Investigating the Adaptive Thermal Comfort of the Elderly in Rural Mutual Aid Homes in Central Inner Mongolia
Abstract
1. Introduction
2. Materials and Methods
2.1. Geography and Climatic Condition
2.2. Questionnaire Survey
- (1)
- basic information about the older adults, such as gender, age, and clothing;
- (2)
- perceptions of temperature, humidity, air quality, and thermal comfort levels using a seven-point scale for the TSV and five-point scale for the thermal comfort vote (TCV);
- (3)
- thermal preference vote (TPV) and thermal acceptance vote (acceptability of the thermal environment at a TSV range from −1 to 1).
2.3. Field Measurements
2.4. Thermal Comfort Evaluation Indicators
tmr = tg + 2.44v1/2(tg − ta)
3. Analysis of Results
3.1. Analysis of Indoor Thermal Environment
3.2. Thermal Adaption: Behavioral and Psychological Adjustments
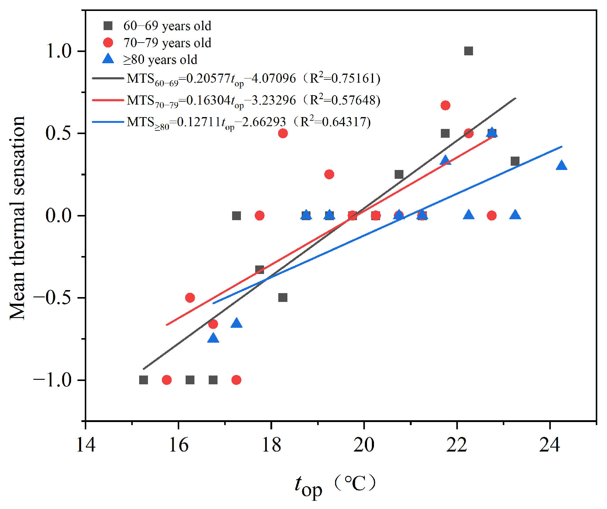
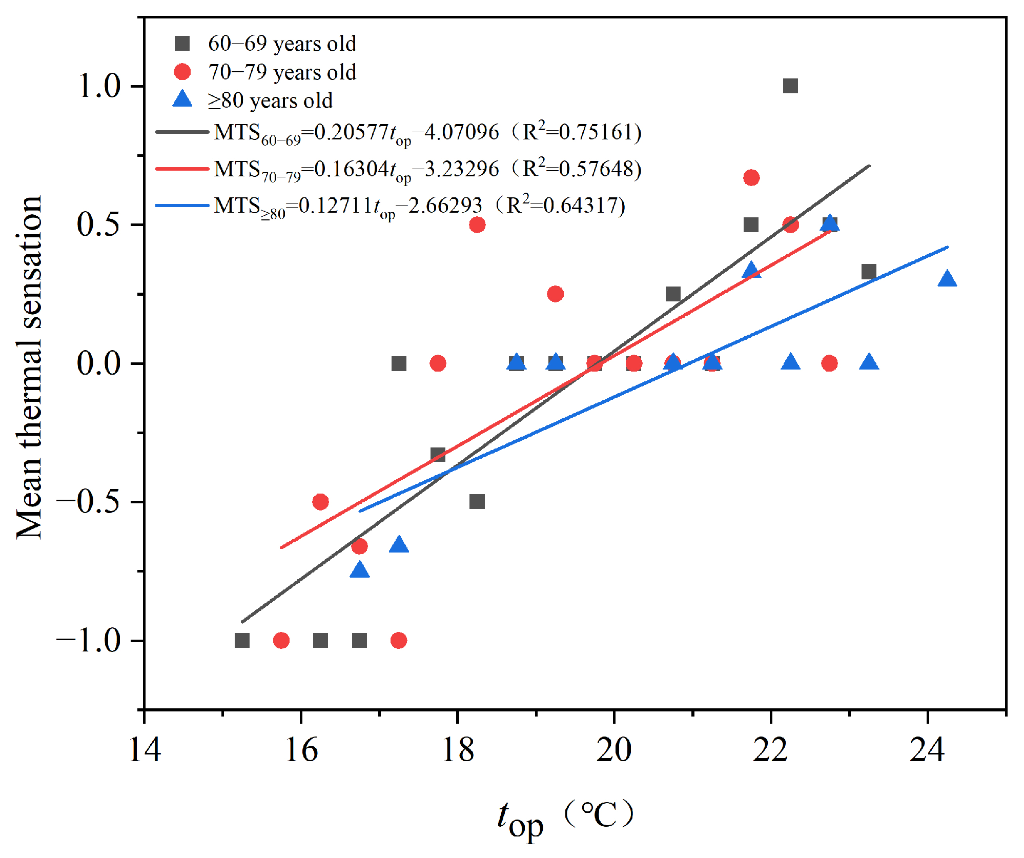
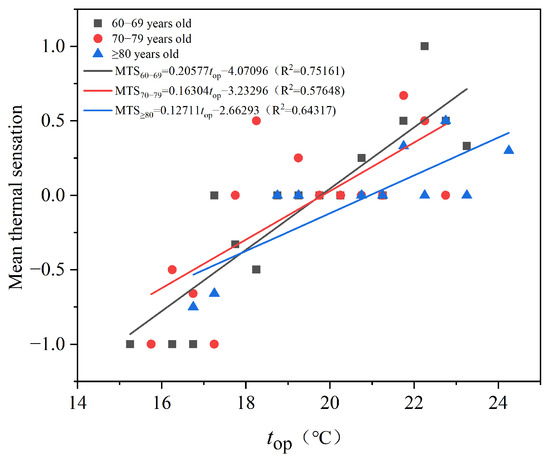
3.3. Thermal Sensation and Acceptable Temperature Range
TSV = 0.20446top − 4.15068 (R2 = 0.98606)
MTS = 0.16863top − 3.46059 (R2 = 0.98558)
3.4. Thermal Expectations
C = 16.6703top − 341.2280 (R2 = 0.96102)
3.5. Indoor Comfort
3.6. Adaptive Thermal Comfort Model
4. Discussion
4.1. Comparison with Previous Research Results
4.2. Adaptive Thermal Comfort
4.3. Application
- (1)
- Improve the thermal insulation and airtightness of the building envelope. The existing building envelope of the rural courtyard has high heat loss, and the roof and external walls have no insulation. Consequently, there is a remarkable heat loss resulting in great energy consumption. It is recommended that an external insulation layer be added, which can reduce heat loss and improve the characteristics of the brick wall. The airtightness of the doors and windows should also be strengthened using additional door curtains and double-paned windows with an air interlayer;
- (2)
