Abstract
In this paper, onsite measurements and a subjective questionnaire were conducted to study the thermal environment and heating condition of bedrooms during the winter in rural areas in China’s hot summer and cold winter (HSCW) region. Indoor and outdoor thermal environmental parameters were measured to evaluate the thermal conditions of bedrooms. Thermal sensation/tendency/acceptance, heating, and health condition were investigated to complete the analysis of attitudes of local residents on the thermal environment of bedrooms, heating and health issues, as well as the analysis of buildings. The observed results demonstrate that occupants in this region have a strong tolerance to low-temperature environments with the 80% acceptable lower temperature of 4.7 °C and a neutral temperature of 10.7 °C, with an average clothing insulation over 2.2 clo. Oversized volume and acreage of buildings and windows induce a lower temperature in the bedroom. Infants have a significant effect on heating requirements, including heating duration and temperature setpoint. Local residents are highly concerned about the costs, safety, and health related to heating and thermal environments. All evidence obtained through this investigation shows that it is beneficial to formulate regulations for the shape, envelope, and centralized heating policy for rural residential buildings in the HSCW region.
1. Introduction
People in China are paying increasing attention to the thermal comfort of the residential/living environment while their personal income continues to increase [,]. Wang et al. analyzed the spatiotemporal changes in human-perceived temperatures in the North China Plain, represented by a heat index in summer and wind chill temperature in winter, and quantified the effects of urbanization on temperature changes based on the data from 56 meteorological stations. The results showed that urban areas experience stronger warming trends than non-urban areas, demonstrating the notable effects of urbanization []. Xu et al. [] proposed an automatic workflow to optimize urban spatial forms with the aim of improving outdoor thermal comfort conditions as characterized by the universal thermal climate index, and applied this method in Kashgar, China. Ma et al. [] conducted field measurements and numerical simulations to analyze thermal sensation in a tourism area in Fo Shan city to provide the best schedule of a day to visit this region in summer. Yin et al. [] investigated the impact of shading strategies and configurations in traditional shophouse neighborhoods on outdoor thermal comfort. According to studies of thermal environment/comfort across China, the popularity of heating, ventilation and air conditioning (HVAC) devices is increasing in residential buildings as well as the corresponding expenditure and energy consumption as presented in official reports [,]. Investigations on the indoor thermal environment/comfort are popular these days because of its close relationship with the utilization of HVAC devices, which affects the energy consumption of buildings and working efficiency of indoor staffs [,], but most of these studies focused on urban areas [,,,,,,,,].
The hot summer and cold winter (HSCW) region in China covers the area alongside the Yangtze River Valley, which is one of the most economically developed areas of China, as shown in Figure 1. This region has unique climatic characteristics, with a maximum temperature over 40 °C in summer and minimum temperature below −5 °C in winter. Under the premise of continuous economic development, the indoor environment of residential buildings in urban areas continues to improve, while the situation in rural areas has not significantly improved [,,,,,,,]. One of the dilemmas in the rural indoor thermal environment is that rural residents in the HSCW region cannot ensure the quality of the indoor environment during winter due to the absence of centralized heating.
Figure 1.
Major cities in China′s hot summer and cold winter region. Edited and drawn by authors; Resource from National Geomatics Center and National Public Service Platform for Standards Information of China (http://www.ngcc.cn and http://www.std.gov.cn).
Many studies of indoor thermal environment/comfort were conducted in urban areas. Wang et al. [] recommended an urban heating temperature setpoint (17–18 °C) based on a lumped-parameter four-node steady-state model, and suggested the utilization of the new heating mode in the HSCW urban region. Lin et al. [] emphasized that a lower indoor temperature contributed the most to a poor indoor thermal environment. Cao et al. [] found that the clothing insulation level of Shanghai occupants was similar to Harbin (a typical megacity in the severe cold climatic area of China), and the argument of that paper is that centralized heating in north China reduced residents’ reliance on heavy clothing, but it ignored the adaptability caused by long-term home-staying duration in the long, cold winter.
Details of the previous related research are given in Table 1, and the temperatures of those studies as measured in the urban areas are not far away from the comfort zone as defined by the American Society of Heating, Refrigerating and Air-Conditioning Engineers (ASHRAE). This means the indoor thermal environment of urban residential buildings in the HSCW region has been continuously improving. However, the harsh indoor environment of rural buildings has not significantly improved compared to urban areas [,,,,,,], and this difference may increase while community-level centralized heating is increasingly being provided in urban areas in the HSCW region [,,].
Currently, most of the residential buildings in rural areas are nature-ventilated [,,]. Hence, residents can keep the thermal comfort of indoor space by opening exterior windows during hot summers. In most cases, they do not have an effective way to keep warm besides wearing more clothes in the absence of effective heating, when the temperature falls far lower than the comfort standard [,]. A poor indoor thermal environment causes problems, but the reckless improvement of it also leads to potential risks. In recent years, household electrical heating facilities were widely installed and utilized in rural areas in the HSCW region and, thus, this unconventional heating in rural residential buildings represents a considerable percentage of the power load of total energy consumption of rural residential buildings (about 18%–45% for a single family using electrical heating facilities), with a huge decline of biomass energy consumption (mainly dried straw, wood, and homemade coal) from 232 Mtce (1 Mtce = 29.3076 pJ) in 2001 to 100 Mtce in 2015 []. Iwaro and Mwasha [] indicated that appropriate policies and regulations could improve the efficiency of buildings without additional energy consumption. Based on Iwaro’s point, an educated guess can be drawn that appropriate government decisions and policies could help achieve better indoor thermal environments in that region while conserving energy. This means considerable energy savings for developing countries like China, which is undergoing rapid industrialization and urbanization. Centralized heating, as a basic policy, has been promoted and implemented in areas north of Qinling–Huaihe (heating area) in China. Due to its unified management by the government and good performance, it has been demonstrated to be a better heating method []. At present, the neighboring Henan province is promoting centralized heating in the whole province. A village-level distributed heating system (DHS) consuming biomass and natural gas is the main method of dealing with the current heating situation in rural areas, according to the recent national heating research and development program of China [,].
