 107 | J/m2/yr | ||
| 7 | Juvenile Oysters | |||
| Area | =4.20 × 103 | m2 | Local investigation | |
| Juvenile oyster meat weight (wet) | =5.15 × 105 | g/yr | Local investigation | |
| Energy content | =0.59 | kcal/g | USDA. Taken from https://fdc.nal.usda.gov/fdc-app.html#/food-details/175172/nutrients (accessed on 28 September 2022) | |
| Annual energy | =(weight)(energy content)(4186 J/kcal) = 1.27 × 109 | J/yr | ||
| Energy per unit area | =3.03 × 105 | J/m2/yr | ||
| 8 | Bamboo poles | |||
| Area | =4.20 × 103 | m2 | Local investigation | |
| Total weight | =4.12 × 102 | kg | Local investigation | |
| Replacement period | =2 | yr | Local investigation | |
| Annual bamboo poles weight | =(total weight)/(replacement period) = 2.06 × 102 | kg/yr | ||
| Weight per unit area | =4.90 × 10−2 | kg/m2/yr | ||
| 9 | PVC | |||
| Area | =4.20 × 103 | m2 | Local investigation | |
| Rope weight | =7.48 × 105 | g | Local investigation | |
| Rope replacement period | =1 | yr | Local investigation | |
| Foam filling strips weight | =1.99 × 105 | g | Local investigation | |
| Foam filling strips replacement period | =6 | yr | Local investigation | |
| Annual PVC weight | =(rope weight)/(rope replacement period) + (foam filling strips weight)/(foam filling strips replacement period) = 7.81 × 105 | g/yr | ||
| Weight per unit area | =1.86 × 102 | g/m2/yr | ||
| 10 | Tires | |||
| Area | =4.20 × 103 | m2 | Local investigation | |
| Total weight | =2.77 × 106 | g | Local investigation | |
| Rope replacement period | =3 | yr | Local investigation | |
| Annual concrete slabs weight | =(total weight)/(replacement period) = 9.23 × 105 | g/yr | ||
| Weight per unit area | 2.20 × 102 | g/m2/yr | ||
| 11 | Wood | |||
| Area | =4.20 × 103 | m2 | Local investigation | |
| Total wooden boat weight | =3.75 × 105 | g | Local investigation | |
| Replacement period | =10 | yr | Local investigation | |
| Annual energy | =(total weight)(4.5 kcal/g)(4186 J/kcal)/(replacement period) = 7.06 × 108 | J/yr | ||
| Energy per unit area | =1.68 × 105 | J/m2/yr | ||
| 12 | Steel | |||
| Area | =4.20 × 103 | m2 | Local investigation | |
| Machinery weight | =1.00 × 105 | g | Local investigation | |
| Machinery replacement period | =15 | yr | Local investigation | |
| Annual steel weight | =(machinery weight)/(machinery replacement period) = 6.67 × 103 | g/yr | ||
| Weight per unit area | =1.59 | g/m2/yr | ||
| 13 | Fuels, gasoline | |||
| Area | =4.20 × 103 | m2 | Local investigation | |
| Total volume | =6.24 × 102 | L/yr | Local investigation | |
| Density | =0.73 | kg/L | ||
| Energy content | =4.60 × 107 | J/kg | ||
| Total energy | =(volume)(density)(energy content) = 2.10 × 1010 | J/yr | ||
| Energy per unit area | =4.99 × 106 | J/m2/yr | ||
| 14 | Labor | |||
| Area | =4.20 × 103 | m2 | Local investigation | |
| Person hours | =2.03 × 103 | h/yr | Local investigation | |
| Annual energy | =(pers-hours)(2500 kcal/day)(4186 J/kcal)/(8 pers-hours/day) = 2.66 × 109 | J/yr | ||
| Energy per unit area | 6.32 × 105 | J/m2/yr | ||
| 15 | Oysters | |||
| Area | =4.20 × 103 | m2 | Local investigation | |
| Harvested oyster weight | =3.96 × 107 | g/yr | Local investigation | |
| Oyster meat weight (wet) | =3.96 × 106 | g/yr | Estimated as one over ten of the oyster weight | |
| Energy content | =0.59 | kcal/g | USDA. Taken from https://fdc.nal.usda.gov/fdc-app.html#/food-details/175172/nutrients (accessed on 28 September 2022) | |
