Sign in to use this feature.

Years

Between: -

Subjects

remove_circle_outline
remove_circle_outline
remove_circle_outline
remove_circle_outline
remove_circle_outline
remove_circle_outline
remove_circle_outline
remove_circle_outline
remove_circle_outline

Journals

remove_circle_outline
remove_circle_outline
remove_circle_outline
remove_circle_outline
remove_circle_outline
remove_circle_outline
remove_circle_outline
remove_circle_outline
remove_circle_outline
remove_circle_outline
remove_circle_outline
remove_circle_outline
remove_circle_outline
remove_circle_outline
remove_circle_outline
remove_circle_outline
remove_circle_outline
remove_circle_outline
remove_circle_outline
remove_circle_outline
remove_circle_outline
remove_circle_outline
remove_circle_outline
remove_circle_outline
remove_circle_outline
remove_circle_outline
remove_circle_outline
remove_circle_outline
remove_circle_outline
remove_circle_outline
remove_circle_outline
remove_circle_outline
remove_circle_outline
remove_circle_outline
remove_circle_outline

Article Types

Countries / Regions

remove_circle_outline
remove_circle_outline
remove_circle_outline
remove_circle_outline
remove_circle_outline
remove_circle_outline
remove_circle_outline
remove_circle_outline
remove_circle_outline

Search Results (9,705)

Search Parameters:
Keywords = green technology

Order results
Result details
Results per page
Select all
Export citation of selected articles as:
14 pages, 3755 KB  
Article
Crystalline Carbon Nitride Embedded with Pt Nanoparticles for Boosting Photothermal Degradation of Toluene
by Fanyang Jin, Shaohong Zang and Dandan Zheng
Catalysts 2026, 16(4), 295; https://doi.org/10.3390/catal16040295 (registering DOI) - 29 Mar 2026
Abstract
Degradation of volatile organic compounds (VOCs) by environmentally friendly methods remains a challenging issue. Photothermal catalysis, as an emerging green catalytic technology, merges the benefits of both thermal catalysis and photocatalysis, presenting itself as a viable strategy for VOC degradation. However, achieving higher [...] Read more.
Degradation of volatile organic compounds (VOCs) by environmentally friendly methods remains a challenging issue. Photothermal catalysis, as an emerging green catalytic technology, merges the benefits of both thermal catalysis and photocatalysis, presenting itself as a viable strategy for VOC degradation. However, achieving higher catalytic performance by reasonably designing the synthetic route of catalyst carriers remains difficult. In this study, crystalline carbon nitride material, poly(triazine imide) (PTI), was prepared using a unique molten salt synthesis method and employed as a support for Pt to construct an exceptional photothermal catalyst. In a continuous-flow system under Xe lamp irradiation with external temperature control, toluene was efficiently degraded at a high rate of nearly 100% under low Pt content (0.31 wt%) and a relatively low operational temperature condition (143 °C). As a carrier of noble metals, PTI material exhibited a larger specific surface area and fewer structural defects, resulting in more efficient toluene conversion and mineralization. The joint action of photocatalysis and thermocatalysis synergistically facilitated the efficient generation of active species and accelerated charge transfer, thereby significantly boosting toluene catalytic oxidation. These findings provide valuable guidance for designing and optimizing photothermal catalysts for the removal of VOCs. Full article
(This article belongs to the Section Photocatalysis)
Show Figures