Table 1.
Onsite investigations of thermal environment/comfort during winter in the hot summer and cold winter (HSCW) region of China. (/ = not mentioned in the paper. PMV, predicted mean vote; TSV, thermal sensation vote; MTS, mean thermal sensation.)
Table 1.
Onsite investigations of thermal environment/comfort during winter in the hot summer and cold winter (HSCW) region of China. (/ = not mentioned in the paper. PMV, predicted mean vote; TSV, thermal sensation vote; MTS, mean thermal sensation.)
| Literature | 80% Acceptable Lower Temperature in Winter (°C) | Neutral Temperature (°C) | Natural Ventilation (NV)/Air Condition (AC) | Clothing Insulation Value (clo, 1 clo = 0.155m2·K/W) | City | Area | Building |
|---|---|---|---|---|---|---|---|
| [] | 14.7 | 17.2 (mean winter, PMV) | NV | / | Shanghai | Urban | Residence |
| [] | 14.0 | 16.3 (TSV) 16.6 (PMV) | NV | 1.42 | Chongqing | Urban | Classroom |
| [] | 16.5 | 18.2 (MTS) 20.2 (PMV) | AC | 1.30 | Nanjing, Shanghai & Chongqing | Urban | Residence |
| [] | 11.2 | 13.6 (PMV) | NV | 1.40 | Nanyang | Urban | Residence |
| [] | 14.1 | 22.8 (PMV) | AC | 1.42 | Chongqing | Urban | Dormitories |
| [] | 8.4 | / | NV | 2.15 | Hunan | Rural | Residence |
| [] | 15.4 | 21.2 (TSV) 22.8 (PMV) | AC | 1.42 | Chongqing | Urban | Classroom |
| [] | 16.3 | / | AC | / | Shanghai, Chongqing, Chengdu, Wuhan, Changsha, Hefei, Nanjing & Hangzhou | Urban | Residence |
| [] | 10.0 | / | NV | / | Shanghai, Nanjing& Suzhou | Urban | Residence |
| [] | 16.0 | / | NV | 0.99 | Shanghai | Urban | Residence |
During winter, bedrooms (referring to rooms for residents to sleep and rest) are the main occupied space of residents in the rural HSCW region. Beyond that, heating requirements, including heating facilities, setpoint temperature, heating duration, etc., significantly affect the residential indoor thermal comfort, safety, and energy consumption [,,,,]. The first step to proposing countermeasures for the harsh indoor thermal environment in residential buildings in this region is to investigate the current thermal environment/comfort (mainly regarding indoor air temperature) and heating conditions (including heating facilities, setpoint temperature, heating duration, etc.), which is the focus of this study. For this, onsite measurements and subjective questionnaires were conducted simultaneously to reveal how these sociodemographic (e.g., age, gender), psychological, and building condition factors (e.g., type and age of buildings) affect the thermal environment, heating, and other parameters of bedrooms. In summary, the gap in current indoor thermal environment/comfort and heating in residential buildings in the HSCW region can be described according to two points: (1) the harsh indoor thermal environment during winter is because of the lack of effective heating; (2) the potential risks and climbing energy consumption of newly installed electrical heating devices in this region.
The first step to bridge these gaps is to obtain details of the thermal environment/comfort and heating conditions. Hence, onsite measurements and questionnaires were conducted to investigate the thermal environment/comfort and heating conditions in this study, as introduced in Section 2. Parameters related with indoor thermal environment/comfort were analyzed and discussed in Section 3 to present thermal environment/comfort and heating conditions in this area. Specifically, the significance of this study is mainly according to two aspects. On the one hand, this study reveals the typical thermal and heating conditions of rural bedrooms during winter in the HSCW region. On the other hand, some of the existing or potential problems and risks of thermal environment and heating of rural bedrooms in the HSCW region have been discovered, and the results of this study can offer a reference to the development of prospective standards and centralized heating for rural residential buildings in HSCW areas.
2. Materials and Methods
Figure 2 shows the entire research process. Bedroom thermal environment/comfort in rural residential buildings in the HSCW region is the core of the entire research, and onsite measurements and subjective questionnaires were adopted as methods to obtain the key indicators (operative temperature and thermal sensation vote) to evaluate the indoor thermal environment/comfort in rural residential buildings in this region. Details and application of indicators and methods are presented in this section as follows.
Figure 2.
Diagram of the entire research process.
2.1. Operative Temperature and Thermal Sensation Vote (TSV)
Evaluating indoor thermal comfort is a very complex scientific issue which involves both subjective and objective factors, and thus requires a large amount of measured data and subjective questionnaires for regression analysis. In studies of thermal environment/comfort, several general models are available, namely, heat balance model, expectancy factor model, adaptive model, and adaptive PMV model, and the most basic and important index is thermal sensation vote (TSV, a seven-level vote for thermal sensation of occupants), widely utilized in various studies of thermal comfort [,]. The heat balance model is mainly used to evaluate the thermal comfort of the air-conditioned space. The PMV index considers the body as a whole and is useful for predicting responses in the steady-state air-conditioned environment, but it cannot predict transient responses []. Thus, Fanger and Toftum proposed an extension of the PMV model with a correction factor called expectancy factor, ep. Generally, the ePMV model is used to evaluate the transient thermal environment in a warm climate region, which is not consistent with the focus of this research. The adaptive thermal comfort model is for office buildings, which cannot be employed in this study. The adaptive PMV model presents a rough adaptive coefficient value for the residential buildings in the whole HSCW region. It cannot be used directly in this study because the adaptive coefficient value was obtained from the investigation conducted in urban areas []. Hence, the above models are not available in this study. However, the operative temperature and TSV could reflect reliably under all thermal environment/comfort and working conditions because they are the most reliable basic parameters and not limited by application conditions [,].
