Abstract
At present, the electric vehicle (EV) market is developing strongly and widely across many countries around the world. Increasing clean energy infrastructure for EVs is a possible solution to reduce greenhouse gas emissions and help improve air quality in urban areas. Electric vehicles charged by electricity from photovoltaic (PV) systems can produce less emissions than conventional EVs charged by the utility grid. Thus, the combination of solar power and EV charging stations is one of the possible methods to achieve sustainable development in the current EV market. EVs in cities in Vietnam have developed very quickly in recent times, but the charging station infrastructure is still very limited, and most existing charging stations use electricity from the utility grid. In this paper, the optimal configuration of PV-powered EV charging stations is analyzed technically and economically under different solar irradiation conditions in Vietnam. The study results show that the optimal configuration and investment efficiency of PV-powered EV charging stations in each urban area are greatly affected by the solar irradiation value and feed-in tariff (FIT) price of rooftop solar power. In Vietnam, a region with high solar irradiation, such as Ho Chi Minh, is more likely to invest in PV-powered EV charging stations than other areas with lower solar irradiation, such as Hanoi.
1. Introduction
Fossil fuel consumption faces disadvantages such as supply source limitations and environmental issues. Renewable energy resources have developed because of the depletion of fossil energy resources [1]. In terms of environmental issues, there are many solutions to reducing pollution because of the burning of fossil fuels. In total, 175 countries signed the Parties Agreement at the 21st Paris Conference to promote cooperation to reduce global climate change [2]. The transportation sector uses significant oil and gas resources for the transport of people and goods, leading to the generation of CO2 emissions and environmental pollution [3]. Thus, electric vehicles (EVs) have been used and developed to reduce the usage of fossil fuels and the generation of CO2 emissions. The battery of an EV is charged using power by the controller from the utility grid or renewable energy sources [4]. Many power level chargers and infrastructure configurations are designed and evaluated according to various factors such as contrary system solution [5].
EVs include the following main vehicle types: hybrid electric vehicles (HEVs) [6], fuel-cell electric vehicles, extended-range electric vehicles (ER-EVs) [7], plug-in hybrid electric vehicles (PHEVs) [8], and battery electric vehicles (BEVs) [8]. The services used for charging electric vehicles are vehicle-to-grid (V2G), vehicle-to-building (V2B) [9] and vehicle-to-vehicle (V2V) [10]. Therefore, the infrastructure for EV charging is very important for users to ensure that they can complete a round trip. Hardman et al. suggested that the charging of EVs occurs at home 50–80% of the time, 15–25% of the time at the office, and 10% of the time at other places (such as a supermarket or park) [11].
There are two main charging types for EVs—AC and DC types—and three charging standards for EVs: the International Electrotechnical Commission (IEC) standard, Society of Automotive Engineers (SAE) standard [12], and CHArge de MOve (CHAdeMO) standard [13]. The IEC standard and SAE standard have both AC and DC charging types, but the CHAdeMO standard has only the DC charging type. The AC charging type includes AC level 1, AC level 2 and AC level 3 with different maximum power ratings of 4–7.5 kW, 8–15 kW and 60–120 kW and maximum ampere ratings of 16 A, 32 A and 250 A, respectively [14]. The CHAdeMO standard uses an electric current of 400 A and a rated power capacity of 240 kW [15].
The characteristics and charging process of the battery influence the battery life, charging energy efficiency and charging time. The energy demands of EV battery charging are still served by traditional fossil energy sources, which causes environmental pollution. Therefore, many researchers and companies have presented a charging solution for EVs using renewable energy sources such as solar power, wind power and biogas. Specifically, a power management strategy was presented for use with a small electric vehicle in urban environments in [16]. Another energy management strategy was used to reduce the power consumption from grid power and store PV power when a vehicle is not connected to the utility grid in [17]. A new multi-function conversion method for EV charging was proposed to connect with the utility grid in [18]. Parking lots using PV for electricity generation to charge EVs were simulated in [19]. An EV charging station with a power of 20 kW using biogas was designed and introduced in [20]. A PV charging station was simulated by computer to optimize the configuration of the station following the local climate in [21]. The power generation of the PV system, charge flow management crossing the battery and public grid limitations were optimized in [22]. The economic efficiency of solar power systems to supply rechargeable power for EVs was discussed in [23].
Vietnam is also adapting to the trend of green transportation. Specifically, the total number of vehicles sold included about 400,000 electric bicycles and 55,000 electric motorcycles in 2017 [24]. The Vietnam Association of Motorcycle Manufacturers (VAMM) also indicated that the growth rate of electric motorcycles and electric bicycles reached about 40% in 2018 [25]. According to the latest data from the Market Management Department (Ministry of Industry and Trade), there are more than 5 million electric bicycles and electric motorcycles in circulation nationwide. Currently, there are more than 70 electric bicycle manufacturers, such as VinFast-VinGroup and DKBike. The VinFast Group has a plan [26] to build several thousand EV charging stations [27] and implement battery leasing to complement the electric vehicle ecosystem. In contrast to the fast growth of the EV market, the charging infrastructure of Vietnam is still very limited. Currently, there are some free public charging stations for electric two-wheeled vehicles from the utility grid in some big cities in Vietnam, with a maximum charging time of 30 min.