- Make full use of solar energy through a combination of active and passive means. It is recommended that a sunroom be added on the south side of the building to passively utilize solar energy and store excess solar heat during the day and release it at night to improve the large temperature difference between day and night indoors. The sunroom can also serve as a buffer space to prevent cold winds from penetrating directly into the interior through the entry door and windows in winter. It is also recommended that the heating method of the existing fire kang and coal stove be changed, solar heating equipment be adopted, and a temperature control device be installed, which can not only reduce the heating consumption of the elderly in winter but also reduce the use of non-renewable energy;
- (3)
- Plan the building’s form factor and window-to-wall ratio. To ensure the building’s body shape factor, the area of the south elevation should be increased to receive more solar radiation. The window–wall ratio of each orientation should be reasonably controlled; east–west window openings should preferably not be used, the area of the north-facing windows should be reduced to prevent cold wind penetration, and the area of south-facing exterior windows should be increased to receive more solar radiation. The impact of the local winter monsoon on the building should also be considered, and the location of doors and windows should be on the leeward side or have additional door buckets;
- (4)
- Plant greenery reasonably. In order to reduce the adverse health impacts of the low humidity originating from burning coal stoves, the transpiration effect of greenery can be used to improve indoor humidity conditions;
- (5)
- Give the elderly a corresponding heating subsidy or establish central heating facilities. Since heating costs are high in winter, the elderly can be given appropriate heating subsidies. The heat-neutral temperature of the elderly over 80 is significantly higher than that of the younger elderly. It is proposed that the elderly of different ages receive appropriate heating subsidies for the differences in their thermal comfort. Another solution is that the government and the village committee can fund the improvement and upgrading of the heating facilities of mutual aid homes.