Figure 1

21 pages, 450 KB  
Article
The Impact of Social Security Contributions on Renewable Energy Investment in OECD Countries: The Role of Technological Innovation
by Ebaidalla M. Ebaidalla, Abdelrahim Abulbasher and Abu Baker A. A. Al Hadi
Energies 2026, 19(7), 1677; https://doi.org/10.3390/en19071677 (registering DOI) - 29 Mar 2026
Abstract
With the growing global emphasis on the transition to green energy, understanding the drivers of renewable energy investment (REI) has become a critical area of research. However, the role of social security contributions (SSCs) as a fiscal instrument influencing REI remains unexplored. This [...] Read more.
With the growing global emphasis on the transition to green energy, understanding the drivers of renewable energy investment (REI) has become a critical area of research. However, the role of social security contributions (SSCs) as a fiscal instrument influencing REI remains unexplored. This study examines whether SSCs stimulate renewable energy investment and assesses the extent to which innovation influences this relationship. Using newly compiled SSC data for 35 OECD countries over the period 1996–2022, the analysis applies the Cross-Sectionally Augmented Autoregressive Distributed Lag (CS-ARDL) framework to capture dynamic effects and cross-country dependence. The results show that both social security contributions and technological innovation promote REI. In addition, technological innovation strengthens the positive impact of social security contributions on clean energy investment, indicating that SSCs are effective in innovative OECD economies. The results suggest that policymakers in OECD countries should allocate a significant portion of SSC revenues to green energy initiatives and innovation. Furthermore, increasing investment in green energy research and development could strengthen the link between SSCs and innovation, thereby accelerating the clean energy transition. Full article
(This article belongs to the Section C: Energy Economics and Policy)
Show Figures

Figure 1

33 pages, 6271 KB  
Article
Resilience Characterization of Physical Activity: Investigating Blue Landscape Patterns and Urban Morphological Factors in Shenzhen’s Stormwater Management Units
by Yating Fan, Caicai Xu, Yu Yan, Xinghan Gong, Heng Liu and Yinglong Lv
Land 2026, 15(4), 562; https://doi.org/10.3390/land15040562 (registering DOI) - 29 Mar 2026
Abstract
Rapid urbanization-induced extreme rainstorms severely disrupt social functions. Previous research often focused on “de-densification” strategies, which are difficult to adapt to high-density Sponge City Stormwater Management Units (SMUs) that carry core development functions. This study uses Shenzhen as a case study, utilizing Keep [...] Read more.
Rapid urbanization-induced extreme rainstorms severely disrupt social functions. Previous research often focused on “de-densification” strategies, which are difficult to adapt to high-density Sponge City Stormwater Management Units (SMUs) that carry core development functions. This study uses Shenzhen as a case study, utilizing Keep movement big data as a “social sensor” for system function perception and introducing the Socio-Ecological-Technological Systems (SETS) theory to construct a “recovery (RCN)–resistance (MI)” binary assessment framework. Through systematic clustering and hierarchical regression models, the driving mechanisms of blue landscape patterns, topography, road networks, and the built environment on social behavioral resilience are systematically parsed. The results show: (1) Road network morphology dominates resistance, while multi-dimensional elements collaborate for recovery. Resistance (MI) is primarily dominated by macro road network detour resistance (TPD2000, β = 0.956), while recovery depends on the synergistic support of blue space interspersion (Blue_IJI), topography, and micro-circulation road networks. (2) Green infrastructure fails in the model due to efficiency bottlenecks, empirical evidence of weakened regulation caused by green space fragmentation in ultra-high-density environments. (3) Low-density, eco-centric built environments provide dual synergistic gains for resilience. Based on this, a “Bidirectional Socio-Ecological Resilience Needs Pyramid” model is constructed, identifying four governance types such as the “Synergistic Balanced Type”. This study provides a quantitative basis for the transition from administrative control to precise morphological governance in high-density cities. Full article
20 pages, 2877 KB  
Article
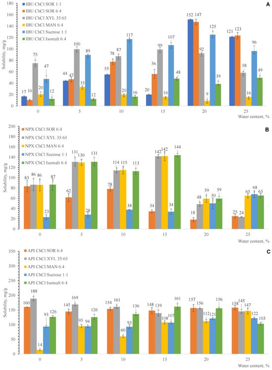
A Green Innovative Approach for Solubility Enhancement of Poorly Water-Soluble Drugs Using Choline Chloride–Polyol Eutectic Solvents
by Liga Petersone, Rihards Mahinovs, Zoltán Márk Horváth and Valentyn Mohylyuk
Int. J. Mol. Sci. 2026, 27(7), 3110; https://doi.org/10.3390/ijms27073110 (registering DOI) - 29 Mar 2026
Abstract
Eutectic solvents have become a viable choice to create innovative pharmaceutical technologies within the framework of the green chemistry approach. Despite the growing applicative interest, a general gap remains in the pharmaceutical sector regarding thorough and systematic research of their properties and useful [...] Read more.
Eutectic solvents have become a viable choice to create innovative pharmaceutical technologies within the framework of the green chemistry approach. Despite the growing applicative interest, a general gap remains in the pharmaceutical sector regarding thorough and systematic research of their properties and useful applications. In this work, eutectic solvents have been prepared from choline chloride and polyols (sorbitol, xylitol, mannitol, and isomalt) at different molar ratios (1:1, 2:3, and 3:2), characterised, and used for the solubility enhancement of poorly water-soluble drugs (ibuprofen and naproxen) as well as the potential drug candidate apigenin. The interactions between the eutectic solvent components were investigated by DSC, FTIR, and refractive index methods. In all eutectic solvents, the water content detected by Karl Fischer titration and loss on drying was less than 3%. Solubility studies, carried out using the shake-flask method, showed significant solubility enhancement of the following: ibuprofen: ~152-fold increase, naproxen: ~144-fold increase, and apigenin: ~188-fold increase. These findings highlighted the great potential of eutectic solvents as solubility enhancers in the development of novel and more effective drug delivery systems. Full article
(This article belongs to the Section Molecular Pharmacology)
Show Figures