The HOMER (Hybrid Optimization Model for Multiple Energy Resources) microgrid software was developed by the National Renewable Energy Laboratory. It can optimize the micro-hybrid power grid design in all sectors, from village power and island utilities to grid-connected campuses and military bases [28]. HOMER software was used to analyze the techno-economic aspects of wind/battery, solar/battery, and wind/solar/battery models. The net present cost (NPC) and cost of energy (COE) were analyzed in three different optimal configurations to select the most economically viable solution [29]. WebOpt software was built to choose and optimize the distributed energy resources [30]. A hybrid system of renewable energy sources in the microgrid was considered to reduce lifecycle costs and CO2 emissions [31]. A Markovitz objective function has been implemented in many different areas [32]. The economics and CO2 emissions of a PV on the rooftop of workplace parking places were estimated [33]. Besides, PHEVs and EVs were investigated when daytime PV charging stations were used in work locations [34].
In this research, the optimal configuration of PV-powered EV charging stations is analyzed technically and economically under different solar radiation conditions in Vietnam by using the HOMER Grid program. The study results have important implications not only for policy-making and PV-powered EV charging station investment in Vietnam, but also for developing the EV industry in other countries in Southeast Asia. The paper is divided into six main sections. In the second section, the analysis method is described. In the third section, the description of the selected sites is presented. The fourth section shows the components of the solar EV charging station. The fifth section presents the results and discussion, and the final section provides our conclusions.
2. Materials and Methods
In this paper, the PV-powered EV charging station is designed and optimized by using HOMER Grid software of HOMER Energy LLC microgrid simulation program company [35]. HOMER Grid supports the grid-connected renewable power system with suitable algorithms for optimizing solar, wind, storage, and minimize the overall energy costs. Moreover, HOMER Grid can also model the electric vehicle (EV) charging station combined with clean power sources such as PV, wind energy, and the utility grid. Thus, this program can help users design optimal renewable energy and storage systems to decrease utility costs and demand charges of EV charging.
The main technical-economic parameters are described by equations in HOMER. The output of the solar panel [35]:
where: PPV is solar panel output power (kW); YPV is the rated capacity of the solar array, meaning its power output under standard test conditions STC (kW); fPV is PV derating factor (%); GT is solar radiation incident on the solar array (kW/m2); GT, STC is incident solar radiation under standard test conditions, meaning its power output under standard test conditions STC (kW/m2); αp is temperature coefficient of power (%/°C); TC is solar cell temperature (°C); TC, STC is solar cell temperature under standard test conditions (25 °C).
The maximum battery system charge power is calculated by equation [35]:
where Nbatt is the number of batteries in the storage bank; Imax is the storage’s maximum charge current (A); Vnom is the storage’s nominal voltage (V).
Net present cost (NPC) is the current cost value of installation and operation of the system during the project lifetime. The aim of the optimization process is to reduce the Net present cost with the following equation [36]:
where: TAC: the total annualized cost ($); i: the annual real interest rate (%); and n: the number of years.
In HOMER, the cost of energy (COE) is defined as the average cost per kWh of useful electricity generated by the hybrid power system. The equation for the COE is as follows [36]:
where: TAC is the total annual cost ($); Euseful is useful production electricity per year (kWh/year).
CO2 Emission:
HOMER determines the net grid purchases in a grid-tied power station, equal to the total grid purchases minus the total grid sales. This software multiplies the net grid purchases (kWh) by the emission factor (g/kWh) for each pollutant to determine the emissions of each pollutant related to the net grid purchases. The emission factor of Vietnamese electrical grid is 0.9130 (tCO2/MWh) [37].
In this study, the optimization design of the PV-powered EV charging station in Vietnam is calculated by the steps in Figure 1.
Figure 1.
The framework of optimization design of solar EV charging station using HOMER.
Step 1: Input data including project location, utility grid, solar power system, battery, converter, weather data, EV charging station, and economic, financial, emission data are imported into the software.
Step 2: The HOMER Grid will simulate a feasible system for possible combinations of input component data. The modeled systems are sorted and filtered by definition criteria of users, so the best optimization plan can be selected. Sensitivity analysis is executed to evaluate the change of solar EV charging system based on technical and economic variations of grid-tied solar power system.
Step 3: The technical, economic, emission results can be calculated by the software.
Step 4: After modeling the possible solar EV charging system configurations, the HOMER Grid presents a list of configurations sorted by the net present cost (NPC).
3. Selected Site Description
In this study, three big cities of Hanoi, Da Nang, and Ho Chi Minh in Vietnam with different solar irradiation conditions are selected as shown in Figure 2.
Figure 2.
Solar irradiation map of Vietnam [38].
3.1. Hanoi City
Hanoi city (see Figure 3) is the capital and the commercial, cultural, and educational center of Vietnam, with an area of about 3359 km2 [39]. The population in Hanoi increased rapidly and obtained above 8 million people in 2019. The climate of Hanoi is a tropical monsoon climate while the weather has hot and cold seasons. The weather includes the rainy season (from April to October) and the dry season (from November to March). The average winter temperature from November to March does not exceed 22 °C, while the average temperature in the summer from May to September exceeds 27 °C [40]. From the Homer data, the monthly average solar global horizontal irradiance in Hanoi is 3.84 kWh/m2 day, as can be seen in Figure 4. The highest irradiation month is June (4.67 kWh/m2 day) and the lowest irradiation month is January (2.49 kWh/m2 day). Besides, the technical solar power potential on the rooftop of Hanoi city is 13,169.72 MWp and 37,591,481.20 MWh per year, respectively [41]. The city’s electricity load growth rate in Hanoi is consistently high at 9%, the power loss rate is smaller than 3.9%, and commercial electricity is about 21,500 million kWh [42]. Therefore, the development of rooftop solar power in Hanoi is possible.
Figure 3.
The map of Hanoi.
Figure 4.
The monthly average solar global horizontal irradiance in Hanoi.
