Spatial Distribution and Variation Characteristics of Permafrost Temperature in Northeast China
Abstract
:1. Introduction
2. Data and Methods
2.1. Study Area
2.2. Data Sources
2.3. Methods
3. Results
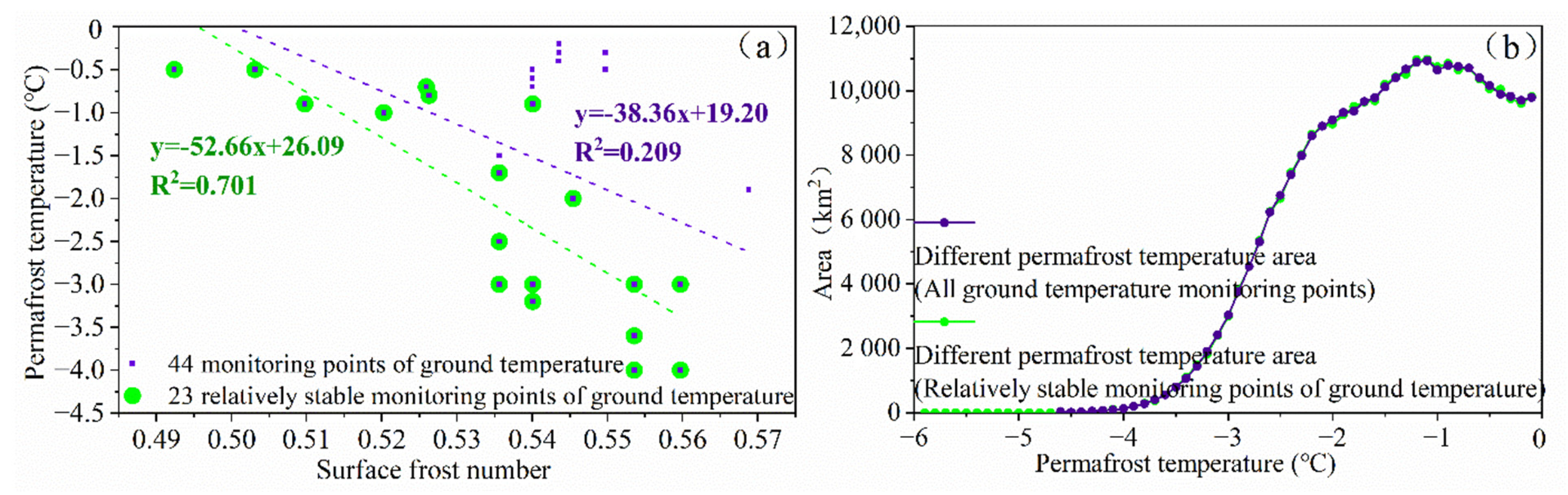
3.1. Surface Frost Number and Permafrost Temperature
3.2. Temperature Distribution and Characteristics of Permafrost
4. Discussion
4.1. Verification of Spatial Distribution of Permafrost Temperature
4.2. Thickness of Permafrost Active Layer
4.3. Factors Affecting Permafrost Temperature
5. Conclusions
Author Contributions
Funding
Institutional Review Board Statement
Informed Consent Statement
Data Availability Statement
Conflicts of Interest
References
- Qin, D.H.; Yao, T.; Ding, Y. Glossary of Cryosphere Science; China Meteorological Press: Beijing, China, 2014. [Google Scholar]
- Bockheim, J.G.; Hall, K.J. Permafrost, active-layer dynamics and periglacial environments of continental Antarctica: Periglacial and permafrost research in the Southern Hemisphere. S. Afr. J. Sci. 2002, 98, 82–90. [Google Scholar]
- Zhang, T.; Barry, R.G.; Knowles, K.; Heginbottom, J.A.; Brown, J. Statistics and characteristics of permafrost and ground-ice distribution in the Northern Hemisphere. Polar Geogr. 2008, 31, 47–68. [Google Scholar] [CrossRef]
- Li, X.; Cheng, G.; Jin, H.; Kang, E.; Che, T.; Jin, R.; Wu, L.; Nan, Z.; Wang, J.; Shen, Y. Cryospheric change in China. Glob. Planet. Chang. 2008, 62, 210–218. [Google Scholar] [CrossRef]
- Ran, Y.; Li, X.; Cheng, G.; Zhang, T.; Wu, Q.; Jin, H.; Jin, R. Distribution of permafrost in China: An overview of existing permafrost maps. Permafr. Periglac. Process. 2012, 23, 322–333. [Google Scholar] [CrossRef]
- Guo, D.; Wang, S.; Lu, G.; Dan, J.; Li, E. Division of permafrost regions in Daxiao Hinggan Ling Northeast China. J. Glaciol. Cryopedol. 1981, 3, 1–9. [Google Scholar]
- Shi, Y.; Mi, D. Map of Snow, Ice and Frozen Ground in China (1:4,000,000), 1st ed.; China Cartographic Publishing House: Beijing, China, 1988. [Google Scholar]
- Cheng, G. Problem on zonation of high-altitude permafrost. Acta Geogr. Sin. 1984, 39, 185–193. [Google Scholar]
- Lewkowicz, A.G.; Bonnaventure, P.P. Equivalent elevation: A new method to incorporate variable surface lapse rates into mountain permafrost modelling. Permafr. Periglac. Process. 2011, 22, 153–162. [Google Scholar] [CrossRef]
- Nelson, F.E.; Outcalt, S.I. A computational method for prediction and regionalization of permafrost. Arct. Alp. Res. 1987, 19, 279–288. [Google Scholar] [CrossRef]
- Jumikis, A.R. Thermal Geotechnics; Rutgers University Press: New Brunswick, NJ, USA, 1977. [Google Scholar]
- Riseborough, D.W. The mean annual temperature at the top of permafrost, the TTOP model, and the effect of unfrozen water. Permafr. Periglac. Process. 2002, 13, 137–143. [Google Scholar] [CrossRef]
