Abstract
In Switzerland, the advantages of timber buildings for the climate are broadly discussed. In the following paper, a comparative sustainability assessment of four building alternatives is presented. Especially the contribution of implementing Swiss timber versus the implementation of imported timber is highlighted. Additionally, the timber-hybrid building structures are compared to a pure reinforced concrete structure. The timber-hybrid structure, with Swiss timber, has clear ecological advantages with only half the greenhouse gas emissions and half the non-renewable energy consumption compared to the reinforced concrete alternative. Comparing the Swiss timber alternative to the imported timber alternative, there are clear ecological advantages, as well. In terms of economic and social sustainability assessment criteria, the reinforced concrete alternative has the lowest production costs and the lowest labor intensity (measured in terms of full-time equivalents). Additionally, the paper includes an analysis of biogenic CO2 emissions and CO2 storage within the timber building alternatives. Finally, an up-scaling to the national level is attempted, showcasing the ecological and economic advantages of promoting the use of locally produced timber.
1. Introduction
In the context of climate change mitigation, sustainability assessment is becoming an increasingly important topic. Since industrialization, the global temperature has been rising significantly above average expectations. It is assumed that mainly greenhouse gases (GHG) caused by human activities are responsible for this [1]. Therefore, finding methods to reduce GHG emissions and energy consumption is vital. Following the Paris Climate Change Convention from 2015, Switzerland agreed to halve its GHG emissions by 2030 (compared to 1990 levels), and aims to achieve GHG neutrality by 2050 [1]. In Switzerland, the building stock is responsible for a quarter of all GHG emissions and for 45 percent of primary energy consumption [2]. The major part of this stems from the operation phase of buildings. However, it should be noted that the rapid progress of technical developments in energy efficiency and thus the emission loads during the operating phase of buildings are continuously decreasing. This leads to the fact that the energy consumption and GHG emissions of the production of building materials and construction become increasingly important. Therefore, a reduction of embodied energy and embodied emissions has increased in significance in recent years.
Timber structures are a known possibility to build with low embodied energy consumption and emissions. However, it is often difficult to quantify the exact amount of reduced impacts, especially since most structures are prototypes implementing different structural concepts and therefore structural materials with different ecological impacts. This leads to the issue that in the decision-making process for a structural type the sustainability has to be evaluated anew for each building project. Furthermore, timber is known to store carbon and extending the timber-building park could extend the carbon-storage park. However, so far no methodological consensus on how to account for carbon storage has been reached [3].
In recent years, the use of timber has increased in the Swiss construction industry [4]. In 2018, building permits for novel single-family houses included 14 percent timber buildings (i.e., implementing timber as the structural material). In comparison, the market share was only 12.6 percent for novel single-family houses in 2011. For multi-family houses 7.5 percent of the building permits were issued for timber structures, compared to only 6 percent in 2011 [5]. Compared to the excellent conditions for timber structures in Switzerland (updated fire safety provisions in 2015 and sufficient resource availability), and in view of the climate targets set by the government, the increase rates are small. In addition, roughly 70 percent of the implemented timber products are imported, which raises the question as to why local timber is not being used more [6]. Indeed, energy consumption and GHG emissions are relevant ecological aspects in favor of timber construction, however, for truly sustainable solutions, the three pillars of sustainability, i.e., economic aspects, ecological aspects, and social aspects, should be considered [7]. Until recently, timber structures were often more expensive than conventional structures, and limited cost data are available, which makes investors cautious. Another aspect is the influence of limited high-quality data sources for a three-pillar sustainability assessment. For many products and processes, only generic data or data with low technological correlation is available. This presents a major source of uncertainty for sustainability comparisons and decision-making. Therefore, efforts to quantify this uncertainty are vital.
This paper aims to address the following questions: Why is the percentage of timber structures not increasing more significantly and which information is missing for key decision makers to opt for the most sustainable structure? What is the effect of a three-pillar sustainability approach compared to a purely ecological approach? How can the positive effect of increased CO2 storage capacity in timber buildings be assessed? How can the effect of data uncertainty be quantified and what is the sustainability impact of importing large percentages of timber?
To achieve this aim, a comparative sustainability assessment of a case study of a timber building versus a generic reinforced concrete building is presented in this paper. The comparative sustainability assessment serves as a benchmark for the development of a decision-making tool, supported by a reliable dataset. The focus is on comparing the embodied energy and emissions. After comparing the sustainability assessment of the timber case-study building to the reinforced concrete alternative, the results will be aggregated with results from similar studies on other case studies (e.g., alternative building types, dimensions, locations, etc.) to provide a comprehensive database for decision-making. This research is part of an international research project, where further case studies are currently being assessed to complement the database. Additionally, the goal is to highlight the optimization potential along the different product chains and to quantify the influence of data uncertainty. Several scenarios are considered for the future development of the Swiss timber building market and, based on an upscaling of the case-study results, possible emission reductions and energy savings on a national level are calculated.
First, a brief overview on the sustainability assessment of buildings is provided (Section 2), followed by details on the herein implemented method (Section 3). Then the results of the sustainability assessment for multiple alternatives are presented and discussed in Section 4. Finally, the main conclusions are presented in Section 5.
1.1. Timber Industry in Switzerland
Timber construction per se is not promoted by public policy in Switzerland, as of today. However, sustainability considerations play an important role. The concept of the 2000 Watt Society is strongly promoted and supported by the “SIA Effizienzpfad Energie” [8], a commonly accepted tool to assess the sustainability of buildings. For example, for novel public buildings, the label “Minergie” [9], or the requirements of the “SIA Effizienzpfad Energie”, are required.
At the forestry level, the Swiss government tries to achieve full exploitation of sustainably available wood [10]. The policy states that forestry and the utilization of wood should contribute to the mitigation of climate change. Structural and serviceability requirements for buildings are regulated according to the SIA norms [11,12,13]. Fire safety is regulated by the fire safety regulations [14]. According to Swiss fire safety regulations, buildings implementing timber as structural elements are allowed up to 100 m in height.
1.2. Supply and Demand of Timber in Switzerland
In Switzerland, the total annual potential supply of wood is estimated to be around 11.5 million m3, calculated based on data from 2007 through 2016 [15]. The supply corresponds to the annual regrowth of wood within Swiss forests. To prevent overuse and to consider socio-political aspects, such as the maintenance of the protective and recreational function of the forest, the utilization potential is reduced to ca. 9.6 million m3 of wood [15]. If, in addition, economic efficiency is taken into account, i.e., how much wood can be harvested in an economically self-sufficient way, this results in a sustainably available utilization potential of ca. 6.1 million m3 [15]. The sustainably available utilization potential can further be distributed to softwood (3.7 million m3) and hardwood (2.4 million m3).
The annual harvest of wood was 5.2 million m3 in 2018, 4.7 million m3 in 2017, 4.5 million m3 in 2016, and 4.6 million m3 in 2015 [16]. The sustainably available utilization potential was thus not exploited and there is a potential for an increased use of Swiss wood.
For timber construction products, such as glued-laminated timber (glulam) or cross-laminated timber (CLT), wood in sawlog quality has to be available. In 2017, 3.0 million m3 of softwood were harvested, of which 71 percent had sawlog quality. If the same percentage is applied to the above-mentioned utilization potential and compares this to the amount of harvested sawlogs in softwood, there is a remaining harvesting potential of 0.463 million m3 softwood.
The closing of this gap between the supply and demand of Swiss wood has been the topic of political discussions and research projects for several years. One large-scale project, which developed the research background for the optimization of wood resources in Switzerland, was the national research program on wood resources, focusing among other topics on wood procurement and sustainable wood use (National Research Program (NFP) 66) [17]. Within this project, a detailed value chain of all major wood products produced and consumed in Switzerland and an assessment of their environmental effects were performed (Suter (2016) [18]; Suter et al. (2017) [19]). The study concluded that the environmental benefits of wood use are highest if it can be implemented to substitute fossil fuels or energy-intensive building materials. Furthermore, substantial care should be taken to minimize negative effects, such as particulate matter emissions. The authors concluded that it is vital to apply a systems perspective and to balance substitution and cascading effects carefully. Additionally, the effect of biogenic CO2 emissions was studied and the authors advised implementing wood in long-term applications such as buildings, instead of short-term applications such as for energetic purposes (thermal combustion).
However, the data of recent years have illustrated that the use of wood as energy wood has been increasing. The percentages of energy wood, indicated in the Jahrbuch Wald und Holz (Forest and Wood Yearbook) [16], are as follows: 37 percent (2018), 39 percent (2017), 39 percent (2016), and 38 percent (2015), compared to much lower percentages in 2007 (roughly 25 percent). To counteract this trend, long-term applications of wood, such as in structural systems in buildings, should be focused on.
2. Sustainability Assessment of Buildings
2.1. General Aspects of Sustainability Assessment
As mentioned previously, a full sustainability assessment comprises not only an ecological life cycle assessment (LCA), but additionally a life cycle cost (LCC) assessment and a social life cycle assessment (SLCA).
The basic methodology of an LCA is anchored in the ISO14040/14044 standards [20], [21]. The framework defines four phases of an LCA: 1. Goal and scope definition, 2. Inventory analysis, 3. Impact assessment, 4. Interpretation. In phase 1, the aim of the LCA has to be defined alongside the functional unit (e.g., for comparison between two different products), the system boundaries (e.g., process stages according to Figure 1 in EN 15804 [22]), and the indicator selection based on which the ecological effects are to be assessed. Depending on the goal of the study, all processes of the life cycle (from raw material to end-of-life (cradle-to-grave), or only a part of the processes (e.g., from raw material to construction site (cradle-to-gate)) may be considered. Phase 2, the life cycle inventory analysis (LCI), comprises the gathering of information of all relevant processes, material flows, and indicator values for all relevant processes. Phases 3 and 4 then include the calculation of the ecological impact based on the selected indicators and an interpretation of the obtained results. The LCC adds an additional layer to the LCA, in the sense that in addition to the ecological indicators, the life cycle costs are accounted for as well. This is the case for the SLCA as well, where additionally social indicators are added (cf. Parent et al. (2010) [23] and Guidelines on SLCA [24]).
2.2. Sustainability Indicators and Databases
In sustainability assessment, the selection of life cycle impact indicators is one of the most important steps. In general, the selection of indicators is not predefined, however, for some assessments several indicators might be required, e.g., for the generation of an environmental product declaration (EPD) [10] or to obtain a certain building label (e.g., Minergie [25], Building Research Establishment Environmental Assessment Method (BREEAM) [26], Leadership in Energy and Environmental Design (LEED) [27], or Deutsche Gesellschaft für Nachhaltiges Bauen (DGNB) [28]). If this is, however, not the scope of the sustainability assessment, the study designers are free to select their indicators from an ever-increasing variety of indicators. Pülzl et al. (2012) [29] provided several guidelines for indicator selection. They stated that indicators should ideally cover aspects from all three pillars of sustainability assessment and that selecting commonly implemented indicators increases the relevance and acceptance of results.
For ecological and economic data, several databases exist, whereas for social indicators the availability of quantitative data is often limited. In Switzerland, the following data sources are most commonly used for LCA:
- Ecoinvent 3.6: Ecoinvent is a non-profit association, which was founded by several institutes of the Swiss Federal Institute of Technology and Agroscope. The Ecoinvent database provides extensive process data for a large number of products [30]. The database is included in several renowned LCA software tools, such as for example Simapro [31]. The Ecoinvent data for timber are mainly based on the report by Werner et al. (2007) [32].
- Environmental Product Declarations (EPD): EPDs are generated according to the standard ISO14025 [33]. For construction products, EN 15804 [22] provides additional guidelines. An EPD describes building materials, products, or components in terms of their environmental impact based on life cycle assessment and their functional and technical properties. EPDs are specific to a product and are often commissioned by the product’s manufacturer.
- KBOB (abbreviation for “Koordinationskonferenz der Bau- und Liegenschaftsorgane der öffentlichen Bauherren” (Coordination Conference of the Building and Real Estate Bodies of Public Developers)): The KBOB database is a free-ware Swiss database [34] based on the previously described Ecoinvent database. It indicates the cumulated primary energy and GHG, and the ecological scarcity indicator for typical construction materials and aggregated elements [35]. The database provides data for LCA calculations to practitioners and is required by Swiss building labels such as Minergie.
For assessments of economic and social impacts no such extensive databases exist. Their inventories have to be derived from an extensive literature research.
2.3. Comparative Sustainability Assessment of Buildings
In what follows, a brief literature overview of existing studies that performed a comparative assessment of timber and concrete buildings is presented.
Buchanan et al. (2012) [36] compared a steel, concrete, and low-emission timber building design to an actual case-study building. They compared energy consumption for production, operation, and end-of-life phases, as well as the global warming potential (GWP). Throughout this publication, GWP always refers to the GWP for a time frame of 100 years. For the production phase, they found that the total energy consumption of the case-study timber alternative was higher than the one of the designed concrete building, however, in terms of non-renewable energy the concrete alternative had a slightly higher consumption. The GWP for material production was significantly higher for the steel and concrete alternatives than for the timber alternatives.
A similar analysis was conducted by Robertson et al. (2012) [37]. They investigated the environmental impacts of typical mid-rise office buildings in North America. Their results stated that the GWP of the timber alternative was roughly one fourth of the concrete alternative’s GWP. On the other hand, the process energy was almost identical for the concrete and timber alternative.
König et al. (2015) [38] presented a comparison between six timber buildings to a concrete standard building alternative. They found out that in all cases the timber alternatives had significantly lower GHG and that they consumed significantly less non-renewable primary energy. Furthermore, the authors stated that the consumption of renewable resources such as timber was favorable compared to the consumption of non-renewable resources such as mineral construction materials.
Another case-study application was presented by Fouquet et al. (2015) [39]. They compared three buildings, one with a timber-frame construction, one with cast concrete, and one with concrete cavity walls. The assessment focused on the GWP and the influence of different methodological choices, such as biogenic carbon accounting and dynamic aspects. The timber building had the lowest impact with or without the consideration of biogenic carbon, and both for landfill or reuse recycling scenarios, as well as for static and dynamic LCA. However, the gap between the timber and concrete alternatives changed significantly depending on the methodological choices.
Heeren et al. (2015) [40] performed a parametric Monte Carlo analysis of typical Swiss residential houses from wood and brick construction while also accounting for the difference in thermal mass that influenced operational energy demand. They sampled 4500 different parameter combinations and were able to show that the wood variant outperformed the brick version in more than 95 percent of the cases in terms of life-cycle GHG emissions.
Cattarinussi et al. (2016) [41] designed a high-rise building in reinforced concrete and in timber. They concluded that the structural system in timber could reduce the CO2 emissions by roughly 40 percent. Furthermore, the total costs of the timber structure were 4 percent lower due to the significant difference in foundation type (flat versus piles). Comparing only the aboveground structural costs, the costs of the timber alternative were 11 percent higher. The authors, however, also concluded that the usual higher speed of construction for timber buildings would lead to an earlier completion and thus to an earlier income in comparison to the concrete structure.