3.2. Da Nang City
Da Nang city has a natural area of 1284.88 km2, of which the island district of Hoang Sa is 0.3 km2. Da Nang has several cultural assets and is a famous tourist center in Vietnam, as can be seen in Figure 5. The Da Nang port is the main port in central Vietnam and the third-largest port in Vietnam [43]. The climate of Da Nang is clearly distinguished between the rainy and dry seasons. The highest average temperature in Da Nang is 29 °C and the lowest average temperature is 22.7 °C. Temperature fluctuation between days and consecutive months in the year is about 3–5 °C. The average number of sunny hours in Da Nang is 2158 h/year [43].
Figure 5.
The map of Da Nang city.
From the Homer data, the monthly average solar global horizontal irradiance in Da Nang city is 4.89 kWh/m2.day in Figure 6. The highest irradiation month is May (6.31 kWh/m2/day) and the lowest irradiation month is December (2.95 kWh/m2/day). The rooftop solar power technical potential of Da Nang city is 1140 MW and the total number of suitable rooftops for solar is 316,353 houses [44]. The Electricity Company (PC) of Da Nang said that as of December 25, the commercial electricity output of the whole city of Da Nang reached 3 billion kWh. In the period 2014–2019, the average commercial electricity growth rate of PC Da Nang was nearly 8.5%/year [45].
Figure 6.
The monthly average solar global horizontal irradiation in Da Nang city.
3.3. Ho Chi Minh City
Ho Chi Minh city (see Figure 7) is the largest city in Vietnam with a large population density and strong economic development. The area of the whole city is 2056.5 km2, of which the inner city is 140.3 km2 and the suburban area is about 1916 km2. The climate of Ho Chi Minh City is sub-equatorial, so the temperature is high and stable during the year. Average hours of sunshine per month are from 160 to 270 h. Ho Chi Minh City has the rainy season from May to November with an average annual rainfall of 1979 mm, and the dry season from December of this year to April the following year with an average temperature of 27.55 °C, with no winter [46]. As such, the power consumption of residential, commercial, and industrial consumer groups in the city is greater than in other Vietnamese cities. From the Homer data, the monthly average solar global horizontal irradiance in Ho Chi Minh city is 5.09 kWh/m2 day in Figure 8. The highest irradiation month is March (6.01 kWh/m2 day) and the lowest irradiation month is August (4.63 kWh/m2 day). The solar irradiation in Ho Chi Minh city is higher than in Da Nang city and Hanoi city. The rooftop solar technical potential of Ho Chi Minh city is 6379 MW and the total number of suitable rooftops for solar is 148,880 houses. The average suitable rooftop area for installing PV plants within Ho Chi Minh city was about 14.6% of the total available area [44]. The electricity demand of Ho Chi Minh City in 2018 increased, and commercial electricity reached 24.2 billion kWh, estimated to increase by 5.71% in comparison with 2017; the maximum capacity is estimated at 4141 MW, up to 7.05% over the same period [47]. Therefore, the potential for the development and application of solar energy in Ho Chi Minh city is significant, especially rooftop solar PV.
Figure 7.
The map of Ho Chi Minh city.
Figure 8.
The monthly average solar global horizontal irradiation in Ho Chi Minh city.
4. Components of the Solar EV Charging Station
4.1. Configuration and Working Principle
The structure of a typical grid-connected PV-powered EV charging station consisting of the main components of the PV system, the DC–AC and AC–DC bi-direction converter, the utility power grid, backup batteries, and electric vehicles, as can be seen in Figure 9. This structure is the best selection of the EV power supply model to improve the cost of electrical energy supply, reduce the price of the solar power systems, batteries, and carbon emissions [36].
Figure 9.
Block diagram of grid-tied PV-powered EV charging station.
In this charging station model, the EV can charge electricity directly from the solar power system during the day or the utility grid at night and at the time when the weather is unfavorable. Excess electricity produced from the solar power system can be sold to the local utility grid under the Vietnamese government’s policy of supporting rooftop solar power. Thus, the batteries in the EV charging station are designed to meet the requirements of minimum energy storage and backup in the absence of solar power, grid power to reduce the total investment cost of the whole system.
Operation modes of the PV-powered EV charging station as below:
+ Mode 1 (Only charging from solar power system): If the weather is good, the EV charging station is charged entirely by the PV system (see Figure 10). In this mode, the charging station will be disconnected from the utility grid.
Figure 10.
Principle of operation in mode 1 of EV charging station.
+ Mode 2 (Only charging from the utility grid): if the solar array cannot generate enough power to the EV charging station due to no sunlight (at night) or extremely low radiation (rainy day, cloudy day), the EV charging station is operated by the utility grid (see Figure 11).
Figure 11.
Principle of operation in mode 2 of the EV charging station.
+ Mode 3 (charging from both solar panel system and utility grid): in case the PV system can only provide a certain amount of power, not enough to charge completely independently, the EV is charged from both the solar power system and the utility grid (see Figure 12). Normally, the amount of electricity supplied from the utility grid depends on the produced electricity from the solar power system. When the solar irradiation is unstable, the bi-direction converter will have to continuously monitor the maximum power point tracking controller of the solar array and accordingly modify the input power from the utility grid to confirm that the required power is maintained for the EV charging.
Figure 12.
Principle of operation in mode 3 of EV charging station.
+ Mode 4 (selling solar power to the utility grid): when there is no EV to charge, and the solar array is supplying energy, all electrical energy will be sold to the utility grid (see Figure 13). However, this mode can also operate even when EV is available for charging but the EV capacity is less than the generated power from the solar panel system.
Figure 13.
Principle of operation in mode 4 of EV charging station.
+ Mode 5 (charging from backup batteries): if the solar power system and the utility grid are unable to generate electricity to the EV due to bad weather and faulty grid, the charging station’s power can be obtained directly from the backup battery system (see Figure 14). Backup batteries can be charged from the solar power system or the utility grid, but the backup battery capacity is designed only to meet the requirement of a minimum number of charged EVs to minimize the investment cost.
