You are currently viewing a new version of our website. To view the old version click .
Sustainability
  • Article
  • Open Access

6 September 2021

Examination of the Consumers’ Expectations Regarding Company’s Contribution to Ontological Security

,
and
Keleti Károly Faculty of Business and Management, Óbuda University, H-1084 Budapest, Hungary
*
Author to whom correspondence should be addressed.

Abstract

Security is considered a basic human need, according to Maslow’s hierarchy; however, it is hard to define exactly what the term means. Globalization, the digital environment, bring new dimensions and increasingly diverse interpretations of security to life. These new approaches, while reducing the consistency of the concept, allow an understanding of individual attitudes towards security. In recent years, several researchers have analyzed the psychological dimension of security at a personal level and ontological security in relation to citizens, residents, employees and students; however, based on a review of research history, there is still a scientific gap with regard to the perspective of customers and consumers. Accepting the fact that market actors are increasingly taking their share of creating a secure environment, in our empirical study we focus on corporate involvement and contribution through an examination of consumers’ perceptions of security. Corporate security is originally a field supporting the smooth operation of the organization, but nowadays it has become an important element of corporate strategy and also a factor of competitiveness. Keeping that in mind, our objective is to get a picture of how consumers judge the contribution of companies to the general sense of security in Hungary, what security-related tasks they expect from the corporate actors, and how they feel about a company’s security-related performance. In our study, we develop the ontological security model of consumers, into which we integrate—next to the individual socio-psychological features and the macro-environmental elements—the dimension of the assessment of corporate performance, the possible components of which are analyzed during the quantitative primary research.

1. Introduction

The sense of security, along with those elements of wellbeing that can be described using general economic indicators, is one of the main benchmarks of postmodern human prosperity [1]. The significance and the components of a sense of security are constantly changing, new dimensions of security appear, and in the meantime its establishment and maintenance take place in an environment where the standard politics/economics and state regulation/market equilibrium dichotomies are falling apart, allowing room for the involvement of corporations.
Security is not merely an abstract notion [2] since paradigms emphasizing the legitimacy of human and personal safety appeared from the 1990s as a counterpoint to the traditional state-oriented security policy approach [3,4]. An individual’s perception of security can be examined from several perspectives (e.g., physical security, existential security, social security, etc.) and can be interpreted in terms of different roles (e.g., citizen, urban resident, house tenant, customer). For historical and environmental reasons (globalization, digitalization), research related to individual and human security has become a topic of major importance, yet the academic works available in the context of security studies tend to present a traditionally narrow (state-related) approach to security [5]. Felling secure, however, goes beyond the security of individuals as guaranteed by the state; it is in fact the result of a set of interrelated external and internal factors [6] and, as such, it is highly subjective.
The subjective perception of security has been studied using both psychological [7,8,9,10,11] and ontological approaches [12,13,14,15], in the context of certain roles of an individual (citizen, urban resident, employee, etc.). According to the studies reviewed, far too little attention has been paid to consumers’ perceptions of security, and their expectations of companies in terms of security. Thus, the purpose of this paper is to explore this new perspective of perceived security, based on the results of a survey conducted among Hungarian consumers. It is evident that an individual’s subjective sense of security as a consumer is inseparable from his overall security perception, so we can build on previous research results in this respect; however, we also aim to examine what security-related tasks are identified by consumers and how they assess the performance of the companies in this area.
We believe that our findings can serve as a basis for guiding the transformation of companies’ security-related strategies, as corporate security is traditionally an area that is mainly defined as a supporting function guaranteeing the smooth operation of the organization [16], which is less pertinent within corporate strategic planning. However, we can see clear signs of the consumers and business partners in certain sectors attaching greater importance to security, for which they are even willing to pay a premium price; therefore, information and communication about security-related guidelines and results will be paramount.