Another study by Skullestad et al. (2016) analyzed possible GHG reductions due to the substitution of multi-story steel or reinforced concrete building structures with structural systems in timber [42]. Several calculation strategies were analyzed (allocation method, modeling of biogenic CO2, carbonation). All strategies resulted in lower GHG emissions for the timber structure. The emission reduction ranged from 34 to 83 percent (four different building types and different calculation strategies).
Hafner and Schäfer (2017) [43] documented substitution factors for GHG reductions due to the replacement of mineral materials with timber in buildings. They stated that there was a positive reduction potential for all studied variants.
A three-pillar-based sustainability assessment was carried out for five types of timber-hybrid building structures in Malaysia by Balasbaneh et al. (2018) [44]. In terms of social LCA (SLCA), they found out that the timber-based structures provided higher wages throughout the production chain than other structural systems.
Sandanayake et al. (2018) [45] compared GHG emissions of concrete and timber buildings, focusing on the production, transportation, and construction stages. The data for the construction stage were obtained from a local contractor. The authors concluded that building with timber leads to lower embodied GHG emissions and lower GHG emissions from transportation processes.
A comparative LCA study of a hybrid CLT structure and a reinforced concrete alternative was presented by Pierobon et al. (2019) [46]. The authors followed a cradle-to-gate approach focusing on the embodied emissions and energy consumption. The hybrid CLT building achieved almost a 30 percent reduction in GWP, excluding biogenic carbon emissions. Biogenic carbon emissions are emissions from the combustion or other processing steps of biological materials that lead to carbon emissions, such as the combustion of wood. The total primary energy consumption, on the other hand, was similar for both construction materials. The non-renewable primary energy, however, was 8 percent lower for the hybrid CLT structure. Additionally, the authors stated the long-term CO2 storage capability of the timber alternative.
In a recent project by Rhomberg Bau GmbH, two almost identical buildings, one in reinforced concrete and one in timber, were built almost simultaneously [47]. The goal was to carry out a holistic comparison between both buildings during the construction and operation phase. So far, the authors have concluded that there is significant optimization potential for both construction methods. The construction costs of the timber building were 0.6 percent to 3 percent higher than for the concrete structure. However, the timber alternative had a significantly reduced construction time, higher manufacturing quality, and significant ecological advantages (GWP, primary energy non-renewable).
Table 1 summarizes the abovementioned studies. Most of them focus on the assessment of ecological aspects, whereas some focus only on GWP or GHG emission reduction. Some studies include life cycle cost aspects, and only one study included aspects of social LCA. It is challenging to compare the results from the abovementioned studies, as the results are specific to the selected system boundaries and other aspects, such as the allocation method, consideration of biogenic carbon, cradle-to-gate or full life cycle approaches, etc.
Table 1.
Comparison of sustainability assessment studies on timber and other structural material.
3. Methodology
The following section follows the structure of a basic life cycle assessment study. The goal of the herein described sustainability assessment was to quantify the ecological, economic, and social advantages of implementing Swiss timber versus implementing imported timber, or massive concrete construction techniques. Therefore, a case-study building was selected (cf. Section 3.1), its material flows were analyzed, and a sustainability assessment was performed implementing economic, ecological, and social indicators. In total four alternatives of the case-study building were analyzed:
- Case study (structural system of a building unit with 30 percent imported timber products and 70 percent local timber)
- 100 percent imported timber (structural system of a building unit with 100 percent imported timber)
- 100 percent Swiss/local timber (structural system of a building unit with 100 percent local timber)
- Reinforced concrete structure (reinforced concrete structural system of a building unit with identical functionality to the status quo building). It is assumed that the required concrete and rebars are produced locally.
In what follows, the designation “Swiss timber” is referred to as “local timber,” without referring to an implication of short transport distances or regional sourcing. Swiss national averages for production processes and transport distances are assumed. The designation “imported timber” refers to timber imported from Germany with the corresponding longer transport distances [48].
As a functional unit the area of heated living space in m2 was selected. The functionality of all compared structural systems (case-study building, 100 percent local timber, 100 percent imported timber, reinforced concrete) should be identical in terms of structural safety, fulfilment of the serviceability limit states, thermal performance of the building envelope, fulfilment of fire safety regulations, and requirements of soundproofing. It was assumed that the building envelope and all other non-structural elements are identical for all four alternatives. Therefore, to this study focuses only on the structural elements for the comparative sustainability assessment.
Furthermore, the recent improvements on energy consumption and emissions during the operation phase of a building have led to a focus shift onto the embodied energy and emissions of a building. Therefore the focus of this study is on the embodied energy, i.e., the system boundary was set to cradle-to-gate. This means that only processes from the raw material extraction to the delivery to the construction site were considered. The phases corresponded to modules A1 (raw material supply), A2 (transport to manufacturing site), A3 (manufacturing), and A4 (transport to construction site), according to DIN EN 15643 [49]. The construction process (A5) was not considered. The geographic boundary considered mainly processes within Switzerland (for the 100 percent local timber and the reinforced concrete alternatives). However, for the alternatives with imported timber, the main importing country was included within the system boundary. Between 2008 and 2016, more than 50 percent of timber product imports stemmed from Germany (beams and posts in timber), whereas in 2017 and 2018 Austria was the main importing country [50]. For the current study, it was assumed that the production processes in Germany and Austria were similar, and that therefore the German processes could be considered as a basis for imported timber processes.
The following sections describe first the selected case study and its alternative in reinforced concrete, and then the selected sustainability assessment tool is described. Further on, the selected indicators are presented followed by details on the life cycle inventory step (data gathering).
3.1. Case-Study Selection and Design of Concrete Alternative
As mentioned previously, the final goal of the research project was to develop a database with different building types. In the first step it was decided to select one case-study building per involved research partner, i.e., one building in Sweden, one in Finland, and one in Switzerland, as a starting point. Herein the focus is on the Swiss case-study building. Ideally, the case-study building should be a state-of-the-art timber building with a high impact on the Swiss building market. The building category with the highest market share is mid-rise residential buildings. Therefore, it was decided to select the “sue&til” building complex in Winterthur, as it is a large-scale residential building that was completed in 2017/2018. Furthermore, the sue&til building complex was certified with the Minergie label [9] and was built according to the “SIA Effizienzpfad Energie (SIA Efficiency Path for Energy)” [8].
3.1.1. The sue&til Building
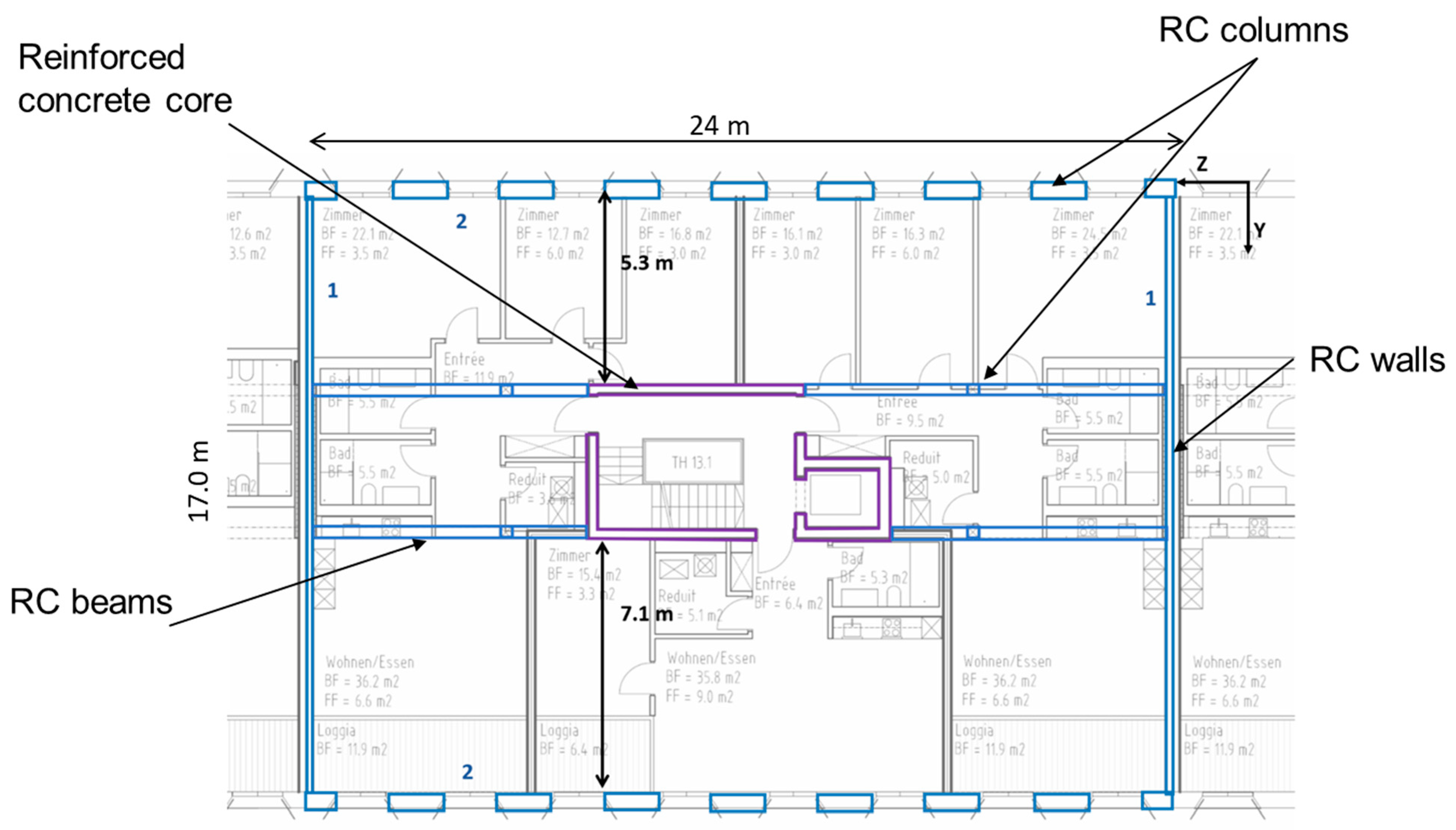
The “sue&til” building complex is located in the city of Winterthur, Switzerland. Figure 1 displays a picture of the building from the outside, a picture from the construction, and a visualization from the inside. The building complex is divided into 20 building units, each with 5 to 6 stories. The entire complex provides 300 residential apartments and additional space for shops on the ground floor with a construction volume of 178,800 m3. The structural system is a timber-hybrid structure. The main frame consists of glulam columns and beams. The walls are made of CLT and the slabs are made of horizontally oriented glulam beams. In some parts of the building, the main timber elements were reinforced with inserted steel girders. In total, 10,000 m3 of wood were implemented. The percentage of imported wood and timber products was roughly 30 percent. The basement and the ground floor were built with reinforced concrete and additionally the staircases and elevator shafts were realized in reinforced concrete.
Figure 1.
Pictures and indoor visualization of the sue&til building (Source: Implenia, Lignum, sue&til webpage).
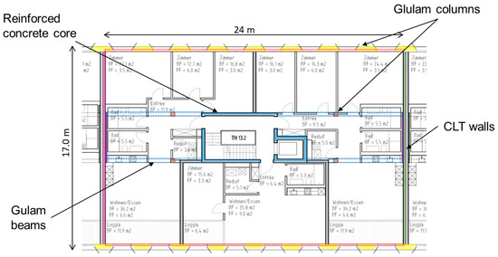
In Figure 2 an example floor plan of a building unit is presented (Source: building floor plans from Implenia).
Figure 2.
Apartments 13.3.1–13.3.3 in building H13, third floor (Source: building floor plans from Implenia).
Table 2 presents the details of the implemented materials for a single building unit of the sue&til building complex. The selected building unit has a gross floor area of 1,982.4 m2. Steel rebars and steel beams are attributed to the category “steel”. In what follows, it is therefore assumed that the indicator values for steel rebars and other structural steel elements are similar. Furthermore, the foundation of the building is not included.
Table 2.
Materialization of one building unit of the sue&til building complex.
3.1.2. Design of the Reinforced Concrete Alternative
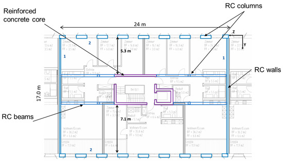
The reinforced concrete alternative was designed during a master thesis conducted at ETH Zurich [51]. In what follows, its main characteristics are briefly summarized.
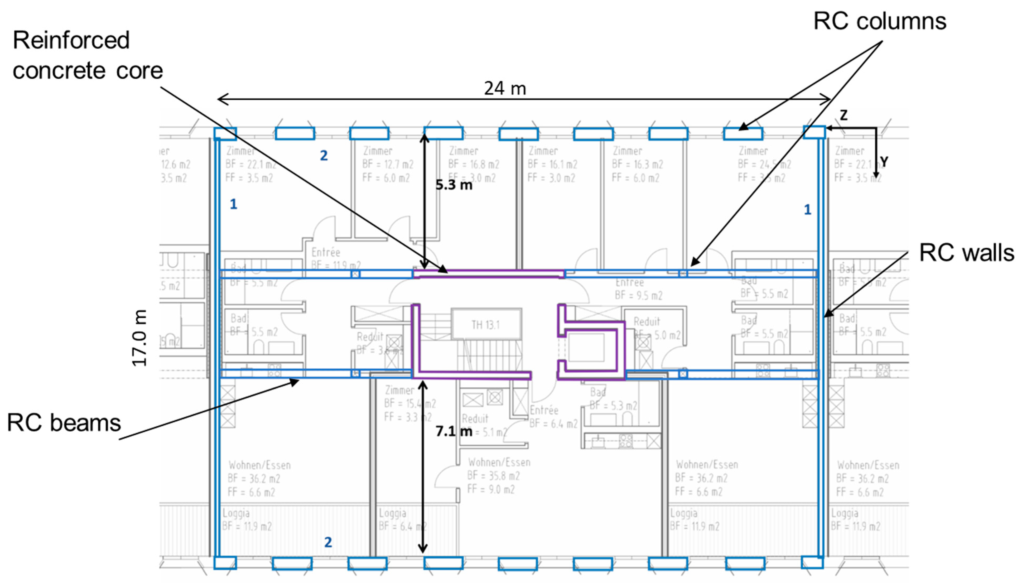
All structural elements were designed in reinforced concrete (RC). The design of the concrete alternative is based on a similar building, which was designed by Cattarinussi et al. (2016) [41]. The thickness of the slabs was assumed to be identical, 250 mm. The loads in [41] were mostly higher and the spans were larger, therefore it was assumed that this thickness is conservative. The inner columns were designed with a square cross-section of 250 mm by 250 mm, which thereby have a larger cross-sectional area than the round columns implemented in [41] and are therefore designed on the conservative side (cf. floor plan in Figure 3). The outer timber columns along the façade were replaced by square concrete columns with dimensions of 1600 mm by 200 mm.
Figure 3.
Structural system of the reinforced concrete alternative (Source: [51]).
