Fruit Quality and Antioxidant Activities of Yellow-Skinned Apple Cultivars Coated with Natural Sucrose Monoesters
Abstract
1. Introduction
2. Materials and Methods
2.1. Plant Material and Coating Treatment
2.2. Fruit Quality Measurements
2.3. Extraction of Antioxidants
2.4. Statistical Analysis
3. Results and Discussion
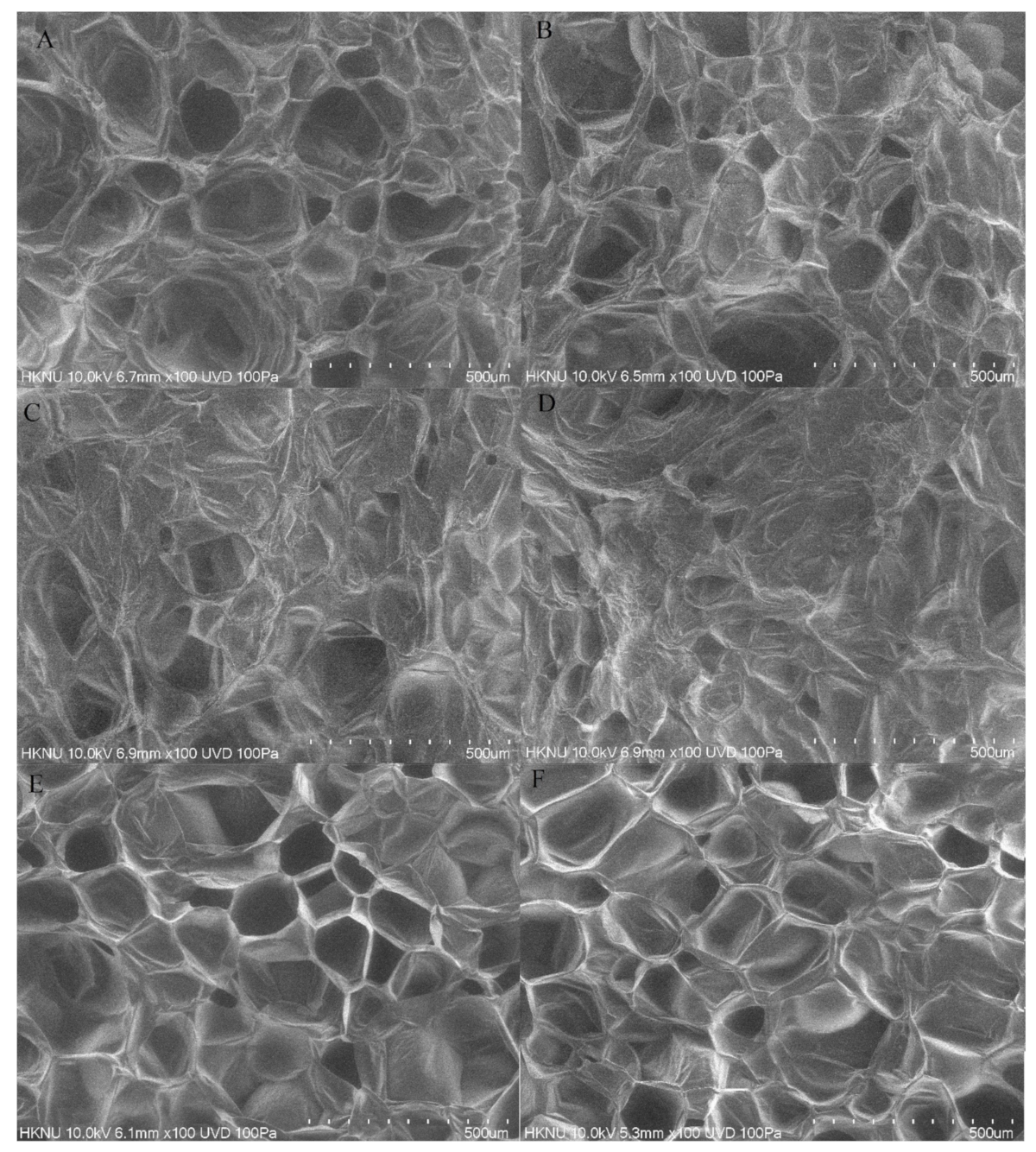
3.1. Fruit CO2 and Morphological Characteristics
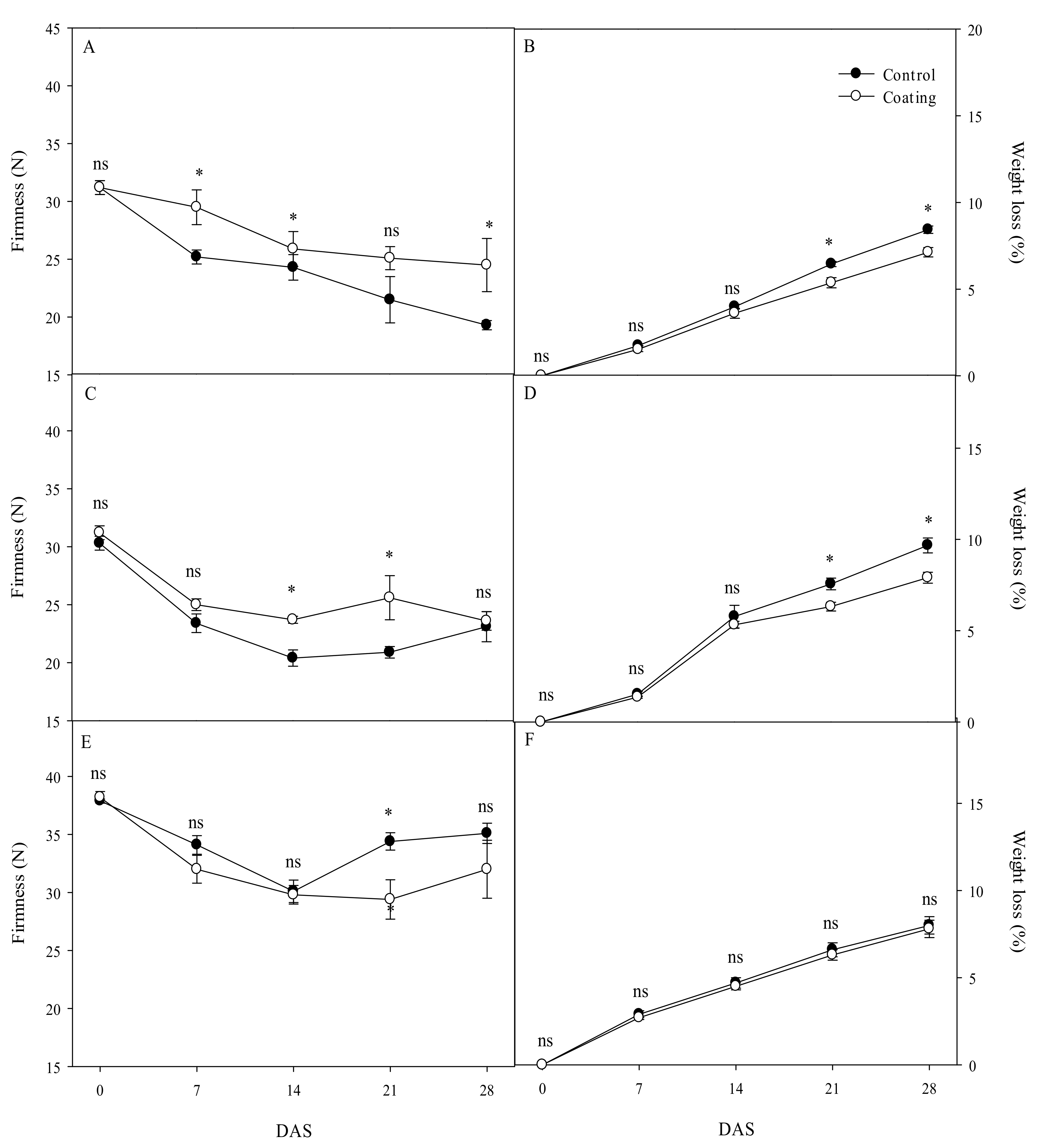
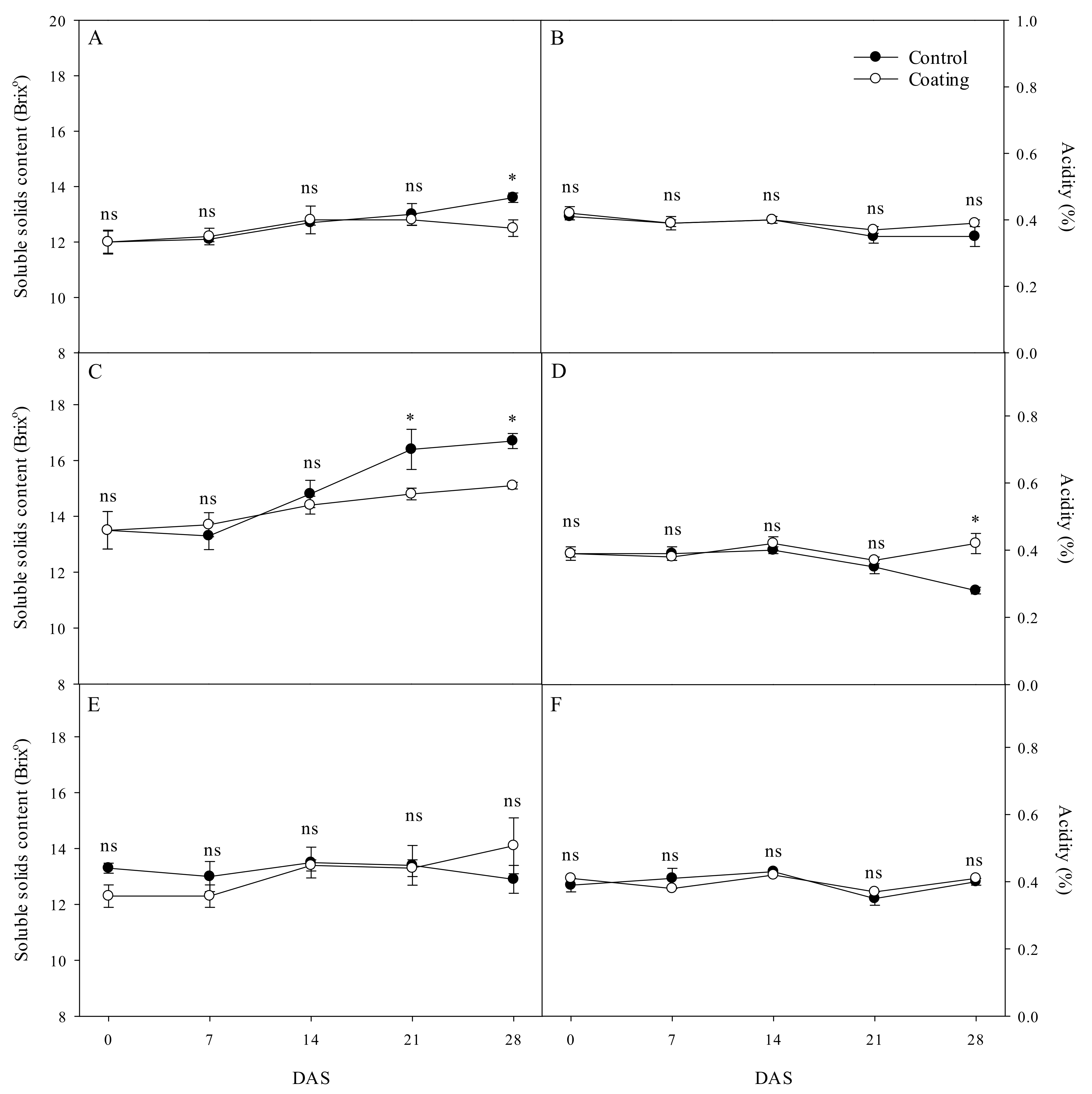
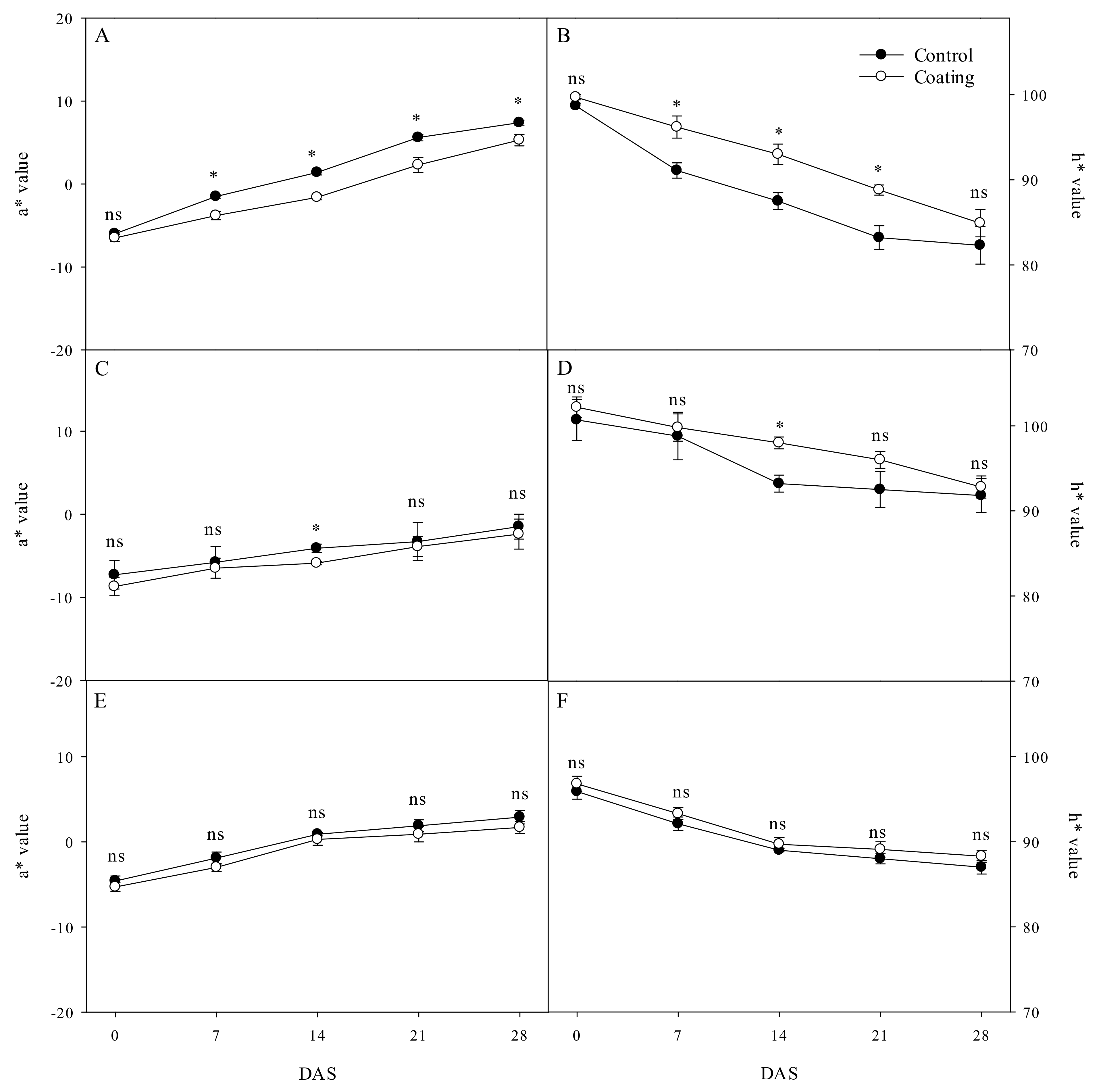
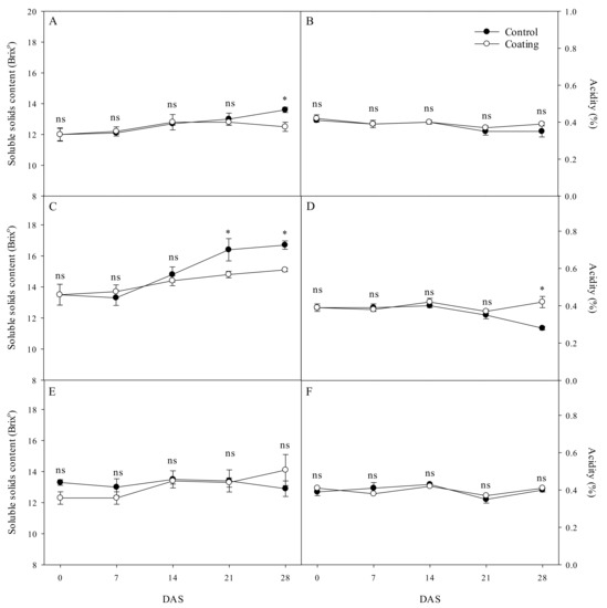
3.2. Fruit Quality
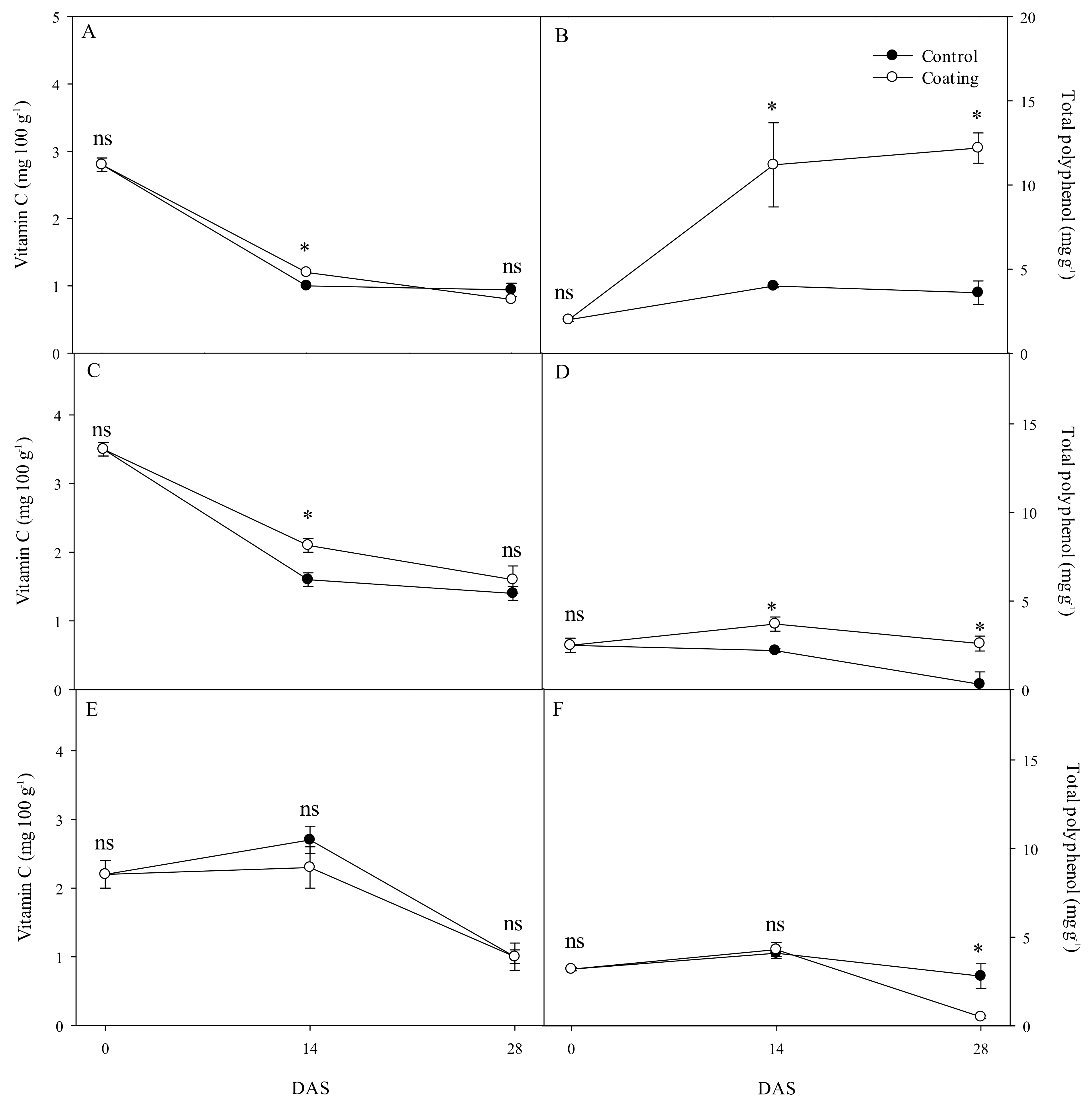
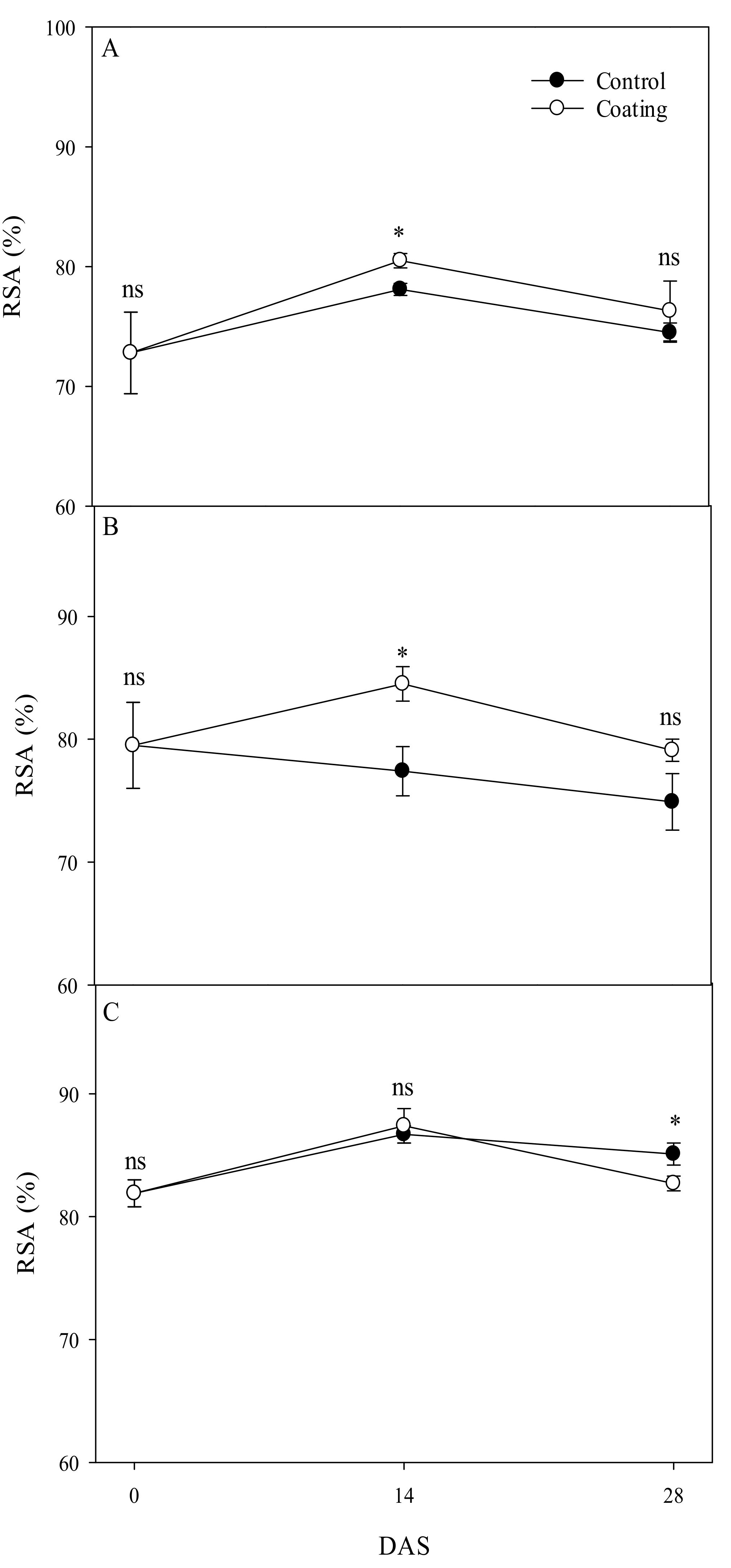
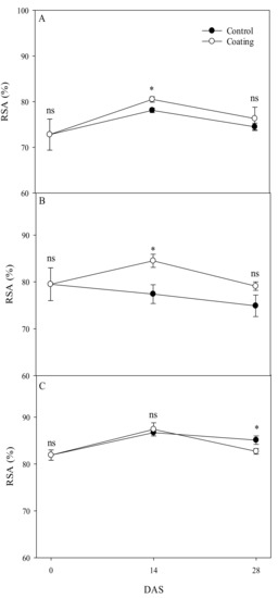
3.3. Antioxidants
4. Conclusions
Author Contributions
Funding
Institutional Review Board Statement
Informed Consent Statement
Data Availability Statement
Acknowledgments
Conflicts of Interest
References
- Musacchi, S.; Serra, S. Apple fruit quality: Overview on pre-harvest factors. Sci. Hortic. 2018, 234, 409–430. [Google Scholar] [CrossRef]