Figure 1

14 pages, 813 KB  
Article
Oil Extraction from Skipjack Tuna Belly (Katsuwonus pelamis) via Thermomechanical and Supercritical CO2 Fluid Extraction
by Vanessa Barbosa da Silva, Gabriel Costa Coelho, Lisiane Baldez da Cunha, Andrei Vallerão Igansi, Patrick Peres da Silva, Anelise Christ-Ribeiro, Débora Pez Jaeschke, Tito Roberto Sant’Anna Cadaval and Luiz Antonio de Almeida Pinto
Processes 2026, 14(7), 1103; https://doi.org/10.3390/pr14071103 (registering DOI) - 29 Mar 2026
Abstract
This study aimed to extract oil from skipjack tuna belly (Katsuwonus pelamis) using thermomechanical extraction and supercritical CO2 extraction (SFE-CO2). The SFE-CO2 process was conducted at 25 MPa and 40 °C for 30 min, 1 h, and [...] Read more.
This study aimed to extract oil from skipjack tuna belly (Katsuwonus pelamis) using thermomechanical extraction and supercritical CO2 extraction (SFE-CO2). The SFE-CO2 process was conducted at 25 MPa and 40 °C for 30 min, 1 h, and 3 h. Thermomechanical extraction yielded 88.1% crude oil, with eicosapentaenoic acid (EPA) and docosahexaenoic acid (DHA) contents of 7.6% and 19.2%, respectively. In the SFE-CO2 process, the shortest extraction time (25 MPa, 40 °C, 30 min) resulted in the highest DHA (12.6%) concentration, as well as a total polyunsaturated fatty acid (PUFA) content of 22.4%. This behavior is attributed to the shorter CO2–matrix contact time, which favored the selective extraction of target compounds. Conversely, extending the extraction time to 3 h under the same pressure and temperature led to the highest overall yield (26.4%). These findings demonstrate that SFE-CO2 is a promising green technology for the valorization of fish processing by-products, enabling selective recovery of high-value omega-3 fatty acids while promoting more sustainable production practices. Full article
(This article belongs to the Special Issue Extraction Processes, Modeling, and Optimization of Oils)
Show Figures