- Sazonova, T.S.; Romanovsky, V.E. A model for regional-scale estimation of temporal and spatial variability of active layer thickness and mean annual ground temperatures. Permafr. Periglac. Process. 2003, 14, 125–139. [Google Scholar] [CrossRef]
- Schaefer, K.; Zhang, T.; Slater, A.G.; Lu, L.; Etringer, A.; Baker, I. Improving simulated soil temperatures and soil freeze/thaw at high-latitude regions in the Simple Biosphere/Carnegie-Ames-Stanford Approach model. J. Geophys. Res. Earth Surf. 2009, 114, F02021. [Google Scholar] [CrossRef]
- Lawrence, D.M.; Oleson, K.W.; Flanner, M.G.; Thornton, P.E.; Swenson, S.C.; Lawrence, P.J.; Zeng, X.; Yang, Z.-L.; Levis, S.; Sakaguchi, K.; et al. Parameterization improvements and functional and structural advances in version 4 of the Community Land Model. J. Adv. Model. Earth Syst. 2011, 3, M03001. [Google Scholar] [CrossRef]
- Guo, D.; Wang, H.; Li, D. A projection of permafrost degradation on the Tibetan Plateau during the 21st century. J. Geophys. Res. Atmos. 2012, 117, D05106. [Google Scholar] [CrossRef]
- Guo, D.; Wang, H. Simulation of permafrost and seasonally frozen ground conditions on the Tibetan Plateau, 1981–2010. J. Geophys. Res. Atmos. 2013, 118, 5216–5230. [Google Scholar] [CrossRef]
- Lü, J.J.; Li, X.Z.; Hu, Y.M.; Wang, X.W.; Sun, J. Application of front number model in Northeast China pepmafrost regionalization. Yingyong Shengtai Xuebao 2008, 19, 2271–2276. [Google Scholar]
- Zhang, Z.; Wu, Q.; Xun, X.; Li, Y. Spatial distribution and changes of Xing’an permafrost in China over the past three decades. Quat. Int. 2019, 523, 16–24. [Google Scholar]
- Zhang, Z.Q.; Wu, Q.; Hou, M.T.; Tai, B.-W.; An, Y.-K. Permafrost change in Northeast China in the 1950s–2010s. Adv. Clim. Chang. Res. 2021, 12, 18–28. [Google Scholar] [CrossRef]
- Cao, B.; Zhang, T.; Wu, Q.; Sheng, Y.; Zhao, L.; Zou, D. Permafrost zonation index map and statistics over the Qinghai-Tibet Plateau based on field evidence. Permafr. Periglac. Process. 2019, 30, 178–194. [Google Scholar] [CrossRef]
- Gruber, S. Derivation and analysis of a high-resolution estimate of global permafrost zonation. Cryosphere 2012, 6, 221–233. [Google Scholar] [CrossRef] [Green Version]
- Nan, Z.; Li, S.; Liu, Y. Mean annual ground temperature distribution on the Tibetan Plateau: Permafrost distribution mapping and further application. J. Glaciol. Geocryol. 2002, 24, 142–148. [Google Scholar]
- Jaroslav, O.; Sebastian, W.; Annett, B.; Berdnikov, N.; Christiansen, H.H.; Dashtseren, A.; Delaloye, R.; Elberling, B.; Kholodov, A.; Khomutov, A.; et al. Northern Hemisphere permafrost map based on TTOP modelling for 2000–2016 at 1 km2 scale. Earth-Sci. Rev. 2019, 193, 299–316. [Google Scholar]
- Zhang, Z.; Wu, Q.; Xun, X.; Wang, B.; Wang, X. Climate change and the distribution of frozen soil in 1980–2010 in northern Northeast China. Quat. Int. 2018, 467, 230–241. [Google Scholar] [CrossRef]
