Knowledge of Student Teachers on Sustainable Land Use Issues–Knowledge Types Relevant for Teacher Education
Abstract
1. Introduction
- i.
- Assess sustainable land use-relevant knowledge in a differentiated way (situational, conceptual, and procedural knowledge);
- ii.
- Find out via IRT modelling how the theoretically distinguished knowledge types can be empirically supported by the resulting knowledge dimension(s);
- iii.
- Link these knowledge dimension(s) to related constructs.
- Which evidence does IRT modelling provide for the distinction between situational, conceptual, and procedural knowledge?
- 2.
- How do specifications in teacher education, such as academic progress, form of school, and subjects studied influence student teachers’ knowledge of sustainable land use in the knowledge dimension(s)?
- 3.
- How do the knowledge dimension(s) resulting from IRT modelling differ from SD-related motivational constructs, such as self-efficacy beliefs of ESD teaching, responsibility toward climate change and biodiversity, attitudes toward SD, self-assessed knowledge of SD-relevant issues, and sustainability knowledge?
2. Method
2.1. Questionnaire Design
- General information (e.g., gender, age, study program, semester, final school examination grade where 1 equals school grade A), ESD specific information (e.g., self-assessed knowledge of SD-relevant issues, number of courses attended including ESD and the percentage of ESD in these courses) and sustainability knowledge (10 items of Zwickle et al. published in 2014 [28]);
- Written scenarios and multiple-choice items to test situational and conceptual knowledge as well as Likert scale items to test procedural knowledge;
- Further validation instruments, i.e., self-efficacy beliefs of ESD teaching, attitudes toward sustainable development, responsibility toward climate change and biodiversity, and self-assessed knowledge of SD-relevant issues.
2.2. Validation Instruments
2.3. Data Collection and Sample Description
2.4. Data Analysis
3. Results
3.1. Dimensionality of Sustainable Development-Relevant Content Knowledge and Quality of the Instrument
3.2. Validation
3.2.1. Influence of Specifications in Teacher Education on Knowledge in Sustainable Land Use Issues
3.2.2. Knowledge Dimensions and Related Constructs
4. Discussion
4.1. Arguments for a Two-Dimensional Structure of Sustainable Development-Related Knowledge
4.2. Arguments for the Suitability of the Measurement Instrument
4.3. Arguments for Validity
5. Conclusions
Author Contributions
Funding
Acknowledgments
Conflicts of Interest
References
- UNESCO (United Nations Educational, Scientific and Cultural Organization). Education for Sustainable Development Goals. Learning Objectives; UNESCO: Paris, France, 2017. [Google Scholar]
- United Nations (UN), General Assembly. Transforming Our World: The 2030 Agenda for Sustainable Development; United Nations (UN), General Assembly: New York, NY, USA, 2015. [Google Scholar]
- UNESCO (United Nations Educational, Scientific and Cultural Organization). Framework for the Implementation of Education for Sustainable Development (ESD) beyond 2019; UNESCO: Paris, France, 2019. [Google Scholar]
- McREL. Topic: Environmental Issues. Available online: http://www2.mcrel.org/compendium/topicsDetail.asp?topicsID=69&subjectID=2 (accessed on 20 August 2020).
- NGSS Lead States. Next Generation Science Standards: For States, by States; The National Academies Press: Washington, DC, USA, 2013. [Google Scholar] [CrossRef]
- OECD. The Future of Education and Skills: Education 2030; OECD: Paris, France, 2018. Available online: https://www.oecd.org/education/2030/E2030%20Position%20Paper%20(05.04.2018).pdf (accessed on 20 August 2020).
