Next Article in Journal
Nepotism and Favouritism in Polish and Lithuanian Organizations: The Context of Organisational Microclimate
Previous Article in Journal
A Study on Reduction of Copper Smelting Slag by Carbon for Recycling into Metal Values and Cement Raw Material
Previous Article in Special Issue
China’s Agricultural Irrigation and Water Conservancy Projects: A Policy Synthesis and Discussion of Emerging Issues
 
 
Font Type:
Arial Georgia Verdana
Font Size:
Aa Aa Aa
Line Spacing:
Column Width:
Background:
Article

A Framework to Predict Consumption Sustainability Levels of Individuals

Information Management Institute, University of Neuchâtel, A.L. Breguet 2, CH-2000 Neuchâtel, Switzerland
*
Author to whom correspondence should be addressed.
Sustainability 2020, 12(4), 1423; https://doi.org/10.3390/su12041423
Submission received: 10 December 2019 / Revised: 7 February 2020 / Accepted: 10 February 2020 / Published: 14 February 2020
(This article belongs to the Special Issue Green Technology Innovation for Sustainability)

Abstract

Innovative Information Systems services have the potential to promote more sustainable behavior. For these so-called Green Information Systems (Green IS) to work well, they should be tailored to individual behavior and attitudes. Although various theoretical models already exist, there is currently no technological solution that automatically estimates individual’s current sustainability levels related to their consumption behaviors in various consumption domains (e.g., mobility and housing). The paper aims at addressing this gap and presents the design of GREENPREDICT, a framework that enables to predict these levels based on multiple features, such as demographic, socio-economic, psychological, and factual knowledge about energy information. To do so, the paper presents and evaluates six different classifiers to predict acts of consumption on the Swiss Household Energy Demand Survey (SHEDS) dataset containing survey answers of 2000 representative individuals living in Switzerland. The results highlight that the ensemble prediction models (i.e., random forests and gradient boosting trees) and the multinomial logistic regression model are the most accurate for the mobility and housing prediction tasks.

1. Introduction

Standing in front of the European Parliament in 2019, the young climate activist Greta Thunberg warned: “The climate and ecological emergency is right here, right now. But it has only just begun, it will get worse.” (Greta Thunberg full speech at the European Parliament in Strasbourg (2019-04-16): https://www.youtube.com/watch?v=cJAcuQEVxTY). Science agrees. The number and the severity of climatic disasters, such as massive melting ice, devastating storms, and wildfires, are increasing, making life progressively harder for our ecosystem (fauna and flora). The main cause is known: human activity. The good news, according to the experts of the Intergovernmental Panel on Climate Change (IPCC), is that it seems still possible to reduce the greenhouse gas emissions, if we make the appropriate decisions now and adopt more sustainable consumption behaviors (IPCC fifth report: http://www.ipcc.ch/pdf/assessment-report/ar5/syr/SYR_AR5_FINAL_full_wcover.pdf).
Green Information Systems (Green IS) could be powerful catalysts to help individuals move towards more sustainability [1]. However, providing a one-size-fits-all solution is not adapted for all individuals because they are not in the same socio-economical context and do not have the same sustainable behavior for all consumption domains. For example, an individual who buys all her food in bulk stores to reduce her waste but uses a private car every day has a higher food consumption sustainability level compared to the one related to mobility. Consequently, she needs appropriate positive incentives to reduce her carbon footprint in the mobility domain. Therefore, we consider that knowing the individual’s current sustainability levels of different consumption modes could help her to reduce her carbon footprint.
To raise people’s awareness of the sustainability of their consumption behavior, there exist various carbon footprint calculators [2,3,4,5,6]. Based on multiple consumption information given by an individual, they can reveal the impact of their consumption in terms of pollution. However, these carbon footprint calculators have several limitations [7]. Although these calculators are quite helpful for different publics (e.g., for individuals or for policy-makers), they require various precise items of data related to energy consumption by domains related to an individual or a country (e.g., tonnes of C O 2 for the mobility domain). This essential information must be entered by the user herself. There are also various theoretical models for understanding and quantifying the sustainable consumption behaviors of individuals in the literature [8,9]. However, there is no technological solution that could estimate them at a fine-grained scale. Such a solution could process individuals’ data (demographics, psychological attitudes, or socio-economic variables) to generate sustainability estimates. To create this novel technological solution, a prediction model could estimate the sustainability level of a specific act of consumption of an individual based on her personal data, as indicated above. Then, it would be feasible to compute sustainability levels per domains (e.g., global, mobility, and housing) based on various predictions of consumption acts. Various prediction models have already been used to predict people’s behavior, such as regression models, neural networks or ensemble approaches [10,11,12,13]. Such a technological solution could serve as building block for Green Information Systems (Green IS) or other existing applications to automatically estimate the sustainability levels of consumption behavior of users. In addition, such a solution could be complementary to the carbon footprint calculators for policy-makers by analyzing the people’s behaviors at different geographical scales (e.g., neighborhood, city, country, worldwide).
In this paper, we therefore propose GREENPREDICT, a framework that predicts the sustainability levels of an individual based on multiple data (e.g., demographics, psychological attitudes, and accommodation characteristics). This framework includes single consumption behavior indicators (corresponding to specific acts of consumption) and aggregated indicators (per domain or overall), which are computed on the basis of the single indicators. To explore the relevance of such a framework and to evaluate it, we use a dataset called SHEDS, collected by the Competence Center for Research in Energy, Society and Transition (SCCER CREST). It contains 15,000 survey responses (totaling over 1,200,000 data points) of representative individuals living in Switzerland during three years (2016–2018) and will end in 2020 (Swiss Household Energy Demand Survey (SHEDS) website: https://www.sccer-crest.ch/research/swiss-household-energy-demand-survey-sheds/). We evaluate the framework from two points of view: a micro evaluation (single consumption behavior indicators) and a macro evaluation (aggregated indicators per domain or overall). This research work is the follow-up of a preliminary research published in the proceedings of the International Conference on Information Systems (ICIS’19) [14]. This paper builds on this work and makes the following contributions.
  • Proposing an innovative framework that allows urban planners, researchers, and Green IS designers to obtain a fine-grained representation of the sustainable consumption behavior of an individual (being complementary to existing carbon footprint calculators).
  • Presenting a novel way to compute the sustainability levels of an individual and the related fine-grained representations of her consumption behavior with a tree structure.
  • Showing several comparative analyses of six classifiers per act of consumption related to mobility and housing domains of Swiss individuals.
  • Providing a detailed analysis of the features that are associated with the prediction of the sustainability levels of Swiss individuals. This brings complementary insights regarding the sustainable consumption behavior of individuals in general.
The paper is organized as follows. We highlight the related work close to our research domains in Section 2. Then, the GREENPREDICT framework and its structure are presented in Section 3. The data science methodology, used to design and assess the framework, is explained in Section 4. The SHEDS dataset, used for a micro evaluation about the predictions per act of consumption and a macro evaluation about the entire framework, and its variables are described in Section 5. The evaluation scheme, used to conduct the micro and macro evaluations, is presented in Section 6. The micro and the macro evaluation results are detailed in Section 7 and Section 8, respectively. Finally, Section 9 discusses the results and wraps up with a conclusion.

2. Related Work

Hereafter, we discuss background literature on three important axes of this research work: computing sustainability, modeling sustainable behavior, and predicting human behavior.

2.1. Computing Sustainability

The sustainability of an individual can be computed by using a carbon footprint measure [15]. The carbon footprint of an individual is the sum of all her emissions of greenhouse gas, including C O 2 . Computing this sum is obviously related to all her consumption activities belonging to mobility, housing, food, clothing, etc. There are various carbon footprint calculators available on the Internet [16], some of which are briefly presented in Table 1. They slightly differ in terms of the input data that they use to compute the carbon footprint of an individual. For example, some of them require real consumption numbers of a household, usually during one year, whereas others simply ask questions related to consumption behaviors (e.g., means of transportation and diet preferences). Büchs et al. [17] and Collins et al. [18] conducted an analysis of carbon footprint calculators and highlighted that they help to increase the awareness of how daily activities can affect the planet. Büchs et al. also noticed that effective voluntary behavioral changes are very costly and require ambitious and effective policies.
This related work allows us to highlight the recurrent elements of carbon footprint calculators. Compared to the existing carbon footprint calculators mentioned above, our research work is focused on the prediction of the sustainability levels of consumption behavior of an individual based on a large number of consumption preferences and personal data of representative individuals in Switzerland, and not solely based on the person’s own individual data. These elements give us some insights into finding appropriate acts of consumption per domain that should be included in our framework.