For the slab girders a HEM240 steel profile was selected based on a comparison to the timber-steel girder in the original sue&til building unit and an upscaling of the resistance to the higher self-weight of the reinforced concrete structure. For fire protection, the selected steel profile was embodied in concrete with a minimum coverage of 30 mm. The concrete core (staircase and elevator shaft) selected is identical to the original sue&til building, as it fulfilled the design checks.
The amount of steel reinforcement was assumed to 70 kg/(m3 concrete) for the walls and 100 kg/(m3 concrete) for the slabs, according to Kunz (2017) [52], and 110 kg/(m3 concrete) for columns, according to Weiss (2010) [53].
In addition to the fulfilment of the structural requirements, further aspects have to be addressed to ensure that the reinforced concrete alternative has the same functionality as the timber alternative. The RC alternative has the same gross floor area as the case-study building (1982.4 m2). For both variants, the same insulation is assumed, which leads to identical thermal insulation values despite the different structural system for the façade columns. Both variants fulfilled the requirements of fire safety and soundproofing.
Table 3 summarizes the necessary material quantities for the reinforced concrete alternative of a single building unit of the sue&til building complex. As for the timber alternative, no distinction between steel rebars and other structural steel elements is made and the foundation is not included.
Table 3.
Materialization of one building unit of the sue&til building complex—reinforced concrete alternative.
3.1.3. Comparison of Timber Case-study and Reinforced Concrete Alternative
Table 4 presents an overview of the implemented materials for the timber and the concrete alternative.
Table 4.
Material volume and mass—comparison. The full volume and volume per gross floor area are in parentheses. The gross floor area is 1982.4 m2.
For the timber structure, 0.195 m3/m2 of wood and 0.164 m3/m2 of concrete were implemented. In total, 0.361 m3/m2 of structural materials were necessary. For the reinforced concrete alternative, 0.443 m3/m2 of structural materials are required, leading to an increase of 20 percent of structural material volume compared to the timber case-study. When comparing the amount of structural materials in terms of mass, the reinforced concrete alternative has more than double the weight of the timber alternative. The foundation part of the building was not included in the current study; however, the significant difference in mass of the top structure indicates that the required concrete volume for the foundation of the timber building would most certainly be lower than for the RC alternative.
3.2. Sustainability Assessment Software Tool
In the last decade, a multitude of LCA software has been developed. Most software tools focus on ecological aspects and do not cover the three-pillar approach. In Switzerland, two commonly used tools are the software Simapro [31] (which can be linked to the Ecoinvent database) and a simplified analytical assessment with the KBOB database.
A possible tool to include not only ecological but also economic and social indicators is the Tool for Sustainability Impact Assessment (ToSIA) developed by the European Forest Institute (EFI) [54]. ToSIA was originally developed for applications in the forestry sector, which is beneficial for assessing the product chain of timber buildings. Nonetheless, the tool can be implemented to assess any material and processes, such as steel or concrete. It provides the possibility to analyze the influence of changes in the timber chain, such as the shift from implementing more or less locally produced timber. ToSIA is not linked to a database; all indicator data has to be gathered manually by the software user. Applications of ToSIA are for example documented in the following publications: Jasinevičius et al. (2017) [55], Suominen et al. (2017) [56], and Tuomasjukka et al. (2017) [57].
In this study, ToSIA was selected as a software tool. To analyze the effects of data uncertainty in the input data, the ToSIA methodology was translated to a Matlab script, on which uncertainty calculations were performed by implementing the toolbox UQlab [58]. Neither ToSIA nor its implementation in Matlab are linked to a specific database; therefore, the collection of indicator data was performed by the authors for each indicator and process (cf. supporting information).
3.3. Material Production Processes
As the focus of the current study was on the embodied energy and emissions, only cradle-to-gate processes were considered. The assumption was that the energy consumption and emissions during the operation phase do not strongly depend on the structure itself. They depend mainly on the building envelope, which was assumed to be identical for both buildings. Therefore, only phases A1 (raw material supply) to A4 (transport to construction site) according to EN15804 [22] were considered. The phase A5 is the assembly on the construction site, which is not considered herein due to a significant lack of indicator data.
For each material, a process chain with the main processes was defined, as indicated in Table 5, Figure 4 and Figure 5. Figure 4 presents a generic chain model, which is applicable for oriented strand board (OSB), laminated veneer lumber (LVL), steel, and concrete. For glulam and sawn wood additional processes were considered (Figure 5). After the harvesting (A1), the sawlogs are transported to the sawmill (A2), where the boards are cut and dried (A3). From here part of the boards are directly transported to the construction site (A4) as “sawn wood” and another part is transported to the glulam production factory (A2). There, the glulam is produced (A3) and then transported to the construction site (A4). For the OSB and LVL production processes, the production and transport of adhesive was modeled as an additional process, due to the significant amount of necessary adhesive. Adhesive costs were included within the production process (A3) for all timber products. For glulam, the contribution of the adhesive in terms of ecological indicators was not accounted for, as its contribution was deemed negligible due to the significantly lower necessary amount of adhesive compared to OSB and LVL. It was assumed that no wood preservatives were implemented, as is the custom for indoor use of timber in Switzerland.
Table 5.
Overview of the considered production processes.
Figure 4.
Generic product chain.
Figure 5.
Glulam production chain.
3.4. Indicator Selection
In discussion with local stakeholders, economic, ecologic, and social indicators were selected from the indicators readily available in ToSIA. Table 6 presents the selected indicators.
Table 6.
Selected indicators from ToSIA with original ToSIA numbering in parentheses.
It is important to note that the indicators differ from the indicators commonly reported in EPDs. The ToSIA indicators focus on the energy consumed in the specific process and do not include energies used in prior processes. Therefore, the reporting unit is not in terms of “primary energy,” which is the common terminology in EPDs. For more details on this, Tuomasjukka et al. (2017) [57] compared different energy accounting methods.
According to ToSIA, indicators 19.1.1 and 19.1.2 only include the emissions produced during a specific process and do not include additional emissions from primary processes, such as the production of fuel for transport processes. However, as EPD data commonly includes indirect emissions and it is not possible to separate the contribution of direct and indirect emissions, it was decided to include indirect emissions from primary processes for all processes.
In most LCA assessments biogenic CO2, i.e., GHG emissions from wood combustion, are not accounted for. The assumption here is that the biogenic CO2, which is released from wood combustion, was previously sequestrated by the growing of wood mass in the forest. Although there is a time delay between both processes, it is common practice not to account for biogenic CO2. However, as the current project focused on timber materials, where biogenic CO2 plays a significant role, indicator 19.1.2 was added here. Further details on the accounting of biogenic CO2 are discussed in Section 5.
It has to be noted that the amount of indicators was not balanced between economic, ecological, and social indicators. One reason for this was the lack of quantitative data for further social indicators. Despite the unbalanced amount, case-specific weighing factors could be introduced to counterbalance this inequity. Within this paper, the authors decided to report the results of each indicator separately, without merging the results into a single mixed indicator. For decision-making purposes, case-study and stakeholder-specific weighing factors may be introduced at a later stage.
3.5. Database Development
After the definition of the processes and the indicator selection, the indicator data for each process had to be gathered. For the herein selected indicators no ready-made database exists. Therefore, the data was gathered through an extensive literature study. The goal was to define not only single values for each indicator, but also to gather multiple sources, based on which a mean value and a probability distribution function could be defined.
Furthermore, the following requirements were defined:
- Data should be reliable (e.g., be documented in state-of-the-art sustainability assessments);
- If possible, data should be verifiable with multiple sources;
- For the local timber processes, data should be applicable to the Swiss market (national averages);
- For the imported timber processes, data should be applicable to the German market (national averages), or at least to the European market; and
- Data should be as recent as possible (single value, or average over several recent years).
3.5.1. Uncertainty Quantification of the Indicator Input Data
To define the probability distributions of the input data, a threefold approach was followed. If multiple data sources were available for a specific process and indicator, a normal distribution was fitted to the data. If only two data sources were available, with no specific information on the uncertainty distribution of these data, a uniform distribution bounded between both values was assumed. If only a single data source was available, the uncertainty was assumed to follow a lognormal distribution and the standard deviation was derived with a pedigree matrix [59]. The pedigree matrix allows a standard deviation to be derived based on factors such as the data reliability, data completeness, temporal and geographical correlation, and technological correlation.
3.5.2. Data Sources for Ecological Indicators
For the ecological indicators, most values were taken from the Ecoinvent 3.6 database [30]. Within the Ecoinvent database, probability distributions of the data are already included with specific pedigree matrices. These matrices were updated to correspond with the herein analyzed processes. For example, if the Ecoinvent dataset stems from the year 2001, the temporal correlation was reduced.
In addition to the Ecoinvent data, data from EPDs was implemented. For the EPD data it has to be noted that the reported indicators “primary energy non-renewable (PENRE)” and “primary energy renewable (PERE)” do not directly correspond to the indicators selected herein (cf. Table 6). However, it was decided to attribute PENRE to the indicator “energy use—direct fuel use: fossil fuel (18.2.2.2)” and PERE to the indicator “energy use—direct fuel use: renewable fuel (18.2.2.1)” for lack of better data. For the GHG indicators (19.1.1), the EPD indicator value “global warming potential (GWP)” was implemented, which is in this case identical, as it was decided to include direct and indirect emissions for all materials and processes in indicators 19.1.1. The detailed values of the indicators for each process, as well as the assumed distribution type and standard deviation, are documented in the supporting information.
3.5.3. Data Sources for Economic and Social Indicators
For the economic and social indicators, data was gathered from specific producers, industry associations, or national statistics. Depending on the data source, the above-defined requirements on data quality could not be fulfilled entirely (e.g., sometimes only a single value from a specific producer was available, which does not represent the national average). This was then introduced into the pedigree matrix ratings and was thereby accounted for indirectly. As for the ecological indicators, the detailed values of the indicators for each process, as well as the assumed distribution type and standard deviation, are documented in the supporting information.
3.6. Computation
First, a material flow analysis was performed. For each process the amount of input materials to generate one output unit had to be defined. Then, based on Table 2 (timber) and Table 3 (reinforced concrete), the necessary amount of input materials (e.g., harvested sawlogs) could be defined.
Then the indicator values for each process were multiplied with the process-related material flow. To obtain the final indicator values for the generation of one complete building unit, the indicator values from each process were summed up and then normalized with the gross floor area of the building unit of 1,982.4 m2. This calculation was not only performed for the indicator mean values (within ToSIA), but also for 10,000 possible indicator value combinations (defined based on the input probability distributions in a Monte Carlo-based approach within Matlab and UQlab), delivering a spread of possible output values. From the generated output samples, a mean value and standard deviation were calculated. The distribution of the output samples was unknown and therefore the mean values computed with the Monte Carlo-based approach may differ from the analytically computed values with single input values, as calculated within ToSIA. Herein, the Monte Carlo-based results are reported.
The results were calculated for the four defined alternatives (case study, 100 percent imported timber, 100 percent local timber, reinforced concrete).
3.7. Upscaling Scenarios
To analyze the influence of increasing the market share of local timber on a national level, three future development scenarios were defined:
- Scenario 0 assumed that the share between local and imported timber remains identical to the status quo;
- Scenario 1 assumed that 50 percent of the timber is produced locally; and
- Scenario 2 assumed that 70 percent of the timber is produced locally.
For Scenario 0, the current market shares of glulam, sawn wood, LVL, and OSB had to be analyzed. Lehner et al. (2014) [60] documented the market shares of timber materials in the building sector. Table 7 summarizes them.
Table 7.
Consumption of timber products in 2011, according to Lehner et al. (2014) [60].
To estimate the effect on the sustainability of the timber building market on a national level, the products listed in Table 7 were attributed to the products considered in the sustainability assessment herein (Table 2). It was assumed that the indicator results of glulam can be implemented to describe the sustainability of glulam, CLT, and solid wood plates. The indicator results of sawn wood were adopted to describe solid structural timber and solid wood and the indicator values of LVL were adopted to describe particleboard, soft fiberboard, OSB, and wood fiberboard. Especially for the last category, the technological correlation is limited. However, the upscaling scenario should mainly provide an indication and therefore, the above attribution is deemed sufficiently accurate. With the material volumes in Table 2, the necessary amount of local and imported timber products could be calculated (cf. Table 8).
Table 8.
Material volumes of timber products required for the three scenarios. For the scenarios, the material volumes are indicated in terms of volume of roundwood necessary to produce the required volume of product.
The above scenarios assumed that the market share of timber buildings remains constant. Further scenarios could be developed to account for possible changes in the market share of concrete, brick, and timber buildings (refer to Heeren and Hellweg (2019) [61] for a large-scale scenario-based modeling approach for the future development of the Swiss building stock).
4. Results and Discussion
4.1. Life Cycle Inventory Analysis
Table 9 summarizes the necessary amounts of input materials to obtain the required structural materials as defined in Table 4. For the production of 1 m3 of glulam, for example, the amount of necessary sawlogs in m3 was calculated according to Rüter et al. [62].
Table 9.
Material flow analysis (input quantities).