- Böhm, M.; Barkmann, J.; Eggert, S.; Carstensen, C.H.; Bögeholz, S. Quantitative Modelling and Perspective Taking: Two Competencies of Decision Making for Sustainable Development. Sustainability 2020, 12, 6980. [Google Scholar] [CrossRef]
- Sadler, T.D.; Barab, S.A.; Scott, B. What do students gain by engaging in socioscientific inquiry? Res. Sci. Educ. 2007, 37, 371–391. [Google Scholar] [CrossRef]
- Sadler, T.D. Situating Socio-scientific Issues in Classrooms as a Means of Achieving Goals in Science Education. In Socio-Scientific Issues in the Classroom: Teaching, Learning and Research; Sadler, T.D., Ed.; Springer: Dordrecht, The Netherlands, 2011; pp. 1–9. [Google Scholar]
- Anderson, R.D.; Helms, J.V. The ideal of standards and the reality of schools: Needed research. J. Res. Sci. Teach. 2001, 38, 3–16. [Google Scholar] [CrossRef]
- Liakopoulou, M. The Professional Competence of Teachers: Which qualities, attitudes, skills and knowledge contribute to a teacher’s effectiveness? Int. J. Hum. Soc. Sci. 2011, 1, 66–78. [Google Scholar]
- Schreiber, J.-R. Competencies, Themes, Standards, Design of Lessons and Curricula. In Curriculum Framework: Education for Sustainable Development, 2nd ed.; Schreiber, J.-R., Siege, H., Eds.; Engagement Global gGmbH: Bonn, Germany, 2016; pp. 86–110. ISBN 978-3-06-230062-2. [Google Scholar]
- Sund, P.; Gericke, N. Teaching contributions from secondary school subject areas to education for sustainable development—A comparative study of science, social science and language teachers. Environ. Educ. Res. 2020, 26, 772–779. [Google Scholar] [CrossRef]
- Sadler, T.D.; Fowler, S.R. A Threshold Model of Content Knowledge Transfer for Socioscientific Argumentation. Sci. Educ. 2006, 90, 986–1004. [Google Scholar] [CrossRef]
- Sadler, T.D.; Zeidler, D.L. The Significance of Content Knowledge for Informal Reasoning Regarding Socioscientific Issues: Applying Genetics Knowledge to Genetic Engineering Issues. Sci. Educ. 2005, 89, 71–93. [Google Scholar] [CrossRef]
- Bertschy, F.; Künzli, C.; Lehmann, M. Teachers’ Competencies for the Implementation of Educational Offers in the Field of Education for Sustainable Development. Sustainability 2013, 5, 5067–5080. [Google Scholar] [CrossRef]
- Hellberg-Rode, G.; Schrüfer, G. Welche spezifischen professionellen Handlungskompetenzen benötigen Lehrkräfte für die Umsetzung von Bildung für Nachhaltige Entwicklung (BNE)? Ergebnisse einer explorativen Studie. Z. Didakt. Biol. (ZDB) 2016, 20, 1–29. [Google Scholar] [CrossRef]
- Sleurs, W. Competencies for ESD (Education for Sustainable Development) Teachers. A framework to Integrate ESD in the Curriculum of Teacher Training Institutes. Brussels, 2008. Available online: https://www.unece.org/fileadmin/DAM/env/esd/inf.meeting.docs/EGonInd/8mtg/CSCT%20Handbook_Extract.pdf (accessed on 21 August 2020).