2. The Conceptualization of Security

As can be seen in the findings of sociological research, an average person mostly identifies the notion of security with social security and public safety. Social security usually means the accessibility of health insurance, pension insurance and other social benefits, while public safety is—in addition to crime prevention [17]—about maintaining the order of social coexistence (the protection of an individual’s life, personal rights and assets).
Based on the definition in the online Cambridge Dictionary, security is the “protection of a person, building, organization, or country against threats such as crime or attacks by foreign countries”. According to the Dictionary of the Hungarian Language, security is an order of things and living conditions; it is a state in which unpleasant surprises, disturbances and risks have little or no opportunity to appear, where one does not have to be afraid of threats like these. Academic studies have defined security as “the absence of events, threats and risks that would cause damage, pain and suffering” [18]. In general, therefore, security can be best described with a negative definition, by the absence of something (danger, risk, harm, etc.) [19]. Scientific publications usually identify three possible interpretations for security, which are: (1) the previously introduced dichotomy-based approach, in the form of a state that can be described by the absence of danger; (2) an activity linked to the establishment of prevention and protection; or (3) a basic need, as one of the crucial drivers of human existence [6].
Due to the complexity of its definition, the various fields give concrete terms to the meaning of security, usually with the help of qualifying adjectives. On the one hand, depending on the context, the words security and protection can be found in adjectival structures, such as national security and national protection, health security and health protection, and environmental security and environmental protection (a non-exhaustive list). On the other hand, there are fields where typically, or even exclusively, only one of these notions is used, like, for example, disaster protection and operational security [20].
The definition of security itself can be examined from different points of view. The descriptions introduced above are aiming for a direct interpretation of security but we can also highlight the psychological approach, from which perspective security is a sensation/perception; as such, it can be real, false, or manipulated [21]. From this standpoint, it is worth looking into the element of threat in a more complex way and to clarify that its nature can be real or perceived; hence, the danger might not even exist. In addition, security can also be examined from a legal point of view, where it means the establishment and operation of a system of internal and external guarantees [22]. In a legal sense, personal safety, which can be characterized as protection against factors threatening life, health, livelihood and human dignity, can be distinguished from human security, which is a broader term and marks the protection of human rights and access to social services (health care, education) [3]. According to the classic conception of economics and political science, security is a public good and, when viewed as a service, it is part of the public domain. With regard to security, the prefix “public” does not solely serve to distinguish it from “private”. In this case—in terms of the state and market engagement—it is not simply market-based public goods, on which footing the private contracts are based. It is much more characteristic that state actions and subsidies are needed for its development and preservation [23]. It can be stated that security is basically a concept integrating comprehensive, indivisible, and multi-component elements that are objective and subjective and go far beyond just the military aspects [24].
The narrow, traditional (realistic), state-centric orthodoxy-based definition and the critical (modern/postmodern), human (proclaiming the legitimacy of personal safety), expansive interpretation of security are the subject of serious debates among theorists [5]. These theorists fear that due to the new dimensions [4] deriving from the more expansive interpretation, the definition of security will lose its intellectual unity. Nevertheless, today’s novel threats and challenges of modernization are making the validity of the so-called critical human security studies (CHSS), and the term security defined therein, absolutely clear. In a wider sense, human security consists of economic, food, health, environmental, personal, community and political safety, while at the other end of the scale, on the basis of the “narrow” approach, the term mainly covers protection against violent threats [5]. Either way, the center of this new paradigm is the individual instead of the citizen, for whom security means that there is no need to be afraid of dangers and risks. It can be stated that, in this approach, security is not an objective state, but the subjectively lived perception of the individual, the sense of prosperity, tranquility, and stability. From a philosophical and socio-cultural perspective, subjective security is the totality of several interrelated phenomena, such as the individual perception of danger, the psychological mechanisms of developing a sense of fear in a certain social group, civic awareness and the community’s ability to self-organize against external and internal threats [6]. Therefore, the subjective dimension of security itself is fairly complex, and it can be described as a synthesis of psychological as well as certain social and environmental factors.
Two strands of subjective security research have been emerging since the 1990s. A significant number of researchers are primarily concerned with the conceptualization of psychological security [2,6,21] and examine its practical applicability [8,9,11]. Simultaneously, others study security from an ontological point of view, which appeared in Giddens’s theory of modernity [25,26,27,28], regarding residents [12,14,29], property ownership [13] and further practical manifestations [15,30].
In contrast to physical security, which denotes “security as survival”, ontological security refers to “security as being” [31]. Ontological security refers to people’s faith in their self-identity and in the permanent nature of their social and material environment; the sense of ontological security is based on the reliability of the surrounding persons and things [25]. This is only one of the many approaches emphasizing that self-confidence, social security, a loving partner, and a normal daily routine are equally important for living a full human life [13,14]. Routines are of particular significance in developing ontological security because the challenges of the post-traditional era (the blurring of the conventional boundaries of existence, roles, loss of traditions, etc.) are making it harder for individuals to feel comfortable in the world (existential anxiety) [26,27]. According to Harries [12], ontological security is at a higher level in Maslow’s hierarchy of needs than the need for physical security; therefore, a person’s desire to feel safe can actually prevent that person from acting in favor of their physical security. It is also typical that the misperception of dangers acts against adequate protection [32]. In his critique aiming to refine the concept of ontological security, Rossdale [28] underlines that, in Giddens’s interpretation, security is not just an abstract psychological experience but also a comfortable condition, one that is adaptive to the broader political and social frameworks and, as such, it might become a privilege that only certain members of those frameworks deserve.
Human security cannot be interpreted without considering its psychological aspect. The sense of security and general mental wellbeing are inseparable from each other, and both of them are subject to the possession of control over things, among other factors. By definition, psychological security is the state of an individual when he/she can satisfy his/her needs for self-preservation and perceive his/her own (psychological) “shelteredness in socium” [2]. Edmondson claims that, in a given context, psychological safety describes the perceptions connected to the consequences of taking interpersonal risks [8]. It is worth mentioning that psychological security typically refers to hypothetical constructions that are difficult to measure [2]; therefore, researchers usually examine it by including the perception of possible threats and risks, the likelihood of becoming a victim, and by applying the cognitive, effective [21] and conative components [2] known from attitude research. All in all, psychological security is some kind of premonition by individuals, which is shaped by the physical and mental dangers and risks, in addition to their relative position of power or their feeling of vulnerability [11].
The reviewed research of the above two trends is summarized in Table 1.
Table 1. Psychological and ontological security research approaches.
The research history shows that, while the research related to psychological security defines the subject of analysis primarily within an organization (employee, teacher, student), the ontological approach of security is linked to the social roles of an individual in a broader sense. Exceptions to this trend are the study that evaluated the connections between the ontological sense of security and strategic engagement among senior management [15], and the multiphase study of Wang et al. [11], which stands out in the field of psychological security in terms of the dimensions involved in the examination. It can be established from this that psychological and ontological security can both be interpreted via different dimensions, depending on the situation or role in which we examine the individual. It is also clear, based on the literature review, that until now, perceptions related to psychological or ontological security have not been analyzed before regarding the role of consumers. Given that the consumer role of individuals cannot be interpreted only in respect of a particular organization, our study was conducted through the application of the ontological approach of security. However, since the consumer role can mainly be construed in the context of relationships with companies and organizations, it is advisable to investigate the various possible involvements of market actors in shaping the consumer’s sense of security.

3. New Perspectives on Corporate Security

There are numerous known definitions for corporate security, but one generally accepted definition that is tailored to meet the challenges of the environment cannot be found in the literature. As a starting point, security has always been a business requirement, as corporate goals cannot be reached without the guarantee of security [33]. The key aspect of corporate security policy is also the most significant factor of production: “the protection of human life and health … the functionality of the corporation and the maintenance of the market position” [34] (p. 181). “The use of corporate security allows the corporation to prohibit conduct it deems harmful to its profit accumulation, but which may not be deemed illegal” [16] (p. 209).
Based on the approach still dominant today, corporate security policy creates a supporting background for the achievement of business goals, thus securing the smooth operation of corporate processes. When taking the characteristics of the processes into consideration, a distinction can be made between business systems, production systems and information systems, which all require different resources to function. The task of the security system is to ensure security within the above-listed corporate systems. Thus, “the corporate security system consists of property security, operational security and IT security subsystems, which are meant to reduce the (business, production and informational) threats and risks to the resources to the level necessary for the realization of the business goals” [35] (p. 21).
Some authors refer to a wider concept of corporate security as well, which grew popular in the literature as the “Economic Security of Enterprise”. After going through the available interpretations, the authors Ianioglo and Polajeva [36] (p. 5) define the term as follows: “The economic security of the enterprise is a state characterized by the ability of the economic entity to ensure the most efficient use of resources and entrepreneurial opportunities to prevent threats and increase competitive advantages. This will allow ensuring stable functioning and dynamic development to achieve business goals.”
It is clear that the above definitions—without exception—focus on the company’s protection against external threats. Although an extensive literature review has been carried out, a single definition was found that includes the aspect of corporate security that emphasizes the role of the organization in developing and maintaining the security of their environment. According to this definition, corporate security is a condition in which a business organization is able to safeguard its functionality and value-added processes in the long term. A further criterion for security is that the future of the company is in its own hands, based on its strategic plans, and the company does not put its environment, its external or internal stakeholders in danger during its operation [37]. Corporate security, therefore, goes beyond maintaining the company’s smooth operation and protecting the processes against external influences. The current economic, social and technological trends (globalizing threats, cyber-crimes) all support the assumption that companies are getting more and more capable and ready to protect their consumers [38] in the spirit of either social responsibility or the creation of a competitive edge.
Companies can relate to an individual’s sense of security in his or her multiple roles, not only as a customer, but also as a partner, an employee, or a member of society in general. These dimensions typically refer to the social responsibility of corporations (CSR). Numerous studies have attempted to explain the concept of CSR; it is interpreted by certain academics as a theory, as a management tool, or even as a new business model. This paper does not attempt to discuss the idea of CSR in detail, but it is worth highlighting Carroll and Shabana’s corporate social performance model [39], in which, in addition to defining four categories of responsibility (economic, legal, ethical and discretionary), two dimensions of security are explicitly reflected in terms of occupational safety and product safety. The quasi-hierarchy of the four responsibility categories mentioned raises several questions. Can those efforts regarding corporate security be interpreted as a social responsibility that is closely related to the core activity of the company, and—for instance—serve to ensure the smooth running of its processes? Irrespective of security, there is no clear consensus in this regard. Certain theorists believe that the motive is irrelevant when it comes to contributing to the solution of social problems [39], while others emphasize that the obligatory activities with direct ties to the production or business activities of the organizations, regulated by external actors, do not form a part of responsible corporate behavior [40]. Considering corporate social responsibility rather as a management tool instead of a normative theory, then, within its framework, the organizations have to deal with both the regulatory and social risks related to their responsible operation. If so, the corporate code of conduct can be deemed to be an alternative to state regulations, and as a standard to make operation even more responsible [41]. This can be confirmed by the perception according to which the security culture seeps through corporate practice and also appears at the level of society, affecting people’s behavior in their everyday life.
Two alternative theories on social responsibility are also worth mentioning in the context of security. Scherer and Palazzo [42], mainstream theorists of the normative approach of social responsibility, stress the significance of the companies’ intended social engagement. The political CSR they created covers every corporate activity that might have a political aspect, like, for example, activities linked to security, and especially to public and national security, which are traditionally defined as a state responsibility [17]. In addition, one German research group conceptualized the term “corporate security responsibility” (CSecR) [43]. In their opinion, the security responsibility of companies can only make sense in an environment burdened with militaristic threats; thus, it is necessary to form a separate, independent conceptual framework that is tailored to specific challenges and is distinguished from traditional responsibilities.

