Study on the Influence of Seismic Wave Parameters on the Dynamic Response of Anti-Dip Bedding Rock Slopes under Three-Dimensional Conditions
Abstract
:1. Introduction
2. Three-Dimensional Discrete Element Modeling
2.1. Overview of the Model
2.2. Dynamic Setting
2.3. Loading Conditions
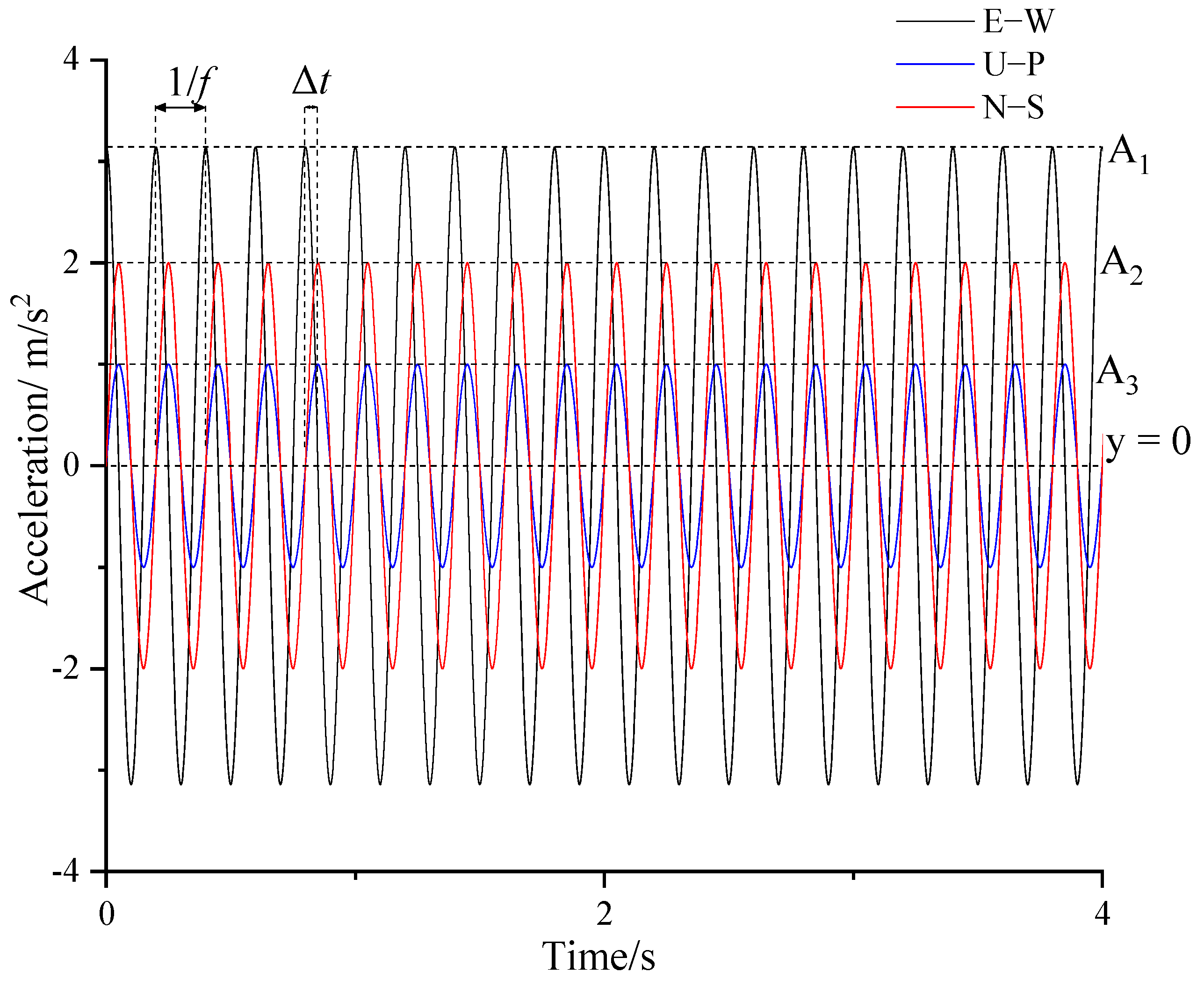
2.3.1. Univariate Analysis
2.3.2. Orthogonal Test Analysis
2.4. Arrangement of Monitoring Points
3. Influence of Seismic Wave Parameters on the Dynamic Response of the Slope
3.1. Effect of S-Wave’s Amplitude As
3.2. Effect of the S-Wave’s Incident Direction γ
3.3. Effect of Seismic Wave Frequency f
3.4. Effect of Seismic Wave Holding Time T
3.5. Effect of Time Difference Δt between the P-Wave’s Peak and the S-Wave’ Peak
4. Sensitivity Analysis of Seismic Wave Parameters on the Dynamic Responses of Slopes
4.1. Range Analysis
4.2. Multiple Regression Analysis of the Acceleration Amplification Effect of the Slope
5. Conclusions
- The amplitude As and the holding time T of the seismic S-wave are positively correlated with the acceleration amplification effect of the slope, but the acceleration amplification effect of the slope remains unchanged after the latter reaches 3 s. The increase of the S-wave’s incident angle γ changes the distribution law of the acceleration amplification effect along the horizontal direction inside the slope. With the increase of frequency f and the time difference Δt between the peak of the P-wave and the S-wave, the acceleration amplification effect of the slope is first enhanced and then weakened.
- The S-wave’s incident angle γ is negatively correlated with the slope displacement. The increase of frequency f and the time difference Δt between the peak of the P-wave and the S-wave will lead to the first increase and then decrease of the slope Y-directional displacement.
- The sensitivity of each seismic wave parameter is ranked as follows: S-wave’s amplitude As > frequency f > S-wave’s incident angle γ > time difference between the P-wave’s and the S-wave’s peak Δt > holding time T. The S-wave’s amplitude As of seismic wave is the most critical factor in the slope dynamic response.
- The linear regression equation of the Y-directional acceleration amplification coefficient at the shoulder of the anti-dip rock slope obtained by using multiple regression analysis is . This equation can be adopted to empirically evaluate the magnitude of the dynamic response of the anti-dip rock slope under seismic action, and then provide a theoretical basis for slope stability evaluation.