4.2. Economic Indicators
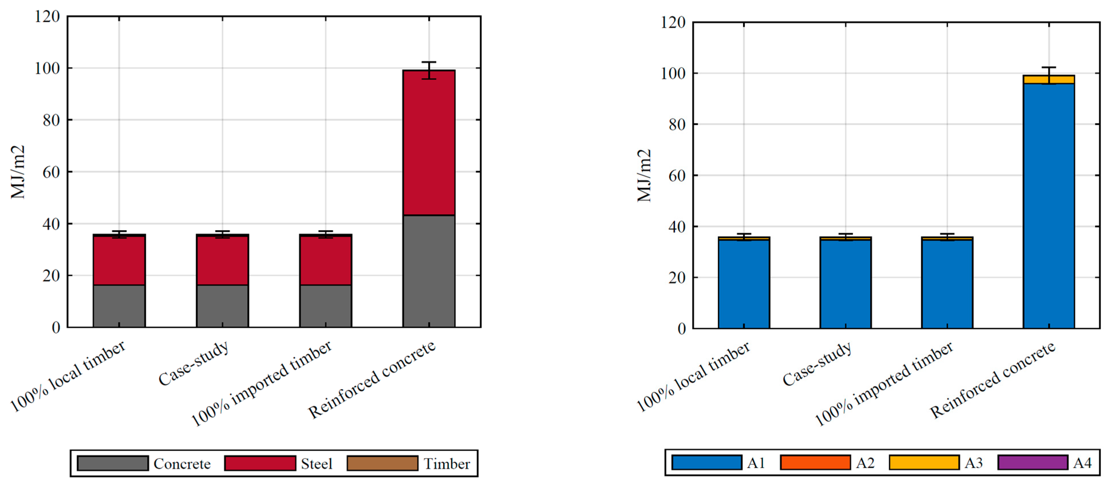
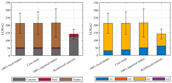
4.2.1. Production Cost
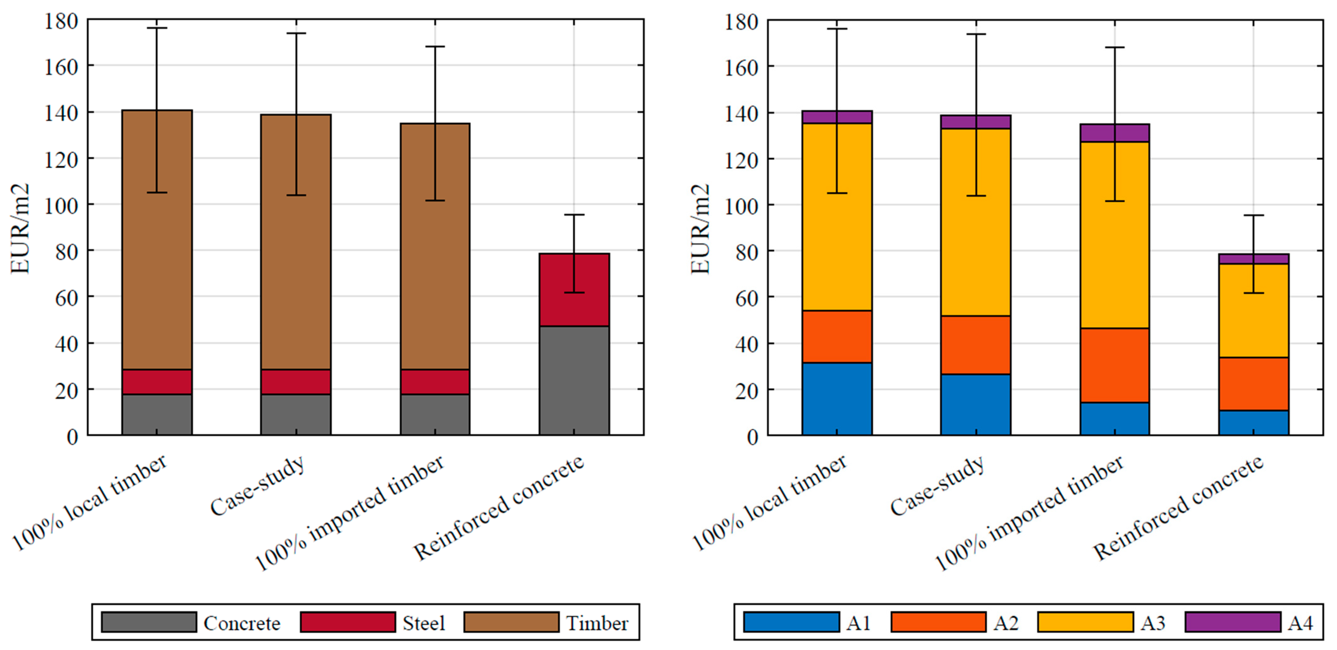
Figure 6 presents the production costs for the four alternatives in EUR/m2. In the left figure, the costs were separated into the contribution of three different material categories and in the right figure, the costs were separated into the contribution from the four considered process stages A1 (raw material supply) to A4 (transport to construction site). The total production costs were summed up over all processes and then divided by the gross floor area of the building (1982.4 m2). The bounded vertical line indicates the standard deviation bound (plus and minus 1 time the standard deviation). All processes contributed to the production costs, except for the drying of sawn timber. The production costs of the adhesive were included in the glulam, LVL, and OSB production processes and the production costs of the drying of sawn timber were included in the sawmilling process.
Figure 6.
Production costs in EUR/m2; process stages A1 to A4 are presented in Figure 4.
The production costs of the timber alternatives were almost identical. The 100 percent imported timber alternative had a 4 percent lower production cost in terms of the mean value than the 100 percent local timber alternative. The standard deviation bound was, however, significantly higher than this difference. Therefore this difference should be considered with care. The standard deviation was influenced by the quality assessment of the input data via the pedigree matrix. For the production costs, often only a single data source was implemented. Therefore the data completeness factor led to high standard deviations. The standard deviation could be reduced in subsequent studies by investigating additional data sources to increase data completeness. The contribution of the timber materials to the overall production costs was significantly higher than the contribution of concrete, especially considering that the volume of concrete in the timber alternatives was almost identical to the volume of timber. The reinforced concrete alternative had significantly lower production costs (roughly −44 percent) and a reduced uncertainty compared to the timber alternatives. The process phase A3 (manufacturing) was the main contributor to the production costs for all four alternatives.
4.2.2. Gross Value Added
Figure 7 presents the gross value added (GVA) for the four alternatives, again separated into the three main material categories in the left figure and separated into the process phases in the right figure. Again, the difference among the three timber alternatives was negligible. The standard deviation increased for the 100 percent imported timber alternative due to the reduced reliability of the involved data sources. Timber was the main contributing material for the three timber alternatives. Considering the mean value, the GVA was roughly 30 percent higher for the three timber alternatives compared to the reinforced concrete alternative. However, the uncertainty of the GVA was quite significant, such that for some of the 10,000 calculated data points the reinforced concrete alternative led to a higher GVA. During the calculation of the GVA it was assumed that the transport processes were performed by the company that produced the material, therefore there was no GVA for the transport processes (phases A2 (transport to manufacturing site) and A4 (transport to construction site)). Their GVA was attributed to the preceding production processes. The main contributing phase was phase A3 (manufacturing), which was the actual production phase of the product.
Figure 7.
Gross value added in EUR/m2; process stages A1 to A4 are presented in Figure 4.
It has to be noted that the GVA for the 100 percent local timber and reinforced concrete alternatives occurred 100 percent within Switzerland, for the case-study part it occurred both within Switzerland and abroad, and for the 100 percent imported timber alternative the entire GVA was generated outside of Switzerland.
4.2.3. Summary of Economic Indicators
To sum up, it can be stated that the reinforced concrete alternative had lower production costs and that in most cases the GVA of the three timber alternatives was higher. Depending on whether production costs or GVA are deemed more important, timber has a disadvantage or an advantage. There was no difference between the three timber alternatives, except for where the GVA was generated (within Switzerland or abroad).