4. Methods and Hypothesis Development

In the light of this theoretical background, we are facing several challenges with regard to studying security, three of which will be examined in more detail. The literature review has shown that—among other things—the conceptualization of the notion of security is problematic (1). As previously described, in the present study, ontological security is examined from the aspect of the interrelationship between consumers and corporations. The application of the ontological approach is justified by the nature of the subject since the consumer role and the related security expectations go beyond the individual, subjective value judgments, and since it is also affected by external environmental factors. In addition, capturing the dimensions of security relevant to this study has proved to be extremely difficult, even in a context that has already been precisely defined (2). Based on the analyses in relation to ontological security, it is clear that security perceptions are adapted to the features of the research in question (the individual needs and expectations of employees, students, or residents). As a result, in the course of these consumer-oriented examinations, we have come to believe that the creation of a unique model is appropriate. Regarding our assessment of the research history, two major dimensions emerge in the measurement of ontological security, namely, the individual psychological characteristics, and the environmental conditions, along which lines the interaction is established between the consumer and the company. The two cannot be cleanly separated from each other, because individuals also detect environmental elements in a different way (perceived security); hence, we cannot speak of objective factors in this regard either. In addition to the individual psychological characteristics, the uniqueness of our model is primarily due to the characteristics of the environmental factors, which we believe can be captured by consumers’ expectations regarding the security-related performance of various companies. Therefore, consumer preferences are examined in our study, along with these dimensions. Finally, security is hard to measure (3) [44]. From a methodological point of view, it can be stated that some of the reviewed measurement models examine security at the level of systems (typically, information and organizational security); however, the technical and human factors are treated separately in these models as well [45]. These approaches can map and evaluate individual security behavior [46], and emphasize the subjective, perceived characteristics of security [47]. Security as an individual value judgment (either from a psychological or ontological aspect) and its dimensions are explored by researchers in the majority of the analyses, with the help of qualitative methods (e.g., in-depth interviews) [12,13,15,45] but there are also case studies [48] and, to a lesser extent, quantitative [10,14,46,49] and combined researches as well [11]. A smaller group of theorists have attempted to create specific [14,29,50] and generally applicable indexes [47] for measuring security.
In our primary research, we examined one of the relevant stakeholder groups, the consumers’, perceived sense of security and their expectations of companies with regard to security, through an ontological security approach. The analysis of corporate security from a customer/consumer perspective is a novel concept; thus, we can only rely on a minimal number of sources in terms of compiling the research [51,52] by means of such a multidisciplinary point of view. Isolating the consumers, the consumer-based communities, and society itself from among the stakeholders as the target group of the research is justified by their specific role. For one thing, the target group of the research is important in terms of a potential employee or colleague. The analysis of security-related expectations, responsibilities and authorizations emerging within the scope of this function is a popular direction for studies. We can see throughout the secondary research and the literature overview that this field (in particular, those of occupational health and safety, health protection, and the responsibility of employees in the area of information security) and the security culture, as an output of corporate security policy, attract considerable attention from researchers [53,54,55]. Additionally, there are consumer-oriented studies, with their primary focus on data protection, that examine the sectoral assessment of cyber security [38]. Considering that data protection is an issue of increasing significance, and yet it is only one of the constituents of sense of security, in our study we intended to explore the value judgments of the members of society as consumers regarding general corporate security responsibility, with the help of quantitative methods.
During the research, the data was collected through structured questionnaires, partially online and partially in the form of personal interviews. Due to the use of convenience sampling, the sample is not representative, and the research results can only be accepted with limitations. The processing and statistical analysis of the data were performed via the SPSS 20.0 program through the application of descriptive statistics, correlation tests with two or more variables, a chi-squared test, and factor-, cluster- and variance analyses.
When defining the pre-study hypotheses, we could rely on studies conducted in the field of ontological and psychological security [9,13], as well as the results of measuring perceived security in general [56], although these analyses focus on a specific spectrum of the security dimensions. We considered the factors of subsistence security, public safety, military security and environmental security to be too general. Instead, we were trying to capture them by using variables that, based on the trial interviews, were easier to interpret for the respondents. In defining the factors that threaten the sense of security based on previous findings [11] we included self-psychological, social, and natural environmental dimensions.
The consumer-perceived importance of the individual factors was measured with the aid of a 4-point Likert scale because the application of only four categories helped to make sure that the people completing the questionnaire did not stay neutral towards the questions, and also ensure the reliability of the study [57]. However, given the nature of the topic, we made the option available in several cases (especially regarding the assessment of corporate performances) to mark the answer as “Not applicable”, which hopefully was used by the respondents only when they felt they were unable to form a relevant opinion about the subject of the question. These answers were not taken into consideration during the statistical analyses.
In terms of the individual sense of security, we have formulated the following assumptions, in line with the literature history. For consumers, there is a psycho-social pillar to the sense of security that is linked primarily to the direct personal sphere, and this pillar is a recurring element among the dimensions of ontological security [11,12,13,56].
Hypothesis 1 (H1).
Consumers mostly link their perceived security to micro factors (appearing in their immediate environment).
When measuring the sense of security, as well as indexes, we also encounter the issue of estimating the probability of the occurrence of threats and risks, including quantitative (0, 1) and nominal scales [50]. The Hungarian Central Statistical Office measures the sense of security as a dimension of subjective prosperity, in the context of the perceived sense of security in one’s place of residence and direct surroundings [58]. In the research, the value judgment of the respondents is assessed with the help of a four-point nominal scale and, in light of the results, it can be stated that the majority (more than 50%) of the population is “feeling secure enough”.
When examining the factors influencing the sense of security, it becomes clear that several micro-, meso- and macro factors appear, from the individual’s current state of mind to even the crime-related situation. Although only a partial correlation has been detected between the evolution of the level of an individual’s sense of security and their demographic characteristics, several studies endeavored to statistically prove the effects of these factors [1,59]. Despite the measurement difficulties mentioned earlier, in our research we intend to measure the general sense of security on a metric scale and thereby explore the possible demographic correlations. Our goal is to examine how the value determined by the respondents develops in the context of their demographic characteristics. In this regard, it can be assumed that:
Hypothesis 2 (H2).
A significant relationship can be detected between the perceived sense of security and the demographic characteristics of the respondents.
During the research, we also aimed to assess the consumers’ and societal perceptions of the security-related performance of companies. In the course of defining corporate responsibility and the wording of statements about corporate performance in the field of corporate responsibility, we could build on the areas identified in our own former studies. On the basis of the secondary research history, nearly three-quarters (72%) of consumers believe that although the state has to regulate the operation of the companies, the corporations have the appropriate set of tools for their security [38]. We made the following hypotheses concerning the assessment of corporate security responsibility:
Hypothesis 3 (H3).
Consumers believe that companies have no prominent role in shaping their sense of security; they consider establishing and maintaining security to be a state, governmental or public responsibility.
Hypothesis 4 (H4).
The respondents attach a varying degree of significance to certain aspects of corporate involvement in security matters and, within that context, they deem the security tasks connected to a responsible employer’s behavior to be the most important.
The latter assumption, according to which the expected responsibility is correlated with the roles of the employers, is partially based on our earlier research results and also on the literature background. The conclusions of publications on this topic say that responsibility toward the employees (whether security-related or not) is one of the most essential and most often communicated elements of corporate responsibility, regardless of the type of enterprise involved [39,60,61].
We assume that the consumers’ ontological sense of security can also be described using perceptions related to corporate engagement and performances, along with individual psychological features. Therefore, the assessment of consumer and social perceptions regarding corporate engagement and performance is an important research objective of ours. It is obvious that the opinion of the respondents does not generally reflect the actual corporate performance, given that the concept of performance itself is also incredibly difficult to grasp. However, the feedback of consumers as external stakeholders and the individuals that make up society might be useful for companies as a certain kind of feedback, even in respect of the security-related dimensions of their market presence. When drafting the block of questions intended to quantify opinions, we endeavored to illustrate all the elements of corporate security that can be linked both to the company’s core activities and to social responsibility. As mentioned previously, several studies [1,59] have confirmed a significant relationship between general perceptions of safety and the demographic characteristics of Hungarians. The perceived quality of security in general and the security-related expectations of consumers regarding companies cannot be separated; therefore, it can be assumed that:
Hypothesis 5 (H5).
There is evidence of a correlation between the assessment of the companies’ security-related performance and the individual features of the consumers.
We aimed to create a new scale for corporate engagement and performance related to security. In terms of content, we have highlighted the traditional functions of corporate security politics, as well as stakeholder-related activities involving security, identified earlier through our reviews of sustainability reports. First, a reliability test was performed on the new scale. Cronbach’s α coefficient was used to judge the overall credibility of the scale, where the value was 0.821, which confirms its internal consistency. The data showed that the overall credibility value of the scale would decrease after deleting any item. Based on descriptive statistical data for each item, there were no low-discrimination items with a standard deviation of less than 0.75; thus, the basic quality of the items was also acceptable. To explore the interrelationships between the scale items, factor analysis was performed, with the application of principal component analysis and the Varimax rotation method. This method is used to reduce the dimensions and compress the data, by reducing the number of initial criteria and dividing them into factors. The suitability of the data for factor analysis was examined by the KMO test. The result of the test was 0.872; thus, the value over 0.8 (p = 0.000 < 0.0001) indicates that the variables correlated and were suitable for factor analysis [62]. According to the Kaiser criterion, we extracted two factors with eigenvalues higher than 1.
Hierarchical cluster analysis was applied to gain a deeper understanding of the respondents’ preferences. We used the maximum Euclidean distance to measure the distance between the cases. Based on the dendrogram, seven clusters were constructed, from which those with fewer than twenty items were deleted, and finally, the remaining four clusters were subjected to further analysis (descriptive statistics, correlation tests).