Figure 14.
Principle of operation in mode 5 of EV charging station.
4.2. System Parameters
Technical specifications of the main equipment in the PV-powered EV charging station system in the HOMER Grid are presented in Table 1, in which the PV system capacity will include many different values to find the optimal configuration. Electricity purchase price from the utility grid is determined according to the regulations of Vietnam Electricity Corporation, by which the customer bought the electricity from the utility grid with an average price of about 0.077 $/kWh [48], while the rooftop solar power FIT price under the scenario decreased from the 2020 FIT price of 8.38 US cents/kWh [49] to the lowest estimated FIT price of 8 US cents/kWh. The new rooftop solar power FIT price will decrease in comparison with the 2020 rooftop solar power FIT price according to the annual roadmap for building renewable electricity prices of the Vietnamese government.
Table 1.
Sizing components and other parameters.
The costs of the PV-powered EV charging system are displayed in Table 2 based on the actual costs of the solar power market in Vietnam, where the Operation and Maintenance (O&M) cost of PV system includes the O&M cost of the bidirectional converter.
Table 2.
Cost of energy supply resources.
Figure 15 shows the yearly EV charging station operating frequency with an average daily charging of 246 kWh/day. The daily main charging times for EVs are from 8 a.m. to 5 p.m.; other times of the day from 6 a.m. to 7 a.m. and from 6 p.m. to 12 midnight have a lower charging frequency.
Figure 15.
Yearly profile of EV charging.
5. Results and Discussion
The HOMER Grid is used to evaluate the optimal technical and economic configuration of the PV-powered EV charging stations in Hanoi, Da Nang, and Ho Chi Minh in Vietnam with different solar irradiation conditions, while the rooftop solar power FIT price under the scenario decreased from the 2020 FIT price of 8.38 US cents/kWh to the lowest estimated FIT price of 8 US cents/kWh.
5.1. Scenario 1—The Maximum FIT Price Is 8.38 USD/kWh
Table 3, Table 4 and Table 5 present the optimal configuration of the PV-powered EV charging stations in Hanoi, Da Nang, and Ho Chi Minh. The maximum PV system capacity of 50 kW is considered as the most optimal plan due to the lowest NPC value in all three different solar irradiation conditions with the same total investment cost of the solar EV charging station of $62,550.
Table 3.
Optimal configuration of PV-powered EV charging stations in Hanoi—Scenario 1.
Table 4.
Optimal configuration of PV-powered EV charging stations in Da Nang—Scenario 1.
Table 5.
Optimal configuration of PV-powered EV charging stations in Ho Chi Minh—Scenario 1.
Figure 16 presents the monthly generated electricity per year from the solar power system and the utility grid to ensure the operation of the EV charging stations. The charging station will use solar power first; the shortage will be bought from the local power grid. The PV systems in Hanoi city and Da Nang city produce the highest electricity from March to October, while the period from November to February supplies the lowest electricity. In Ho Chi Minh city, the period from September to May has the greatest PV power generation while the period from June to August of the year has the smallest PV power output.
Figure 16.
Monthly generated electricity per year from the solar power system and utility grid. (a) Hanoi; (b) Da Nang; (c) Ho Chi Minh.
It can be seen that in Table 6, the ratio of solar power and grid power in the total amount of generated electricity to the charging station depends on the production power change of the 50 kW PV system and different solar radiation values. Hanoi city has the lowest solar radiation value, so only solar power output of 57,620 kWh/year supplied to the EV charging station while Da Nang city has a greater solar radiation value and PV power output is 71,808 kWh/year. Ho Chi Minh City has the highest solar radiation, so the PV power output reaches 75,704 kWh/year and the excess solar power sold to the utility grid of 15,057 kWh/year while the excess solar power supplied to the utility grid of Hanoi city and Da Nang city are 8858 kWh/year and 13,556 kWh/year, respectively. The project owners can get an additional part of the profit by selling an excess amount of electricity from the solar power system to the utility grid.
Table 6.
Technical parameter of the PV-powered EV charging stations in scenario 1.
Figure 17 shows the NPC and the operating cost of the PV-powered EV charging station in three cities. Ho Chi Minh has the lowest NPC and operating cost. These costs in Da Nang are slightly greater than Ho Chi Minh while Hanoi has the highest NPC and operating cost.
Figure 17.
The NPC and the operating cost of the PV-powered EV charging stations in scenario 1.