To simplify the evaluation of the indoor environment, the operative temperature is defined as the overall thermal sensation when the human body is affected by the air temperature, average radiation temperature, and airflow. It is used as a general criterion to evaluate the indoor thermal environment under various models, and assumed to be approximate to air temperature under two assertions []. The indoor air temperature is approximately equal to the radiant temperature when the heating facilities are off, and it is approximately equal to the operative temperature as shown in Equation (1). In this study, the same approximate method was used under similar measurement conditions so that the operative temperature is approximately equal to the indoor air temperature.
where Ta is the indoor air temperature, Tr is the indoor radiant temperature, and α is a constant determined by the indoor air speed, as shown in Figure 3.
Figure 3.
Function relationship between α and air speed.
The TSV obtained by subject questionnaires can be a good reflection of the thermal comfort of occupants. Questionnaires in this study were completed inside the residential buildings by sedentary subjects (all respondents were sitting quietly for more than one hour), and the indoor thermal environment was relatively stable. TSV is defined as 7 levels in ASHRAE’s standard [], which are −3 (cold),−2 (cool), −1 (slightly cool), 0 (neutral), +1 (slightly warm), +2 (warm), and +3 (hot).
2.2. Site Selection and Heating Profile
This study was conducted in Zhongxiang (30°42′–31°36′ N, 112°07′–113°00′ E), which is a typical representation of rural areas in the HSCW region. By the end of 2015, the registered population of Zhongxiang was 1,059,000 (49.7% males and 50.3% females), the permanent population was 1,015,500 (49.8% males and 50.2% females), and the total number of registered families was 341,500; agriculture is the main source of local finance, and the per capita disposable income of rural residents was 15,106 RMB (2197.84 USD, converted by real-time exchange rate), which is slightly higher than the per capita disposable income of rural residents nationwide (11,422 RMB = 1661.84 USD, converted by real-time exchange rate). Its climatic conditions are similar to those in Wuhan (Wuhan is a typical city of urban areas in the HSCW region). As shown in Figure 4, the yearly average daily temperature in Wuhan is slightly higher than Zhongxiang, but the air speed in Zhongxiang is significantly higher than Wuhan. Mostly in winter, a lower indoor temperature contributes greatly to the poor indoor thermal environment in the HSCW region. For the bedroom space, the indoor air speed is extremely small and hence negligible in winter.
Figure 4.
Yearly (a) temperatures and (b) wind speed of Wuhan and Zhongxiang. Data from China Meteorological Administration (http://www.cma.gov.cn).
Out of the total of 127 families, 59 equipped heating facilities in their bedroom. The types of heating facilities used in this area can be divided into air-source heat pumps, oil heaters, electrical heaters/A, and electrical blankets, as presented in Figure 5. Fire baskets were only used in a limited number of old buildings. For the selection of heating facilities, selling prices and electricity consumption are the main indicators for occupants in this region. Electrical heaters/A and electrical blankets were most widely installed, and the frequency of utilization of household air-source heat pumps was not high, owing to the great consumption of electricity when operated in heating conditions. During the investigation, subjects showed a strong interest in oil heaters due to their convenience, versatility, and safety.
Figure 5.
Heating facilities utilized in this area and their percentages.
2.3. Onsite Measurements and Chosen Buildings
Onsite measurements were conducted during the coldest two months from January to March 2018. HOBO UX100-003 sensors were installed to measure the indoor air temperature and relative humidity at the height of 1.1 m above the ground and without any exposure to heat sources. TSI sensors were applied for measuring the outdoor air speed, temperature, and relative humidity at the height of 1.5 m above the ground, as shown in Figure 6 and Table 2.
Figure 6.
(a) HOBO UX100-003 sensor and (b) TSI-9545A/9565P sensors.
Table 2.
Measuring range and accuracy of the instruments used in this study.
In the villages (Liuzhuang, Zhongganqiao, and Shangtou) selected for research, the proportion of single-storey buildings (residential) is about 18%, and the proportion of single-storey buildings is about 82%. The proportions of southward, northward, westward, and eastward single-storey buildings (residential) are about 44%, 14%, 28%, and 14%, respectively, and corresponding values of multi-storey buildings are about 45%, 10%, 32%, and 13%, respectively. Thirty-eight residential buildings were selected for thermal measurements of bedrooms by considering these actual proportions of types of buildings and the age of construction, as shown in Table 3. At the same time, three TSI sensors were installed to measure the outdoor thermal parameters in three typical positions (open space, loose space, and dense space in the residential area), as shown in Figure 7a.
Table 3.
Details of the buildings subjected to measurements.
Figure 7.
(a) Outdoor measuring points and (b) typical buildings utilized for the measurements.
Most of the buildings in this region were built within one decade. They are, in general, multi-storey with good airtightness, thin walls, and have a thick foundation, whereas single-storey buildings were always built over one decade ago, and were generally poor in airtightness, with a thick wall and a thin foundation.