Graphical abstract

48 pages, 3890 KB  
Review
Research Progress on Microbially Induced Calcium Carbonate Precipitation (MICP) for Reinforcing Fractured Rock Masses
by Miao Yu, Zehui Zhang, Changgui Xu, Tian Su and Zhenyu Tan
Coatings 2026, 16(4), 413; https://doi.org/10.3390/coatings16040413 (registering DOI) - 29 Mar 2026
Abstract
The deterioration of mechanical properties and seepage issues in fractured rock masses represent critical technical bottlenecks in the field of geotechnical engineering. Traditional remediation techniques suffer from drawbacks such as environmental pollution, poor filling effects in microfissures, and susceptibility to secondary cracking, making [...] Read more.
The deterioration of mechanical properties and seepage issues in fractured rock masses represent critical technical bottlenecks in the field of geotechnical engineering. Traditional remediation techniques suffer from drawbacks such as environmental pollution, poor filling effects in microfissures, and susceptibility to secondary cracking, making it difficult to meet the requirements for long-term effectiveness and environmental compatibility in fractured rock mass reinforcement. Microbially induced calcium carbonate precipitation (MICP) technology, which drives the formation of calcium carbonate crystals through microbial metabolic activities, achieves fracture filling and rock mass reinforcement. This technology offers several advantages, including environmental friendliness, high permeability, and excellent compatibility; thus, it represents a cutting-edge direction for green remediation in geotechnical engineering. In this paper, the core mineralization mechanisms of MICP technology, key influencing factors, and engineering applications in fractured rock masses are systematically analysed. Research has indicated that MICP can significantly increase the compressive strength, impermeability, and liquefaction resistance of fractured rock masses, enabling both self-healing of rock fractures and precise filling of existing fissures. Compared with traditional techniques, it demonstrates superior environmental compatibility and remediation efficacy. This review aims to serve as a reference for theoretical research and engineering applications of MICP in fractured rock mass reinforcement. Full article
22 pages, 312 KB  
Article
The Impact of New Quality Productive Forces on High-Quality Development of Higher Education: Evidence from China
by Changkui Liu
Sustainability 2026, 18(7), 3308; https://doi.org/10.3390/su18073308 (registering DOI) - 28 Mar 2026
Abstract
Amid accelerating technological change and structural transformation, advanced productivity regimes characterized by technological innovation, digital transformation, and green upgrading have become key drivers of economic restructuring. In China, this transformation is conceptualized as new quality productive forces (NQPFs). However, their implications for higher [...] Read more.
Amid accelerating technological change and structural transformation, advanced productivity regimes characterized by technological innovation, digital transformation, and green upgrading have become key drivers of economic restructuring. In China, this transformation is conceptualized as new quality productive forces (NQPFs). However, their implications for higher education systems remain insufficiently explored. This study examines how NQPFs influence the high-quality development of higher education. Using panel data from 30 Chinese provinces from 2015 to 2022, composite indices constructed with the entropy method are used to measure NQPFs and the high-quality development of higher education, and mediation effect models, together with a Spatial Durbin Model, are employed to analyze the underlying mechanisms and spatial interactions. The results show that NQPFs significantly promote the high-quality development of higher education. This effect operates mainly through industrial collaborative agglomeration and digital infrastructure development and also generates positive spatial spillover effects across regions. These findings highlight the role of productivity transformation in shaping the structural foundations of higher education development in the digital era. Full article
23 pages, 1430 KB  
Article
Do Green Finance Reform Pilot Zones Reduce Agricultural Carbon Emission Intensity in China? Evidence from a Quasi-Natural Experiment Based on the Multi-Period Difference-in-Differences Method
by Wanyu Liu, Rui Luo and Shiping Mao