Author Contributions
Funding
Institutional Review Board Statement
Informed Consent Statement
Data Availability Statement
Conflicts of Interest
References
- Zhang, Z. Principles of Engineering Geological Analysis; Press Geology: Beijing, China, 2009. [Google Scholar]
- Huang, R. Geodynamic process and stability control of high rock slope development. Chin. J. Rock Mech. Eng. 2008, 27, 1525–1544. [Google Scholar]
- Xue, Y.; Kong, F.; Yang, W.; Qiu, D.; Su, M.; Fu, K.; Ma, X. Main unfavorable geological conditions and engineering geological problems along Sichuan—Tibet railway. Chin. J. Rock Mech. Eng. 2020, 39, 445–468. [Google Scholar]
- Huang, F.; Huang, J.; Jiang, S.; Zhou, C. Landslide displacement prediction based on multivariate chaotic model and extreme learning machine. Eng. Geol. 2017, 218, 173–186. [Google Scholar] [CrossRef]
- Huang, F.; Tao, S.; Chang, Z.; Huang, J.; Fan, X.; Jiang, S.-H.; Li, W. Efficient and automatic extraction of slope units based on multi–scale segmentation method for landslide assessments. Landslides 2021, 18, 3715–3731. [Google Scholar] [CrossRef]
- Guo, Z.; Shi, Y.; Huang, F.; Fan, X.; Huang, J. Landslide susceptibility zonation method based on C5. 0 decision tree and K–means cluster algorithms to improve the efficiency of risk management. Geosci. Front. 2021, 12, 101249. [Google Scholar] [CrossRef]
- Huang, F.; Chen, J.; Liu, W.; Huang, J.; Hong, H.; Chen, W. Regional rainfall–induced landslide hazard warning based on landslide susceptibility mapping and a critical rainfall threshold. Geomorphology 2022, 408, 108236. [Google Scholar] [CrossRef]
- Li, Z.; Hu, Z.; Liu, W.; Hu, G.; Du, S.; Zhou, Y. Plastic limit analysis of open–pit mine jointed rock slope considering translation–rotation mechanisms. Chin. J. Rock Mech. Eng. 2018, 37, 4056–4068. [Google Scholar]
- Xiao, S.; Liu, H.; Yu, X. Analysis method of seismic overall stability of soil slopes retained by gravity walls anchored horizontally with flexible reinforcements. Rock Soil Mech. 2020, 41, 1836–1844. [Google Scholar]
- He, J. Research on Structural Effects of Ground Vibration Response Law of Slope. Ph.D. Thesis, Institute of Geology and Geophysics, Chinese Academy of Sciences, Beijing, China, 2020. [Google Scholar]
- Yang, C.; Zhang, J.; Zhou, D. Research on time–frequency analysis method for seismic stability of rock slope subjected to SV wave. Chin. J. Rock Mech. Eng. 2013, 32, 483–491. [Google Scholar]