2.2. Modeling Sustainable Behavior

Modeling people’s sustainable behavior is crucial to first understand the different types of sustainable behaviors, and then to predict them. Kollmuss and Agyeman [9] studied economic, social, and cultural factors that have an influence on pro-environmental behavior in order to better understand them. To do so, they proposed a model to study a pro-environmental behavior using internal factors (e.g., knowledge, attitudes, and personality traits) and external factors (e.g., infrastructure, political, social, and cultural). Clark et al. [19] conducted a similar study in the context of a green electricity program. They highlighted that biocentric, altruistic, and egoistic motives were the three main motivations to participate in this green program. Other researchers highlighted that emotional criteria (e.g., emotional attachment/taking care of a virtual polar bear) and individuals’ awareness could have a high impact on increasing green behavior, as described in the following papers [20,21]. Juárez-Nájera et al. [22] analyzed the influence of moral norms and values on sustainable behaviors of individuals in higher institutions in German and Mexican universities. They found that the main factors that explain a sustainability behavior are ascription of responsibility, universal values and personal intelligence. In Spain, the most important social factors that determine sustainable consumption behavior of individuals were found to be: environmental influences (e.g., traditions), education, information, and market conditions [23].
In the mobility domain, Van Acker et al. [24] analyzed individuals’ lifestyles; how they have an influence on their mobility; and, more importantly, how they can move towards more sustainable behaviors. Regarding the electricity domain, Guo et al. [25] reviewed and assessed existing works related to residential electricity consumption, from the factors to the adoption of sustainable plans. To better understand how to model the sustainable behavior of an individual, Geiger et al. [8] presented a theoretical model, called Sustainable Consumption Behavior (SCB) cube. This model takes into account two sustainable dimensions (ecological and socio-economic) and includes multiple consumption areas and various consumption phases.
This related work gives us crucial elements regarding the variables that could affect a sustainable behavior. In terms of research gaps, we can first indicate that although there exist several theoretical models that allow researchers to study the sustainability of an individual, there is no technological solution to predict it. Second, there is no model (even theoretical) that estimates several levels of sustainability of an individual based on her personal data (e.g., demographics, location, and psychological data). The closest existing model to our solution is the Sustainable Consumption Behavior (SCB) cube. However, this model is not a technological solution and does not include a prediction approach.

2.3. Predicting Human Behavior

In the context of sustainability, several studies have used machine learning techniques to predict certain desirable outcomes, e.g., to evaluate human behavior such as the helpfulness of online reviews for sustainable marketing [26]. In this study, we focus in particular on predicting human consumption behavior. Human behavior can be analyzed from a dynamic point of view (i.e., the evolution of the behavior) or a static point of view (i.e., the behavior at a single point in time).
From a dynamic point of view, Subrahmanian and Kumar [27] indicated that the prediction models need to learn the behavioral changes in order to increase their performance. This is particularly relevant because human behaviors are constantly evolving. Regarding the mobility domain, Pentland and Liu [28] used a Markov chain model to predict the behavior of automobile drivers. Kulkarni et al. [29] analyzed the behavior of individuals by dynamically studying their movements over time and the places they visited. Moro et al. [30] proposed an approach to translating human mobility movements into entropy sequences to facilitate the analysis of human mobility behaviors. Then, this translation enables the researchers to study the features that have an influence on human mobility behaviors. From a static point of view, Wei et al. [12] presented a framework that includes several classifiers to predict user personality based on heterogeneous information (e.g., social media data). Kim et al. [10] proposed a genetic approach that combines several classifiers to predict customers’ purchasing behavior. Kim and Yoon [11] described a model with a regression analysis that aims to predict green advertising attitudes. The authors also studied the variables that have an influence on the attitudes to green advertising. Yang et al. [13] explored the prediction of individuals’ email reply behavior. They used various prediction models (e.g., logistic regression and AdaBoost) and compared them.
Other types of behavioral research analyses could also be relevant for our research work, even if they are not necessarily focused on humans. They can indeed highlight some other interesting models and help us in choosing the best families of classifiers. Several authors used machine learning models and strategies, such as active learning, neural network, logistic regression, and k-nearest neighbors to generate behavioral predictions in various domains (from animal behavior to malware behavior)—see the description in [31,32]. Zhou [33] carried out a data mining analysis about individual consumer credit default prediction in the context of e-commerce. The researcher compared two different ensemble approaches (bagging and boosting) and highlighted the importance of social features for this prediction task. Finally, Zhang and Mahadevan [34] presented an ensemble of machine learning models to predict the aviation incident risk, based on structured and unstructured data. More specifically, they used an ensemble of deep neural networks for structured data and support vector machine for unstructured data.
This related work is crucial for us to identify the families of prediction models that are best suited for our multiclass classification problems, which must be addressed in our framework.

3. Framework

We introduce a framework, called GREENPREDICT, that enables to personalize Green IS application based on an estimate of a user’s levels of consumption sustainability based on her personal data. The input data of this framework consists in personal data of an individual (e.g., age, home place, and workplace) and the level of sustainability domain (e.g., mobility and global sustainability level) that the application wants to obtain. The output produced by the framework is the value that expresses the level of sustainability linked to the specified domain. The framework is able to compute this value based on the generation of a tree that provides an estimated view of the sustainable consumption behavior of the individual. In order to compute this tree structure, the framework uses prediction models related to different acts of consumption that are trained with various individuals’ data.
More specifically, Figure 1 depicts the structure of the framework and the functions that allow developers of Green IS to use it. To provide the estimates of the sustainability levels of an individual, the framework builds a tree with different (e.g., three) distinct levels that contain the sustainable consumption behavior representation of the individual, as described in the center of Figure 1. The leaves—i.e., the single sustainable consumption behavior indicators—correspond to the estimates of sustainability levels of precise acts of consumption (e.g., home–work transportation mode, number of long distance flights, and number of showers per week). The intermediary nodes and the root of the tree, i.e., the aggregated sustainable consumption behavior indicators per domain and overall, respectively, are the estimates of sustainability levels of specific consumption domain (e.g., mobility, housing, and global). The single sustainable consumption behavior indicators are predicted by using machine learning models, based on the personal information of the individual, whereas the aggregated sustainable consumption behavior indicators per domain or overall are computed based on the single indicators.
More formally, there are three ways to interact with the framework for the developers via functions. On the right of Figure 1, Function (1) is an API that allows a Green IS application to directly use our framework to build the sustainable consumption behavior representation (i.e., the tree) of an individual, by providing a domain and the personal information of the individual (e.g., age, gender, income, and home zip code).
g e t _ s u s t a i n a b i l i t y ( d o m a i n , u s e r _ d a t a )
On the left of Figure 1, two functions serve as System Programming Interface (SPI) to set up the system. Function (2) enables the predictive models to be trained in order to operate correctly to further create the entire sustainable consumption behavior view (i.e., the tree) of an individual. This function requires a prediction task, which is the sustainability level that we want to predict between all the sustainability levels that are possible to predict at the lower levels of the tree (e.g., short_middle_flight, home_work_transport_mode), whereas the training data helps to build the model that corresponds to the selected prediction task.
t r a i n _ m o d e l ( p r e d _ t a s k , t r a i n i n g _ d a t a )
On the left of Figure 1, there is a second function that enables us to set the tree structure, i.e., Function (3). This function needs a domain (e.g., SHORT_MIDDLE_FLIGHT_NB, HOME_WORK_TRANSPORTATION_MODE, MOBILITY, FOOD, AND ALL), an upper domain, and a weight related to this domain. The upper domain enables to define the structure of the tree. For example, the upper domain of short_middle_flight_nb is mobility. However, the upper domain of the top domain, called all, must be empty because there is no domain above this specific domain (i.e., root of the tree structure). The model sets a default weight of 1.0 for each indicator and allows experts to fine-tune them if needed. For example, we first choose all the weights of the acts of consumption of the mobility and housing domains. Then, we set all the weights of the aggregated indicators per domain: for the mobility and the housing domains. Finally, the aggregated indicator (i.e., the root of the tree) always has a weight of 1.0 because there is only one value at this level.
s e t _ t r e e _ s t r u c t u r e ( d o m a i n , u p p e r _ d o m a i n , w e i g h t )

3.1. Use Cases

GREENPREDICT can be used in several different Green IS contexts such as recommender systems, sustainability awareness systems, and data analytics for urban planners.

3.1.1. Recommender Systems

Today, recommender systems are embedded into a lot of existing applications and are therefore used by individuals on a daily basis (e.g., in social networks and streaming applications). With the use of GREENPREDICT, existing applications could estimate the sustainability levels of the consumption behavior of their users with the unique amount of data they already have about them (e.g., age and main location). This could enable existing applications to promote green content or to target the right users of green services.

3.1.2. Sustainability Awareness Systems

Raising awareness of people’s actual carbon footprint can be a first step towards changing their behavior. Carbon footprint calculators are therefore powerful tools. GREENPREDICT can improve the user experience with such calculators in two ways. First, it can reduce the input friction by providing first estimates about acts of consumption based on simple user demographic data or other types of data (e.g., distance home–work) depending on their relevance to predict the sustainability levels, without the need to fill in a whole questionnaire. Second, it can enable gamification features to motivate people to improve their footprint compared to people with similar profiles. Finally, GREENPREDICT could also help to raise sustainability awareness in schools in Switzerland embedded in a playful game, in order to create the most sustainable persona with appropriate personal characteristics as input.