- Ran, Y.; Li, X.; Cheng, G.; Nan, Z.; Che, J.; Sheng, Y.; Wu, Q.; Jin, H.; Luo, D.; Tang, Z.; et al. Mapping the permafrost stability on the Tibetan Plateau for 2005–2015. Sci. China Earth Sci. 2020, 63, 62–79. [Google Scholar] [CrossRef]
- Ran, Y.H.; Li, X.; Jin, R.; Guo, J. Remote sensing of the mean annual surface temperature and surface frost number for mapping permafrost in China. Arct. Antarct. Alp. Res. 2015, 47, 255–265. [Google Scholar] [CrossRef] [Green Version]
- Zou, D.; Zhao, L.; Sheng, Y.; Chen, J.; Hu, G.; Wu, T.; Wu, J.; Xie, C.; Wu, X.; Pang, Q.; et al. A new map of permafrost distribution on the Tibetan Plateau. Cryosphere 2017, 11, 2527–2542. [Google Scholar] [CrossRef] [Green Version]
- Fisch, W.S.; Fisch, W.J.; Haeberli, W. Electrical DC resistivity soundings with long profiles on rock glaciers and moraines in the Alps of Switzerland. Z. Gletsch. Glazialgeol. 1977, 13, 239–260. [Google Scholar]
- Lehmann, F.; Green, A.G. Topographic migration of Georadar data: Implications for acquisition and processing. Geophysics 2000, 65, 836–848. [Google Scholar] [CrossRef]
- Christian, H.; Vonder, M.D. Detecting alpine permafrost usingelectro-magnetic methods. Adv. Cold-Reg. Therm. Eng. Sci. Lect. Notes Phys. 1999, 533, 475–482. [Google Scholar]
- Vonder, M.D.; Hauck, C.; Gubler, H.; McDonald, R.; Russill, N. New geophysical methods of investigating the nature and distribution of mountain permafrost with special reference to radiometry techniques. Permafr. Periglac. Process. 2001, 12, 27–38. [Google Scholar]
- Minsley, B.J.; Abraham, J.D.; Smith, B.D.; Cannia, J.C.; Voss, C.I.; Jorgenson, M.T.; Walvoord, M.A.; Wylie, B.K.; Anderson, L.; Ball, L.B.; et al. Airborne electromagnetic imaging of discontinuous permafrost. Geophys. Res. Lett. 2012, 39, L02503. [Google Scholar] [CrossRef] [Green Version]
- Shan, W.; Xu, Z.; Guo, Y.; Zhang, C.; Hu, Z.; Wang, Y. Geological methane emissions and wildfire risk in the degraded permafrost area of the Xiao Xing’an Mountains, China. Sci. Rep. 2020, 10, 21297. [Google Scholar] [CrossRef] [PubMed]
- Xiao, C.D.; Wang, S.J.; Qin, D.H. A preliminary study of cryosphere service function and value evaluation. Adv. Clim. Chang. Res. 2015, 6, 181–187. [Google Scholar] [CrossRef]
- Guo, Y.; Shan, W.; Zhang, C.; Hu, Z.; Wang, S.; Gao, J. Monitoring of permafrost degradation along the Bei’an-Heihe Expressway in China. Bull. Eng. Geol. Environ. 2021, 80, 1–10. [Google Scholar] [CrossRef]
- Overduin, P.P.; Westermann, S.; Yoshikawa, K.; Haberlau, T.; Romanovsky, V.; Wetterich, S. Geoelectric observations of the degradation of nearshore submarine permafrost at Barrow (Alaskan Beaufort Sea). J. Geophys. Res. Earth Surf. 2012, 117, F02004. [Google Scholar] [CrossRef]
- Zhang, T. Progress in global permafrost and climate change studies. Adv. Earth Sci. 2012, 32, 27–38. [Google Scholar]
- Harris, C.; Arenson, L.U.; Christiansen, H.H.; Etzelmüller, B.; Frauenfelder, R.; Gruber, S.; Haeberli, W.; Hauck, C.; Humlum, O.; Isaksen, K.; et al. Permafrost and climate in Europe: Monitoring and modelling thermal, geomorphological and geotechnical responses. Earth Sci. Rev. 2009, 92, 117–171. [Google Scholar] [CrossRef] [Green Version]