2.4. Subjective Questionnaire and Subjects
The questionnaire section was conducted synchronously to the onsite measurement. The questionnaire was written in Chinese, in which the questions on clothing level, real-time thermal sensation/preference/acceptance, heating, and health conditions were asked and recorded, as shown in Appendix A. Participants were selected and approached one by one, which involved a home visit by the investigators under the guidance of local village committee members. Each participant answered the questionnaire three times in a single day, at 7:00 am–9:00 am, 11:00 am–1:00 pm, and 4:00 pm–6:00 pm, respectively.
A total of 354 occupants (180/50.8% females and 174/49.2% males) of 127 families were considered in the questionnaire. The characteristics of the sample are basically consistent with the whole region, as mentioned in the Introduction, and are in line with the actual local situation (i.e., young and middle-aged people, mainly men, migrate to megacities to earn money. A small proportion of them will not go home even during the Spring Festival in winter, which will make the proportion of men in the sample slightly lower than women.). Hence, this sample is sufficiently representative. A total of 1047 questionnaires were returned, in which 1013 of them were valid (the questionnaires could be invalidated due to two reasons. First, some returned questionnaires were incomplete. Second, some questionnaires were inevitably damaged and missed important information during the collection and processing procedure). In thermal comfort studies, age is always an important factor because different generations have different clothing habits, thermal pre-experiences, and thermal preferences, which greatly affect the results of the thermal comfort investigation. The age of the subjects varied from 4 to 91, with a symmetrical distribution on a mean value of 47.2 as shown in Figure 8, with a large standard deviation value of 19.98.
Figure 8.
Distribution on the age of subjects.
3. Results and Discussions
3.1. Overview
Figure 9 shows the measured temperature data of outdoor measurement points mentioned in Section 2.3. The outdoor measurements started on 7 January 2018 and continued until 8 March 2018. A higher density of buildings leads to a higher temperature in this area, but the temperature difference is not evident. Also, there were no significant differences in air speed data between the three outdoor measurement points and the data were hence discarded.
Figure 9.
Outdoor measurements of temperature at point 1, point 2, and point 3.
Figure 10a,b show the histogram statistics of outdoor air temperature and relative humidity, respectively. The outdoor air temperature is concentrated between 2 and 10 °C, and the relative humidity exceeded 55% most of the time.
Figure 10.
(a) Temperature and (b) relative humidity of outdoor measurements.
In this study, the temperature in the bedrooms of single-storey buildings ranged from −3.6 to 18.4 °C, whereas for the multi-storey buildings, it ranged from −0.8 to 15.2 °C, as shown in Figure 11. Nevertheless, there was a similar distribution of relative humidity of these two buildings, as shown in Figure 12, and the relative humidity is concentrated in the range from 60% to 80% most time of during this period. This means indoor relative humidity has a limited impact of on human comfort in this study. In addition, the multi-storey buildings occupy a greater proportion of high-temperature areas than single-storey buildings, i.e., 6.4~10.4 °C (55.91%) for single-storey buildings and 5.2~11.2 °C (62.52%) for the multi-storey buildings.
Figure 11.
The temperatures of bedrooms of single-storey buildings and multi-storey buildings.
Figure 12.
The relative humidity of single-storey buildings and multi-storey buildings.
According to Figure 13, the average estimated neutral temperature of bedrooms is 10.7 °C, which is slightly higher than the value reported by Han et al., as mentioned in Table 1 []. It should be noted that the specific site selection has a certain impact on obtained results, which indicates that sites considered in this study were villages and towns, but not only villages. Compared with the neutral temperatures (17.2, 16.3, 16.6, 18.2, 20.2, 13.6, 22.8, 21.2, and 22.8 °C) listed in Table 1, the value of 10.7 °C obtained in this study is significantly smaller than the minimum of 13.6 °C and the average of 18.8 °C, which demonstrates that residents in this area have a strong ability to accept cold environment and endure extreme temperatures.
Figure 13.
Linear fitting of TSV on the temperatures of bedrooms.
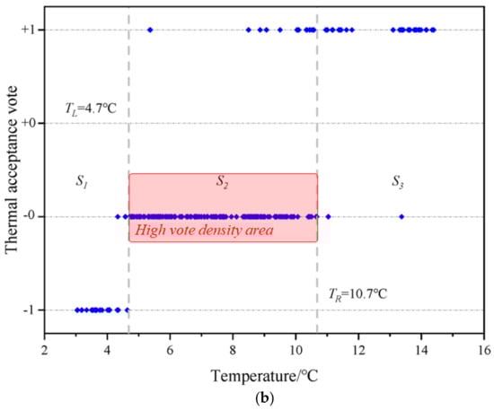
Figure 14a shows the distribution of thermal acceptance and thermal tendency. In the investigation, only 8.76% of the occupants voted for unacceptable (−1) and 1.41% voted for acceptable (+1), whereas 89.83% of the occupants felt that the temperature was just acceptable (−0). However, no one voted for just acceptable (+0), with a wide tolerance range of 4.7~10.7 °C, as shown in Figure 14b. This shows that over 80% of the occupants would still vote for acceptable even if the temperature of the bedroom is slightly higher than 4.7 °C. Meanwhile, more than 92% of the occupants confirmed that the temperature should be higher, which indicates that acceptance does not mean satisfaction.

Figure 14.
(a) Distribution of thermal acceptance and thermal tendency and (b) thermal acceptance vote.
3.2. Characteristics of Buildings
The quality of the thermal environment of bedrooms is prominently influenced by characteristics of building, such as the type of buildings, the orientation of buildings, and the age of construction, which are directly linked to the temperature of bedrooms. Thermal insulation and the airtightness of the building envelope, as well as monolithic efficiency of bedrooms, are determined by the type and operating condition of buildings []. In addition, an appropriate orientation of the building can improve the indoor temperature of bedrooms in winter. The age of construction represents the level of heat losses of the building, which indicates that in winter, a recently built building will perform more efficiently than a dilapidated one, owing to airtightness and insulation.