3.1.3. Data Analytics for Urban Planners

In this last context of use, data analytics and visualization systems could be used by urban planners to design and implement new smart city services. These new services could lead to fostering the development of more sustainable cities and, consequently, more sustainable behavior of citizens. GREENPREDICT could display sustainability trends via the estimations and help to design new versions of cities and the organization and management of their infrastructure and accommodation. For instance, the data used in this context could be data of a fictive representative user who lives in a certain neighborhood of a city.

3.2. Predicting Single Consumption Indicators

GREENPREDICT creates a tree that represents the sustainable consumption behavior of an individual with different distinct levels, for example three levels, as depicted in Figure 1. The single sustainable consumption behavior indicators (i.e., the leaves of the tree) correspond to the estimates of acts of consumption of an individual (e.g., home–work transportation mode and number of showers per week). We treat these estimates as multiclass classification problems with three distinct classes: low, medium, and high sustainability levels, which represent high, medium, and low greenhouse gas emission impacts, respectively. Various prediction models can help to solve these multiclass classification problems, in the following section we detail several of them and evaluate their accuracy and effectiveness.

3.3. Computing Aggregated Consumption Indicators

Whereas single indicators are focused on an act of consumption, aggregated indicators combine several acts of consumptions into a consumption domain (e.g., mobility and housing) or several domains into a global sustainability level as illustrated in Figure 1. The aggregated sustainable consumption indicators are computed by performing a weighted average of the values of the lower indicators according to their pollution impact.
Algorithm 1 shows how these values are aggregated. This algorithm takes two variables as input ( l o w _ i n d i c a t o r s and l o w _ i n d i c a t o r _ w e i g h t s ) and returns their weighted mean as output. The input variable l o w _ i n d i c a t o r s is an array that contains all the sustainability indicators from lower levels of the tree (acts of consumption or lower aggregated indicators). The second input variable l o w _ i n d i c a t o r _ w e i g h t s is an array composed of the weights of each lower indicator. For instance, to compute the aggregated mobility indicator, the variable l o w _ i n d i c a t o r s contains the three single sustainability indicator results of the mobility consumption domain (see Figure 1) and l o w _ i n d i c a t o r _ w e i g h t s the corresponding weights of each single indicator given in l o w _ i n d i c a t o r s . Then, to compute the global sustainable indicator of an individual, the variable l o w _ i n d i c a t o r s contains the two aggregated indicators per domain, i.e., mobility and housing, computed previously (see Figure 1) and l o w _ i n d i c a t o r _ w e i g h t s their corresponding weights. As indicated in Algorithm 1, the output is a continuous value in the range of [0, 2], both included.
Algorithm 1 Compute an aggregated indicator (res) from the lower ones (low_indicators) and their weights (low_indicator_weights).
Require: low_indicators = [...] and low_indicator_weights = [...]
Ensure: res >= 0 and res <= 2
if low_indicators.count() == 1 then
  return l o w _ i n d i c a t o r s [ 0 ]
end if
s u m 0
s u m _ w e i g h t s 0
c p t 0
while c p t < l o w _ i n d i c a t o r s . c o u n t ( ) do
s u m s u m + ( l o w _ i n d i c a t o r s [ c p t ] l o w _ i n d i c a t o r _ w e i g h t s [ c p t ] )
s u m _ w e i g h t s s u m _ w e i g h t s + l o w _ i n d i c a t o r _ w e i g h t s [ c p t ]
c p t c p t + 1
end while
return s u m / s u m _ w e i g h t s

4. Methodology

As our research project involves the use and refinement of a complex dataset and machine learning models, we follow the steps of a data science/machine learning project [35]. Such a project usually contains the following seven steps.
  • Frame the research problem: we identify a research question as well as the related prediction data challenges (see Section 1, Section 2 and Section 3).
  • Collect the data: we rely on previously collected data as detailed in Section 5.
  • Explore the data: to gain insights, we map the requirements of GREENPREDICT with the dataset, i.e., identifying the key variables that must be taken into account (see Section 5).
  • Prepare the data: we prepare the data for the two evaluation contexts (see Section 6, Section 7 and Section 8).
  • Explore different models and select the best ones: we identify the most performant classifiers for the first evaluation (see Section 7).
  • Refine and personalize the best models and combine them if needed: we use the most performant classifiers in GREENPREDICT and aggregate their results, in order to create a sustainable consumption behavior view of an individual (see Section 7 and Section 8).
  • Present the solutions and the findings: we present the results of our research work (see Section 7, Section 8 and Section 9).

5. Dataset

To carry out this research work, we used a dataset called the Swiss Household Energy Demand Survey, SHEDS for short (Swiss Household Energy Demand Survey (SHEDS) website: https://www.sccer-crest.ch/research/swiss-household-energy-demand-survey-sheds/). SHEDS contains anonymized answers to surveys about energy consumption related behaviors of 5000 representative individuals living in Switzerland from 2016 to 2020 (one survey per year). This dataset has been developed and is being collected as part of the research agenda of the Competence Center for Research in Energy, Society and Transition (SCCER CREST) [36].
The surveys focus on three axes of energy consumption behavior: electricity, heating, and mobility. The surveys also contain additional information related to demographic, socio-economic, and psychological attitudes questions. The data used for this research work contains the surveys’ participant answers of 2018 (or 2017 and 2016 for constant behavior not indicated in 2018). The questions answered by the participants are described in Table 2 as variables.

5.1. Framework Instantiation

We instantiate GREENPREDICT using the SHEDS dataset. The tree structure created through the framework is very close to the structure depicted in Figure 1. This paper focuses on two consumption domains as proof-of-concept: mobility and housing, and seven specific acts of consumption related to these domains (four for mobility and three for housing). These acts of consumption are presented in Table 3. Note that the flight numbers are given per year by the participants. In addition, the housing answers related to one individual are given by taking into account the household of the individual. The three possible values related to the three sustainability levels are linked to the pollution impact as follows.
  • Low sustainability level (2): High pollution impact;
  • Medium sustainability level (1): Medium pollution impact;
  • High sustainability level (0): Low pollution impact.
We selected the seven groups of features (see the list below), which are partially described as variables in Table 2, to predict these values by using classifiers. For ethical reasons, note that we did not grade the factual knowledge answers of a participant about energy, we took the answers of the questions that belong to this category independently to highlight if they are associated with a specific prediction task. An extensive description of all these features can be found in a document available online (Swiss Household Energy Demand Survey (SHEDS) 2018 documentation: https://www.sccer-crest.ch/fileadmin/user_upload/SHEDS2018_Questionnaire_Codes_EN.pdf).
  • Demographic and socio-economic features.
  • Accommodation features.
  • Psychological attitudes features.
  • Social performance features.
  • Habits and routines features.
  • Social context features.
  • Factual knowledge about energy features.
To translate the raw values of acts of consumption into these three possible sustainability levels, we convert the categories into sustainability levels according to their pollution impact and we map the numerical values into sustainability levels by analyzing the distributions of these numerical values. The distributions of each act of consumption are depicted in Figure 2 and Figure 3. The first two mobility acts of consumption are not presented in the figures because they were defined according to categories and not numerical values as described in Table 4.
For the last two mobility and the three housing acts of consumption, we extracted the three sustainability levels of each of them using the mean and standard deviation. Every low boundary was computed by subtracting half the standard deviation from the mean of its related distribution and every high boundary was computed by adding half the standard deviation to the mean. This means that the levels are relative rather than absolute indicators of sustainability. These values are presented in Table 4 below. The three sustainability levels identified for each act of consumption are based on the dataset. The levels are, therefore, relative and depend on the context of the population studied. In total, we extracted 1983 participant answer records from the SHEDS dataset of the year 2018 and before (2016 and 2017), in cases where the participant answers did not change from one year to another. Note that the number of showers per week is divided by the total number of people living in the participant’s household because the participant gives this total number for the entire household.

6. Evaluation Scheme

We evaluate GREENPREDICT from (1) a micro and (2) a macro point of view. The micro evaluation consists of assessing the predictions of the single sustainable consumption behavior indicators that represent the precise sustainability level estimates of the acts of consumption of an individual. Then the macro evaluation enables us to validate the overall framework, which focuses on the aggregated indicators based on the predictions of the single indicators and the aggregation strategy presented previously. At the end, we obtain an overview of the performance of the framework in terms of the creation of views (i.e., trees) of the sustainable consumption behavior of the analyzed individuals. Figure 4 presents the division of the dataset and the two evaluations.
The two evaluations follow a data science/machine learning evaluation methodology as explained in Section 4. The goal of the micro evaluation, which will be detailed in Section 7, is to assess the performance of the machine learning models, to select the best models to predict the acts of consumption and the features that are associated with these predictions. The goal of the macro evaluation, which will be detailed in Section 8, is to evaluate the accuracy performance of the aggregated indicators from the estimates of the single indicators by taking into account the best prediction models found during the micro evaluation. More technically, we used the Python programming language and the open-source Scikit-Learn Python library (Scikit-Learn Python library documentation: https://scikit-learn.org/stable/) to set and assess the machine learning models and evaluate the entire framework.
Training and Test Set(s) for the Micro and Macro Evaluations. We divided the original dataset (1983 participant answer records) into two sets: a training set (80%) and a test set (20%). As depicted in Figure 4, the test set is considered as a hidden set for the entire framework during the macro evaluation. The training set is used to identify the best prediction models during the micro evaluation. The training and test set are both used to evaluate the entire framework during the macro evaluation. The distribution and the proportion of SHEDS participants per sustainability level and per act of consumption are detailed in Table 5.