- Hill, H.C.; Rowan, B.; Loewenberg Ball, D. Effects of Teachers’ Mathematical Knowledge for Teaching on Student Achievement. Am. Educ. Res. J. 2005, 42, 371–406. [Google Scholar] [CrossRef]
- Baumert, J.; Kunter, M. Stichwort: Professionelle Kompetenz von Lehrkräften. Z. Erzieh. 2006, 9, 469–520. [Google Scholar] [CrossRef]
- Neuman, K. Rasch-Analyse naturwissenschaftsbezogener Leistungstest. In Methoden in der Naturwissenschaftsdidaktischen Forschung; Krüger, D., Parchmann, I., Schecker, H., Eds.; Springer: Berlin/Heidelberg, Germany, 2014; pp. 355–369. ISBN 978-3-642-37826-3. [Google Scholar]
- OECD. PISA Data Analysis Manual: SAS, 2nd ed.; OECD Publishing: Paris, France, 2009; ISBN 978-92-64-05624-4. [Google Scholar]
- OECD. PISA 2015 Technical Report; OECD Publishing: Paris, France, 2017. [Google Scholar]
- Camilli, G.; Dossey, J.A. IRT scoring procedures for TIMSS data. MethodsX 2019, 6, 1506–1511. [Google Scholar] [CrossRef] [PubMed]
- International Association for the Evaluation of Educational Achievement (IEA). Methods and Procedures in Pirls; TIMSS & PIRLS International Study Center, Lynch School of Education, Boston College and International Association for the Evaluation of Educational Achievement (IEA): Chestnut Hill, PA, USA, 2017; ISBN 978-1-889938-44-8. [Google Scholar]
- Frick, J.; Kaiser, F.G.; Wilson, M. Environmental knowledge and conservation behavior: Exploring prevalence and structure in a representative sample. Pers. Individ. Differ. 2004, 37, 1597–1613. [Google Scholar] [CrossRef]
- Kaiser, F.G.; Frick, J. Development of an environmental knowledge measure: An application of the MRCML model. Diagnostica 2002, 48, 181–189. [Google Scholar] [CrossRef]
- Zwickle, A.; Koontz, T.M.; Slagle, K.M.; Bruskotter, J.T. Assessing sustainability knowledge of a student population. Int. J. Sustain. High. Educ. 2014, 15, 375–389. [Google Scholar] [CrossRef]
- Zamora-Polo, F.; Sánchez-Martín, J.; Corrales-Serrano, M.; Espejo-Antúnez, L. What Do University Students Know about Sustainable Development Goals? A Realistic Approach to the Reception of this UN Program Amongst the Youth Population. Sustainability 2019, 11, 3533. [Google Scholar] [CrossRef]
- Herman, B.C.; Feldman, A.; Vernaza-Hernandez, V. Florida and Puerto Rico Secondary Science Teachers’ Knowledge and Teaching of Climate Change Science. Int. J. Sci. Math. Educ. 2017, 15, 451–471. [Google Scholar] [CrossRef]