5. Results

By being the direct stakeholders of companies, consumers are key actors within the numerous dimensions of corporate activities, either as the target group of corporate activities, or in the labor market, or—last, but not least—as members of society, as a determining factor of public awareness. As a section of the Hungarian population after the age of eighteen, Hungarian consumers constituted the target group of the research, and the data collection process was conducted by convenience sampling online and via personal interviews. Due to the sampling procedure, the sample is not representative; however, the opinions of the different demographic groups are reflected in the results. Table 2 shows the demographic composition of the sample.
Table 2. The demographic composition of the sample.

5.1. Analysis of Individual Characteristics

As we have seen earlier, security is an incredibly complex term, and during this research, the greatest challenge was to capture the subject matter. We started with a free association question for the purposes of exploring the first thoughts connected to individual security. When categorizing the responses to this question, we relied on the results of previous secondary research [29], in which the data of two cross-sectional studies were examined in contrast, in order to analyze changes in the perception of security.
After a comparison of mentioning frequencies and the secondary data, on the basis of the primary results it is clear that the respondents associated security with the dimensions of public safety and financial security/subsistence security in a much smaller proportion in the current study, although they mentioned their family, and the peaceful and protected state in which they live as a result of security, to a similar extent as before (Table 3).
Table 3. Free associations with the term “security”.
The association-based factors related to the immediate environment of the consumer also appear in the listing of elements that threaten the sense of security. In Table 4, those questions were highlighted that have a connection to the micro-level of security dimensions. It is clear that, pursuant to the consumer assessments, every micro factor takes a prominent position, except those concerns regarding environmental pollution in particular, which moved up the list.
Table 4. Factors threatening the sense of security.
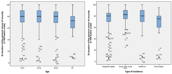
Accepting the reservations made in the literature history, in our questionnaire we measured the general sense of security on a metric scale, and the consumers were asked to mark how secure they felt themselves to be, on a scale of 1–100. In light of the results, the most commonly indicated value for the general sense of security was “80”, with the mean being 74.18 and the standard deviation of the given assessments being 19.23. This relatively high statistical mean is consistent with the result of the Hungarian Central Statistical Office, measured on a nominal scale, where the statement “I feel secure enough” had been receiving most of the indications, year by year [58]. Examining the relationship between the score for a general sense of security and demographic variables revealed that there is no correlation between the sex of the respondents and their assessment of their sense of security, and because the significance level of the probabilities belonging to the F-test is 0.176, which is bigger than 0.05, we accepted the null hypothesis (the category means are the same within the population) (F (1.472) = 1.832; p = 0.176). We obtained a similar result in relation to the level of education as well (F (2.480) = 1.684; p = 0.187). However, oHH the results of the correlation analysis on further demographic data revealed that there is a connection between age (F (3.488) = 2.996; p = 0.030), place of residence (F (3.488) = 4.013; p = 0.008), and the perceived general sense of security.
As the diagram of Figure 1 shows, the older generations and those respondents living in small municipalities and villages rated their general sense of security as lower than the members of other demographic groups.
Figure 1. Evaluation of the general sense of security in light of the demographics (“★”: male, “”: female respondents).