4.3. Ecological Indicators
The following paragraph presents the results for the energy consumption during phases A1 (raw material supply) to A4 (transport to construction site). Energy consumption comprises heat renewable and non-renewable, fuel renewable and non-renewable, and electricity. Furthermore, the resulting GHG emissions (from machinery, meaning from non-renewable energy sources, and from wood combustion, which are so-called biogenic carbon emissions) are presented. Then, the involved carbon stock is discussed, including an application of a semi-dynamic modeling approach. Finally, the indicator “transport intensity” is presented.
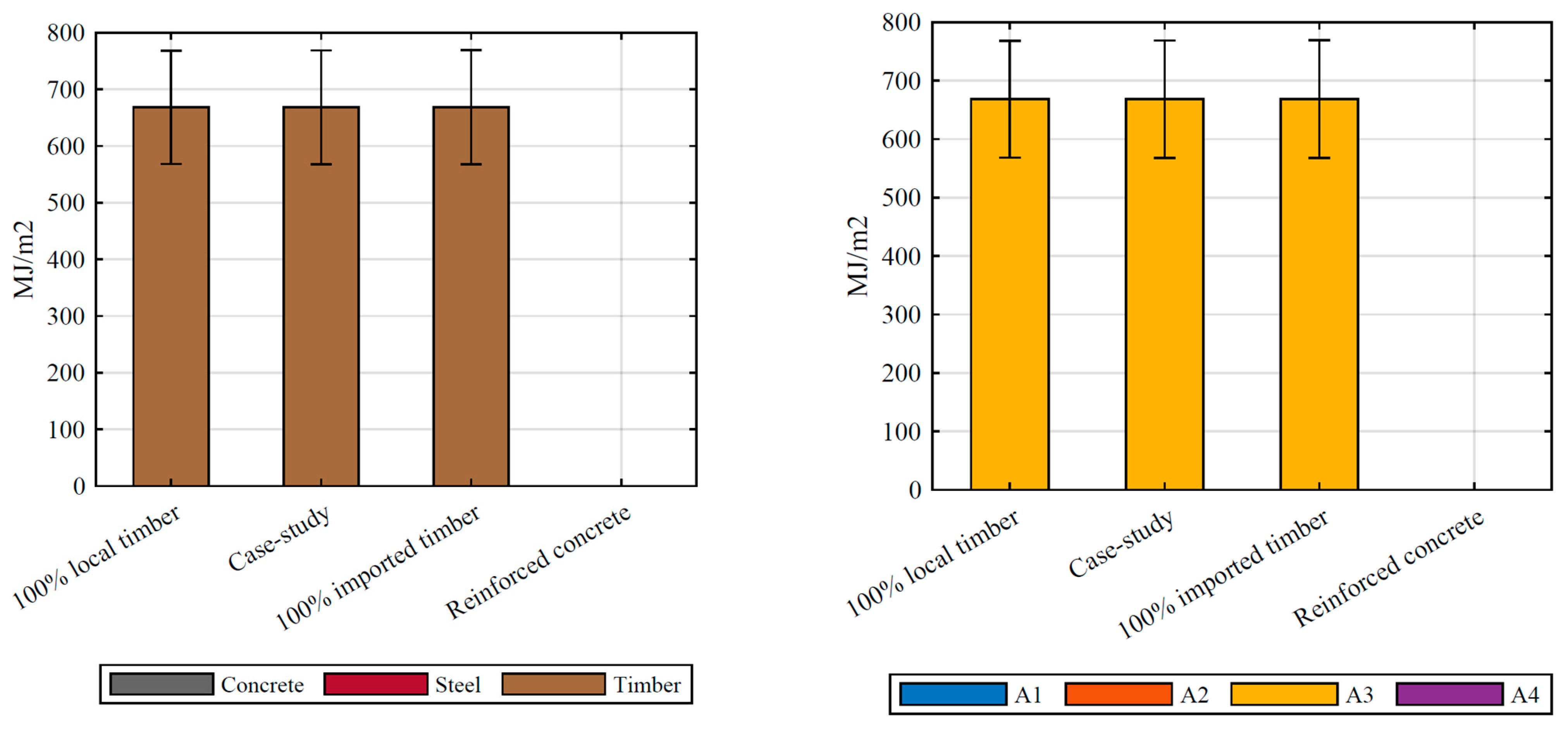
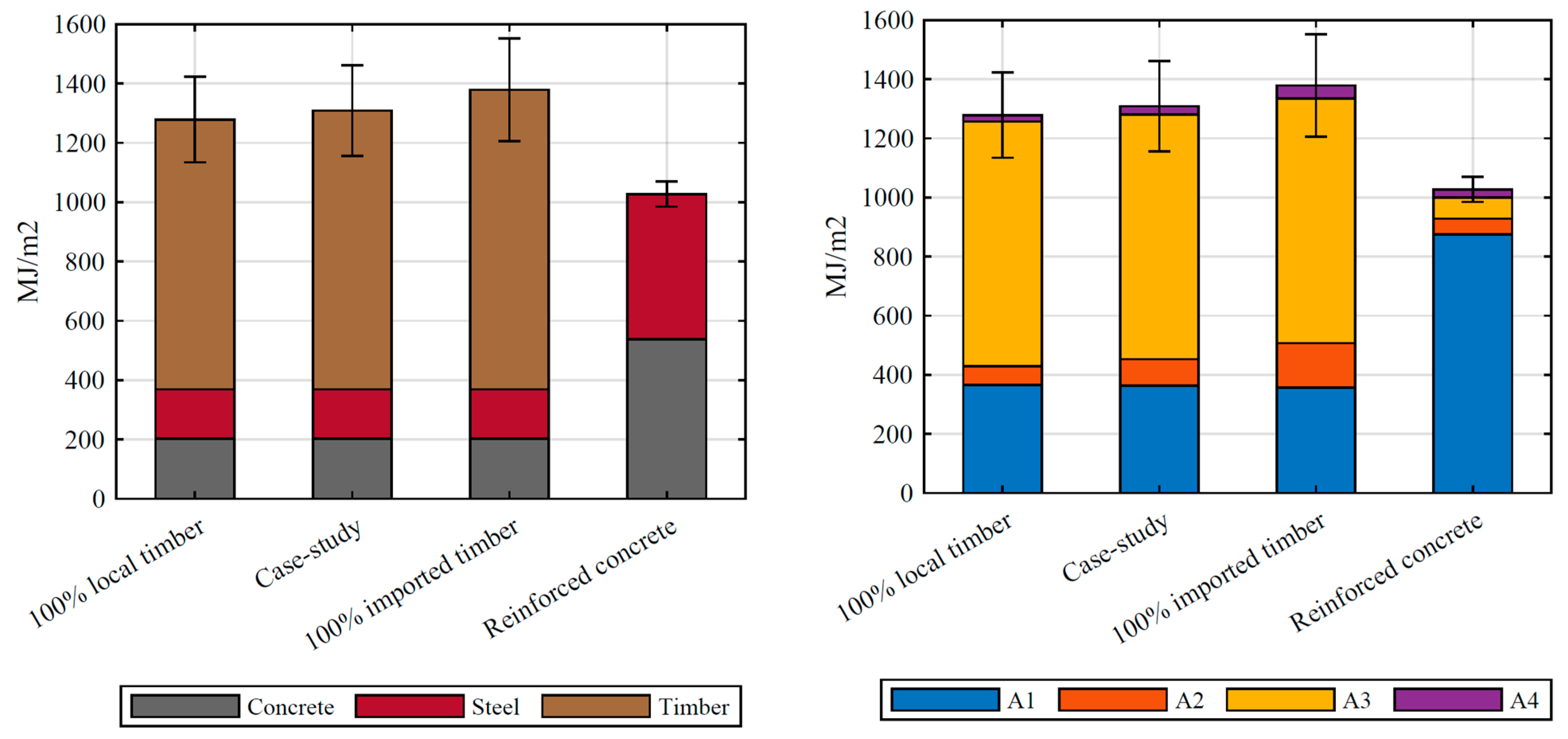
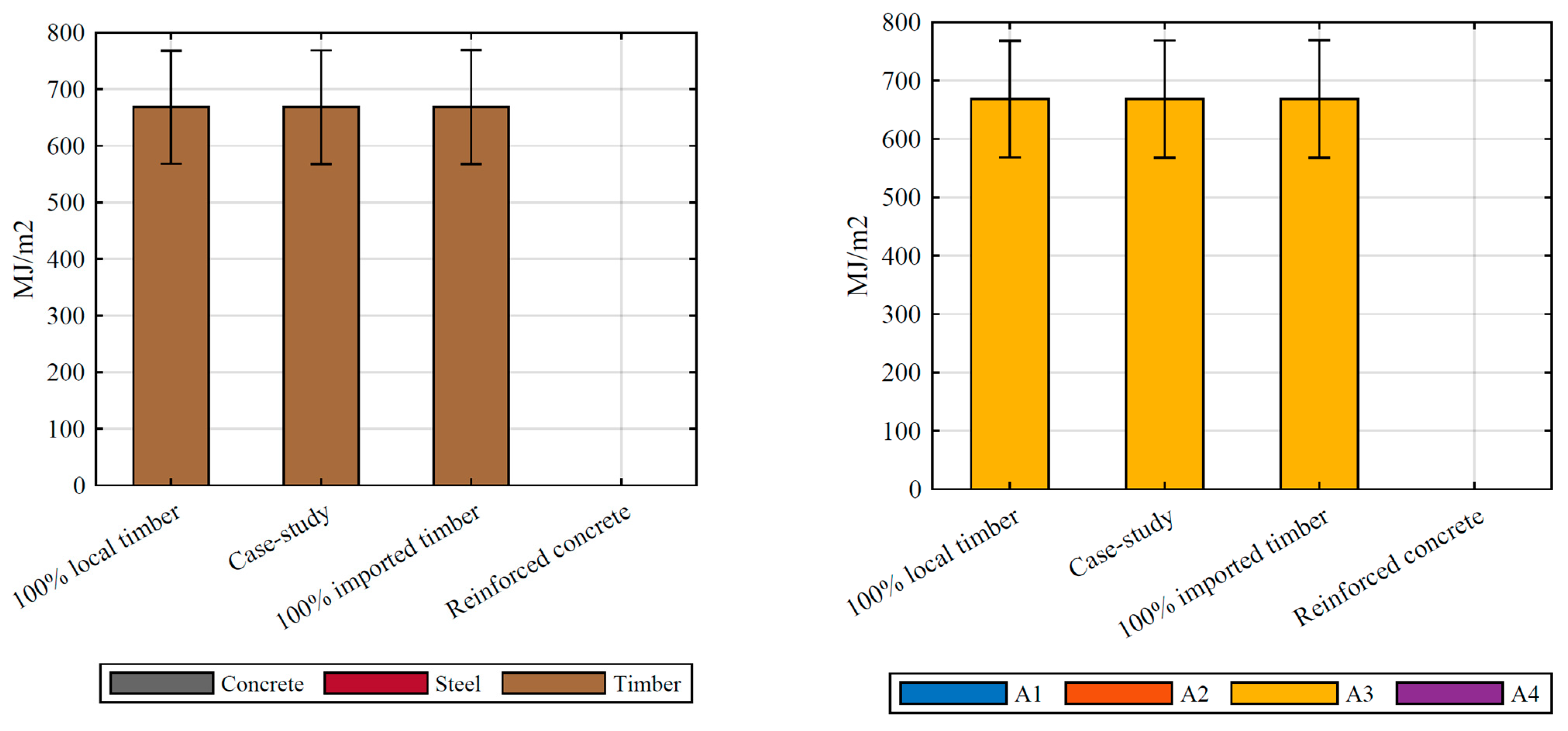
4.3.1. Energy Use—Total
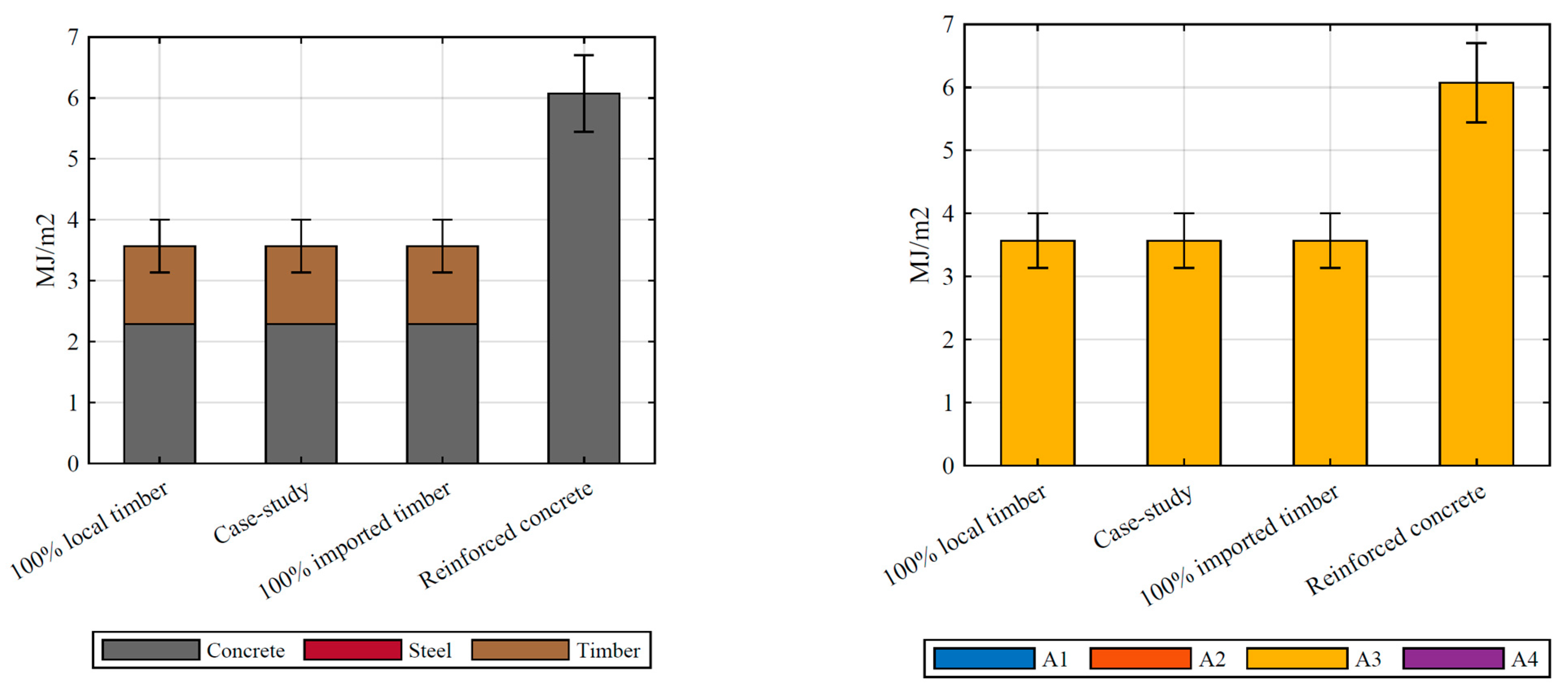
Figure 8 and Figure 9 present the total energy use for the production of the four building alternatives. The total energy use consisted of the sum of heat renewable and non-renewable, fuel renewable and non-renewable, and electricity use. The detailed evaluation for the different energy contributors is documented in Appendix A. The electricity use was converted from kWh to MJ. For the separation into renewable and non-renewable energy, the electricity was multiplied by the percentage of renewable and non-renewable sources of electricity (74 percent renewable electricity in Switzerland [63] and 37.8 percent renewable electricity in Germany [64] in 2018).
Figure 8.
Total energy use in MJ/m2, divided into material categories and process stages.
Figure 9.
Total energy use in MJ/m2, divided into energy from renewable and non-renewable sources.
The total energy consumption was higher for the three timber alternatives than for the reinforced concrete alternative. The production and transport of the timber materials was the governing factor. For the timber alternatives, most energy is consumed in process phase A3 (manufacturing), whereas for the reinforced concrete alternative most of the energy is consumed in the raw material supply phase (A1). The uncertainty of the total energy use was significantly higher for the timber alternatives than for the reinforced concrete alternative. Even considering the uncertainty, the reinforced concrete alternative had the lowest total energy consumption.
However, if only the non-renewable part of the energy consumption were considered, this would be reversed (Figure 9). The timber case-study alternative required 10 percent more non-renewable energy than the 100 percent local timber alternative, whereas the 100 percent imported timber alternative required 30 percent more non-renewable energy. Compared to the 100 percent local timber alternative, the reinforced concrete alternative required 90 percent more non-renewable energy.
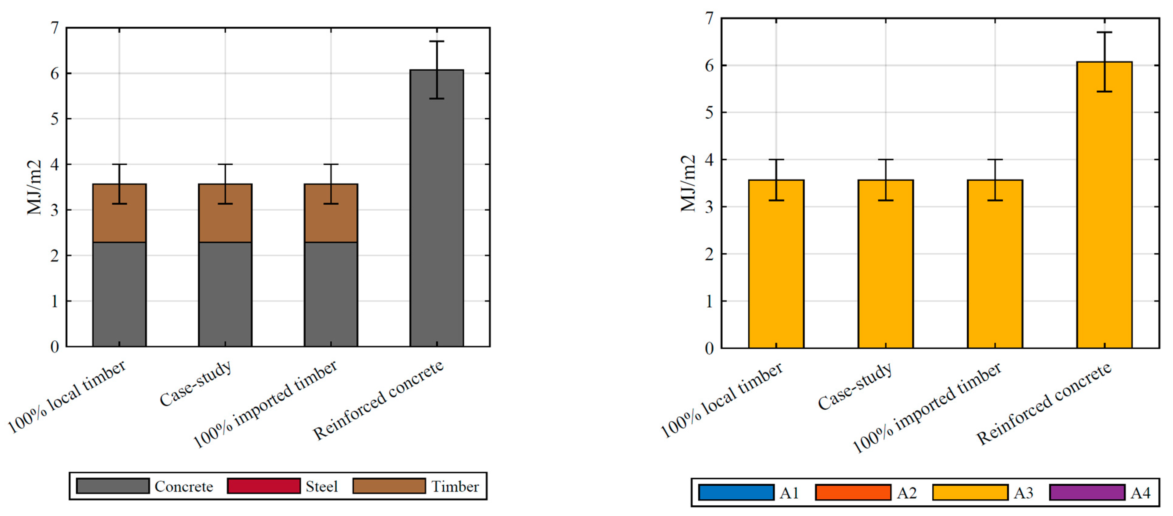
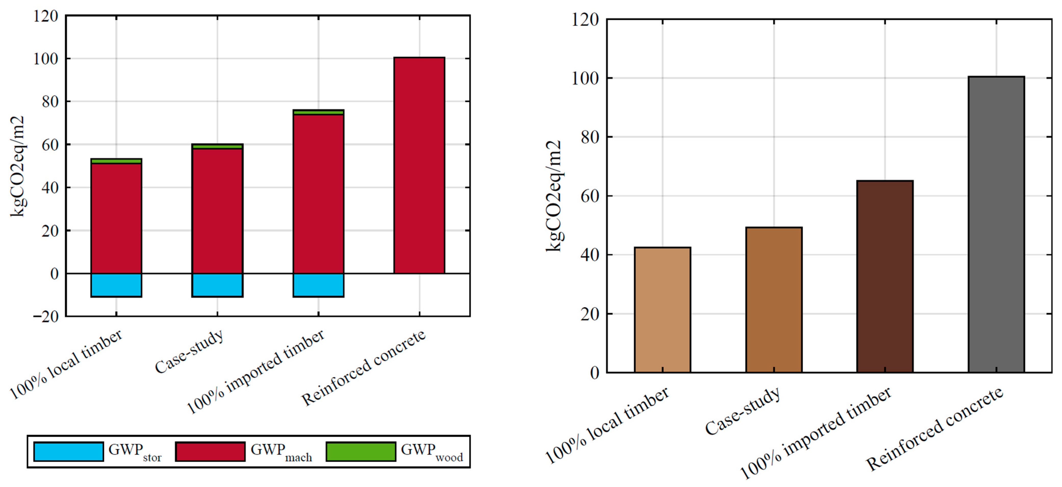
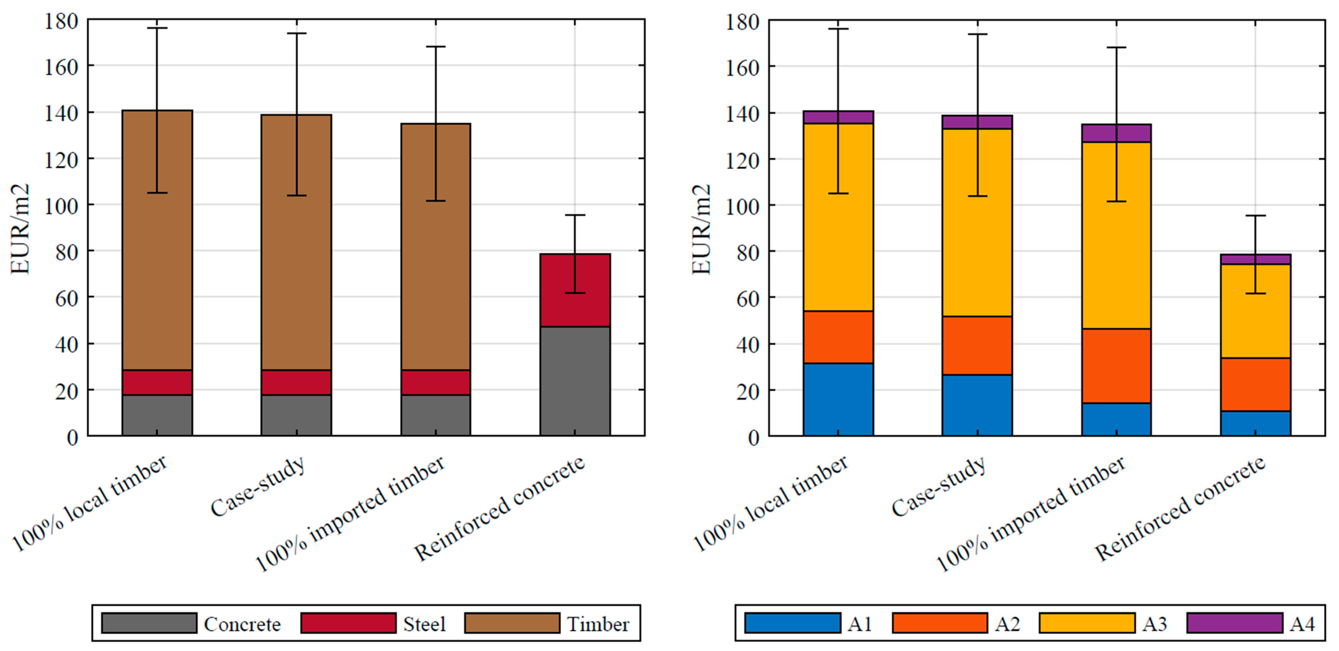
4.3.2. Greenhouse Gas Emissions from Machinery
The GHG from machinery considered GHG emissions from all non-renewable energy usage and included the emissions from primary processes such as the emissions produced during the generation of electricity. The GHG from machinery were calculated based on the energy consumption via emission factors, according to the KBOB [34]. Therefore they included emissions from primary processes and were comparable to the GWP indicator, commonly indicated within EPDs. The results are presented in Figure 10.
Figure 10.
GHG from machinery in kgCO2 eq/m2.
The main contributing material category was concrete for all four alternatives. The production of timber products had some contribution as well, but it was lower than for concrete, considering that the timber alternative required roughly the same volume of timber as concrete. The case-study alternative had 13 percent more emissions than the 100 percent local timber alternative. This percentage increased to 45 percent and 96 percent more emissions for the 100 percent imported timber and the reinforced concrete alternatives, respectively. The large difference between the imported and local timber was not only due to longer transport distances and therefore higher emissions due to transportation, but also due to higher emissions from the electricity mix abroad, which led to an increase in emissions from phase A3 (manufacturing) even though the amount of energy required was more or less identical. For the reinforced concrete alternative, the emissions were highest in phase A1 (raw material supply), especially due to the high amount of emissions during the production of cement.
