Abstract
Animals’ activities are a significant geomorphologic factor. An important reliefogenic role is played by animals introduced by man; that is, livestock. The activity of livestock on the earth’s surface can be direct (horizontal displacement of the soil), or indirect (preparation of ground for degradation). In this research the areas that livestock tread most often were put under examination, that is, places used for resting (e.g., during the night) and paths used for moving (e.g., while passing to and from grazing spots). The experimental research areas were divided into two groups. During the two-week study period it was noted that (1) the number of plants and their stems had declined by 9.5% and 19% respectively, and the paths had widened by 6%; (2) the soil level had decreased, uncovering the measurement pins by 3.5 mm up to 24 mm, depending on the slope of the ground, while in the comparison (control) areas the pins were uncovered only up to an average 1.8 mm. The results of the research show the scale of the phenomenon of zoogenic erosion caused by livestock. Based on the research the following formula has been elaborated . This provided the opportunity to calculate the average (hypothetical) data for soil loss (y), according to the slope degree (x), the number of animals (N), the time that those animals spend in the area (T), and the static pressure they caused on the ground (SP). The paper makes recommendations that could lead to a reduction in soil erosion caused by livestock.
1. Introduction
As is well known, erosion is the process by which soil and rock on the Earth’s surface are moved by exogenic processes and then deposited in other locations. This natural process is caused by the dynamic activity of erosive agents, that is, water, ice (glaciers), snow, air (wind), plants, animals, and humans. In accordance with these agents, erosion is sometimes divided into water erosion, glacial erosion, snow erosion, wind (aeolic) erosion, zoogenic erosion, and anthropogenic erosion. Erosion acts on all elements of the earth's surface, but first of all it is the soil cover that is exposed to its destructive impact. Ongoing soil erosion is a critical environmental problem throughout the world’s terrestrial ecosystems [1,2,3]. Integrative erosion is a special type of erosion caused by the dual activity of two agents: animals (zoogenic erosion) and humans (anthropogenic erosion). Zoogenic erosion is caused by animals introduced into the environment by humans, that is, livestock. This is the type of erosion specifically examined in this article.
Two-thirds of the earth’s land area that is designated for agriculture is used as grazing land [4], and the impact of livestock on soils has been studied since the turn of the century [1,2,5,6,7,8,9,10,11,12,13,14,15,16,17,18,19,20,21,22,23,24,25,26]. Livestock has been found to significantly alter (e.g., by trampling, grazing, excrement) almost every aspect of soil structure and function, including soil porosity, chemistry, microbiology, nutrient cycles, productivity, and erosion rates [27].
This paper focuses on the soil erosion rate and surface modification in a high mountain environment. There have been numerous studies looking at the impact of livestock on alpine meadows (e.g., [12,28,29,30,31,32,33,34] and others as cited in Section 2: Anthropo-zoogenic erosion: terms and scale of the phenomenon). Naturally, the livestock’s impact on terrain modification is not the same for each area, or even within the same area, for example, valleys. It depends on the lay of the land (the elevation, degree of slope, and orientation of terrain features), the kind of usage (e.g., grazing, or grazing and staying overnight), and the intensity of usage (e.g., number of animals and their species). Some places (spots) are more frequently visited by livestock and thus these areas are more vulnerable to changes.
This research was undertaken in order to synthesize knowledge about animals' pressure on paths and places of frequent stay in the high mountain environment. The objectives of this study were to examine three aspects of zoogenic erosion caused by livestock: (1) the short-term changes to vegetation; (2) the speed of the creation and widening of the main livestock routes; and (3) the scale of the sculpture development and modelling of the slope by the horizontal displacement of soil. Experimental research was conducted in the high mountain environment of the Miyar Valley (Western Himalaya, India). The research polygons were located at an altitude of between 3800 and 3900 metres above sea level.
2. Anthropo-Zoogenic Erosion: Terms and Scale of the Phenomenon
All animal activity—such as searching for food, moving, or excavating hiding places on the surface and under the ground—causes some superficial morphological change (for examples, see [3,35]). The process of soil destruction and the formation of zoogenic forms (on the surface or under the ground) is termed zoogenic denudation. The future soil transport over slope—even with help of other erosive agents, e.g., water, wind—is defined as zoogenic erosion. Preparation (preadaptation) of the soil for erosion is defined as pro-erosive (pro-denudative) activity [36]. A well-known example of the tremendous potential for surface relief modelling by animals can be found at the Olsen-Chubbuck Site (26 km southeast of Kit Carson, CO, USA). Here, an old arroyo channel was probably formed from an eroded bison trail [37].
Anthropo-zoogenic erosion is erosion caused by animals introduced into the environment by humans, that is, livestock (e.g., yaks, camels, horses, cattle, sheep, and goats). Livestock can affect the terrain in two ways: by shredding, and as a result, moving crushed soil materials on the surface of the slopes; and indirectly by the destruction of vegetation and then the erosion of the naked soil by other erosive agents, mostly by water and wind [3,36,38,39,40,41,42,43]. Two set of characteristics are particularly important for understanding the effects of these types of zoogenic impacts. First, various grazing animal species have different dietary preferences. Cattle, horses, and bison, in particular, consume grasses, although when grass is less available they may shift to forbs and shrubs that are low in volatile oils [44]. Fox and Seaney [45] found that goats generally consume a greater number of plant species and obtained only 34% of their diet from grasses, whereas sheep and cattle obtain 78% and 90% of their diet, respectively, from grasses. The rest is made up of forbs, shrubs, and roots [44]. Second, in the case of direct impact, treading impacts vary among animal species as a result of the differences in size relative to hoof area. When a load imposed on the soil (i.e., a shear stress) is greater than the load-bearing capacity of the soil, it leads to a modification of the structural configuration (i.e., soil deformation). Grazing animals can exert a large amount of pressure on the soil surface due to their great weight and relatively small hoof area [46]. The amount of pressure exerted on the soil is dependent on the species and the weight of the grazing animal, which increases with age (Table 1).
Table 1.
Characteristic of the livestock (cattle, sheep and goats): Mean adult body mass (kg), hoof size (cm2), and static pressure (kg cm−2).