Agriculture 2026, 16(7), 750; https://doi.org/10.3390/agriculture16070750 (registering DOI) - 28 Mar 2026
Abstract
Reducing agricultural emissions is vital for climate mitigation, yet evidence on green finance’s potential to facilitate agricultural decarbonization—particularly in China—remains scarce. Leveraging China’s Green Finance Reform and Innovation Pilot Zones as a quasi-natural experiment, this study employs a staggered difference-in-differences design and complementary [...] Read more.
Reducing agricultural emissions is vital for climate mitigation, yet evidence on green finance’s potential to facilitate agricultural decarbonization—particularly in China—remains scarce. Leveraging China’s Green Finance Reform and Innovation Pilot Zones as a quasi-natural experiment, this study employs a staggered difference-in-differences design and complementary Callaway-Sant’Anna estimates. Using a balanced panel of 282 prefecture-level and above cities spanning 2012–2022—a window covering five pre-policy years before the initial 2017 pilot rollout and sufficient post-policy years to capture dynamic effects for the 2017, 2019, and 2022 cohorts—this study assesses the policy impact on agricultural carbon emission intensity. The findings reveal that the pilot policy reduces emission intensity by approximately 9.2% on average. This result is robust across event-study analyses, placebo tests, PSM-DID, policy interference checks, and alternative outcome specifications. Channel-consistent evidence suggests that the effect operates through three mechanisms: greener credit allocation, stronger green technological innovation, and lower-carbon adjustment of the agricultural production structure. The effect is larger in eastern China, major grain-producing regions, and cities with higher levels of financial development, and exhibits a strengthening trend over time. By analyzing China’s city-based pilot approach, this study demonstrates how financial policy can support agricultural decarbonization in settings characterized by dispersed emitters, imperfect environmental monitoring, and strong food-security constraints. The findings extend beyond China to inform other developing economies seeking non-price-based pathways to greener agriculture. Full article
(This article belongs to the Section Agricultural Economics, Policies and Rural Management)
15 pages, 287 KB  
Article
Screening of Bioactive Compounds from Rosa canina L. Peel and Seed Herbal Dust Using Eco-Friendly Extraction Techniques
by Valentina Masala, Carlo I. G. Tuberoso, Krunoslav Aladić, Ema Pavičić, Snježana Keleković, Vlatko Kopić and Stela Jokić
Processes 2026, 14(7), 1086; https://doi.org/10.3390/pr14071086 - 27 Mar 2026
Abstract
The rising demand for sustainable and circular approaches in the agro-industrial sector has generated interest in repurposing herbal tea residues as sources of high-value bioactive compounds. This work focusses on recovering phytochemicals from Rosa canina L. peel and seed dust (by-products of processing [...] Read more.
The rising demand for sustainable and circular approaches in the agro-industrial sector has generated interest in repurposing herbal tea residues as sources of high-value bioactive compounds. This work focusses on recovering phytochemicals from Rosa canina L. peel and seed dust (by-products of processing of herbal tea in filter tea bags) using green extraction techniques. Two environmentally friendly technologies were used: ultrasound-assisted extraction (UAE) with a sonotrode and subcritical fluid extraction (SBFE). The extracts were qualitatively profiled using (HR) LC-ESI-QToF-MS/MS and quantified using HPLC-PDA. Both by-products contained phenolic substances, including gallic acid derivatives, ellagic acid, and flavonoids such as quercetin and quercetin-3-O-glucoside (only in the peel). Additionally, Folin–Ciocalteu’s assay was used to determine Total Phenolic content (TP). The extraction efficiency was considered in terms of phenolic compound recovery and total phenolic content obtained under the respective experimental conditions. The maximum TP for SBFE was reported in samples extracted with ethanol–water (48:52) at 180 °C, producing 3876.67 GAE mg/L for peel and 1648.57 GAE mg/L for seeds. In the UAE, extraction with ethanol–water (48:52) for 10 min yielded the maximum TP of 2773.81 GAE mg/L for peel and 957.86 GAE mg/L for seeds. These findings highlight the potential of R. canina infusion by-products as long-term sources of bioactive compounds for use in nutraceutical, cosmetic, and pharmaceutical industries. Full article