- Newmark, N.M. Effects of earthquakes on dams and embankments. Geotechnique 1965, 15, 139–160. [Google Scholar] [CrossRef]
- Jibson, R.W. Predicting earthquake–induced landslide displacements using Newmark’s sliding block analysis. Transp. Res. Rec. 1993, 1411, 9–17. [Google Scholar]
- Romeo, R. Seismically induced landslide displacements: A predictive model. Eng. Geol. 2000, 58, 337–351. [Google Scholar] [CrossRef]
- Qin, Y.; Tang, H.; Deng, Q.; Yin, X.; Dan, L. Improvement on the calculation method of slope critical acceleration under strong earthquake. Chin. J. Rock Mech. Eng. 2019, 38, 3439–3447. [Google Scholar]
- Huang, R.; Li, G.; Ju, N. Shaking table test on strong earthquake response of stratified rock slopes. Chin. J. Rock Mech. Eng. 2013, 32, 865–875. [Google Scholar]
- Yang, G.; Ye, H.; Wu, F.; Qi, S.; Dong, J. Shaking table model test on dynamic response characteristics and failure mechanism of antidip layered rock slope. Chin. J. Rock Mech. Eng. 2012, 31, 2214–2221. [Google Scholar]
- Yang, G.; Qi, S.; Wu, F.; Zhan, Z. Seismic amplification of the anti–dip rock slope and deformation characteristics: A large–scale shaking table test. Soil Dyn. Earthq. Eng. 2018, 115, 907–916. [Google Scholar] [CrossRef]
- Zhang, Z.; Wang, T.; Wu, S.; Tang, H. Rock toppling failure mode influenced by local response to earthquakes. Bull. Eng. Geol. Environ. 2015, 75, 1361–1375. [Google Scholar] [CrossRef]
- Zheng, Y.; Wang, R.; Chen, C.; Sun, C.; Ren, Z.; Zhang, W. Dynamic analysis of anti–dip bedding rock slopes reinforced by pre–stressed cables using discrete element method. Eng. Anal. Bound. Elem. 2021, 130, 79–93. [Google Scholar] [CrossRef]
- Wu, D. Seismic Safety Evaluation Methods of Layered Rock Slopes Based on the Critical Displacement. Ph.D. Thesis, Institute of Rock and Soil Mechanics, Chinese Academy of Sciences, Wuhan, China, 2021. [Google Scholar]
- Zhang, K. Study on Dynamic Response of Layered Rock Slope Induced by Earthquake through Numerical Simulation. Master’s Thesis, China University of Geosciences (Beijing), Beijing, China, 2020. [Google Scholar]
- Itasca. 3DEC–3 Dimensional Distinct Element Code (Version 5.2); Itasca Consulting Group: Minneapolis, MN, USA, 2019. [Google Scholar]
- Kuhlemeyer, R.L.; Lysmer, J. Finite element method accuracy for wave propagation problems. J. Soil Mech. Found. Div. 1973, 99, 421–427. [Google Scholar] [CrossRef]
- Shi, C.; Chu, W.; Zheng, W. Technology of Block Discrete Element Numerical Simulation and Engineering Application; China Construction Industry Press: Beijing, China, 2016. [Google Scholar]