The mass of the animal is distributed over four hooves; however, when moving, only two of them touch the ground at any given time. The average size of a cow’s hoof, for example, is around 60–90 cm2 [57]. This means that the average cow exerts a pressure of 1.5–1.7 kg per cm2 while moving on a flat surface. These values may be significantly increased when a walking animal has only two or three hooves in contact with the ground at any one time. Also, when moving up hill these forces may be increased by an even greater amount. In comparison, a person weighing 84 kg, with a foot area (one foot) of 214 cm2, when walking on the entire foot’s surface, will exert a pressure of 0.39 kg per cm2 [51].
Several studies have reported that the tread of grazing animals can cause a significant reduction in herbage growth/yield [41,46,58,59,60,61,62] and thus prepare the ground for erosion [3]. It has been estimated that the reduction in plant biomass may be as large as 25–40% [46,60,61,62], which is made up of 5–20% from immediately damaged and buried herbage, and 10–20% from reduced production by the remaining damaged sward [63]. The scale of erosion caused by livestock, both from direct and indirect impacts, is huge. Worldwide, erosion rates for pasture in mountainous regions range from 1 to 5 t/ha/year for normal vegetative cover [1,64]. Even if the average soil loss is twice as low on pasture land as it is on cropland (6 to 13 t/ha/year) [65], the erosion rate on alpine meadows still shows tremendous potential [1], especially when overgrazing occurs. The indirect impact (pro-denudative) is even higher. For example, a Wisconsin riparian zone inhabited by cattle lost about 60 t/h/year of soil along each kilometre of the stream’s length [66].
Overgrazing is a common problem that is now occurring on more than half of the world’s pasture land, in both developing [67] and developed countries [18]. Even if studies show that, in some cases (even in mountain areas), the soil fertility, climate, and other factors may have a greater effect on plant cover (species diversity) when compared with grazing [29,30], the significant livestock pressure on spots where they usually stay seems to be undeniable.
3. Study Area and Research Methodology
3.1. Study Area
Miyar Valley (Figure 1) is situated in the Punjab Himalaya region (see [68]) and is a part of the Lahoul Range, located between the Pir Panjal and Zanskar ranges. Administratively the valley belongs to the district of Lahul and Spiti (Himachal Pradesh). The valley is nearly 75 km long and stretches between Udaipur (at the mouth of the valley, 2649 m) and Kang La pass (5468 m). More than 50% (568 km2) of the area of the Miyar Valley (975.7 km2) is covered by glaciers [69].
Figure 1.
Miyar Valley in India’s Himalayan region, and the location of the study area and its slope distribution. The grass/grazing area is marked by the white line. 1–4 study polygons. Location of the measurement pins depending on the degree of the slope: (1) 0–45°; (2) 45–90°; and (3) excluded comparison (control) area (0–90°). (4) The locations of the two polygons (polygon A and B) designated in order to check vegetation destruction and path widening.
Temperatures and precipitation in the Miyar Valley vary widely. The annual average values are as follows: at the mouth of the valley, in Udaipur (2649 m), they are 9.4 °C and 1057 mm; in its middle part, Sucto village (3448 m), they are 5 °C and 605 mm; and in the higher parts (alpine and nival zone) the average annual temperature always stays below 0 °C [70]. According to Saini [71] the soil cover of the Miyar Valley can be classified into three types: Himalayan alluvial soils, mountain and hill soils, and high-altitude meadow soils (to get acquainted with a detailed description of the Himalayan soil levels see [72]).
The valley is inhabited by the Tharanga people who are influenced by Tibetan Buddhism. There are only a few hundred people concentrated in 16 villages—among others Urgos (226), Tingrat (171), Ghumpa (45), Khanjar (48), and Sucto (37) [73]—excluding Udayapur. Inhabitants are engaged mainly in farming and pasturing. The economy of the valley is dominated by extensive farming. The short period of vegetation (May–September) and the low-quality soils make for limited agriculture production. Among the main crops are, peas, barley, buckwheat, seed potato, and also those used in medicine, kuth (Saussurea lappa) and mannu (Inula racemosa). Agriculture is accompanied by typical animal husbandry and pastoralism. Due to the influence of Tibetan Buddhism, the population feeds on vegetable products and remains lacto-vegetarians [70,74].
Since the 1970s the Miyar Valley has been under the influence of small scale tourism [70,74,75], and in 2012 approximately 700 people visited the valley [70,74].
3.2. Methods
The experimental research areas were divided into two sections.
(1) In order to examine the extent of damage to surface relief caused by livestock and its impact on the erosion process within the studied area we undertook the following procedure. First, we checked the indirect influences. We designated two polygons (A and B: each one 2 × 4 m; Figure 2) on the paths that are used by livestock while moving to their grazing place. We then identified the plants, and calculated the number of plants and the number of stems for each plant. The same polygons were used to investigate the development of the paths. The width of the path was measured using a cord (four of them). Each of the four cords was pulled through the polygon and then divided into three small sections, thus twelve sections were created in each polygon (Figure 2a). The exact width of the path was marked on the cord. While the cord was above the path, we used a spirit level to mark the width properly (Figure 2b). The measurements were taken using a laser rangefinder, DLE 50 Professional, from Bosch (measuring accuracy: +/−1.5 mm). They were then checked and re-measured with a measuring tape. After the measurements were taken all cords were removed, leaving the pins secured with rocks for later observation. One and two weeks later the measurements were repeated in order to observe changes (plant survival and path development). Later, the number of stems and plants were converted into percentages, and changes in path widths were indicated in centimetres. The data obtained was then graphed.
Figure 2.
The experimental procedure for investigating vegetation destruction and path widening: (a) location of the four cords pulled through the polygon (2 × 4 m); and (b) path development and measuring procedure.
(2) Additionally, in order to indicate the direct influence (horizontal displacement of soil), we checked the scale of the surface sculpture modelling. For this purpose, 60 measuring pins were used. The pins (5 pins in each polygon) were placed in the ground in three ways: two groups depended on the degree of the slope: 0–45° and 45–90° (Figure 1), and one was dedicated as a comparison (control) site. The pins were pushed fully into the soil, and the level that protruded from the soil after two weeks showed how much the soil level had changed. The measurements were taken using a vernier calliper.