5. Conclusions
- (1)
- The adaptive behavior of the elderly to the indoor thermal environment is mainly limited to increasing and decreasing clothing, and the average clothing thermal resistance is 1.36 clo. As the elderly age, the clothing thermal resistance gradually increases. This is because the elderly are concerned that reducing clothing may increase the probability of illness;
- (2)
- The actual thermal neutral temperature of rural elderly is 20.52 °C. Moreover, the acceptable temperature for 80% and 90% acceptable temperatures are 15.48–25.56 °C and 17.55–23.49 °C, respectively, which is significantly lower than the winter comfort temperature range recommended by the ASHRAE 55-2017 standard (21.0–24.0 °C). It was found that the thermal neutral temperature and acceptable temperature range of the elderly of different ages vary significantly. More specifically, the acceptable range for the elderly of 60–69, 70–79, and 80+ years is 19.78 °C, 19.82 °C, and 20.94 °C, respectively. The thermal sensitivity of the elderly decreases with age;
- (3)
- The thermal expectation temperature of the elderly is 21.09 °C, which is 0.57 °C higher than the thermoneutral temperature, indicating that the elderly of the area are more accepting of partially hot environments and have higher psychological expectations of hot environments. According to the adaptive thermal comfort model, it is found that, when the outdoor temperature rises by 6.46 °C, the thermal neutral temperature of the elderly rises by 1 °C, indicating that the rural elderly in this area are less sensitive to outdoor temperature changes;
- (4)
- The subjective evaluation of the existing rural mutual aid homes’ indoor thermal comfort by the elderly revealed that 43.32% of the voters feel comfortable, while 56.68% of the elderly have different degrees of discomfort. The former proportion decreases with age, indicating that the existing rural facilities are not able to meet the thermal comfort needs of the majority of the elderly. Accordingly, the indoor thermal environment should be improved urgently.
Author Contributions
Funding
Institutional Review Board Statement
Informed Consent Statement
Data Availability Statement
Conflicts of Interest
References
- Yu, C.; Lee, Y. Housing requirements for a ageing society. Indoor Built Environ. 2017, 26, 441–446. [Google Scholar] [CrossRef]
- World Health Organization. World Population Ageing, Department of Economic and Social Affairs, Population Division, U.N.; World Health Organization: Geneva, Switzerland, 2015. [Google Scholar]
- Xu, T.; Zhang, Y. Thoughts and measures to cope with rural population aging positively during the 14th five-year plan period. Reform 2021, 10, 31–40. [Google Scholar]
- Li, D.; Bi, H. A review of study on mutual-aid elderly care in China. Sci. Res. Aging 2020, 8, 44–53. [Google Scholar]
- Zhang, C.; Xiong, C. The development and enlightenment of the model of mutual aid villages in rural communities in the United States. Probe 2015, 6, 132–137, 149. [Google Scholar]
- He, Q. Reference and enlightenment of foreign mutual aid models for the elderly in rural areas of China. Agric. Econ. 2018, 6, 74–75. [Google Scholar]
- Miller, J. Daring to take on female roles: Japanese male retirees as volunteer carers. Japanstudien 2010, 21, 253–270. [Google Scholar] [CrossRef]
- Mulliner, E.; Riley, M.; Maliene, V. Older People’s Preferences for Housing and Environment Characteristics. Sustainability 2020, 12, 5723. [Google Scholar] [CrossRef]