- Boon, H. Pre-Service Teachers and Climate Change: A Stalemate? Aust. J. Teach. Educ. 2016, 41, 39–63. [Google Scholar] [CrossRef]
- Plutzer, E.; McCaffrey, M.; Hannah, A.L.; Rosenau, J.; Berbeco, M.; Reid, A.H. Climate Confusion among U.S. Teachers. Science 2016, 351, 664–665. [Google Scholar] [CrossRef]
- Jiwa, R.A.M.; Esa, N. Student Teachers’ Knowledge of Biodiversity. Int. J. Sci. Res. Publ. 2015, 5, 193–196. [Google Scholar]
- Heeren, A.J.; Singh, A.; Zwickle, A.; Koontz, T.M.; Slagle, K.M.; McCreery, A.C. Is sustainability knowledge half the battle? Int. J. Sustain. High. Educ. 2016, 17, 613–632. [Google Scholar] [CrossRef]
- De Jong, T.; Ferguson-Hessler, M. Types and Qualities of Knowledge. Educ. Psychol. 1996, 31, 105–113. [Google Scholar] [CrossRef]
- Wagner, K.; Bergner, M.; Krause, U.-M.; Stark, R. Förderung wissenschaftlichen Denkens im Lehramtsstudium: Lernen aus eigenen und fremden Fehlern in multiplen und uniformen Kontexten. Z. Pädagog. Psychol. 2018, 32, 5–22. [Google Scholar] [CrossRef]
- Klein, M.; Wagner, K.; Klopp, E.; Stark, R. Fostering of Applicable Educational Knowledge in Student Teachers: Effects of an Error-based Seminar Concept and Instructional Support during Testing on Qualities of Applicable Knowledge. J. Educ. Res. Online 2017, 9, 88–114. [Google Scholar]
- Koch, S.; Barkmann, J.; Strack, M.; Sundawati, L.; Bögeholz, S. Knowledge of Indonesian University Students on the Sustainable Management of Natural Resources. Sustainability 2013, 5, 1443–1460. [Google Scholar] [CrossRef]
- Niens, J.; Richter-Beuschel, L.; Bögeholz, S. Land-Use and Health Issues in Malagasy Primary Education—A Delphi Study. Sustainability 2020, 12, 6212. [Google Scholar] [CrossRef]
- Richter-Beuschel, L.; Bögeholz, S. Student Teachers’ Knowledge to Enable Problem-Solving for Sustainable Development. Sustainability 2020, 12, 79. [Google Scholar] [CrossRef]
- Mangen, A.; van der Weel, A. The evolution of reading in the age of digitisation: An integrative framework for reading research. Literacy 2016, 50, 116–124. [Google Scholar] [CrossRef]
- Bagoly-Simó, P.; Hemmer, I. Bildung für Nachhaltige Entwicklung in den Sekundarschulen: Ziele, Einblicke in Die Realität, Perspektiven. 2017. Available online: https://www.ku.de/fileadmin/150305/Professur_fuer_Didaktik_der_Geographie/Forschung/Literatur/Bildung_f%c3%bcr_nachhaltige_Entwicklung_in_den_Sekundarschulen_%e2%80%93_Ziele__Einblicke_in_die_Realit%c3%a4t__Perspektiven_-_Bagoly-Simo___Hemmer.pdf (accessed on 20 September 2019).