- Ban, S.H.; Yun, W.H.; Kim, G.H.; Kwon, S.I.; Choi, C. Genetic identification of apple cultivars bred in Korea using simple sequence repeat markers. Hort. Environ. Biotechnol. 2014, 55, 531–539. [Google Scholar] [CrossRef]
- Lee, E.H.; Cho, E.B.; Kim, B.O.; Jung, H.Y.; Lee, S.Y.; Yoo, J.G.; Kang, I.K.; Cho, Y.J. Functional properties of newly-bred ‘Summer King’ apples. Hort. Sci. Technol. 2020, 38, 405–417. [Google Scholar]
- Fukuda, H. A possibility of workload saving on apple cultivations. Agric. Hortic. 2006, 81, 1286–1292. [Google Scholar]
- Iwanami, H.; Moriya, S.; Kotoda, N.; Takahashi, S.; Abe, K. Storability in cold temperatures can be evaluated based on changes in fruit quality in apple genotypes under shelf life conditions. HortScience 2008, 43, 655–660. [Google Scholar] [CrossRef]
- Yoo, J.G.; Kang, I.K. Effect of cold storage and 1-methylcyclopropene treatment on fruit storage potential of ‘Summer Prince’ and ‘Summer King’ apples. Korean. J. Food Preserv. 2020, 27, 137–144. [Google Scholar] [CrossRef]
- Chen, H.Y.; Jiang, L.F.; Zeng, J.H.; Huo, Y.R.; Li, Y.X. Combination of carnauba wax-based coating and 1-methylcyclopropene (1-MCP) maintains better ‘‘Fuji’’ apple qualities during storage at low temperature. J. Food Process. Preserv. 2020, 44, 921–925. [Google Scholar] [CrossRef]