- Zhang, X.; Gong, X.; Xu, R. Orthogonality analysis method of sensibility on factor of slope stability. China J. Highw. Transp. 2003, 16, 36–39. [Google Scholar]
- Wen, C. Study of yield acceleration of slope stabilized by multistage retaining earth structures and sensitivity analysis of influence factors. Rock Soil Mech. 2013, 34, 2889–2897. [Google Scholar]
- Li, J.; Su, Y.; Sun, Z.; Zhao, C. 3D seismic displacement analysis method of stepped slopes reinforced with piles based on Newmark principle. Rock Soil Mech. 2020, 41, 2785–2795. [Google Scholar]
- Fu, H.; Liu, J.; Zhang, L. Dynamic stability analysis for rock slope based on orthogonal test. J. Cent. South Univ. (Sci. Technol.) 2011, 42, 2853–2859. [Google Scholar]
- Rizzitano, S.; Cascone, E.; Biondi, G. Coupling of topographic and stratigraphic effects on seismic response of slopes through 2D linear and equivalent linear analyses. Soil Dyn. Earthq. Eng. 2014, 67, 66–84. [Google Scholar] [CrossRef]
- Song, D.; Che, A.; Zhu, R.; Ge, X. Dynamic response characteristics of a rock slope with discontinuous joints under the combined action of earthquakes and rapid water drawdown. Landslides 2018, 15, 1109–1125. [Google Scholar] [CrossRef]
- Goodman, R.E. Toppling of rock slopes. In Proceedings of the Speciality Conference on Rock Engineering for Foundation and Slopes, Boulder, CO, USA, 15–18 August 1976; pp. 201–234. [Google Scholar]
- Adhikary, D.P.; Dyskin, A.V.; Jewell, R.J.; Stewart, D.P. A study of the mechanism of flexural toppling failure of rock slopes. Rock Mech. Rock Eng. 1997, 30, 75–93. [Google Scholar] [CrossRef]
- Zheng, Y.; Chen, C.; Liu, T.; Zhang, H.; Sun, C. Theoretical and numerical study on the block–flexure toppling failure of rock slopes. Eng. Geol. 2019, 263, 105309. [Google Scholar] [CrossRef]
- Fang, K.; Ma, C. Orthogonal and Homogeneous Design; Science Press: Beijing, China, 2001. [Google Scholar]
- Chen, X. Statistics Introduction; Science Press: Beijing, China, 1997. [Google Scholar]













| Parameters | Values |
|---|---|
| Density/kg/m3 | 2650 |
| Young’s modulus/GPa | 10.5 |
| Poisson’s ratio | 0.25 |
| Rock cohesion/MPa | 1.5 |
| Internal friction angle of the rock/° | 45 |
| Rock tensile strength/MPa | 0.5 |
| Cohesion of structural surface/MPa | 0 |
| Friction angle of structural surface/° | 30 |
| Tensile strength of structural surface/MPa | 0 |
| Normal stiffness of structural surface/GPa/m | 58.33 |