- Yang, M.; Nelson, F.E.; Shiklomanov, N.I.; Guo, D.; Wan, G. Permafrost degradation and its environmental effects on the Tibetan Plateau: A review of recent research. Earth Sci. Rev. 2010, 103, 31–44. [Google Scholar] [CrossRef]
- Wu, Q.; Zhang, T.; Liu, Y. Permafrost temperatures and thickness on the Qinghai-Tibet Plateau. Glob. Planet. Chang. 2010, 72, 32–38. [Google Scholar] [CrossRef]
- Dai, J. Characteristics of ground temperature in permafrost areas in the northern part of great Xinan mountain. J. Glaciol. Geocryol. 1982, 4, 53–63. [Google Scholar]
- Gu, Z.; Zhou, Y.; Liang, F.; Liang, L.; Zhang, Q. Permafrost Features and Their Changes in Amur Area, Da Hinggan Ling Prefecture. J. Glaciol. Geocryol. 1993, 15, 34–40. [Google Scholar]
- Shan, W.; Jiang, H.; Hu, Z.; Guo, Y.; Wang, C. Island Permafrost Degrading Process and Deformation Characteristics of Expressway Widen Subgrade Foundation. Disaster Adv. 2012, 5, 827–832. [Google Scholar]
- Yang, Y.; Cheng, D.; Fu, H. Engineering geological characteristics and evaluations of permafrost in daxing①anmountains. J. Eng. Geol. 2008, 16, 657–662. [Google Scholar]
- Guo, J.; Hu, Y.; Xiong, Z.; Yan, X.; Ren, B.; Bu, R. Spatiotemporal variations of growing-season NDVI and response to climate change in permafrost zone of Northeast China. Chin. J. Appl. Ecol. 2017, 28, 2413–2422. [Google Scholar]
- Chang, X.; Jin, H.; Wang, Y.; Zhang, Y.; Zhou, G.; Che, F.; Zhao, Y. Influences of vegetation on permafrost: A review. Acta Ecol. Sin. 2012, 32, 7981–7990. [Google Scholar] [CrossRef] [Green Version]
- Liu, F.; Lv, Y.P.; Jiang, L.-M.; Xin, H.; Zhang, T.-B.; Lu, Q. Correlation analysis between MODIS brightness temperature and surface temperature provided by meteorological station. Seismol. Egology 2010, 32, 127. [Google Scholar]
- Ke, L.-H.; Wang, Z.-X.; Song, C.-Q. Reconstruction of MODIS Land Surface Temperature in NortheastQinghai-Xizang Plateau and Its Comparison with Air Temperature. Plateau Meteorol. 2011, 30, 277–287. [Google Scholar]
- Hachem, S.; Duguay, C.R.; Allard, M. Comparison of MODIS-derived land surface temperatures with near-surface soil and air temperature measurements in continuous permafrost terrain. Cryosphere Discuss. 2011, 5, 51–69. [Google Scholar]
- Li, M.; Guo, H.; Fan, W.; Zhen, Z. Remote sensing analysis of forest site quality in Daxing’an Mountain based on GWR. Sci. Silvae Sin. 2017, 53, 56–66. [Google Scholar]
- Wei, H.Y.; Dong, L.B.; Liu, Z.G. Spatial structure optimization simulation of main forest types in Great Xing’an Mountains. Northeast. China Ying Yong Sheng Tai Xue Bao J. Appl. Ecol. 2019, 30, 3824–3832. [Google Scholar]
- Wei, Z.; Jin, H.J.; Zhang, J.M.; Yu, S.; Han, X.; Ji, Y.; He, R.; Chang, X. Prediction of permafrost change in northeast China under climate change. Sci. China Earth Sci. 2011, 41, 74–84. [Google Scholar]