- Flores-López, M.L.; Cerqueira, M.A.; de Rodríguez, D.J.; Vicente, A.A. Perspectives on utilization of edible coatings and nano-laminate coatings for extension of postharvest storage of fruits and vegetables. Food Eng. Rev. 2016, 8, 292–305. [Google Scholar] [CrossRef]
- Martínez-Romero, D.; Bailén, G.; Serrano, M.; Guillén, F.; Valverde, J.M.; Zapata, P.; Castillo, S.; Valero, D. Tools to maintain postharvest fruit and vegetable quality through the inhibition of ethylene action: A review. Crit. Rev. Food Sci. Nutr. 2007, 47, 543–560. [Google Scholar] [CrossRef]
- Bai, J.; Baldwin, E.A.; Hagenmaier, R.D. Coating selection for apples other than ‘Delicious’. Postharvest Biol. Technol. 2003, 28, 381–390. [Google Scholar] [CrossRef]
- Bhardwaj, C.L.; Jones, H.F.; Smith, L.H. A study of the migration of externally applied sucrose esters of fatty acids through the skin of banana, apple and pear fruits. J. Sci. Food Agric. 1984, 35, 322–331. [Google Scholar] [CrossRef]
- Dhall, R.K. Advances in edible coatings for fresh fruits and vegetables: A review. Crit. Rev. Food Sci. Nutr. 2013, 53, 435–450. [Google Scholar] [CrossRef]