| Tangential stiffness of structural surface/GPa/m | 19.44 |
| Seismic Wave | Seismic Wave Parameters | ||||||
|---|---|---|---|---|---|---|---|
| Amplitude in U-P Direction (P-Wave) A2/g | S-wave’s Amplitude As/g | Amplitude in E-W Direction A1/g | Amplitude in N-Direction A3/g | Main Frequency f/Hz | Holding Time T/s | Time Difference between P-Wave’s Peak and S-Wave’ Peak Δt/s | |
| Wenchuan Wolong | 0.97 | 1.06 | 0.98 | 0.67 | 1–10 | 180 | 21.51 |
| Wenchuan Qingping | 0.12 | 0.11 | 0.1 | 0.09 | 1–10 | 25 | 3.54 |
| El Centro | 0.21 | 0.35 | 0.21 | 0.34 | 0.5–15 | 54 | 1.14 |
| Loading Conditions | Seismic Wave Parameters | ||||
|---|---|---|---|---|---|
| As/g | γ/° | f/Hz | T/s | Δt/s | |
| 1 | 0.2 | 0 | 10 | 3 | 0.015 |
| 2 | 0.4 | 0 | 10 | 3 | 0.015 |
| 3 | 0.6 | 0 | 10 | 3 | 0.015 |
| 4 | 0.8 | 0 | 10 | 3 | 0.015 |
| 5 | 1.0 | 0 | 10 | 3 | 0.015 |
| 6 | 0.8 | 18 | 10 | 3 | 0.015 |
| 7 | 0.8 | 36 | 10 | 3 | 0.015 |
| 8 | 0.8 | 54 | 10 | 3 | 0.015 |
| 9 | 0.8 | 72 | 10 | 3 | 0.015 |
| 10 | 0.8 | 90 | 10 | 3 | 0.015 |
| 11 | 0.8 | 0 | 6 | 3 | 0.015 |
| 12 | 0.8 | 0 | 8 | 3 | 0.015 |
| 13 | 0.8 | 0 | 12 | 3 | 0.015 |
| 14 | 0.8 | 0 | 14 | 3 | 0.015 |
| 15 | 0.8 | 0 | 10 | 1 | 0.015 |
| 16 | 0.8 | 0 | 10 | 2 | 0.015 |
| 17 | 0.8 | 0 | 10 | 4 | 0.015 |
| 18 | 0.8 | 0 | 10 | 5 | 0.015 |
| 19 | 0.8 | 0 | 10 | 3 | 0.005 |
| 20 | 0.8 | 0 | 10 | 3 | 0.01 |
| 21 | 0.8 | 0 | 10 | 3 | 0.02 |
| 22 | 0.8 | 0 | 10 | 3 | 0.025 |
| Level | Seismic Wave Parameters | ||||
|---|---|---|---|---|---|
| As/g | γ/° | f/Hz | T/s | Δt/s | |
| 1 | 0.2 | 0 | 6 | 1 | 0.005 |
| 2 | 0.4 | 30 | 8 | 2 | 0.01 |
| 3 | 0.6 | 60 | 10 | 3 | 0.015 |
| 4 | 0.8 | 90 | 12 | 4 | 0.02 |
| Loading Conditions | Seismic Wave Parameters | ||||
|---|---|---|---|---|---|
| As/g | γ/° | f/Hz | T/s | Δt/s | |
| 1 | 0.2 | 0 | 6 | 1 | 0.005 |
| 2 | 0.2 | 30 | 8 | 2 | 0.01 |
| 3 | 0.2 | 60 | 10 | 3 | 0.015 |
| 4 | 0.2 | 90 | 12 | 4 | 0.02 |
| 5 | 0.4 | 0 | 8 | 3 | 0.02 |
| 6 | 0.4 | 30 | 6 | 4 | 0.015 |
| 7 | 0.4 | 60 | 12 | 1 | 0.01 |
| 8 | 0.4 | 90 | 10 | 2 | 0.005 |
| 9 | 0.6 | 0 | 10 | 4 | 0.01 |
| 10 | 0.6 | 30 | 12 | 3 | 0.005 |
| 11 | 0.6 | 60 | 6 | 2 | 0.02 |
| 12 | 0.6 | 90 | 8 | 1 | 0.015 |
| 13 | 0.8 | 0 | 12 | 2 | 0.015 |
| 14 | 0.8 | 30 | 10 | 1 | 0.02 |
| 15 | 0.8 | 60 | 8 | 4 | 0.005 |
| 16 | 0.8 | 90 | 6 | 3 | 0.01 |
| Loading Condition No. | Seismic Wave Parameters | AAFy7 | ||||
|---|---|---|---|---|---|---|
| As/g | γ/° | f/Hz | T/s | Δt/s | ||