(This article belongs to the Section Biological Processes and Systems)
28 pages, 342 KB  
Article
Carbon Trading Price and the Quantity and Quality of Green Technological Innovation: A Sustainability Perspective
by Chenqian Pan and Chaolin He
Sustainability 2026, 18(7), 3285; https://doi.org/10.3390/su18073285 - 27 Mar 2026
Abstract
Sustainable development has become an important global goal for environmental protection and economic growth. Promoting environmental sustainability and green development has become an inevitable trend for global economic transformation. The carbon emission trading market (carbon market) is a crucial market-based mechanism for pricing [...] Read more.
Sustainable development has become an important global goal for environmental protection and economic growth. Promoting environmental sustainability and green development has become an inevitable trend for global economic transformation. The carbon emission trading market (carbon market) is a crucial market-based mechanism for pricing greenhouse gas emissions, where carbon trading prices signal the costs of emission reduction and drive firms to engage in green technology innovation for a low-carbon transition. Using a sample of A-share listed companies in China’s eight carbon pilot regions from 2013 to 2024, this study employs a two-way fixed effects model to examine how carbon prices affect both the quantity and quality of corporate green technological innovation. Baseline regressions show that a one-unit increase in carbon prices significantly boosts green patent quantity (GreNum) by 0.018 and quality (GreQua) by 0.361, both at the 1% significance level. Mechanism analysis reveals that financing constraints act as a partial mediator, while environmental regulation and media attention further amplify the positive impact of carbon prices on corporate green technological innovation. Heterogeneity analysis further indicates that this positive effect is more pronounced in non-high-tech enterprises, China’s northern and eastern regions, and state-owned enterprises. This study provides empirical evidence for optimizing carbon market allocation, supporting corporate low-carbon transition, and promoting global environmental sustainability and green development. Full article
(This article belongs to the Section Air, Climate Change and Sustainability)
25 pages, 749 KB  
Article
Do Green Supply Chain Management Policies Improve Corporate Environmental Performance? Evidence from China’s Demonstration Program
by Jing Wang
Sustainability 2026, 18(7), 3282; https://doi.org/10.3390/su18073282 - 27 Mar 2026
Abstract
Against the backdrop of rising environmental pressure and increasing reliance on supply-chain-based governance, this study examines the environmental impact of China’s Green Supply Chain Management Demonstration Program. Using a panel of Chinese listed firms from 2012 to 2024, I exploit the inclusion of [...] Read more.
Against the backdrop of rising environmental pressure and increasing reliance on supply-chain-based governance, this study examines the environmental impact of China’s Green Supply Chain Management Demonstration Program. Using a panel of Chinese listed firms from 2012 to 2024, I exploit the inclusion of firms in the government-designated demonstration list as an exogenous policy shock and estimate its effects within a difference-in-differences framework. The results show that participation in the program significantly improves corporate environmental performance. Treated firms are more likely to adopt environmentally friendly practices, including renewable energy use, circular economy initiatives, and energy-saving technologies, and are more likely to receive environmental awards and other forms of positive environmental recognition. Mechanism analyses suggest that these effects operate through increased green patenting activity and enhanced environmental information disclosure quality. Heterogeneity analyses indicate that the effects are stronger for firms with higher supply chain efficiency, more limited access to external resources, and lower pre-existing green innovation, as well as for state-owned enterprises, firms located in eastern China, and those benefiting from greater government green support. Overall, the findings provide causal evidence that supply-chain-oriented environmental policies can effectively enhance corporate environmental performance in emerging economies Full article
(This article belongs to the Section Economic and Business Aspects of Sustainability)
Show Figures