During our study (10–24 August 2012), we had determined how many livestock visited the part of the valley where our polygons were located. This information came from shepherds who had a grazing permit issued by the Himachal Pradesh Forest Department. According to the documents, during two weeks of our study, this part of the valley was grazed by 124 sheep, 287 goats, and 18 cattle. The short duration of this research was related to the period that a specific grazing permit occurred in. The shepherds hold permits for grazing that cover both specific locations and number of animals. After a period of time, shepherds and their herd move to another location. According to the above, the number of animals and their kind remains the same throughout the whole period of the measurements. This means that the polygons will stay under the same pressures during the whole measurement period.
To determine the amount of zoogenic erosion caused by livestock, the data from the polygons that were exposed to their impact were reduced by the values that came from the analogous/equivalent control polygons. Within the latter, the erosion level was measured/analysed in reference to the collective action of natural factors only (e.g., wind, water, freezing), that is to say, exclusive of livestock influence. Thus, we obtained data that only shows the impact of livestock on the erosion of the soil cover.
All polygons were located on paths that were already in use by animals. The possibility that animals would choose paths other than those under our observation was severely limited due to natural conditions (e.g., river cliffs, stone runs). Thus, the likelihood that animals would stay on the path while moving was almost 100%.
4. Results
The results of research indicated that there was an undoubted presence of indirect and direct influence on vegetation and surface relief modelling. Below, the losses in vegetation cover are outlined in two ways: (1) by monitoring the level of plant destruction, and (2) by monitoring the width of the path. In the third (3) section the level of the horizontal displacement of soil caused by the animals is presented.
4.1. Vegetation Destruction due to Grazing or Trampling
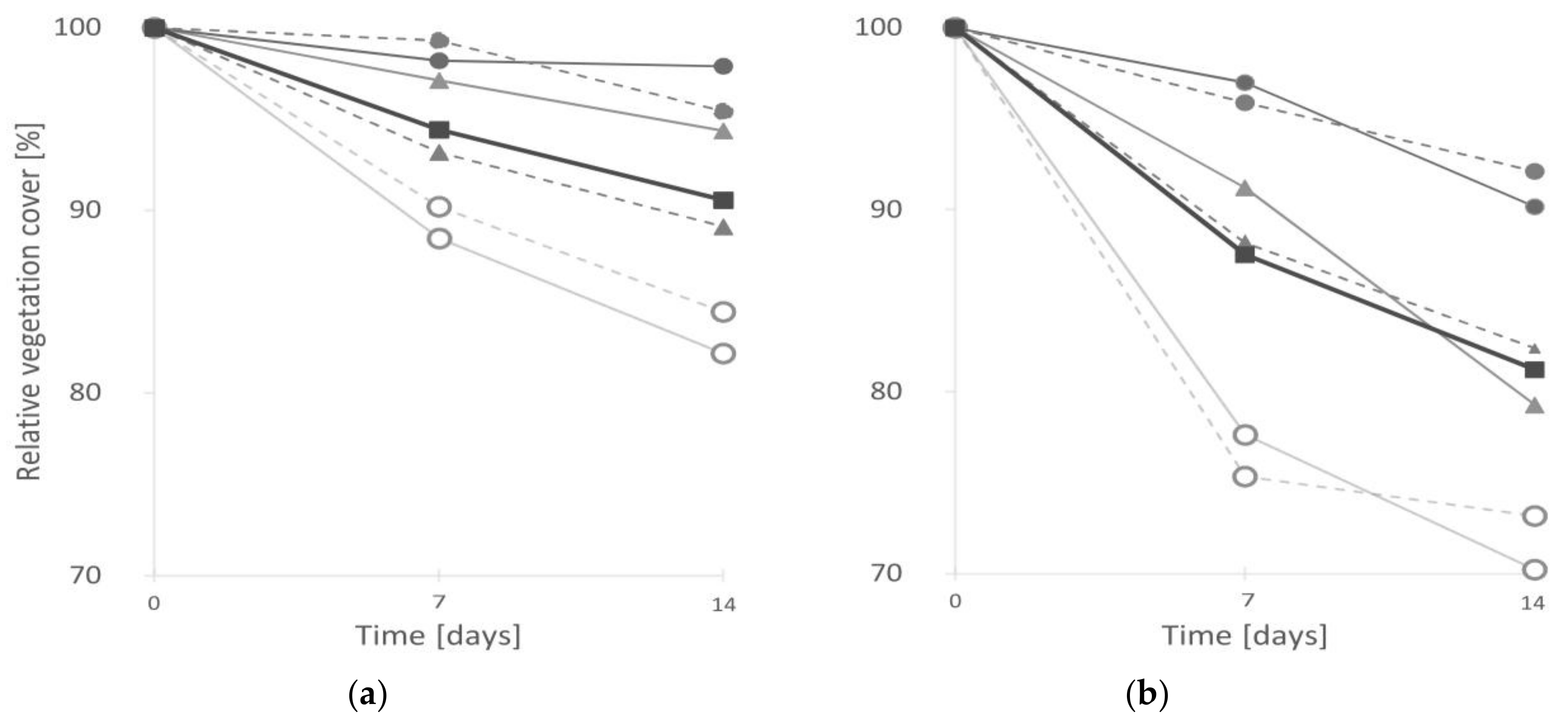
Before making the plant calculations (both the number of plants and number of stems), the plant species were identified. The audited plants belonged to three species: Persicaria affinis, Potentilla argyrophylla, Astragalus Himalayanus (refer to [76] for detail on morphology). Figure 3a shows the decline in the number of plants while Figure 3b shows the decline in the numbers of stems. Of these three species, Persicaria affinis was the most resistant in terms of plant numbers as well as in stem decline (for both polygons). On average only 3.3% (8.7% numbers of stems, respectively) of Persicaria affinis plants were destroyed. The plant with the lowest resistance to livestock activity was Astragalus Himalayanus. This plant lost 16.7% of its entire population and over 28% of all stems. The resistance of Potentilla argyrophylla placed it at an average level. On average (AM: Arithmetic Mean), we noted a nearly 19% decline (trodden, trampling, grazing) in the number of plant stems in both polygons, and almost 9.5% decline in the number of plants during the two weeks of study.
