Abstract
Knowledge on growth and nutrient uptake characteristics of urban trees and effective strategies to grow trees can help accomplish the goal of urban afforestation initiatives in a sustainable way. Thus, the study investigated the effects of different vermicompost (VC) application placements on the growth and nutrient uptake of three contrasting tree species (fast-growing Betula platyphylla and Larix kaempferi and slow-growing Chamaecyparis obtusa) to provide implications for growing tree stocks for sustainable urban afforestation programs. Five placement methods were used in the greenhouse trial: no fertilization (CON), surface placement (VCs), subsurface placement at 6-cm depth (VCc), bottom placement (35-cm depth (VCb)), and mixed with soil (VCm). We measured the growth parameters such as height, root collar diameter (RCD), and biomass and analyzed foliar nutrient concentrations in response to different placement treatments of VC. Relative height growth was the highest at VCc (132% (B. platyphylla), 114% (L. kaempferi)) and VCs ((57%) C. obtusa). Significant improvement in aboveground and belowground biomass growth of all species at VCs and VCc compared to the other treatments was also observed. Generally, VC treatments significantly increased N concentration compared to CON in all species. In conclusion, fertilizing the fast- and slow-growing urban tree species using VCs and/or VCc is relevant to growing high quality planting stocks for sustainable urban afforestation purposes.
1. Introduction
Globally, city planners spend a huge amount of funds undertaking urban projects to afforest large tracks of urban and industrial lands [1,2] for beautification, increasing shade provision, ameliorating the “heat island” effect, and improving air quality. Urban afforestation initiatives focus on planting trees of superior phenotypic and genetic quality, with anticipation that planted seedlings will grow into mature, diverse, and sustainable urban forests. However, tree seedling performance, survival, and mortality, especially during transplanting phase, are greatly influenced by different interacting factors including soil conditions and climatic extremes. Urban soils, for instance, are highly variable within small spatial scales due to the different origin and patchy distribution of both natural and man-made materials such as gravel or construction waste [3,4,5,6], which can make the newly transplanted trees grow very slowly for the first few years after transplanting [7]. Besides abiotic factors, the problems of available tree species pool (i.e., tree species available that could potentially grow and colonize a focal area) make afforestation objectives even more difficult to achieve. Thus, research giving any information on growth characteristics of urban trees and effective strategies to grow planting stocks will help accomplish the goal of afforesting urban areas in a sustainable way.
To enhance post-transplant growth of urban trees and prevent mortality, a massive and indiscriminate use of inorganic fertilizers has long been evident in many countries [8,9,10,11], making afforestation initiatives unsustainable. As a response, vermicompost has recently gained much attention as an eco-friendly and excellent alternative to inorganic fertilizers [12,13,14]. Vermicompost, which results from decomposition process using different species of worms, is not only a valuable compost and biocontrol agent but also an effective way of solid waste management [14]. It is widely known that vermicompost is rich in humic acid, macro- and micro-nutrients with trace elements, and has high porosity and microbial activity [15,16,17]. These characteristics have already been shown to result in increased plant growth [18,19] and improved soil physical properties, such as soil aeration, soil aggregation, and water holding capacity [20,21]. However, there are also reported issues related to the improper use or application of vermicompost, including the presence of phytotoxic substances and heavy metals and high salt concentrations [22]. Thus, a better understanding of proper application and management of vermicompost are deemed necessary to simultaneously enhance post-transplant growth and prevent environmental pollution in urban areas.
Proper management of applied fertilizers can enhance plant growth and nutrient use efficiency [18], which can be achieved by selecting the appropriate fertilizer type, concentration, and time and placement of application [23,24]. For example, a recent study reported that the bottom placement (i.e., vermicompost placed under the root plug) resulted in the highest nitrogen (N) uptake by 23% and growth of plants by up to 48% compared to broadcasting (or surface) application methods [18]. This is also similar to inorganic fertilizer, that is, the traditional broadcasting method (in which granules are spread across the soil surface) decreased plant growth by 15–18% due to inefficient fertilization [25]. Such inefficiency was attributed to the loss of the greater amount of fertilizer due to rain, irrigation, and/or sublimation by sun radiation [10,26].
While much is known about the effects of vermicompost on plant growth in many vegetable crops, e.g., [27,28], information on its proven beneficial effects on the growth and nutrient uptake of urban tree species is relatively lacking. In this study, we used seedlings of Betula platyphylla Suk., Larix kaempferi (Lamb.) Carriere, and Chamaecyparis obtusa (Siebold & Succ.) Endl. as our experimental urban tree species. Their presence in urban areas has already been recognized [29,30,31,32], but to our knowledge, very little is known about their growth, fertilization management, and health under different placements of vermicompost application. In support of urban afforestation programs and in pursuit of sustainable forestry, information on how to fertilize these species using vermicompost can help urban forest managers to grow trees more effectively and efficiently.
Consequently, the present study aimed at analyzing the growth and nutrient uptake responses of fast-growing (B. platyphylla and L. kaempferi) and slow-growing (C. obtusa) urban tree species to different placements of vermicompost application. This is to provide information on effective ways of growing urban tree species under greenhouse conditions for sustainable urban afforestation programs. In this study, we hypothesized that the growth and nutrient responses are more evident at the bottom placement of vermicompost application than the other placement methods regardless of the tree species characteristics.