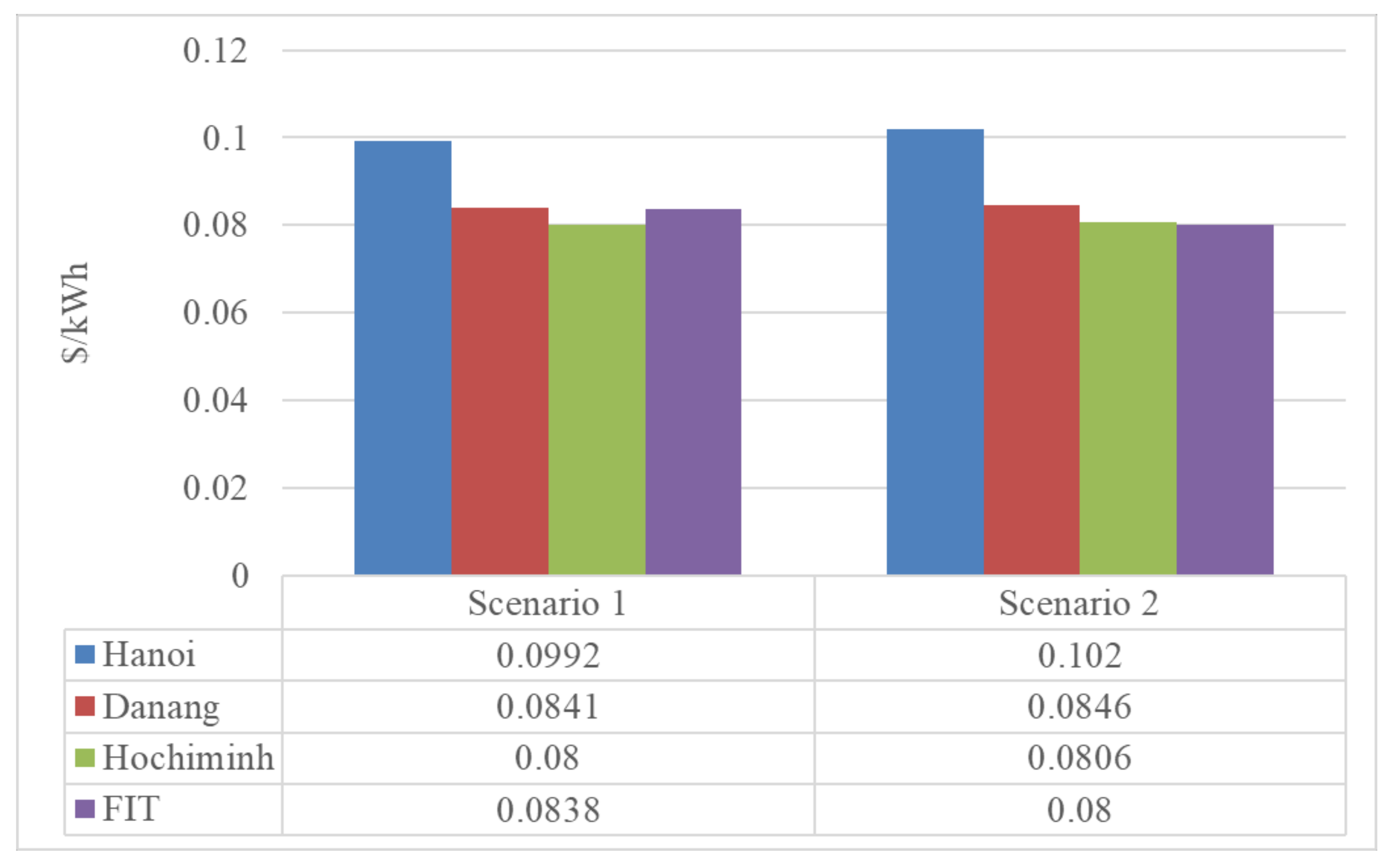
COE of the PV-powered EV charging stations in three cities of Hanoi, Da Nang, and Ho Chi Minh are shown in Figure 18. Hanoi has the highest COE of 0.0992 $/kWh, Da Nang’s COE is 0.0841 $/kWh while Ho Chi Minh has the lowest COE of 0.08 $/kWh. The COE of Ho Chi Minh is lower than the rooftop solar power FIT price in 2020 of 0.0838 $/kWh encouraged by the Vietnamese government. Therefore, the investment of the PV-powered EV charging station in Ho Chi Minh and other areas in Vietnam with similar or higher solar radiation conditions is completely feasible and can develop in the coming time. The PV-powered EV charging stations at Da Nang and other areas having the same solar radiation with COE equivalent to the solar power FIT price in 2020 can also be considered investing by optimizing the selection of equipment to reduce investment costs. Hanoi has high COE, so it is difficult for investors to make profits, the construction of the PV-powered EV charging stations at the lowest solar radiation areas should be supported by funding from the government or other organizations, etc.
Figure 18.
COE of the PV-powered EV charging stations in scenario 1.
It can be seen that the greater the solar radiation, the smaller the cost of NPC, COE, and operation, so the investment efficiency of the PV-powered EV charging stations will increase.
5.2. Scenario 2—The Minimum FIT Price Is 8 US cents/kWh
Table 7, Table 8 and Table 9 show the optimal system configuration of the solar EV charging station at Hanoi, Da Nang, and Ho Chi Minh with the FIT price of 0.08 $/kWh. There has been a big change happening in low solar irradiation areas like Hanoi because the minimum PV system capacity of 45 kW is considered as the most optimal plan, while the maximum PV system capacity of 50 kW is still the most optimal plan in the high solar irradiation conditions such as Da Nang and Ho Chi Minh due to the lowest NPC value.
Table 7.
Optimal configuration of PV-powered EV charging stations in Hanoi—Scenario 2.
Table 8.
Optimal configuration of PV-powered EV charging stations in Da Nang—Scenario 2.
Table 9.
Optimal configuration of PV-powered EV charging stations in Ho Chi Minh—Scenario 2.
In case the FIT price falls as in scenario 2, the NPC, COE, and operation cost of the solar EV charging stations will increase slightly, as shown in Figure 19, so the investment efficiency of PV-powered EV charging stations decreases.
Figure 19.
The NPC and the operating cost of the PV-powered EV charging stations in 2 scenarios.
In Table 10, the ratio of solar power and grid power in the total amount of generated electricity to the EV charging station in Da Nang and Ho Chi Minh in scenario 2 remains the same as in scenario 1. The optimal configuration of the EV charging station at Hanoi in scenario 2 changed, so there is a decrease in solar power output of 51,865 kWh/year supplied to the EV charging station while the excess solar power sold to the utility grid is 6638 kWh/year. The renewable fraction is also decreased to 52.3%.
Table 10.
Technical parameter of the PV-powered EV charging stations in scenario 2.