Figure 3.
Correlation between time of grazing and/or being trodden (X-axis) and relative vegetation cover (Y-axis) of Persicaria affinis (●); Potentilla argyrophylla (▲); Astragalus Himalayanus (○); and total (■) (a) decline in the number of plants, and (b) decline in the numbers of stems. Data for Polygon A is marked with a solid line, while Polygon B with a dotted line.
4.2. Path Creation and Widening
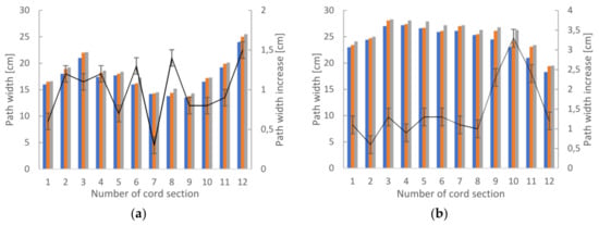
While moving to and returning from grazing sites, livestock create paths or widen existing ones. Figure 4 shows the speed of these changes for both polygons (A and B) as a set containing twelve measurements with a cord. In all cases the paths were wider after one to two weeks of exposure to livestock impact. The average changes for polygons A and B were 1.0 and 1.5 cm, respectively. The maximum value of change was 14.3% (3.3 cm) for the increase in path width. In accordance with this, each part of the path became approximately 6% (AM: polygon A = 5.7% and B = 6.3%) wider than it was when observations started.
Figure 4.
The graphs of the data from the path widening experiment for both polygons, A and B (a,b), respectively. Each bar graph shows the width of the path for the initial stage, and one and two weeks later. The line graph shows changes in path width indicated in centimetres.
4.3. The Horizontal Displacement of Soil
The third part of our study was concerned with the direct influence of livestock on erosion, namely the horizontal displacement of soil by the animals. Measurement pins placed on slopes that were of various inclinations (from 10° to 85°)—for both the exposed areas and the comparison sites—showed a range of results, however all were strongly correlated (ρ: −0.89–−0.98) with an increase in the slope’s angle (Table 2). Furthermore, the coefficient of variance showed low-variance (0.07–0.71) between pins located at the same slope angle, that is, the loss of soil was generally equal for pins placed on slopes with the same inclination.
Table 2.
Values of soil loss from the experiment according to the slope’s degree of inclination, with Standard deviation, Mean, Coefficient of variance for both livestock exposed and comparison (control) area. For exposed areas, values of Pearson correlation coefficient were also shown.
Figure 5 presents a boxplot for data from the soil loss experiment. On the slopes with a 10-degree inclination, the difference between the exposed and comparison sites (AM: −1 mm; −0.8 mm; respectively) was barely visible. As was expected, the situation looks much worse on slopes with a greater inclination. On the slopes with a 45-degree inclination, this difference was over four times greater (AM: −1.4 mm; −6 mm; respectively), and for the 65-degree slope, the soil loss values were 12 times greater for the exposed than the control site (AM: −1.6 mm; −19.2 mm; respectively). It was noted that there was the same, 12 times greater, difference between the exposed areas and the comparison site for an 85-degree slope (AM: −1.8 mm; −21.2 mm; respectively). When analysing the loss of soil on the comparison (control) sites, it was noticed that in the polygons with inclinations between 45 and 85 degrees the average level of loss was in the range from −1.4 to −1.8 mm. Moreover, the greatest soil loss (−3 mm) was noted on the slope with an 85-degree inclination (on the one pin only). Overall, the moderately-sloping areas was less seriously affected than steep areas for soil loss.
Figure 5.
A boxplot of the data from the soil loss experiment according to the slope’s degree of inclination. Values from the exposed (a,b) and comparison areas (c).
5. Discussion
5.1. Indirect and Direct Environmental Effects Caused by Livestock
During the two-week experiment the places frequently visited by livestock showed an average plant reduction rate of 10%. These values are similar to Kellett’s [63] which shows a plant reduction of 5–20% from immediately damaged and buried herbage. Note that the grazing season in the upper Miyar Valley starts at the end of May and finishes in the mid-September. The vegetation period is not much longer. Likewise, the results obtained are within range of values for other studies, for example, Carter [60], Schothorst [61], Muller [62], and Bilotta et al. [46], who estimated the plant reduction to be as large as 25–40% during the vegetation season. Naturally, this kind of high impact will not remove specific plants from their natural habitat area; plants will find other areas. However, this reduction favours, to a large extent, the erosion process, especially because it is strongly correlated with path development.
As research has shown, during our short-term observation, the size (width) of the paths grew significantly (average increase of 6% in only 2 weeks). However, there is no need to raise an alarm concerning this matter. In future, the animals will use the pre-existing paths and the process of widening will stop when paths reach the proper size for the animals—up to 50 cm wide in the case of big mammals [37,77]. A graphical interpolation (logarithmic model for path development) of the data clearly shows that with time the further development of the path slows down and finally stops. Appropriate to the model and animal behaviour, the paths that now range from 18.2 to 25.5 cm will grow to a maximum of 30 cm wide.
Both processes described above, that is, the rate of plant destruction and path widening, may greatly (but mostly indirectly) increase erosion level. Paths and areas with vegetation completely removed introduce other much more powerful erosive agents like water and wind, which affect surface relief modelling in a much more serious way (for examples see [31,66]).
The force imposed by an animal’s hoof can be divided into two components: a normal component acting vertically downward into the soil, and a tangential component acting horizontally on the soil surface [31,78]. Our study revealed that these two components might have a great impact. They may intensify the horizontal soil displacement from four to 12 times (on slopes of 45 and 65 degrees or more) compared to places cut off from livestock activity. The hooves act as a razor by cutting away slices of soils up to 2.4 cm thick in a period of only two weeks. Results suggest, among other things, that on slopes inclined at an angle of more than 10 degrees, livestock should stay only while grazing, but not during resting or night stays.