2. Materials and Methods
2.1. Study Site and Experimental Materials
In April 2018, a greenhouse experiment was conducted at Chungnam National University in Yuseong-gu, Daejeon, Republic of Korea (36°22′12′′ N, 127°21′17′′ E) until October 2018 (i.e., harvesting period). The mean temperature and relative humidity in the greenhouse were respectively 28.7 °C and 52.7%, which were measured at 12 p.m. and 6 p.m. daily (Figure S1).
We selected three contrasting species based on potential growth rate characteristics: (1) Betula platyphylla Suk., a deciduous broadleaf and fast-growing species, (2) Larix kaempferi (Lamb.) Carriere, a deciduous needle-leaf and fast-growing species, and (3) Chamaecyparis obtusa (Siebold & Succ.) Endl., an evergreen scale-leaf and slow-growing species.
We used a 35-L truncated pot with a depth of 46 cm and an inner surface diameter of 36 cm, in which each seedling was planted. Each pot received 1.5 L of VC (i.e., 767 g pot−1). In this study, we used commercial vermicompost (VC) (Vermifarm Company, Goyang-si, Gyeonggi-do), containing 5.45 g pot−1 N, 1.05 g pot−1 P, and 2.92 g pot−1 K. No inorganic fertilizers were added.
The soil samples (n = 3) used in the study were analyzed before the fertilization treatment using the same methods used in the study of [33]. Based on these analyses, the soil texture used in the study was sandy loam (74.7% sand, 16. 7% silt, and 8.6% clay) with a pH and organic matter content of 5.24 and 0.76%, respectively. The soil also had a total N of 0.10 g kg−1, available P of 10.69 mg kg−1, cation exchange capacity (CEC) of 3.79 cmolc kg−1, and exchangeable K+, Ca+, and Mg+ of 0.18, 1.79, and 1.78 cmolc kg−1, respectively.
2.2. Experimental Design
For each species, we randomized five VC application placement treatments (Figure 1): (1) no fertilization as control (CON), (2) surface placement (VCs), (3) subsurface placement at a 6-cm depth covered with soil (VCc), (4) bottom placement at a 35-cm depth from the surface of the pot (VCb), and (5) mixed with soil (VCm) with nine replications each. Pots were randomly placed in five lines in the greenhouse following a 1 m distance between the lines and a 0.8 m distance between the pots. We used a total of 135 seedlings (5 treatments × 9 replicates × 3 species) in this study.
Figure 1.
Placement methods of vermicompost (VC) used in this experiment. VCs, surface placement; VCc, subsurface placement at 6 cm depth covered with soil; VCb, bottom placement; VCm, mixed VC with soil.
One-year-old containerized seedlings of the three species, with an initial height of 38.3–54.7 cm and initial root collar diameter (RCD) of 4.0–5.4 mm, were used in the study. Roots were pruned to make their length uniform (ca. 10 cm) in all species before planting. The vermicompost at VCm and VCb were applied first before planting, while seedlings for VCs and VCc treatments were planted first before being subjected to treatments.
The watering system in the greenhouse was operated with an automatic water-flow irrigation, supplying 1 L pot−1 of water three times per week. An approximately 35% knitted shade cloth was set up on top of the clear plastic polyethylene sheeting to reduce the temperature, especially during summer. A chemical insecticide (type: Etofenprox and Imidacloprid, ratio: 2.5 or 5 g for every 5 L of water) was also sprayed on the trees once a month.
2.3. Growth Measurements
Measurement of tree height and RCD was done biweekly starting two weeks after planting, while the other growth parameters (i.e., biomass growth and allocation) were measured at the harvesting time (i.e., October). We harvested the trees and separated them into different plant components (i.e., root, stem, branch, and leaf). Roots were washed carefully to remove the soil, and fine roots (FR, <2 mm diameter) and coarse roots (CR, ≥2 mm root diameter) were then identified and measured. The relative height and RCD growth (%) of each species were calculated relative to height and RCD values at initial planting based on the data that was collected biweekly. The total biomass production was measured following the procedures in [34] after oven-drying all the harvested plant samples (by component) at 70 °C for 72 h to a constant weight. The branch biomass was not measured for C. obtusa due to its different leaf and branch morphology compared to the other two species.
2.4. Foliage Nutrient Analyses
For nutrient analysis, ten fully mature and healthy leaves of the three species were collected from each tree at harvesting time, oven-dried at 60 °C for 48 h, weighed, and then ground using a Wiley mill to pass through a 1 mm screen mesh. To digest organic matter of ground leaf samples, a block digester (BD-46, Lachat Instruments, Milwaukee, Wisconsin 53218, USA) was used with a combination of H2SO4 and HClO4. The N and P concentrations were analyzed using an automated ion analyzer (Quik Chem AE, Lachat Instruments, Milwaukee, Wisconsin 53218, USA). Atomic absorption spectrometer (AA280FS, Varian Inc., California, USA) was used to determine the foliar K concentration.
2.5. Vector Analysis
We used the vector analysis to simultaneously compare plant growth, nutrient concentration, and nutrient content in response to VC fertilization treatments through a vector diagram, following the procedures and interpretations presented in [35,36] (Figure S2). In a vector diagram, the nutrient content (x-axis) was plotted against nutrient concentration (y-axis). The z-axis was plotted representing the foliar weight.