3.2.1. Building Type
In this study, dwellings in the rural region are classified as single-storey buildings and multi-storey buildings. Multi-storey buildings were built almost within 12 years, where windows consisted of a rubber-sealed plastic frame and double insulation glazing. The doors were composed of compact subassemblies with virtually no gaps when they are closed. The walls were piled up by double standard bricks (240 mm × 115 mm × 53 mm) with a nearly 115 mm air sandwich and delicate plastering and stucco. Floors consisted of tiles and concrete and were generally isolated from the earth.
The windows of single-storey buildings had old wooden frames with vintage single-layer glasses, even with a layer of plastic film. These doors were composed of aged wood with visible gaps. The wall consists of two standard bricks and rough plastering, and the floor was nearly in direct contact with the earth.
Theoretically, these components of multi-storey buildings make it more efficient than single-storey buildings, which is attributed to better envelope and durability. Meanwhile, a few problems may occur to the multi-storey buildings. For example, oversized bedroom space and windows may result in a higher energy consumption during cooling and heating. In order to reveal the relationship between the type of building and the thermal environment of bedroom, 7 typical single-storey buildings and multi-storey buildings were selected and numbered (these selected buildings are both single buildings). Details of these buildings are given in Table 4.
Table 4.
Details of the selected bedrooms.
By comparing Figure 15 and Figure 16, it can be seen that both the temperature and relative humidity of bedrooms of single-storey buildings significantly fluctuate compared to multi-storey buildings, with average standard deviations of 3.64 and 3.18, respectively. The temperature in single-storey buildings showed a lower limit value of −3.58 °C and a higher limit value of 20.75 °C, whereas the corresponding values of multi-storey buildings were −0.86 °C and 16.92 °C. Hence, multi-storey buildings can keep the thermal environment of bedrooms in a more stable state than single-storey buildings. The larger the range of changes in environmental parameters, the more changes that are needed by humans, such as adding or subtracting clothes, heating operation, or entering into the bed to adapt to the environment. An excessive range of changes may cause discomfort and disease if timely adjustments cannot be made.
Figure 15.
The temperature of bedroom in single-storey buildings and multi-storey buildings.
Figure 16.
The relative humidity of bedroom in single-storey buildings and multi-storey buildings.
3.2.2. Building Orientation
Four single-storey buildings were selected for the analysis of orientation by keeping other factors the same. A similar strategy was followed for multi-storey buildings. All selected buildings are singular. Figure 17 shows the highest temperature in southern rooms both for multi-storey buildings and single-storey buildings. The temperature in eastern and northern rooms was significantly lower than in southern and western rooms.
Figure 17.
The temperature of the bedroom of single-storey buildings and multi-storey buildings of different orientations.
3.2.3. Age of Construction
Figure 18 shows the relationship between bedroom temperatures and construction ages. The envelope of the building which was built more than 9 years before was usually poor in airtightness due to leaky windows and doors. The size of the building built within 8 years was usually oversized. With an increase in the age of construction, the temperature of bedrooms does not decrease concurrently. The results from polynomial fitting show that the temperature of bedrooms is typical quadratic in distribution with respect to the age of construction. The highest temperature occured between 8 and 9 years, which is consistent with the measured results.
Figure 18.
Dependence of the temperature of bedroom on the age of construction.
This phenomenon is attributed to buildings that were built in between 8 and 9 years, with better equipped envelope structure and appropriate area and volume of bedrooms. The bigger the room size, the more energy it consumes to reach the same temperature of the bedroom under the same heating conditions, which indicates that the size of bedroom should be controlled well. The same is true for airtightness, which is determined by external windows and doors.
3.3. Factors of Heating
3.3.1. Partitioned Heating
Partitioned heating (partly in time as well as in space) is the heating situation currently in this region, where almost all occupants turn on the heating facilities installed in bedrooms when they are ready to rest in the bed or their infants (younger than 1.5 years) are sleeping. This phenomenon suits the temporary needs of this region. (Class I “others” in Figure 19 is the triggering situation, which does not belong to Class II and III.)
Figure 19.
Trigger timing of heating facilities.
3.3.2. Heating Duration and Setpoint
Heating can provide a higher indoor temperature for occupants [,,,,]. Owing to the lack of centralized heating, household heating appliances are being widely used in this area according to the statistics from the questionnaire, and also indicate that they are being used by approximately 50% of households, as mentioned in Section 2.2.
There are 42 families with more than two types of heating facilities in their bedrooms. Figure 20 shows that over 70% of these families are with infant(s) younger than 1.5 years, and only less than 8% of these families with all members more than 56 years. Meanwhile, 52 families were heating for a duration longer than 4 h each day, in which 75% of families were with infant(s) younger than 1.5 years, and only less than 8% of these families had all members over 56 years old. More than 85% of type I families preferred a heating setpoint temperature of over 10 °C, and only less than 50% of type III families had a heating setpoint temperature over 10 °C.
Figure 20.
Heating duration and setpoints of different types of families.
Meanwhile, Figure 20 shows that there are several distinct age boundaries, which mean age affects the heating requirement to a considerable extent. Children under 1.5 years indicated the highest demand for heating which may be determined by their parents, while the heating requirements of residents who are older than 56 years was limited.
The above discussion suggests that infant(s) younger than 1.5 years old has/have a considerable impact on the heating requirements in the bedroom, such as heating facilities, temperature of heating, and duration of heating. Meanwhile, an analysis of the obtained data shows that the elderly over 56 years old have the lowest requirement for heating as well as the strongest tolerance to the low-temperature environment.