5.2. Model of Zoogenic Erosion Caused by Livestock
The results from the experiment were placed on a graph and a linear trend line was drawn (Figure 6). To determine the regression model of best fit for the data gathered, the R-squared value (coefficient of determination) was checked. In general, the higher the R-squared (range: 0–1), the better the model fits the data. Linear regression analyses were performed to identify the mathematical models that best approximated the relationship between soil loss (y) and slope gradient (x). For this study, the R-squared value was 0.92 for the area exposed to animal activity and 0.98 for the comparison area. The mathematical models that describe the changes are presented below:
Exposed area: ya = −0.3164x + 2.4463
Comparison area: yb = −0.0134x − 0.7153
Figure 6.
Model of zoogenic erosion caused by the study sample (124 sheep, 287 goats, and 18 cattle): exposed (■) and comparison area (●).
The elaborated mathematical models for both study cases, the exposed area Equation (1) and the comparison area Equation (2), provided an opportunity to compare data from the experiment (Table 2) with those from the model (Table 3). The elaborated model, even if not ideal, shows a similar trend for the changes. In the experiment the slope with a gradient of 50 degrees lost 13.4 mm of soil, while the model shows a loss of 16.4 mm (compare data from Table 2 with Table 3). This data, however, still illustrates only the case study, that is, the impact of three livestock types (sheep, goat, cattle) showing various static pressures on the ground (Table 1).
Table 3.
Values for soil loss from elaborated model.
Tread impacts vary among animal types. Given the differences in total hoof area and the weight of the animal (Table 1), the weighted arithmetic mean for the static pressure has been calculated. Based on the animal sample (total 429: 124 sheep, 287 goats, and 18 cattle) the weighted arithmetic mean for static pressure is 0.86 kg cm−2 of hoof area (Table 4). Grounded in this approach the number of animals of the same type that would cause the same amount of soil destruction was calculated (461, 424, and 351, respectively). By knowing this, we were able to calculate the daily value of soil losses that would be caused by 100 animals, each one of which exerts a static pressure on the ground equal to 0.86kg cm−2.
Table 4.
Static pressure (kg cm−2) for the study population and its weighted arithmetic mean. Also, the number (N) of a single species of animal that would cause the same pressure as animals from this study sample (124 sheep, 287 goats, and 18 cattle) has been shown.
By knowing the daily soil loss caused by 100 animals, a linear trend line can be drawn (Figure 7). In the model, each of these animals exerts a pressure of 0.86 kg cm−2 on the ground while moving. While Equation (3) shows the value of soil loss caused by 100 animals but intensified by natural denudation, Equation (4) presents values caused by 100 animals only (only livestock impact i.e., values from the areas exposed minus those from the comparison areas).
y = −0.0053x + 0.0407
y = −0.005x + 0.0526
Figure 7.
Daily soil loses caused by 100 animals.
The final mathematical model Equation (5) gave us the opportunity to calculate the average data for soil loss according to the slope’s degree of inclination (x), the number of animals (N), the time that those animals spend in an area (T), and the static pressure they caused on the ground (SP).
where:
X—slope degree (0–90°)
T—time (days)
N—number of animals
SP—static pressure caused by animal (kg cm−2)
By knowing these four most important variables (x, T, N, SP) the soil loss value can be calculated. Table 5 shows the hypothetical soil loss value elaborated in the case of each animal and based on the formula Equation (5). The data obtained from the model (in total) are similar to those from the experiment (compare Table 5 with Table 2). Thus, the model is correct.
Table 5.
Soil loss level during the (T) two-week period according to animal species (sheep, goat, cattle), their (N) number (124, 287, 18, respectively), (ST) static pressure caused (kg cm−1) (0.8, 0.87, 1.05, respectively), and (x) the slope’s degree of inclination (0–90°). Data elaborated on the basis of the formula Equation (5).
6. Conclusions
The research results presented in this paper provided a closer look at the question of the degree of anthropo-zoogenic erosion caused by livestock in areas that they tread most often. The elaborated model provides the possibility for estimating, in a simple way, the degree of soil loss according to the slope degree, the number of animals, the time that those animals spend in the area, and the static pressure they cause on the ground. In this way, managers receive a tool by which they are able to properly locate the places where livestock tread most often, that is, places used for resting (e.g., during the night) or paths used for moving (e.g., while passing to, and back from, grazing spots). It allows the erosion caused by livestock to be minimised in places where its impact is significant.
7. Recommendations and Additional Considerations
Some places, due to their function (main paths, places where animals spend the night) and thus longer exposure time to livestock activity, are much more vulnerable to change. As our research shows, these changes might cause a serious threat. According to this study two recommendation are made to limit the indirect and direct modes of soil erosion:
- Introduce at least two main paths for the movement of livestock, for example, one to move to the grazing site and a second to move out from it. Because of this, the amount of complete plant destruction will be twice as small, and the erosion initiation process will be slower.
- Locate the places where livestock usually stay (e.g., during the night) on slopes with approximately 10 degrees of slope. The destruction will be lessened due to reduced traffic of livestock, and potentially lessen the risk of erosion. Also, a flat surface that is heavily trodden can lead to wetland creation. Thus, a 10-degree slope is better than a flat surface because water is drained from it by gravity.
These recommendations might be accompanied by a third one: when the land administrator or user (i.e., shepherd) notices erosion, his or her first reaction should be to move the animals to another (new) place. This recommendation concerns both paths and sites where animals stay during the night. Through this action, vegetation will have time to recover and the risk of erosion will be lessened.
All the above recommendations should be placed in a special brochure and given away to the shepherds. This task is easy to achieve, as shepherds are obligated to obtain a grazing permit. Such permits for areas within Himachal Pradesh are issued by the State Forest Department, and it is similar in other states. Therefore, the preparation of the brochure should be done by these departments.
This educational action might be a small step along the way to the sustainable development of the upper parts of the alpine valleys, and shepherds should play an important role along this path.
Acknowledgments
Funds for this work were provided by the Pedagogical University of Cracow (Poland). The authors would like to thank the editor of the Himalayan Plant Association, Chris Chadwell, and three anonymous reviewers for their valuable contributions towards improving the manuscript. The authors would also thank to Marek Zoladek and Phil Varley for their help during field studies.
Author Contributions
M.A. conceived and designed the experiments; M.A. performed the experiments; M.A., V.A. and S.S.B. analysed the data; M.A., V.A. and S.S.B. wrote the paper.