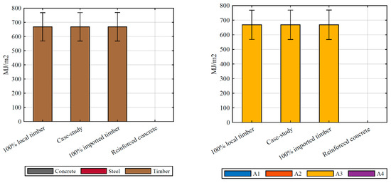
4.3.3. Greenhouse Gas Emissions from Wood Combustion
Figure 11 displays the resulting emissions from the combustion of wood, i.e., biogenic CO2 emissions. Wood combustion is only employed during the production of timber products (drying and production of glulam, LVL, and OSB); therefore, there were no emissions for the reinforced concrete alternative. Furthermore, the emissions were identical for all three timber alternatives. It has to be noted that the emissions from wood combustion were significantly lower than the GHG from machinery.
Figure 11.
GHG emissions from wood combustion in kg CO2 eq/m2.
4.3.4. Carbon Storage
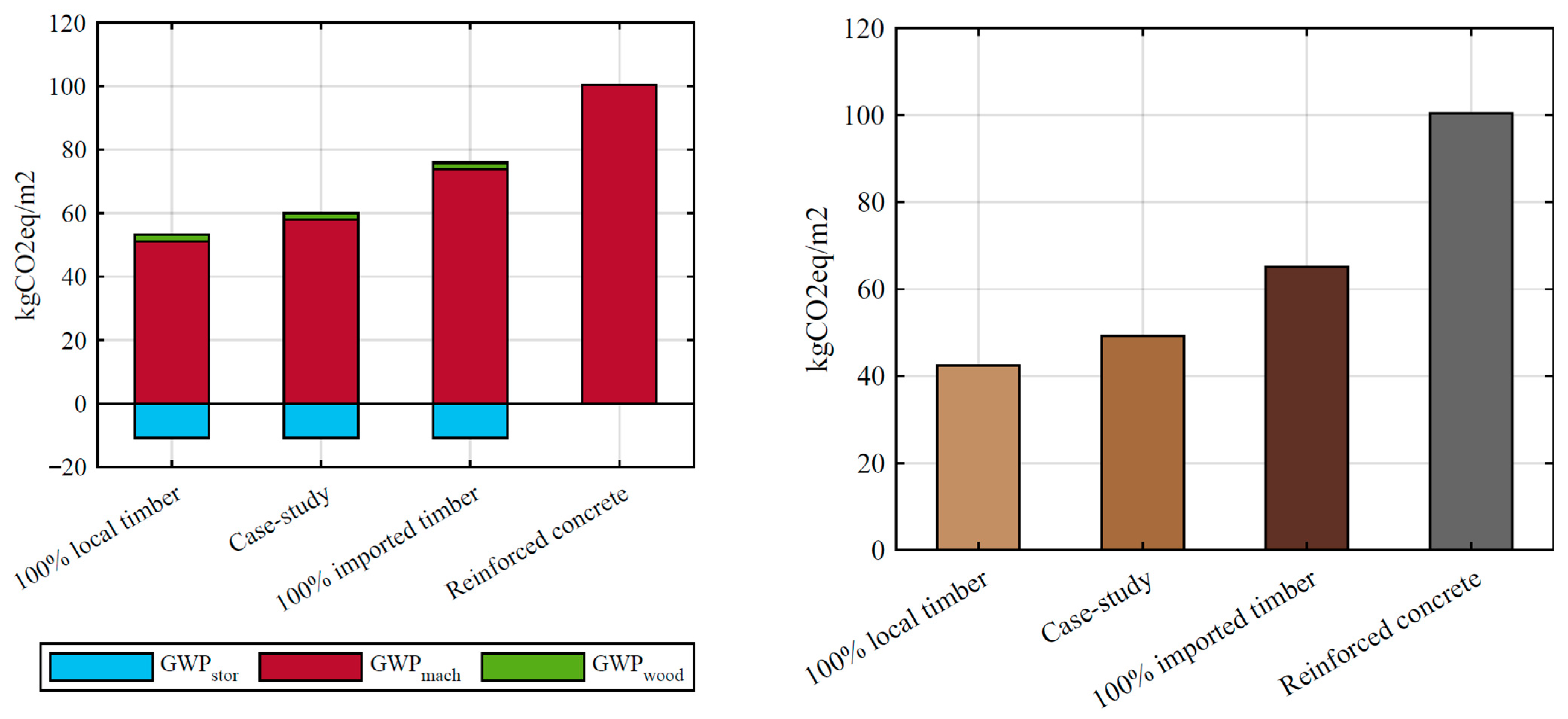
Carbon storage is only discussed for the three timber alternatives. The possibility of carbon uptake from concrete over its life cycle is not discussed herein.
For the production of one building unit of the sue&til building, 855 m3 of sawlogs were harvested from the forest. From these 855 m3 of wood, roughly 387 m3 were stored within the sue&til building unit to remain during the building’s lifetime; the rest was burned during the production process for the generation of energy (refer to GHG emissions from wood combustion), or reattributed to other products (e.g., paper production). For the following calculation, it was assumed that wood dry mass incorporates 50 percent of carbon, i.e., 1 m3 of wood with a density of 500 kg/m3 stores roughly 920 kg CO2/m3, although this constitutes a generic simplification (refer to Lamlom and Savidge (2003) [65] for a more detailed assessment). This means that roughly 356 tCO2 were stored within the sue&til building unit to remain for the building’s service life.
So far, there is no consensus on how to take into account the temporal storage of CO2 within buildings. The current standards assess storage with the −1/+1 method. This means that biogenic emissions are considered to be climate-neutral [3]. This is due to the carbon cycle, in which carbon is sequestrated by the growth of the tree and then released back into the atmosphere through combustion of the wood. The temporal storage of CO2 through the long-term material use of biomaterial is not taken into account. Through this temporal storage, a reduction of carbon in the atmosphere can be achieved [3,66]. A prerequisite for this is that the harvested wood can regrow in the forest, i.e., it should stem from sustainably managed forests. Guest et al. (2012) [66] proposed a method to account for this temporal storage via a reduction of the GWP.
The biogenic GWP is calculated depending on the storage period of the carbon (service life of the building, assuming that the timber is burnt after use) and the time required for the regrowth of the associated biomass (rotation period). Guest et al. (2012) [66] calculated the GWP factors for several combinations of storage and rotation periods (cf. Table 1 in [66]). For sustainable forests in Switzerland, a rotation period of 100 years was assumed and it was assumed that the building service life is 60 years, leading to a biogenic global warming potential factor of −0.06 (from Table 1 in Guest et al. (2012) [66]). The biogenic global warming potential from the storage was then calculated to be −10.8 kgCO2 eq/m2.
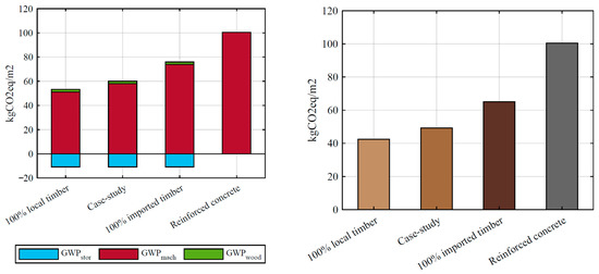
Figure 12 presents the total GHG emissions (from machinery and from wood combustion), including the deduction from the storage. The standard deviation bound is not presented here, as no probabilistic investigations on the biogenic storage of CO2 were performed.
Figure 12.
GWP in kg CO2 eq/m2 (lef figure: separated into GWP of long-term storage of timber inside the building, GWP from machinery and GWP from wood combustion, right figure: combined).
When comparing the four alternatives, including the biogenic carbon (usage and storage), the case-study building had a 16 percent higher GWP, the 100 percent imported timber building a 54 percent higher GWP, and the reinforced concrete building a 137 percent higher GWP than the 100 percent local timber building. It can be noted that the consideration of the carbon storage was able to largely compensate for the biogenic carbon emissions from wood combustion and a major part of the emissions occurring during the production of timber products (refer to Figure 10 and Figure 11). However, it was not able to compensate for all carbon emissions of the entire building production.
4.3.5. Transport intensity
The transport intensity was measured in (metric) ton-kilometers (Figure 13) and comprised all explicitly modeled transport processes from phase A2 (transport of raw materials) and phase A4 (transport to the construction site), according to Table 5. Transport processes further upstream (e.g., transports within the forest or transport of energy carriers such as fossil fuel) were not considered. The obtained values were divided by the gross floor area of the building in line with the other indicators. Within this investigation, it was assumed that the percentage of railway and shipping was negligible and that all transport processes were road transport processes. The 100 percent imported timber alternative had the highest transport intensity, which correlates with the high transport distances. Despite the higher mass of concrete, the transport intensity of the 100 percent local timber alternative was not clearly lower. This can be explained by the assumed transport distances. The transport distances were around 30 km for concrete and around 70 km for steel, whereas the transport distances for the local timber products were around 100 km.
Figure 13.
Transport intensity in tkm/m2.
4.3.6. Summary Ecological Indicators
In terms of the ecological indicators, the three timber alternatives had a significant advantage over the concrete alternative. The only exception was the transport intensity indicator, where the concrete alternative performed best. For the two main ecological indicators (commonly: non-renewable energy consumption and GHG emissions from machinery (non-biogenic)), the concrete alternative had values twice as high as the 100 percent local timber alternative, i.e., the ecological footprint could be cut in half by selecting the timber alternative.
In terms of GHG emissions, there was a significant difference between local and imported timber materials, with an emission reduction of roughly 45 percent. For the non-renewable energy consumption the difference was less pronounced but still relevant.
4.4. Social Indicators
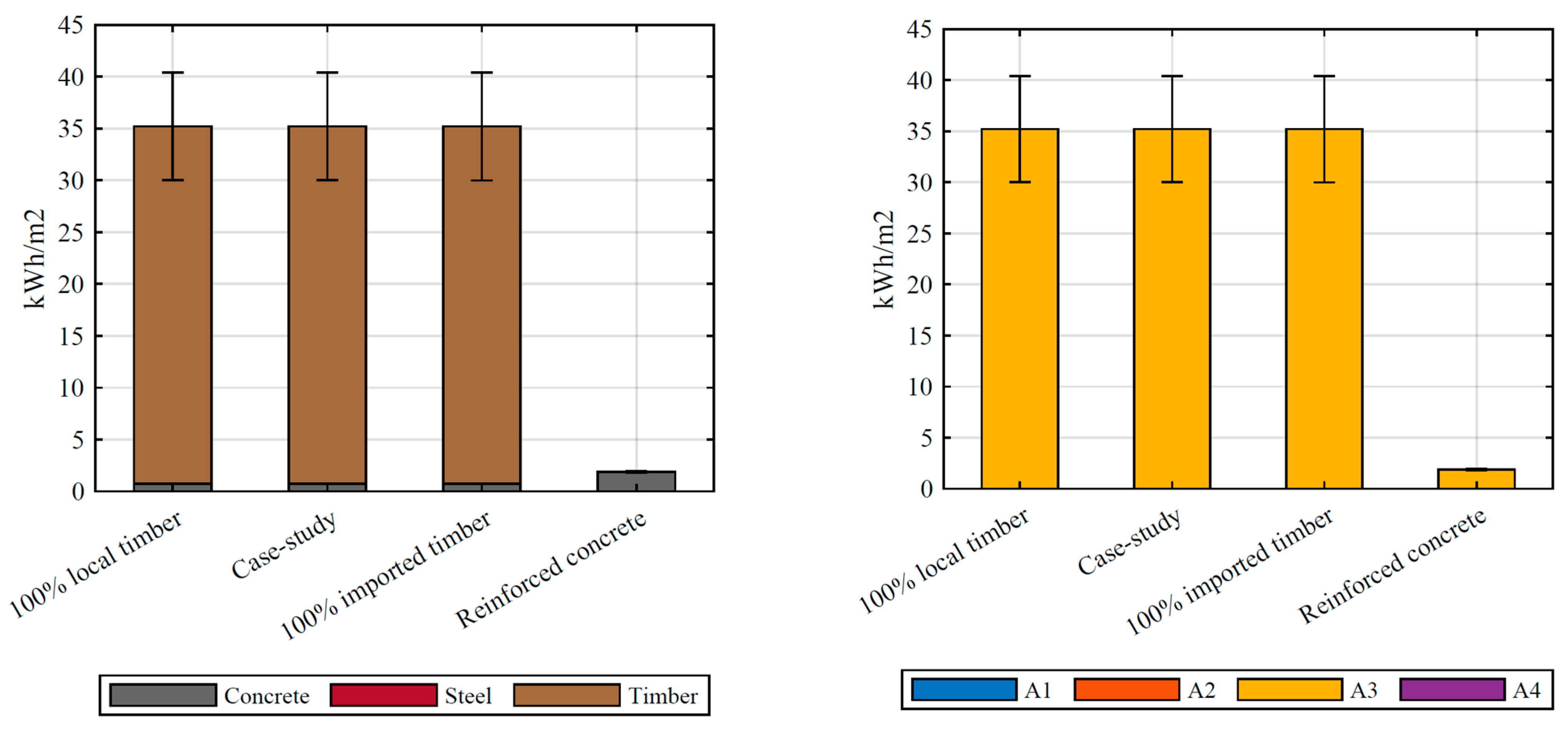
Employment
Employment was expressed in full time equivalents (FTE) per year, meaning a value of 1 indicated one person working full-time for a whole year (1900 h). As for the previous indicators, the value was divided by the gross floor area of the building (Figure 14).
Figure 14.
Employment in FTE/m2.
The FTE was highest for the 100 percent local timber alternative and lowest for the reinforced concrete alternative. The production of timber products contributed mainly to the FTE for the timber alternatives. For the local timber production, the FTE was higher for process phases A1 (raw material supply) and A3 (manufacturing), whereas for the imported timber, phases A2 (transport to manufacturing site) and A4 (transport to construction site) had higher FTEs compared to the local timber material. This was due to the longer transport distances and therefore longer driving hours required to transport the material. For phase A1 (raw material supply), the difficult harvesting topology in Switzerland and a higher automation of harvesting processes in Germany led to the difference in FTEs between local and imported timber. The reason for the difference in phase A3 (manufacturing) is unclear.
In total, the case-study alternative had FTEs 6 percent lower than the 100 percent local timber alternative. The 100 percent imported timber alternative had 20 percent less FTEs and the reinforced concrete alternative had 66 percent less than the 100 percent local timber alternative. As for the GVA, it is important to note that depending on the alternative, the FTEs occurred either within Switzerland or abroad, and depending on the political context a high number of regional FTEs might be favorable.
4.5. Upscaling Results
As introduced in Section 4 (Upscaling Scenarios), three scenarios were developed to analyze the influence of increasing the implementation of local timber instead of imported timber. Scenario 0 considered the status quo of imported vs. local timber products, Scenario 1 required that a minimum of 50 percent of the Swiss consumption be covered with local timber, and Scenario 2 required a minimum of 70 percent. With the results presented above, the following rough predictions could be derived for the savings in GHG emissions from machinery, non-renewable energy consumption, and the effect on GVA within Switzerland.