| Annual energy | =(meat weight)(energy content)(4186 J/kcal) = 9.78 × 109 | J/yr | ||
| Energy per unit area | = 2.33 × 106 | J/m2/yr |
References
- Pierce, J.; Robinson, G. Oysters thrive in the right environment: The social sustainability of oyster farming in the Eyre Peninsula, South Australia. Mar. Policy 2013, 37, 77–85. [Google Scholar] [CrossRef]
- Botta, R.; Asche, F.; Borsum, J.S.; Camp, E.V. A review of global oyster aquaculture production and consumption. Mar. Policy 2020, 117, 103952. [Google Scholar] [CrossRef]
- Peng, D.; Zhang, S.; Zhang, H.; Pang, D.; Yang, Q.; Jiang, R.; Lin, Y.; Mu, Y.; Zhu, Y. The oyster fishery in China: Trend, concerns and solutions. Mar. Policy 2021, 129. [Google Scholar] [CrossRef]
- Drexler, M.; Parker, M.L.; Geiger, S.P.; Arnold, W.S.; Hallock, P. Biological Assessment of Eastern Oysters (Crassostrea virginica ) Inhabiting Reef, Mangrove, Seawall, and Restoration Substrates. Estuaries. Coast. 2014, 37, 962–972. [Google Scholar] [CrossRef]
- La Peyre, M.K.; Buie, S.C.L.; Rossi, R.E.; Roberts, B.J. Long-term assessments are critical to determining persistence and shoreline protection from oyster reef nature-based coastal defenses. Ecol. Eng. 2022, 178. [Google Scholar] [CrossRef]
- Chakraborty, P. Oyster reef restoration in controlling coastal pollution around India: A viewpoint. Mar. Pollut. Bull. 2017, 115, 190–193. [Google Scholar] [CrossRef]
- Jiang, Z.; Du, P.; Liao, Y.; Liu, Q.; Chen, Q.; Shou, L.; Zeng, J.; Chen, J. Oyster farming control on phytoplankton bloom promoted by thermal discharge from a power plant in a eutrophic, semi-enclosed bay. Water Res. 2019, 159, 1–9. [Google Scholar] [CrossRef]
- Kellogg, M.L.; Smyth, A.R.; Luckenbach, M.W.; Carmichael, R.H.; Brown, B.L.; Cornwell, J.C.; Piehler, M.F.; Owens, M.S.; Dalrymple, D.J.; Higgins, C.B. Use of oysters to mitigate eutrophication in coastal waters. Estuar. Coast. Shelf Sci. 2014, 151, 156–168. [Google Scholar] [CrossRef]
- Liu, M.; Wang, Z.; Zhang, G. Nitrogen removal through oyster cultivation: Integration with artificial fertilization makes it more efficient. Sci. Total Environ. 2021, 792, 148057. [Google Scholar] [CrossRef]
- Liu, T.-K.; Kao, J.-C.; Chen, P. Tragedy of the unwanted commons: Governing the marine debris in Taiwan’s oyster farming. Mar. Policy 2015, 53, 123–130. [Google Scholar] [CrossRef]
- Valenti, W.C.; Kimpara, J.M.; Preto, B.d.L.; Moraes-Valenti, P. Indicators of sustainability to assess aquaculture sys-tems. Ecol. Indic. 2018, 88, 402–413. [Google Scholar] [CrossRef]
- Odum, H.T. Environmental Accounting, Emergy and Decision Making; John Wiley: New York, NY, USA, 1996; p. 370. [Google Scholar]
- Edrisi, S.A.; Sahiba, S.A.; Chen, B.; Abhilash, P. Emergy-based sustainability analysis of bioenergy production from marginal and degraded lands of India. Ecol. Model. 2022, 466, 109903. [Google Scholar] [CrossRef]
- Wang, X.; Chen, Y.; Sui, P.; Gao, W.; Qin, F.; Zhang, J.; Wu, X. Emergy analysis of grain production systems on large-scale farms in the North China Plain based on LCA. Agric. Syst. 2014, 128, 66–78. [Google Scholar] [CrossRef]
- Zhang, X.-H.; Zhang, R.; Wu, J.; Zhang, Y.-Z.; Lin, L.-L.; Deng, S.-H.; Li, L.; Yang, G.; Yu, X.-Y.; Qi, H.; et al. An emergy evaluation of the sustainability of Chinese crop production system during 2000–2010. Ecol. Indic. 2016, 60, 622–633. [Google Scholar] [CrossRef]