- Drake, S.R.; Fellman, J.K.; Nelson, J.W. Postharvest use of sucrose polyesters for extending the shelf-life of stored ‘Golden Delicious’ apples. J. Food Sci. 1987, 52, 1283–1285. [Google Scholar] [CrossRef]
- Hwang, Y.S.; Lee, J.C.; Chun, J.P. Effect of fruit coatings on the marketable quality in ‘Tsugaru’ apples during storage and simulated marketing. J. Agri. Sci. 1992, 19, 136–144. [Google Scholar]
- Kaewchana, R.; Techavuthiporn, C.; Kanlayanarat, S. Sucrose fatty acid coating retards pericarp browning of litchi cv. ‘Hong Huay’. Acta Hortic. 2006, 712, 579–584. [Google Scholar] [CrossRef]
- Nimitkeatkai, H.; Srilaong, V.; Kanlayanarat, S. Effect of edible coating on pineapple fruit quality during cold storage. Acta Hortic. 2006, 712, 643–648. [Google Scholar] [CrossRef]
- Thakur, R.; Pristijono, P.; Golding, J.B.; Stathopoulos, C.E.; Scarlett, C.J.; Bowyer, M.; Singh, S.P.; Vuong, Q.V. Development and application of rice starch based edible coating to improve the postharvest storage potential and quality of plum fruit (Prunus salicina). Sci. Hortic. 2018, 237, 59–66. [Google Scholar] [CrossRef]