Figure 20 presents COE changes of the PV-powered EV charging stations in three different solar radiation regions with FIT price scenarios. The lower the FIT price, the higher the COE. The solar EV charging station at Ho Chi Minh can be invested by reducing the investment cost because the COE is only slightly higher than the FIT price in scenario 2. The COE of the PV-powered EV charging station at Da Nang and Hanoi in scenario 2 is greater than the new FIT price, so it is necessary to have the support capital from the government or other organizations to construct PV-powered EV charging stations.
Figure 20.
The COE of the PV-powered EV charging stations in 2 scenarios.
As can be seen from Table 6 and Table 10, the EV charger’s consumption is 89,884 kWh/year, so the CO2 emissions generated from the utility grid is 81,974 kg/year in the case of conventional charging (with zero PV). Thus, the use of PV system with greater capacity in EV charging stations can reduce the rate of grid power usage and the generated amount of CO2 during the operation process.
CO2 emissions from the PV-powered EV charging stations in different solar radiation regions are shown in Figure 21. The results present that the generated amount of CO2 from the EV charging station at Hanoi in scenario 2 is 3095 kg/year more than scenario 1 because the PV capacity of the optimal EV charging station configuration in scenario 2 decreases compared to scenario 1. The generated amount of CO2 from the EV charging station remains unchanged in both scenarios in Da Nang and Ho Chi Minh, with 30,568 kg/year and 28,456 kg/year, respectively.
Figure 21.
CO2 emissions from the PV-powered EV charging stations in two scenarios.
6. Conclusions
The technical and economic analysis of PV-powered EV charging stations in different solar radiation conditions in Vietnam has been studied by determining the optimal system configuration with the help of HOMER Grid software. The greater the solar irradiation, the smaller the cost of NPC, COE, and operations. Thus, the investment efficiency of the PV-powered EV charging stations will improve.
The research results present that the ratio of solar power and grid power in the total amount of generated electricity to the EV charging station in Da Nang and Ho Chi Minh unchanged in two scenarios because the maximum PV system capacity of 50 kW is still the most optimal plan. Hanoi changes the optimal configuration with PV capacity from 50 kW in scenario 1 to 45 kW in scenario 2; thus, the solar power output, excess solar power, and renewable fractions are decreased.
The more the FIT price falls, the COE of the solar EV charging stations of all three cities will increase slightly. Ho Chi Minh, with high solar irradiation conditions, can invest in the solar EV charging station in both scenarios of FIT price due to COE, which is less than the FIT price in scenario 1 or slightly higher than the FIT price in scenario 2. The COE of Da Nang in scenario 1 is 0.0841 $/kWh, close to the FIT price, so it is possible to invest in the solar EV charging station by optimizing the selection of equipment to reduce the total investment cost. In scenario 2, the COE of the solar EV charging station in Da Nang is 0.0846 $/kWh, which is higher than the new FIT price, so it is necessary to consider investment possibilities or mobilize capital support from the government or other organizations to build solar EV charging stations. This situation is similar to Hanoi with low solar irradiation conditions in both scenarios of FIT prices with COE scenario 1 of 0.0992 $/kWh, and scenario 2 of 0.102 $/kWh.
The installation of PV systems with greater capacity in EV charging stations can minimize the amount of generated CO2 due to its use of grid power.
Author Contributions
Conceptualization, P.V.M.; methodology, P.V.M.; software, P.V.M.; data curation, S.L.Q.; writing—original draft preparation, P.V.M., S.L.Q. and M.-H.P.; writing—review and editing, P.V.M., S.L.Q. and M.-H.P.; supervision, P.V.M.; project administration, P.V.M. All authors have read and agreed to the published version of the manuscript.
Funding
This research was funded by Vietnam Academy of Science and Technology (VAST) as a component of the project “Study on design, installation, and test of multi-function EV charging station using solar power”. Code VAST07.05/20-21.
Institutional Review Board Statement
Not applicable.
Informed Consent Statement
Not applicable.
Data Availability Statement
Not applicable.
Acknowledgments
This work was supported by Institute of Energy Science (IES) belongs to Vietnam Academy of Science and Technology (VAST).
Conflicts of Interest
The authors declare no conflict of interest.
References
- Aziz, A.S.; bin Tajuddin, M.F.N.; bin Adzman, M.R. Feasibility Analysis of PV/Wind/Battery Hybrid Power Generation: A Case Study. Int. J. Renew. Energy Res. 2018, 8, 661–671. [Google Scholar]
- List of 175 Signatories to Paris Agreement 15 States Deposit Instruments of Ratification. UNFCCC. Available online: http://newsroom.unfccc.int/paris-agreement/175-states-sign-paris-agreement/ (accessed on 15 January 2021).
- Prakash, J.; Habib, G. A technology-based mass emission factors of gases and aerosol precursor and spatial distribution of emissions from on-road transport sector in India. Atmos. Environ. 2018, 180, 192–205. [Google Scholar] [CrossRef]
- Jyotheeswara, R.K.; Natarajan, S. Energy sources and multi-input DC-DC converters used in hybrid electric vehicle applications –A review. Int. J. Hydrogen Energy 2018, 43, 17387–17408. [Google Scholar] [CrossRef]
- Lunz, B.; Sauer, D.U. 17—Electric road vehicle battery charging systems and infrastructure. In Advances in Battery Technologies for Electric Vehicles; Woodhead Publishing Series in Energy; Woodhead Publishing: Cambridge, UK, 2015; pp. 445–467. [Google Scholar]
- CAA. Types of Electric Vehicles. Available online: https://www.caa.ca/electric-vehicles/ (accessed on 15 January 2021).