- Retelsdorf, J.; Möller, J. Grundschule oder Gymnasium? Zur Motivation ein Lehramt zu studieren. Z. Pädagog. Psychol. 2012, 26, 5–17. [Google Scholar] [CrossRef]
- Weinert, F.E. Concept of Competence: A Conceptual Clarification. In Defining and Selecting Key Competencies; Rychen, D.S., Salganik, L.H., Eds.; Horgrefe & Huber: Seattle, WA, USA, 2001; pp. 45–65. [Google Scholar]
- Mayer, R.E. Cognitive, metacognitive, and motivational aspects of problem solving. Instr. Sci. 1998, 26, 49–63. [Google Scholar] [CrossRef]
- Richter-Beuschel, L.; Grass, I.; Bögeholz, S. How to Measure Procedural Knowledge for Solving Biodiversity and Climate Change Challenges. Educ. Sci. 2018, 8, 190. [Google Scholar] [CrossRef]
- Richter-Beuschel, L.; Derksen, C.; Bögeholz, S. Konzeptuelles Wissen angehender Lehrkräfte für Bildung für Nachhaltige Entwicklung. In BfN-Skripten: Treffpunkt Biologische Vielfalt XVI. Interdisziplinärer Forschungsaustausch im Rahmen des Übereinkommens über die Biologische Vielfalt; Korn, H., Dünnfelder, H., Schliep, R., Eds.; Bundesamt für Naturschutz: Bonn-Bad Godesberg, Germany, 2018; Volume 487, pp. 88–95. [Google Scholar]
- Rosenbaum, S.; Handtke, K.; Richter-Beuschel, L.; Grieger, M.; Bögeholz, S. Fragebogen zur Befähigung für ein Unterrichten von BNE; University of Goettingen: Goettingen, Germany, 2017. [Google Scholar]
- Lünemann, I.K. Selbstwirksamkeitserwartungen von Lehramtsstudierenden der Fächer Biologie, Erdkunde und Politik zum Unterrichten von Bildung für Nachhaltige Entwicklung. Master’s Thesis, Georg-August University, Goettingen, Germany, 2020. [Google Scholar]
- Biasutti, M.; Frate, S. A Validity and Reliability Study of the Attitudes toward Sustainable Development scale. Environ. Educ. Res. 2017, 23, 214–230. [Google Scholar] [CrossRef]
- Federal Ministry for the Environment, Nature Conservation and Nuclear Safety. Umweltbewusstsein in Deutschland 2008: Ergebnisse einer Repräsentativen Bevölkerungsumfrage; BMU: Berlin, Germany, 2008. [Google Scholar]
- Rasch, G. Probabilistic Models for Some Intelligence and Attainment Tests; University of Chicago Press: Chicago, IL, USA, 1960. [Google Scholar]