- World Health Organization. Chapter 2 Healthy Ageing, World Report on Ageing and Health; World Health Organization: Geneva, Switzerland, 2015. [Google Scholar]
- O’Neill, B.; Banoobhai, M.; Smith, C. Teaching Literacy through Dramatic Storytelling in Foundation Phase. Australas. J. Early Child. 2016, 41, 95–102. [Google Scholar] [CrossRef]
- Van Hoof, J.; Schellen, L.; Soebarto, V. Ten questions concerning thermal comfort and ageing. Build. Environ. 2017, 120, 123–133. [Google Scholar] [CrossRef]
- Soebarto, V.; Zhang, H.; Schiavon, S. A thermal comfort environmental chamber study of older and younger people. Build. Environ. 2019, 155, 1–14. [Google Scholar] [CrossRef]
- Mao, Y. Study on Climate Adaptive of Human Beings to Thermal in China. Master’s Thesis, Xi’an University of Architecture and Technology, Xi’an, China, 2006. [Google Scholar]
- Van Hoof, J.; Hensen, J. Thermal comfort and older adults. Gerontechnology 2006, 4, 223–228. [Google Scholar]
- Giamalaki, M.; Kolokotsa, D. Understanding the thermal experience of elderly people in their residences: Study on thermal comfort and adaptive behaviors of senior citizens in Crete, Greece. Energy Build. 2019, 185, 76–87. [Google Scholar] [CrossRef]
- Howden-Chapman, P. Housing standards: A glossary of housing and health. J. Epidemiol. Community Health 2004, 58, 162–168. [Google Scholar] [CrossRef]
- Ebersole, P.; Hess, P.; Luggen, A.S. (Eds.) Toward Healthy Aging, 6th ed.; Mosby: St. Louis, MO, USA, 2004. [Google Scholar]
- Natsume, K.; Ogawa, T.; Sugenoya, J.; Ohnishi, N.; Imai, K. Preferred ambient temperature for old and young men in summer and winter. Int. J. Biometeorol. 1992, 36, 1–4. [Google Scholar] [CrossRef] [PubMed]
- Lee, J.S.; Song, M.K.; Kim, H.E. Physiological responses and subjective sensations by age through seasonal condition. Fash. Text. Res. J. 2009, 11, 833–839. [Google Scholar]
- Tartarini, F.; Cooper, P.; Fleming, R. Thermal environment and thermal sensations of occupants of nursing homes: A field study. Procedia Eng. 2017, 180, 373–382. [Google Scholar] [CrossRef]
- Panraluk, C.; Sreshthaputra, A. Thermal comfort of the elderly in public health service buildings of thailand. Appl. Mech. Mater. 2018, 878, 173–178. [Google Scholar] [CrossRef]
- Panraluk, C.; Sreshthaputra, A. Developing Guidelines for Thermal Comfort and Energy Saving during Hot Season of Multipurpose Senior Centers in Thailand. Sustainability 2020, 12, 170. [Google Scholar] [CrossRef]
- Yao, X. Investigation and analysis of indoor thermal environment in welfare centers for the aged in Shanghai. Heat. Vent. Air Cond. 2011, 41, 66–70. [Google Scholar]
- Liu, H.; Wu, Y.; Zhang, H.; Du, X. Field study on elderly people’s adaptive thermal comfort evaluation in naturally ventilated residential buildings in summer. Heat. Vent. Air Cond. 2015, 45, 50–58. [Google Scholar]
- Fan, G.; Xie, J.; Yoshino, H.; Yanagi, U.; Hasegawa, K.; Wang, C.; Zhang, X.; Liu, J. Investigation of indoor thermal environment in the homes with elderly people during heating season in Beijing, China. Build. Environ. 2017, 126, 288–303. [Google Scholar] [CrossRef]
- Zheng, W.; Shao, T.; Che, D.; Liu, Y.; Zhou, F. Adaptive thermal comfort of the elderly in Xi’an, China. Heat. Vent. Air Cond. 2021. Available online: http://kns.cnki.net/kcms/detail/11.2832.tu.20211026.2117.002.html (accessed on 20 May 2022).