7. Micro Evaluation

In this evaluation, we perform a comparative analysis of several classifiers to identify the best models to predict the single sustainable consumption behavior indicators, i.e., the sustainability levels of the seven acts of consumption of an individual presented in Table 5. The evaluation process consists of three main steps: (1) selecting the classifiers, (2) finding the best classifier parameters using a k-folds cross-validation, and (3) comparing them with the best parameters. We also extract the 20 most important features that are associated with the different acts of consumption.

7.1. Selecting the Classifiers

We chose six supervised learning classifiers in order to predict the sustainability levels of consumption behavior of an individual. We selected the classifiers that can solve multiclass classification problems.

7.1.1. Decision Tree

A decision tree is a simple classifier that enables us to solve a multiclass classification problem. The main strength of this model is that it can be visualized and read from the top (i.e., the root of the decision tree) to the bottom (i.e., the leaves of the decision tree). The internal nodes of the tree, including the root, are conditions that are followed by branches and then other internal nodes until eventually reaching the leaves of the tree. The leaves are the different possible decision values (i.e., the three possible sustainability level values in our context).

7.1.2. Random Forests

A random forest classifier is an ensemble of decision tree classifiers. This classifier is usually trained with the bagging approach. This bagging approach randomly selects several data subsets and therefore trains different decision trees. The final prediction is computed from the aggregation, usually average, of the predictions of these multiple decision trees. This approach reduces the variance and therefore a possible overfitting issue.

7.1.3. Gradient Boosting Trees

A gradient boosting tree classifier is an ensemble of decision tree classifiers based on a boosting approach. A boosting approach creates a series of weak decision tree classifiers that are linked to each other until reaching the final prediction output. These weak classifiers can use different combinations of features and are usually weighted according to their own accuracy. This approach decreases not only the variance (i.e., overfitting), but also the bias (i.e., underfitting).

7.1.4. Multinomial Logistic Regression

A multinomial logistic regression classifier is based on the logistic regression classifier adapted to a multiclass classification problem. More specifically, the chosen multinomial logistic regression classifier, implemented in the Scikit-Learn Python library, uses a cross-entropy loss approach. A linear model computes the scores of each candidate category and then the final predicted value is obtained using a softmax function followed by a cross-entropy loss.

7.1.5. Support Vector Machine

A support vector machine classifier is an approach that computes decision boundaries from hyperplanes and margin maximization. This approach enables us to easily map high-dimensional feature spaces. This is made possible with the use of a kernel that is included in the prediction process of the support vector machine classifier. We test two different kernels for our research work: a linear kernel and a rbf kernel.

7.1.6. Multi-layer Perceptron (Neural Networks)

The last classifier chosen is a deep learning approach, which is a multi-layer perceptron belonging to the neural networks family. This model contains three layers: an input layer, a hidden layer and an output layer. Each layer may contain multiple nodes, except the last one, which must have a node number equal to the total number of different possible output values (i.e., the three possible sustainability level values in our context). Each node of each layer uses an activation function to spread the information learned through the next nodes of the next layer. More formally, this learned information is called a weight. We test two activation functions for our research work: a relu activation function and a tanh activation function.

7.2. Finding the Best Classifier Parameters

As we did not have the same number of respondents for each sustainability level per act of consumption, it was crucial to choose a technique that avoid issues during the classifier assessment. We therefore used a Synthetic Minority Oversampling TEchnique (SMOTE), to avoid class minority bias, as described in [37]. The SMOTE strategy is used for both evaluations: micro and macro evaluations. For all category (non-numeric values) features of the dataset used for this evaluation, we use a one-hot encoding approach. For three unsupervised learning models (i.e., multinomial logistic regression, support vector machine and multi-layer perceptron), we used a mechanism to scale each feature according to a computed range, called a minimum maximum scaler. This technique helps the models to be more efficient and faster during their learning process.
To find the best parameters for each machine learning model, we used a grid search approach combined with a stratified k-fold cross-validation strategy (k: 4) and a random state equal to 0. The SMOTE strategy is applied to the training set of each k-fold and not on the training and the test sets of each k-fold in order to avoid biased results. To select these best parameters, we used the following values and ranges of parameters.
  • Decision tree
    -
    max_depth = [2, 10[
  • Random forests
    -
    max_depth = [2, 10[
    -
    n_estimators = 10, 50, 100, 250, 500
    -
    max_features = auto
  • Gradient boosting trees
    -
    max_depth = [2, 10[
    -
    n_estimators = 10, 50, 100, 250, 500
    -
    learning_rate = 1 × 10 5 , 0.00001, 0.0001, 0.001, 0.01, 0.1, 1.0, 10.0
    -
    max_features = auto
  • Multinomial logistic regression
    -
    multi_class = multinomial
    -
    solver = newton-cg
    -
    max_iter = 100, 500, 1000, 2000, 5000, 7000, 10000
    -
    C = 0.01, 0.1, 1.0, 10.0, 100.0, 1000.0, 10000.0, 1 × 10 5 , 1 × 10 6
  • Support vector machine (kernel: linear)
    -
    C = 0.01, 0.1, 1.0, 10.0, 100.0
  • Support vector machine (kernel: rbf)
    -
    C = 0.01, 0.1, 1.0, 10.0, 100.0, 1000.0, 10000.0
    -
    gamma = 0.00001, 0.0001, 0.001, 0.01, 0.1, 1.0, 10.0, 100.0
  • Multi-layer perceptron (neural networks)
    -
    solver = adam
    -
    activation = relu/tanh
    -
    hidden_layer_sizes = [226]
    -
    max_iter = 1000
    -
    learning_rate_init = 1 × 10 6 , 1 × 10 5 , 0.00001, 0.0001, 0.001, 0.01, 0.1, 1.0
    -
    alpha = 1 × 10 6 , 1 × 10 5 , 0.00001, 0.0001, 0.001, 0.01

7.3. Comparing the Classifiers

The evaluation indicators, used for the comparison of the six classifiers, are the F1 score and the normalized confusion matrix. As it is usually more complicated to evaluate the performance of a multiclass classification problem, the combination of these two metrics allows us to highlight the best classifier for each act of consumption. The F1 score computes the accuracy performance of a prediction task. This metric is based on the precision and recall measures, which are based on the notions of true positive, true negative, false positive, and false negative items resulting from the prediction task, as shown in Table 6 with the example of a binary classification task (two classes). Formally, the precision metric is the division of the number of true positive items over the sum of the true positive and false positive items. The recall metric is the division of the number of true positive items over the sum of the true positive and false negative items. From the precision and recall metrics, the F1 score is introduced in Equation (4) below.
F 1 _ s c o r e = 2 × p r e c i s i o n × r e c a l l p r e c i s i o n + r e c a l l
A confusion matrix is a table that highlights the quality of a prediction task. For example, Table 6 presents a classification matrix of a binary prediction task. Depending on the analysis (from the point of view of class x for example), it is possible to see the quality of prediction of a classifier by visualizing this table and its four results. As hinted above, we also used SMOTE, a stratified k-fold cross-validation strategy (k: 8) and a random state equal to 0, using the best parameters highlighted for each model in order to properly assess all the classifiers.