5.2. Assessment of the Companies’ Security Engagement

The previously cited research [38] also analyzed—among other things—the respondents’ expectations and preferences with regard to decision-making on national security issues. Based on the results, the respondents unequivocally allocated this responsibility to the competence of the parliament/government/state. However, certain dimensions of security (subsistence security, environmental security) go beyond the scope of operation of the indicated bodies or organizations; hence, it can be acknowledged that the question of which public entities, authorities, organizations or companies (market actors) are considered by the consumers to be the guardians of security is much more complex. From our point of view, this is relevant mainly because of the assessment of corporate involvement. The opinions of the respondents reflected the ranking that was initially assumed, so the law-enforcement bodies (police, military), the government agencies and national authorities, and the private companies who specialized in security were placed first on the podium. They were followed by the municipalities and local authorities, and the enterprises/economic actors were in the second-to-last place, ahead of the civil organizations.
In terms of sectoral specificities, respondents highlighted security as a key issue in the pharmaceutical sector, in the field of financial services, in the food industry, and in the field of energy service providers. In the case of retail and wholesale, as well as in light industry, less importance is given to safety issues, according to the consumers’ opinion.
The assessment of the security-related performance of companies was essential for the research. In the next section, the respondents had to rate the performance of enterprises known to them in a generalized and decidedly subjective manner. Table 5, therefore, shows how those corporations meet their expectations regarding certain security-related dimensions, based on the consumers’ value judgment. The established order reflects that, according to the opinion of the respondents, the companies under consideration tend to excel the most when organizing their own processes and in adhering to the relevant laws and regulations. The respondents do not perceive any outstanding corporate performance in the field of initiatives regarding society’s sense of security, although it is an important task.
Table 5. Assessment of the companies’ security-related performance.
The assessment of corporate performance is clearly differentiated according to whether the given activities are part of the traditionally interpreted corporate security policy or are implemented within the framework of corporate social responsibility. Based on the responses, consumers believe that companies are less likely to perform safety-related tasks in the context of social responsibility.
Although the chosen methodology obviously does not make it possible for us to examine value judgments on the performance of the individual companies (we asked for a general opinion), it is suitable for exploration of the respondents’ personal attitudes toward the subject of the research. To that end, by further analyzing the assessments given regarding the previously introduced statements (Table 5), we tried to determine which performance factors belong together, according to the opinions of the respondents. For that purpose, factor analysis was performed, with the application of principal component analysis and the Varimax rotation method. After rotation, two factors emerged from the variables. In terms of interpretation of the factors, based on the overview of the related statements, the two factors can be named, as shown in Table 6—important, mandatory factors from a business perspective (1), and expected, voluntary factors from a social point of view (2). Influencing the suppliers and partners is incorporated in the second factor, and although this is also important from a business perspective, in the sustainability reports reviewed during the previous research, that influence manifested as the orientation of the supplier partners toward ethical operation. In view of this, the two factors could also be interpreted professionally in a relevant manner. The created factors contained all eight variables (statements) identified in the analysis; therefore, there were no impairments in the course of the examination.
Table 6. The two components of performances related to corporate security, on the basis of factor analysis (principal component analysis with a Varimax rotation method (KMO = 0.872)).
We subsequently performed hierarchical cluster analysis through the application of a centroid method on the two factor groups of the performance factors related to corporate security. The emerging four groups are demonstrated in Figure 2.
Figure 2. Clusters emerging from the assessment of the companies’ security-related performance.
Considering the value judgments that were typical of the formed groups, it can be stated that the members of the segment with the highest element number (n = 162) are significant factors in terms of voluntary social responsibility. At the same time, they are also consumers who rated the corporate performance as moderate, in terms of factors that are crucial for business and are guaranteeing the secure course of the business. This consumer segment can be deemed “Realists”, after its “careful”, balanced value judgment. According to the respondents belonging to the segment with the second-highest element number (n = 73), the companies perform better with regard to factors that are important for social perception than in the context of the mandatory ones, and they can be termed “Responsibility-oriented”. The “Skeptics” (n = 53) basically feel that the companies have no outstanding accomplishments in respect of either the mandatory or the voluntary elements, while the smallest segment, the group named the “Optimists” (n = 35) consists of respondents who considered the involvement of the companies to be good in both fields (Table 7).
Table 7. The demographic composition of the segments.
Our preliminary statement was confirmed through Pearson’s Chi-squared test. In the case of the respondents’ age, the significance level of the Chi-squared test, χ² (9. n = 323) = 8.136, was p = 0.521, whereas concerning the sex of the respondents, χ² (3. n = 323) = 1.170, the significance level was p = 0.760, which proves that there is no correlation between the assessment of the companies’ security performance and these two demographic features. Statistically speaking, considering the 5% significance level, the correlation cannot be verified either with regard to the place of residence or to the level of education; however, based on the significance values for the type of residence, χ² (9. n = 323) = 12.469, p = 0.188 and for the level of education, χ² (6. n = 323) = 8.458, p = 0.206. These factors are more likely in connection with the subject-related value judgments of the respondents. This observation is relevant because it is consistent with the statistically proven correlations in the case of the general sense of security.