- Jin, H.; Zhao, H.; Wang, X. Research on the indoor thermal comfort environment of rural housing in winter in super-cold region. J. Harbin Inst. Technol. 2006, 12, 2108–2111. [Google Scholar]
- Kottek, M.; Grieser, J.; Beck, C.; Rudolf, B.; Rubel, F. World map of the Köppen-Geiger climate classification updated. Meteorol. Z. 2006, 15, 259–263. [Google Scholar] [CrossRef]
- Corgnati, S.P.; Ansaldi, R.; Filippi, M. Thermal comfort in Italian classrooms under free running conditions during mid seasons: Assessment through objective and subjective approaches. Build. Environ. 2009, 44, 785–792. [Google Scholar] [CrossRef]
- ISO 7726; Thermal Environment-Instruments and Method for Measuring Physical Quantities International Standard Organization. ISO: Geneva, Switzerland, 1998.
- GB/T 50785-2012; Evaluation Standard for Indoor Thermal Environment in Civil Buildings. Ministry of Housing and Urban-Rural Development of the People’s Republic of China. China Architecture & Building Press: Beijing, China, 2012.
- Fanger, P.O. Thermal Comfort Analysis and Applications in Environmental Engineering; Danish Technical Press: Copenhagen, Denmark, 1972. [Google Scholar]
- De Dear, R.J.; Brager, G.S. Developing an adaptive model of thermal comfort and preference. ASHRAE Trans. 1998, 104, 1–18. [Google Scholar]
- Wang, Z. Selection of thermal comfort indexes in the field study. Heat. Vent. Air Cond. 2004, 12, 39–42. [Google Scholar]
- ISO 7730; Ergonomics of the Thermal Environment—Analytical Determination and Interpretation of Thermal Comfort Using Calculation of the PMV and PPD Indices and Local Thermal Comfort. International Standardization Organization: Geneva, Switzerland, 2005.
- Jiao, Y.; Yu, H.; Wang, T.; An, Y.; Yu, Y. Thermal comfort and adaptation of the elderly in free-running environments in Shanghai, China. Build. Environ. 2017, 118, 259–272. [Google Scholar] [CrossRef]
- Piers, L.S.; Soares, M.J.; McCormack, L.M.; O’Dea, K. Is there evidence for an age-related reduction in metabolic rate? J. Appl. Physiol. 1998, 85, 2196–2204. [Google Scholar] [CrossRef]
- Huang, L.; Zhu, Y.; Ouyang, Q.; Cao, B. Indoor thermal comfort in rural houses around Beijing in heating season. Heat. Vent. Air Cond. 2011, 41, 83–85, 115. [Google Scholar]
- Wang, Z.; Sheng, X.; Ren, J.; Ji, Y. Field survey on indoor thermal comfort in rural houses around Harbin in winter. Heat. Vent. Air Cond. 2014, 44, 71–75. [Google Scholar]
- Yao, R.; Li, B.; Liu, J. A theoretical adaptive model of thermal comfort–Adaptive Predicted Mean Vote (aPMV). Build. Environ. 2009, 44, 2089–2096. [Google Scholar] [CrossRef]
- Mustapa, M.S.; Zaki, S.A.; Rijal, H.B.; Hagishima, A.; Ali, M.S.M. Thermal comfort and occupant adaptive behaviour in Japanese university buildings with free running and cooling mode offices during summer. Build. Environ. 2016, 105, 332–342. [Google Scholar] [CrossRef]
- Guergova, S.; Dufour, A. Thermal sensitivity in the elderly: A review. Ageing Res. Rev. 2011, 10, 80–92. [Google Scholar] [CrossRef] [PubMed]
- Michael, H. Field Studies of Thermal Comfort Compared and Applied. J. Inst. Heat. Vent. Eng. 1976, 44, 5–27. [Google Scholar]
- Brager, G.S.; De Dear, R.J. Thermal adaptation in the built environment: A literature review. Energy Build. 1998, 27, 83–96. [Google Scholar] [CrossRef]