Figure 15 presents the resulting non-renewable energy consumption for the production of the entire consumption of timber products (glulam, sawn wood, and LVL) within Switzerland for the three different scenarios. Only non-renewable fuel and heat sources were considered and electricity was not included. For Scenario 2, the non-renewable energy consumption for the production of timber products could be reduced by 17 percent. Figure 15 also presents the uncertainty of non-renewable energy consumption, which is quite significant and therefore relativizes the previous statement.
Figure 15.
Non-renewable fuel and heat consumption in MJ for yearly Swiss consumption of timber products.
Figure 16 presents the reduction in GHG emissions resulting from an increased consumption of local timber resources. As for non-renewable energy consumption, the standard deviation is significant; however, a clear trend is visible. For Scenario 2, with a share of 70 percent local timber consumption, the GHG emissions could be reduced by 30 percent.
Figure 16.
GHG emissions from machinery in kg CO2 eq for yearly Swiss consumption of timber products.
For the GVA, only the contribution of processes within Switzerland was considered (Figure 17). The GVA could be increased by 56 percent and 110 percent for Scenarios 1 and 2, respectively. As for the previous studies of the potential, the uncertainty is significant and further effort should be undertaken to reduce the uncertainty.
Figure 17.
Gross value added within Switzerland in EUR for yearly Swiss consumption of timber products.
5. Conclusions
Based on the case-study building sue&til, four different alternative structural systems were developed. Three alternatives were timber structures with the material volumes provided by the case-study building, and only the percentage of local vs. imported timber products was varied (100 percent local timber, 100 percent imported timber, and the actual case of the case study with 70 percent local timber and 30 percent imported timber). Furthermore, a reinforced concrete alternative was designed, providing the same functionality as the three timber alternatives.
A cradle-to-gate, comparative sustainability assessment was performed, considering economic, ecological, and social indicators. Each indicator was assessed separately. A weighting of economic vs. ecological or social advantages was not aimed for and should be undertaken by the involved stakeholders when deciding on a specific structural system. The basis of this project was to provide a quantitative assessment to alleviate decision-making for the stakeholders.
For the performed study, the following conclusions can be drawn. A structural system in timber has clear ecological advantages compared to a structural system in reinforced concrete. A timber structure produces only half the GHG emissions and consumes only half the non-renewable energy. On the other hand, the production of timber products has a higher FTE and higher production costs. However, the GVA is slightly higher for the three timber alternatives compared to the reinforced concrete alternative.
The implementation of local timber instead of imported timber leads to a reduction of 45 percent GHG emissions from machinery and a reduction of 30 percent of non-renewable energy consumption. The production costs are roughly 3 percent higher. However, this value lies within the standard deviation bound. Furthermore, the use of local timber leads to an increase in local employment (FTE) and GVA.
The consideration of the uncertainty on the input data helps to put the above statements into perspective. Generally, the uncertainty is larger for the economic and social indicators (Coefficient of variation (COV) ~0.3), whereas the uncertainty is lower for the ecological indicators (COV ~0.1). This is due to the fact that a multitude of databases, literature sources, etc., exist for ecological indicators, which is not the case for economic and social indicators.
Furthermore, the potential of an increased consumption of local timber on the national level was briefly explored via three scenarios. As mentioned above, an increase in the share of local timber leads to a reduction in GHG emissions from machinery and non-renewable energy consumption. Furthermore, the local GVA is increased. Scenario 2, with a share of 70 percent of local timber, would require an additional harvest of 0.596 million m3 of wood, which is above the current economically reachable harvesting potential of 0.463 million m3. Furthermore, a significant increase in local production capacities would be required. Scenario 1, on the other hand, would only require an increased harvest of 0.291 million m3 and is therefore a more realistic scenario. Of course, the amount of sustainably available timber resources is influenced by policies and the economic development of the local timber industry. With favorable conditions, the economic feasibility could be increased, leading to a higher sustainable harvesting potential. Therefore, a trend towards Scenario 2 with a significant increase in local GVA (+100 percent) might become achievable (positive spiraling effect).
This paper presented the application of a sustainability assessment methodology to a specific case-study building in Switzerland. The sustainability assessment was carried out with a database, which was developed based on Swiss national data. The above stated conclusions are therefore only valid for similar economic and socio-political situations. A global upscaling is not possible. A similar assessment was carried out for a Swedish and a Finnish case-study building within the same project framework. In the future, a comparison between all three case studies is planned to highlight the different national situations.
The sustainability indicators for this study were selected based on discussions with local stakeholders. The validity of the study could be improved by complementing it with additional indicators (e.g., land degradation, water use, health and safety of workers, wages and salaries, etc.). Additionally, further life cycle phases such as the disposal phase (C1–C4) could provide further insights into the life cycle sustainability of the considered structural systems.
Furthermore, a database considering a multitude of different structural systems, building types, etc., should be developed to increase the reliability of upscaling to national levels. Although the current methodology can be applied for any type of building and structural system, the data gathering procedure is time-consuming and therefore lacks practicality for decision-making in early planning stages. With a more complete database the practicality for early decision-making could be increased. It should be noted that wood is a continuously available resource that has to be used in some way. If wood is not implemented in timber construction, other use options include wood energy or the export of sawlogs, which lead to entirely different economic, ecological, and social impacts. A quantitative assessment of the sustainability impact of these market shares would be a valuable addition to the current study.
Author Contributions
The main author prepared the draft of the manuscript and all co-authors provided feedback to the manuscript draft. Initial data gathering and modeling were performed by S.K. The data was then cross-checked, refined and re-modeled by C.L. During the project duration co-authors M.K., O.B., N.H., Y.G. and A.F. provided continuous feedback and valuable inputs to the project during periodic meetings and discussions. All authors have read and agreed to the published version of the manuscript.
Funding
This research was funded by EIT Climate-KIC.
Data Availability Statement
All input data is available within the supporting information. Results data is documented within the paper itself. Detailed result data can be made available on request.
Acknowledgments
The authors gratefully acknowledge the financial support by EIT Climate-KIC. Furthermore the authors would like to acknowledge Basil Stalder and Jennifer Furrer, who performed part of the literature research for data collection as part of their students theses at the Chair of Timber Structures at ETHZ.
Conflicts of Interest
The authors declare no conflict of interest.
Appendix A
Appendix A.1. Detailed Evaluation of Energy Use
Appendix A.1.1. Energy Use–Heat from Renewable Sources
Figure A1 presents the consumed heat from renewable resources. Heat from renewable resources was only consumed during the production of glulam, LVL, and OSB and the drying of sawn timber. Therefore, the indicator is zero for the reinforced concrete alternative and timber products are the only contributing material category. Furthermore, the above-mentioned processes were all part of phase A3 (manufacturing). Additionally, it was assumed that the amount of renewable heat required is identical for local and imported timber and that the uncertainty is identical as well. Therefore, the heat from renewable sources is identical for all timber alternatives.
Figure A1.
Heat from renewable resources in MJ/m2.
Figure A1.
Heat from renewable resources in MJ/m2.

Appendix A.1.2. Energy Use—Heat from Fossil Sources
Heat from fossil sources is required during the OSB production and the concrete production processes (cf. Figure A2). Therefore, heat consumption occurs only during phase A3 (manufacturing), and concrete and timber (in this case only OSB) are the contributing material categories. For the reinforced concrete alternative, the energy was almost twice as high as for the timber alternatives, due to the significantly larger amount of concrete required. Considering that only 6.2 m3 of OSB were required for the timber alternatives, compared to 326 m3 of concrete, the contribution of the OSB production to heat from fossil sources is significant. However, if the heat from fossil sources is compared to the heat from renewable sources, the amount is negligible. The standard deviation bound is smaller for the timber alternatives.
Figure A2.
Heat from fossil sources in MJ/m2.
Figure A2.
Heat from fossil sources in MJ/m2.

Appendix A.1.3. Energy Use—Direct Fuel Use: Renewable Fuel
Renewable fuel is consumed during adhesive production, gravel and cement production, and during all steel processes (raw material production, transport to manufacturer, manufacturing, and transport to construction site) (cf. Figure A3). The reason for this is that the data from all these processes stems from EPDs (for steel: [67], for adhesive: [68], for cement: [69], for gravel: [70]). The data from the therein-defined indicator “renewable primary energy as energy carrier” were attributed to the indicator “energy use—direct fuel use: renewable fuel” herein. This is not entirely correct, as according to the ToSIA indicator only energy consumed during the modeling process should be considered, whereas the EPDs include the energy from all prior processes, e.g., the energy required to produce 1 kWh of electricity. For the definition of the uncertainty a pedigree matrix was implemented, resulting in a small level of uncertainty, as the data reliability of EPDs was assumed to be high. The contribution of the adhesive is negligibly small (adhesive is included within the timber material category). Concrete and steel contributed to roughly equal parts, despite the significantly larger required volume of concrete. Renewable primary energy was almost purely implemented during raw material production stage A1 (raw material supply).
Figure A3.
Renewable fuel in MJ/m2.
Figure A3.
Renewable fuel in MJ/m2.

Appendix A.1.4. Energy Use—Direct Fuel Use: Fossil Fuel
Figure A4 presents the fossil fuel consumption for the four building alternatives. Almost all processes contribute to the energy use of fossil fuel. The only process that did not rely on fossil fuel consumption was the drying of sawn timber. For processes with EPDs as primary data source, the indicator “direct fuel use: fossil fuel” included the EPD indicator “non-renewable primary energy as energy carrier”. As discussed previously, this leads to a minimal error, as the EPDs include energies from primary processes, whereas the indicators implemented herein did not. This was considered by including a larger uncertainty for the EPD data. The amount of fossil fuel required was significantly higher than the amount of renewable fuel required (roughly one order of magnitude).
Figure A4.
Fossil fuel use in MJ/m2.
Figure A4.
Fossil fuel use in MJ/m2.

The 100 percent local timber alternative had the lowest fossil fuel consumption. For the case-study alternative, the fossil fuel consumption increased by roughly 6 percent, and for the 100 percent imported timber alternative the increase was 22 percent. The reinforced concrete alternative consumed roughly the double amount of fossil fuel compared to the 100 percent local timber alternative. For the timber alternatives, the contributions of concrete and steel were significant (roughly 2/3 of the entire amount). The main contributing phase was the raw material production, mainly the production of cement and the treatment of scrap metal for steel production. For the 100 percent imported timber alternative the contribution of phases A2 (transport to manufacturing site) and A4 (transport to the construction site) was significantly larger than for the 100 percent local timber alternative. The data uncertainty was sufficiently low to support the above statements.
Appendix A.1.5. Electricity Use—from the Grid
Electricity was implemented for the sawmilling and drying process, as well as for the production of glulam, LVL, OSB, and concrete. Figure A5 presents the electricity consumed for the four building alternatives. All processes were production processes, therefore electricity was only consumed during phase A3 (manufacturing). Furthermore, timber was the main contributing material category and the consumption of electricity during the concrete production was negligibly small. This leads to significantly lower electricity consumption for the reinforced concrete alternative than for the three timber alternatives. Electricity consumption was identical for local and imported timber due to the assumption that the amount of energy required (heat, fuel, and electricity) for the production of timber products is identical for local and imported timber. The standard deviation was identical as well.
Figure A5.
Electricity use in kWh/m2.
Figure A5.
Electricity use in kWh/m2.

References
- BAFU (Ed.) Klimapolitik der Schweiz. Umsetzung des Übereinkommens von Paris; Bundesamt für Umwelt (BAFU): Bern, Germany, 2018. [Google Scholar]
- Gebäude-Schweizerische Energie-Stiftung. Available online: https://www.energiestiftung.ch/energieeffizienz-gebaeude.html (accessed on 19 October 2020).
- Hoxha, E.; Passer, A.; Saade, M.R.M.; Trigaux, D.; Shuttleworth, A.; Pittau, F.; Allacker, K.; Habert, G. Biogenic carbon in buildings: A critical overview of LCA methods. Build. Cities 2020, 1, 504–524. [Google Scholar] [CrossRef]
- Hofer, C.; Näher, T.; Neubauer-Letsch, B.; Simoni, L.; Krajnovic, I. Holzendverbrauch Schweiz 2017-Datenbericht, Berner Fachhochschule, Institut für digitale Bau- und Holzwirtschaft IDBH, im Auftrag des Bundesamtes für Umwelt BAUF Abteilung Wald. In Institut für digitale Bau- und Holzwirtschaft IdBH, Datenbericht der Berner Fachhochschule; Berner Fachhochschule: Bern, Switerzland, 2019. [Google Scholar]
- Holzbau Schweiz. Jahresbericht 2018/2019; Holzbau Schweiz: Zürich, Switzerland, 2019. [Google Scholar]
- Stitzel, H. Wirtschaft—Holzwirtschaft Schweiz: Brettern oder aufgeben, Schweizer Radio und Fernsehen (SRF) . 7 March 2016. Available online: https://www.srf.ch/news/wirtschaft/holzwirtschaft-schweiz-brettern-oder-aufgeben (accessed on 19 October 2020).
- Purvis, B.; Mao, Y.; Robinson, D. Three pillars of sustainability: In search of conceptual origins. Sustain. Sci. 2019, 14, 681–695. [Google Scholar] [CrossRef]
- SIA Swiss Standards Association. SIA Merkblatt Effizienzpfad Energie 2040; The Swiss Society of Engineers and Architects (SIA): Zurich, Switzerland, 2011. [Google Scholar]
- MINERGIE. The MINERGIE®-Standard for Buildings; Verein Minergie: Bern, Switzerland, 2008. [Google Scholar]
- B. für U. BAFU, Waldpolitik. 2020. Available online: https://www.bafu.admin.ch/bafu/de/home/themen/thema-wald-und-holz/wald-und-holz--publikationen/publikationen-wald---holz/waldpolitik-2020.html (accessed on 20 March 2019).
- Swiss Society of Engineers and Architects. SIA260-Basis of Structural Design; Swiss Society of Engineers and Architects: Zurich, Switzerland, 2013. [Google Scholar]
- Swiss Society of Engineers and Architects. SIA261-Actions on Structures; Swiss Society of Engineers and Architects: Zurich, Switzerland, 2014. [Google Scholar]
- Swiss Society of Engineers and Architects. SIA265-Timber Structures; Swiss Society of Engineers and Architects: Zurich, Switzerland, 2012. [Google Scholar]
- VKF (Vereinigung Kantonaler Feuerschutzversicherungen). Fire Protection Regulations; Brandschutznorm: Bern, Switzerland, 2015. [Google Scholar]
- Taverna, R.; Gautschi, M.; Hofer, P. Das nachhaltig verfügbare Holznutzungspotenzial im Schweizer Wald. Schweiz. Z. Forstwes. 2016, 167, 162–171. [Google Scholar] [CrossRef][Green Version]
- Bundesamt für Umwelt. Jahrbuch Wald und Holz. 2016–2019. Available online: https://www.bafu.admin.ch/bafu/de/home/themen/wald/publikationen-studien/publikationen/jahrbuch-wald-und-holz.html (accessed on 19 October 2020).