Figure 1

21 pages, 3648 KB  
Systematic Review
Global Research Evolution in Catalytic Water and Wastewater Treatment: A Bibliometric Analysis Toward Sustainable and Resilient Technologies
by Motasem Y. D. Alazaiza, Aiman A. Bin Mokaizh, Mahmood Riyadh Atta, Akram Fadhl Al-Mahmodi, Dia Eddin Nassani, Masooma Al Lawati and Mohammed F. M. Abushammala
Catalysts 2026, 16(4), 291; https://doi.org/10.3390/catal16040291 - 27 Mar 2026
Abstract
The increasing global demand for sustainable water purification technologies has accelerated research on catalytic degradation and advanced oxidation processes for the removal of refractory pollutants. This study provides a comprehensive bibliometric analysis of global research trends in catalytic water and wastewater treatment from [...] Read more.
The increasing global demand for sustainable water purification technologies has accelerated research on catalytic degradation and advanced oxidation processes for the removal of refractory pollutants. This study provides a comprehensive bibliometric analysis of global research trends in catalytic water and wastewater treatment from 2010 to 2025, combining quantitative mapping with a qualitative synthesis of emerging technological directions. Bibliographic data were retrieved from the Scopus database and screened using the PRISMA framework, followed by analysis using VOSviewer (v1.6.20) and OriginPro (version 2023, OriginLab Corporation, Northampton, MA, USA) to examine publication growth, citation patterns, international collaboration networks, and thematic evolution. A total of 1550 publications, including 1265 research articles and 285 review papers, were analyzed. The results show a significant increase in research output after 2015, reflecting growing global attention to water sustainability and environmental remediation. China, the United States, and India were identified as the leading contributors, with strong international collaboration networks. Keyword co-occurrence analysis revealed three dominant research themes: photocatalytic degradation and semiconductor engineering, Fenton and Fenton-like advanced oxidation processes, and emerging hybrid catalytic systems involving carbon-based materials and metal–organic frameworks. The analysis also indicates a recent shift toward multifunctional hybrid catalysts designed to improve efficiency, stability, and performance in complex wastewater systems. These findings highlight key scientific developments and suggest future research priorities, including green catalyst synthesis, reactor and process scale-up, AI-assisted catalyst design, and life-cycle sustainability assessment to support the transition from laboratory research to practical water treatment applications. Full article
Show Figures

Figure 1

32 pages, 399 KB  
Article
Green Finance, Environmental Regulation, and Green Technology Innovation Based on the Threshold Effect
by Xu Tian, Yan Wang, Xuefei Guan and Gang Wang
Sustainability 2026, 18(7), 3279; https://doi.org/10.3390/su18073279 - 27 Mar 2026
Abstract
To address global climate challenges, China’s transition toward a green, low-carbon economy underscores the critical role of green finance (GF) as a key policy instrument. Against this backdrop, clarifying how GF influences green technology innovation (GTI) has become an urgent research priority. Using [...] Read more.
To address global climate challenges, China’s transition toward a green, low-carbon economy underscores the critical role of green finance (GF) as a key policy instrument. Against this backdrop, clarifying how GF influences green technology innovation (GTI) has become an urgent research priority. Using panel data from 283 Chinese cities (2012–2023), this study estimates a panel threshold model to examine the non-linear relationship between GF and GTI, with environmental regulation (ER) as the threshold variable. The results, validated by robustness and endogeneity tests, reveal the following: (1) GF exerts a double-threshold effect on GTI, with its promoting effect strengthening between thresholds but weakening beyond the second threshold. (2) ER exhibits a significant single-threshold effect; beyond it, GF’s contribution to GTI is substantially enhanced. (3) Three types of heterogeneity analysis are performed based on geographical regions, historical endowments, and whether a city is classified as an innovation-driven city. Overall, the results indicate that the threshold effects are more pronounced in eastern regions, cities with stronger historical endowments, and innovation-driven cities. These findings not only deepen the theoretical understanding of the GF–ER–GTI nexus but also provide empirically grounded insights for designing differentiated GF policies and region-specific environmental regulation strategies, thereby supporting both China’s low-carbon transition and global climate governance efforts. Full article
38 pages, 4852 KB  
Review
Harnessing the Anticancer Potential of Plant Alkaloids Through Green Extraction Technologies
by Latifa Bouissane, Sohaib Khatib, Reda El Boukhari, Valérie Thiery and Ahmed Fatimi
Appl. Biosci. 2026, 5(2), 23; https://doi.org/10.3390/applbiosci5020023 - 27 Mar 2026
Abstract
Cancer is an alarming health concern and economic burden in both developed and developing countries. Recently, there has been a growing demand for new alternative medications with more effectiveness and fewer harmful effects. During the past decades, a set of chemotherapeutic agents has [...] Read more.
Cancer is an alarming health concern and economic burden in both developed and developing countries. Recently, there has been a growing demand for new alternative medications with more effectiveness and fewer harmful effects. During the past decades, a set of chemotherapeutic agents has been developed to fight against a large spectrum of cancer types. Unfortunately, their use is associated with a high level of toxicity; they are expensive, also, and their deployment is restricted by the emergence of cellular resistance. Plant-based components are garnering attention due to their low toxicity, selectivity, efficiency, and ease of accessibility. Alkaloids are one of these targeted compounds. Indeed, they are a highly diverse group with basic heterocyclic nitrogen-containing alkaloids that exhibit potent anticancer effects against a large panel of solid and liquid tumors, such as lung, breast, leukemia, liver, and colon cancer. The main molecular mechanisms involved in alkaloids’ anticancer effect are the induction of apoptosis via the extrinsic and intrinsic pathways, DNA damage, and the inhibition of cell cycle progression. Amazingly, these auspicious compounds exhibited strenuous inhibitory effects against a whole range of key enzymes involved in cancer progression and metastasis, such as Cytochrome P450 (CYP450), Cyclooxygenase-2 (Cox-2), Lysine-Specific Demethylase 1 (LSD1), Poly [ADP-ribose] polymerase (PARP), and topoisomerase, mainly through two action modes, namely irreversible and reversible inhibition. Furthermore, several conventional extraction methods have been developed to extract bioactive compounds from natural matrices, such as Soxhlet and hot water extraction. However, these techniques have many drawbacks, as they require a large amount of organic solvents, which not only affect human health but also generate severe environmental issues. To overcome these limitations, multiple eco-extraction techniques have emerged as potential alternatives to traditional extraction methods such as ultrasonic extraction, microwave-assisted extraction, and supercritical fluid extraction. In fact, they are considered eco-friendly and efficient technologies with less time and solvent consumption. Overall, this review aims to provide an updated overview of the most prominent anticancer alkaloids that have not been well reviewed already, as well as the main green extraction techniques relevant to the extraction of antineoplastic alkaloids. Full article
(This article belongs to the Special Issue Plant Natural Compounds: From Discovery to Application (2nd Edition))
Show Figures