- Zhu, Y. How to create a healthy and comfortable indoor thermal environment: Exploration on the relationship between the built environment and human comfort and health. World Archit. 2021, 3, 42–45, 126. [Google Scholar]
- Hansen, A.; Bi, P.; Pisaniello, D.; Nitschke, M.; Tucker, G.; Newbury, J.; Kelsall, L. Heat-health behaviours of older people in two Australian states. Australas. J. Ageing 2015, 34, 19–25. [Google Scholar] [CrossRef]
- Wei, X. Research on Design of Pension Facilities for the Elderly in Cold Areas Based on Thermal Comfort. Master’s Thesis, Harbin Institute of Technology, Harbin, China, 2018. [Google Scholar]
- Liu, X.; Yue, P. Investigation and study on winter indoor thermal environment of reconstructed nursing homes for the elderly in Taiyuan. Heat. Vent. Air Cond. 2019, 49, 120–127. [Google Scholar]
- Li, N.; Fang, X.; Wei, Z.; Shen, X.; Wu, Z. research on thermal environment of residences and thermal comfort sensation of elderly in rural areas of western Hunan in winter. J. Hunan Univ. (Nat. Sci.) 2019, 46, 123–128. [Google Scholar]
- De Dear, R.J.; Akimoto, T.; Arens, E.A.; Brager, G.; Candido, C.; Cheong, K.W.D.; Li, B.; Nishihara, N.; Sekhar, S.C.; Tanabe, S.; et al. Progress in thermal comfort research over the last twenty years. Indoor Air 2013, 23, 442–461. [Google Scholar] [CrossRef] [PubMed]
- Van Marken Lichtenbelt, W.; Kingma, B.; Van Der Lans, A.; Schellen, L. Cold exposure-an approach to increasing energy expenditure in humans. Trends Endocrinol. Metab. 2014, 25, 165–167. [Google Scholar] [CrossRef] [PubMed]
- Grösche, P. Housing, energy cost, and the poor: Counteracting effects in Germany’s housing allowance program. Energy Policy 2010, 38, 93–98. [Google Scholar] [CrossRef][Green Version]













| Index | Level | Scale |
|---|---|---|
| TSV | Cold, cool, slightly cool, natural, slightly warm, warm, hot | (−3), (−2), (−1), (0), (1), (2), (3) |
| TPV | Colder, no change, warmer | (−1), (0), (1) |
| TCV | Comfortable, a little discomfort, uncomfortable, more uncomfortable, most uncomfortable | (0), (1), (2), (3), (4) |
| Wet sensation vote | Dry, a little dry, moderate, a little damp, humid | (−2), (−1), (0), (1), (2) |
| Blowing sense vote | Too big, big, moderate, small, too small | (−2), (−1), (0), (1), (2) |
| Satisfaction vote | Very dissatisfied, dissatisfied, acceptable, satisfied, very satisfied | (−2), (−1), (0), (1), (2) |
| Age Group | Sex | Proportion | |
|---|---|---|---|
| Male | Female | ||
| 60–69 | 26 | 37 | 33.69% |
| 70–79 | 37 | 39 | 40.64% |
| ≥80 | 22 | 26 | 25.67% |
| Aggregate | 90 | 97 | 100% |
| Testing Instrument | Model Number | Test Parameters | Test Range | Accuracy |
|---|---|---|---|---|
| Temperature and Humidity Self-Register | RC-4HC | Air temperature Humidity | −40~+70 °C 0~100%RH | ±0.5 °C ±3%RH |
| Black Ball Temperature Sensor | JT111D-H150-2.5 | Black ball temperature | −20~+125 °C | ±0.5 °C |
| Handheld Temperature and Humidity Tester | JTR08 | Air temperature Humidity | −20~+125 °C, 0~100%RH | ±0.3 °C ±1.5%RH |
| Indoor Thermal Comfort Meter | JT-IAQ | Air temperature Humidity Black-bulb temperature, Wind speed | −20~+125 °C, 0~100%RH, −20~+85 °C, 0.05~5 m/s | ±0.5 °C, ±3%RH, ±0.5 °C, ±0.03 m/s, |