Classifier Comparison Results

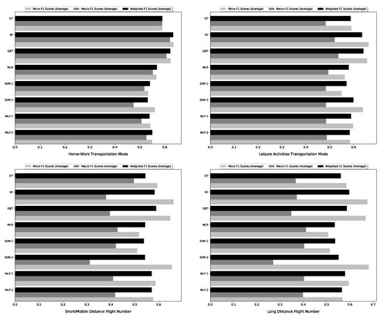
The best parameters found for each classifier and for each act of consumption are presented in Table 7 and Table 8. Figure 5 and Figure 6 indicate the best classifiers in terms of averages of micro, macro, and weighted F1 scores (in this context, micro and macro do not correspond to the micro and macro evaluations). The micro average F1 score computes the average F1 score globally without considering the classes independently. The macro average F1 score computes the average of the F1 score of each class. The weighted average F1 score computes the average of the F1 score of each class, and then the average of each class is weighted by the support (number of true instances of each class). This micro evaluation provides a first view of the most likely best classifiers for each act of consumption.
However, a complementary analysis is required to find the best classifiers. We therefore computed the averaged and normalized confusion matrices in order to assess the classifiers at a finer granularity. In some cases, there are different results for the micro, macro, and weighted F1-scores, and the macro results are sometimes lower than the micro or weighted results. Figure 7 and Figure 8 depict the normalized confusion matrices of each prediction task (DT: Decision tree, RF: Random forests, GBT: Gradient boosting trees, MLR: Multinomial logistic regression, SVM 1: Support vector machine (linear), SVM 2: Support vector machine (rbf), MLP 1: Multi-layer perceptron (relu), MLP 2: Multi-layer perceptron (tanh)). The normalization of a confusion matrix simply means that the sum of all the cells of one row is equal to 1.0. Therefore, it is easier to visually identify the accuracy performance of a classifier and this gives a complementary view to the F1 scores. The normalized confusion matrix of a perfectly accurate classifier would have values of 1.0 on the top left to bottom right diagonal (i.e., every instance of a class would have been predicted by the classifier). Furthermore, it would thus have values of 0.0 elsewhere (i.e., no instance of a class would have been misclassified).
The actual confusion matrices convey the fact that the ensemble approaches (random forests and gradient boosting trees) are performant classifiers for the first two mobility acts of consumption and the three housing acts of consumption. Regarding the last two mobility acts of consumption, the multinomial logistic regression approach is the most accurate classifier.
As the random forests and the gradient boosting trees are good prediction models for the majority of acts of consumption evaluated, we use these specific classifiers to identify the 20 most important features that are associated with these specific prediction tasks, as demonstrated in Figure 9 and Figure 10. We purposely exclude the short/middle distance flight number and the long distance flight number acts of consumption that do not obtain appropriate results with these classifiers, as depicted in the normalized confusion matrices. The random forests and the gradient boosting trees classifier indeed enable us to automatically extract these features after their training process.

7.4. Influential Features

Regarding mobility, the results show that several demographic features, such as the distance between two regions (home and workplaces) and accommodation characteristics, are influential features (accom_5: size of the living area, living_area_1: city) for the home–work and leisure activities transportation modes, as well as several of the habit features (accom_12_3: type of transportation mode usually used to go to the post office; accom_12_1: type of transportation mode usually used to go to the grocery store; mean of the comfort living habits—computed according to a scale representing several degrees of importance: from “not at all important” 1.0 to “very important” 5.0).
About the housing consumption domain, the main predictors are demographic attributes such as language (language_1: french), household characteristics (household_size: number of persons living in the household; household_type_6: single person household; household_type_2: couple with children), the accommodation features, as well as behavioral indicators of social performance (social_perf_11: money spent to go out for a really good dinner). Surprisingly, the factual knowledge features about energy do not appear in the top twenty most important features. In addition, psychological attributes, age, social performance and habits characteristics are highlighted in the top twenty of the main features.

8. Macro Evaluation

The macro evaluation aims at assessing the entire framework as it could be used by a real Green IS application with undisclosed (hidden) data, i.e., a real use case evaluation.

8.1. Process

In this second evaluation, we use the undisclosed part of the dataset (i.e., 20% of the dataset) mentioned in Section 5.1 and in Figure 4. We previously identified the best classifiers of each act of consumption, that will help to build the tree that must be produced by the framework. As a reminder, this tree represents the sustainable consumption behavior of an individual with single sustainable consumption behavior indicators (i.e., leaves of the tree) and aggregated indicators per domain or overall (i.e., intermediary nodes and root of the tree). In our evaluation context, the single indicators correspond to the sustainability levels of seven acts of consumption belonging to the mobility and housing domains, also detailed in Section 5.1. The aggregated indicators per domain are therefore the sustainability levels of the mobility and housing domains, and finally the aggregated indicator overall is the global sustainability level of the individual.
In the test part of the dataset (or undisclosed data), we have 396 respondents with their answer records that cover all the possible classes of each act of consumption (see Table 4). It was crucial to be able to cover all the classes of each act of consumption to avoid a bias in the evaluation of the framework. First, we build 396 different trees with the real values of the test set (20% of the dataset), i.e., baseline trees. Second, we build 396 different other trees corresponding to the participants of the test set using the framework, and the best classifiers for each act of consumption trained with the training set (80% of the dataset), used in the first/previous evaluation. Third, we compare the values obtained for these two types of trees, baseline, and predicted values. For this macro analysis, the weights used to create the trees were all equal to 1.0. The configuration of these weights could be the subject of of a future dedicated research study with experts related to the energy domain. In terms of evaluations, we first assess the accuracy of the predictions between the training set and the test set with the best identified classifiers highlighted during the micro evaluation. This highlights the accuracy of the single sustainable consumption behavior indicators. We also compute the proportions of corrected predicted classes for the low level of the tree of each tested respondent. Then, we assess the aggregated indicators per domain or overall that are computed from the predictions of the single sustainable consumption behavior indicators. To do so, we compared the results in terms of root mean square error (RMSE) and mean absolute error (MAE) for the aggregated indicators per domain or overall. These metrics are good indicators to see the gap between actual and computed or estimated values. The RMSE is more sensitive to large errors than the MAE, therefore they provide complementary views.

8.2. Results

We launched the evaluation of the entire framework with the best classifiers and their related parameters for the seven acts of consumption and present the results in Table 9, Table 10 and Table 11 and Figure 11.
Regarding the framework accuracy evaluation (Table 9), the results obtained for the training set are slightly better than those of the test set accuracy, which is usually the case. The accuracy computed for the framework evaluation is simply the percentage of correct class labels predicted by the best classifier found. According to these results, there is apparently no presence of overfitting (i.e., a training accuracy equals or very close to 1.0). Table 10 highlights the number of correct predicted values (from 0 to 7) per evaluated respondent. The higher results are ranged between 3 and 5, which means that we are able to estimate a sufficient number of correct sustainability levels even if it is not all the correct seven levels. Finally, Table 11 shows the RMSE and MAE values that highlight the error between the real aggregated indicator values of the test set and the ones computed from the predictions. The RMSE values are higher than the MAE values because larger errors have more impact on the first metric. As there are seven estimated single sustainable consumption behavior indicators, the results of the RMSE/MAE are still reasonable.
Figure 11 depicts the normalized confusion matrices of the seven acts of consumption obtained during the framework evaluation. More specifically, these matrices reflect the accuracy performance of the best classifiers and their parameters on the 20% undisclosed data (i.e., test set) of the dataset. Although we cannot clearly obtain a perfect diagonal result for each matrix from the top left to the bottom right, the results are promising. The figure also indicates that some acts of consumption are easier to predict than others. For the mobility domain, the home–work transportation mode is clearly the easiest to estimate. However, it is more difficult to estimate the three remaining mobility acts of consumption. For the housing domain, the number of use of electric devices per week and the number of showers per week have better prediction results compared to the prediction of the number of electric devices owned. A complementary and promising analysis would be to test our framework with more data to clearly see the impact of this increase on the entire evaluation process we described. It could also be valuable to evaluate a larger scope of acts of consumption belonging to different domains in order to highlight the ones that can be precisely estimated.
According all the results of the entire framework evaluation, we can recommend further work using our framework that could be directly linked to several limitations of the current work. First, this research work does not cover the entire spectrum of consumption behavior of individuals to help them to move towards a sustainable behavior. This work only focuses on several acts of consumption related to two domains: mobility and housing. The food would be a valuable consumption domain to explore for instance. Second, the dataset used is limited in terms of size (only 1983 respondents). Third, there is only one instantiation of the framework, i.e., one tree structure. Finally, the dataset is only focused on Swiss representative individuals. To address these problems, we would suggest conducting a dedicated data collection campaign focused on more acts of consumption belonging to more consumption domains (e.g., food), on a larger scale with several countries, and increasing the number of individuals (from 1983 to 10,000 for example). The framework could also be instantiated with more consumption domains and more acts of consumption as a result. Finally, another future work could be focused on designing a time series of trees related to one individual and on studying the evolution of her sustainable consumption behavior over time.