3.4. Subjective Factors
As the adaptive PMV model describes, a negative feedback relationship exists between the human body (adjustments of psychology, physiology, behavior) and the thermal environment. Subjective factors (refer to age, gender, income, dressing habit, social experience, culture and social background, growing environment, and any other factors concerning the subjects themselves that can affect thermal sensation) have a certain influence on the thermal environment, thermal sensation, and household heating.
As shown in Figure 21, income influences the frequency of the use and occupied duration of heating facilities, which affect the thermal environment of bedrooms. The degree of education and gender do not have much impact on heating and thermal environment, which is in line with Wang’s conclusions []. After discussing this investigation with the occupants, investigators encountered some enquiries regarding centralized heating which were not included in the original questionnaires, because some subjects (highly educated people) learned that Henan, the neighboring province, had begun to popularize central heating throughout the province. Still, we recorded their concerns on national heating policy in the blank area of the paper questionnaires. These concerns were concluded as the highly educated people showing some concerns regarding the national heating policy.
Figure 21.
Number of returned questionnaires of the frequency of the use and occupied duration of heating facilities. (a) Number of returned questionnaires of the frequency of the use of heating facilities of four income groups. (b) Number of returned questionnaires of the duration of the use of heating facilities of four income groups.
As shown in Figure 22, young people between the ages of 14 and 24 have the lowest TSV values compared to occupants of other age groups with the ratio of low TSV over 80%. This can be explained by dressing habits, because people of this generation wear clothing that has low insulation values, according the Figure 22c. Occupants older than 56 years old gave higher TSV values in low-temperature environments than other generations.

Figure 22.
(a,b) Relationship between TSV, temperature, and the age of subjects. (Psi is the number of points in area, Si, Pi is the number of points that TSV = i, and Rsi is the ratio of low TSV {−3, −2, −1} in area Si), and (c) clothing insulation of different age groups.
Cost and safety of heating are important factors for users when making a choice regarding heating facilities. The results of votes on the safety and cost of heating facilities is shown in Figure 23. Household electrical heating facilities often consume a lot of electricity without showing ideal energy efficiency. The utilization of these heating facilities has many uncertain security risks, especially for families with children. In cold winters, children who are restricted to activities in the space where it is relatively warmer are likely to be scalded, so that more than 60% of subjects think electric blankets and electric heaters are dangerous. In addition, unqualified products and their unreasonable use may also cause fire risks. Electrical heating facilities, except electrical blankets, are high-powered (in terms of consumption of higher energy). Irrespective of this, the safety of electrical blankets is also worrying, as shown in Table 5.
Figure 23.
Vote on (a) safety and (b) cost of heating facilities.
Table 5.
Details on the installed heating facilities.
Considering the frequent occurrence of electrical safety accidents in recent years, compared with centralized heating with scientific management and unified organized (Ministry of Emergency Management of the People’s Republic of China, http://www.mem.gov.cn), centralized heating can effectively reduce potential safety risks. This is especially true for children who have not yet established a security concept.
Above all, 73 migrants (36 males, 37 females and an average age 36.1 years) who worked more than two months just before Spring Festival in southern or central heating areas were selected and approached one by one through home visits from investigators and under the guidance of local village committee members. Each migrant answered the independent questionnaire (not included in the previous section) three times in a single day, at 7:00 am–9:00 am, 11:00 am–1:00 pm, and 4:00 pm–6:00 pm, respectively.
The results showed that the thermal pre-experience had a substantial effect on TSV values, as shown in Figure 24. Even for people who worked in the warm region all year round, the obtained results were the same, which signifies that the protogenetic growing environment plays a decisive role in the occupant’s adaptability.
Figure 24.
TSV difference of general occupants and migrants on same temperature (4–12 °C).
At the same time, over 70% of respondents believed that a lower temperature in the bedroom could lead to the recurrence of existing diseases such urticaria, asthma, and rheumatism. Almost all mothers believed that in such a low temperature environment, their little children (younger than 1.5 years old) would easily become ill. This is an important issue worth further research and consideration.
4. Conclusions
In this study, onsite measurements and subjective questionnaires were conducted to investigate the thermal environment of rural bedrooms in the HSCW region of China. Conclusions were drawn as follows.
- The harsh indoor thermal environment of bedrooms in the HSCW region was caused by low indoor temperature, which was confirmed by onsite measurements;
- A neutral temperature of 10.7 °C and the 80% acceptable lower temperature of 4.7 °C in bedrooms in rural areas of China’s HSCW region were obtained, which represents the poor indoor thermal environment in this region;
- Families in this area use high-powered household electrical heating facilities. Without unified and scientific management, the utilization of these heating facilities can cause some potential safety hazards while consuming a lot of electricity, especially for families with children who have not established a complete sense of danger;
- Appropriate location and orientation of buildings can improve the indoor temperature of bedrooms in winter. Southern bedrooms in the dense space have higher indoor temperature. The type of building is the determining factor of the indoor temperature of bedrooms without heating, and thus, a small size/volume of windows and non-tiled floors deserves attention;
- Over 92% of subjects expected a warmer living environment and more than 70% of the respondents believed that a lower temperature in the bedroom might cause relapse of diseases. Children younger than 1.5 years old are identified as the most vulnerable group, and almost all mothers relayed their concerns regarding the low indoor temperature of bedrooms.
Author Contributions
Z.R. contributed to the conception and organization of the study. D.L., S.W., Z.S., P.L. and X.C. wrote the manuscript. All authors have read and approved the final manuscript.
Funding
This research was carried out under the fund of Wuhan Urban and Rural Construction Commission Science and Technology Plan (No.201609) and the National Key R&D Program of China (2018YFD1100702-3).