- de Barros, I.; Blazy, J.M.; Rodrigues, G.S.; Tournebize, R.; Cinna, J.P. Emergy evaluation and economic performance of banana cropping systems in Guadeloupe (French West Indies). Agric. Ecosyst. Environ. 2009, 129, 437–449. [Google Scholar] [CrossRef]
- Zhao, S.; Song, K.; Gui, F.; Cai, H.; Jin, W.; Wu, C. The emergy ecological footprint for small fish farm in China. Ecol. Indic. 2013, 29, 62–67. [Google Scholar] [CrossRef]
- Wilfart, A.; Prudhomme, J.; Blancheton, J.-P.; Aubin, J. LCA and emergy accounting of aquaculture systems: Towards ecological intensification. J. Environ. Manag. 2013, 121, 96–109. [Google Scholar] [CrossRef]
- He, Z.; Jiang, L.; Wang, Z.; Zeng, R.; Xu, D.; Liu, J. The emergy analysis of southern China agro-ecosystem and its rela-tion with its regional sustainable development. Glob. Ecol. Conserv. 2019, 20, e00721. [Google Scholar] [CrossRef]
- Odum, H.T. Self-organization, transformity and information. Science 1988, 242, 1132–1139. [Google Scholar] [CrossRef]
- Brown, M.T.; Ulgiati, S. Assessing the global environmental sources driving the geobiosphere: A revised emergy base-line. Ecol. Model. 2016, 339, 126–132. [Google Scholar] [CrossRef]
- Brown, M.T.; Ulgiati, S. Updated evaluation of exergy and emergy driving the geobiosphere: A review and refinement of the emergy baseline. Ecol. Model. 2010, 221, 2501–2508. [Google Scholar] [CrossRef]
- Brown, M.T.; Campbell, D.E.; Vilbiss, C.D.; Ulgiatic, S. The geobiosphere emergy baseline: A synthesis. Ecol. Model. 2016, 339, 92–95. [Google Scholar] [CrossRef]
- Odum, H.T. Emergy of Global Processes. Folio #2: Handbook of Emergy Evaluation: A Compendium of Data for Emergy Computation Issued in a Series of Folios; Center for Environmental Policy, University of Florida: Gainesville, FL, USA, 2000; p. 28. [Google Scholar]
- Liu, S.; Min, Q.; Jiao, W.; Liu, C.; Yin, J. Integrated Emergy and Economic Evaluation of Huzhou Mulberry-Dyke and Fish-Pond Systems. Sustainability 2018, 10, 3860. [Google Scholar] [CrossRef]
- dos Reis, B.Q.; Moreno, D.A.R.; Nacimento, R.A.; Luiz, V.T.; Alves, L.K.S.; Giannetti, B.F.; Gameiro, A.H. Economic and Environmental Assessment Using Emergy of Sheep Production in Brazil. Sustainability 2021, 13, 11595. [Google Scholar] [CrossRef]
- Rui, X.; Geng, Y.; Zhuang, M.; Xiao, S.; Sun, X. Emergy-based environmental accounting of graphite anode material production. J. Clean. Prod. 2022, 339. [Google Scholar] [CrossRef]
- Gu, X.; Wang, Y.; Shi, K.; Ke, F.; Ying, S.; Lai, Q. Emergy-Based Sustainability Evaluation of the Mulberry-Dyke and Fish-Pond System on the South Bank of Taihu Lake, China. Sustainability 2022, 14, 10463. [Google Scholar] [CrossRef]
- Brown, M.T.; Ulgiati, S. Emergy assessment of global renewable sources. Ecol. Model. 2016, 339, 148–156. [Google Scholar] [CrossRef]
- Brown, M.T.; Ulgiati, S. Emergy, Transformity, and Ecosystem Health. In Handbook of Eco-Logical Indicators for Assessment of Ecosystem Health; Elsevier: New York, NY, USA, 2004. [Google Scholar]
- Ingwersen, W. Uncertainty characterization for emergy values. Ecol. Model. 2010, 221, 445–452. [Google Scholar] [CrossRef]
- Liu, Y. Emergy-based Evaluation of Industrial Model Selection in Natural Protected Area- a Case Study of Wuyishan Mountain; Beijing Normal University: Beijing, China, 2008. (In Chinese) [Google Scholar]
- Brown, M.; Buranakarn, V. Emergy indices and ratios for sustainable material cycles and recycle options. Resour. Conserv. Recycl. 2003, 38, 1–22. [Google Scholar] [CrossRef]