6. Discussion

The dimensions of ontological security vary depending on the examined context, just as they do in terms of security in general. Taking the literature history into consideration, during our analysis of the consumer aspect, we integrated three components into our own model of ontological security (Figure 3). These are the individual and micro-environmental dimensions [7,10]; the macro-environmental conditions (national security, public safety, social and economic security, safety of the natural environment) [11,12] that apply in every case regarding the respondents’ perceptions of security are presented next to the newly included expectations and perceptions toward corporate engagement that are explored in our empirical research.
Figure 3. Components of the consumers’ sense of ontological security.
We made two assumptions, in terms of self-psychological security, that concerned the primary dimensions of the consumers’ sense of security and the demographic features affecting it. The interpretation of the concept of security by respondents, and the identification of the factors that threaten security, revealed that respondents have a complex perception of security; thus, in addition to the security of the micro-environment (home, family), the situation of the wider social and natural environment is also important to them. This confirms previous theories that interpret ontological and psychological security alongside dimensions such as home, nature, and society [12], as well as those that identify social and natural environmental security as an important pillar of ontological security [11]. According to the order formulated by the answers to the open-ended question and the concepts associated with the word “security”, it can be confirmed that the respondents basically link the definition of security to their micro-environment (family, the safety of their direct physical environment, tranquility) (H1); however, broader factors of security are also reflected in the responses.
Since the sense of security is a subjective perception, individual characteristics can definitely influence it. Hungarian researchers [1,59] have shown that the size of the place of residence and, based on international research 13], also the type of dwelling (tenant or landlord) have an impact on perceptions of security. The outcome of the research also revealed a relationship between the sense of security and certain demographic features. We were able to substantiate a significant correlation in the factors of the place of residence and age (H2), meaning that the residents of small settlements feel the most secure, while elderly people are most afraid of dangers.
In the absence of any preliminary empirical research on corporate security-related engagement, we have based our hypotheses primarily on our own intuition. It is not in question that shaping security is primarily a public task [3], so the role of companies in this regard is negligible. The results confirm our hypothesis that companies are less important actors in terms of developing the consumers’ perceived sense of security (H3); nevertheless, the high ranking of private security companies is notable, which solidifies their legitimacy on the market. In terms of corporate engagement, corporate security was interpreted partially through a traditional approach, and partially alongside those elements appearing in corporate engagement. As a result of the analysis, a range of security tasks was distinguished that are essential for corporate functioning, and a series of activities were primarily connected to corporate responsibility that are rather relevant to the prosperity of a community and of the society as a whole. Four consumer groups were established along with the two factors, which can be characterized by individual preferences. Based on the statistical evaluations, a significant correlation does not exist between the individual features and the formed segments; therefore, our final, fifth hypothesis (H5) was rejected.
In respect of the companies’ security engagement toward employees, it can be acknowledged that the participants of the research do not consider this as the most important security-related corporate task, and to some degree, they appear to be skeptical about the measurable corporate performances in this field—in other words, about the establishment of a safe workplace/work environment. On this basis, our fourth hypothesis (H4) is not supported.

7. Conclusions

As a result of our analysis, based on the literature background and our own research, a theoretical framework for consumers’ ontological security was created, into which we incorporated factors influencing the perceived sense of security of individuals as consumers. This is how the individual sense of psycho-social security as identified by Wang et al. [11], the assessment of the companies’ security-related performance, and the general macro-environmental features appear in the model, the latter of which were summarized in accordance with the reviewed publications.
The individual responders do not perceive security differently as consumers, but the factors affecting their value judgment will definitely be different, compared to security dimensions in other contexts (in their employee, citizen and resident roles). Although the sense of security can only be measured by limitations, our results showed that, as expected, it is typically associated with micro-environmental elements, and it varies depending on demographic characteristics. As is consistent with the literature [1,56,59], it was confirmed by our research that the place of residence and age have a significant impact on an individual’s general sense of security. We have established that companies play a minor role in shaping the general sense of security; however, based on individual preferences, there are strong differences among consumers regarding the assessment of companies’ engagement in security. With the help of factor analysis, we have distinguished between those elements that are mandatory from a business perspective and elements that are less relevant but are socially expected and voluntary, alongside which, four groups could be identified according to a cluster analysis; they all assess the security-related involvement of corporations differently.
The research orientation, challenges, and limitations of the presented research can be summarized as follows:
  • The macro-environmental pillar of the consumers’ ontological security needs refinement, which will require a further theoretical foundation.
  • As a limitation, it is worth mentioning that the consumers gave statements about corporate performance in general, although their assessment of the activities of certain companies may vary considerably. Although we have collected information on consumers’ perception of the importance of safety by sector, in respect of corporate performance, the possibility arises of examining the correlations between corporate demography (industry, size, etc.) and consumer expectations toward engagement in security.
  • The methodologies for measuring the sense of security are still immature at this point, and their reliability is questionable, while the sense of security also changes with time and is strongly situation-specific, which adds to the uncertainty of the scales applied in this research. Thus, our newly constructed scale needs further validation, either by analyses on a new sample (as a first step, through research conducted in additional Eastern European countries) or by applying additional methodologies.
  • As shown, the macro-environment has an impact on the perception of security. The presented findings reflect the given opinions of the Hungarian population, thus, it is advisable to refine the model based on the specifics experienced in other countries.
As a practical implication of our finding, corporate entities need to be aware that their performance has an implicit impact on their consumers’ sense of security; thus, contributing to a greater sense of security can create a competitive advantage. The implementation of security measures as required by the state or the legislation, or only those that are merely necessary to maintain operation, will not be enough action on its own in the long term, and it may diminish competitiveness; therefore, it is recommended that companies integrate security aspects into their long-term strategic planning process. It was shown that a significant proportion of consumers are open to the voluntary, security-related engagement of the companies; therefore, its integration into the practice of social responsibility and its targeted communication may improve the reputation and the overall perception of company performance.
From the 1990s, the increasingly popular interpretation of security launched a wide range of research trends in the fields of psychological, ontological and information security, among others. The peculiarity of security is that its true value is given by its absence, so if a certain institution or organization takes steps to increase that society’s sense of security, this action will be relevant to its stakeholders. The companies’ engagement in security is important for both their employees and their consumers. Theoretical and practical scholars and practitioners have been studying consumer behavior for decades, but to this date, it has not yet been able to be fully mapped. The development of a security-related value judgment is at least as complex a problem, for which we still have to find the answers to countless questions. We believe that, although the results of our study can only be generalized with limitations, they can serve as a starting point for future research.

Author Contributions

Conceptualization, R.S. and Á.C.-K.; methodology R.S. and J.V.; writing—original draft preparation, R.S., Á.C.-K. and J.V.; writing—review and editing, R.S, Á.C.-K. and J.V.; supervision, R.S, Á.C.-K. and J.V. All authors have read and agreed to the published version of the manuscript.

Funding

This research received no external funding.

Institutional Review Board Statement

Not applicable.

Data Availability Statement

Not applicable.

Conflicts of Interest

The authors declare no conflict of interest.