9. Discussion and Conclusions

Transitioning towards more sustainability implies that citizens change certain behaviors. The usage of Green Information Systems can foster such transitions. A major challenge is to design systems that are actually used by individuals and organizations. These adoption challenges range from simple usability requirements to more complex drivers such as motivational factors and cultural contexts [38,39].
In this paper, we presented a full framework that aims at predicting the sustainability levels of consumption behavior of an individual. This framework generates a tree that represents the sustainable consumption behavior view of an individual. This tree contains single sustainable consumption behavior indicators and aggregated ones per domain or overall. The estimates of the single indicators are supported by machine learning classifiers, while the aggregated indicators are computed from the lower indicators in the tree structure. We evaluated the validity of the framework through two distinct evaluations: micro and macro evaluations. The micro evaluation helped to find the best classifiers, their related parameters and the most important features, whereas the macro evaluation was focused on the entire framework evaluation.
The results demonstrated not only the usefulness of the framework, but also its reasonable accuracy. The best classifiers, highlighted in the micro evaluation, are aligned with the findings of other paper results [33]. The ensemble approaches indeed provide more accurate results than simple models. Although the neural networks (MLP) did not appear in the list of the most performant classifiers, it would be interesting to test other layer(s)/node(s) configurations with more data. In our context, we choose a simple configuration, which consisted in a minimum of three layers with an internal layer that has a number of nodes equals to the number of features used as input.
We also highlighted the most important features that were associated with the different prediction tasks in the micro evaluation. This investigation allowed us to clearly understand that the context of the individual is more than important to better understand her behavior. The study indicated that the most important features were closely linked to the predicted value (e.g., household size feature for the three housing predicted acts of consumption). Consequently, this research work confirms that the behavior of an individual cannot be studied without taking into account her context and environment and not only her personal data, such as her age and education background for example [39]. Further research work could use GREENPREDICT to study the association of cultural features with the predicted sustainability levels of individuals.
This research work has some limitations. First, we relied on an existing dataset focusing on a sample of representative Swiss individuals only. Even though this sample is representative of the Swiss population, findings might not be transferred to other parts of the world. Furthermore, the evaluations also indicated some limitations that could be covered with a larger dataset, which could cover all types of sustainable behaviors all over the world for instance, and other types of instantiation of the framework. Future research could complement such a survey with other aspects of participant behaviors, such as digital usage, or more fine-grained energy usage.
Finally, we believe that this research work not only provides a technological solution for the research community and developers of Green IS, but could also contribute to a real societal improvement, by helping individuals to move towards more sustainable behaviors.

Author Contributions

A.M. is the main contributor of this research. She is the initiator of this project, she conceptualized the framework, curated the data, and implemented and executed the evaluations. She is the main editor of this document as well as of the associated funding request. A.H. actively contributed to the research through project supervision and editing. All authors have read and agreed to the published version of the manuscript.

Funding

The research work is partially funded by the Hasler Foundation (Hasler Foundation website: https://haslerstiftung.ch/en/welcome-to-the-hasler-foundation/) and is part of the activities of SCCER CREST, which is financially supported by Innosuisse.

Conflicts of Interest

The authors declare no conflict of interest. In addition, the funders had no role in the design of the study; in the collection, analyses, or interpretation of data; in the writing of the manuscript; or in the decision to publish the results.