- Pulselli, R.M.; Simoncini, E.; Ridolfi, R.; Bastianoni, S. Specific emergy of cement and concrete: An energy-based ap-praisal of building materials and their transport. Ecol. Indic. 2008, 8, 647–656. [Google Scholar] [CrossRef]
- Brown, M.T.; Protano, G.; Ulgiati, S. Assessing geobiosphere work of generating global reserves of coal, crude oil, and natural gas. Ecol. Model. 2011, 222, 879–887. [Google Scholar] [CrossRef]
- Lima, J.S.G.; Rivera, E.C.; Focken, U. Emergy evaluation of organic and conventional marine shrimp farms in Guaraíra Lagoon, Brazil. J. Clean. Prod. 2012, 35, 194–202. [Google Scholar] [CrossRef]
- David, L.H.C.; Pinho, S.M.; Garcia, F. Improving the sustainability of tilapia cage farming in Brazil: An emergy ap-proach. J. Clean. Prod. 2018, 201, 1012–1018. [Google Scholar] [CrossRef]
- Williamson, T.R.; Tilley, D.R.; Campbell, E. Emergy analysis to evaluate the sustainability of two oyster aquaculture systems in the Chesapeake Bay. Ecol. Eng. 2015, 85, 103–120. [Google Scholar] [CrossRef]
- Baral, A.; Bakshi, B.R. Emergy analysis using US economic input–output models with applications to life cycles of gaso-line and corn ethanol. Ecol. Model. 2010, 221, 1807–1818. [Google Scholar] [CrossRef]
- Zhang, L.; Ulgiati, S.; Yang, Z.; Chen, B. Emergy evaluation and economic analysis of three wetland fish farming systems in Nansi Lake area, China. J. Environ. Manag. 2011, 92, 683–694. [Google Scholar] [CrossRef]
- Brown, M.T.; Ulgiati, S. Emergy Analysis and Environmental Accounting. In Encyclopedia of Energy; Elsevier: Amsterdam, The Netherlands, 2004; pp. 329–354. [Google Scholar] [CrossRef]
- Amiri, Z.; Asgharipour, M.R.; Campbell, D.E.; Armin, M. A sustainability analysis of two rape seed farming ecosystems in Khorramabad, Iran, based on emergy and economic analyses. J. Clean.Prod. 2019, 226, 1051–1066. [Google Scholar] [CrossRef]
- Vassallo, P.; Bastianoni, S.; Beiso, I.; Ridolfi, R.; Fabiano, M. Emergy analysis for the environmental sustainability of an inshore fish farming system. Ecol. Indic. 2007, 7, 290–298. [Google Scholar] [CrossRef]
- TSY, Taizhou Statistical Yearbook; China Statistics Press: Beijing, China, 2021. (In Chinese)
- Payne, R.E. Albedo of the sea surface. J. Atmos. Sci. 1972, 29, 959–970. [Google Scholar] [CrossRef]
- Yang, S.; Chen, P. Characteristics of Natural Environment and Sustainable Utilization of Resources in Sanmen Bay; China Ocean University Press: Qingdao, China, 2018. (In Chinese) [Google Scholar]
- Garratt, J.R. The Atmospheric Boundary Layer. Cambridge Atmospheric and Space Science Series; Cambridge Univer-sity Press: Cambridge, UK, 1992. [Google Scholar]
- Ehrich, M.K.; Harris, L.A. A review of existing eastern oyster filtration rate models. Ecol. Model. 2015, 297, 201–212. [Google Scholar] [CrossRef]
- Jin, H.; Lin, Y.; Chen, J.; Jin, M. Analysis of driving factors and distribution of particulate organic carbon in the Huanghai Sea and the East China Sea. Acta Geol. Sin. 2005, 27, 46–53. (In Chinese) [Google Scholar]
Publisher’s Note: MDPI stays neutral with regard to jurisdictional claims in published maps and institutional affiliations. |
© 2022 by the authors. Licensee MDPI, Basel, Switzerland. This article is an open access article distributed under the terms and conditions of the Creative Commons Attribution (CC BY) license (https://creativecommons.org/licenses/by/4.0/).