Conflicts of Interest
The authors declare no conflict of interest.
References
- Pimentel, D.; Kounang, N. Ecology of soil erosion in ecosystems. Ecosystems 1998, 1, 416–426. [Google Scholar] [CrossRef]
- Pimentel, D. Soil erosion: A food and environmental threat. Environ. Dev. Sustain. 2006, 8, 119–137. [Google Scholar] [CrossRef]
- Zachar, D. Soil Erosion; Elsevier: New York, NY, USA, 1982; ISBN 0-444-99725-3. [Google Scholar]
- Pimentel, D.; Pimentel, M. Food, Energy, and Society; CRC Press: Boca Raton, FL, USA, 2008; ISBN 978-1-4200-4667-0. [Google Scholar]
- Shann, E.O.G. Cattle Chosen: The Story of the First Group Settlement in Western Australia, 1829 to 1841; Oxford University Press: London, UK, 1926. [Google Scholar]
- Bradfield, R. Soil conservation from the viewpoint of soil physics. Agron. J. 1937, 29, 85–92. [Google Scholar] [CrossRef]
- Sharpe, C.S. What is Soil Erosion? (No. 286); Miscellaneous Publication: Washington, DC, USA, 1934. [Google Scholar]
- Alberts, H.W.; Molinari, O.G. Pastures of Puerto Rico and Their Relation to soil Conservation; (No. 513); Miscellaneous Publication: Washington, DC, USA, 1943. [Google Scholar]
- Smolik, J.D.; Rogers, L.E. Effects of cattle grazing and wildfire on soil-dwelling nematodes of the shrub-steppe ecosystem. J. Range Manag. 1976, 29, 304–306. [Google Scholar] [CrossRef]
- Rickard, W.H.; Uresk, D.W.; Cline, J.F. Impact of cattle grazing on three perennial grasses in south-central Washington. J. Range Manag. 1975, 28, 108–112. [Google Scholar] [CrossRef]
- Jahnke, H.E. Livestock Production Systems and Livestock Development in Tropical Africa; Kieler Wissenschaftsverlag Vauk: Kiel, Germany, 1982. [Google Scholar]
- Mahaney, W.C.; Zhang, L. Removal of local alpine vegetation and overgrazing in the Dalijia Mountains, northwestern China. Mt. Res. Dev. 1991, 11, 165–167. [Google Scholar] [CrossRef]
- Bojo, J.; Casells, D. Land Degradation and Rehabilitation in Ethiopia: A reassessment; AFTES Working Paper 17; World Bank: Washington, DC, USA, 1995. [Google Scholar]
- De Haan, C.; Steinfeld, H.; Blackburn, H. Livestock and Environment: Finding a Balance; Study Report; European Commission: Brussels, Belgium, 1997; Available online: http://agrienvarchive.ca/bioenergy/download/livestock_env_fao.pdf (accessed on 20 November 2017).
- Whitmore, A. Impact of livestock on soil. Landbauforsch. Volkenrode FAL Agric. Res. Sonderh. 2001, 226, 39–41. [Google Scholar]
- Carvalho, J.L.N.; Raucci, G.S.; Cerri, C.E.P.; Bernoux, M.; Feigl, B.J.; Wruck, F.J.; Cerri, C.C. Impact of pasture, agriculture and crop-livestock systems on soil C stocks in Brazil. Soil Tillage Res. 2010, 110, 175–186. [Google Scholar] [CrossRef]
- Bell, L.W.; Kirkegaard, J.A.; Swan, A.; Hunt, J.R.; Huth, N.I.; Fettell, N.A. Impacts of soil damage by grazing livestock on crop productivity. Soil Tillage Res. 2011, 113, 19–29. [Google Scholar] [CrossRef]
- Pimentel, D.; Burgess, M. Soil erosion threatens food production. Agriculture 2013, 3, 443–463. [Google Scholar] [CrossRef]
- Yang, Y.; Wu, L.; Lin, Q.; Yuan, M.; Xu, D.; Yu, H.; Hu, Y.; Duan, J.; Li, X.; He, Z.; et al. Responses of the functional structure of soil microbial community to livestock grazing in the Tibetan alpine grassland. Glob. Chang. Biol. 2013, 19, 637–648. [Google Scholar] [CrossRef] [PubMed]
- Palacio, R.G.; Bisigato, A.J.; Bouza, P.J. Soil erosion in three grazed plant communities in Northeastern Patagonia. Land Degrad. Dev. 2014, 25, 594–603. [Google Scholar] [CrossRef]
- Peters, G.; Morris, K.; Frood, D.; Papas, P.; Roberts, J. A Guide to Managing Livestock Grazing in Victoria’s Wetlands. Decision Framework and Guidelines—Version 1.0; Arthur Rylah Institute for Environmental Research Technical Report Series No. 265; Department of Environment, Land, Water and Planning: Heidelberg, Australia, 2015.
- Baumhardt, R.L.; Stewart, B.A.; Sainju, U.M. North American soil degradation: Processes, practices, and mitigating strategies. Sustainability 2015, 7, 2936–2960. [Google Scholar] [CrossRef]
- Yuan, H.; Hou, F. Grazing intensity and soil depth effects on soil properties in alpine meadow pastures of Qilian Mountain in northwest China. Acta Agric. Scand. Sect. B Soil Plant Sci. 2015, 65, 222–232. [Google Scholar] [CrossRef]
- Kalhoro, S.A.; Xu, X.; Chen, Y.; Hua, R.; Raza, S.; Ding, K. Effects of Different Land-Use Systems on Soil Aggregates: A Case Study of the Loess Plateau (Northern China). Sustainability 2017, 9, 1349. [Google Scholar] [CrossRef]
- Waters, C.M.; Orgill, S.E.; Melville, G.J.; Toole, I.D.; Smith, W.J. Management of Grazing Intensity in the Semi-Arid Rangelands of Southern Australia: Effects on Soil and Biodiversity. Land Degrad. Dev. 2017, 28, 1363–1375. [Google Scholar] [CrossRef]
- Abdalla, M.; Hastings, A.; Chadwick, D.R.; Jones, D.L.; Evans, C.D.; Jones, M.B.; Rees, R.M.; Smith, P. Critical review of the impacts of grazing intensity on soil organic carbon storage and other soil quality indicators in extensively managed grasslands. Agric. Ecosyst. Environ. 2018, 253, 62–81. [Google Scholar] [CrossRef] [PubMed]
- Roberson, E. Impacts of Livestock Grazing on Soils and Recommendations for Management. 1996. Available online: https://www.cnps.org/cnps/archive/letters/soils.pdf (accessed on 20 November 2017).