2.6. Statistical Analysis
One-way analysis of variance (ANOVA) was carried out for each species to determine the effects of different placements of VC application on height and RCD growth, biomass growth and allocation, and nutrient concentrations. Duncan’s multiple comparison tests were conducted to evaluate comparisons among the treatments. Moreover, a repeated-measures analysis of variance (RM ANOVA) was employed to evaluate the significant difference in the treatment effects on height and RCD growths across time for each species. Linear regression analysis was applied to investigate the growth tendency of height and RCD at each VC fertilization treatment for all species. All the statistical analyses were done in the R Statistical Package Software (version R-3.5.1, Boston, Massachusetts 02110-1301, USA), following the 95% confidence level.
3. Results
3.1. Height and Root Collar Diameter Growth
There were significant time and treatment effects on the height and RCD growth of the three species (Table S1). During the first half of the experiment duration (i.e., 0–70th day), the effect of all VC treatments on height growth was generally faster and greater than CON in all species (Table 1, Figure 2). In RCD growth, the effects of VCs and VCc were similar for almost all species, which occurred the fastest and greatest among the treatments (Table 1, Figure 3).
Table 1.
Coefficients of relative height and root collar diameter (RCD) growth rates of each species and treatment across time (day) according to simple linear regression model (f(x) = ax, x is day (time) after treatment).
Figure 2.
Relative height growth trends of Betula platyphylla, Larix kaempferi, and Chamaecyparis obtusa at 0–140 days (a,c,e) and at harvesting time (b,d,f) under different placements of vermicompost (VC) application. CON, VCs, VCc, VCb, and VCm indicate control (no fertilizer), surface placement, subsurface placement at 6 cm depth covered with soil, bottom placement, and mixed VC with soil, respectively. Lower case letters indicate significant differences between treatments at α = 0.05. Vertical bars represent standard errors (n = 9).
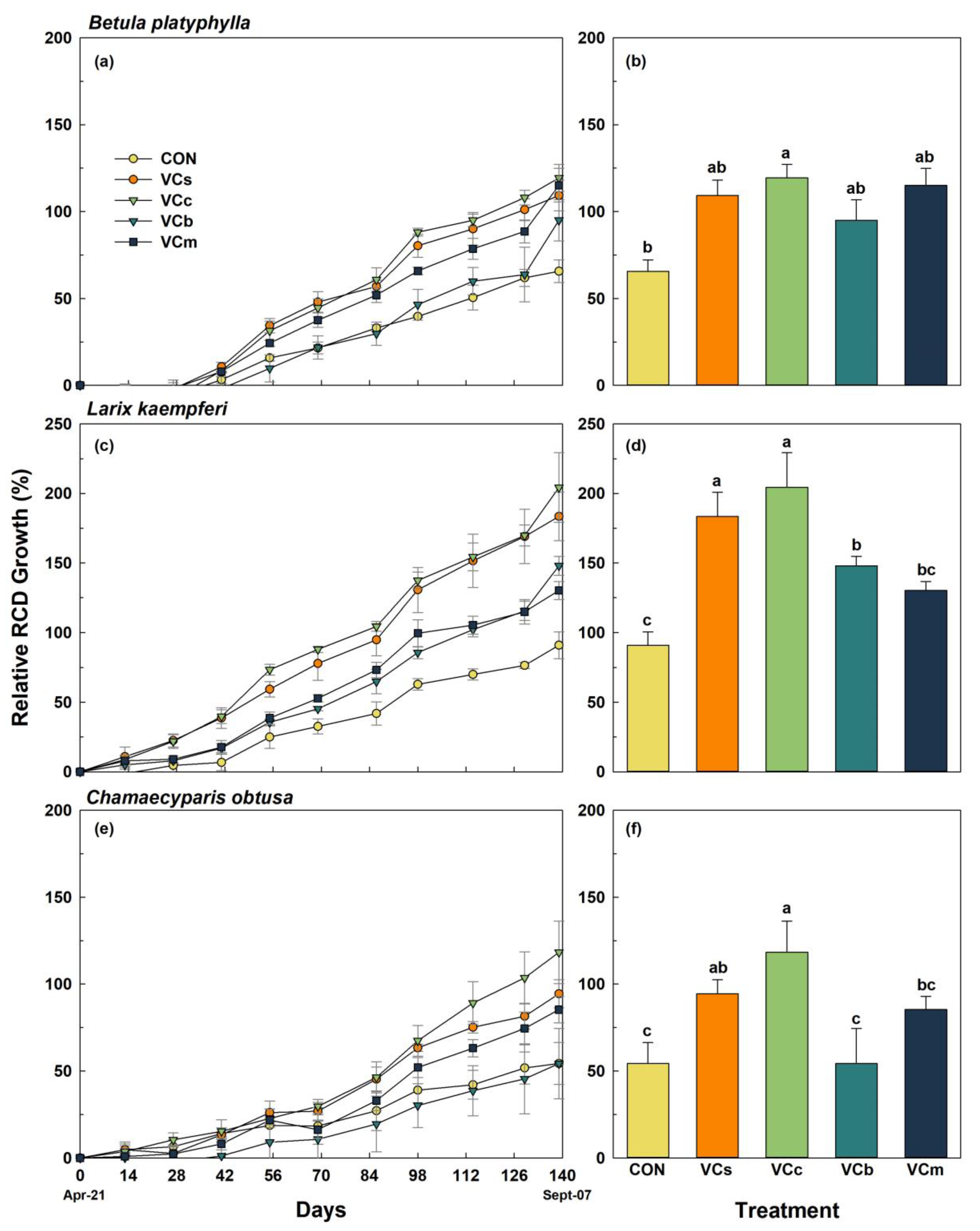
Figure 3.