- Wu, M.L.; Adams, R.J.; Wilson, M.R.; Haldane, S.A. Acer ConQuest Version 2.0: Generalised Item Response Modelling Software; Acer: Camberwell, VIC, Australia, 2007. [Google Scholar]
- Ebel, R.L.; Frisbie, D.A. Essentials of Educational Measurement; Prentice-Hall: Englewood Cliffs, NJ, USA, 1986; ISBN 978-0132860062. [Google Scholar]
- Rush, B.R.; Rankin, D.C.; White, B.J. The impact of item-writing flaws and item complexity on examination item difficulty and discrimination value. BMC Med. Educ. 2016, 16. [Google Scholar] [CrossRef] [PubMed]
- Boone, W.J.; Staver, J.R.; Yale, M.S. Rasch Analysis in the Human Sciences; Springer: Dordrecht, The Netherlands, 2014; ISBN 978-94-007-6857-4. [Google Scholar]
- Field, A.P.; Miles, J.; Field, Z. Discovering Statistics Using R; Sage Publ.: London, UK, 2014; ISBN 978-1446200469. [Google Scholar]
- Masters, G. A Rasch model for partial credit scoring. Psychometrika 1982, 47, 149–174. [Google Scholar] [CrossRef]
- Andrich, D. A rating formulation for ordered response categories. Psychometrika 1978, 43, 561–573. [Google Scholar] [CrossRef]
- Pohl, S.; Carstensen, C.H. NEPS Technical Report—Scaling the Data of the Competence Tests (NEPS Working Paper No. 14). Bamberg: Otto-Friedrich-Universität, Nationales Bildungspanel. [National Educational Panel Study]. 2012. Available online: https://www.neps-data.de/Portals/0/Working%20Papers/WP_XIV.pdf (accessed on 28 April 2020).
- Binder, T.; Schmiemann, P.; Theyssen, H. Knowledge Acquisition of Biology and Physics University Students—The Role of Prior Knowledge. Educ. Sci. 2019, 9, 281. [Google Scholar] [CrossRef]
- Solaz-Portolés, J.J.; Sanjosé López, V. Types of knowledge and their relations to problem solving in science: Directions for practice. Educ. Sci. J. 2008, 6, 105–112. [Google Scholar]
- Fiebelkorn, F.; Menzel, S. Student Teachers’ Understanding of the Terminology, Distribution, and Loss of Biodiversity: Perspectives from a Biodiversity Hotspot and an Industrialized Country. Res. Sci. Educ. 2013, 43, 1593–1615. [Google Scholar] [CrossRef]
- KMK (Kultusministerkonferenz der Länder). Ländergemeinsame Inhaltliche Anforderungen für die Fachwissenschaften und Fachdidaktiken in der Lehrerbildung. Beschluss der Kultusministerkonferenz vom 16.10.2008 i. d. F. vom 16.05.2019; KMK: Hannover, Germany, 2019. [Google Scholar]