- Wu, G.L.; Dong, W.; Yu, L.; Lu-Ming, D.; Zhen-Heng, L. Warm-season Grazing Benefits Species Diversity Conservation and Topsoil Nutrient Sequestration in Alpine Meadow. Land Degrad. Dev. 2017, 28, 1311–1319. [Google Scholar] [CrossRef]
- Stohlgren, T.J.; Schell, L.D.; Vanden Heuvel, B. How grazing and soil quality affect native and exotic plant diversity in Rocky Mountain grasslands. Ecol. Appl. 1999, 9, 45–64. [Google Scholar] [CrossRef]
- Krahulec, F.; Skálová, H.; Herben, T.; Hadincová, V.; Wildová, R.; Pecháčková, S. Vegetation changes following sheep grazing in abandoned mountain meadows. Appl. Veg. Sci. 2001, 4, 97–102. [Google Scholar] [CrossRef]
- Pande, T.N.; Yamamoto, H. Cattle treading effects on plant growth and soil stability in the mountain grassland of Japan. Land Degrad. Dev. 2006, 17, 419–428. [Google Scholar] [CrossRef]
- Dumont, B.; Garel, J.P.; Ginane, C.; Decuq, F.; Farruggia, A.; Pradel, P.; Rigolot, C.; Petit, M. Effect of cattle grazing a species-rich mountain pasture under different stocking rates on the dynamics of diet selection and sward structure. Animal 2007, 1, 1042–1052. [Google Scholar] [CrossRef] [PubMed]
- Cheng, J.; Wu, G.L.; Zhao, L.P.; Li, Y.; Li, W.; Cheng, J.M. Cumulative effects of 20-year exclusion of livestock grazing on above-and belowground biomass of typical steppe communities in arid areas of the Loess Plateau, China. Plant Soil Environ. 2011, 57, 40–44. [Google Scholar] [CrossRef]
- Dong, Q.M.; Zhao, X.Q.; Wu, G.L.; Shi, J.J.; Ren, G.H. A review of formation mechanism and restoration measures of “black-soil-type” degraded grassland in the Qinghai-Tibetan Plateau. Environ. Earth Sci. 2013, 70, 2359–2370. [Google Scholar] [CrossRef]
- Butler, D.R. Zoogeomorphology: Animals as Geomorphic Agents; Cambridge University Press: Cambridge, USA, 1995; ISBN 978-0-521-03932-1. [Google Scholar]
- Jońca, E. Winter denudation of molehills in mountainous areas. Acta Theriol. 1972, 17, 407–412. [Google Scholar] [CrossRef]
- Wheat, J.; Malde, H.; Leopold, E. The Olsen-Chubbuck Site: A Paleo-Indian Bison Kill. Mem. Soc. Am. Archaeol. 1972, 26, 1–180. [Google Scholar]
- Bennett, H.H. Soil Conservation; McGraw-Hill: New York, NY, USA; London, UK, 1939. [Google Scholar]
- Edmond, D.B. The influence of treading on pasture. A preliminary study. N. Z. J. Agric. Res. 1958, 3, 319–328. [Google Scholar]
- Evans, R. The erosional impacts of grazing animals. Prog. Phys. Geogr. 1998, 22, 251–268. [Google Scholar] [CrossRef]
- Matches, A.G. Plant response to grazing: A review. J. Prod. Agric. 1992, 5, 1–7. [Google Scholar] [CrossRef]
- Midriak, R. Waste lands above the timberline of Slovakia. Lesn. Cas. For. J. 2011, 57, 157–165. [Google Scholar] [CrossRef][Green Version]
- Gyuricza, C.; Smutný, V.; Percze, A.; Pósa, B.; Birkás, M. Soil condition threats in two seasons of extreme weather conditions. Plant Soil Environ. 2015, 61, 151–157. [Google Scholar] [CrossRef]
- Vallentine, J.F. Grazing Management; Academic Press: Cambridge, MA, USA, 2000; ISBN 9780127100012. [Google Scholar]
- Fox, D.G.; Seaney, R.R. Beefing up New York’s abandoned farmland. N. Y. Food Life Sci. Q. 1984, 15, 6–9. [Google Scholar]
- Bilotta, G.S.; Brazier, R.E.; Haygarth, P.M. The impacts of grazing animals on the quality of soils, vegetation, and surface waters in intensively managed grasslands. Adv. Agron. 2007, 94, 237–280. [Google Scholar]
- Foreyt, W.J.; Jessup, D.A. Fatal pneumonia of bighorn sheep following association with domestic sheep. J. Wildl. Dis. 1982, 18, 163–168. [Google Scholar] [CrossRef] [PubMed]
- Taylor, R.E.; Field, T.G. Scientific Farm Animal Production: An Introduction to Animal Science; Prentice-Hall of India Pvt. Ltd.: Delhi, India, 2011; ISBN-13: 978-8120343986. [Google Scholar]
- Mulholland, B.; Fullen, M.A. Cattle trampling and soil compaction on loamy sands. Soil Use Manag. 1991, 7, 189–193. [Google Scholar] [CrossRef]
- Mishra, C.; Van Wieren, S.E.; Heitkönig, I.M.; Prins, H.H. A theoretical analysis of competitive exclusion in a Trans-Himalayan large-herbivore assemblage. Anim. Conserv. 2002, 5, 251–258. [Google Scholar] [CrossRef]
- Stephenson, T. Forbidden Land: The Struggle for Access to Mountain and Moorland; Manchester University Press: Manchester, UK, 1989; ISBN 9780719029660. [Google Scholar]
- Eren, M.I.; Durant, A.; Neudorf, C.; Haslam, M.; Shipton, C.; Bora, J.; Korisettar, R.; Petraglia, M. Experimental examination of animal trampling effects on artifact movement in dry and water saturated substrates: A test case from South India. J. Archaeol. Sci. 2010, 37, 3010–3021. [Google Scholar] [CrossRef]
- Spedding, C.R.W. Grassland Ecology; Oxford University Press: London, UK, 1971; ISBN-13: 978-0198541127. [Google Scholar]