- Hexeberg, L.F. Strategies for Smart Charging of Electric Vehicles. Master’s Thesis, Norwegian University of Science and Technology, Trondheim, Norway, June 2014. [Google Scholar]
- Edison, C. Electric Vehicles. Available online: https://www.coned.com/en (accessed on 15 January 2021).
- Contreras-Ocana, J.E.; Sarker, M.R.; Ortega-Vazquez, M.A. Decentralized Coordination of a Building Manager and an Electric Vehicle Aggregator. IEEE Trans. Smart Grid. 2016, 9, 2625–2637. [Google Scholar] [CrossRef]
- You, P.; Yang, Z. Efficient optimal scheduling of charging station with multiple electric vehicles via v2v. In Proceedings of the 2014 IEEE International Conference on Smart Grid Communications (SmartGridComm), Venice, Italy, 3–6 November 2014; pp. 716–721. [Google Scholar]
- Hardman, S.; Jenn, A.; Tal, G.; Axsen, J.; Beard, G.F.; Daina, N.; Pontes, P.; Refa, N.; Sprei, F.; Kinnear, N.; et al. A review of consumer preferences of and interactions with electric vehicle charging infrastructure. Transp. Res. Part D Transp. Environ. 2018, 62, 508–523. [Google Scholar] [CrossRef]
- Kutkut, N.H.; Klontz, K.W. Design Considerations for Power Converters Supplying the SAE J-1773 Electric Vehicle Inductive Coupler. In Proceedings of the APEC 97-Applied Power Electronics Conference, Atlanta, GA, USA, 27 February 1997; pp. 841–847. [Google Scholar]
- Yong, J.Y.; Ramachandaramurthy, V.K.; Tan, K.M.; Mithulananthan, N. A review on the state-of-the-art technologies of electric vehicle, its impacts and prospects. Renew Sustain. Energy Rev. 2015, 49, 365–385. [Google Scholar] [CrossRef]
- Williamson, S.S.; Rathore, A.K.; Musavi, F. Industrial electronics for electric transportation: Current state-ofthe-art and future challenges. IEEE Trans. Ind. Electron. 2015, 62, 3021–3032. [Google Scholar] [CrossRef]
- Yilmaz, M.; Krein, P.T. Review of battery charger topologies, charging power levels, and infrastructure for plug-in electric and hybrid vehicles. IEEE Trans. Power Electron. 2013, 28, 2151–2169. [Google Scholar] [CrossRef]
- Ibrahim, H.; Sayed, K.; Kassem, A.; Mostafa, R. A new power management strategy for battery electric vehicles. IET Electr. Syst. Transp. 2018, 9, 65–74. [Google Scholar]
- Savio, D.A.; Juliet, V.A.; Chokkalingam, B.; Padmanaban, S.; Holm-Nielsen, J.B.; Blaabjerg, F. Photovoltaic Integrated Hybrid Microgrid Structured Electric Vehicle Charging Station and Its Energy Management Approach. Energies 2019, 12, 168. [Google Scholar] [CrossRef]
- Fan, Y.; Zhu, W.; Xue, Z.; Zhang, L.; Zou, Z. A multi-function conversion technique for vehicle-to-grid applications. Energies 2015, 8, 7638–7653. [Google Scholar] [CrossRef]
- Neumann, H.; Schar, D.; Baumgartner, F. The potential of photovoltaic carports to cover the energy demand of road passenger transport. Prog. Photovolt. Res. Appl. 2012, 20, 639–649. [Google Scholar] [CrossRef]
- Ashish Kumar Karmaker, M.; Alamgir, H.; Nallapaneni, M.K.; Vishnupriyan, J.; Arunkumar, J.; Biplob, R. Analysis of Using Biogas Resources for Electric Vehicle Charging in Bangladesh: A Techno-Economic-Environmental Perspective. Sustainability 2020, 12, 2579. [Google Scholar] [CrossRef]
- Ingersoll, J.G.; Perkins, C.A. The 2.1 kW photovoltaic electric vehicle charging station in the city of Santa Monica, California. In Proceedings of the Twenty Fifth IEEE Photovoltaic Specialist’s Conference, Washington, DC, USA, 13–17 May 1996. [Google Scholar]
- Locment, F.; Sechilariu, M.; Forgez, C. Electric vehicle charging system with PV grid-connected configuration. In Proceedings of the IEEE Vehicle Power and Propulsion Conference (VPPC), Lille, France, 1–3 September 2010. [Google Scholar]
- Letendre, S. Solar electricity as a fuel for light vehicles. In Proceedings of the 2009 American Solar Energy Society Annual Conference, Boulder, CO, USA, 11–16 May 2009. [Google Scholar]
- The War in the Vietnamese Electric Motorcycle Market is Heating up. Available online: https://laodong.vn/xe/cuoc-chien-tren-thi-truong-xe-may-dien-viet-tang-nhiet-651973.ldo (accessed on 16 January 2021).
- Great Battle in the Electric Motorcycle Market. Available online: http://tapchitaichinh.vn/tai-chinh-kinh-doanh/dai-chien-thi-truong-xe-may-dien-313214.html (accessed on 16 January 2021).
- VinFast Inaugurated the Manufacturing Plant and Launched the Smart Electric Car Model. Available online: https://nhandan.com.vn/tin-tuc-kinh-te/vinfast-khanh-thanh-nha-may-san-xuat-va-ra-mat-mau-xe-dien-thong-minh-339920/ (accessed on 16 January 2021).
- Demand for Charging Stations Causes Jam in EV Advancement. Available online: https://www.vir.com.vn/demand-for-charging-stations-causes-jam-in-ev-advancement-72610.html (accessed on 16 January 2021).