References

  1. Tóth, P.; Horváth, H. A Szubjektív Biztonságérzetet Befolyásoló Tényezők Magyarországon. 2014. Available online: https://kgk.sze.hu/images/dokumentumok/kautzkiadvany2014/TothP_HorvathH.pdf (accessed on 23 April 2021).
  2. Zotova, O.; Karapetyan, L. Psychological security as the foundation of personal psychological wellbeing (analytical review). Psychol. Russ. State Art 2018, 11, 100–113. [Google Scholar] [CrossRef]
  3. Mattar, M. Human Security or State Security? The Overriding Threat in Trafficking in Persons. Intercult. Hum. Rts. L. Rev. 2006, 1, 249–269. [Google Scholar]
  4. Newman, E. Critical human security studies. Rev. Int. Stud. 2010, 36, 77–94. [Google Scholar] [CrossRef]
  5. Owen, T. Measuring Human Security. In Environmental Change and Human Security: Recognizing and Acting on Hazard Impacts; NATO Science for Peace and Security Series C: Environmental Security; Liotta, P.H., Mouat, D.A., Kepner, W.G., Lancaster, J.M., Eds.; Springer: Dordrecht, The Netherlands, 2008; pp. 35–64. [Google Scholar] [CrossRef]
  6. Blynova, O.Y.; Holovkova, L.S.; Sheviakov, O.V. Philosophical and sociocultural dimensions of personality psychological security. Anthr. Meas. Philos. Res. 2018, 73–83. [Google Scholar] [CrossRef]
  7. Brown, S.P.; Leigh, T.W. A new look at psychological climate and its relationship to job involvement, effort, and performance. J. Appl. Psychol. 1996, 81, 358–368. [Google Scholar] [CrossRef]
  8. Edmondson, A.C.; Lei, Z. Psychological Safety: The History, Renaissance, and Future of an Interpersonal Construct. Annu. Rev. Organ. Psychol. Organ. Behav. 2014, 1, 23–43. [Google Scholar] [CrossRef] [Green Version]
  9. Baeva, I.A.; Bordovskaia, N.V. The psychological safety of the educational environment and the psychological well-being of Russian secondary school pupils and teachers. Psychol. Russ. State Art 2015, 8, 86. [Google Scholar] [CrossRef] [Green Version]
  10. Mahrous, A.M.; Moustafa, Y.M.; El-Ela, M.A.A. Physical characteristics and perceived security in urban parks: Investigation in the Egyptian context. Ain Shams Eng. J. 2018, 9, 3055–3066. [Google Scholar] [CrossRef]
  11. Wang, J.; Long, R.; Chen, H.; Li, Q. Measuring the Psychological Security of Urban Residents: Construction and Validation of a New Scale. Front. Psychol. 2019, 10, 2423. [Google Scholar] [CrossRef] [Green Version]
  12. Harries, T. Feeling secure or being secure? Why it can seem better not to protect yourself against a natural hazard. Health Risk Soc. 2008, 10, 479–490. [Google Scholar] [CrossRef] [Green Version]
  13. Hiscock, R.; Kearns, A.; MacIntyre, S.; Ellaway, A. Ontological Security and Psycho-Social Benefits from the Home: Qualitative Evidence on Issues of Tenure. Hous. Theory Soc. 2001, 18, 50–66. [Google Scholar] [CrossRef]
  14. Jabareen, Y.; Eizenberg, E.; Zilberman, O. Conceptualizing urban ontological security: ‘Being-in-the-city’ and its social and spatial dimensions. Cities 2017, 68, 1–7. [Google Scholar] [CrossRef]
  15. Mantere, S.; Whittington, R. Becoming a strategist: The roles of strategy discourse and ontological security in managerial identity work. Strat. Organ. 2020, 6, 1476127020908781. [Google Scholar] [CrossRef]
  16. Lippert, R.K.; Walby, K.; Steckle, R. Multiplicities of corporate security: Identifying emerging types, trends and issues. Secur. J. 2013, 26, 206–221. [Google Scholar] [CrossRef] [Green Version]
  17. Brooks, D.J. What is security: Definition through knowledge categorization. Secur. J. 2010, 23, 225–239. [Google Scholar] [CrossRef]
  18. Hima, G. A biztonság értéke és ára. Economica 2018, 9, 1–6. [Google Scholar] [CrossRef]
  19. Engerer, H. Security Economics: Definition and Capacity; Economics of Security Working Paper 5; Economics of Security: Berlin, Germany, 2009. [Google Scholar]
  20. Munk, S. Információbiztonság vs. Informatikai Biztonság, Hadmérnök, Különszám. 2007. Available online: http://www.hadmernok.hu/kulonszamok/robothadviseles7/munk_rw7.pdf (accessed on 18 January 2021).
  21. Csépe, V. The psychological dimensions of subjective security. In Security Challanges in 21st Century; Finszter, G., Sajbanics, I., Eds.; Diaglóg Campus: Budapest, Hungary, 2018; pp. 279–292. Available online: https://www.academia.edu/39855092/Military_Security_Today_Nem_Threats_New_Wars_new_Theories (accessed on 23 April 2021).
  22. McDowall, D.; Loftin, C. Collective Security and the Demand for Legal Hand-guns. Am. J. Sociol. 1983, 88, 1146–1161. [Google Scholar] [CrossRef]
  23. Boda, Z.; Scheiring, G. A közszolgáltatások politikai értelmezéséről. Polit. Szle. 2010, 19, 45–64. [Google Scholar]
  24. Ürmösi, K. A biztonság dimenziói, biztonsági stratégia napjainkban, hazánkban. Hadtud. Szle. 2012, 5, 172–184. [Google Scholar]
  25. Giddens, A. Modernity and Self-Identity: Self and Society in the Late Modern Age; Stanford University Press: Palo Alto, CA, USA, 1991. [Google Scholar]
  26. Rényi, A.; Sík, D.S.; Takacs, E. Elemzési szempontok a késő modern társadalmak kordiagnózisához. Szociol. Szle. 2014, 24, 18–60. [Google Scholar]
  27. Sik, D. Giddens modernizációelmélete: Intézményi átalakulás és politikai praxis. Replika 2013, 82, 97–112. [Google Scholar]
  28. Rossdale, C. Enclosing Critique: The Limits of Ontological Security. Int. Political Sociol. 2015, 9, 369–386. [Google Scholar] [CrossRef] [Green Version]
  29. Lindenberg, M. Measuring Household Livelihood Security at the Family and Community Level in the Developing World. World Dev. 2002, 30, 301–318. [Google Scholar] [CrossRef]
  30. Kekovic, Z.; Markovic, S. Security A factor of competitive advantage in tourism. Tour. Hosp. Manag. 2009, 15, 291–303. [Google Scholar]
  31. Krahmann, E. The market for ontological security. Eur. Secur. 2018, 27, 356–373. [Google Scholar] [CrossRef] [Green Version]
  32. Slovic, P.; Fischhoff, B.; Lichtenstein, S. Facts and Fears: Understanding Perceived Risk. Policy Pract. Health Saf. 1980, 39, 181–216. [Google Scholar] [CrossRef] [Green Version]
  33. Vasvári, G.; Lengyel, C.; Valádi, Z. Vállalati Biztonság Keretrendszere, Vagyonbiztonság, Üzembiztonság, Informatikai Biztonság Ajánlás 6.0 Változat; Budapesti Műszaki és Gazdaságtudományi Egyetem: Budapest, Hungary, 2006. [Google Scholar]