| Thermal Anemometer | - | Air flow rate | 0.05~5 m/s | ±0.03 m/s |
| Type | Indoor Air Temperature (°C) | Black Ball Temperature (°C) | Relative Humidity (%) | Wind Velocity (m/s) | |
|---|---|---|---|---|---|
| Kitchen | AVE | 19.5 | 20.1 | 41.6 | 0.02 |
| STD | 2.7 | 2.9 | 7.1 | 0.01 | |
| MAX | 26.5 | 28.5 | 75.8 | 0.04 | |
| MIN | 12.8 | 12.6 | 25.4 | 0.0 | |
| Restroom | AVE | 7.2 | 7.4 | 44.7 | 0.01 |
| STD | 4.3 | 4.2 | 6.3 | 0.01 | |
| MAX | 15.4 | 15.7 | 64.2 | 0.05 | |
| MIN | 2.7 | 2.2 | 26.2 | 0.0 | |
| Bedroom | AVE | 18.5 | 21.1 | 42.9 | 0.03 |
| STD | 3.2 | 3.7 | 6.5 | 0.02 | |
| MAX | 31.7 | 32.6 | 63.8 | 0.15 | |
| MIN | 13.3 | 13.3 | 30.1 | 0.0 | |
| Living room | AVE | 9.1 | 9.3 | 30.1 | 0.04 |
| STD | 5.1 | 5.2 | 6.1 | 0.01 | |
| MAX | 25.6 | 27.6 | 53.9 | 0.11 | |
| MIN | 2.7 | 3.1 | 22.3 | 0.0 |
| Climatic Zone | Heating Method | Region | The Measured Thermal Sensory Regression Equation | Thermal Neutral Temperature/°C | Acceptable Temperature Range/°C | Garment Thermal Resistance/clo |
|---|---|---|---|---|---|---|
| Austere area | Central heating | Harbin (city) [47] | - | 21.27 | 20.37–22.17 | - |
| Coal stove and fire kang | Central Inner Mongolia (rural) [our research] | MTS = 0.1686top − 3.4606 | 20.52 | 15.48–25.56 | 1.36 | |
| Cold area | Central heating | Taiyuan (city) [48] | MTS = 0.471top − 10.575 | 22.4 | 20.4–24.5 | 1.34 |
| Coal stove and fire kang | Beijing (rural) [25] | - | - | 10–20 | 1.24 | |
| Central heating | Beijing (city) [25] | - | - | 22–26 | 0.93 | |
| Central heating | Xian [26] | TSV = 0.0677top − 1.3115 | 19.4 | 1.51 | ||
| Electric heating | Guanzhong region (rural) | MTS = 0.1496top − 1.441 | 9.6 | 6.2–12.9 | 1.67 | |
| Hot summer and cold winter area | Electric heating | Shanghai (city) [23] | MTS = 0.046top − 0.765 | 16.63 | 18.3–22.1 | - |
| No heating | Western Hunan Region (rural) [49] | - | 11.13 | 16.7–27.1 | 1.6 |
Publisher’s Note: MDPI stays neutral with regard to jurisdictional claims in published maps and institutional affiliations. |
© 2022 by the authors. Licensee MDPI, Basel, Switzerland. This article is an open access article distributed under the terms and conditions of the Creative Commons Attribution (CC BY) license (https://creativecommons.org/licenses/by/4.0/).
Share and Cite
Li, H.; Xu, G.; Chen, J.; Duan, J. Investigating the Adaptive Thermal Comfort of the Elderly in Rural Mutual Aid Homes in Central Inner Mongolia. Sustainability 2022, 14, 6802. https://doi.org/10.3390/su14116802
Li H, Xu G, Chen J, Duan J. Investigating the Adaptive Thermal Comfort of the Elderly in Rural Mutual Aid Homes in Central Inner Mongolia. Sustainability. 2022; 14(11):6802. https://doi.org/10.3390/su14116802
Chicago/Turabian StyleLi, Haokun, Guoqiang Xu, Jiuwang Chen, and Junfang Duan. 2022. "Investigating the Adaptive Thermal Comfort of the Elderly in Rural Mutual Aid Homes in Central Inner Mongolia" Sustainability 14, no. 11: 6802. https://doi.org/10.3390/su14116802
APA StyleLi, H., Xu, G., Chen, J., & Duan, J. (2022). Investigating the Adaptive Thermal Comfort of the Elderly in Rural Mutual Aid Homes in Central Inner Mongolia. Sustainability, 14(11), 6802. https://doi.org/10.3390/su14116802