Figure 1

26 pages, 507 KB  
Article
Data Elements and Enterprise Green Total Factor Productivity: Evidence from China’s Big Data Comprehensive Pilot Zones
by Jianhua Fu, Liping Ao and Yingyan Wu
Sustainability 2026, 18(7), 3274; https://doi.org/10.3390/su18073274 - 27 Mar 2026
Abstract
In the digital economy era, how to effectively leverage data elements to promote green productivity has become a critical issue. The Big Data Comprehensive Pilot Zone (BDCPZ) serves as an institutional arrangement to promote data circulation, governance, and efficient allocation. Utilizing panel data [...] Read more.
In the digital economy era, how to effectively leverage data elements to promote green productivity has become a critical issue. The Big Data Comprehensive Pilot Zone (BDCPZ) serves as an institutional arrangement to promote data circulation, governance, and efficient allocation. Utilizing panel data from Chinese A-share listed firms spanning 2012–2023, this study treats the 2016 establishment of BDCPZ as a quasi-natural experiment and employs a difference-in-differences (DID) model to investigate how improvements in the data institutional environment induced by BDCPZ affect enterprise green total factor productivity (GTFP). Empirical results indicate that the establishment of BDCPZ significantly enhances GTFP, with results remaining robust across specification tests. Heterogeneity analyses demonstrate that these positive effects are more pronounced among non-heavily polluting enterprises, high-technology enterprises, and enterprises in less competitive markets. Mechanism analyses suggest that data-oriented institutional reforms primarily enhance GTFP through innovation incentives, human capital accumulation, and industrial structure upgrading. Furthermore, superior managerial efficiency and stronger managerial equity ownership amplify these positive effects. This study provides firm-level empirical evidence on the relationship between data-oriented institutional reforms and GTFP enhancement, contributing to the literature on data-driven institutional reforms and green productivity, and policy implications for optimizing data element utilization and promoting sustainable development. Full article
Show Figures

Figure 1

Back to TopTop