- Homer. Available online: https://www.homerenergy.com/products/pro/index.html (accessed on 16 January 2021).
- Krishan, O.; Suhag, S. Techno-economic analysis of a hybrid renewable energy system for an energy poor rural community. J. Energy Storage 2019, 23, 305–319. [Google Scholar] [CrossRef]
- Stadler, M.; Marnay, C.; DeForest, N.; Eto, J.; Cardoso, G.; Klapp, D.; Lai, J. Web-Based Economic and Environmental Optimization of Microgrids. In Proceedings of the IEEE Innovative Smart Grid Technologies (ISGT), Washington, DC, USA, 16–20 January 2012. [Google Scholar]
- Hafez, O.; Bhattacharya, K. Optimal Planning and Design of a Renewable Energy Based Supply System for Microgrids. Renew. Energy 2012, 45, 7–15. [Google Scholar] [CrossRef]
- Narayan, A.; Ponnambalam, K. Risk-Averse Stochastic Programming Approach for Microgrid Planning under Uncertainty. Renew. Energy 2017, 101, 399–408. [Google Scholar] [CrossRef]
- Tulpule, P.J.; Marano, V.; Yurkovich, S.; Rizzoni, G. Economic and environmental impacts of a PV powered workplace parking garage charging station. J. Appl. Energy 2013, 108, 323–332. [Google Scholar] [CrossRef]
- Birnie, D.P., III. Solar-to-vehicle (S2 V) systems for powering commuters of the future. J. Power Sources 2009, 186, 539–542. [Google Scholar] [CrossRef]
- HOMER Grid 1.8. Available online: https://www.homerenergy.com/products/grid/docs/latest/how_homer_calculates_the_maximum_battery_charge_power.html (accessed on 17 January 2021).
- Tang, J.; Ye, B.; Lu, Q.; Wang, D.; Li, J. Economic Analysis of Photovoltaic Electricity Supply for an Electric Vehicle Fleet in Shenzhen, China. Int. J. Sustain. Transp. 2014, 8, 202–224. [Google Scholar] [CrossRef]
- Final Report on the Study and Development of Emission Factor (Ef) for Vietnamese Electrical Grid in 2018. Available online: http://vepg.vn/wp-content/uploads/2020/09/Final_Report_Emission_Factor_EN.pdf (accessed on 16 January 2021).
- Ministry of Industry and Trade of the Socialist Republic of Vietnam. Maps of Solar Resource and Potential in Vietnam, 2015; Ministry of Industry and Trade of the Socialist Republic of Vietnam: Hanoi, Vietnam, 2015.
- Nguyen, T.M.; Tang-Huang, L.; Hai-Po, C. The Environmental Effects of Urban Development in Hanoi, Vietnam from Satellite and Meteorological Observations from 1999–2016. Sustainability 2019, 11, 1768. [Google Scholar] [CrossRef]
- Introduction and Overview about the Geography of Hanoi City. Available online: https://hanoi.gov.vn/diachihanoi/-/hn/RtLibd2X8kEn/1001/124742/gioi-thieu-tong-quan-va-khai-quat-ve-dia-li-thanh-pho-ha-noi.html. (accessed on 18 January 2021).
- Phap, V.M.; Huong, N.T.T.; Hanh, P.H.; Duy, P.V.; Binh, D.V. Assessment of rooftop solar power technical potential in Hanoi city, Vietnam. J. Build. Eng. 2020, 32, 101528. [Google Scholar] [CrossRef]
- Hanoi: Electricity Load Growth Is Maintained at over 9% per Year. Available online: https://hanoi.gov.vn/tintuc_sukien/-/hn/ZVOm7e3VDMRM/7320/2834006/2/ha-noi-tang-truong-phu-tai-ien-duy-tri-o-muc-tren-9nam.html (accessed on 18 January 2021).
- Da Nang Portal. Available online: https://danang.gov.vn/web/en (accessed on 18 January 2021).
- World Bank. World Bank: Developing Sustainable Rooftop PV in Vietnam #1259789: HCMC and Danang; Final Inception Report; World Bank: Washington, DC, USA, 2019. [Google Scholar]
- Da Nang Electricity Reached 3 billion kWh of Commercial Electricity. Available online: https://www.phapluatplus.vn/kinh-te-cong-nghe/dien-luc-da-nang-lan-dau-can-moc-3-ty-kwh-dien-thuong-pham-d109986.html (accessed on 18 January 2021).
- Ho Chi Minh City. Available online: http://www.mpi.gov.vn/Pages/tinhthanhchitiet.aspx?idTinhThanh=35 (accessed on 18 January 2021).
- Power System in Ho Chi Minh City. Available online: http://kinhtevn.com.vn/he-thong-dien-tp-ho-chi-minh-san-sang-cho-phu-tai-tang-cao-vao-mua-kho-31954.html (accessed on 18 January 2021).
- EVN Retail Electricity Tariff. Available online: https://en.evn.com.vn/d6/gioi-thieu-d/RETAIL-ELECTRICITY-TARIFF-9-28-252.aspx (accessed on 20 January 2021).
- Government of the Socialist Republic of Vietnam. Decision No 13/2020/QD-TTg: On Mechanisms to Promote the Development of Solar Power Projects in Vietnam; Government of the Socialist Republic of Vietnam: Hanoi, Vietnam, 2020.
Publisher’s Note: MDPI stays neutral with regard to jurisdictional claims in published maps and institutional affiliations. |
© 2021 by the authors. Licensee MDPI, Basel, Switzerland. This article is an open access article distributed under the terms and conditions of the Creative Commons Attribution (CC BY) license (http://creativecommons.org/licenses/by/4.0/).




