- Xuan, H.; Streif, J. Effect of pre- and postharvest application of ‘Biofresh’ coating on the keepability of apple fruits. Acta Hortic. 1987, 513, 483–492. [Google Scholar]
- Tharanathan, R.N. Biodegradable films and composite coatings: Past, present and future. Trends Food Sci. Technol. 2003, 14, 71–78. [Google Scholar] [CrossRef]
- Ma, L.; Zhang, M.; Bhandari, B.; Gao, Z. Recent developments in novel shelf life extension technologies of fresh-cut fruits and vegetables. Trends Food Sci. Technol. 2017, 64, 23–38. [Google Scholar] [CrossRef]
- KMA. Statistical Analysis of Climate; Korea Meteorological Administration: Seoul, Korea, 2020. [Google Scholar]
- Dadzie, B.; Banks, N.; Hewett, E.; Cleland, D. Reduced greasiness of ‘Granny Smith’ apples washed in tween 20 solution. N. Z. J. Crop Hortic. Sci. 1995, 23, 219–222. [Google Scholar] [CrossRef]
- Phillips, K.M.; Tarrago-Trani, M.T.; Gebhardt, S.E.; Exler, J.; Patterson, K.Y.; Haytowitz, D.B.; Pehrsson, P.R.; Holden, J.M. Stability of vitamin C in frozen raw fruit and vegetable homogenates. J. Food Compos. Anal. 2010, 23, 253–259. [Google Scholar] [CrossRef]