References

  1. Dedrick, J.L. Green IS: Concepts and issues for information systems research. CAIS 2010, 27, 11. [Google Scholar] [CrossRef]
  2. Carbon Footprint Ldt (UK). Carbon Footprint Calculator. Available online: https://www.carbonfootprint.com/calculator.aspx (accessed on 8 July 2019).
  3. myclimate Foundation (CH). Personal Carbon Footprint. Available online: https://co2.myclimate.org/en/footprint_calculators/new (accessed on 8 July 2019).
  4. The Nature Conservancy. Carbon Footprint Calculator. Available online: https://www.nature.org/en-us/get-involved/how-to-help/carbon-footprint-calculator/ (accessed on 8 July 2019).
  5. United Nations. Carbon Footprint Calculator. Available online: https://offset.climateneutralnow.org/footprintcalc (accessed on 8 July 2019).
  6. World Wildlife Fund (WWF). WWF Footprint Calculator. Available online: https://footprint.wwf.org.uk/#/ (accessed on 8 July 2019).
  7. Laurent, A.; Olsen, S.I.; Hauschild, M.Z. Limitations of carbon footprint as indicator of environmental sustainability. Environ. Sci. Technol. 2012, 46, 4100–4108. [Google Scholar] [CrossRef] [PubMed]
  8. Geiger, S.M.; Fischer, D.; Schrader, U. Measuring what matters in sustainable consumption: An integrative framework for the selection of relevant behaviors. Sustain. Dev. 2018, 26, 18–33. [Google Scholar] [CrossRef]
  9. Kollmuss, A.; Agyeman, J. Mind the gap: Why do people act environmentally and what are the barriers to pro-environmental behavior? Environ. Educ. Res. 2002, 8, 239–260. [Google Scholar] [CrossRef]
  10. Kim, E.; Kim, W.; Lee, Y. Combination of multiple classifiers for the customer’s purchase behavior prediction. Decis. Support Syst. 2003, 34, 167–175. [Google Scholar] [CrossRef]
  11. Kim, Y.J.; Yoon, H.J. Predicting green advertising attitude and behavioral intention in South Korea. Soc. Behav. Personal. Int. J. 2017, 45, 1345–1364. [Google Scholar] [CrossRef]
  12. Wei, H.; Zhang, F.; Yuan, N.J.; Cao, C.; Fu, H.; Xie, X.; Rui, Y.; Ma, W.Y. Beyond the words: Predicting user personality from heterogeneous information. In Proceedings of the Tenth ACM International Conference on Web Search and Data Mining, Cambridge, UK, 6–10 February 2017; pp. 305–314. [Google Scholar]
  13. Yang, L.; Dumais, S.T.; Bennett, P.N.; Awadallah, A.H. Characterizing and predicting enterprise email reply behavior. In Proceedings of the 40th International ACM SIGIR Conference on Research and Development in Information Retrieval, Tokyo, Japan, 7–11 August 2017; pp. 235–244. [Google Scholar]
  14. Moro, A.; Holzer, A. Supporting Green IS through a Framework Predicting Consumption Sustainability Levels of Individuals. In Proceedings of the ICIS’19, Munich, Germany, 15–18 December 2019. [Google Scholar]
  15. Peters, G.P. Carbon footprints and embodied carbon at multiple scales. Curr. Opin. Environ. Sustain. 2010, 2, 245–250. [Google Scholar] [CrossRef]
  16. Mulrow, J.; Machaj, K.; Deanes, J.; Derrible, S. The state of carbon footprint calculators: An evaluation of calculator design and user interaction features. Sustain. Prod. Consum. 2019, 18, 33–40. [Google Scholar] [CrossRef]
  17. Büchs, M.; Bahaj, A.S.; Blunden, L.; Bourikas, L.; Falkingham, J.; James, P.; Kamanda, M.; Wu, Y. Promoting low carbon behaviours through personalised information? Long-term evaluation of a carbon calculator interview. Energy Policy 2018, 120, 284–293. [Google Scholar] [CrossRef]
  18. Collins, A.; Galli, A.; Patrizi, N.; Pulselli, F.M. Learning and teaching sustainability: The contribution of Ecological Footprint calculators. J. Clean. Prod. 2018, 174, 1000–1010. [Google Scholar] [CrossRef]
  19. Clark, C.F.; Kotchen, M.J.; Moore, M.R. Internal and external influences on pro-environmental behavior: Participation in a green electricity program. J. Environ. Psychol. 2003, 23, 237–246. [Google Scholar] [CrossRef]
  20. Amel, E.L.; Manning, C.M.; Scott, B.A. Mindfulness and sustainable behavior: Pondering attention and awareness as means for increasing green behavior. Ecopsychology 2009, 1, 14–25. [Google Scholar] [CrossRef]
  21. Dillahunt, T.; Becker, G.; Mankoff, J.; Kraut, R. Motivating environmentally sustainable behavior changes with a virtual polar bear. Pervasive 2008 Workshop Proc. 2008, 8, 58–62. [Google Scholar]
  22. Juárez-Nájera, M.; Rivera-Martínez, J.G.; Hafkamp, W.A. An explorative socio-psychological model for determining sustainable behavior: Pilot study in German and Mexican Universities. J. Clean. Prod. 2010, 18, 686–694. [Google Scholar] [CrossRef]
  23. Figueroa-García, E.; García-Machado, J.; Pérez-Bustamante Yábar, D. Modeling the social factors that determine sustainable consumption behavior in the community of Madrid. Sustainability 2018, 10, 2811. [Google Scholar] [CrossRef]
  24. Van Acker, V.; Goodwin, P.; Witlox, F. Key research themes on travel behavior, lifestyle, and sustainable urban mobility. Int. J. Sustain. Transp. 2016, 10, 25–32. [Google Scholar] [CrossRef]
  25. Guo, Z.; Zhou, K.; Zhang, C.; Lu, X.; Chen, W.; Yang, S. Residential electricity consumption behavior: Influencing factors, related theories and intervention strategies. Renew. Sustain. Energy Rev. 2018, 81, 399–412. [Google Scholar] [CrossRef]
  26. Luo, Y.; Xu, X. Predicting the Helpfulness of Online Restaurant Reviews Using Different Machine Learning Algorithms: A Case Study of Yelp. Sustainability 2019, 11, 5254. [Google Scholar] [CrossRef]
  27. Subrahmanian, V.; Kumar, S. Predicting human behavior: The next frontiers. Science 2017, 355, 489. [Google Scholar] [CrossRef][Green Version]
  28. Pentland, A.; Liu, A. Modeling and prediction of human behavior. Neural Comput. 1999, 11, 229–242. [Google Scholar] [CrossRef]
  29. Kulkarni, V.; Moro, A.; Garbinato, B. Mobidict: A mobility prediction system leveraging realtime location data streams. In Proceedings of the 7th ACM SIGSPATIAL International Workshop on GeoStreaming, San Francisco, CA, USA, 31 October–3 November 2016; p. 8. [Google Scholar]
  30. Moro, A.; Garbinato, B.; Chavez-Demoulin, V. Analyzing privacy-aware mobility behavior using the evolution of spatio-temporal entropy. arXiv 2019, arXiv:cs.LG/1906.07537. [Google Scholar]
  31. Kabra, M.; Robie, A.A.; Rivera-Alba, M.; Branson, S.; Branson, K. JAABA: Interactive machine learning for automatic annotation of animal behavior. Nat. Methods 2013, 10, 64. [Google Scholar] [CrossRef]
  32. Rieck, K.; Trinius, P.; Willems, C.; Holz, T. Automatic analysis of malware behavior using machine learning. J. Comput. Secur. 2011, 19, 639–668. [Google Scholar] [CrossRef]
  33. Zhou, J. Data Mining for Individual Consumer Credit Default Prediction under E-commence Context: A Comparative Study. In Proceedings of the ICIS’17, Seoul, Korea, 10–13 December 2017. [Google Scholar]
  34. Zhang, X.; Mahadevan, S. Ensemble machine learning models for aviation incident risk prediction. Decis. Support Syst. 2019, 116, 48–63. [Google Scholar] [CrossRef]
  35. Géron, A. Hands-on Machine Learning with Scikit-Learn and TensorFlow: Concepts, Tools, and Techniques to Build Intelligent Systems; O’Reilly Media: Sebastopol, CA, USA, 2017. [Google Scholar]
  36. Weber, S.; Burger, P.; Farsi, M.; Martinez-Cruz, A.L.; Puntiroli, M.; Schubert, I.; Volland, B. Swiss Household Energy Demand Survey (SHEDS): Objectives, Design, and Implementation; SCCER CREST Working Paper WP2; SCCER CREST: Basel, Switzerland, 2017. [Google Scholar]
  37. Chawla, N.V.; Bowyer, K.W.; Hall, L.O.; Kegelmeyer, W.P. SMOTE: Synthetic minority over-sampling technique. J. Artif. Intell. Res. 2002, 16, 321–357. [Google Scholar] [CrossRef]
  38. Baggia, A.; Maletič, M.; Žnidaršič, A.; Brezavšček, A. Drivers and Outcomes of Green IS Adoption in Small and Medium-Sized Enterprises. Sustainability 2019, 11, 1575. [Google Scholar] [CrossRef]
  39. Yang, Z.; Sun, J.; Zhang, Y.; Wang, Y. Green, green, it’s green: A triad model of technology, culture, and innovation for corporate sustainability. Sustainability 2017, 9, 1369. [Google Scholar] [CrossRef]
Figure 1. GREENPREDICT Framework overview.
Figure 1. GREENPREDICT Framework overview.
Sustainability 12 01423 g001
Figure 2. Distributions of the last two mobility acts of consumption.
Figure 2. Distributions of the last two mobility acts of consumption.
Sustainability 12 01423 g002
Figure 3. Distribution of the three housing acts of consumption.
Figure 3. Distribution of the three housing acts of consumption.
Sustainability 12 01423 g003
Figure 4. The two evaluations (prediction models and framework) spread over the entire dataset.
Figure 4. The two evaluations (prediction models and framework) spread over the entire dataset.
Sustainability 12 01423 g004
Figure 5. Averages of micro/macro/weighted F1-scores of the predictions related to the selected four mobility acts of consumption.
Figure 5. Averages of micro/macro/weighted F1-scores of the predictions related to the selected four mobility acts of consumption.
Sustainability 12 01423 g005
Figure 6. Averages of micro/macro/weighted F1-scores of the predictions related to the selected three housing acts of consumption.
Figure 6. Averages of micro/macro/weighted F1-scores of the predictions related to the selected three housing acts of consumption.
Sustainability 12 01423 g006
Figure 7. Normalized confusion matrices related to the four mobility acts of consumption.
Figure 7. Normalized confusion matrices related to the four mobility acts of consumption.
Sustainability 12 01423 g007
Figure 8. Normalized confusion matrices related to the three housing acts of consumption.
Figure 8. Normalized confusion matrices related to the three housing acts of consumption.
Sustainability 12 01423 g008
Figure 9. Twenty most important features related to the first two mobility acts of consumption.
Figure 9. Twenty most important features related to the first two mobility acts of consumption.
Sustainability 12 01423 g009
Figure 10. Twenty most important features related to the three housing acts of consumption.
Figure 10. Twenty most important features related to the three housing acts of consumption.
Sustainability 12 01423 g010
Figure 11. Normalized confusion matrices resulting from the entire framework evaluation.
Figure 11. Normalized confusion matrices resulting from the entire framework evaluation.
Sustainability 12 01423 g011
Table 1. List of several existing carbon footprint calculators.
Table 1. List of several existing carbon footprint calculators.
Carbon Footprint CalculatorInput DataOutput Data
WWF Footprint Calculator (World Wildlife Fund) [6]Questions by consumption domainsPercentage of our target impact on the world (tonnes of C O 2 )
Carbon Footprint Calculator (Carbon Footprint Ldt) [2]kWh (electricity), km (car), water (liters), etc.Tonnes of C O 2 by consumption domain (housing, car, bus and train, etc.)
Personal Carbon Footprint (myclimate Foundation) [3]Questions by consumption domainGlobal result of tonnes of C O 2
Carbon Footprint Calculator (United Nations) [5]Questions by consumption domainTonnes of C O 2 and percentages by consumption domain