- Neugebauer, M. Wer entscheidet sich für ein Lehramtsstudium–und warum? Eine empirische Überprüfung der These von der Negativselektion in den Lehrerberuf. Z. Erzieh. 2013, 16, 157–184. [Google Scholar] [CrossRef]
- Burmeister, M.; Eilks, I. An understanding of sustainability and education for sustainable development among German student teachers and trainee teachers of chemistry. Sci. Educ. Int. 2013, 24, 167–194. [Google Scholar]
- European Academies’ Science Advisory Council (EASAC). Ecosystem Services, Agriculture and Neonicotinoids; EASAC policy report 26; EASAC Secretariat Deutsche Akademie der Naturforscher Leopoldina: Halle, Germany, 2015. [Google Scholar]
- Schoon, K.J.; Boone, W.J. Self-Efficacy and Alternative Conceptions of Science of Preservice Elementary Teachers. Sci. Educ. 1998, 82, 553–568. [Google Scholar] [CrossRef]
- Neuhaus, B.; Vogt, H. Dimensionen zur Beschreibung verschiedener Biologielehrertypen auf Grundlage ihrer Einstellung zum Biologieunterricht. Z. Didakt. Nat. 2005, 11, 73–84. [Google Scholar]
- Kagawa, F. Dissonance in students’ perceptions of sustainable development and sustainability. Implications for curriculum change. Int. J. Sustain. High. Educ. 2007, 8, 317–338. [Google Scholar] [CrossRef]
- Tolppanen, S.; Claudelin, A.; Kang, J. Pre-service Teachers’ Knowledge and Perceptions of the Impact of Mitigative Climate Actions and Their Willingness to Act. Res. Sci. Educ. 2020, 7, 233. [Google Scholar] [CrossRef]
- Mairesse, O.; Macharis, C.; Lebeau, K.; Turcksin, L. Understanding the attitude-action gap: Functional integration of environmental aspects in car purchase intentions. Psicológica 2012, 33, 547–574. [Google Scholar]
- Singer-Brodowski, M.; Etzkorn, N.; von Seggern, J. One Transformation Path Does Not Fit All—Insights into the Diffusion Processes of Education for Sustainable Development in Different Educational Areas in Germany. Sustainability 2019, 11, 269. [Google Scholar] [CrossRef]
- Eggert, S.; Bögeholz, S.; Oberle, M.; Sauer, M.; Schneider, S.; Surkamp, C. Herausforderung Interdisziplinäres Unterrichten in der Lehrerbildung—Das Göttinger Zertifikatsmodell. J. Lehr. 2018, 18, 51–55. [Google Scholar]


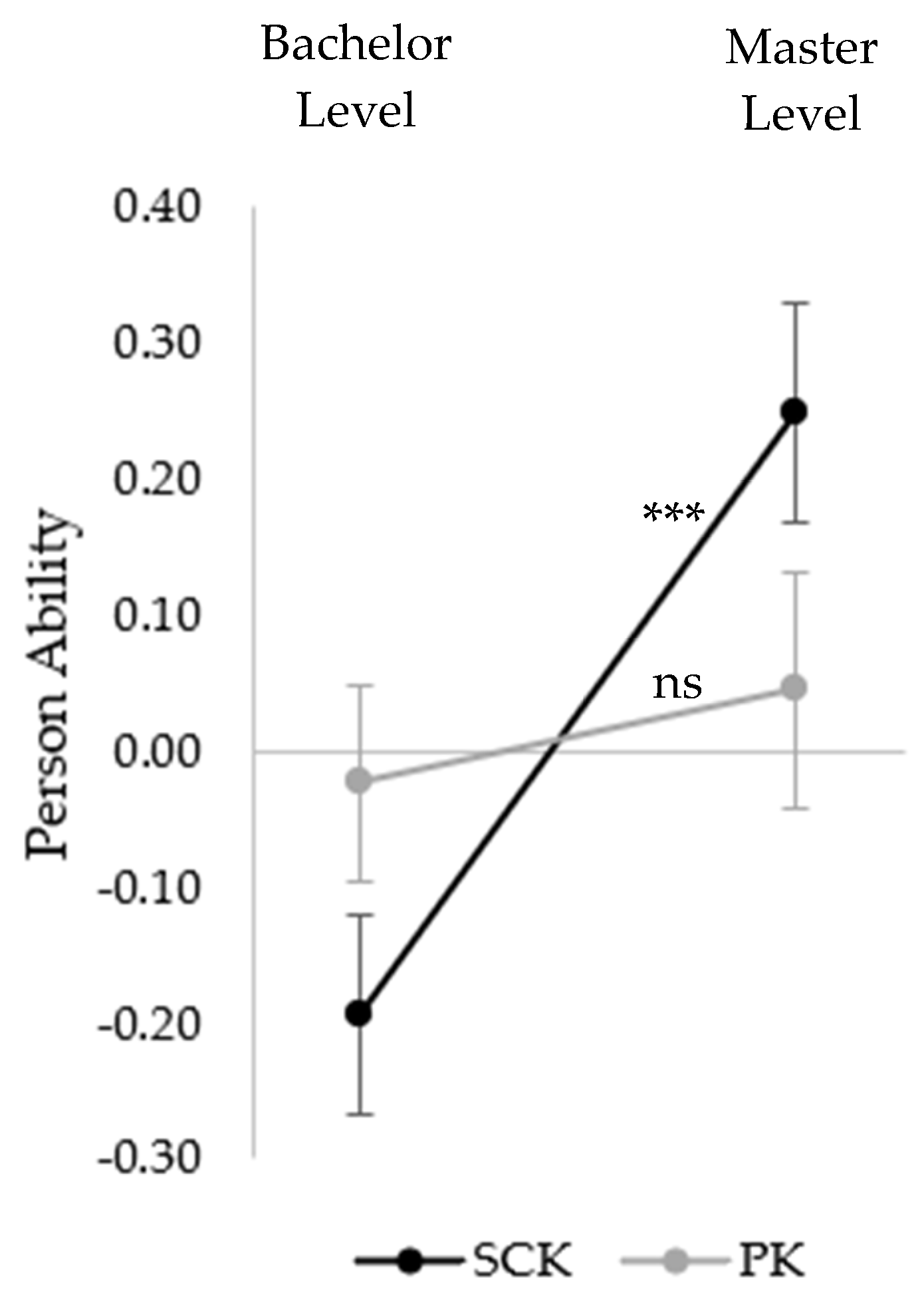
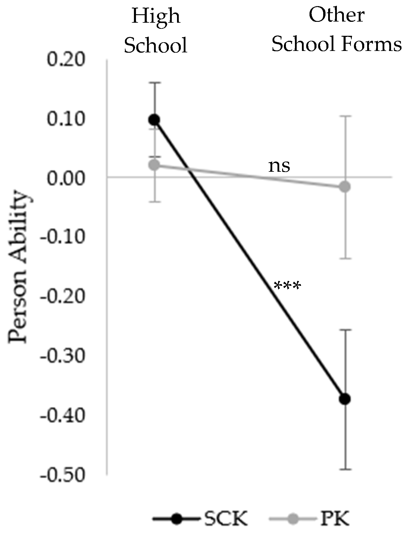
: item difficulty is lower than presented) (N = 314).
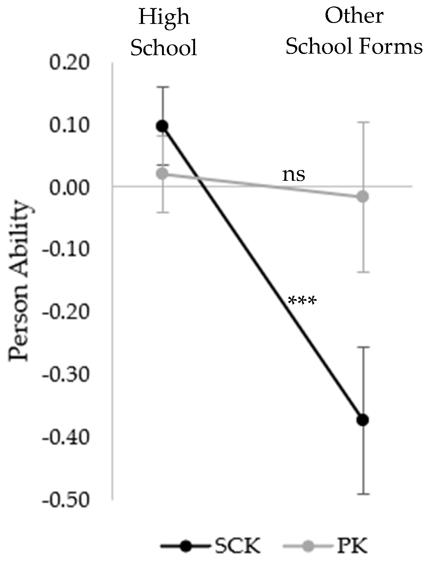
: item difficulty is lower than presented) (N = 314).