- Slinkard, K.; Singleton, V.L. Total phenol analysis: Automation and comparison with manual methods. Am. J. Enol. Vitic. 1977, 28, 49–55. [Google Scholar]
- Blois, M.L. Antioxidant determination by the use of a stable free radical. Nature 1958, 181, 1199–1224. [Google Scholar] [CrossRef]
- Song, J.; Bangerth, F. The effect of harvest date on aroma compound production from ‘Golden Delicious’ apple fruit and relationship to respiration and ethylene production. Postharvest Biol. Technol. 1996, 8, 259–269. [Google Scholar] [CrossRef]
- Jung, S.K.; Lee, J.M. Effects of 1-methylcyclopropene (1-MCP) on ripening of apple fruit without cold storage. J. Hortic. Sci. Biotech. 2009, 84, 102–106. [Google Scholar] [CrossRef]
- Momen, M.N.; Tatsumi, Y.; Shimokawa, K. Effects of coating treatment with sucrose fatty acid esters on the ripening of Cavendish banana. Food Preserv. Sci. 1997, 6, 315–320. [Google Scholar] [CrossRef][Green Version]
- Homutová, I.; Blažek, J. Differences in fruit skin thickness between selected apple (Malus domestica Borkh.) cultivars assessed by histological and sensory methods. Hortic. Sci. 2006, 33, 108–113. [Google Scholar] [CrossRef]