Relative root collar diameter (RCD) growth trends of Betula platyphylla, Larix kaempferi, and Chamaecyparis obtusa at 0–140 days (a,c,e) and at harvesting time (b,d,f) under different placements of vermicompost (VC) application. Lower case letters indicate significant differences between treatments at α = 0.05. Vertical bars represent standard errors (n = 9).
As expected, B. platyphylla and L. kaempferi showed, respectively, the highest height and RCD, and the lowest was observed in C. obtusa for both parameters in all the treatments at the end of the experiment period (Table S1, Figure 2 and Figure 3). B. platyphylla grew the highest at VCc with 132% in height and 119% in RCD and the lowest at CON with 72% in height and 65% in RCD; no significant difference was detected among the other treatments. L. kaempferi also grew the greatest at VCc with 114% in height and 204% in RCD, but with only 30% in height and 90% in RCD at CON (Figure 2 and Figure 3). The effect of the treatments on height growth of C. obtusa was the greatest at VCs (i.e., 57%), whereas CON resulted in the lowest value (i.e., 34%).
3.2. Biomass Growth and Allocation
The effects of different placements of VC application on total biomass growth and allocation aboveground and belowground for the three species were significantly different across the treatments (Table S1, Figure 4). In all the treatments, L. kaempferi had the highest aboveground biomass (range: 19.0 g tree−1–44.6 g tree−1) and B. platyphylla had the intermediate biomass (range: 16.1 g tree−1–37.7 g tree−1); the lowest was observed in C. obtusa (range: 13.9 g tree−1–33.5 g tree−1). VCc and VCs resulted in the highest aboveground biomass for all species, next was VCm, and the lowest was at VCb and CON (Figure 4). The allocation of aboveground biomass was the highest in leaf, followed by the stem, and the lowest was observed in the branch in all the treatments and species (excluding branch in C. obtusa) (Figure 4).
Figure 4.
Biomass growth of (a) Betula platyphylla, (b) Larix kaempferi, and (c) Chamaecyparis obtusa under different placements of vermicompost (VC) application. Vertical bars represent standard errors (n = 9). Different upper- and lower-case letters denote statistically significant differences between treatments (α = 0.05; Duncan’s multiple range test) for total biomass (aboveground and belowground) and biomass by component, respectively.
For belowground biomass, the highest value was recorded in B. platyphylla (range: 9.6 g tree−1–22.1 g tree−1), followed by L. kaempferi (range: 7.7 g tree−1–15.3 g tree−1) and C. obtusa (range: 5.4 g tree−1–8.6 g tree−1) in all the treatments. Like the aboveground biomass, VCc or VCs gave the highest belowground biomass, and VCb or CON gave the lowest for all species (Figure 4).
3.3. Foliar N, P, and K Responses
For foliar N concentrations, the various placement methods of VC application showed significant differences for all species (Table 2 and Table S1). The VCb had significantly higher N concentration (1.95%) than the other treatments for B. platyphylla, whereas for the L. kaempferi, all the VC placement treatments (1.19–1.29%) showed similar significantly higher foliar N concentration compared to CON. For C. obtusa, the VCs and VCc gave the highest foliar N concentration, and the lowest was observed at CON. The foliar P and K concentrations did not vary across the treatments for all species (Table 2 and Table S1).
Table 2.
Foliar concentrations (%) of Nitrogen (N), Phosphorus (P), and Potassium (K) of Betula platyphylla, Larix kaempferi, and Chamaecyparis obtusa under different placements of vermicompost (VC) application.
Vector diagrams showed different responses of the three species to different placements of vermicompost application (Figure S3). Based on the length of the vectors, the VCb, VCc, and VCm had the greatest effect on foliar N levels and dry weight for B. platyphylla, L. kaempferi, and C. obtusa, respectively. The K tended to be diluted in most of the VC treatments, shifting towards vector A (see Figure S2).
4. Discussion
4.1. Effects of Different Placement Treatments on Growth and Foliar Nutrients
In general, we observed that most of the VC placement treatments resulted in significantly higher growth compared to CON in all species. While the positive effect of vermicompost on plant growth was expected, the significant variations in the magnitude of efficacy across different placements of VC application are important results of the present study. Contrary to our hypothesis, we found that the VCs and/or VCc generally resulted in the highest RCD, height, and biomass growth in all species, implying that the broadcasting and localized placement (i.e., full-circle) methods were the most effective placements for applying VC. To date and to our knowledge, there are very limited results about the effects of different placements of VC application in the existing body of literature. However, these results can be ascribed to the higher belowground biomass growth (fine root and coarse root) and allocation of the species grown at VCs and/or VCc treatments observed in this study. High biomass investment to roots may have allowed these species a greater soil exploration and, consequently, an increased overall plant growth. Roots also play a crucial role in controlling surface energy fluxes via soil interactions, and in moderating photosynthesis and biomass acclamation [37].