- Ma, J.; Li, R.; Liu, H.; Wu, T.; Xiao, Y.; Du, Y.; Yang, S.; Shi, J.; Qiao, Y. A review on the development of study on hydrothermal characteristics of active layer in permafrost areas in Qinghai-Tibet Plateau. J. Glaciol. Geocryol. 2020, 42, 195–204. [Google Scholar]
- Yang, S.; Li, R.; Wu, T.; Hu, G.; Xiao, Y.; Du, Y.; Zhu, X.; Ni, J. The variation characteristics of different freeze-thaw status in the near surface and the relationship with temperature over the Qinghai-Tibet Plateau. J. Glaciol. Geocryol. 2019, 41, 1377–1387. [Google Scholar]
- Yang, C.; Wu, T.; Yao, J.; Li, R.; Xie, C.; Hu, G.; Zhu, X.; Hao, J.; Ni, J.; Li, X.; et al. Temporal and Spatial Characteristics of Ground Surface Soil Heat Flux over the Qinghai-Ti-betan Plateau. Plateau Meteorol. 2020, 39, 706–718. [Google Scholar] [CrossRef]
- Qin, Y.; Wu, T.; Li, R.; Wu, X.; Xie, C.; Pang, Q.; Hu, G.; Qiao, Y.; Zhao, G.; Liu, G.; et al. Thermal condition of the active layer on the Qinghai-Tibet Plateau simulated by using the Model of GIPL2. J. Glaciol. Geocryol. 2018, 40, 1153–1166. [Google Scholar]
- Cheng, G.; Wu, T. Responses of permafrost to climate change and their environmental significance, Qinghai-Tibet Plateau. J. Geophys. Res. Earth Surf. 2007, 112, F02S03. [Google Scholar] [CrossRef] [Green Version]
- Wu, Q.; Zhang, T. Recent permafrost warming on the Qinghai-Tibet Plateau. Geophys. Res. 2008, 113, D13108. [Google Scholar] [CrossRef]
- Dobiński, W. Permafrost active layer. Earth-Sci. Rev. 2020, 208, 103301. [Google Scholar] [CrossRef]










Publisher’s Note: MDPI stays neutral with regard to jurisdictional claims in published maps and institutional affiliations. |
© 2022 by the authors. Licensee MDPI, Basel, Switzerland. This article is an open access article distributed under the terms and conditions of the Creative Commons Attribution (CC BY) license (https://creativecommons.org/licenses/by/4.0/).
Share and Cite
Shan, W.; Zhang, C.; Guo, Y.; Qiu, L.; Xu, Z.; Wang, Y. Spatial Distribution and Variation Characteristics of Permafrost Temperature in Northeast China. Sustainability 2022, 14, 8178. https://doi.org/10.3390/su14138178
Shan W, Zhang C, Guo Y, Qiu L, Xu Z, Wang Y. Spatial Distribution and Variation Characteristics of Permafrost Temperature in Northeast China. Sustainability. 2022; 14(13):8178. https://doi.org/10.3390/su14138178
Chicago/Turabian StyleShan, Wei, Chengcheng Zhang, Ying Guo, Lisha Qiu, Zhichao Xu, and Yan Wang. 2022. "Spatial Distribution and Variation Characteristics of Permafrost Temperature in Northeast China" Sustainability 14, no. 13: 8178. https://doi.org/10.3390/su14138178
APA StyleShan, W., Zhang, C., Guo, Y., Qiu, L., Xu, Z., & Wang, Y. (2022). Spatial Distribution and Variation Characteristics of Permafrost Temperature in Northeast China. Sustainability, 14(13), 8178. https://doi.org/10.3390/su14138178