- Rey, L.; Thalmann, P. Holzbeschaffung und Nachhaltige Holznutzung; Schweizerischer Nationalfonds: Bern, Switerzland, 2017. [Google Scholar]
- Suter, F. To Use or not to Use: Environmental Effects of Wood Utilization in Switzerland. Ph.D. Thesis, ETH Zurich, Zurich, Switzerland, 2016. [Google Scholar]
- Suter, F.; Steubing, B.; Hellweg, S. Life Cycle Impacts and Benefits of Wood along the Value Chain: The Case of Switzerland. J. Ind. Ecol. 2017, 21, 874–886. [Google Scholar] [CrossRef]
- ISO. ISO14040: Environmental Management—Life Cycle Assessment—Principles and Framework; DIN Deutsches Institut für Normung e.V.: Berlin, Germany, 2006. [Google Scholar]
- ISO. ISO14044: Environmental Management—Life Cycle Assessment—Requirements and Guidelines; DIN Deutsches Institut für Normung e.V.: Berlin, Germany, 2006. [Google Scholar]
- DIN Deutsches Institut für Normung e.V. DIN EN 15804: Sustainability of Construction Works—Environmental Product Declarations—Core Rules for the Product Category of Construction Products; DIN Deutsches Institut für Normung e.V.: Berlin, Germany, 2020. [Google Scholar]
- Parent, J.; Cucuzzella, C.; Revéret, J.-P. Impact assessment in SLCA: Sorting the sLCIA methods according to their outcomes. Int. J. Life Cycle Assess. 2010, 15, 164–171. [Google Scholar] [CrossRef]
- UNEP. Guidelines for Social Life Cycle Assessment of Products: Social and Socio-Economic Lca Guidelines Complementing Environmental Lca and Life Cycle Costing, Contributing to the Full Assessment of Goods and Services Within the Context of Sustainable Development; UNEP/Earthprint: Paris, France, 2009. [Google Scholar]
- MINERGIE, MINERGIE Schweiz. Available online: https://www.minergie.ch/ (accessed on 21 October 2020).
- BREEAM: The World’s Leading Sustainability Assessment Method for Masterplanning Projects, Infrastructure and Buildings, BREEAM. Available online: https://www.breeam.com/ (accessed on 21 October 2020).
- Green Building Council. LEED Rating System|U.S. Available online: https://www.usgbc.org/leed (accessed on 21 October 2020).
- DGNB—German Sustainable Building Council. Available online: https://www.dgnb.de/en/index.php (accessed on 21 October 2020).
- Pülzl, H.; Prokofieva, I.; Berg, S.; Rametsteiner, E.; Aggestam, F.; Wolfslehner, B. Indicator development in sustainability impact assessment: Balancing theory and practice. Eur. J. For. Res. 2012, 131, 35–46. [Google Scholar] [CrossRef]
- Wernet, G.; Bauer, C.; Steubing, B.; Reinhard, J.; Moreno-Ruiz, E.; Weidema, B. The ecoinvent database version 3 (part I): Overview and methodology. Int. J. Life Cycle Assess. 2016, 21, 1218–1230. [Google Scholar] [CrossRef]
- SimaPro, the World’s Leading LCA Software, SimaPro, LCA Software Package Can Help You Make Your Sustainable Product Development and Sustainability Goals Measurable—Asplan Viak. Available online: https://network.simapro.com/ (accessed on 27 October 2020).
- Werner, F.; Althaus, H.-J.; Künniger, T.; Richter, K.; Jungbluth, N. Life Cycle Inventories of Wood as Fuel and Construction Material; Final Rep. Ecoinvent Data V2.0 No 9; EMPA: Dübendorf, Switzerland, 2007. [Google Scholar]
- ISO. ISO14025: Environmental Labels and Declarations—Type III Environmental Declarations—Principles and Procedures; DIN Deutsches Institut für Normung e.V.: Berlin, Germany, 2006. [Google Scholar]
- Koordination der Bau- und Liegenschaftsorgane des Bundes (KBOB). Ökobilanzdaten im Baubereich 2009/1; Koordination der Bau- und Liegenschaftsorgane des Bundes (KBOB): Bern, Switzerland, 2016. [Google Scholar]
- Frischknecht, R.; Knöpfel, S.B. Ökofaktoren Schweiz 2013 Gemäss der Methode der Ökologischen Knappheit—Methodische Grundlagen und Anwendung auf die Schweiz., Bundesamt für Umwelt BAFU, Bern, Umwelt-Wissen Nr. 1330. 2013. Available online: https://www.bafu.admin.ch/bafu/de/home/themen/thema-wirtschaft-und-konsum/wirtschaft-und-konsum--publikationen/publikationen-wirtschaft-und-konsum/oekofaktoren-schweiz-2013-gemaess-der-methode-der-oekologischen-.html (accessed on 17 December 2020).
- Buchanan, A.H.; John, S.; Love, S. LCA and carbon footprint of multi-storey timber buildings compared with steel and concrete buildings. World 2012, 15, 19. [Google Scholar]
- Robertson, A.B.; Lam, F.C.; Cole, R.J. A comparative cradle-to-gate life cycle assessment of mid-rise office building construction alternatives: Laminated timber or reinforced concrete. Buildings 2012, 2, 245–270. [Google Scholar] [CrossRef]
- König, H.; Kaufmann, H.; Huß, W. Aktiver Klimaschutz durch Ressourceneffizienz und Nachwuchspotenzial des Holzbaus am Beispiel von zwei Neubauten und drei Sanierungsprojekten; Technische Universität München: München, Germany, 2015. [Google Scholar]
- Fouquet, M.; Levasseur, A.; Margni, M.; Lebert, A.; Lasvaux, S.; Souyri, B.; Buhé, C.; Woloszyn, M. Methodological challenges and developments in LCA of low energy buildings: Application to biogenic carbon and global warming assessment. Build. Environ. 2015, 90, 51–59. [Google Scholar] [CrossRef]
- Heeren, N.; Mutel, C.L.; Steubing, B.; Ostermeyer, Y.; Wallbaum, H.; Hellweg, S. Environmental Impact of Buildings—What Matters? Environ. Sci. Technol. 2015, 49, 9832–9841. [Google Scholar] [CrossRef] [PubMed]
- Cattarinussi, L.; Hofstetter, K.; Ryffel, R.; Zumstein, K.; Ioannidou, D.; Klippel, M. Life cycle assessment of a post-tensioned timber frame in comparison to a reinforced concrete frame for tall buildings. In Expanding Boundaries: Systems Thinking in the Built Environment; vdf Hochschulverlag AG an der ETH Zürich: Zurich, Switzerland, 2016; pp. 656–661. [Google Scholar] [CrossRef]
- Skullestad, J.L.; Bohne, R.A.; Lohne, J. High-rise timber buildings as a climate change mitigation measure–A comparative LCA of structural system alternatives. Energy Procedia 2016, 96, 112–123. [Google Scholar] [CrossRef]
- Hafner, A.; Schäfer, S. Comparative LCA study of different timber and mineral buildings and calculation method for substitution factors on building level. J. Clean. Prod. 2017, 167, 630–642. [Google Scholar] [CrossRef]
- Balasbaneh, A.T.; Marsono, A.K.B.; Khaleghi, J.S. Sustainability choice of different hybrid timber structure for low medium cost single-story residential building: Environmental, economic and social assessment. J. Build. Eng. 2018, 20, 235–247. [Google Scholar] [CrossRef]
- Sandanayake, M.; Lokuge, W.; Zhang, G.; Setunge, S.; Thushar, Q. Greenhouse gas emissions during timber and concrete building construction—A scenario based comparative case study. Sustain. Cities Soc. 2018, 38, 91–97. [Google Scholar] [CrossRef]
- Pierobon, F.; Huang, M.; Simonen, K.; Ganguly, I. Environmental benefits of using hybrid CLT structure in midrise non-residential construction: An LCA based comparative case study in the US Pacific Northwest. J. Build. Eng. 2019, 26, 100862. [Google Scholar] [CrossRef]
- Rhomberg Bau GmbH, Innovationsprojekt Wolfurt Lerchenstraße, Rhomberg Bau GmbH. Available online: https://www.rhomberg.com/de/studienprojekt-lerchenstrasse (accessed on 29 October 2020).
- Gautschi, M.; Hagenbuch, M.; Taverna, R. Transporte in der Schweizer Wald- und Holzwirtschaft: Situationsanalyse und Optimierungsmöglichkeiten • GEO Partner AG, Bundesamt für Umwelt (BAFU), Abt. Wald, CH-3003 Bern Das BAFU ist ein Amt des Eidg. Departements für Umwelt, Verkehr, Energie und Kommunikation (UVEK). January 2018. Available online: https://www.geopartner.ch/de/bericht-transporte-in-der-schweizer-wald-und-holzwirtschaft-situationsanalyse-und-optimierungsmoeglichkeiten/ (accessed on 8 December 2020).
- DIN EN 15643. DIN EN 15643: Sustainability of Construction Works–Framework for Assessment of Buildings and Civil Engineering Works; Draft DIN Deutsches Institut für Normung e.V.: Berlin, Germany, 2019. [Google Scholar]
- Eidgenössische Zollverwaltung EZV, Swiss-Impex (Beams and Posts in Timber: Custom Statistics Number 4418.6000). Available online: https://www.gate.ezv.admin.ch/swissimpex/ (accessed on 14 December 2020).
- Kissling, S. Nachhaltige Ressourcennutzung von Schweizer Holz. Master’s Thesis, ETH Zurich, Zurich, Switzerland, 2020. [Google Scholar]
- Kunz, M. Resilient and Sustainable Timber-Based Housing Solution for Rapid Deployment in Emergency Situations. Master’s Thesis, ETH Zurich, Zurich, Switzerland, 2017. [Google Scholar]
- Weiss, M. Kennzahlen für Stahlbetonarbeiten—Anwendung bei Hochbauprojekten. Master’s Thesis, TU Graz, Graz, Austria, 2010. [Google Scholar]
- Lindner, M.; Suominen, T.; Palosuo, T.; Garcia-Gonzalo, J.; Verweij, P.; Zudin, S.; Päivinen, R. ToSIA—A tool for sustainability impact assessment of forest-wood-chains. Ecol. Model. 2010, 221, 2197–2205. [Google Scholar] [CrossRef]
- Jasinevičius, G.; Lindner, M.; Verkerk, P.; Aleinikovas, M. Assessing Impacts of Wood Utilisation Scenarios for a Lithuanian Bioeconomy: Impacts on Carbon in Forests and Harvested Wood Products and on the Socio-Economic Performance of the Forest-Based Sector. Forests 2017, 8, 133. [Google Scholar] [CrossRef]
- Suominen, T.; Kunttu, J.; Jasinevičius, G.; Tuomasjukka, D.; Lindner, M. Trade-offs in sustainability impacts of introducing cascade use of wood. Scand. J. For. Res. 2017, 32, 588–597. [Google Scholar] [CrossRef]
- Tuomasjukka, D.; Athanassiadis, D.; Vis, M. Threefold sustainability impact assessment method comparison for renewable energy value chains. Int. J. For. Eng. 2017, 28, 116–122. [Google Scholar] [CrossRef]
- Marelli, S.; Sudret, B. UQLab: A Framework for Uncertainty Quantification in Matlab. In Proceedings of the 2nd International Conference on Vulnerability, Risk Analysis and Management (ICVRAM 2014) & 6th International Symposium on Uncertainty, Modeling, and Analysis (ISUMA 2014), Liverpool, UK, 13–16 July 2014; American Society of Civil Engineers: Reston, VA, USA, 2014; pp. 2554–2563. [Google Scholar] [CrossRef]
- Ciroth, A.; Muller, S.; Weidema, B.P.; Lesage, P. Refining the Pedigree Matrix Approach in Ecoinvent: Towards Empirical Uncertainty Factors; LCA Discussion Forum Zürich: Zurich, Switzerland, 2013. [Google Scholar]
- Lehner, L.; Kinnunen, H.; Weidner, U.; Lehner, J.; Pauli, B.; Menk, J. Branchenanalyse—Analyse und Synthese der Wertschöpfungskette (WSK) Wald und Holz in der Schweiz [Industry Analysis—Analysis and Synthesis of the Value Chain (WSK) Forest and Wood in Switzerland]; BWC Management Consulting GmbH: Abensberg, Germany, 2014. [Google Scholar]
- Heeren, N.; Hellweg, S. Tracking Construction Material over Space and Time: Prospective and Geo-referenced Modeling of Building Stocks and Construction Material Flows. J. Ind. Ecol. 2019, 23, 253–267. [Google Scholar] [CrossRef]
- Rüter, S.; Diederichs, S. Ökobilanz-Basisdaten für Bauprodukte aus Holz; Johann Heinrich von Thünen-Institut (vTI), Bundesforschungsinstitut für Ländliche Räume, Wald und Fischerei: Braunschweig, Germany, 2012. [Google Scholar]
- BFE: 75% des Stroms aus Schweizer Steckdosen Stammten 2019 aus Erneuerbaren Energien (ee-news.ch). Available online: https://www.ee-news.ch/de/article/44475/bfe-75-des-stroms-aus-schweizer-steckdosen-stammten-2019-aus-erneuerbaren-energien (accessed on 1 December 2020).
- Lewicki, P. Erneuerbare Energien in Zahlen, Umweltbundesamt. 10 June 2013. Available online: https://www.umweltbundesamt.de/themen/klima-energie/erneuerbare-energien/erneuerbare-energien-in-zahlen (accessed on 1 December 2020).
- Lamlom, S.H.; Savidge, R.A. A reassessment of carbon content in wood: Variation within and between 41 North American species. Biomass Bioenergy 2003, 25, 381–388. [Google Scholar] [CrossRef]
- Guest, G.; Cherubini, F.; Strømman, A.H. Global Warming Potential of Carbon Dioxide Emissions from Biomass Stored in the Anthroposphere and Used for Bioenergy at End of Life. J. Ind. Ecol. 2013, 17, 20–30. [Google Scholar] [CrossRef]
- Stahl Gerlafingen (Beltrame Group). EPD—Rebar Topar-RC; Stahl Gerlafingen (Beltrame Group): Gerlafingen, Switzerland, 2017. [Google Scholar]
- Institut Bauen und Umwelt e.V. (IBU). EPD Reactive Resins by FEICA. 2015. Available online: www.bau-umwelt.com/https://epd-online.com (accessed on 19 October 2020).
- Cemsuisse. EPD Schweizer Durschnittszement; Cemsuisse: Bern, Switzerland, 2015. [Google Scholar]
- Schweizerischer Überwachungsverband für Gesteinsbaustoffe (SÜGB). Durchschnitts-EPD für Gesteinskörnung; Schweizerischer Überwachungsverband für Gesteinsbaustoffe (SÜGB): Bern, Switzerland, 2018. [Google Scholar]
Publisher’s Note: MDPI stays neutral with regard to jurisdictional claims in published maps and institutional affiliations. |
© 2021 by the authors. Licensee MDPI, Basel, Switzerland. This article is an open access article distributed under the terms and conditions of the Creative Commons Attribution (CC BY) license (http://creativecommons.org/licenses/by/4.0/).
