The results can also be explained by the amount or concentration of VC that is available in areas close to the root system. Previous literatures revealed that fertilization placed closer to the roots at 0–5 cm (i.e., surface to subsurface) and 10–15 cm deep placements induced lateral root and taproot growth, respectively [38]. Greatest root plasticity in development and architecture was also observed in the localized supply of N and P on plant growth, i.e., shoot biomass was significantly higher in 0–5 cm depth (surface) than 10–15 cm depth (bottom), and there were significantly fewer root tips in the latter treatment [39]. Thus, the response of VCm treatment seemed to have been due to the reduced concentration of nutrients that is available near the root system, thereby limiting the supply of the entire macro- and micro-nutrients and reducing plant uptake.
The foliar N concentration of seedlings grown under the VC placement treatments was significantly higher than those grown at CON, which indicates that N was more responsive to VC amendment compared to P and K in all species. Vector analysis also showed that VC addition tended to increase foliar dry weight and N content in all species (Figure S3). This suggests that N was the most limiting nutrient in the soil used among the three elements, with initial concentration of only 0.10 g kg−1. Our findings are consistent with some studies that attributed the result to the influence of high nutrient contents of vermicompost [40,41]. The improved nutrient uptake of seedlings grown under VC treatments can also be ascribed to the high mineralization rate of most vermicompost materials, controlling the solution concentration available in the soil for plant uptake [42]. This can further explain the observed better growth (e.g., increased height and RCD) of all VCs/VCc-fertilized seedlings compared to CON, particularly in L. kaempferi and C. obtusa. Foliar nitrate concentrations influence levels of photosynthetic pigments, photosynthetic rate and the maximum quantum efficiency (Fv/Fm) of photosystem II (PSII), and other physiological parameters [43,44]. Besides the adequate nutrients and humic acids contained in vermicompost, the enhanced N uptake can also be attributed to the increased biological activity caused by the VC [15,18].
Overall, these favorable effects can be ascribed to the abundance of humic acids, micro- and macro-nutrients in plant-available forms [15], and microbial community [16] in VC. For example, a meta-analysis showed that vermicompost application resulted in significant increases in shoot and root biomass by 57–78%, which was mainly attributed to highly available stored nutrients in vermicompost [45]. The responses of the three species to VC treatments may have been caused not only by the availability of adequate nutrients in VC but by the improvement of physicochemical properties of the infertile soil used. Vermicompost application can improve bulk density and total porosity of the soil [46] and soil infiltration [19]. This improvement in soil properties can thus provide a better soil medium for root growth. However, further investigations on the change in physicochemical properties of soil used across the treatments are recommended to validate these speculations.
4.2. Implications for Sustainable Urban Afforestation
The highest growth improvement in the studied species under VCs and/or VCc application methods are interesting results that can help urban tree producers to effectively and efficiently fertilize planting stocks for afforesting a sustainable city. Results are also relevant to growing tree stocks of superior quality for the establishment and maintenance of urban agroforestry farms, botanical gardens, and indoor green spaces. Studies have shown that plants that have been well-fertilized in the nursery stage are likely to better tolerate harsh conditions in urban areas in the first few years after planting [47,48]. One potential reason could be the availability of the internal reserves of nutrients and photosynthates in their plant body, allowing them to better tolerate and prepare poor growing conditions in the first year after being transplanted to urban areas. Thus, VCs/VCc fertilization of urban trees can not only ensure enhanced plant growth but can also shorten the time required to reach the mature functional size of urban trees.
The result on nutrient uptake responses of the studied tree species to VC application also indicates that VC is a good compost material to increase the supply or availability of nutrients in infertile soil medium, which is typical of urban soil conditions.
Further, it was shown that, although VC addition can promote better plant growth, application of VC can also pose a threat to terrestrial and aquatic ecosystems, especially when misused. For example, if it is not properly applied and managed, the potential leaching of P from VC-amended soil can be a major environmental concern leading to eutrophication of water bodies [49]. Thus, the use of the appropriate placement method of VC application (i.e., VCs/VCc) should be a cautious practice of VC application for tree growth in urban areas, particularly in nurseries, orchards, and fruit tree farms.
5. Conclusions
Growth and nutrient uptake generally improved with vermicompost application, but the magnitude of the effects varied across the VC placement treatments in all species. The fast-growing B. platyphylla and L. kaempferi showed better responses to VC compared to slow-growing C. obtusa in terms of RCD, height, biomass growth and allocation, and N uptake. Although the effects of vermicompost were all positive across application placement methods, VCs and/or VCc treatments have been shown to be the most effective methods to fertilize the three species. Further, the use of VC as an ameliorating material has shown to make their growth in infertile soil conditions a little higher and faster than expected. Fertilizing fast- and slow-growing urban tree species using VCs and/or VCc is relevant to growing urban tree stocks for sustainable urban afforestation programs. However, long-term and field trial investigations on the effects of VC amendment to soil’s physicochemical characteristics are required to better understand the long-term effects of the VC application method on growth and nutrient uptake of urban tree species.