- Liebman, M.; Mohler, C.L.; Staver, C.P. Ecological Management of Agricultural Weeds; Cambridge University Press: Cambridge, UK, 2001; ISBN 0521560683. [Google Scholar]
- Hahn, M.V.; McDaniel, B.T.; Wilk, J.C. Genetic and Environmental Variation of Hoof Characteristics of Holstein Cattle. J. Dairy Sci. 1984, 67, 2986–2998. [Google Scholar] [CrossRef]
- Duncan, K.; Holdaway, R. Footprint pressures and locomotion of moas and ungulates and their effects on the New Zealand indigenous biota through trampling. N. Z. J. Ecol. 1989, 12, 97–101. [Google Scholar]
- Frame, J. Fundamentals of grassland management. Pt. 10. The grazing animal. Scott. J. Agric. 1971, 50, 28–44. [Google Scholar]
- Barros, A.; Pickering, C.M.; Renison, D. Short-term effects of pack animal grazing exclusion from Andean alpine meadows. Arct. Antarct. Alp. Res. 2014, 46, 333–343. [Google Scholar] [CrossRef]
- Cluzeau, D.; Binet, F.; Vertes, F.; Simon, J.C.; Riviere, J.M.; Trehen, P. Effects of intensive cattle trampling on soil-plant-earthworms system in two grassland types. Soil Biol. Biochem. 1992, 24, 1661–1665. [Google Scholar] [CrossRef]
- Carter, J.F. Pastures and Range Research Techniques; Comstock Publishing Associates: Ithaca, NY, USA, 1962. [Google Scholar]
- Schothorst, C.J. The Carrying Capacity of Grassland Soils; Wageningen Academic Publishers: Wageningen, Holland, 1963. [Google Scholar]
- Muller, S. Yield and grazing losses in a pasture productivity experiment in Niedehein. Z. Acker U. Pfl. Bau. 1965, 121, 171–183. [Google Scholar]
- Kellett, A.J. Poaching of Grassland and the Role of Drainage; Technical Report 78/1; Field Drainage Experimental Unit, Ministry of Agriculture, Fisheries and Food: London, UK, 1978.
- Patric, J.H. Soil erosion in the eastern forest. J. For. Res. 1976, 74, 671–677. [Google Scholar]
- USDA. US Department of Agriculture: Summary Report 1992 National Reseources Inventory; Soil Conservation Service, USDA: Washington, DC, USA, 1994.
- Trimble, S.W.; Mendel, A.C. The cow as a geomorphic agent—A critical review. Geomorphology 1995, 13, 233–253. [Google Scholar] [CrossRef]
- Koogler, R. 21st Century Homestead: Agroecology; Lulu Press Inc.: Morrisville, NC, USA, 2015. [Google Scholar]
- Apollo, M. The population of Himalayan regions—By the numbers: Past, present and future. In Contemporary Studies in Environment and Tourism; Efe, R., Öztürk, M., Eds.; Cambridge Scholars Publishing: Newcastle upon Tyne, UK, 2017; pp. 143–159. ISBN 978-1-4438-7283-6. [Google Scholar]
- Kulkarni, A.V.; Rathore, B.P.; Singh, S.K.; Bahuguna, I.M. Understanding changes in the Himalayan cryosphere using remote sensing techniques. Int. J. Remote Sens. 2011, 32, 601–615. [Google Scholar] [CrossRef]
- Apollo, M. Środowiskowe skutki wysokogórskiej turystyki wspinaczkowej (na przykładzie wybranych obszarów Himalajów). Ph.D. Thesis, Pedagogical University of Cracow, Cracow, Poland, 2017. [Google Scholar]
- Saini, R. Glacier Dynamics Water Resource Assessment and Landscape Evolution in Miyar Basin, Lahaul Himalayas, Himachal Pradesh. Ph.D. Thesis, Jawaharlal Nehru University, New Delhi, India, 2008. [Google Scholar]
- Negi, S.S. Discovering the Himalaya; Indus Publishing Company: New Delhi, India, 2002; ISBN-13: 978-8173870798. [Google Scholar]
- Padigala, B. Social Capital and Local Institutions—A Perspective to Assess Communities Adaptation Potential to Climate Change. In Handbook of Climate Change Adaptation; Leal Filho, W., Ed.; Springer: Berlin/Heidelberg, Germany, 2015; pp. 1028–1050. [Google Scholar] [CrossRef]
- Apollo, M. The clash-social, environmental and economical changes in tourism destination areas caused by tourism the case of Himalayan villages (India and Nepal). Curr. Issues Tour. Res. 2015, 5, 6–19. [Google Scholar]
- Zoladek, M.; Kordowska, M. Exploration Tourism: Based on Selected Areas. In Contemporary Studies in Environment and Tourism; Efe, R., Öztürk, M., Eds.; Cambridge Scholars Publishing: Newcastle upon Tyne, UK, 2017; pp. 1–8. ISBN 978-1-4438-7283-6. [Google Scholar]
- Polunin, O.; Stainton, A. Flowers of the Himalaya; Oxford University Press: New Delhi, India, 2011; ISBN 978-0-19-564187-5. [Google Scholar]
- Liebenberg, L. A Field Guide to the Animal Tracks of Southern Africa; New Africa Books: Cape Town, South Africa, 1990. [Google Scholar]
- Patto, P.M.; Clement, C.R.; Forbes, T.J. Grassland Poaching in England and Wales; Grassland Research Institute: Maidenhead, UK, 1978. [Google Scholar]
© 2018 by the authors. Licensee MDPI, Basel, Switzerland. This article is an open access article distributed under the terms and conditions of the Creative Commons Attribution (CC BY) license (http://creativecommons.org/licenses/by/4.0/).