- Yang, Y.; Zhou, B.; Zhang, J.; Wang, C.; Liu, C.; Liu, Y.; Zhu, X.; Ren, X. Relationships between cuticular waxes and skin greasiness of apples during storage. Postharvest Biol. Technol. 2017, 131, 55–67. [Google Scholar] [CrossRef]
- Wang, S.Y.; Gao, H. Effect of chitosan-based edible coating on antioxidants, antioxidant enzyme system, and postharvest fruit quality of strawberries (Fragaria x aranassa Duch.). LWT-Food Sci. Technol. 2013, 52, 71–79. [Google Scholar] [CrossRef]
- Hasan, S.M.K.; Nicolai, B. Quality of pears with permeability of bio-freshTM edible coatings. Afr. J. Food Sci. 2014, 8, 410–418. [Google Scholar]
- Galani, J.H.Y.; Mankad, P.M.; Shah, A.K.; Patel, N.J.; Acharya, R.R.; Talati, J.G. Effect of storage temperature on vitamin C, total phenolics, UPLC phenolic acid profile and antioxidant capacity of eleven potato (Solanum tuberosum) varieties. Hortic. Plant J. 2017, 3, 73–89. [Google Scholar] [CrossRef]
- Lee, J.H.; Min, S.C.; Song, K.B. Effects of edible coating on the quality change in ‘Hongro’ apples during storage. J. Appl. Biol. Chem. 2015, 58, 61–64. [Google Scholar] [CrossRef][Green Version]









Publisher’s Note: MDPI stays neutral with regard to jurisdictional claims in published maps and institutional affiliations. |