Supplementary Materials
The following are available online at https://www.mdpi.com/2071-1050/12/14/5822/s1, Table S1: The p-values of one-way ANOVA for growth parameters and foliar nutrient concentrations; Figure S1: Monthly mean temperature and relative humidity; Figure S2: Vector diagram interpretation; Figure S3: Results of the vector analysis.
Author Contributions
Conceptualization, J.M.S. and B.B.P.; methodology, B.B.P. and H.T.T.D.; software, S.H.H. and H.T.T.D.; validation, J.O.H. and J.Y.A.; formal analysis, H.T.T.D.; investigation, S.H.H. and J.M.S.; resources, W.B.Y. and J.M.S.; data curation, J.M.S. and H.T.T.D.; writing—original draft preparation, H.T.T.D. and J.M.S.; writing—review and editing, J.O.H. and B.B.P.; visualization, H.T.T.D. and J.Y.A.; supervision, B.B.P.; project administration, W.B.Y. and B.B.P.; funding acquisition, B.B.P. All authors have read and agreed to the published version of the manuscript.
Funding
This study was carried out with the support of ‘R&D Program for Forest Science Technology (Project No. 2020173C10-2023-AD01) and (Project No. 2018112D10-2020-BB01)’ provided by the Korea Forest Service (Korea Forestry Promotion Institute).
Acknowledgments
We thank our colleagues (Aung Aung, Afroja Rahman, Min Seok Cho) for their assistance in the field and laboratory work.
Conflicts of Interest
The authors declare no conflict of interest.
References
- Pataki, D.E.; Carreiro, M.M.; Cherrier, J.; Grulke, N.E.; Jennings, V.; Pincetl, S.; Pouyat, R.V.; Whitlow, T.H.; Zipperer, W.C. Coupling biogeochemical cycles in urban environments: Ecosystem services, green solutions, and misconceptions. Front. Ecol. Environ. 2011, 9, 27–36. [Google Scholar] [CrossRef]
- Oldfield, E.E.; Warren, R.J.; Felson, A.J.; Bradford, M.A. Challenges and future directions in urban afforestation. J. Appl. Ecol. 2013, 50, 1169–1177. [Google Scholar] [CrossRef]
- Lehmann, A.; Stahr, K. Nature and significance of anthropogenic urban soils. J. Soils Sediments 2007, 7, 247–260. [Google Scholar] [CrossRef]
- Roman, L.A.; Battles, J.J.; McBride, J.R. Determinants of establishment survival for residential trees in Sacramento County, CA. Landsc. Urban. Plan. 2014, 129, 22–31. [Google Scholar] [CrossRef]
- Pregitzer, C.C.; Sonti, N.F.; Hallett, R.A. Variability in urban soils influences the health and growth of native tree seedlings. Ecol. Restor. 2016, 34, 106–116. [Google Scholar] [CrossRef]
- Pouyat, R.V.; Szlavecz, K.; Yesilonis, I.D.; Groffman, P.M.; Schwarz, K. Chemical, physical, and biological characteristics of urban soils. In Urban Ecosystem Ecology: Agronomy Monograph 55; Aitkenhead-Peterson, J., Volder, A., Eds.; American Society of Agronomy, Inc., Crop Science Society of America, Inc., Soil Science Soceity of America, Inc.: Madison, WI, USA, 2010; pp. 119–152. [Google Scholar]
- Harris, J.R.; Day, S.D.; Kane, B. Nitrogen fertilization during planting and establishment of the urban forest: A collection of five studies. Urban For. Urban Green. 2008, 7, 195–206. [Google Scholar] [CrossRef]
- Miller, R.W. Practical application: Are we asking the right question and looking in the right places? In Tree and Shrub Fertilization; Siewert, A., Rao, B., and Marion, D., Eds.; Dixon Graphics Publishing: Champaign, IL, USA, 2003; pp. 15–20. [Google Scholar]
- Sharenbroch, B.C.; Lloyd, J.E. A literature review of nitrogen availability indices for use in urban landscapes. J. Arboric. 2004, 30, 214–229. [Google Scholar]
- Rahman, K.M.A.; Zhang, D.F. Effects of Fertilizer Broadcasting on the Excessive Use of Inorganic Fertilizers and Environmental Sustainability. Sustainability 2018, 10, 759. [Google Scholar] [CrossRef]
- Marion, D.F. Tree fertilization in the 21st century: Where to from here? In Tree and Shrub Fertilization; Siewert, A., Rao, B., and Marion, D., Eds.; Dixon Graphics Publishing: Champaign, IL, USA, 2003; pp. 3–5. [Google Scholar]
- Hussain, N.; Abbasi, S. Efficacy of the vermicomposts of different organic wastes as “Clean” fertilizers: State-of-the-art. Sustainability 2018, 10, 1205. [Google Scholar] [CrossRef]
- Alvarez, J.M.; Pasian, C.; Lal, R.; Lopez, R.; Diaz, M.J.; Fernandez, M. Morpho-physiological plant quality when biochar and vermicompost are used as growing media replacement in urban horticulture. Urban For. Urban Green. 2018, 34, 175–180. [Google Scholar] [CrossRef]