Acknowledgments
The author would like to thank the School of Civil Engineering and Architecture of Wuhan University of Technology, the Bartlett School of Construction and Project Management of University College London and the Department of the Built Environment of Eindhoven University of Technology for their contribution.
Conflicts of Interest
The authors declare no conflict of interest. The founding sponsors had no role in the design of the study; in the collection, analyses, or interpretation of data; in the writing of the manuscript, and in the decision to publish the results.
Appendix A
This is the translation of the Chinese version.
Name:___________ Gender:___________ Age:___________
Date:___________ Real-time temperature:___________
Family members:______________ Degree of Education:___________
Duration of non-indigenous stay (for migrants):____________
1. Indicate which clothes you are wearing:
Coats or jackets:
□down jacket/coat; □cotton-lined jacket/coat; □wind breaker; □athletic jacket; □suit jacket;
Upper clothes:
□sweater; □wool vest; □undershirt; □long-sleeved shirt; □short-sleeved shirt
Lower clothes:
□long pants; □wool trousers; □sweat pants; □cotton-padded trousers; □long underwear; □shorts; □shirt; □dress;
Shoes and socks:
□socks; □stocking; □shoes; □cotton slippers; □sandals;
Remarks:
□Details:___________________________
2. Choose your current thermal sensation:

3. You want the indoor temperature to be:

4. Are you satisfied with the current indoor temperature? If not, please provide the reasons for dissatisfaction below.
□Yes □No
Reasons:_________________________________________
5. Is the current indoor temperature acceptable? What is your optimal indoor temperature?

Optimal indoor temperature:_________________________________________
6. Are there any heating facilities in your house? Please note them below. Are you satisfied with it? If not, please note the reasons below.
Heating facility: □Yes □No
Heating facilities:________________________________
Satisfaction: □Yes □No
Reasons:_______________________________________
7. What do you think about the cost of the heating facilities when they switched on? As well as its safety?
Economy: □Cheap □Expensive □Ok
Safety: □Unsafe □Safe □Unknown
8. At what time do you trigger a heating facility? How long do you keep the heating facility switched on?
□Occupants are resting in bed □Infants are sleeping □Others
Details:_________________________________
9. Is there a possibility of illness in this environment? If so, please note the details below.
□Yes □No
Details:_________________________________
References
- Liu, J.; Zhu, S.; Kim, M.K.; Srebric, J. A Review of CFD Analysis Methods for Personalized Ventilation (PV) in Indoor Built Environments. Sustainability 2019, 11, 4166. [Google Scholar] [CrossRef]
- Wang, Z.; de Dear, R.; Lin, B.; Zhu, Y.; Ouyang, Q. Rational selection of heating temperature set points for China’s hot summer—Cold winter climatic region. Build. Environ. 2015, 93, 63–70. [Google Scholar] [CrossRef]
- Wang, F.; Duan, K.; Zou, L. Urbanization Effects on Human-Perceived Temperature Changes in the North China Plain. Sustainability 2019, 11, 3413. [Google Scholar] [CrossRef]
- Xu, X.; Yin, C.; Wang, W.; Xu, N.; Hong, T.; Li, Q. Revealing Urban Morphology and Outdoor Comfort through Genetic Algorithm-Driven Urban Block Design in Dry and Hot Regions of China. Sustainability 2019, 11, 3683. [Google Scholar] [CrossRef]
- Ma, X.; Fukuda, H.; Zhou, D.; Wang, M. A Study of the Pedestrianized Zone for Tourists: Urban Design Effects on Humans’ Thermal Comfort in Fo Shan City, Southern China. Sustainability 2019, 11, 2774. [Google Scholar] [CrossRef]
- Yin, S.; Lang, W.; Xiao, Y.; Xu, Z. Correlative Impact of Shading Strategies and Configurations Design on Pedestrian-Level Thermal Comfort in Traditional Shophouse Neighbourhoods, Southern China. Sustainability 2019, 11, 1355. [Google Scholar] [CrossRef]
- Building Energy Research Center of Tsinghua University. China Building Energy Use 2017; China Architecture and Building Press: Beijing, China, 2018. [Google Scholar]
- China Association of Building Energy Efficiency. Annual Report on China Building Energy Efficiency; China Architecture and Building Press: Beijing, China, 2018. [Google Scholar]
- Wang, F.J.; Lee, M.C.; Chang, T.B.; Chen, Y.S.; Jung, R.C. Improving indoor air quality and thermal comfort by total heat exchanger for an office building in hot and humid climate. HVAC R Res. 2014, 20, 731–737. [Google Scholar] [CrossRef]
- Fan, J.; Zhou, Q. A Review about Thermal Comfort in Aircraft. J. Therm. Sci. 2018, 28, 169–183. [Google Scholar] [CrossRef]
- Lin, B.; Wang, Z.; Liu, Y.; Zhu, Y.; Ouyang, Q. Investigation of winter indoor thermal environment and heating demand of urban residential buildings in China’s hot summer—Cold winter climate region. Build. Environ. 2016, 101, 9–18. [Google Scholar] [CrossRef]
- Yao, R.; Li, B.; Liu, J. A theoretical adaptive model of thermal comfort—Adaptive Predicted Mean Vote (aPMV). Build. Environ. 2009, 44, 2089–2096. [Google Scholar] [CrossRef]