© 2021 by the authors. Licensee MDPI, Basel, Switzerland. This article is an open access article distributed under the terms and conditions of the Creative Commons Attribution (CC BY) license (http://creativecommons.org/licenses/by/4.0/).
Share and Cite
Jung, S.-K.; Choi, H.-S. Fruit Quality and Antioxidant Activities of Yellow-Skinned Apple Cultivars Coated with Natural Sucrose Monoesters. Sustainability 2021, 13, 2423. https://doi.org/10.3390/su13052423
Jung S-K, Choi H-S. Fruit Quality and Antioxidant Activities of Yellow-Skinned Apple Cultivars Coated with Natural Sucrose Monoesters. Sustainability. 2021; 13(5):2423. https://doi.org/10.3390/su13052423
Chicago/Turabian StyleJung, Seok-Kyu, and Hyun-Sug Choi. 2021. "Fruit Quality and Antioxidant Activities of Yellow-Skinned Apple Cultivars Coated with Natural Sucrose Monoesters" Sustainability 13, no. 5: 2423. https://doi.org/10.3390/su13052423
APA StyleJung, S.-K., & Choi, H.-S. (2021). Fruit Quality and Antioxidant Activities of Yellow-Skinned Apple Cultivars Coated with Natural Sucrose Monoesters. Sustainability, 13(5), 2423. https://doi.org/10.3390/su13052423