- Singh, A.; Singh, G.S. Vermicomposting: A sustainable tool for environmental equilibria. Environ. Qual Manag. 2017, 27, 23–40. [Google Scholar] [CrossRef]
- Joshi, R.; Singh, J.; Vig, A.P. Vermicompost as an effective organic fertilizer and biocontrol agent: Effect on growth, yield and quality of plants. Rev. Environ. Sci. Bio 2015, 14, 137–159. [Google Scholar] [CrossRef]
- Farrell, M.; Griffith, G.W.; Hobbs, P.J.; Perkins, W.T.; Jones, D.L. Microbial diversity and activity are increased by compost amendment of metal-contaminated soil. FEMS Microbiol. Ecol. 2009, 71, 94–105. [Google Scholar] [CrossRef]
- Jouquet, E.; Bloquel, E.; Doan, T.T.; Ricoy, M.; Orange, D.; Rumpel, C.; Duc, T.T. Do Compost and Vermicompost Improve Macronutrient Retention and Plant Growth in Degraded Tropical Soils? Compost. Sci. Util. 2011, 19, 15–24. [Google Scholar] [CrossRef]
- Ebrahimi, E.; Ghorbani, R.; von Fragstein Niemsdorff, P. Effect of vermicompost placement on nutrient use efficiency and yield of tomato (Lycopersicum escuslentum). Biol. Agric. Hortic. 2020, 36, 44–52. [Google Scholar] [CrossRef]
- Arancon, N.Q.; Edwards, C.A.; Babenko, A.; Cannon, J.; Galvis, P.; Metzger, J.D. Influences of vermicomposts, produced by earthworms and microorganisms from cattle manure, food waste and paper waste, on the germination, growth and flowering of petunias in the greenhouse. Appl. Soil. Ecol. 2008, 39, 91–99. [Google Scholar] [CrossRef]
- Adhikary, S. Vermicompost, the story of organic gold: A review. Agric. Sci. 2012, 03, 905–917. [Google Scholar] [CrossRef]
- Baligar, V.C.; Fageria, N.K.; He, Z.L. Nutrient use efficiency in plants. Commun. Soil. Sci. Plan. 2001, 32, 921–950. [Google Scholar] [CrossRef]
- Lim, P.N.; Wu, T.Y.; Clarke, C.; Daud, N.N.N. A potential bioconversion of empty fruit bunches into organic fertilizer using Eudrilus eugeniae. Int. J. Environ. Sci. Technol. 2015, 12, 2533–2544. [Google Scholar] [CrossRef]
- Zheng, W.K.; Liu, Z.G.; Zhang, M.; Shi, Y.F.; Zhu, Q.; Sun, Y.B.; Zhou, H.Y.; Li, C.L.; Yang, Y.C.; Geng, J.B.A. Improving crop yields, nitrogen use efficiencies, and profits by using mixtures of coated controlled-released and uncoated urea in a wheat-maize system. Field Crop. Res. 2017, 205, 106–115. [Google Scholar] [CrossRef]
- Shen, J.B.; Li, C.J.; Mi, G.H.; Li, L.; Yuan, L.X.; Jiang, R.F.; Zhang, F.S. Maximizing root/rhizosphere efficiency to improve crop productivity and nutrient use efficiency in intensive agriculture of China. J. Exp. Bot 2013, 64, 1181–1192. [Google Scholar] [CrossRef]
- International Fertililizer Development Centre (IFDC). Fertilizer Deep Placement (FDP); IFDC: Muscle Shoals, AL, USA, 2013; Available online: https://ifdc.org/2013/09/23/fertilizer-deep-placement/ (accessed on 6 May 2020).
- Bakhtiari, M.R.; Ghahraei, O.; Ahmad, D.; Yazdanpanah, A.R.; Jafari, A.M. Selection of fertilization method and fertilizer application rate on corn yield. Agric. Eng. Int. Cigr. J. 2014, 16, 10–14. [Google Scholar] [CrossRef]
- Zhao, H.T.; Li, T.P.; Zhang, Y.; Hu, J.; Bai, Y.C.; Shan, Y.H.; Ke, F. Effects of vermicompost amendment as a basal fertilizer on soil properties and cucumber yield and quality under continuous cropping conditions in a greenhouse. J. Soil. Sediment. 2017, 17, 2718–2730. [Google Scholar] [CrossRef]
- Mahmud, M.; Abdullah, R.; Yaacob, J.S. Effect of Vermicompost Amendment on Nutritional Status of Sandy Loam Soil, Growth Performance, and Yield of Pineapple (Ananas comosus var. MD2) under Field Conditions. Agronomy 2018, 8, 183. [Google Scholar] [CrossRef]
- Muhammad, S.; Wuyts, K.; Nuyts, G.; De Wael, K.; Samson, R. Characterization of epicuticular wax structures on leaves of urban plant species and its association with leaf wettability. Urban For. Urban Green. 2020, 47. [Google Scholar] [CrossRef]
- Wang, Q.; Zhang, D.; Zhou, W.; He, X.Y.; Wang, W.J. Urbanization led to a decline in glomalin-soil-carbon sequestration and responsible factors examination in Changchun, Northeastern China. Urban For. Urban Green. 2020, 48. [Google Scholar] [CrossRef]
- Kimm, H.; Ryu, Y. Seasonal variations in photosynthetic parameters and leaf area index in an urban park. Urban For. Urban Green. 2015, 14, 1059–1067. [Google Scholar] [CrossRef]