Carbon Footprint Calculator (The Nature Conservancy) [4]Questions and precise numbers by consumption domainActions to reduce our impact and comparisons with similar households
Table 2. List of types of variables contained in SHEDS dataset.
Table 2. List of types of variables contained in SHEDS dataset.
Variable GroupVariable NameValue
Demographic and
socio-economic variables (17)
AgeZ
Gender{Female, Male}
Household type{Single person household,
Couple with children, etc.}
Homeplace zip codeZ
Workplace zip codeZ
Household monthly gross income{3000 or less, 3000–4499
4500–5999, 6000–8999, ...}
......
Accommodation
variables (21)
Accommodation type{Flat in a building with less than 5 flats, ...}
Size of the living areaZ
Distance to the grocery store{<0.5 km, 0.5–1 km, ...}
......
Psychological attitudes
variables (24)
Average of the environmentally
friendly feeling
R
Average of the feelings related to
the environment and
potential environmental change
R
......
Social performance
variables (11)
Visiting art exhibitions or galleries{Does not apply at all (1),
Does not apply (2), ...}
Money spent per person
for a really good dinner
Z
......
Habits/routine
variables (11)
Have your own car{Not at all important (1),
Take long showersNot important (2), Indifferent (3),
Live close to place of workImportant (4), Very important (5)}
......
Social context
variables (30)
Overall life satisfaction levelScale from 0 to 10
Active member of a club
or an association
{No, Yes but I never meet the
members, or very seldom, ...}
......
Factual knowledge about
energy variables (5)
C O 2 emissions play a crucial
role in global warming
{True, False,
I do not know}
Coal is a renewable
energy resource
......
Table 3. List of predicted values.
Table 3. List of predicted values.
Consumption DomainAct of ConsumptionRaw ValuePredicted Value
MobilityHome–work transportation modeCategory{Low sustainability Level (2),
Medium sustainability level (1),
High sustainability level (0)}
Leisure activities transportation modeCategory
Short/middle distance flight numberInteger
Long distance flight numberInteger
HousingNumber of electric devices ownedInteger
Number of use of 4 electric devices
per week
Integer
Number of showers per weekInteger
Table 4. List of the acts of consumption with their three sustainability levels and their precise values.
Table 4. List of the acts of consumption with their three sustainability levels and their precise values.
Act of ConsumptionPredicted ValueRaw Value/Low/High Boundary
Home–work transportation modeLow sustainability level (2)Private car/motorbike
Medium sustainability level (1)Car sharing/public transportation
High sustainability level (0)Soft mobility/works from home
Leisure activities transportation modeLow sustainability level (2)Private car/motorbike
Medium sustainability level (1)Car sharing/public transportation
High sustainability level (0)Soft mobility/works from home
Short/middle distance flight numberLow sustainability level (2)>2
Medium sustainability level (1)>1 or <=2
High sustainability level (0)<=1
Long distance flight numberLow sustainability level (2)>1
Medium sustainability level (1)>0 or <=1
High sustainability level (0)<=0
Number of electric devices ownedLow sustainability level (2)>15.565
Medium sustainability level (1)>12.480 or <=15.565
High sustainability level (0)<=12.480
Number of use of 4 electric devices per weekLow sustainability level (2)>13.816
Medium sustainability level (1)>6.646 or <=13.816
High sustainability level (0)<=6.646
Number of showers per weekLow sustainability level (2)>6.125
Medium sustainability level (1)>3.423 or <=6.125
High sustainability level (0)<=3.423
Table 5. Distribution and proportion of participants per sustainability level and per act of consumption (80% and 20% of the dataset).
Table 5. Distribution and proportion of participants per sustainability level and per act of consumption (80% and 20% of the dataset).
Act of
Consumption
Sustainability
Level
80% of the Dataset
(Model Evaluation)
20% of the Dataset
(Framework Evaluation)
Home–work transportation mode0324/≈ 20.4%80/≈ 20.2%
1605/≈ 38.1%156/≈ 39.3%
2657/≈ 41.4%161/≈ 40.6%
Leisure activities transportation mode0300/≈ 18.9%69/≈ 17.4%
1360/≈ 22.7%90/≈ 22.7%
2926/≈ 58.4%238/≈ 59.9%
Short/middle distance flight number01035/≈ 65.3%259/≈ 65.2%
1246/≈ 15.5%60/≈ 15.1%
2305/≈ 19.2%78/≈ 19.6%
Long distance flight number01079/≈ 68.0%270/≈ 68.0%
1321/≈ 20.2%83/≈ 20.9%
2186/≈ 11.7%44/≈ 11.1%
Number of electric devices owned0447/≈ 28.1%110/≈ 27.7%
1653/≈ 41.1%153/≈ 38.5%
2489/≈ 30.8%134/≈ 33.8%
Number of use of 4 electric devices per week0541/≈ 34.1%128/≈ 32.2%
1666/≈ 42.0%166/≈ 41.8%
2379/≈ 23.9%103/≈ 25.9%
Number of showers per week0506/≈ 31.9%127/≈ 32.0%
1593/≈ 37.4%148/≈ 37.3%
2487/≈ 30.7%122/≈ 30.7%
Table 6. True positive, false positive, false negative, and true positive matrix (binary prediction example with 2 possible classes: class x and class y).
Table 6. True positive, false positive, false negative, and true positive matrix (binary prediction example with 2 possible classes: class x and class y).
Predicted Class Label
Class xClass y
True class labelClass xTrue positivesFalse negatives
Class yFalse positivesTrue negatives
Table 7. Mobility domain: best parameters of the classifiers for each act of consumption.
Table 7. Mobility domain: best parameters of the classifiers for each act of consumption.
Act of ConsumptionClassifierBest Parameters Identified
Home–work
transportation mode
Decision treemax_depth = 2
Random forestsmax_depth = 5/n_estimators = 500
Gradient boosting treesmax_depth = 4/n_estimators = 500/learning_rate = 0.1
Multinomial logistic regressionmax_iter = 100/C = 10,000
Support vector machine (linear)C = 10
Support vector machine (rbf)C = 1/gamma = 0.1
Multi-layer perceptron (relu)learning_rate_init = 0.0001/alpha = 0.01
Multi-layer perceptron (tanh)learning_rate_init = 0.0001/alpha = 0.01
Leisure activities
transportation mode
Decision treemax_depth = 5
Random forestsmax_depth = 7/n_estimators = 250
Gradient boosting treesmax_depth = 4/n_estimators = 500/learning_rate = 0.01
Multinomial logistic regressionmax_iter = 100/C = 0.01
Support vector machine (linear)C = 0.1
Support vector machine (rbf)C = 1/gamma = 0.1
Multi-layer perceptron (relu)learning_rate_init = 0.001/alpha = 0.01
Multi-layer perceptron (tanh)learning_rate_init = 0.001/alpha = 0.01
Short/middle distance
Flight number
Decision treemax_depth = 3
Random forestsmax_depth = 9/n_estimators = 250
Gradient boosting treesmax_depth = 2/n_estimators = 50/learning_rate = 0.1
Multinomial logistic regressionmax_iter = 100/C = 0.1
Support vector machine (linear)C = 0.1
Support vector machine (rbf)C = 0.01/gamma = 0.1
Multi-layer perceptron (relu)learning_rate_init = 0.001/alpha = 1 × 10 5
Multi-layer perceptron (tanh)learning_rate_init = 0.01/alpha = 0.001
Long distance
Flight number
Decision treemax_depth = 3
Random forestsmax_depth = 6/n_estimators = 250
Gradient boosting treesmax_depth = 7/n_estimators = 100/learning_rate = 0.1
Multinomial logistic regressionmax_iter = 100/C = 0.1
Support vector machine (linear)C = 10
Support vector machine (rbf)C = 0.01/gamma = 1
Multi-layer perceptron (relu)learning_rate_init = 0.0001/alpha = 0.01
Multi-layer perceptron (tanh)learning_rate_init = 0.01/alpha = 0.0001
Table 8. Housing domain: best parameters of the classifiers for each act of consumption.
Table 8. Housing domain: best parameters of the classifiers for each act of consumption.
Act of ConsumptionClassifierBest Parameters Identified
Number of electric
devices owned
Decision treemax_depth = 2
Random forestsmax_depth = 8/n_estimators = 500
Gradient boosting treesmax_depth = 4/n_estimators = 500/learning_rate = 0.01
Multinomial logistic regressionmax_iter = 100/C = 0.01
Support vector machine (linear)C = 0.01
Support vector machine (rbf)C = 1/gamma = 0.1
Multi-layer perceptron (relu)learning_rate_init = 1 × 10 5 /alpha = 0.001
Multi-layer perceptron (tanh)learning_rate_init = 1 × 10 5 /alpha = 1 × 10 6
Number of use of 4
electric devices per week
Decision treemax_depth = 3
Random forestsmax_depth = 8/n_estimators = 250
Gradient boosting treesmax_depth = 2/n_estimators = 500/learning_rate = 0.01
Multinomial logistic regressionmax_iter = 100/C = 0.01
Support vector machine (linear)C = 0.01
Support vector machine (rbf)C = 1/gamma = 0.01
Multi-layer perceptron (relu)learning_rate_init = 1 × 10 5 /alpha = 0.001
Multi-layer perceptron (tanh)learning_rate_init = 1 × 10 5 /alpha = 0.01
Number of showers
per week
Decision treemax_depth = 2
Random forestsmax_depth = 9/n_estimators = 500
Gradient boosting treesmax_depth = 2/n_estimators = 250/learning_rate = 0.01
Multinomial logistic regressionmax_iter = 100/C = 0.01
Support vector machine (linear)C = 0.01
Support vector machine (rbf)C = 100/gamma = 0.0001
Multi-layer perceptron (relu)learning_rate_init = 1 × 10 5 /alpha = 0.01
Multi-layer perceptron (tanh)learning_rate_init = 0.0001/alpha = 0.01
Table 9. Training set/test set accuracy results with the best classifiers.
Table 9. Training set/test set accuracy results with the best classifiers.
Act of ConsumptionTraining Set AccuracyTest Set Accuracy
(avg out of 1.0)(avg out of 1.0)
Home–work transportation mode0.770.61
Leisure activities transportation mode0.920.67
Short-middle distance flight number0.690.53
Long distance flight number0.710.48
Number of electric devices owned0.950.46
Number of use of 4 electric devices per week0.690.58
Number of showers per week0.570.50
Table 10. Results of the correct predicted values (from 0 to 7) for the single sustainable consumption behavior indicators with the best classifiers.
Table 10. Results of the correct predicted values (from 0 to 7) for the single sustainable consumption behavior indicators with the best classifiers.
Number of Corrected Predicted ValueRatio (%)
00.25
13.02
214.36
323.93
426.20
519.90
610.33
72.02
Table 11. Results of the aggregated sustainable consumption behavior indicators of the tree with the best classifiers.
Table 11. Results of the aggregated sustainable consumption behavior indicators of the tree with the best classifiers.
MetricsMobility SustainabilityHousing SustainabilityGlobal Sustainability
Level (avg)Level (avg)Level (avg)
RMSE0.750.620.74
MAE0.590.480.61

Share and Cite

MDPI and ACS Style

Moro, A.; Holzer, A. A Framework to Predict Consumption Sustainability Levels of Individuals. Sustainability 2020, 12, 1423. https://doi.org/10.3390/su12041423

AMA Style

Moro A, Holzer A. A Framework to Predict Consumption Sustainability Levels of Individuals. Sustainability. 2020; 12(4):1423. https://doi.org/10.3390/su12041423

Chicago/Turabian Style

Moro, Arielle, and Adrian Holzer. 2020. "A Framework to Predict Consumption Sustainability Levels of Individuals" Sustainability 12, no. 4: 1423. https://doi.org/10.3390/su12041423

APA Style

Moro, A., & Holzer, A. (2020). A Framework to Predict Consumption Sustainability Levels of Individuals. Sustainability, 12(4), 1423. https://doi.org/10.3390/su12041423

Note that from the first issue of 2016, this journal uses article numbers instead of page numbers. See further details here.

Article Metrics

Back to TopTop