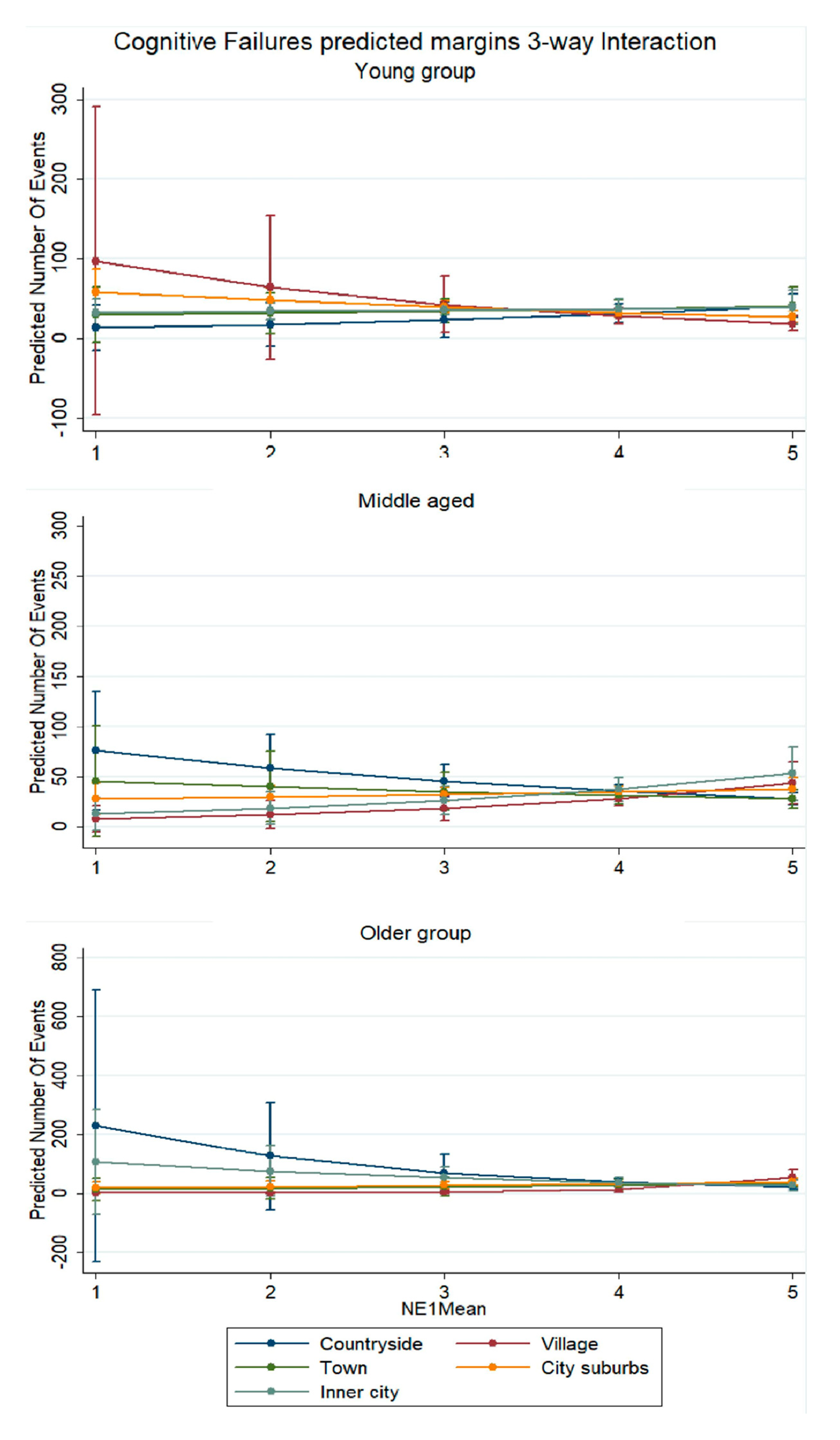
Neighbourhood Environment and Cognitive Vulnerability—A Survey Investigation of Variations Across the Lifespan and Urbanity Levels
- Supplementary File 1:
PDF-Document (PDF, 427 KiB)
Cassarino, M.; Bantry-White, E.; Setti, A. Neighbourhood Environment and Cognitive Vulnerability—A Survey Investigation of Variations Across the Lifespan and Urbanity Levels. Sustainability 2020, 12, 7951. https://doi.org/10.3390/su12197951
Cassarino M, Bantry-White E, Setti A. Neighbourhood Environment and Cognitive Vulnerability—A Survey Investigation of Variations Across the Lifespan and Urbanity Levels. Sustainability. 2020; 12(19):7951. https://doi.org/10.3390/su12197951
Chicago/Turabian StyleCassarino, Marica, Eleanor Bantry-White, and Annalisa Setti. 2020. "Neighbourhood Environment and Cognitive Vulnerability—A Survey Investigation of Variations Across the Lifespan and Urbanity Levels" Sustainability 12, no. 19: 7951. https://doi.org/10.3390/su12197951