- Gilman, E.F. Trees for Urban. and Suburban Landscapes; Delmar Publishers: Albany, NY, USA, 1997; pp. 19–104. [Google Scholar]
- Dao, H.T.T. Effects of Organic and Inorganic Fertilizer in Different Application Methods on Growth and Nutrient Responses of Betula Platyphylla, Larix Kaempferi, and Chamaecyparis Obtusa. Master’s Thesis, Chungnam National University, Daejeon, Korea, August 2019. [Google Scholar]
- Sestak, Z.; Catsky, J.; Jarvis, P.G. Plant photosynthetic production. Manual of methods. Q. Rev. Biol. 1971, 47, 235. [Google Scholar]
- Haase, D.L.; Rose, R. Vector Analysis and its use for interpreting plant nutrient shifts in response to silvicultural treatments. Science 1995, 41, 54–66. [Google Scholar] [CrossRef]
- Timmer, V.R.; Stone, E.L. Comparative foliar analysis of young balsam fir fertilized with nitrogen, phosphorus, potassium, and lime. Soil. Sci. Soc. Am. J. 1978, 42, 125–130. [Google Scholar] [CrossRef]
- Drewniak, B.A. Simulating dynamic roots in the energy exascale earth system land model. J. Adv. Model Earth Syst. 2019, 11, 338–359. [Google Scholar] [CrossRef]
- Su, W.; Liu, B.; Liu, X.W.; Li, X.K.; Ren, T.; Cong, R.H.; Lu, J.W. Effect of depth of fertilizer banded-placement on growth, nutrient uptake and yield of oilseed rape (Brassica napus L.). Eur. J. Agron. 2015, 62, 38–45. [Google Scholar] [CrossRef]
- Weligama, C.; Tang, C.; Sale, P.W.G.; Conyers, M.K.; Liu, D.L. Localised nitrate and phosphate application enhances root proliferation by wheat and maximises rhizosphere alkalisation in acid subsoil. Plant. Soil 2008, 312, 101–115. [Google Scholar] [CrossRef]
- Nurhidayati, N.; Machfudz, M.; Murwani, I. Direct and residual effect of various vermicompost on soil nutrient and nutrient uptake dynamics and productivity of four mustard Pak-Coi (Brassica rapa L.) sequences in organic farming system. Int. J. Recycl. Org. Waste Agric. 2018, 7, 173–181. [Google Scholar] [CrossRef]
- Jat, R.S.; Ahlawat, I.P.S. Direct and residual effect of vermicompost, biofertilizers and phosphorus on soil nutrient dynamics and productivity of chickpea-fodder maize sequence. J. Sustain. Agric. 2006, 28, 41–54. [Google Scholar] [CrossRef]
- Comerford, N.B. Soil factors affecting nutrient bioavailability. In Ecological Studies, Nutrient Acquisition by Plants an Ecological Perspective; Bassiri, R.H., Ed.; Springer: Berlin, Germany, 2005; Volume 181, pp. 1–7. [Google Scholar]
- Tang, Z.; Xu, W.; Zhou, G.; Bai, Y.; Li, J.; Tang, X.; Xie, Z. Patterns of plant carbon, nitrogen, and phosphorus concentration in relation to productivity in China’s terrestrial ecosystems. Proc. Natl. Acad. Sci. USA 2018, 115, 4033–4038. [Google Scholar] [CrossRef] [PubMed]
- Agnihotri, A.; Seth, C.S. Exogenously applied nitrate improves the photosynthetic performance and nitrogen metabolism in tomato (Solanum lycopersicum L. cv Pusa Rohini) under arsenic (V) toxicity. Physiol. Mol. Biol. Plants 2016, 22, 341–349. [Google Scholar] [CrossRef]
- Blouin, M.; Barrere, J.; Meyer, N.; Lartigue, S.; Barot, S.; Mathieu, J. Vermicompost significantly affects plant growth. A meta-analysis. Agron. Sustain. Dev. 2019, 39, 34. [Google Scholar] [CrossRef]
- Azarmi, R.; Giglou, M.T.; Taleshmikail, R.D. Influence of vermicompost on soil chemical and physical properties in tomato (Lycopersicum esculentum) field. Afr. J. Biotechnol. 2008, 7, 2397–2401. [Google Scholar]
- Smith, E. Tree growth as influenced by fertilizer treatment. In Tree and Shrub Fertilization; Siewert, A., Rao, B., Marion, D., Eds.; Dixon Graphics Publishing: Champaign, IL, USA, 2003; pp. 79–81. [Google Scholar]
- Ferrini, F.; Giuntoli, A.; Nicese, F.P.; Pellegrini, S.; Vignozzi, N. Effect of fertilization and backfill amendments on soil characteristics, growth and leaf gas exchanges of English oak (Quercus robur L.). J. Arboric. 2005, 31, 182–190. [Google Scholar]
- Rashmi, I.; Biswas, A.; Kartika, K.; Kala, S. Phosphorus leaching through column study to evaluate P movement and vertical distribution in black, red and alluvial soils of India. J. Saudi Soc. 2020, 19, 241–248. [Google Scholar] [CrossRef]
© 2020 by the authors. Licensee MDPI, Basel, Switzerland. This article is an open access article distributed under the terms and conditions of the Creative Commons Attribution (CC BY) license (http://creativecommons.org/licenses/by/4.0/).