- Peng, C.; Yan, D.; Guo, S.; Hu, S.; Jiang, Y. Building energy use in China: Ceiling and scenario. Energy Build. 2015, 102, 307–316. [Google Scholar] [CrossRef]
- Jiao, Y.; Yu, H.; Wang, T.; An, Y.; Yu, Y. Thermal comfort and adaptation of the elderly in free-running environments in Shanghai, China. Build. Environ. 2017, 118, 259–272. [Google Scholar] [CrossRef]
- Cao, B.; Luo, M.; Li, M.; Zhu, Y. Too cold or too warm? A winter thermal comfort study in different climate zones in China. Energy Build. 2016, 133, 469–477. [Google Scholar] [CrossRef]
- Han, J.; Zhang, G.; Zhou, J. Research on the Rural Residential Thermal Environment and Thermal Comfort in Hot Summer and Cold Winter Climate Zone. J. Hunan Univ. (Nat. Sci.) 2009, 36, 13–17. [Google Scholar]
- Xie, D.; Zhou, J.; Teng, M. The investigation and analysis of thermal environment and energy consumption in rural residence of human in winter. China Sci. Pap. 2007, 2, 698–702. [Google Scholar]
- Long, L. Research Progress on the Heating in Winter in Hot Summer and Cold Winter Region. China South Agric. Mach. 2016, 47, 88. [Google Scholar]
- Tan, M.; Li, B.; Liu, H. Field experiments on thermal comfort in university dormitories in Chongqing, China. J. Cent. South Univ. 2009, 16, 55–61. [Google Scholar]
- British Petroleum Company. Statistical Review of World Energy; British Petroleum Company: London, UK, 2017; (Online). [Google Scholar]
- Iwaro, J.; Mwasha, A. A review of building energy regulation and policy for energy conservation in developing countries. Energy Policy 2010, 38, 7744–7755. [Google Scholar] [CrossRef]
- Shi, Y.; Wang, G.; Gao, X.; Xu, Y. Effects of climate and potential policy changes on heating degree days in current heating areas of China. Sci. Rep. 2018, 8, 10211. [Google Scholar] [CrossRef]
- China Academy of Building Research; Tongji University; Chongqing University; Wuhan University of Technology. Research on Low Cost Clean Energy Heating and Heat Storage Technology in Villages and Towns; Ministry of Science and Technology of P. R. China: Beijing, China, 2019.
- People’s Government of Henan Province. Government Work Report of Henan Province; People’s Government of Henan Province: Zhengzhou, China, 2019; (Online). [Google Scholar]
- Ye, X.J.; Zhou, Z.P.; Lian, Z.W.; Liu, H.M.; Li, C.Z.; Liu, Y.M. Field study of a thermal environment and adaptive model in Shanghai. Indoor Air 2010, 16, 320–326. [Google Scholar] [CrossRef]
- Li, B.; Liu, J.; Yao, R. Investigation and analysis on classroom thermal environment in winter in Chongqing. Heat. Vent. Air Cond. 2007, 37, 115–117. [Google Scholar]
- Mao, Y. Study on Climate Adaptability of Human Beings to Thermal Comfort in China. Ph.D. Thesis, Xi’an University of Architecture and Technology, Xi’an, China, 2007. [Google Scholar]
- Li, J.; Yang, L.; Liu, J. Adaptive thermal comfort model for hot summer and cold winter zone. Heat. Vent. Air Cond. 2008, 38, 20–24. [Google Scholar]
- Yao, R.; Liu, J.; Li, B. Occupants’ adaptive responses and perception of thermal environment in naturally conditioned university classrooms. Appl. Energy 2010, 87, 1015–1022. [Google Scholar] [CrossRef]
- Li, B.; Yu, W.; Liu, M. Climatic Strategies of Indoor Thermal Environment for Residential Buildings in Yangtze River Region. China. Indoor Built Environ. 2011, 20, 101–111. [Google Scholar]
- Neto, A.H.; Fiorelli, F.A.S. Comparison between detailed model simulation and artificial neural network for forecasting building energy consumption. Energy Build. 2008, 40, 2169–2176. [Google Scholar] [CrossRef]
- Gill, Z.M.; Tierney, M.J.; Pegg, I.M.; Allan, N. Low-energy dwellings: The contribution of behaviours to actual performance. Build. Res. Inf. 2010, 38, 491–508. [Google Scholar] [CrossRef]
- Santin, O.G. Behavioural Patterns and User Profiles related to energy consumption for heating. Energy Build. 2011, 43, 2662–2672. [Google Scholar] [CrossRef]
- Wang, H.; Guodan, L.; Songtao, H.; Chao, L. Experimental investigation about thermal effect of colour on thermal sensation and comfort. Energy Build. 2018, 173, S0378778818307011. [Google Scholar] [CrossRef]
- Xia, Y.Z.; Niu, J.L.; Zhao, R.Y.; Burnett, J. Effects of Turbulent Air on Human Thermal Sensations in a Warm Isothermal Environment. Indoor Air 2010, 10, 289–296. [Google Scholar] [CrossRef]
- Enescu, D. A review of thermal comfort models and indicators for indoor environments. Renew. Sustain. Energy Rev. 2017, 34, 549–561. [Google Scholar] [CrossRef]
- Ministry of Housing and Urban-Rural Development of People’s Republic of China. Evaluation Standard for Indoor Thermal Environment in Civil Buildings; China Architecture & Building Press: Beijing, China, 2012; Volume GB/T 50785.
- American Society of Heating, Refrigerating and Air-Conditioning Engineers. Thermal Environmental Conditions for Human Occupancy; American National Standards Institute: Atlanta, Georgia, 2017; Volume ANSI/ASHRAE Standard 55. [Google Scholar]
© 2019 by the authors. Licensee MDPI, Basel, Switzerland. This article is an open access article distributed under the terms and conditions of the Creative Commons Attribution (CC BY) license (http://creativecommons.org/licenses/by/4.0/).