| Model | Deviance | Number of Parameters | Change in Deviance | Change in df | p | AIC | BIC |
|---|---|---|---|---|---|---|---|
| 1D | 22,493.13 | 60 | 22,613 | 22,838.09 | |||
| 2D | 22,281.05 | 62 | 212 | 2 | <0.001 | 22,405 | 22,637.51 |
| 3D | 22,273.71 | 65 | 8 | 3 | <0.05 | 22,403 | 22,647.42 |
| 2D Model | 3D Model | ||||
|---|---|---|---|---|---|
| Situational/Conceptual Knowledge | Procedural Knowledge | Situational Knowledge | Conceptual Knowledge | Procedural Knowledge | |
| EAP/PV | 0.63 | 0.68 | 0.60 | 0.56 | 0.66 |
| WLE | 0.60 | 0.67 | 0.47 | 0.39 | 0.67 |
| Situational Knowledge | Conceptual Knowledge | |
|---|---|---|
| Situational Knowledge | ||
| Conceptual Knowledge | 0.76 | |
| Procedural Knowledge | 0.06 | 0.08 |
| SCK (27 Items) | PK (32 Items) | |
|---|---|---|
| Item Separation Reliability | 0.98 | 0.83 |
| Variance (SE) | 0.35 (0.05) | 0.29 (0.04) |
| EAP/PV Reliability | 0.63 | 0.67 |
| WLE Person Separation Reliability | 0.60 | 0.67 |
| Average Item Difficulty (SE) | −0.89 (0.05) | 0.45 (0.02) |
| Item Difficulty range | −3.08–1.19 | −0.14–1.00 |
| wMNSQ range | 0.96–1.05 | 0.96–1.04 |
| Discrimination range | 0.22–0.42 | 0.22–0.38 |
| Validation Instrument (Number of Items per Scale; Number of Scoring Categories) | ||||
|---|---|---|---|---|
| Self-Efficacy Beliefs of ESD Teaching (29; 3) | Responsibility toward Climate Change and Biodiversity (6; 3) | Attitudes toward SD (18; 3) | Self-Assessed Knowledge Regarding SD (11; 5) | |
| Item Separation Reliability | 0.97 | 0.96 | 0.98 | 0.99 |
| Variance (SE) | 0.64 (0.06) | 1.46 (0.21) | 0.47 (0.06) | 0.77 (0.09) |
| EAP/PV Reliability | 0.88 | 0.72 | 0.75 | 0.80 |
| WLE Person Separation Reliability | 0.88 | 0.68 | 0.75 | 0.84 |
| Average Item Difficulty (SE) | −0.33 (0.03) | −0.65 (0.03) | −0.43 (0.04) | −0.06 (0.04) |
| Item Difficulty range | −2.45–0.77 | −1.55–0.17 | −1.68–0.78 | −1.25–1.23 |
| wMNSQ range | 0.75–1.22 | 0.87–1.12 | 0.77–1.25 | 0.76–1.39 |
| Discrimination range | 0.26–0.61 | 0.54–0.72 | 0.22–0.54 | 0.46–0.71 |
| Dimension | (a) Situational/Conceptual Knowledge | (b) Procedural Knowledge | Self-Efficacy Beliefs 1 | Responsibility 1 | Attitudes 1 |
|---|---|---|---|---|---|
| Self-Efficacy Beliefs | 0.002 | −0.14 | |||
| Responsibility | 0.04 | 0.18 | 0.35 | ||
| Attitudes | −0.01 | 0.08 | 0.34 | 0.55 | |
| Self-Assessed Knowledge | 0.26 | 0.10 | −0.03 | 0.11 | −0.02 |
© 2020 by the authors. Licensee MDPI, Basel, Switzerland. This article is an open access article distributed under the terms and conditions of the Creative Commons Attribution (CC BY) license (http://creativecommons.org/licenses/by/4.0/).
Share and Cite
Richter-Beuschel, L.; Bögeholz, S. Knowledge of Student Teachers on Sustainable Land Use Issues–Knowledge Types Relevant for Teacher Education. Sustainability 2020, 12, 8332. https://doi.org/10.3390/su12208332
Richter-Beuschel L, Bögeholz S. Knowledge of Student Teachers on Sustainable Land Use Issues–Knowledge Types Relevant for Teacher Education. Sustainability. 2020; 12(20):8332. https://doi.org/10.3390/su12208332
Chicago/Turabian StyleRichter-Beuschel, Lisa, and Susanne Bögeholz. 2020. "Knowledge of Student Teachers on Sustainable Land Use Issues–Knowledge Types Relevant for Teacher Education" Sustainability 12, no. 20: 8332. https://doi.org/10.3390/su12208332
APA StyleRichter-Beuschel, L., & Bögeholz, S. (2020). Knowledge of Student Teachers on Sustainable Land Use Issues–Knowledge Types Relevant for Teacher Education. Sustainability, 12(20), 8332. https://doi.org/10.3390/su12208332