| 1 | 0.2 | 0 | 6 | 1 | 0.005 | 36.61 |
| 2 | 0.2 | 30 | 8 | 2 | 0.010 | 37.52 |
| 3 | 0.2 | 60 | 10 | 3 | 0.015 | 37.70 |
| 4 | 0.2 | 90 | 12 | 4 | 0.020 | 37.46 |
| 5 | 0.4 | 0 | 8 | 3 | 0.020 | 36.94 |
| 6 | 0.4 | 30 | 6 | 4 | 0.015 | 37.87 |
| 7 | 0.4 | 60 | 12 | 1 | 0.010 | 38.08 |
| 8 | 0.4 | 90 | 10 | 2 | 0.005 | 38.14 |
| 9 | 0.6 | 0 | 10 | 4 | 0.010 | 35.72 |
| 10 | 0.6 | 30 | 12 | 3 | 0.005 | 37.88 |
| 11 | 0.6 | 60 | 6 | 2 | 0.020 | 44.17 |
| 12 | 0.6 | 90 | 8 | 1 | 0.015 | 37.16 |
| 13 | 0.8 | 0 | 12 | 2 | 0.015 | 35.66 |
| 14 | 0.8 | 30 | 10 | 1 | 0.020 | 40.16 |
| 15 | 0.8 | 60 | 8 | 4 | 0.005 | 50.50 |
| 16 | 0.8 | 90 | 6 | 3 | 0.010 | 60.29 |
| Factor | Seismic Wave Parameters | ||||
|---|---|---|---|---|---|
| As | γ | f | T | Δt | |
| K1j | 37.32 | 36.23 | 44.74 | 38.00 | 40.78 |
| K1j | 37.75 | 38.35 | 40.53 | 38.87 | 42.90 |
| K1j | 38.73 | 42.61 | 37.93 | 43.20 | 37.10 |
| K1j | 46.65 | 43.26 | 37.27 | 40.39 | 39.68 |
| Rj | 9.33 | 7.03 | 7.47 | 5.20 | 5.80 |
| Sensitivity | As > f > γ > Δt > T | ||||
Publisher’s Note: MDPI stays neutral with regard to jurisdictional claims in published maps and institutional affiliations. |
© 2022 by the authors. Licensee MDPI, Basel, Switzerland. This article is an open access article distributed under the terms and conditions of the Creative Commons Attribution (CC BY) license (https://creativecommons.org/licenses/by/4.0/).
Share and Cite
Ren, Z.; Chen, C.; Zheng, Y.; Sun, C.; Yuan, J. Study on the Influence of Seismic Wave Parameters on the Dynamic Response of Anti-Dip Bedding Rock Slopes under Three-Dimensional Conditions. Sustainability 2022, 14, 11321. https://doi.org/10.3390/su141811321
Ren Z, Chen C, Zheng Y, Sun C, Yuan J. Study on the Influence of Seismic Wave Parameters on the Dynamic Response of Anti-Dip Bedding Rock Slopes under Three-Dimensional Conditions. Sustainability. 2022; 14(18):11321. https://doi.org/10.3390/su141811321
Chicago/Turabian StyleRen, Zhanghao, Congxin Chen, Yun Zheng, Chaoyi Sun, and Jiahao Yuan. 2022. "Study on the Influence of Seismic Wave Parameters on the Dynamic Response of Anti-Dip Bedding Rock Slopes under Three-Dimensional Conditions" Sustainability 14, no. 18: 11321. https://doi.org/10.3390/su141811321
APA StyleRen, Z., Chen, C., Zheng, Y., Sun, C., & Yuan, J. (2022). Study on the Influence of Seismic Wave Parameters on the Dynamic Response of Anti-Dip Bedding Rock Slopes under Three-Dimensional Conditions. Sustainability, 14(18), 11321. https://doi.org/10.3390/su141811321