  34. Király, L.; Pataki, J. Egy multinacionális nagyvállalat kritikus infrastruktúrájának illeszkedése a hazai (vertikális és horizontális) kritikus infrastruktúrákhoz. Hadtud. Magy. Hadtud. Tars. F 2013, 23, 173–187. [Google Scholar]
  35. Vasvári, G. Vállalati Biztonságirányítás Informatikai Biztonságmenedzsment; Time Clock Kft.: Kiskunlacháza, Hungary, 2007. [Google Scholar]
  36. Ianioglo, A.; Polajeva, T. Origin and definition of the category of economic security of enterprise. In Proceedings of the 9th International Scientific Conference “Business and Management 2016”, Vilnius, Lithuania, 12–13 May 2016. [Google Scholar] [CrossRef] [Green Version]
  37. Michelberger, P. Információbiztonság és Üzleti bizalom, Habilitációs Tézisfüzet; Óbudai Egyetem Biztonságtudományi Doktori Iskola: Budapest, Hungary, 2014. [Google Scholar]
  38. PWC: Consumer Intelligence Series: Protect.meAn in-Depth Look at What Consumers Want, What Worries Them, and How Companies Can Earn Their Trust—And Their Business. 2017. Available online: https://www.pwc.com/us/en/advisory-services/publications/consumer-intelligence-series/protect-me/cis-protect-me-findings.pdf (accessed on 16 October 2020).
  39. Carroll, A.B.; Shabana, K.M. The Business Case for Corporate Social Responsibility: A Review of Concepts, Research and Practice. Int. J. Manag. Rev. 2010, 12, 85–105. [Google Scholar] [CrossRef]
  40. Seele, P.; Lock, I. Instrumental and/or Deliberative? A Typology of CSR Communication Tools. J. Bus. Ethics 2014, 131, 401–414. [Google Scholar] [CrossRef]
  41. Tsiakis, T. Contribution of corporate social responsibility to information security management. Inf. Secur. Tech. Rep. 2009, 14, 217–222. [Google Scholar] [CrossRef]
  42. Scherer, A.; Palazzo, G. Toward a political conception of corporate responsibility: Business and society seen from a habermasian perspective. Acad. Manag. Rev. 2006, 32, 1096–1120. [Google Scholar] [CrossRef] [Green Version]
  43. Wolf, K.D.; Deitelhoff, N.; Engert, S. Corporate Security Responsibility. Coop. Confl. 2007, 42, 294–320. [Google Scholar] [CrossRef] [Green Version]
  44. Pfleeger, S.L.; Cunningham, R.K. Why Measuring Security Is Hard. IEEE Secur. Priv. Mag. 2010, 8, 46–54. [Google Scholar] [CrossRef]
  45. Dourish, P.; Grinter, R.E.; De La Flor, J.D.; Joseph, M. Security in the wild: User strategies for managing security as an everyday, practical problem. Pers. Ubiquitous Comput. 2004, 8, 391–401. [Google Scholar] [CrossRef]
  46. Herath, T.; Rao, H.R. Protection motivation and deterrence: A framework for security policy compliance in organisations. Eur. J. Inf. Syst. 2009, 18, 106–125. [Google Scholar] [CrossRef]
  47. Colobran, M. Modeling human perceived security: A conceptual framework and its application to health. Comput. Hum. Behav. 2016, 62, 1–8. [Google Scholar] [CrossRef]
  48. Shach-Pinsly, D. Measuring security in the built environment: Evaluating urban vulnerability in a human-scale urban form. Landsc. Urban Plan. 2018, 191, 103412. [Google Scholar] [CrossRef]
  49. Hartono, E.; Holsapple, C.W.; Kim, K.-Y.; Na, K.-S.; Simpson, J.T. Measuring perceived security in B2C electronic commerce website usage: A respecification and validation. Decis. Support Syst. 2014, 62, 11–21. [Google Scholar] [CrossRef]
  50. Amundrud, Ø.; Aven, T.; Flage, R. How the definition of security risk can be made compatible with safety definitions. Proc. Inst. Mech. Eng. Part O J. Risk Reliab. 2017, 231, 286–294. [Google Scholar] [CrossRef]
  51. Elms, H.; Phillips, R.A. Private Security Companies and Institutional Legitimacy: Corporate and Stakeholder Responsibility. Bus. Ethics Q. 2009, 19, 403–432. [Google Scholar] [CrossRef]
  52. Singhal, H.; Kar, A.K. Information Security concerns in Digital Services: Literature review and a multi-stakeholder approach. In Proceedings of the 2015 International Conference on Advances in Computing, Communications and Informatics (ICACCI), Kochi, India, 10–13 August 2015; IEEE: Piscataway, NJ, USA, 2015; pp. 901–906. [Google Scholar]
  53. Ruighaver, A.B.; Maynard, S. Organizational Security Culture: More Than Just an End-User Phenomenon. IFIP Int. Fed. Inf. Process. 2006, 201, 425–430. [Google Scholar] [CrossRef] [Green Version]
  54. Detert, J.R.; Schroeder, R.G.; Mauriel, J.J. A Framework for Linking Culture and Improvement Initiatives in Organizations. Acad. Manag. Rev. 2000, 25, 850. [Google Scholar] [CrossRef] [Green Version]
  55. Mukherjee, S. Overview of the Importance of Corporate Security in business. Int. J. Innov. Res. Sci. Eng. Technol. 2019, 8, 3651–3657. [Google Scholar] [CrossRef]
  56. Radványi, L. A magyar lakosság biztonságfelfogása és értékpreferenciái, 1999–2008. Nemzet és Biztonság 2009, 2, 9–22. [Google Scholar]
  57. Chang, L. A Psychometric Evaluation of 4-Point and 6-Point Likert-Type Scales in Relation to Reliability and Validity. Appl. Psychol. Meas. 1994, 18, 205–215. [Google Scholar] [CrossRef]
  58. Központi Statisztikai Hivatal, Biztonságérzet Kutatás. 2013. Available online: https://www.ksh.hu/docs/hun/xstadat/xstadat_eves/i_zaa013.html (accessed on 16 October 2020).
  59. Dusek, T. A lakókörnyezeti biztonságérzet településtípusok szerinti különbsége Magyarországon. Közép-Európai Közlemények 2015, 8, 101–109. Available online: https://ojs.bibl.u-szeged.hu/index.php/vikekkek/article/view/12296 (accessed on 16 October 2020).
  60. Remišová, A.; Búciová, Z. Measuring corporate social responsibility towards employees. J. East Eur. Manag. Stud. 2012, 17, 273–291. [Google Scholar] [CrossRef] [Green Version]
  61. Málovics, G.; Csigéné Nagypál, N.; Kraus, S. The role of corporate social responsibility in strong sustainability. J. Socio-Econ. 2008, 37, 907–918. [Google Scholar] [CrossRef]
  62. Williams, B.; Onsman, A.; Brown, T. Exploratory factor analysis: A five-step guide for novices. Australas. J. Paramed. 2010, 8, 1–13. [Google Scholar] [CrossRef] [Green Version]
Publisher’s Note: MDPI stays neutral with regard to jurisdictional claims in published maps and institutional affiliations.

Article Metrics

Citations

Article Access Statistics

Multiple requests from the same IP address are counted as one view.